Reducción de conductas problemáticas conversacionales en un niño con Trastorno del Espectro del Autismo mediante un procedimiento de correspondencia “decir-hacer”. Un estudio de caso único
Reducción de conductas problemáticas conversacionales en un niño con Trastorno del Espectro del Autismo mediante un procedimiento de correspondencia “decir-hacer”. Un estudio de caso único
Acta Comportamentalia: Revista Latina de Análisis de Comportamiento, vol. 29, núm. 3, pp. 7-24, 2021
Universidad Veracruzana
Recepción: 14 Octubre 2020
Aprobación: 14 Diciembre 2020
Resumen: Los problemas de conducta en los hijos es uno de los motivos más frecuentes por el cual los padres acuden a los Centros de Psicología Clínica Infantil. El presente trabajo es un estudio de caso único con un menor diagnosticado con Trastorno del Espectro del Autismo (TEA) que, según los padres, presentaba una conducta verbal desadaptativa durante la conversación con interrupciones continuadas y un tono de voz muy elevado. El primer objetivo de este estudio fue desarrollar y fortalecer conductas incompatibles a estas a través de un entrenamiento en correspondencia «decir-hacer (D-H)», un procedimiento que consiste en reforzar la consistencia que tiene lugar cuando un individuo hace lo que anteriormente ha dicho que haría. Llevando a cabo un análisis funcional descriptivo se hipotetizó que ambas conductas formaban parte de una misma clase de respuesta, y que covariarían. Se estableció entonces trabajar con una de ellas y observar el efecto en ambas. Para cuantificarlas se empleó un registro de intervalos parcial. Por último, se pretendió valorar su mantenimiento y generalización. Los resultados mostraron una reducción de ambas conductas a lo largo de la intervención. Se podría concluir que el uso combinado de este entrenamiento con el análisis funcional descriptivo de la conducta es eficaz y eficiente para trabajar los objetivos propuestos.
Palabras clave: correspondencia decir-hacer, análisis funcional descriptivo, covariación de respuesta, habilidades conversacionales, estudio de caso único.
Abstract: Behavioral problems in children are one of the main demands of parents in clinical psychology centers. This work is a single case study with a minor diagnosed with Autism Spectrum Disorder (ASD) who presented maladaptive verbal behavior with interruptions and a very high tone of voice during conversation. The first objective was to develop and strengthen behaviors that are incompatible with these through “say-do (S-D)” correspondence training that consists of reinforcing the consistency that occurs when an individual does what they have previously said. Using a descriptive functional analysis, the hypothesis was that both behaviors were part of the same kind of response and they would covariate, so it was established to work with one of them and observe the effect on both. A partial interval register was used for this. The last objective was to assess its maintenance and generalization. The results showed a reduction in both behaviors throughout the intervention and they indicate the effectiveness and efficiency of the combined use of this training with the descriptive functional analysis of behavior for the proposed objectives.
Keywords: say-do correspondence, descriptive functional analysis, response covariation, conversational skills, single case study.
Los problemas de conducta en los hijos es uno de los motivos más frecuentes por el cual los padres acuden a Centros de Psicología Clínica Infantil (Aláez, et al., 2000) y normalmente estos suelen darse en varios contextos. El abordaje de forma temprana de estos patrones conductuales desadaptativos es recomendable, ya que promueve en los niños un mejor funcionamiento psicológico, académico y social con sus pares y con otros adultos. Estos patrones pueden considerarse objeto de intervención cuando aparecen bien por defecto, traduciéndose en conductas sociales más retraídas o pasivas, bien por exceso, traduciéndose en conductas sociales más agresivas (Michelson et al., 1982). Luciano (1988), define las conductas disruptivas o problemáticas como todos aquellos comportamientos que no resultan socialmente adaptativos al impedir o reducir la integración del individuo en el contexto social y la adquisición de repertorios que pueden verse reforzados. Siguiendo a esta autora, estas conductas podrían clasificarse en agresivas, autoestimuladas, autolesivas, e incompatibles. Estas últimas las define como comportamientos que pueden resultar funcionales y no problemáticos en ciertas situaciones pero que emitidos en otros contextos resultan disruptivos, ya que interrumpen o impiden la emisión de otras conductas funcionales en dicha situación.
En el estudio de las habilidades sociales, entendidas estas como conductas específicas que permiten dar respuestas eficaces en diferentes situaciones y con distintas personas (García, 2020), se han desarrollado numerosos programas donde se establecen distintas categorías para su entrenamiento. Una de ellas es la de iniciar, mantener y finalizar una conversación, sea esta formal o informal. Para los niños, la conversación es un mecanismo esencial para aprender y relacionarse, y cuanta mayor facilidad tenga para conversar, mayor será su desarrollo social, emocional e intelectual (Michelson et al., 1982). El término habilidades conversacionales hace referencia a la capacidad para iniciar, mantener y finalizar conversaciones con otras personas. Con base en lo anteriormente señalado, los niños que presentan una conducta social más retraída o deficitaria durante la conversación serán descritos por sus iguales, sus padres, profesores y otros adultos como más tímidos y pasivos, y su conversación se caracterizará por dispersiones, poca participación, etc., mientras que aquellos que presentan una conducta social más agresiva o en exceso, serán descritos como más provocadores y menos colaborativos, y su conversación se caracterizará por interrupciones, un tono de voz elevado, etc. Los déficits en habilidades sociales son muy comunes en niños diagnosticados con Trastorno del Espectro del Autismo (TEA) (Bermúdez et al., 2020).
La presencia de conductas poco prosociales durante la conversación genera interacciones disfuncionales que acaban siendo fuente de malestar y motivo de consulta. Los padres tratan de instruir y de aplicar consecuencias con poco éxito y el niño se percibe continuamente castigado, dando lugar a un desgaste en la interacción padres-hijos que puede generalizarse a otros contextos y resultar en una dificultad para la integración del sujeto en ellos y para su desarrollo integral como sujeto social (Skinner, 1957). Desde una metodología derivada del análisis funcional de la conducta, se puede aplicar un análisis funcional descriptivo, que permite hipotetizar las variables de mantenimiento que las conductas conversacionales desadaptativas bien por exceso o por defecto podrían tener, y si pertenecen a una misma clase funcional. Las consecuencias de estas conductas a corto plazo, pueden ser útiles, bien para conseguir atención o amistades, bien para escapar de las demandas. Sin embargo, a medio y largo plazo suelen dar lugar a un mayor rechazo social. Siguiendo esta premisa, las conductas sociales incompatibles por ser excesivas o agresivas en la conversación (p.ej.: interrumpir, gritar), formarían una clase de respuesta, entendiendo por esta una serie de conductas topográficamente diferentes que producen el mismo efecto funcional (Sprague & Horner, 2000). Si hay una relación funcional entre ellas, estas conductas pueden covariar directa o indirectamente (response covariation), de forma que los cambios observados en la frecuencia o probabilidad de una respuesta correlacionarían con los cambios observados en la frecuencia de la otra (Sprague & Horner, 2000). Este fenómeno es útil en una intervención psicológica, pues únicamente es necesario trabajar con una conducta para conseguir resultados equivalentes en el resto de ellas, aumentando así la eficacia y la eficiencia del tratamiento.
De entre los distintos métodos para intervenir con las conductas problemáticas durante la conversación, el moldeamiento, que incluye a las técnicas de reforzamiento diferencial, permite aumentar la aparición de una conducta objetivo deseable o reducir la ocurrencia de comportamientos no deseados. Dos de los factores más importantes en un programa de reforzamiento son el prompting y el shaping (Michelson, et al., 1982). Se entiende el prompt como el estímulo discriminativo que ayuda a evocar el comportamiento en sí mismo. Incluye verbalizaciones para ayudar al niño a ver lo que debe hacerse antes de que se realice el comportamiento concreto. Una vez que se produce dicho comportamiento, el shaping, a través del reforzamiento diferencial, fortalece tal conducta.
Un procedimiento que sigue esta línea es el entrenamiento en la correspondencia «decir-hacer» (D-H). Este procedimiento ha demostrado ser útil en el tratamiento y reducción de conductas disruptivas en general (Herruzo et al., 2001; Ruiz-Olivares et al., 2010), y también específicamente en otros ámbitos como los problemas del lenguaje (Luciano et al., 2000), los problemas en los hábitos de estudio (Gómez, 1995), de hábitos nerviosos (Luciano et al., 1992), de hábitos de higiene en niños (Gil et al., 1998) y en personas con retraso en el desarrollo (DiCola & Clayton, 2017; Molina et al., 2008), problemas de negligencia en la infancia (Pino et al., 2019) y problemas de habilidades sociales (Osnes et al., 1987; Rogers-Warren & Baer, 1976). También se ha aplicado para mejorar la coherencia del cliente en psicoterapia (Froxán et al., 2020), para mejorar el aprendizaje de discriminaciones condicionales (DiCola & Clayton, 2017; Hernández et al., 2010), fomentar la generalización del aprendizaje (Delgado & Mares, 2012; Hernández et al., 2011), y promover el desarrollo de conductas de autocontrol y de espera (Gómez & Luciano, 1991). El procedimiento D-H consiste en la coherencia o consistencia entre lo que un individuo dice que va a hacer y lo que hace (Herruzo & Luciano, 1994). El objetivo es conseguir un contexto donde se pueda realizar lo dicho, con la consiguiente consecuencia, tanto por la correspondencia (descripción de esta relación) como por la falta de ella (costo de respuesta) y se utiliza con el fin de que una conducta tenga lugar, es decir, fortalecerla o desarrollarla en unas circunstancias (mediante la verbalización “voy a hacer X”), o para fortalecer la descripción de algo que se hizo (“he hecho X”) (Herruzo & Luciano, 1994). Este procedimiento ha tenido una clara incidencia a nivel clínico y educativo (Lloyd, 2002; Pino et al., 2019).
Como se ha señalado anteriormente, existen numerosos estudios que han empleado el uso de los entrenamientos en correspondencia para reducir conductas problemáticas, sin embargo, este es un caso novedoso muy concreto en el que se pretende comprobar si, a través del entrenamiento en la correspondencia D-H, un niño de doce años diagnosticado con TEA puede reducir las conductas conversacionales incompatibles por ser excesivas o agresivas durante la conversación.
DESCRIPCIÓN DEL CASO
Identificación del cliente e historia del problema
Jesús es un varón de doce años de edad diagnosticado con Síndrome de Asperger según el DSM-IV-TR (APA, 2000) desde hace seis años. Es hijo único de una familia biparental que reside en la capital de Granada, España. Cursa 2º de Educación Secundaria Obligatoria en un Centro Concertado cercano, donde presenta un buen rendimiento académico y una buena adaptación escolar.
A los tres años de edad Jesús fue evaluado y detectado con un retraso en la adquisición del lenguaje y con dificultades en el control de impulsos, con presencia de conductas disruptivas y negativistas por los Centros de Atención Infantil Temprana (CAIT) de Granada, especialidad de la Sanidad Pública que tiene por objeto atender las necesidades que presentan los niños de cero a seis
años con trastornos en el desarrollo o con riesgo de padecerlos. A los seis años fue diagnosticado con Síndrome de Asperger según el DSM-IV-TR (APA, 2000) y con una inteligencia alta según el Test Breve de Inteligencia de Kaufman (K-BIT). En el ámbito comportamental, Jesús mostraba conductas poco adaptativas socialmente caracterizadas por interrupciones durante la conversación y monólogos continuados, inquietud e impulsividad y pasividad e inflexibilidad en el juego, además de rabietas esporádicas y de corta duración con función de evitación de actividades que no deseaba realizar. A los seis años de edad, una vez finalizado el servicio de Atención Infantil Temprana, Jesús recibió tratamiento psicológico en varios Centros de Psicología de Granada, algunos de ellos especializados en TEA. En ellos se evaluaron y trabajaron aspectos sociales relacionados con la empatía, las relaciones interpersonales, y las habilidades de comunicación, pero nunca se trabajaron las habilidades conversacionales, específicamente. Hasta ese momento los padres se habían comportado de forma asistemática e inconsistente ante estas conductas problemáticas, las cuales persisten, aunque en menor medida, hasta la actualidad. A sus doce años de edad acudió a nuestro Centro por primera vez.
Motivo de consulta
El objetivo planteado por sus padres fue mejorar su competencia social y sus habilidades sociales a la hora de mantener una conversación. Según ellos, Jesús presentaba una conducta verbal durante la conversación poco adaptativa, caracterizada por interrupciones continuadas del discurso de los otros y un tono de voz muy elevado.
Evaluación del caso
La evaluación se llevó a cabo a través de una entrevista semiestructurada con los padres y el niño por separado, analizando su historia personal y valorando su comportamiento en distintos contextos (familiar, escolar y social). También se administraron varios cuestionarios:
- El Eyberg Child Behavioral Inventory (ECBI; Eyberg & Pincus, 1999; Eyberg & Ross, 1978). Es un cuestionario para padres diseñado para medir conductas problemáticas en niños y adolescentes, desde los 2 a los 16 años de edad. Consta de 36 ítems, a los que se responde a través de dos escalas, una de intensidad y otra de problemas. Las puntuaciones en la escala de intensidad pueden variar de 36 a 252 y en la de problemas de 0 a 36. La fiabilidad, estabilidad y la validez discriminante y convergente de este cuestionario, así como la sensibilidad a los cambios en el comportamiento después del tratamiento, se han establecido en muchos estudios, así como en diferentes culturas y países (Abrahamse et al., 2015). También presenta una elevada consistencia interna en sus dos escalas (α >.90) (Eyberg & Robinson, 1983; Robinson et al., 1980).
- El Child Behavior Checklist (CBCL; Achenbach, 1991; 1992). Es un cuestionario para padres que suele utilizarse para valorar problemas de conducta externalizantes e internalizantes en población infantil y adolescente, desde los 4 hasta los 18 años de edad. El estudio de Sardinero et al. (1997) muestra estas medidas para una muestra de niños y niñas asturianos de 6 a 11 años. La consistencia interna fue adecuada (α = .83 en conductas externalizantes y α = .71 en conductas internalizantes). Además, las correlaciones que presenta con otras medidas de evaluación del comportamiento infantil y adolescente son muy altas (Fernández-Molina et al., 2011).
- La Escala de Comportamiento Asertivo para Niños.Children Assertive Behavior Scale, CABS; Michelson et al., 1987). Es un cuestionario indicado para niños con edades comprendidas entre los 6 y los 12 años. Debe ser completado por los padres y por el niño por separado. Valora el estilo de conducta social del menor con respecto a otro niño de su edad y con respecto a un adulto. La escala consta de 27 ítems, cada uno de ellos con cinco alternativas de respuesta: agresiva, asertiva, muy inhibida, inhibida y asertiva y permite clasificar el comportamiento en agresivo, inhibido y asertivo en las distintas áreas de contenido de habilidades sociales: hacer y recibir cumplidos o críticas positivas, hacer y recibir críticas negativas y disculpas, pedir y ceder cosas, iniciar y mantener conversaciones y expresar sentimientos. Muestra unos niveles de consistencia aceptables (Michelson et al., 1979) y unos valores de consistencia interna entre .78 a .80. Su fiabilidad test-retest tiene un rango entre .66 y .86 en un intervalo de 4 semanas y su validez convergente y discriminante es satisfactoria (Michelson & Wood, 1982).
Análisis topográfico y funcional
Tras la evaluación, se concretaron las conductas problemáticas que Jesús mostraba durante la conversación. Se hipotetizó que interrumpir y elevar el tono de voz estaba mantenido por 1) reforzamiento positivo, es decir, por atención social del resto de conversadores, y 2) reforzamiento negativo, como conductas de evitación del malestar a la hora de tener que esperar el turno o ser escuchado en menor medida que otros. Se hipotetizó que formarían parte de una clase funcional de respuestas y que, si se intervenía únicamente con una de las conductas, se podían esperar efectos similares en la otra, es decir, que covariarían.
Se pidió a los padres que registraran las conductas objetivo en un registro de análisis funcional tipo A-B-C, en el que A representa los antecedentes de la conducta, B las conductas en sí mismas y C las consecuencias que se aplican.
A partir de estas hipótesis, los objetivos de la intervención fueron:
1) Reducir las conductas incompatibles con las habilidades conversacionales. Es decir, reducir las interrupciones y el tono elevado durante una conversación. Para conseguir este objetivo se planteó utilizar un entrenamiento en la correspondencia D-H.
2) Trabajar con una única conducta (hablar con un tono de voz elevado), y observar si los cambios en su frecuencia correlacionan con los cambios en la frecuencia de la otra conducta (interrumpir). Ya que se parte de que forman una clase de respuesta y covarían funcionalmente.
3) Desvanecer el entrenamiento en correspondencia tras conseguir resultados, y comprobar si estos se mantendrían.
TRATAMIENTO
Las sesiones tuvieron lugar en un despacho en el que había una mesa y dos sillas y juegos de mesa. Se colocó el teléfono móvil de la terapeuta en un espacio intermedio entre ella y Jesús para grabar las sesiones en audio a través de la aplicación Grabadora. Las sesiones tuvieron una frecuencia de una vez por semana, y más tarde, se desvanecieron a dos o a tres semanas. En total hubo quince sesiones de una hora, repartidas a lo largo de ocho meses. Generalmente, en la primera parte de la sesión se hablaba sobre algún tema de actualidad, en la parte intermedia de la sesión se analizaba algún conflicto ocurrido durante la semana y en la parte final se jugaba a algún juego de mesa con turnos. El entrenamiento en correspondencia D-H tuvo lugar en cada una de estas partes.
En el contexto de la sesión, se consideraron las siguientes conductas como incompatibles con una conversación aceptada socialmente:
- Hablar con un tono de voz elevado (C1), que se definió con el programa informático Audacity. Este medía la verbalización y la categorizaba en función de su intensidad en baja, media o alta. El criterio para considerar una C1 fue la categorización de la verbalización dentro del rango de intensidad media o alta.
- Interrumpir a la terapeuta (C2). Se definió como que Jesús no dejase a la terapeuta terminar una palabra o una frase, que completase una palabra o frase en función del contexto, y/o que diera la verbalización antes de que la terapeuta acabase una palabra o frase.
Se excluyeron como criterios para considerar una C2, que Jesús emplease palabras que mantienen claramente la conversación y que son consideradas como naturales y compatibles durante la misma (“ajá”, “sí”, “vale”, “exacto”, etc., o reflejar o parafrasear lo dicho por la terapeuta).
Todas las sesiones fueron grabadas en audio, con el previo consentimiento expreso por parte de los padres. Las conductas fueron cuantificadas a posteriori, sobre la grabación. Se utilizó un registro de intervalo parcial y se muestrearon tres intervalos fijos de cinco minutos cada uno: uno al comienzo de la sesión, otro en la parte intermedia y otro en la parte final. En ellos se registraba la frecuencia de C1 y C2. Para registrar la frecuencia de C1, el programa Audacity señala la intensidad alcanzada del sonido en decibelios (dB) en un rango de -54 a 0 dB, de menor a mayor intensidad. De esta forma, una puntuación de -54 a -12 se categoriza como menos intensa; una puntuación de -12 a -6 se categoriza como de intensidad media; y una puntuación de -6 a 0 se categoriza como de gran intensidad.
Para registrar la frecuencia de C2, se siguieron los criterios mencionados anteriormente.
Esta intervención siguió un diseño de caso único ABC, donde A es la fase de línea base (LB), B la fase de entrenamiento en correspondencia D-H, y C era la fase de retirada.
La Fase A, correspondiente a las cinco primeras sesiones, la terapeuta no intervino en las conductas objetivo, solo se registraron. En la Fase B se entrenó en la correspondencia D-H, que se llevó a cabo en las cinco sesiones siguientes. Se optó por trabajar únicamente con C1, y observar si se obtendrían efectos similares en C2. En el entrenamiento en la correspondencia, la terapeuta señaló a Jesús que, a partir de ese momento, se debía decir muy bajito la siguiente verbalización: “voy a hablar bajito” antes de comenzar a hablar. Cuando Jesús establecía esa coherencia, la terapeuta aplicaba un reforzamiento diferencial por la correspondencia. Es decir, describía y elogiaba esa correspondencia (p.ej.: “has hecho lo que has dicho que ibas a hacer, eso me gusta mucho”, “muchas gracias por hacer lo que has dicho que ibas a hacer”), guiñaba o sonreía. Se optó por alternar el reforzamiento de la coherencia D-H con otros más naturales. Si Jesús olvidaba decirse la verbalización, la terapeuta se lo recordaba y Jesús tenía que empezar desde el principio, aplicando así un coste de respuesta.
En la Fase C, correspondiente a las cinco últimas sesiones, la terapeuta ya no recordó la correspondencia y comenzó a incrementar los tiempos para el reforzamiento, haciéndolo más intermitente. Posteriormente, se administraron de nuevo los cuestionarios para medir los cambios.
Tabla 1. Resultados de los cuestionarios antes y después de la intervención

RESULTADOS
En la Tabla 1 se pueden ver los resultados de los cuestionarios y sus correspondientes subescalas. En el ECBI, la puntuación directa antes de la intervención en la subescala de intensidad fue de 87, y de 4 en la subescala de problemas, ambas no significativas. Uno de los ítems que recibió una mayor puntuación fue el de “Interrumpe” con una intensidad de 6 sobre 7. Después de la intervención, las puntuaciones fueron de 63 en la subescala de intensidad y de 0 en la subescala de problemas, de nuevo ambas no significativas. En cuanto a la puntuación señalada en el ítem “Interrumpe”, ésta alcanzó una intensidad de 3 sobre 7.
Antes de la intervención, las puntuaciones de Jesús en el CBCL fueron significativas únicamente en la subescala Problemas sociales, lo que se mantuvo después.
En el cuestionario CABS, antes de la intervención, las puntuaciones globales de los padres no señalaron problemas significativos, aunque sí indicaron una tendencia más pasiva a la hora de relacionarse, tanto con otros niños como con adultos. Más concretamente, las puntuaciones donde según ellos Jesús presentaba una mayor problemática con respecto a otro niño, fue en la categoría de hacer/recibir críticas negativas, seguida por pedir y ceder objetos, hablar/expresar sentimientos, e iniciar y mantener una conversación. En la categoría de hacer/recibir críticas positivas, no presentaba problemas; con respecto a un adulto, las puntuaciones fueron similares. Antes de la intervención, las puntuaciones globales según Jesús en este cuestionario, no señalaron problemas significativos, aunque también indicaron una tendencia más pasiva a la hora de relacionarse tanto con otros niños como con adultos. Más concretamente, las puntuaciones donde, según él, presentaba una mayor problemática con respecto a otro niño, fue en la categoría de hacer/recibir críticas negativas; con respecto a un adulto, las puntuaciones fueron similares.
Tras la intervención, las puntuaciones globales de los padres en este cuestionario no señalaron problemas significativos, aunque interpretaron su capacidad para relacionarse tanto con otros niños como con otros adultos ligeramente menos adaptativa. Más concretamente, la competencia que presentaba Jesús en cada una de las categorías se mantuvo, si bien la tendencia en el porcentaje de respuestas correctas en cada una de ellas se redujo, a excepción de la de hacer/recibir críticas negativas, que se mantuvo; con respecto a un adulto, las puntuaciones fueron de nuevo, similares. Después de la intervención, las puntuaciones globales, según Jesús, no señalaron problemas significativos, aunque de nuevo indicaron una tendencia más pasiva a la hora de relacionarse tanto con otros niños como con adultos. Más concretamente, las puntuaciones donde presentaba una mayor problemática con respecto a otro niño fue en la categoría de hacer/recibir críticas negativas; con respecto a un adulto, las puntuaciones fueron similares.

En cuanto a la intervención, en la Figura 1 se presentan las medias de cada uno de los registros de los intervalos en cada sesión para cada fase de ambas conductas. Con respecto a C1, la frecuencia fue alta durante la LB. En el intervalo de inicio de la sesión la media fue de 7, en el intervalo en la mitad de la misma fue de 9,6, y al final de la sesión la media fue de 10,2. Durante la fase de entrenamientolas puntuaciones se redujeron. En el primer intervalo, la frecuencia media fue de 1, en el intervalo 2 la frecuencia media fue de 1,6 y en el intervalo final la media fue de 1. En la fase de retirada de la intervención, en el intervalo 1 la media de la frecuencia fue de 0,6, en el intervalo 2 la media fue de 0,6 y en el intervalo final la media fue de 0,2. La frecuencia media total de respuestas de hablar con un tono de voz elevado a lo largo de las sesiones ha sido menor al comienzo de las mismas. Con respecto a C2, durante la fase de LB, en el primer intervalo la media fue de 6,2, en el segundo fue de 5,6 y en el intervalo final de 5,8. Durante la fase de entrenamiento, en el primer intervalo la media de la frecuencia fue de 0,4, en el intervalo 2 fue de 1,4 y en el intervalo final fue de 0,2. En cuanto a la fase C de retirada, durante el primer intervalo la media fue de 1,2, en el siguiente intervalo fue de 1,6 y en el intervalo final de sesión fue de 1. De nuevo se puede observar que hay una diferencia clara entre los intervalos de la LB y los de entrenamiento . retirada. También la frecuencia media total de respuestas de interrumpir a lo largo de las sesiones ha sido menor en las finales.

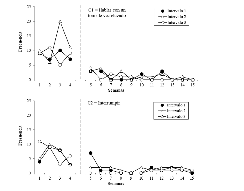
En la Figura 2 se presentan las frecuencias de C1 y C2 para cada intervalo a lo largo de todo el proceso de intervención. Con respecto a C1, en las primeras cinco sesiones de LB, tanto la frecuencia como la variabilidad de la conducta fue mayor en comparación con las
fases de entrenamiento y de retirada. En estas últimas, la frecuencia de C1 es más estable. De forma general, se puede observar que la tendencia de la frecuencia de hablar con un tono de voz elevado se redujo a lo largo de la intervención. Esta conducta fue más inestable en la fase A, con un incremento en la sesión tercera y reduciéndose claramente en la última sesión de LB. En cuanto a la fase de entrenamiento, muestra un decremento en la frecuencia, que se mantiene durante la retirada de la intervención. Con respecto a C2, en las primeras cinco sesiones de LB, la frecuencia y la variabilidad fue mayor, en comparación con las fases de entrenamiento y de retirada de la intervención, donde la frecuencia de C2 es más estable. De forma general, se puede observar que las interrupciones fueron en descenso a raíz del entrenamiento en la otra conducta.
Para confirmar este análisis visual, se ha llevado a cabo un análisis correlacional entre ambas conductas en cada intervalo. El coeficiente de correlación de Pearson ha sido de . = .74 en el intervalo 1, de . = .70 en el intervalo 2, y de . = .89, en el intervalo 3. La correlación entre ambas conductas ha sido positiva en cada uno de ellos, y significativas en todos los casos, siendo mayor en el tercer periodo de registro.
DISCUSIÓN
Los procedimientos de correspondencia D-H han demostrado ser una herramienta eficaz para intervenir con niños tanto para iniciar o fortalecer, como para eliminar o debilitar conductas. Concretamente en este estudio, este procedimiento se ha utilizado con el fin de fortalecer el hablar con un tono de voz más adecuado durante una conversación, de reducir las conductas de interrumpir y de debilitar las conductas incompatibles con las habilidades conversacionales. Además de su utilidad y eficiencia a nivel clínico y educativo, se ha establecido este procedimiento como intervención para estos problemas por otras razones fundamentales: por un lado, permite aplicar consecuencias intermitentes y naturales, lo que incrementa su validez ecológica además de la probabilidad de que la ejecución de las conductas quede bajo control del propio cliente, y, por otro lado, resulta un procedimiento novedoso para el niño, distinto de otras consecuencias más aversivas, además de poco exitosas, aplicadas hasta ahora.
Tal y como se muestra en los resultados, parece, por un lado, que este programa de entrenamiento ha sido eficaz para reducir las interrupciones y para fortalecer un habla con un tono adecuado durante las conversaciones con este niño. Parece, por otro lado, que la hipótesis establecida en este trabajo en la que ambas conductas, aún siendo topográficamente distintas, formarían parte de una misma clase funcional y que ambas covariarían entre sí de forma positiva, podría confirmarse.
Se puede concluir que se han alcanzado los objetivos propuestos en este estudio. Con respecto al primer objetivo, se han desarrollado y fortalecido las conductas de hablar con un tono adecuado durante una conversación y de no interrumpir y se han debilitado las incompatibles a través del entrenamiento en correspondencia D-H. En este estudio se decidió optar por una verbalización dada en positivo, siguiendo las premisas de que “toda aquella conducta que se describe tiende a aumentar” y “mejor dar las órdenes en positivo” como defienden otros autores (Eyberg, 1988; McNeil & Hembree-Kigin, 2011), y también a uno mismo. Este trabajo refleja que con la verbalización dada en positivo también puede regularse la conducta verbal, aún cuando la conducta pudiese ser ambigua.
El segundo objetivo de este estudio fue trabajar con una única conducta (C1) y observar si se producían efectos similares en la otra (C2). Los resultados indicaron que las dos conductas redujeron su frecuencia a lo largo de la intervención y se vio que covariaban, lo que fue confirmado por el análisis estadístico realizado, que mostró una correlación positiva entre ambas conductas en cada uno de los intervalos. Desde el equipo que ha llevado a cabo este estudio se piensa que intervenir con la conducta que aparece con una frecuencia menor es más funcional, puesto que se reduce la aplicación de consecuencias que pueden llegar a ser aversivas para el niño. Otro aspecto está relacionado con la media de las frecuencias de ambas conductas. Han sido ligeramente mayores en las partes intermedias de las sesiones, donde se solía analizar algún conflicto (inter)personal ocurrido durante la semana, y han sido menos frecuentes en sus fases iniciales y finales donde se trabajaba sobre algún tema de actualidad y donde se jugaba a algún juego de mesa con turnos. Se piensa que, al ser esta parte más intermedia de la sesión la de mayor carga emocional para Jesús y donde aparecía un mayor número de conductas clínicamente relevantes, pudiera ser debido a que ambas conductas hubiesen estado mantenidas por atención social, y/o como conductas de evitación del malestar.
En cuanto al tercer objetivo, que consistía en valorar si la correspondencia se mantenía al retirar la verbalización ante la terapeuta, se ha podido observar que así ha sido. De hecho, los padres señalaron que también aparecía con otros adultos y en otros contextos, tal y como también se ha visto en otros estudios (López et al., 2011; Luciano et al., 2001). La generalización se ha podido conseguir por varias razones. En primer lugar, la naturalidad de los reforzadores utilizados, tal y como señalaron Stokes y Baer (1977). El uso de reforzadores naturales en una conversación es uno de los procedimientos de generalización más funcionales, puesto que la probabilidad de que la conducta objetivo se mantenga por contingencias presentes en el entorno natural del niño es mayor. En segundo lugar, la variedad de los reforzadores verbales utilizados. En línea con lo señalado por Michelson et al. (1982), para una mayor probabilidad de generalización, la inclusión de muchas posibles interacciones de respuesta para una habilidad en particular aumentará la capacidad del niño para funcionar adecuadamente con diferentes personas, en diversas situaciones. Con ese objetivo, en este estudio se utilizaron varios reforzadores como fueron el elogio etiquetado, la sonrisa y el guiño por haber realizado correctamente la correspondencia. En tercer lugar, la intermitencia de los reforzadores utilizados, en línea de lo señalado por Herruzo et al. (2001), la aplicación de consecuencias intermitentes y naturales incrementa la probabilidad de que la ejecución de la conducta quede bajo control de la propia persona, y no tanto del agente de cambio inicial.
Este estudio de caso no está exento de limitaciones. La principal limitación es que ya en un primer lugar, durante la LB había una tendencia a disminuir las conductas objetivo, y a mostrar variabilidad. Una posible explicación, pueda ser un contraste conductual entre el contexto familiar donde se corregiría y el contexto clínico en el que se aplicaría una extinción. Con base en lo anterior, se pueden extraer dos conclusiones: por un lado, mientras que los padres actúan como una “audiencia negativa” en la línea que ellos castigan de forma excesiva o inconsistente la conducta verbal del niño, bien ridiculizándolo, bien a través de un mando (¡shhh, baja la voz!), la terapeuta funciona como una audiencia no punitiva o positiva, según propone Skinner (1953), sin instruir ni castigar, y reforzando de forma consistente y sistemática cuando aparecen conductas incompatibles. Por otro lado, las propias variables personales de la terapeuta (p.ej. menor edad que los padres, intereses compartidos, etc.) pueden dar lugar a que Jesús la considere en mayor medida como modelo a seguir a la hora de llevar a cabo una conversación socialmente aceptada. Aunque como se puede observar, hay una diferencia fuerte entre las fases, lo que hace pensar que el cambio se ha producido en mayor medida por el entrenamiento. Otra limitación de este estudio es la relativa a la medida de la generalización de las conductas, pues la observación de estos comportamientos con pares y por adultos podría demostrar mejor el efecto. Y también la ausencia de un seguimiento adecuado. Además, se piensa que reforzar clases de respuesta en Jesús como ser paciente, ser responsable . ser obediente a través del juego, ha podido influir en los resultados y puede ser explicativo de por qué en la LB hay un descenso de las conductas problemáticas, ya que este tipo de actividad puede conllevar de forma implícita un entrenamiento en el respeto de turno de palabra, fomento de la toma de perspectiva, etc.
En cuanto a los cuestionarios utilizados en este trabajo, se ha podido observar que las puntuaciones han sido similares antes y después de la intervención. Según los padres, los problemas de conducta de Jesús se han visto reducidos a lo largo de todo el proceso terapéutico, y aunque algunas de las puntuaciones se han visto aumentadas, estas se han situado de nuevo dentro del rango normal. Se piensa que esto puede ser debido a la pericia adquirida a través del análisis funcional, que facilita una mayor sensibilidad de los padres a la hora de valorar la conducta de su hijo. Si bien los cuestionarios empleados son útiles en cuanto a que permiten conocer la opinión de los padres y de Jesús, se piensa que el grueso de este trabajo estriba principalmente en los datos relativos al entrenamiento en correspondencia D-H.
Además, se cree que el sistema de grabación de los audios y de registro de intervalos a lo largo del entrenamiento ha demostrado ser útil y preciso, por lo que hubiese sido también recomendable calcular la confiabilidad entre observadores para aportar una mayor fiabilidad a la intervención.
En definitiva, parece que el entrenamiento en correspondencia D-H es un procedimiento eficaz para reducir conductas problemáticas durante la interacción verbal, como se ha visto ya en anteriores trabajos (Herruzo et al., 2001; Luciano et al., 1992; Molina et al., 2008; Ruiz-Olivares et al., 2010). Desde el equipo que ha llevado a cabo este estudio se piensa que las mejoras de C2 con el entrenamiento exclusivo de C1 es un resultado muy relevante, pues enfatiza la importancia de realizar un análisis funcional descriptivo de la conducta, para trabajar tanto en la práctica clínica como en investigación psicológica. Y en general, aporta una intervención eficaz y eficiente al Análisis de la Conducta.
En futuras investigaciones se podrían replicar estos procedimientos (correspondencia D-H, covariación de respuesta) en la reducción de conductas problemáticas en habilidades conversacionales y en situaciones sociales en general, mejorando las limitaciones expuestas.
CONFLICTO DE INTERESES
Los autores de este trabajo declaran que no existe conflicto de intereses.
REFERENCIAS
American Psychiatric Association (APA, 2000). Diagnostic and Statistical Manual of Mental Disorders (4 th. Ed. Tex Reviewed, DSM-IV-TR). American Psychiatric Association.
American Psychiatric Association (APA, 2014). Diagnostic and Statistical Manual of Mental Disorders (5th. Ed. DSM-5). American Psychiatric Association.
Abrahamse, M. E., Junger, M., Van Wouwe, M. A., Boer, F., & Lindauer, R. J. (2015). Treating child disruptive behavior in high-risk families: A comparative effectiveness trial from a community-based implementation. Journal of Child and Family Studies, 25(5), 1605-1622. https://doi.org/10.1007/s10826- 015-0322-4
Achenbach, T. M. (1991). Integrative Guide for the 1991 CBCL/4-18. YSR, and TRF profiles. University of Vermont. Department of Psychiatry.
Achenbach, T. M. (1992). Manual for the Child Behavior Checklist/2-3 and 1992 profile. University of Vermont. Department of Psychiatry.
Aláez, M., Martínez-Arias, R., & Rodríguez-Sutil, C. (2000). Prevalencia de trastornos psicológicos en niños y adolescentes, su relación con la edad y el género. Psicothema, 12(4), 525-532.
Bermúdez, K., Aviña, V., Chiquet, R., Olivas, S., & Sánchez, F. (2020). Efecto del entrenamiento en Habilidades Conductuales sobre el establecimiento de Habilidades Sociales en niños con autismo. Acta Comportamentalia, 28(1), 23-36. https://doi.org/10.14201/gredos.128464
Delgado, U., & Mares, G. (2012). Generalización de la correspondencia Decir-Hacer a través de tareas de diferente complejidad. Revista Mexicana de Análisis de Conducta, 38(1), 24-36.
DiCola, K., & Clayton, M. (2017). Using Arbitrary Stimuli to Teach Say-Do Correspondence to Children with Autism. International Journal of Psychology and Psychological Therapy, 17(2), 149-160.
Eyberg, S. (1988). Parent-child interaction therapy: Integration of traditional and behavioral concerns. Child & Family Behavior Therapy, 10(1), 33-46. https:// doi.org/10.1300/j019v10n01_04
Eyberg, S. M., & Pincus, D. (1999). ECBI & SESBI-R: Eyberg child behavior inventory and Sutter-Eyberg student behavior inventory-revised: Professional manual. Psychological Assessment Resources. https://doi.org/10.1037/ t07846-000
Eyberg, S. M., & Robinson, E. A. (1983). Conduct problem behavior: Standardization of a behavioral rating. Journal of Clinical Child & Adolescent Psychology, 12(3), 347-354. https://doi.org/10.1080/15374418309533155
Eyberg, S. M., & Ross, A. W. (1978). Assessment of child behavior problems: The validation of a new inventory. Journal of Clinical Child & Adolescent Psychology, 7(2), 113-116. https://doi.org/10.1080/153744178095328
Fernández-Molina, M., Del Valle, J., Fuentes, M. J., Bernedo, I. M., & Bravo, A. (2011). Problemas de conducta de los adolescentes en acogimiento preadoptivo, residencial y con familia extensa. Psicothema, 23(1), 1-6. https://doi. org/10.6018/analesps.31.2.182051
Froxán, M.X., Ávila, I., Trujillo, C., Serrador, C., & Núñez, M. (2020). Analyisis of the Say-Do-Report correspondence in therapy: a pilot study. Journal of Behavior, Health & Social Issues, 11(2), 55-68. http://dx.doi.org/10.22201/ fesi.20070780.2019.11.2.75671
García, M. (2020). Habilidades sociales y competencia social (2ª Edición) [archivo PDF]. Formación Continuada a Distancia (FOCAD). Consejo General de la Psicología de España.
Gil, J., Luciano, M. C., & Molina, A. (1998). Aplicación de un procedimiento simplificado decir-hacer en promoción de la salud bucodental. Análisis y modificación de conducta, 24(97), 619-656.
Gómez, I. (1995). Correspondencia Decir-Hacer en problemas de hábito de estudio. Análisis y Modificación de Conducta, 21(80), 881-900.
Gómez, I., & Luciano, M.C. (1995). Autocontrol en niños: Un estudio experimental sobre dos procedimientos en la adquisición de conductas de espera. Psicothema, 3(1), 25-44.
Hernández, A., Blanco, C., & Morales, D. (2010). Efectos del entrenamiento en la correspondencia decir-hacer sobre la efectividad en tareas de transferencia del aprendizaje. Studiositas, 5(2), 61-77.
Hernández, M., Rodríguez, M., & Luciano, C. (2011). Contextual Control and Generalization of Say-Do Correspondence. A preliminary Study. International Journal of Psychology and Psychological Therapy, 11(2), 269-284.
Herruzo, J., Luciano, M.C., & Pino, M.J. (2001). Disminución de conductas disruptivas mediante un procedimiento de correspondencia «Decir-Hacer». Acta Comportamentalia, 9(2), 145-162.
Herruzo, J., & Luciano, M. C. (1994). Procedimientos para establecer la “correspondencia decir-hacer”. Un análisis de sus elementos y problemas pendientes. Acta Comportamentalia, 2(2), 192-218.
López, M. H., Valverde, M. R., & Luciano, M. C. (2011). Contextual control and generalization of say-do correspondence. A preliminary study. International Journal of Psychology and Psychological Therapy, 11(2), 269-284.
Luciano, M.C. (1988). Un Análisis de los procedimientos para la adquisición, eliminación, mantenimiento y generalización del comportamiento en personas retardadas en su desarrollo. En M.C. Luciano & J. Gil (Eds.). Análisis e Intervención Conductual en Retraso en el Desarrollo. (pp.: 51-104). Universidad de Granada.
Lloyd, K.E. (2002). A Review of Correspondence Training: Suggestions for a Revival. The Behavior Analyst, 25, 57-73. https://doi.org/10.1007/bf03392045
Luciano, M. C., Herruzo, J., & Barnes-Holmes, D. (2001). Generalization of say- do correspondence. The Psychological Record, 51(1), 111-130. https://doi. org/10.1007/bf03395389
Luciano, M.C., Molina, F.J., & Gómez, I. (2000). Say-do-report training to change chronic behaviors in mentally retarded subjects. Research in Developmental Disabilities, 21, 355-366. https://doi.org/10.1016/s0891-4222(00)00048-2
Luciano, M.C., Vílchez, F., & Herruzo, J. (1992). Say-do and thumbsucking Behavior. Child & Family Behavior Therapy, 14(1), 63-69. https://doi.org/10.1300/ j019v14n01_05
McNeil, C. B., & Hembree-Kigin, T. L. (2011). Parent-Child Interaction Therapy. Second Edition. Springer.
Michelson, L., Andrasik, F., Vucelic, I., & Coleman, D. (1979). Concurrent, predictive and external validity of the Children’s Assertive Behavior Scale: Teacher, parents, peers a self-report measures of social competency in elementary school children. Unpublished manuscript. Pittsburgh: Department of Psychiatry, University of Pittsburgh, School of Medicine.
Michelson, L., Sugai, D.P., Wood, R.P., & Kazdin, A.E. (1987). Las habilidades sociales en la infancia. Evaluación y tratamiento. Martínez Roca.
Michelson, L., & Wood, R. (1982). Development and psychometric properties of the Children’s Assertive Behavior Scale. Journal of Behavioral Assessment, 4(1), 3-13. https://doi.org/10.1007/bf01321378
Molina, F., Amador, M.C., & Fernández, M.D. (2008). Correspondencia decir-hacer para la mejora de conductas perturbadoras en adultos con Síndrome de Down. Psicothema, 20(1), 71-79.
Osnes, P. G., Guevremont, D. C., & Stokes, T. F. (1987). Increasing a child’s prosocial behaviors: Positive and negative consequences in correspondence training. Journal of Behavior Therapy and Experimental Psychiatry, 18(1), 71-76. https://doi.org/10.1016/0005-7916(87)90074-7
Pino, M.J., Herruzo, J., & Herruzo, C. (2019). A New Intervention Procedure for Improving Classroom Behavior of Neglected Children: Say Do Say Correspondence Training. International Journal of Environmental Research and Public Health, 16(15), 2688-2700.
Robinson, E. A., Eyberg, S. M., & Ross, A. W. (1980). The standardization of an inventory of child conduct problem behaviors. Journal of Clinical Child & Adolescent Psychology, 9(1), 22-28. https://doi.org/10.1080/15374418009532938
Rogers‐Warren, A., & Baer, D. M. (1976). Correspondence between saying and doing: teaching children to share and praise. Journal of Applied Behavior Analysis, 9(3), 335-354. https://doi.org/10.1901/jaba.1976.9-335
Ruiz-Olivares, R., Pino, M.J., & Herruzo, J. (2010). Reduction of Disruptive Behaviors using an intervention based on the good Behavior Game and the Say- Do-Report Correspondence. Psychology in the Schools, 47(10), 1046-1058. https://doi.org/10.1002/pits.20523
Sardinero, E., Pedreira, J. L., & Muñiz, J. (1997). Achenbach’s CBCL Questionnaire: Spanish adaptation and clinical-epidemiologic applications. Clínica y Salud, 8(3), 447-480.
Skinner, B.F. (1953/1971). Science and human behavior. MacMillan. (Edición en castellano Ed. Fontanella).
Skinner, B. F. (1957/1981). Verbal behavior. Copley Publishing. (Edición en castellano: Ed. Trillas).
Sprague, J.R., & Horner, R.H. (2000). La conducta problema de baja frecuencia y alta intensidad. En A. C. Reep & R.H. Horner (Eds.). Educación. Análisis Funcional de problemas de la conducta. (pp.:93-110). Paraninfo.
Stokes, T. F., & Baer, D. M. (1977). An implicit technology of generalization. Journal of Applied Behavior Analysis, 10(2), 349-367. https://doi.org/10.1901/ jaba.1977.10-349
Notas