
Recepción: 23 Agosto 2020
Aprobación: 02 Abril 2021
Resumo: O presente trabalho investigou o efeito da competição sobre a correspondência verbal ao solicitar três crianças, de 10 e 12 anos a relatarem seu desempenho em tarefas de matemática na presença e na ausência de um contexto competitivo. A cada tentativa, os participantes realizavam uma operação matemática e relatavam tê-la acertado ou não. Nas condições de linha de base, os relatos não eram consequenciados. As condições de reforçamento de relatos de acerto ocorreram com e sem o contexto competitivo, no qual as crianças eram informadas do desempenho de oponentes. Foram aplicados treinos de correspondência, onde apenas relatos acurados eram reforçados com e sem contexto competitivo. A acurácia dos relatos foi alta nas linhas de base para dois participantes, a qual foi enfraquecida nas condições de reforçamento de relatos de acerto, principalmente diante do contexto competitivo. A acurácia de seus relatos foi restabelecida nos treinos de correspondência, principalmente no contexto competitivo. A acurácia dos relatos de erro do outro participante foi enfraquecida no reforçamento de relatos de erro, porém, não foi restabelecida nos treinos de correspondência. Os resultados dão suporte à suposição de que a competição pode ser uma variável de controle na correspondência verbal de crianças em tarefas acadêmicas.
Palavras-chave: comportamento verbal, correspondência verbal, correspondência fazer-dizer, competição.
Abstract: Verbal correspondence has been investigated in different ways, with reports of performance in academic tasks or in computer games being an experimental situation frequently used. Competition has been identified as a type of social relationship that has the potential to affect behavior, more specifically, the reports correspondence that can change the likelihood of victory in competitive contexts. The present work investigated the effect of competitive contexts on the verbal correspondence of performance reports on mathematical tasks in three neurotypic children aged between 10 and 12 years. Their reports, sometimes occurred in the face of a competitive context, sometimes in the absence of a competitive context. At each try, participants performed a mathematical operation and then reported if they hit or miss this mathematical operation by clicking on colored rectangles. The experiment was composed of five experimental conditions. Participants went through a baseline in which the reports were not differentially reinforced. Then, the participants were submitted to the reinforcement conditions of hit reports in which only hit reports produced points. These two conditions occurred in the presence and absence of the competitive context, in which children were informed about performance of alleged opponents after every three attempts. Correspondence training was applied, where only accurate reports were reinforced with and without the competitive context. Finally, a new baseline condition without differential reinforcement was applied to the reports. The accuracy of the reports was high in the baselines for two participants, which was weakened in the conditions of reinforcement of hit reports, especially in the competitive context. The accuracy of his reports was restored in correspondence training, approaching 100%, mainly in the competitive context. The accuracy of the other participant’s error reports was weakened in reinforcing error reports; however, it was not reestablished in correspondence training. The competitive context, for this participant, apparently had the opposite effect to that observed in the other two participants. The results support the assumption that competition can be a control variable in the verbal correspondence of children in academic tasks, probably because it changes the reinforcing value of the programmed consequences of the experiment. Further studies are needed to investigate the function of competition over behavior.
Keywords: verbal behavior, verbal correspondence, correspondence do-say, competition.
De acordo com Medeiros e Córdova (2016), a correspondência verbal é “a relação de controle entre uma resposta verbal ou não verbal emitida por um falante e o comportamento verbal de relatá-la” (p.223). A correspondência verbal tem sido um dos processos comportamentais investigados em pesquisas sobre o comportamento verbal, operante estabelecido e mantido pelos efeitos que produz no comportamento de outras pessoas pertencentes a uma mesma comunidade verbal (Skinner, 1957). Considera-se que há correspondência verbal, de acordo LIoyd (2002), quano uma resposta verbal relata acuradamente um comportamento anterior ou quando um comportamento futuro ocorre de acordo com o seu anúncio verbal prévio.
Na clínica, como exemplo de campos de atuação do psicólogo, a correspondência verbal é um aspecto particularmente relevante, já que a terapia ocorre, em peso, por meio dos comportamentos verbais de terapeuta e cliente (Banaco, 1999; de Rose, 2001; Medeiros, 2002; Medeiros & Medeiros, 2018; Pergher, 2002). Com exceção dos comportamentos observados diretamente na sessão, o terapeuta apenas tem acesso aos relatos que o cliente faz de sua vida atual, de sua história e de seus eventos privados (Medeiros & Medeiros, 2018). Ou seja, a análise do terapeuta depende da correspondência entre os relatos do cliente e os eventos relatados, com o risco de os relatos não serem correspondentes (Medeiros & Córdova, 2016).
Existem três principais classificações de correspondência verbal: (a) a correspondência dizer-fazer; (b) a correspondência fazer-dizer e (c) a correspondência dizer-fazer-dizer (Beckert, 2005; Medeiros & Córdova, 2018). No presente trabalho, será investigada a correspondência fazer-dizer, na qual é avaliado se o que está sendo relatado é correspondente ao que realmente foi feito. Muitos estudos acerca da correspondência fazer-dizer investigam o que irá controlar a correspondência, ou seja, procuram descobrir quais são os aspectos do ambiente influenciam a acurácia dos relatos verbais (cf. Antunes & Medeiros, 2016; Brino & de Rose, 2006; Brito, Medeiros, Medeiros, Antunes, & Souza, 2014; Critchfield & Perone, 1990; 1993; Mazzoca, & Cortez, 2019; Medeiros & Demoly, 2019; Oliveira, Cortez & de Rose, 2016; Ribeiro, 1989).
O estudo de Ribeiro (1989) investigou os efeitos do reforçamento do conteúdo de verbalizações de oito crianças de três a cinco anos de idade acerca do comportamento de brincar. O estudo contou com cinco condições experimentais nas quais era avaliada a correspondência do relato de brincar com um conjunto de até três de seis brinquedos.
Na fase de Linha de Base, a criança relatava o que havia feito ao experimentador, que não comentava sobre seu conteúdo, e em troca lhe dava uma ficha, que poderia ser trocada por uma fruta desidratada, um biscoitinho ou um doce. Na fase de Reforçamento Individual do Relato de Brincar, o reforçamento ocorria mediante ao relato afirmativo de brincar. Cada relato de brincar produzia uma ficha e os relatos de não brincar não eram consequenciados. Na fase de Reforçamento do Relato de Brincar em Grupo, as contingências de reforçamento da fase anterior foram mantidas, mas os relatos ocorriam em grupos de crianças do mesmo gênero. No Reforçamento de Correspondência em Grupo, o reforçamento ocorria de modo contingente a relatos correspondentes de brincar e não brincar. Por último, na fase de Reforçamento Não-Contingente, cada criança recebeu seis fichas antes de relatar.
Os resultados apresentaram um alto nível de correspondência durante a Linha de Base para todas as crianças. Nas fases de Reforçamento do Relato de Brincar, tanto individual quanto em grupo, houve um aumento na frequência dos relatos não correspondentes para a maioria dos participantes. Com a introdução da fase de Reforço de Correspondência em Grupo, os participantes voltaram a relatar de forma correspondente, chegando . total correspondência, que foi mantida fase final de Reforço Não Contingente. Ribeiro (1989) concluiu que as consequências afetaram a correspondência verbal tanto quando eram contingentes . topografia de relatos específicos quanto quando se treinava a correspondência, e que o controle por regras e pelo modelo (i.e., comportamento das demais crianças) também afetou a correspondência verbal dos participantes.
O estudo de Gomes, Kawakami, Pereira e Fidalgo (2018) replicou o experimento de Ribeiro (1989), adicionando a investigação acerca de como o controle aversivo afetaria a correspondência verbal. Assim como em Ribeiro (1989), as sessões experimentais eram compostas de um período de brincar e um de relatar. O estudo foi feito com oito crianças divididas em Grupo I e Grupo II. As condições de reforço de relatos de brincar individual e em grupo foram substituídas por punição dos relatos de não brincar, os quais resultavam em perda de fichas. Os treinos de correspondência foram feitos individualmente e em grupo. Para o Grupo I, relatos distorcidos eram negativamente punidos e, para o Grupo II, relatos acurados eram reforçados. Após quatro sessões dos treinos de correspondência em grupo, as contingências em vigor foram descritas aos participantes. O Grupo II passou por uma fase experimental a mais que o Grupo I antes do retorno . Linha de Base, denominada Descrição da Contingência em Vigor Pré e Pós-Relato.
Na Linha de Base, os participantes apresentaram altos índices de correspondência. A punição de relatos de não brincar reduziu a correspondência verbal, principalmente quando essa condição foi conduzida em grupo. O restabelecimento de relatos correspondentes após a punição de relatos de não brincar foi mais demorado que em Ribeiro (1989), tendo sido necessária a emissão de regras acerca das contingências dos treinos de correspondência. A despeito disso, no geral, os resultados de Gomes et al. (2018) sugerem que a punição para relatos específicos e para relatos inacurados nos treinos de correspondência produziram efeitos similares aos dos reforçadores positivos utilizados em Ribeiro (1989) na acurácia dos relatos de brincar.
O estudo de Ferreira, Neves, Simonassi, Andrade e Dias (2014), consistiu numa replicação do estudo de Ribeiro (1989), com foco no comportamento de relatar sobre ingerir alimentos, ao invés do relatar sobre o brincar. Loovas (1964) e Baer, Blount, Detrich e Stokes (1987) já haviam investigado a correspondência verbal quanto ao comportamento de ingerir alimentos, porém, na sequência dizer-fazer. Os resultados de Ferreira et al. (2014)não replicara os de Ribeiro (1989) e de Gomes et al. (2018), uma vez que a correspondência verbal não variou em função das condições experimentais, mantendo-se elevada para todos os participantes. Essa diferença nos resultados dos entre os estudos sugere que o comportamento a ser relatado pode ser uma variável relevante quanto à correspondência verbal.
Jogos de cartas têm sido utilizados como tarefa experimental destinada a investigar a correspondência verbal em adultos e crianças (Antunes & Medeiros, 2016; Brito, Medeiros, Medeiros, Antunes, & Souza 2014; Medeiros & Demoly, 2019; Medeiros, Oliveira, & Silva, 2013; Souza, Guimarães, Antunes & Medeiros, 2014). Diferentemente dos estudos de Ribeiro (1989), Ferreira et al. (2014) e Gomes et al. (2018), os relatos eram feitos acerca de elementos das cartas de baralho. Nesses estudos, os participantes jogavam partidas de um jogo de cartas em que, na maioria das situações, distorcer os relatos das cartas favorecia a vitória nas rodadas e, consequentemente, nas partidas. Algumas variáveis foram investigadas utilizando essa metodologia como, por exemplo, a frequência de checagem (Medeiros et al., 2013), a magnitude da punição para relatos inacurados (Brito et al., 2014) e o tipo de pergunta, se aberta ou fechada (Medeiros & Demoly, 2019; Souza et al., 2014). Outra linha de investigação em correspondência verbal utiliza relatos de desempenho como tarefa experimental, procedimento inicialmente empregado nos estudos clássicos de Critchfield e Perone (1990; 1993). Nesses estudos, os relatos de erros tendem a ser inacurados, isto é, erros são relatados como se fossem acertos (Brino & de Rose, 2006; Cortez, de Rose, & Miguel, 2014; Cortez, Miguel & de Rose, 2017; Domeniconi, Rose, & Perez, 2014; Oliveira, Cortez, & de Rose, 2016).
O estudo de Oliveira et al. (2016), assim como os de Ribeiro (1989) e Gomes et al. (2018), investigou os efeitos do contexto de grupo no auto relato de crianças. Todavia, em Oliveira et al. (2016), as crianças de idades entre cinco e 10 anos deveriam relatar seus desempenhos em um jogo computadorizado no qual deveriam atirar em alvos, clicando no quadrado verde para relatar acertos e, no vermelho, para relatar erros.
Na Linha de Base com Relato para o Experimentador (LB1), as crianças, após 20 tentativas eram informadas de sua pontuação para, em seguida, relatar para o experimentador. Independente do relato, cada criança recebeu um brinde. No Relato em Grupo, foram realizadas três sessões com 20 tentativas e os participantes receberam pontos por cada acerto, porém essa pontuação só era disponibilizada para a criança ao final da sessão. Em seguida, as crianças foram encaminhadas a uma sala onde relataram seus desempenhos para as outras crianças na ausência do experimentador. Após isso, o experimentador retornou à sala sem fazer nenhum questionamento e permitiu que cada criança escolhesse um brinde pela participação na atividade. No retorno à linha de base (LB 2), as contingências foram as mesmas da LB 1. Um Treino de Correspondência foi aplicado apenas nos participantes cuja acurácia dos relatos diminuiu nas demais condições, sendo a pontuação contingente aos relatos correspondentes no jogo.
Oliveira et al. (2016) observaram que, para a maioria dos participantes, os relatos não correspondentes foram mais frequentes quando feitos em grupo. Esse resultado demonstrou o efeito de relatar em grupo sobre a correspondência dos relatos dos participantes, assim como observado em Ribeiro (1989) e Gomes et al. (2018). Um fator discutido por Oliveira et al. (2016) que pode ter favorecido as distorções dos relatos para o grupo foi a possibilidade de que o contexto de relato em grupo tenha favorecido a competição entre os participantes. De acordo com de-Farias (2005) e Schimitt (1986), a competição pode ser definida como a apresentação de reforçadores contingentes ao desempenho de um organismo ou grupo de organismos em detrimento do acesso ao mesmo reforçador por outro (s) organismo (s). Com base nessa definição, não houve competição de fato nos estudos descritos
apenas pelos relatos serem feitos em grupo.
Já o estudo de Mazzoca e Cortez (2018) investigou sistematicamente o efeito da presença e a ausência de competição sobre a correspondências verbal utilizando a mesma tarefa do estudo Oliveira et al. (2016). Participaram do estudo seis crianças neurotípicas de sete a nove anos de idade. Na fase Linha de Base, os participantes recebiam pontos somente em casos de acerto, independentemente de seu relato ser correspondente ou não. Os pontos eram apresentados durante cinco segundos somente ao final das sessões e, após isso, o experimentador poderia entrar na sala e perguntar sobre a quantidade de pontos obtidos. Independente da acurácia do relato, a criança recebia um brinde pela participação. Na fase Contingência de Competição-Desvantagem (CCD), cada participante era informado que estaria em situação de competição, sendo apresentado um placar onde seriam registrados os pontos. Em seguida, o experimentador explicava que para receber um item de alta preferência, seria necessário ganhar do adversário, que iniciava a sessão com cinco pontos a mais do que a média obtida pelo participante em LB. No final da sessão, o experimentador perguntava ao participante sua pontuação, caso a pontuação relatada fosse maior que a do adversário, ele poderia retirar um item de alta preferência, caso fosse menor, ele receberia um item de baixa preferência. Na última fase, Contingência de Competição-Vantagem (CCV), as contingências da fase anterior se mantiveram as mesmas, com exceção da pontuação do adversário que foi estabelecida cinco pontos abaixo da média do participante.
Os resultados indicaram que a introdução das condições de competição alterou os padrões de correspondência de relatos de erros para três dos seis participantes. Para apenas um dos participantes, a introdução das contingências de competição diminuiu a correspondência de relatos de erros ao longo das tentativas. Para os demais, os efeitos foram apenas sobre o relato total de pontos para o experimentador. Sendo que, para um deles, a CCV foi acompanhada de aumento na correspondência de relatos de erros.
Com exceção do estudo Mazzoca e Cortez (2019), os demais estudos sobre correspondência avaliaram apenas o efeito de relatar individualmente e em grupo, e não o efeito da presença e ausência de competição explicitada por instruções e pela introdução de um placar. Apenas houve competição, de acordo com a definição de de-Farias (2005) e Schimitt (1986), nos estudos que utilizaram o jogo de cartas, mas, ainda assim, esses não manipularam condições onde havia competição e onde não havia. Ao mesmo tempo, o estudo de Mazzoca e Cortez (2019) utilizou um jogo que, tradicionalmente é associado à competição. É possível presumir que tarefas acadêmicas também possam suscitar a competição, sendo pertinente verificar se o contexto competitivo também teria efeitos na correspondência verbal do relato de desempenho em tarefas acadêmicas.
No presente estudo, foi investigado o efeito da competição sobre a acurácia dos relatos de acertos e erros na resolução de operações matemáticas, sendo os participantes expostos às condições nas quais relatavam seu desempenho sem e com competição. Ao longo das tentativas nas condições com competição, cada participante era informado de sua pontuação e da pontuação de personagens fictícios, sendo esses pontos ora contingentes a relatos de acertos, ora contingentes . acurácia dos relatos. Dessa forma, objetivou-se investigar se a presença e a ausência de competição (Variável independente principal) em reforçamento de relatos específicos e de treino de correspondência afetaria a correspondência verbal em relatos de desempenho (Variável dependente). Diferentemente do estudo de Mazzoca e Cortez (2019), neste estudo, o desempenho a ser relatado é o de resolver operações matemáticas e não o de tiro ao alvo.
MÉTODO
Participantes
Participaram da pesquisa três crianças entre 10 e 12 anos, duas do gênero masculino e uma do gênero feminino, do Ensino Fundamental de uma escola pública do Distrito Federal. Os alunos de uma turma foram indicados aleatoriamente pela professora para participar da pesquisa. Para aqueles que aceitaram o convite e para os pais que consentiram a participação, foram apresentados os Termos de Assentimento e os Termos de Consentimento Livre e Esclarecido – TCLE para serem assinados.
Local
O procedimento foi realizado em uma sala cedida pela escola, de dimensões 8 x 7 metros quadrados, com iluminação artificial, uma janela e isolamento acústico. A sala era equipada com duas cadeiras, uma mesa com dimensões de 1 x 0,8 m e um armário de metal.
Materiais e Instrumentos
Foram utilizados dois notebooks, um deles contendo uma apresentação de slides do PowerPoint destinada à manipulação da contingência e coleta das respostas dos participantes. O outro notebook foi utilizado pela pesquisadora, servindo para acompanhar os comportamentos dos participantes em tempo real. Foram utilizados também dois aparelhos de celular, um para o pesquisador atualizar o placar dos participantes e o outro para os participantes receberem essa atualização. Todo esse acompanhamento foi realizado por meio do aplicativo TeamViewer, presente nos computadores do experimentador e dos participantes e, as atualizações dos placares, foram feitas nos dois celulares por meio do aplicativo WhatsApp.
Procedimento
Após a assinatura do Termo de Consentimento Livre e Esclarecido pelos pais ou responsáveis e do Termo de Assentimento pela criança, a pesquisadora direcionou um participante por vez até a sala escolhida.
Foi explicado aos participantes que o jogo de perguntas seria realizado no computador e que seria composto por diversas questões de múltipla escolha de matemática nas quais eles deveriam selecionar a resposta que mais considerassem adequada e, a cada questão resolvida, deveriam responder se acreditavam que sua resposta estava correta ou incorreta. Também foi dada a orientação de que se cada questão não fosse respondida em 40 segundos, ela seria considerada incorreta e seria apresentada a questão seguinte.
Este experimento foi executado em dois dias, sendo composto por seis condições experimentais realizadas na seguinte sequência (Tabela 1): Linha de Base 1 (LB1), Reforço de Verbalização Específica (RVe), Reforço de Verbalização com Competição (RVc), Treino de Correspondência (TC), Treino de Correspondência com Competição (TCc) e Linha de Base 2 (LB2). No primeiro dia, foram realizadas as três primeiras condições experimentais e, no segundo dia, as últimas três para todos os participantes.
Em todas as condições experimentais, foram exibidas questões referentes à disciplina básica de matemática apresentada nas escolas e cada participante teve o tempo máximo de 40 segundos para responder cada questão. Na condição experimental, Linha de Base 1 (LB1), foram apresentadas 10 questões.

As questões eram apresentadas na tela do computador. Na parte de cima da tela centralizada horizontalmente estava a operação matemática grafada em Times New Romans tamanho 28 na cor preta (e.g., 12 x 20=?), com quatro alternativas de respostas apresentadas abaixo de modo vertical (e.g., a. 120; b. 640; c. 240; d. 64; e. 6). Cada criança tinha 40 segundos para selecionar uma das cinco opções de resposta apresentadas a ela na tela. O clique em qualquer das opções avançava para a tela de relato. Caso o participante não respondesse em 40 segundos, seria considerado um erro e o programa avançaria automaticamente para a tela de relato.
Na tela de relato eram apresentadas as palavras “NÃO” e “SIM” grafadas em Times New Roman 36 em vermelho e verde respectivamente. As palavras eram apresentadas centralizadas horizontalmente e verticalmente na tela. Para relatar erros o participante deveria clicar na palavra “NÃO”, escrita em vermelho, e para relatar acertos, deveria clicar na palavra “SIM” escrita em verde. Após a finalização de uma questão, a próxima se iniciava, sem pausas, até a décima questão.
Tanto as telas com questões quanto as telas de relato ficavam em um fundo branco. As telas foram as mesmas em todas as condições experimentais, variando-se apenas as questões, as opções de escolha e as posições relativas das palavras “SIM” e “NÃO” das telas de relato, as quis variavam de modo semirandômico (i.e., não mais do que duas vezes consecutivas ficavam nas mesmas posições relativas).
Após o término da décima questão da LB1, as crianças passavam para condição de Reforço de Verbalização Específica (RVe), que continha 15 questões. Na tarefa de questões de matemática, as telas e o funcionamento das tentativas eram os mesmos da LB1, o que se repetiu em todo o experimento. Na tarefa de relato, toda vez que elas diziam que sua resposta estava correta, de modo correspondente ou não, ganhavam um ponto e toda vez que marcavam que sua resposta estava incorreta nada acontecia, ou seja, o participante não perdia e nem ganhava pontos. Em seguida, era iniciada uma nova tentativa até completarem as 15 tentativas dessa condição.
Com a finalização da RVe, iniciava-se a condição de Reforço de Verbalização com Competição (RVc), cujas contingências e duração eram as mesmas da condição anterior. A cada criança era entregue um celular com o aplicativo Whatsapp aberto em uma conversa para qual era enviado um placar para a criança informando a pontuação dela e de mais três oponentes. Todavia, tais oponentes eram fictícios (Joana, Camila e André), sendo o placar atualizado pela experimentadora com base na programação do protocolo de registros. A cada três tentativas completas (execução de uma questão e relato), a criança recebia uma mensagem da experimentadora com o placar fictício. Em nenhum momento foi apresentada a instrução de que ela estava em uma disputa e que deveria vencer os oponentes. Mas os participantes eram informados de que se tratavam de jogadores reais e que estavam fazendo a mesma tarefa de modo concomitante a eles.
Com a finalização do RVc, a nova condição apresentada foi o Treino de Correspondência (TC). Nessa fase, foram apresentadas mais 15 questões, nas quais os relatos correspondentes de erros e de acertos eram seguidos de adição de pontos. A criança que acertava a resposta da questão apresentada e clicava na palavra “SIM”, ganhava um ponto e, caso clicasse em “NÃO”, nada ocorria. A criança que errava a resposta da questão apresentada e clicava na palavra “NÃO”, ganhava um ponto, mas se clicasse na palavra “SIM”, nenhum ponto era computado.
Em seguida, mais 15 questões foram apresentadas na condição de Treino de Correspondência com Competição (TCc). Nessa fase, as contingências foram as mesmas da condição TC, com a diferença de que nessa etapa, a criança recebia seu placar em comparação as mesmas três crianças fictícias da condição RVc. O placar também era atualizado a cada três tentativas.
Por fim, todas as crianças retornaram à condição linha de base, sendo essa a última fase nomeada como Linha de Base 2 (LB2). Nessa condição foram apresentadas mais dez questões e as mesmas consequências da LB1.
As condições de linha de base foram aplicadas com o objetivo de verificar a correspondência verbal na ausência de intervenções do experimentador, servindo como parâmetro do efeito das manipulações das variáveis independentes nas demais condições experimentais. As principais variáveis independentes (VI’s) do estudo foram a presença e ausência do placar com as pontuações dos participantes fictícios. As VI’s secundárias foram o reforçamento de relatos de acertos, aplicados nas condições RVe e RVc, que tinham como meta, investigar o efeito do reforçamento a relatos específicos sobre a correspondência verbal; e o reforçamento diferencial de relatos correspondentes (TC e TCc), onde foi verificado se o treino de correspondência sem e com competição resultaria no aumento da frequência de relatos correspondentes.
Foram considerados relatos correspondentes os cliques na palavra “SIM” após o acerto na resolução da operação matemática ou na palavra “NÃO” após o erro na resolução da operação matemática. Os relatos não correspondentes consistiram cliques na palavra “SIM” após o erro na resolução da operação matemática e cliques na palavra “NÃO” após acerto na resolução da operação matemática.
RESULTADOS
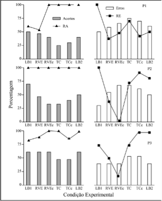
Na Figura 1 é possível observar o percentual de acertos e de relatos correspondentes de acertos (coluna da esquerda) e o percentual erros e de relatos correspondentes de erros (coluna da direita) de todos os participantes em relação às fases experimentais. Observa-se, com base na Figura 1, que os percentuais de acertos das questões dos três participantes foram próximos.

Os participantes P2 e P3 apresentaram um alto nível de correspondência nos relatos de acerto durante todo o experimento. O participante P2 obteve 100% de correspondência de relatos de acertos em todas as fases experimentais. Já o participante P3, apresentou 100% de correspondência em três fases experimentais e, nas outras três fases, a sua porcentagem esteve sempre acima de 80%.
A respeito dos relatos de erros de P2 e P3, em LB1 os dois participantes relataram os erros com alta porcentagem de acurácia. Em contrapartida, durante o RVe, a correspondência de erros sofreu um declínio, diminuindo ainda mais essa porcentagem durante a condição experimental RVc, chegando a 0% para P2.
Durante o Treino de Correspondência, os participantes voltaram a realizar mais relatos correspondentes de erro, diminuindo assim a quantidade de distorções. Por fim, no Treino de Correspondência com Competição e na Linha de Base 2, os relatos correspondentes de erros aumentaram, chegando próximo a porcentagem da primeira fase do experimento (LB1) para o P2 e chegando a 100% de correspondência para P3.
Em relação aos relatos correspondentes de acertos para P1, é possível observar que a porcentagem esteve em torno de 60% nas duas primeiras fases experimentais. A partir de RVc, houve um aumento na frequência de relatos correspondentes de acertos, que permaneceu em 100% ao longo do experimento.
Em relação aos relatos correspondentes de erros, P1 relatou com acurácia 100% dos seus erros na Linha de Base 1. Em seguida, na fase Reforço de Verbalização Específica, houve uma queda na correspondência e a porcentagem se manteve quase a mesma durante a fase RVc. Durante o Treino de Correspondência houve um novo aumento dos relatos correspondentes de erros e uma nova diminuição desses relatos no Treino de Correspondência com Competição. Por fim, na última fase experimental, Linha de Base 2, os relatos correspondentes de erros aumentaram novamente, mas se mantiveram próximos aos níveis da fase anterior.
DISCUSSÃO
O presente trabalho teve como objetivo verificar o efeito de consequências aos relatos de desempenho na resolução de questões de matemática, comparando a acurácia dos relatos em condições com e sem competição. Os resultados, de modo geral, demonstraram tanto os efeitos das consequências aos relatos, como observado em Ribeiro (1989) e Gomes et al. (2018), quanto o efeito do contexto competitivo, conforme reportado por Mazzoca e Cortez (2019) sobre a correspondência verbal. Portanto, os resultados do presente trabalho corroboram a hipótese de que a competição pode se constituir em uma variável independente relevante no controle da correspondência verbal.
Na fase de Linha de Base 1, foi possível observar que os três participantes apresentaram níveis de correspondência acima de 80% para relatos de erros e de acertos, com exceção de P1, que apresentou apenas 60% de correspondência de relatos de acertos nessa condição. Estes resultados replicam os obtidos por Ribeiro (1989) e Gomes et al. (2018), que investigaram a acurácia dos relatos de brincar. Porém, contrariam os resultados das condições de linha de base dos estudos de Brino e de Rose (2006), Cortez et al. (2014), Domeniconi et al. (2014) e Cortez et al. (2017), os quais também investigaram relatos de desempenho e reportaram alta incidência de relatos não correspondentes de erros. Uma possibilidade de explicação para tais resultados inesperados é a diferença no tipo de tarefa acadêmica cujo desempenho seria relatado, uma vez que nestes estudos, utilizou-se relatos de desempenho em tarefas de leitura e nomeação de objetos, ao passo que, no presente estudo, a tarefa era de resolução de operações matemáticas. Todavia, o estudo de Cortez et al. (2014) comparou a correspondência de relatos de desempenho em diferentes tarefas, como leitura, nomeação, resolução de operações matemáticas, entre outras, e observou que seus participantes apresentaram baixa correspondência verbal dos relatos de erros na resolução de operações matemáticas. Para investigar essa questão, o presente trabalho poderia ser replicado utilizando-se outras tarefas, como o estudo de Cortez et al. (2014).
Na fase Reforço de Verbalização Específica observou-se que os três participantes apresentaram uma queda na correspondência de relatos de erros, tendo em vista que pontos eram acrescidos sempre que relatavam um acerto independentemente de terem acertado ou não a questão. Esses resultados corroboram parcialmente os obtidos em Ribeiro (1989) e Gomes et al. (2018), uma vez que, a minoria dos participantes desses estudos passou a relatar o brincar de modo inacurado após a introdução de consequências a relatos específicos correspondentes ou não. Apenas quando essas condições foram implementadas em grupo, observou-se um aumento na incidência de relatos não correspondentes em mais participantes. Como sugerem Beckert (2005) e Medeiros e Córdova (2016), o reforçamento de relatos específicos correspondentes ou não tende a enfraquecer a correspondência verbal, porém, com exceção do presente estudo, esse efeito tem sido reportado mais claramente quando os relatos são feitos em grupo.
A condição de relato em grupo do estudo de Oliveira et al. (2018) também resultou no aumento na frequência de relatos distorcidos de erros para três dos seis participantes do estudo. Aparentemente, os relatos serem feitos em grupo e não apenas para o experimentador se mostra uma variável relevante no controle da correspondência verbal, ainda que, em Ferreira et al. (2014), a incidência de relatos não correspondentes de ingerir alimentos não tenha aumentado na condição de reforçamento do relato de comer em grupo.
Na fase de Reforço de Verbalização Específica com Competição, dois participantes (P1 e P2) apresentaram aumento na frequência de relatos não correspondentes de erro, enquanto P1 apresentou ligeira queda em relação à condição sem competição. Esses resultados corroboram parcialmente os obtidos por Mazzoca e Cortez (2018), uma vez que, em seu estudo, a introdução da competição resul tou em resultados mais variados. Para três dos seis participantes, as condições de competição não afetaram a correspondência em relação à linha de base. Para um deles, houve aumento da frequência dos relatos não correspondentes de erros a cada tentativa e, para outro, esse aumento aconteceu apenas quando o relato era para o experimentador. Para um dos participantes, que também teve a correspondência afetada pela competição, foi observada uma redução da frequência de relatos distorcidos de erros para o experimentador, o que também pôde ser observado em P1 no presente estudo.
Na fase de Treino de Correspondência observou-se que os três participantes do experimento obtiveram um aumento no nível de correspondência dos relatos de erros, o que vai ao encontro dos resultados de Oliveira et al. (2016). Nele, os participantes que passaram pela fase de Treino de Correspondência apresentaram um aumento gradual na frequência de seus relatos correspondentes. Esses resultados também corroboram os de Ribeiro (1989), no qual, com a introdução da fase de Reforço de Correspondência em Grupo, os participantes voltaram a relatar de forma correspondente, chegando a total correspondência. Já no estudo de Gomes et al. (2018), o treino de correspondência não foi tão eficaz em restabelecer a correspondência aos níveis de linha de base, sendo necessária a introdução de descrições das contingências. Os treinos de correspondência dos estudos de Brino e de Rose (2006), Cortez et al. (2014), Domeniconi et al. (2014) e também foram eficazes em restabelecer a correspondência dos relatos de erro em relação à linha de base. Cabe ressaltar, todavia, que nesses estudos, assim como em Oliveira et al. (2018), relatos específicos não foram consequenciados.
Na condição experimental de Treino de Correspondência com Competição, houve aumento na frequência de relatos não correspondentes de P1. Esse resultado também foi observado em Gomes et al. (2018), no qual dois participantes do estudo, durante a fase de Reforçamento da Correspondência Individual, continuaram apresentando relatos não correspondentes de brincar. O aumento gradual observado por Ribeiro (1989) da correspondência dos relatos de brincar durante o reforçamento de correspondência sugere que, se os treinos de correspondência fossem prolongados, provavelmente P1 e os dois participantes do estudo de Gomes et al. (2018) eventualmente passariam a relatar acuradamente. Nos estudos de Cortez et al. (2014), Cortez et al., (2017), Domeniconi et al. (2014) os treinos de correspondência não tinham duração fixa, sendo encerrados apenas quando os participantes atingissem 100% de correspondência em uma mesma sessão, o que acabou acontecendo com todos os participantes de seus estudos.
Em P2 e P3, por sua vez, foi possível observar aumento na porcentagem de relatos correspondentes de erros com a introdução da competição. Não se pode afirmar, todavia, que foi a introdução da competição ou o prolongamento do treino de correspondência a variável que controlou esse aumento na porcentagem de relatos acurados. Em novos estudos, sugere-se o delineamento de linha de base múltipla, em que a competição seja inserida no treino de correspondência em diferentes momentos, como forma de tentar isolar essa variável. O estudo de Mazzoca e Cortez (2019) não realizou treinos de correspondência, não sendo possível comparar os resultados dos dois estudos quanto aos efeitos do treino de correspondência com e sem competição.
Há outras diferenças deste estudo com o de Mazzoca e Cortez (2019) que são dignas de nota. Neste estudo, nas condições de competição, apenas era apresentado um placar e vencer a partida não resultava em consequências diferenciais. Já, de acordo com o engodo do estudo de Mazzoca e Cortez (2019), ao vencer a competição, o participante teria acesso ao item de maior preferência. A despeito disso, o elemento competição teve efeitos sobre as porcentagens de relatos acurados no presente trabalho. Uma possibilidade de explicação para esses resultados talvez seja o aumento no valor reforçador dos pontos obtidos a partir da introdução do placar. Sendo assim, mesmo que neste estudo vencer a competição não resultasse em reforçadores tangíveis, liderar o placar em relação aos supostos oponentes pode ter sido suficiente para estabelecer a função reforçadora dos pontos. Estes resultados estão de acordo com as pesquisas com jogos de cartas (e.g., Antunes & Medeiros, 2016; Brito et al., 2014; Medeiros & Demoly, 2019; Medeiros et al., 2013; Souza et al., 2014), uma vez que a vitória nas partidas não resultava em reforçadores tangíveis e, ainda assim, foi possível verificar o efeito das variáveis manipuladas sobre a correspondência verbal. Estudos com jogos de cartas poderiam ser replicados comparando condições onde os relatos das cartas eram feitos fora do contexto de competição com o jogo de cartas propriamente dito, verificando-se o papel da competição nessa tarefa experimental.
O estudo de Mazzoca e Cortez (2019) contou com condições vantagem e desvantagem, o que não foi manipulado no presente estudo. Os dados variados obtidos por Mazzoca e Cortez (2019) não permitiram verificar o efeito dessa variável. Todavia, é possível supor que, não só estar em vantagem ou desvantagem influencie o modo de se competir, como também o tamanho da vantagem e da desvantagem. Em Brito e Medeiros (no prelo), que utilizou o jogo de cartas no qual os participantes jogavam contra o computador, foi observado que alguns participantes pararam de distorcer quando não podiam ser mais alcançados pelo computador no placar.
No presente estudo, os relatos eram feitos apenas tentativa a tentativa e não após cada sessão, como em Oliveira et al. (2018) e Mazzoca e Cortez (2019). Em ambos os estudos, foram observados níveis de correspondência diferentes quanto aos dois tipos de relato para alguns dos participantes, o que sugere, uma ausência de correspondência entre o fazer e os dois dizeres. Parece razoável supor que os dois relatos estão sob o controle de variáveis distintas e que, apenas um, ou nenhum dos dois está sob o controle do fazer. Novos estudos precisam ser conduzidos para investigar o que controla os dois relatos e se há alguma relação de controle entre eles. O presente trabalho poderia ser replicado com condições experimentais nas quais se coletam relatos durante as tentativas e após cada sessão.
Por fim, na Linha de Base 02, P1 manteve uma porcentagem de relatos correspondentes de erros semelhante .s quatro fases experimentais anteriores, não retornando ao nível de 100% de correspondência alcançado na LB1. Em contrapartida, P2 e P3 alcançaram altas porcentagens de relatos correspondentes de erro, chegando a 100% de correspondência P3, o que replica a maioria dos dados da literatura, nos quais os níveis de correspondência alcançado nos treinos de correspondência se manteve no retorno à linha de base (Cortez et al., 2014; Cortez et al., 2017; Domeniconi et al.,2014; Gomes et al., 2018; Ribeiro, 1989). Entretanto, em Cortez et al. (2017) e Domeniconi et al. (2014), alguns participantes voltaram a apresentar queda na correspondência no retorno à linha de base.
Diferentemente de Ferreira et al. (2014), que não observou variação na correspondência verbal em função das manipulações experimentais, neste trabalho, assim como em Ribeiro (1989) e Gomes et al. (2018), a correspondência verbal variou de acordo com as mudanças das condições experimentais. Uma possibilidade de explicação para a diferença dos resultados foi a diferença nas tarefas experimentais utilizadas por eles. No presente estudo foi investigada a correspondência verbal em tarefas de matemática, o que replicou o estudo de Ribeiro (1989/2005) que investigou a correspondência do relato de brincar. Por outro lado, não replicou os resultados de Ferreira et al. (2014), que investigou a correspondência verbal do relato de comer. Isto sugere que a tarefa se apresentou como um aspecto relevante para a correspondência verbal.
Este trabalho obteve êxito em demonstrar o efeito do contexto competitivo sobre a correspondência verbal no relato de desempenho em tarefas acadêmicas. Tais resultados dão suporte empírico .noção de que o contexto acadêmico tem o potencial de gerar competição. Ao mesmo tempo, a competição se mostra um elemento relevante no controle do comportamento, aparentemente como uma variável motivacional. Ainda são necessários mais estudos para compreender com clareza as funções que a competição pode exercer sobre o comportamento.
REFERÊNCIAS
Antunes, R. A. B., & Medeiros, C. A. (2016). Correspondência verbal em um jogo de cartas com crianças. Acta Comportamentalia, 24, 15-28.
Baer, R. A., Blount, R. L., Detrich, R., & Stokes, T. F. (1987). Using intermit tent reinforcement to program maintenance of verbal/nonverbal correspondence. Journal of Applied Behavior Analysis, 20(2), 179-187. doi: 10.1901/ jaba.1987.20-179
Banaco, R. A. (1999). O acesso a eventos encobertos na prática clínica: Um fim ou um meio? Revista Brasileira de Terapia Comportamental e Cognitiva, 1, 105-118.
Beckert, M. E. (2005). Correspondência verbal/não-verbal: Pesquisa básica e aplicações na clínica. In J. A. Rodrigues, & M. E. Ribeiro (Eds.). Análise do Comportamento: Pesquisa, teoria e aplicação (pp. 229-244). Porto Alegre: Artmed.
Brino, A. L. F., & de Rose, J. C. (2006). Correspondência entre auto-relatos e desempenhos acadêmicos antecedentes em crianças com história de fracasso escolar. Revista Brasileira de Análise do Comportamento, 2, 67-77. doi: 10.18542/rebac.v2i1.803
Brito, R. C. L., & Medeiros, C. A. (no prelo). Efeitos da perda de pontos na correspondência verbal num jogo de cartas. Comportamento em foco, v. 11. São Paulo: ABPMC.
Brito, R. L., Medeiros, C. A., Medeiros, F. H, Antunes, R. A. B., & Souza, L. G. (2014). Efeitos da magnitude da punição na correspondência verbal em situação lúdica. In N. B. Borges, L. F. G. Aureliano, & J. F. Leonardi (Eds.). Comportamento em foco, vol. 4 (pp. 173-188). São Paulo: ABPMC.
Cortez, M. D., de Rose, J. C., & Miguel, C. (2014). The role of correspondence training on children’s self-report accuracy across tasks. The Psychological Record, 64, 393-402. doi: 10.1007/s40732-014-0061-8
Cortez, M. D., Miguel, C. F., & de Rose, J. C. (2017). Efeitos de diferentes tipos de treino de correspondência na manutenção de autorrelatos correspondentes de crianças. Acta Comportamentalia, 25, 511-527.
Critchfield, T. S., & Perone, M. (1990). Verbal self-reports of delayed matching to sample by humans. Journal of the Experimental Analysis of Behavior, 53, 321–344. doi: 10.1901/jeab.1990.53-321
Critchfield, T. S., & Perone, M. (1993). Verbal self-reports about matching to sample: Effects of the number of elements in a compound sample stimulus. Journal of the Experimental Analysis of Behavior, 59, 193–214. doi: 10.1901/ jeab.1993.59-193.
de Rose, J. C. C. (2001). O relato verbal segundo a perspectiva da análise do comportamento: Contribuições conceituais e experimentais. In Banaco, R. A. (Ed.). Sobre comportamento e cognição: Aspectos teóricos, metodológicos e de formação em análise do comportamento e terapia cognitivista, v. 1 (pp. 140-164). Santo André: ESETec.
De-Farias, A. K. C. R. (2005). Comportamento Social: Cooperação, Competição E Trabalho Individual. Em J. Abreu-Rodrigues, & M. R. Ribeiro (Orgs.), Análise do comportamento – Pesquisa, teoria e aplicação (pp. 265-281). Porto Alegre: Artmed.
Domeniconi, C., de Rose, J. C., & Perez, W. F. (2014). Effects of correspondence training on self-reports of errors during a reading task. The Psychological Record, 64(3), 381-391. doi: 10.1007/s40732-014-0009-z
Ferreira, M., Neves, S. M. M., Simonassi, L. E., Andrade, M. & Dias, D. O. P. (2014). Análise comparativa da correspondência entre comer e relatar de crianças e adultos. Fragmentos de cultura, 5(24), 61-72. doi: 10.18224/frag. v24i0.3565
Gomes, C. T., Kawakami, D. T., Pereira, M. E. M., & Fidalgo, A. P. (2018). Efeitos da apresentação e retirada de reforçadores sobre a correspondência verbal. Psicologia: Teoria e Pesquisa, 35, e3425. doi: 10.1590/0102.3772e3425
Lloyd, K. E. (2002). A review of correspondence training: Suggestions for a revival. The Behavior Analyst, 25, 57-73. doi: 10.1007/BF03392045
Loovas, O. I. (1964). Control of food intake in children by reinforcement of relevant verbal behavior. The Journal of abnormal and Social Psychology, 68(6), 672–678. doi: 10.1037/h0047612
Mazzoca, R. H., & Cortez, M. D. (2020). O papel de contingências de competição no autorrelato de crianças sobre seus desempenhos em um jogo computadorizado. Revista Brasileira de Terapia Comportamental e Cognitiva, 21(4), 432-450. doi: 10.31505/rbtcc.v21i4.1404
Medeiros, C. A. (2002). Comportamento verbal na terapia analítico-comportamental. Revista Brasileira de Terapia Comportamental e Cognitiva, 4, 105-118.
Medeiros, C. A., & Córdova, L. F. (2016). A função do mentir em crianças: O controle operante na correspondência verbal. Em P. G. Soares, C. Cançado, & J. H. Almeida (Orgs.), Experimentos Clássicos em Análise do Comportamento, v. 01 (pp. 222-253). Brasília: Instituto Walden 4.
Medeiros, C. A., & Demoly, P. M. (2019). Efeito de perguntas abertas e fechadas na correspondência verbal num jogo de cartas. Revista Brasileira de Terapia Comportamental e Cognitiva, 21(4), 398-414. doi: 10.31505/rbtcc.v21i4.1367
Medeiros, C. A., & Medeiros, N. N. F. A. (2018). Correspondência verbal na Te- rapia Analítica Comportamental: Contribuições da pesquisa básica. Revista Brasileira de Terapia Comportamental e Cognitiva, 5(20), 40-57. doi: https://doi.org/10.31505/rbtcc.v20i1.1136
Medeiros, C.A., Oliveira, J. A., & Silva, C. O. (2013). Correspondência verbal em situação lúdica: Efeito da probabilidade de checagem. Revista Fragmentos de Cultura, 23, 563-578. doi: 10.18224/frag.v23i4.2987
Oliveira, M., Cortez, M., & de Rose, J. (2017). Efeitos do contexto de grupo no autorrelato de crianças sobre seus desempenhos em um jogo computadorizado. Perspectivas em Análise do Comportamento, 7, 70-85. doi: 10.18761/ pac.2015.026
Pergher, N. K. (2002). É possível saber se o cliente está falando a verdade? In A. S. Teixeira, A. M. L. S. Machado, N. M. S. Castro, & S. D. Cirino (Eds.). Ciência do Comportamento: Conhecer e Avançar, vol. 2 (pp. 109-122). Santo André: ESETec – Editores Associados.
Ribeiro, A. F. (1989). Correspondence in children’s self-report: Tacting and manding aspects. Journal of the Experimental Analysis of Behavior, 51, 361–367. doi: 10.1901/jeab.1989.51-361
Schmitt, D. R. (1984). Interpersonal-relations: Cooperation and competition. Journal of the Experimental Analysis of Behavior, 42, 377-383. doi: 10.1901/ jeab.1984.42-377
Skinner, B. F. (1957). Verbal Behavior. New York: Appleton-Century-Crofts.
Souza, R. S., Guimarães, S. S., Antunes, R. A. B., & Medeiros, C. A. (2014). Correspondência verbal em um jogo de cartas: Perguntas abertas e fechadas. In M. B. Borges, L. F. G. Aureliano, & J. F. Leonardi (Eds.). Comportamento em foco, vol. 4 (pp. 189-204). São Paulo: ABPMC.