Artículos
Efeito da modalidade de sinal na emergência de equivalência e de respostas verbais expressivas com LIBRAS
Efeito da modalidade de sinal na emergência de equivalência e de respostas verbais expressivas com LIBRAS
Acta Comportamentalia: Revista Latina de Análisis de Comportamiento, vol. 28, núm. 1, pp. 73-90, 2020
Universidad Veracruzana

Recepción: 06 Octubre 2018
Aprobación: 04 Noviembre 2019
Resumo: O estudo teve por objetivo avaliar o efeito do ensino de respostas receptivas, com o uso de procedimento de escolha de acordo com o modelo (MTS), sobre a emergência de equivalên cia entre palavras impressas, sinais escritos e sinais pictóricos da Língua Brasileira de Sinais (LIBRAS). Também verificou o efeito de duas modalidades de apresentação dos sinais (em figuras e vídeo), adotadas no ensino, no controle de dois tipos de respostas expressivas de emitir sinais da LIBRAS: códice e mimético. Seis estudantes universitários, ouvintes, foram divididos entre os grupos figura (F) e vídeo (V) e expostos a um procedimento informatizado de ensino baseado em equivalência. No Grupo V, sinais da LIBRAS eram apresentados na forma de vídeos e, no Grupo F, na forma de figuras. Todos os participantes aprenderam as discriminações condicionais ensinadas, demonstraram a emergência de equivalência e as classes de estímulos equivalentes passaram a controlar as respostas expressivas de sinalização (códices). Estes resultados replicam os de estudos anteriores sugerindo que o procedimento de MTS é suficiente para a emergência de respostas de sinalização (códices). Adicionalmente, observou-se efeitos diferenciados da modalidade dos sinais utilizados nos treinos sobre as respostas expressivas; códices e miméticos foram mais precisos no Grupo V.
Palavras-chave: LIBRAS, comportamento verbal, equivalência de estímulos, precisão de sinais manuais, mimético, códice, Brazilian Sign Language, verbal behavior, stimulus equivalence, hand signs, mimetic, codic.
Abstract: The objective of this study was to evaluate the effect of teaching receptive responses, using a matching to sample procedure (MTS), in the emergence of equivalence relations between printed words, written signs and pictorical signs of Brazilian Sign Language (LIBRAS). The study also investigated the effect of two different presentation modalities of signs (figures and video), during teaching conditions, in the emergence of two types of expressive responses: codic (signs controlled by figure or written signals) and mimetic (signs controlled by the same sign). Six undergraduate listeners students, between 18 and 31 years old, were divided into two groups which differed in relation to the modality of the visual LIBRAS’ signs used during training and tests. For Group V, LIBRAS’ signs were presented in the form of videos; for Group F, the same signs were presented in the form of pictures. Both groups were exposed to equivalence-based education. After a pre-test, participants were exposed to a three phase computerized procedure, each consisting of a training sequence (AB or A’B and AC or A’C), signaling probes (AD or A ‘D, BD and CD) and equivalence test (BC and CB). After the end of the third phase, all participants were exposed to a general equivalence and expressive signaling response test. Three sets of stimuli were used in each phase; sets A/A’ were composed of LIBRAS’ signs in the form of figures (set A, for Group F) or video (set A’, for Group V); set B was formed of words written in Portuguese and set C was composed of words written in SignWriting. The figure signs were selected and reproduced from the Trilingual Illustrated Encyclopedic Dictionary of the Brazilian Sign Language. All participants formed nine three- member equivalence classes compound by LIBRAS’ signs, written words in Portuguese and in SignWriting. Expressive signaling responses controlled by written Portuguese words, SignWriting (codic) and signs (mimetic) were observed. These results replicate those of previous studies and suggest that MTS procedure is sufficient for the emergence of signaling responses (codic). In addition to other studies, more accurate signaling responses were observed for Group V. This result shows the differential effect of the sign modality on the emergent signaling response. The study highlights the potential of computerized teaching programs, with MTS procedures, in promoting learning of signaling repertoires that were not directly taught.
O comportamento verbal é um tipo
O comportamento verbal é um tipo especial de comportamento operante, cujas consequências modificadoras são mediadas pela comunidade verbal (Skinner, 1957/1978). Sob esta perspectiva, características funcionais deste comportamento são tomadas como foco e este é compreendido por meio da análise das relações com as variáveis ambientais (estímulos verbais e não verbais antecedentes e consequentes). Deste modo, respostas topograficamente diferentes (e.g. falar, escrever e desenhar) podem ser igualmente compreendidas como verbais, incluindo-se a gestual, característica da Língua Brasileira de Sinais – LIBRAS, quando afetam o comportamento de outra pessoa (De Rose, 2005; Greer & Ross, 2008; Horne & Lowe, 1996; Skinner, 1957/1978).
Skinner (1957/1978) propõe sete categorias funcionais de operantes verbais elementares: mando, tato, intraverbal, transcritivo (cópia e ditado), ecóico e textual. Os operantes verbais intraverbal, trasncritivos, ecóico e textual são controlados por estímulos discriminativos verbais. No presente estudo, a atenção recairá sobre o ecóico e sobre o textual, especialmente.
No caso do ecóico, o estímulo discriminativo é auditivo (a fala de alguém) e a resposta sob seu controle é vocal (a reprodução desta fala). No operante textual, uma resposta vocal (leitura) fica sob controle de um estímulo discriminativo visual (um texto escrito). Em ambos os casos há correspondência ponto-a-ponto entre as unidades das respostas e dos estímulos discriminativos, ou seja, cada componente do estímulo discriminativo (por exemplo, um grafe ma no caso do textual e fonema do caso do ecóico) corresponde a um componente da resposta (por exemplo, a emissão de um fonema). Todavia, apenas no ecóico há similaridade formal entre a resposta e o estímulo discriminativo, uma vez que ambos são da mesma modalidade (vocal) (Hübner, Borloti, Almeida, & Cruvinel, 2012; Passos, 2003).
Adicionalmente à categorização proposta por Skinner (1957), Michael (1982) aponta que as categorias ecóico e textual, uma vez que apresentam correspondência ponto-a-ponto com os estímulos auditivos e visuais que as controlam, não são generalizáveis. O autor propõe, então, dois termos – códice e dúplico – como acréscimo à proposta Skinneriana e esclarece que este acréscimo “não identifica relações novas ou anteriormente ignoradas, mas fornece nomes para categorias implícitas e, portanto, um lugar para todas as formas de comportamento verbal que não eram anteriormente classificáveis” (Michael, 1982, p. 1).
O códice é um comportamento controlado por estímulos verbais, apresenta correspondência ponto-a-ponto com estes, mas não tem similaridade formal com os estímulos contro ladores (Michael, 1982). Deste modo, o comportamento textual é um tipo de códice, assim como a leitura tátil envolvida no Braile também o é, uma vez que as propriedades definidoras do códice não explicitam modalidades específicas de estímulos verbais.
O dúplico é igualmente controlado por estímulos verbais, porém a resposta tem similaridade formal com os estímulos controladores (Michael, 1982). O comportamento ecóico é um tipo de dúplico, assim como sinalização em LIBRAS sob controle de sinalização semelhante. Michael (1982), contudo, sugere que o dúplico gestual seja denominado como mimético, termo sugerido por Vargas (1982), por considerá-lo etimologicamente mais correto.
Os operantes verbais de sinalizar, assim como o de escrever ou falar, são exemplos de comportamentos “baseados na topografia” ou expressivos. Tais comportamentos caracterizam-se pela diversidade de formas de repostas diante de estímulos controladores distintos. Há outros operantes verbais, contudo, “baseados na seleção de estímulos” ou receptivos (Michael, 1985). Nos comportamentos “baseados na seleção de estímulos” não há variabilidade na forma da resposta, a qual se mantém inalterada (por exemplo, apontar) diante de diferentes estímulos controladores (Sundberg & Sundberg, 1990).
Alguns estudos demonstram que os repertórios receptivos e expressivos são funcional mente independentes. Participantes podem aprender a ouvir uma palavra e apontar um objeto correspondente, mas não serem capazes de tatear esse mesmo objeto com precisão (e.g. Guess, 1969; Horne, Hughes, & Lowe, 2006; Horne, Lowe, & Randle, 2004; Miguel, Petursdottir, & Carr, 2005). Todavia, há evidências da emergência de respostas expressivas de tatos, com adultos com deficiência intelectual, a partir do ensino de respostas receptivas (e.g. Osborne & Gatch, 1989; Elias, Goyos, Saunders, & Saunders, 2008; Ribeiro, Elias, Goyos, & Miguel, 2010), com base no paradigma de equivalência de estímulos e com o uso de procedimentos de escolha de acordo com o modelo (Sidman, 2009; Fienup, Covey, & Critchfield, 2010).
Elias et al. (2008) replicaram um experimento relatado em Osborne e Gatch (1989) e utilizaram o procedimento de escolha de acordo com o modelo (MTS) para ensinar relações condicionais entre sinais apresentados na forma de vídeo e figuras (treino AB) e entre palavras impressas e figuras (treino CB) a sete adultos com deficiência intelectual severa, sendo quatro deles indivíduos com deficiência auditiva. A resposta requerida dos participantes era selecionar um estímulo (B), dentre três exibidos, relacionado ao modelo (A ou C). O estudo tinha por objetivo verificar se, a partir da aprendizagem das respostas receptivas (de apontar figuras condicionalmente a vídeos e palavras impressas), respostas expressivas de emitir o sinal diante das figuras e palavras emergiram. Cinco participantes emitiram pelo menos 50% dos sinais diante das figuras e das palavras.
Buscando estender estes resultados, Ribeiro et al. (2010) ensinaram relações entre sinais em LIBRAS apresentados em vídeo e figuras (treino AB) e entre figuras e objetos (treino BC), com o uso do procedimento de MTS, a dois adultos ouvintes com deficiência intelectual. Os resultados corroboraram os de Elias et al. (2008) indicando que o ensino de respostas receptivas por meio do procedimento de MTS é um meio eficaz de se promover a emergência de respostas expressivas. Santos e Almeida-Verdu (2012) replicaram outro experimento do estudo de Osborne e Gatch (1989) e relataram desempenhos perfeitos de emissão de sinais diante de desenhos (nomeação) e percentuais de acerto variando entre 0% no pré-teste a 66% no pós-teste na emissão de sinais diante de palavras escritas (leitura), com três conjuntos de estímulos, em uma criança surda, após aprendizagem de relações entre sinais de LIBRAS apresentados em vídeo e palavras escritas (AB) e entre sinais em LIBRAS e desenhos (AC). Em outro conjunto de estudos, Elias e Goyos (2013; 2015) investigaram o efeito de treinos de relações entre sinais apresentados por vídeo e figuras de ações (Elias & Goyos, 2013) e entre sinais e ações, ambos apresentados por vídeo (Elias & Goyos, 2015) sobre a emergência de respostas expressivas de emitir sinais. Inicialmente, crianças de cinco anos de idade, com diferentes características (surdas, ouvintes, sem repertório de sinalização e com repertório inicial de sinalização), aprenderam respostas imitativas de sinalização para então serem expostas aos treinos com uso do procedimento de MTS. Após os treinos era avaliada a emergência de respostas expressivas de emitir os sinais diante de figuras e de palavras escritas (Elias & Goyos, 2013) e vídeo de ações (Elias & Goyos, 2015). Foi observada a emergência da maioria dos sinais diante das figuras, palavras escritas e vídeo de ações para quase todos os participantes.
As pesquisas descritas investigaram e evidenciaram o efeito de treinos de respostas receptivas (Elias et al., 2008; Elias & Goyos, 2013, 2015; Osborne & Gatch, 1989; Ribeiro et al., 2010; Santos & Almeida-Verdu, 2012), envolvendo sinais como estímulos (por figuras ou vídeos), na emergência de respostas expressivas de emitir sinais. As respostas expressivas observadas restringiram-se a tatos e leitura, não sendo investigada a emergência de miméticos, ficando este restrito a um componente do treino. Adicionalmente, tais pesquisas não avaliaram o possível efeito de características dos estímulos utilizados (vídeo ou figura) nos treinos sobre a precisão das respostas expressivas. Elias e Goyos (2013, 2015), por exemplo, em diferentes estudos, adotaram sinais apresentados em vídeos (Elias & Goyos, 2013) ou na forma de figuras (Elias & Goyos, 2015), mas não compararam os efeitos destas diferentes formas de apresentação dos sinais (vídeo ou figuras) sobre as respostas expressivas de interesse e, especialmente, na precisão das resposta expressivas (sinalizar) após o ensino baseado em equivalência.
Pesquisas que investigam o uso de vídeo como instrumento de modelação de compor tamentos (para revisões sistemáticas da literatura sobre o tema ver Baker, Lang, & O’Reilly, 2009; Qi, Barton, Collier, & Lin, 2017) apontam a eficácia deste tipo de intervenção para o ensino de diferentes habilidades (e.g. motoras, sociais, verbais) com populações diversas (e.g. crianças com Transtorno do Espectro Autista; crianças com comportamentos disruptivos em geral; pais; estudantes com deficiência intelectual). Tais estudos indicam, ainda, como vantagens deste tipo de estratégia: a possibilidade de uso de vários exemplares de comportamentos, boa relação custo-benefício, viabilidade de uso em diferentes contextos e a possibilidade de apresentação padronizada e consistente dos comportamentos de interesse (Baker et al., 2009; Charlop, Schreibman, & Tryon, 1983).
Considera-se importante a realização de pesquisas que verifiquem se sinais emitidos em vídeo ou apresentados na forma de figuras afetariam diferentemente a precisão na emissão de sinais, dadas as especificidades das línguas de sinais. De modo semelhante às línguas oralauditivas, as línguas de sinais, que são espaço-visuais, têm propriedades gramaticais morfológicas, sintáticas e “fonológicas” e podem ser segmentadas em unidades menores, denominadas parâmetros das línguas de sinais, são elas: configuração de mão, movimento, direcionalidade e ponto de articulação (Felipe, 2006; Goldin-Meadow, McNeill, & Singleton, 1996). Alterações sutis em um desses parâmetros dos sinais muda o significado do mesmo; por exemplo, na LIBRAS, os sinais para verde, boca, sexta-feira e frio se diferenciam apenas em relação ao parâmetro movimento (Almeida-Verdu, Caneguim, de Rose, & Bandini, 2012). O presente estudo, de modo semelhante a estudos anteriores (Almeida-Verdu et al., 2012;Elias et al., 2008; Ribeiro et al., 2010), investigou o efeito de treinos de respostas receptivas, com o uso do procedimento de MTS, sobre a emergência de equivalência de estímulos e de respostas expressivas de emitir sinais em LIBRAS (códices). As respostas expressivas analisadas, contudo, diferentemente dos estudos anteriores, foram códices (diretamente relacionadas ao treino de MTS e formação de classes equivalentes) e miméticos (respostas imitativas), com estudantes universitários. Adicionalmente, foi avaliado o efeito de diferentes modalidades de estímulos visuais (figuras ou vídeo dos sinais) sobre a aprendizagem das respostas receptivas e precisão das respostas expressivas. Diferentemente de estudos anteriores, a pesquisa foi realizada com estudantes universitários e utilizou palavras escritas no sistema SignWriting4 como um dos conjuntos de estímulos. Considerando que o ensino de LIBRAS é obrigatório na formação do professor no Brasil, investigações com estudantes universitários podem apontar estratégias de ensino mais eficazes para esta população. A análise comparativa do desempenho com uso de vídeo ou figura pode indicar efeitos diferenciados de dois recursos instrumentais disponíveis em contextos de ensino, os vídeos, atualmente mais fáceis de serem editados e veiculados e figuras, disponíveis em dicionários como o Dicionário Enciclopédico Ilustrado Trilíngue da Língua Brasileira de Sinais (Capovilla, Raphael, & Maurício, 2015).
MÉTODO
Participantes
Foram recrutados seis estudantes universitários, ouvintes, três homens e três mulheres, com idades entre 18 e 31 anos, alunos do curso de Psicologia da Universidade Católica de Brasília. Os participantes não tinham conhecimento a respeito do paradigma de equivalência de estímulos e nem familiaridade com a LIBRAS, conforme avaliado em pré-teste. Foram divididos em dois grupos, denominados Grupo F (Figura) e Grupo V (Vídeo), que diferiram em relação à modalidade de estímulos (figura x vídeo) utilizados durante os treinos. Todos aceitaram participar da pesquisa voluntariamente por meio da assinatura do Termo de Consentimento Livre e Esclarecido.
Ambiente Experimental, Equipamentos e Instrumentos
A coleta de dados ocorreu no laboratório de Psicosociogerontologia, na Universidade Católica de Brasília. O laboratório era iluminado por luz natural e mobiliado com uma mesa e duas cadeiras. Sobre a mesa ficavam dispostos dois computadores um desktop (com monitor LCD de 16 polegadas, processador Intel Pentium D e sistema operacional Windows7) e um notebook (tela LED de 14 polegadas, processador Intel i5, placa de vídeo ATI Radeon e sistema operacional Windows7).
Durante as sessões, que eram individuais, o participante sentava-se em uma das cadeiras, de frente para o notebook, e o pesquisador sentava-se à direita deste, de frente para o desktop. Diante do participante, sobre um tripé, ficava posicionada uma filmadora digital (Kodak, modelo EasyShare C713, com resolução de 7.0MP e memória interna de 16MB mais um cartão de memória de 1GB) que registrava as respostas dos participantes. Essa mesma filmadora foi utilizada para gravar os estímulos de vídeo usados na sessão, os quais foram editados com o programa Movie Maker.
Para planejamento, apresentação de tentativas, fornecimento de consequências programadas para acertos e erros e registro das respostas dos participantes durante as sessões, foi utilizado o software Contingência Programada 2.0 (Batitucci, Batitucci, & Hanna, 2007), instalado no notebook. Respostas do participante eram realizadas com uso de mouse com fio. Uma vez que o software Contingência Programada não suportava arquivos de vídeo, os estímulos dessa modalidade foram apresentados no computador desktop com o uso de reprodutor de mídias VLC.
Estímulos
Foram utilizados quatro conjuntos de estímulos - A, A’, B e C (Figura 1). Os conjuntos A e A’ eram compostos por nove sinais em LIBRAS, representados na forma de figura e em vídeo, respectivamente. Os nove sinais foram divididos em três subconjuntos, os quais foram usados um em cada uma de três Fases Experimentais (I, II e III). Os sinais na modalidade figura foram selecionados e reproduzidos do Dicionário Enciclopédico Ilustrado Trilíngue da Língua Brasileira de Sinais (Capovilla, Raphael, & Maurício, 2015). Os critérios de seleção das figuras dos sinais foram: todos deveriam ser compostos por três “pessoas”; as “pessoas” deveriam estar posicionadas na mesma direção (viradas para a direita) e, para cada subconjunto de estímulos, foram selecionados sinais que tivessem o mesmo ponto de articulação5. Os estímulos do conjunto A mediam 5,2 x 10,5 centímetros e os vídeos do conjunto A’ tinham sete segundos de duração e eram apresentados em uma área de 17,5 x 23 centímetros.
Os conjuntos B e C eram compostos por palavras escritas, na língua portuguesa e no sistema SignWriting, ambos correspondentes aos sinais dos conjuntos A/A’. O conjunto B era formado por nove palavras escritas com fonte Arial tamanho 50 pontos. O conjunto C era composto por 27 palavras impressas; as nove correspondentes aos sinais funcionavam, exclusivamente, como estímulos de escolha corretos (S+); as 18 palavras restantes, contrariamente, tiveram apenas função de estímulos de escolha incorretos (S-); estas foram criadas a partir de pequenas manipulações nas palavras corretas de modo a minimizar possível controle restrito de estímulos (Domenicone, de Rose, & Huziwara, 2007). Os estímulos do conjunto C eram apresentados na tela em quadrados de 4 x 4,3 centímetros.

PROCEDIMENTO
Foi utilizado um delineamento experimental misto (intra e inter sujeito) e realizadas sessões diárias, de aproximadamente 30 minutos de duração. Inicialmente, todos participantes foram expostos a um pré-teste geral (Figura 2). Na sequência era realizada a Fase I, com o uso dos sinais na modalidade figura (conjunto A) para o Grupo F e na modalidade vídeo (conjunto A’), para o Grupo V. Esta fase utilizava um subconjunto de três sinais e era estruturada em uma sequência de passos de treino, sonda, treino, sonda e teste de equivalência. Concluído o teste de equivalência, essa mesma sequência de passos se repetia nas Fases II e III, com os respectivos subconjuntos de três estímulos de cada uma. Terminada a Fase III era então realizado um treino misto, seguido de um pós-teste de equivalência e de sinalização expressiva. A seguir descrevem-se estes passos detalhadamente.

Pré-Teste
Inicialmente, todos participantes, dos dois grupos, foram solicitados a emitir um sinal em LIBRAS (D) que julgassem corresponder às nove palavras da língua portuguesa (Conjunto B). Posteriormente, foram sequencialmente expostos a uma tentativa (e.g. A1B1, A2B2, A3B3, A4B4, A5B5, A6B6, A7B7, A8B8, A9B9) de cada relação condicional a ser ensinada nas condições de treino (AB, AC, A’B, A’C, BC e CB), totalizando nove tentativas de cada relação e 54 tentativas ao todo. Participantes com percentual geral de acerto inferior a 30% no pré-teste foram selecionados para participar da pesquisa. Respostas certas ou erradas não eram consequenciadas. Nas tentativas nas quais os estímulos modelo eram os sinais na forma de vídeo (A’B e A’C), era apresentado um quadrado da cor azul, medindo 4 x 4,3 centímetros, na parte superior central da tela do notebook e, na tela do desktop, era apresentado o vídeo do sinal. Ao término do vídeo, o participante deveria clicar no quadrado azul no notebook, o que produzia o aparecimento de três estímulos de escolha na parte inferior da tela, alinhados à esquerda, centro e direita. Nas demais tentativas (AB, AC, BC e CB) o estímulo modelo era apresentado na parte superior central da tela do notebook e três outros na parte inferior (para os testes AB, AC, BC e CB). Esta forma de apresentação e disposição dos estímulos se manteve nas condições de treino envolvendo o procedimento de MTS (Treinos AB, A’B, AC, A’C).
Treino das Relações Condicionais AB, A’B, AC, A’C
Inicialmente foi realizado o treino das relações condicionais entre os sinais e palavras em português (AB para o Grupo F e A’B para o Grupo V) com o procedimento de MTS. Os participantes eram expostos a no mínimo dois blocos de nove tentativas cada, sendo exigido 100% de acerto no segundo bloco. Cada bloco era composto por três tentativas de cada relação (A1B1, A2B2 e A3B3, para o Grupo F e A’1B1, A’2B2 e A’3B3, para o Grupo V) de modo a garantir o balanceamento das três diferentes posições (esquerda, centro e direita) dos estímulos de escolha para cada sinal apresentado como modelo. Os estímulos modelo eram apresentados em diferentes sequências a cada bloco. Os blocos eram repetidos até que o critério de acerto especificado fosse alcançado. Respostas corretas eram seguidas por um sinal de “correto” na cor verde; respostas incorretas eram seguidas por um “X” na cor vermelha.
Após a realização da primeira Sonda de Sinalização Expressiva, descrita a seguir, era realizado o treino das relações entre os sinais e palavras em SignWriting (AC para o Grupo F e A’C, para o Grupo V) da mesma forma e com os mesmos critérios utilizados no Treino AB/A’B.
Sondas de Sinalização Expressiva 1 (AD ou A’D e BD) e 2 (AD ou A’D e CD)
Avaliavam se a resposta de emitir sinais estaria sob controle da classe de estímulos (A, A, B e C). Era avaliada a emissão dos sinais (códices) diante das palavras impressas em português (BD), das palavras em SignWriting (CD), e emissão de sinais (miméticos) diante dos vídeos (A’D, exclusivamente para o Grupo V) ou das figuras de sinais (AD, exclusivamente para o Grupo F). Na Sonda de Sinalização Expressiva 1 cada sinal (na modalidade figura, para o Grupo F, ou em vídeo, para o Grupo V) era apresentado uma única vez no centro da tela do computador e era solicitado ao participante que o repetisse. Sequencialmente, as palavras escritas em português eram apresentadas, uma a uma no centro da tela, e era solicitada a emissão do sinal correspondente. Não havia critério de aprendizagem nem consequenciação das respostas corretas ou incorretas.
A sonda de Sinalização Expressiva 2 era realizada de modo semelhante, inicialmente eram apresentados os sinais (AD ou A’D), um a um, com a solicitação de que fossem repetidos. Na sequência eram apresentadas as palavras em SignWriting.
Teste de Equivalência BC/CB
Ao término de cada fase experimental, todos os participantes eram expostos ao teste de equivalência com os subconjuntos de estímulos B e C da respectiva fase. O teste foi composto por um único bloco de 18 tentativas, nove delas das relações BC e as outras nove das relações CB. Cada palavra em português (B) ou em SignWriting (C) era apresentada três vezes como modelo. Os estímulos de comparação corretos apareciam nas três posições possíveis (esquerda, centro e direita). As respostas dos participantes não eram consequenciadas nem havia critério de acerto.
Treino Misto
Foram novamente realizados os treinos AB e AC (para o Grupo F) e A’B e A’C (para o Grupo V). Todos os subconjuntos de estímulos utilizados em cada uma das três Fases experimentais, foram utilizados conjuntamente. Respostas corretas e incorretas eram consequenciadas como nos treinos anteriores. Essa tarefa foi dividida em dois blocos com nove tentativas cada, sendo que no primeiro bloco havia cinco tentativas para as relações AB/A’B e quatro para as relações AC ou A’C e no segundo bloco, quatro tentativas AB/A’B e cinco AC/A’C, totalizando nove tentativas para cada relação. No primeiro bloco não havia critério de acertos, entretanto no segundo bloco o participante deveria alcançar 100% de acerto, caso contrário o segundo bloco era repetido até que esse critério fosse alcançado.
Pós-teste de Equivalência e de Sinalização Expressiva
Essa condição experimental foi idêntica para os participantes dos dois grupos. Iniciava com o teste de equivalência (BC/CB) com os nove estímulos utilizados nas três fases. O teste foi composto por 18 tentativas: nove das relações BC e nove nas relações CB, sem consequência programada para respostas corretas ou incorretas. Finalizado o pós-teste de equivalência, foi iniciado o pós-teste de sinalização expressiva com os nove estímulos dos conjuntos A ou A’, B e C. Primeiramente, foram apresentados os sinais na modalidade figura (A), para o Grupo F, ou em vídeo (A’), para o Grupo V, e solicitado que o participante fizesse o sinal como na figura (AD) ou vídeo (A’D). Na sequência, as palavras em português (B), seguidas das palavras corretas (S+) em SignWriting (C), foram apresentadas, uma a uma, com a solicitação de que o participante emitisse o sinal correspondente às mesmas.
Procedimento de análise dos resultados
Os dados relativos às respostas receptivas (AB/A’B, AC/A’C, BC e CB) foram registrados e computados pelo software Contingência Programada e analisados em termos de percentual de acerto.
Para análise das respostas expressivas, duas pessoas, sendo uma delas intérprete graduada em LIBRAS6, assistiram às gravações das sessões e avaliaram cada resposta de cada participante, com percentual médio de acordo entre observadores de 90%. As respostas de sinalização foram julgadas a partir dos quatro parâmetros da LIBRAS: configuração de mão, movimento, direcionalidade e ponto de articulação (Felipe, 2006). Para cada parâmetro executado de maneira correta, foi atribuído um valor igual a 25%. A execução do sinal foi considerada correta caso o participante alcançasse 100% de acerto, o que corresponde à realização correta de todos os parâmetros avaliados. Percentuais de acertos inferiores a este, entre 25% e 75%, indicam correção de um a três dos parâmetros avaliados, respectivamente.
RESULTADOS
A coleta de dados teve duração de 11 dias. A Figura 3 apresenta os dados do pré-teste e treinos AB/A’B e AC/A’C. Para todos os participantes os percentuais de acerto no pré-teste foram mais baixos que nos treinos, sendo que o desempenho dos participantes do Grupo V, especialmente no pré-teste AB, foi superior ao dos participantes do Grupo F. Durante os treinos, na Fase I, todos os participantes precisaram de mais de dois blocos de tentativas para alcançar o critério de 100% de acertos, seja no treino AB/A’B (participantes F1, F3 e V3), AC/A’C (par ticipantes V1 e V2) ou ambos (participante F2). Nas Fases II e III todos os participantes atin giram o percentual de 100% de acerto com a exposição ao número mínimo de blocos (dois).

Nos testes de equivalência (Figura 4) os percentuais de acerto no pré-teste variaram de 50% a 72%. No pós-teste de equivalência todos os participantes apresentaram percentuais superiores a 94% de acerto. Este percentual se repetiu nos testes de equivalência de cada fase para os participantes do Grupo V e para F1. Dois participantes do Grupo F (F2 e F3) apresentaram percentuais inferiores a 80% nos testes da Fase I (F2) e III (F3).

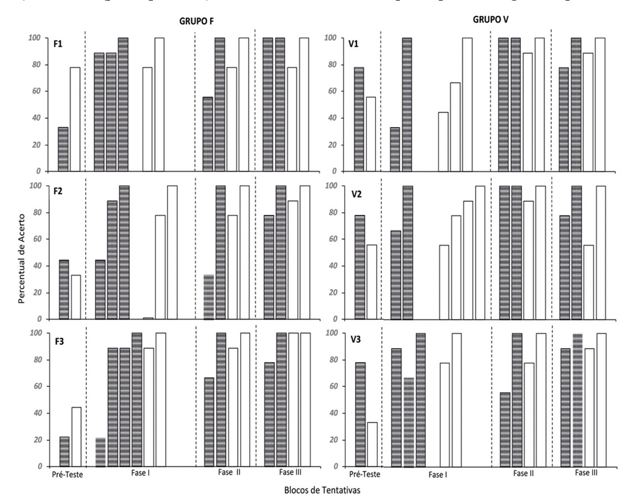
As Figuras 5 e 6 apresentam a porcentagem de acertos nas sondas de sinalização expressiva 1 e 2 (S1 e S2) de cada fase experimental e do pós-teste, considerando a análise dos quatro parâmetros da LIBRAS. A Figura 5 apresenta os percentuais de acerto das respostas de sinalização expressiva (mimético) diante dos sinais na modalidade figura (AD), para o Grupo F, e em vídeo (A’D), para o Grupo V. Os participantes do Grupo V tiveram percentuais de acerto mais altos que os do Grupo F; apenas o participante V2, daquele grupo, apresentou percentuais inferiores a 100% diante do sinal em vídeo correspondente à palavra meia nas sondas 1 (S1) e 2 (S2). Os participantes do Grupo F emitiram corretamente os sinais para 4 a 6 figuras diferentes.

O painel à esquerda da Figura 6 apresenta os percentuais de acerto nas respostas de sinalização (códice) diante das palavras escritas em português e o da direita, das palavras escritas em SignWriting. Observa-se que todos os participantes do Grupo V emitiram o sinal corretamente diante de pelo menos oito das nove palavras escritas em português e em SignWriting. O participante V1 emitiu a sinalização correta diante de todas as nove palavras (em português e em SignWriting). O participante V2 apresentou 75% de acerto (correspondente a emissão correta de três dos quatro parâmetros da LIBRAS) na emissão da resposta de sinalização expressiva diante da palavra meia, escrita em português (BD) na Sonda 1 (S1) e, na Sonda 2 (S2) e Pós-Teste (PT) diante da mesma palavra escrita em SignWriting (CD). O participante V3 também apresentou 75% de acerto diante da palavra idade, escrita em SignWriting, na Sonda 2 (S2). Dentre os participantes do Grupo F a variabilidade é maior, com maior número de acertos (100%) na sinalização sob controle das palavras em português que sob controle das palavras em SignWriting.

DISCUSSÃO
O presente estudo deu sequência a investigações relativas ao ensino da língua de sinais com o uso do procedimento de MTS e instruções baseadas em equivalência. Pretendeu-se verificar se do ensino de discriminações condicionais entre sinais da LIBRAS e sua representação gráfica e entre sinais da LIBRAS e palavras impressas, emergiriam relações de equivalência entre SignWriting e palavra impressa. As relações ensinadas (AB, AC, A’B e A’C), baseadas em seleção, foram aprendidas por todos os participantes (Figura 3) com pouco ou nenhum erro, indicando a eficácia deste procedimento para o estabelecimento de relações condicionais envolvendo sinais em LIBRAS e outros estímulos, replicando resultados de estudos anteriores (e.g. Elias et al., 2008;Osborne & Gatch, 1989; Ribeiro et al., 2010; Santos & Almeida-Verdu, 2012).
Um objetivo adicional foi verificar se o uso de sinais visuais de diferentes modalidades (figura e vídeo) afetaria diferencialmente a aprendizagem das relações diretamente ensinadas e das emergentes, sejam elas baseadas em seleção, sejam baseadas em topografia. Não foram observadas diferenças na aprendizagem de discriminações condicionais considerando as duas modalidades de estímulos (figura e vídeo). Deve-se, considerar, contudo, que outras variáveis podem ter contribuído para estes resultados: o fato das diferentes modalidades de estímulos (figura e vídeo) envolverem a mesma modalidade sensorial (visual), os cuidados adicionais no planejamento dos treinos (divisão em fases, uso de poucos estímulos por fase) voltados para a minimização de erros (Melo, Hanna, & Carmo, 2014) e as características dos participantes (estudantes universitários).
A aprendizagem de duas relações condicionais envolvendo os sinais em LIBRAS, seja na forma de figura ou de vídeo, e as palavras em português (relação AB/A’B) e em SignWri ting (relação AC/A’C) foi suficiente para que novas relações (BC/CB) emergissem (Figura 4). Os altos percentuais de acerto nos testes BC/CB indicam a formação de nove classes equivalentes compostas pelo sinal, palavra em português e em SignWriting para todos participantes. Estes resultados explicitam o caráter generativo dos procedimentos de ensino utilizados e se assemelham a um amplo conjunto de evidências a respeito do fenômeno de equivalência, envolvendo diferentes tipos de estímulos, tais como números (e.g. Haegele, McComas, Dixon, & Burns, 2011) e palavras (e.g. de Rose, de Souza, & Hanna, 1996), bem como diferentes populações, como crianças com Transtorno do Espectro do Autismo (e.g. Yorlets, Maguire, King, & Breault, 2018), com deficiência auditiva (e.g. Elias & Goyos, 2013) e com desenvolvimento típico (e.g. Sidman & Tailby, 1972).
Além da emergência de respostas receptivas (baseadas na seleção de estímulos), respostas expressivas de emitir os sinais (baseadas na topografia) controladas pelas classes de estímulos A, A’, B e C emergiram para ambos os grupos. Os participantes foram capazes de emitir sinais diante das figuras de LIBRAS e vídeos (miméticos) e diante de palavras em português e SignWriting (códices) (Figuras 5 e 6). Esses resultados corroboram os de estudos anteriores, os quais também relatam a emergência de códices (e.g. Elias et al., 2008; Elias e Goyos, 2013, 2015; Ribeiro et al., 2010; Santos e Almeida-Verdu, 2012), semelhantes aos aqui observados – sinalização diante das palavras em português (BD) e em SignWriting (CD). A emergência de miméticos (AD/A’D) avança em relação a outros estudos; Elias e Goyos (2013) ensinaram miméticos diante de vídeos de sinais antes de expor os participantes a treinos de discriminação condicional e como resposta de observação nestes treinos, no entanto miméticos emergentes e, tampouco sob controle das figuras, não foram estudados.
Pode-se afirmar, ainda, que o treino com uso do vídeo foi mais eficaz que o treino com as figuras, uma vez que acertos integrais dos parâmetros da libras (100%) foram mais frequentes com o Grupo V que com o Grupo F, em todas as avaliações de respostas expressivas emergentes (AD, A’D, BD e CD). Acredita-se que estas diferenças tenham relação com o fato dos vídeos ilustrarem os parâmetros dos sinais (movimento, configuração de mão, ponto articulatório e direção) de maneira mais precisa (Elias & Goyos, 2015).
De modo geral, o percentual de acerto das respostas expressivas (Figuras 3 e 4) foi inferior ao das receptivas, o que se assemelha aos dados de pesquisas sobre leitura com uso do procedimento de MTS, nas quais percentuais superiores de acerto são observados em leitura receptiva, comparativamente à leitura oral, expressiva (e.g. de Souza, de Rose, Faleiros, Bortoloti, Hanna, & McIlvane, 2009).
Este estudo produz evidência adicional relativa à emergência de repertórios expressivos, a partir de treinos receptivos, com o uso de sinais da LIBRAS. De maneira análoga, estudos com participantes com deficiência auditiva reabilitada pelo uso do implante coclear, também obtiveram repertórios expressivos, todavia especificamente de leitura e tato, a partir do ensino de repertórios receptivos em um programa de ensino baseado em equivalência (Lucchesi, Almeida- Verdu, Buffa, & Bevilacqua, 2015; Lucchesi, Almeida Verdu, & de Souza, 2018). Dizse, nesses estudos, que o controle preciso adquirido pelas palavras e suas unidades menores (sílabas) foram transferidos para as figuras. Após o ensino baseado em equivalência envolvendo palavras e sílabas impressa, palavras e sílabas ditadas e figuras, os participantes que não tinham leitura estabelecida e emitiam tato de figuras com pouca precisão, adquiriram a leitura e refinaram a precisão no tato de figuras. No presente estudo, o ensino de relações baseadas em seleção entre sinal impresso, sinal por vídeo, palavras impressas e SignWriting, gerou classes de estímulos definidas por equivalência e essa classe passou a controlar a emissão de sinais mais precisas, sendo a maior precisão observada no treino que adotou vídeo na exibição de sinais da LIBRAS. O presente estudo se diferenciou de anteriores ao utilizar a escrita de sinais – SignWriting como um dos conjuntos de estímulos, e por ter avaliado o efeito de diferentes modalidades de apresentação dos sinais (figura e vídeo), além de ter avaliado as respostas expressivas de sinalização (miméticos) a partir dos quatro parâmetros da LIBRAS. Tais resultados podem indicar estratégias para o planejamento de ensino em contextos nos quais a precisão da resposta gestual, ou seja, a emissão de cada um de seus componentes de modo correto, seja relevante. Considerando-se que o ensino de LIBRAS é obrigatório no Brasil, em nível de graduação, para todos os estudantes de licenciatura, a constatação da efetividade de ensino baseado em equivalência (Fienup, Covey, & Critchfield, 2010) e de efeitos superiores dos vídeos na emissão precisa de sinais aponta possibilidades de ensino com população semelhante à do estudo.
REFERÊNCIAS
Almeida-Verdu, A. C., Caneguim, J. F. C., de Rose, J. C. C. & Bandini, H. H. M. (2012). Recognition of altered segments in Brazilian sign language. Psychology & Neuroscience, 5, 2, 239-245. doi: 10.3922/j.psns.2012.2.15.
Baker, S. D., Lang, R., & O’Reilly, M. (2009). Review of video modeling with students with emotional and behavioral disorders. Education and Treatment of Children, 403-420. doi: 10.1353/etc.0.0065.
Batitucci, L., Batitucci, J., & Hanna, E. S. (2007). Contingência Programada 2.0. Universidade de Brasília. Software.
Capovilla, F. C., Raphael, W. D., & Mauricio, A. C. L. (2015). Dicionário enciclopédico ilustrado trilíngue da língua brasileira de sinais. São Paulo: Edusp.
Charlop, M. H., Schreibman, L., & Tryon, A. S. (1983). Journal of Abnormal Child Psychology, 11(3), 355-366. Learning through observation: The effects of peer modeling on acquisition and generalization in autistic children. doi: 10.1007/BF00914244
Stumpf & Wanderley, 2016
de Rose, J. C. C. (2005). Análise comportamental da aprendizagem de leitura e escrita. Revista Brasileira de Análise do Comportamento, 1, 29-50.
de Rose, J. C., de Souza, D. G., & Hanna, E. S. (1996). Teaching reading and spelling: Exclusion and stimulus equivalence. Journal of Applied Behavior Analysis, 29(4), 451-469. doi: 10.1901/jaba.1996.29-451.
de Souza, D. G., de Rose, J. C., Faleiros, T. C., Bortoloti, R., Hanna, E. S., & McIlvane, W. J. (2009). Teaching generative reading via recombination of minimal textual units: A legacy of verbal behavior to children in Brazil. International Journal of Psychology and Psychological Therapy, 9, 19-44. PMCID: PMC2786216.
Domenicone, C., de Rose, J. C. C., & Huziwara, E. (2007). Equivalência de estímulos em participantes com síndrome de down: Efeitos da utilização de palavras com diferenças múltiplas ou críticas e análise de controle restrito de estímulos. Revista Brasileira de Análise do Comportamento, 3(1), 47-63. doi: 10.18542/rebac.v3i1.823.
Elias, N. C., & Goyos, C. (2013). Mimetic relation as matching-to-sample observing response and the emergence of speaker relations in children with and without hearing impairments. The Psychological Record, 63, 131-140. doi: 10.11133/j.tpr.2013.63.1.010.
Elias, N. C., & Goyos, C. (2015). The effects of teaching sign-video and action-video conditional discriminations in the emergence of symmetry and tacts with children. Behavior Analysis: Research and Practice, 15, 81-89. doi: 10.1037/h0101072.
Elias, N. C., Goyos, C., Saunders, M., & Saunders, R. (2008). Teaching manual signs to adults with mental retardation using matching-to-sample procedures and stimulus equivalence. Analysis of Verbal Behavior, 24, 1-13. doi: 10.1007/BF03393053.
Fienup, D. M., Covey, D. P., & Critchfield, T. (2010). Teaching brain-behavior relations economically with stminulus equivalence technology. Journal of Applied Behavior Analy- sis, 43, 19-33. doi: 10.1901/jaba.2010.43-19.
Felipe, T. A. (2006). Os processos de formação de palavra na Libras. ETD - Educação Temática Digital, 7(2), 200-217. doi: 10.20396/etd.v7i2.803.
Goldin-Meadow, S., McNeill, D., & Singleton, J. (1996). Silence is liberating: Removing the handcuffs on grammatical expression in manual modality. Psychologial Review, 103, 34-55. doi: 10.1006/cogp.
Guess, D. (1969). A functional analysis of receptive language and productive speech: Acquisition of the plural morpheme. Journal of Applied Behavior Analysis, 2, 55-64. doi: 10.1901/jaba.1969.2-55.
Greer, R. D., & Ross, D. E. (2008). Verbal behavior analysis: Inducing and expanding new verbal capabilities in children with language delays. Boston: Allyn & Bacon.
Haegele, K. M., McComas, J. J., Dixon, M., & Burns, M. K. (2011). Using a stimulus equivalence paradigm to teach numerals, English words, and native American words to preschool-age children. Journal of Behavioral Education, 20, 283–296. doi: 10.1007/ s10864-011-9134-9.
Horne, P. J., Hughes, J. C., & Lowe, C. F. (2006). Naming and categorization in young children: IV: Listener behavior training and transfer of function. Journal of the Experimen- tal Analysis of Behavior, 85, 247-273. doi: 10.1901/jeab.2006.125-04.
Horne, P. J., & Lowe, C. F. (1996). On the origins of naming and other symbolic behavior. Journal of the Experimental Analysis of Behavior, 65, 185-241. doi: 10.1901/ jeab.1996.65-185.
Horne, P. J., Lowe, C. F., & Randle, V. R, L. (2004). Naming and categorization in young children: II. Listener behavior training. Journal of the Experimental Analysis of Behavior, 81, 267-288. doi: 10.1901/jeab.2004.81-267.
Hübner, M. M. C., Borloti, E., Almeida, P., & Cruvinel, A. C. C. (2012). Linguagem. (p. 100-115). In M. M. C. Hübner & M. B. Moreira (Orgs.), Temas clássicos da psicologia sob a ótica da análise do comportamento. Rio de Janeiro: Editora Guanabara Koogan.
Lucchesi, F. D. M., Almeida-Verdu, A. C. M., Buffa, M. J. M. B., & Bevilacqua, M. C. (2015). Efeitos de um programa de ensino de leitura sobre a inteligibilidade da fala em crianças usuárias de implante coclear. Psicologia: Reflexão e Crítica, 28(3), 500-510. doi: 10.1590/1678-7153.201528309.
Lucchesi, F. D. M., Almeida-Verdu, A. C. M., de Souza, D. G. (2018). Reading and speech intelligibility of a child with auditory impairment and cochlear implant. Psychology & Neuroscience, 11, 306-316. doi: 10.1037/pne0000139.
Melo, R. M., Carmo, J. S., & Hanna, E. S. (2014). Ensino sem erro e aprendizagem de discriminação. Temas em Psicologia, 22, 207-222. DOI: 10.9788/TP2014.1-16.
Michael, J. L. (1982). Distinguishing between discriminative and motivational functions of stimuli. Journal of the Experimental Analysis of Behavior, 37, 149-155. doi: 10.1901/ jeab.1982.37-149.
Michael, J. L. (1985). Two kinds of verbal behavior plus a possible third. The Analysis of Verbal Behavior, 3, 1-4. PMCID: PMC2748478.
Miguel, C. F., Petursdottir, A. I., & Carr, J. E. (2005). The effects of multiple-tact and receptive-discrimination training on the acquisition of intraverbal behavior. The Analysis of Verbal Behavior, 21, 27-41. doi: 10.1007/BF03393008.
Osborne J. G, Gatch M. B. (1989). Stimulus equivalence and receptive reading by hearing impaired preschool children. Language, Speech and Hearing Services in Schools, 20, 63-75. doi: 10.1044/0161-1461.2001.63.
Passos, M. L. R. F. (2003). A análise funcional do comportamento verbal em verbal behavior (1957) de B. F. Skinner. Revista Brasileira de Terapia Comportamental e Cognitiva, 5(2), 195-213. doi: 10.31505/rbtcc.v5i2.81.
Qi, C. H., Barton, E. E., Collier, M., & Lin, Y. L. (2018). A Systematic Review of Single-Case Research Studies on Using Video Modeling Interventions to Improve Social Communication Skills for Individuals With Autism Spectrum Disorder. Focus on Autism and Other Developmental Disabilities, 33(4), 249-257. doi: 10.1177/1088357617741282
Ribeiro, D. M., Elias, N. C., Goyos, C., & Miguel, C. (2010). The effects of listener training on the emergence of tact and mand signs by individuals with intellectual disabilities. The Analysis of Verbal Behavior, 26, 65-72. doi: 10.1007/BF03393084.
Santos, S. L. R., & Almeida-Verdu, A. C. M. (2012). Leitura em uma criança surda após equivalência de estímulos. Psicologia em Revista, 18, 209-226. doi: 10.5752/P.16789563.2012v18n2p209.
Sidman, M. (2009). Equivalence relations and behavior: An introductory tutorial. The Analysis of Verbal Behavior, 25, 5-17. PMCID: PMC2779070
Sidman, M. & Tailby, W. (1972). Conditional discrimination vs. matching to sample: An expansion of the testing paradigm. Journal of the Experimental Analysis of Behavior, 37, 5-22. doi: 10.1901/jeab.1982.37-5.
Skinner, B. F. (1978). O comportamento verbal. São Paulo: Cultrix. (Trabalho original publicado em 1957).
Stumpf, M. R., & Wanderley, D. C. (2016). Quem fala português, escreve português. Quem fala inglês, escreve inglês. Os surdos: Em que língua escrevem? Revista Letras Raras, 5, 93-107.
Sundberg, C. T. & Sundberg, M. L. (1990). Comparing topography-based verbal behavior with stimulus selection-based verbal behavior. The Analysis of Verbal Behavior, 8, 31- 41. doi: 10.1007/BF03392845.
Vargas, E. A. (1982). Intraverbal behavior: The codic, duplic, and squelic subtipes. The Analysis of Verbal Behavior, 1, 5-7. PMCID: PMC2748434
Yorlets, C.B., Maguire, R.W., King, C.M. et al. (2018). Acquisition of complex conditional discriminations in a child with autism spectrum disorder. The Psychological Record, 68, 219-229. doi: 10.1007/s40732-018-0283-2.
Notas