Efectos de dos condiciones de restricción espacial en la distribución espaciotemporal de la conducta de la rata
Efectos de dos condiciones de restricción espacial en la distribución espaciotemporal de la conducta de la rata
Acta Comportamentalia: Revista Latina de Análisis de Comportamiento, vol. 29, núm. 2, pp. 7-40, 2021
Universidad Veracruzana

Recepción: 08 Agosto 2020
Aprobación: 11 Noviembre 2020
Resumen: Dos experimentos evaluaron el efecto de dos tipos de restricción espacial en una cámara de desplazamiento ampliada, empleando ratas como sujetos experimentales. En el Experimento 1, la restricción consistió en la inclusión dentro de la cámara de un laberinto radial de ocho brazos donde cuatro de ellos conducían directamente a un dispensador de agua cada uno. En el Experimento 2, los brazos del laberinto radial no estaban cerrados. De este modo, las ratas podían desplazarse por el área perimetral de la cámara experimental para acceder a los bebederos, o bien ingresar a ellos por los brazos del laberinto. Se comparó el desempeño de las ratas en ambas condiciones de restricción empleando programas múltiples dependientes y concurrentes de tiempo y/o intervalo fijo que determinaron las condiciones para la entrega de agua. Los resultados se analizaron a partir de las dimensiones molares del comportamiento. En ambos experimentos se presentó un número relativamente bajo de entregas de agua consumidas, así como una mayor variación y persistencia del comportamiento en la condición de laberinto radial. Los resultados se compararon con los obtenidos en otro estudio sin restricción espacial encontrando diferencias principalmente en las dimensiones de direccionalidad, persistencia y vigor del comportamiento.
Palabras clave: laberinto radial, restricción espacial, medidas molares, programas múltiples y concurrentes, agua.
Abstract: Two experiments evaluated the effects of two kinds of spatial restriction in a displacement chamber using rats as experimental subjects. In Experiment 1, restriction consisted in placing within the chamber an eight-arm radial maze, with each of four arms leading to a water dispenser. In Experiment 2, arms in the radial maze were not closed. Rats could move around the perimeter of the chamber to gain access to the dispensers or could do it through the arms of the radial maze. Rats’ performance in both conditions was compared using multiple dependent and concurrent schedules of fixed time and/or fixed interval. These schedules determined the conditions for water delivery. The results were analyzed considering spatial dimensions of behavior. In both experiments there was a relatively low number of consumed water deliveries, as well as a greater variation and persistence of behavior in the radial maze condition. The results were compared with those obtained in another study without spatial restriction, finding differences mainly in directionality, persistence and vigor dimensions of behavior.
Keywords: radial maze, spatial restriction, molar measurements, multiple and concurrent schedules, water.
EFECTOS DE DOS CONDICIONES DE RESTRICCIÓN ESPACIAL EN LA DISTRIBUCIÓN ESPACIOTEMPORAL DE LA CONDUCTA DE LA RATA
El análisis del comportamiento animal en el contexto de las diversas teorías del condicionamiento ha sido abordado usualmente con base en medidas de logro y/o de elección, es decir, considerando si las respuestas son “correctas” o “incorrectas” en relación con la obtención de consecuencias “positivas o “negativas”. Las propiedades dimensionales de la conducta no han sido tomadas directamente en cuenta, con excepción de los procedimientos de condicionamiento clásico (Pavlov, 1927; Spence, 1960) y de los procedimientos de reforzamiento correlacionado (Logan,1960) y de reforzamiento diferencial (Skinner, 1938; Notterman & Mintz, 1965). Las propiedades dimensionales de la conducta se derivan siempre a partir del movimiento del individuo respecto de sí mismo o respecto de otras entidades en el marco de coordenadas espaciotemporales. El tiempo, como dimensión, se identifica a partir de cambios locales o de translación en el espacio y, por consiguiente, las propiedades temporales del comportamiento no pueden medirse independientemente de los cambios del individuo en el espacio (Minkowsky, 1907-1908/2012; Maxwell, 1877/1925). Previamente (Ribes (2007;2018), se han propuesto cinco dimensiones de medida con base en el registro continuo del comportamiento en espacio y tiempo. Estas dimensiones son la direccionalidad, la variación, la preferencia, el vigor y la persistencia. La direccionalidad es la dimensión básica a partir de la cual se calculan las otras medidas y consiste, analógicamente, en las rutas recorridas por el individuo entre dos posiciones determinadas, usualmente dos objetos de estímulo (un dispensador, una palanca, u otros). Cada dimensión puede adoptar distintas medidas específicas, como ocurre en el caso de la direccionalidad en la que, por ejemplo, se pueden calcular las rutas funcionales y no funcionales, las rutas completas e incompletas, o la aproximación-alejamiento de un objeto en términos de tiempo y distancia. La variación se evalúa en términos de cambios respecto de la trayectoria ideal o de la cantidad de locaciones (o puntos espaciotemporales) visitados por el individuo, entre otros. La preferencia concierne a las distintas distribuciones espaciotemporales del comportamiento y se mide en términos de tiempos acumulados o del número de visitas prolongadas en determinadas zonas o áreas, que constituyen indicadores de la relevancia funcional de dichas locaciones. El vigor es una dimensión referente a las propiedades intensivasdel comportamiento y se calcula con base en los cambios de aceleración, la velocidad o el esfuerzo desarrollados, entre otros. Finalmente, la persistencia es una medida de la recurrencia de la respuesta en relación con características funcionales del ambiente, y se puede calcular por el número de repeticiones de un patrón (que incluye usualmente a la respuesta operante), el número de muestreos de los dispensadores vacíos, la duración de componentes terminales de un patrón y otros más. A continuación, se mencionarán dos estudios realizados en un espacio experimental ampliado, en el que se han tomado registros continuos espaciotemporales de la actividad de la rata, y se ha empleado las dimensiones de medida molares apenas descritas para su análisis.
Ribes-Iñesta, Palacios Pérez y Hernández Eslava (2020) examinaron el comportamiento de la rata en una cámara de desplazamiento de un tamaño un poco menor de un metro cuadrado, bajo programas concurrentes de tiempo fijo (TF). En el espacio experimental se ubicaron dos dispensadores de agua en paredes opuestas, y en cada dispensador operó un programa concurrente independiente fijo de distintos valores en cada una de las cinco fases del experimento. La disposición espacial opuesta y el que cada programa contara con un dispensador separado, permitió la independencia funcional real de los concurrentes. En la primera y última fases solo se entregó agua en uno de los dispensadores (el 1 o el 2) bajo un programa concurrente TF30 s - extinción, mientras que en las fases 2 y 4, operaron concurrentemente dos programas TF 120 s - TF40s (con dispensador invertido en cada fase). En la fase 3 operaron dos programas concurrentes TF60 s simultáneos, de modo que en todas las fases ocurrían cuatro entregas de agua cada dos minutos. A partir del registro continuo cada 0.2 de segundo del desplazamiento y posición de las ratas, se evaluaron medidas molares de direccionalidad, preferencia, variación, vigor y persistencia (Ribes-Iñesta, 2007; 2018). Los resultados mostraron que las distintas medidas del comportamiento de las ratas cambiaron de acuerdo con el número y distribución temporal de las entregas de agua en los dispensadores. Sin embargo, dichas medidas fueron relativamente independientes entre sí, siendo la direccionalidad, la preferencia y la variación las más sensibles a las contingencias programadas, y la persistencia y el vigor las menos sensibles.
En un segundo experimento, Ribes Iñesta y Tamayo (en prensa), evaluaron el comportamiento de ratas en la misma cámara experimental ampliada bajo condiciones libres de restricción espacial, empleando cuatro programas concurrentes y/o múltiples de entrega de agua en cuatro dispensadores colocados cada uno en cada pared de la cámara. En dicho experimento se utilizaron programas basados en tiempo, tiempo fijo (TF) e intervalo fijo (IF) de igual duración, para comparar el efecto de la entrega del agua de manera contingente o no contingente a la respuesta de presionar la palanca. Cada dispensador de agua contó con dos palancas, una en cada lado, pero solo operativa la del lado derecho. Los programas entregaron todos agua con base en un criterio de 30 s, y fueron de tipo concurrente o múltiple dependiente. En las primeras dos fases se presentaron los programas múltiples dependientes, un componente en cada dispensador y palancas correspondientes, en la primera con programas de intervalo fijo (IF) y en la segunda con programas de tiempo fijo (TF). En las fases 3 y 4 se presentaron, en la tercera programas concurrentes TF y en la cuarta programas concurrentes IF. Finalmente, en la quinta fase, se presentó un concurrente con dos componentes TF y dos componentes IF. En este experimento las ratas consumieron un porcentaje menor a la mitad de las aguas procuradas por los distintos programas, pero este efecto fue especialmente bajo en los programas múltiples en los que se perdieron prácticamente casi la totalidad de las entregas dadas o posibles. En general, las ratas fueron poco precisas en sus rutas respecto de los dispensadores funcionales en cada momento. Las otras medidas molares mostraron diferencias respecto del estudio de Ribes-Iñesta, Palacios Pérez y Hernández Eslava (2020).
Se diseñaron dos experimentos para evaluar la restricción al desplazamiento replicando las mismas fases, programas y condiciones experimentales apenas descritas. En el último cuarto de siglo pasado se diseñaron dos situaciones experimentales a partir de los laberintos y los callejones o pistas tradicionales (Hilgard & Marquis, 1961; Logan, 1960; Maier & Schneirla, 1964; Watson, 1914), con el fin de estudiar el desplazamiento restringido del animal en relación con la ubicación de las condiciones de estímulo. Se trata del laberinto de brazos radiales (Olton & Samuelson, 1976) y el laberinto circular (Barnes, 1979). El laberinto circular de Barnes permite el libre movimiento en un espacio con orificios, debajo de los cuales se puede ubicar alimento o agua. Es una situación de espacio texturizado, que puede ser útil para analizar específicamente la covariación entre desplazamiento y textura espacial. El laberinto radial es particularmente interesante porque cubre un área aproximada de un metro cuadrado, impone restricciones al desplazamiento en el área, permite colocar dispositivos adicionales de respuesta y dispensadores de agua o comida (entre otros) en cada brazo, y puede operar de manera continua y no solo con base en ensayos discretos. Desde este punto de vista, el laberinto radial, integrado como restricción espacial en un sistema de desplazamiento libre, puede ser de utilidad para extender las medidas molares al análisis del llamado condicionamiento instrumental, con base en la complementación del método de la operante libre mediante el análisis continuo de las dimensiones espacio/temporales del comportamiento en circunstancias ampliadas. Un estudio de Zimmerman (1959) constituye un antecedente en la integración del método de la operante y el del condicionamiento instrumental, aunque en dicho caso el objetivo fue evaluar condiciones para establecer reforzadores secundarios duraderos y efectivos.
De este modo, en los experimentos que se describirán se sobrepusieron 8 corredores con organización radial, cuatro de los cuales conducían a los dispensadores de agua y los otros a un callejón sin dispensador o punto muerto. En el primer experimento, con laberinto radial, la sobreposición de los callejones fue equivalente a la de un laberinto radial, pues para acceder a otro callejón, las ratas tenían que volver a recorrer la distancia en sentido contrario para llegar al área central del laberinto. Los espacios entre callejones (8 áreas triangulares) constituyeron un espacio muerto. En el segundo experimento, la restricción sobrepuesta consistió en un falso radial, pues los 8 callejones disponían de salidas laterales a las paredes de la cámara, de modo que podían recorrer su perímetro y las áreas triangulares limitadas por las paredes externas de los callejones, como en el laberinto circular. Las ratas podían ingresar a los dispensadores por los callejones correspondientes o por el perímetro de la cámara. Estas restricciones al desplazamiento dirigido y no dirigido de las ratas permitirían comparar los cambios en las distintas medidas molares respecto de la condición libre (Ribes & Tamayo en prensa), así como las distintas interacciones posibles entre restricciones espaciales (laberinto radial vs falso laberinto radial) de acuerdo con la secuencialidad y concurrencia de los programas de entrega de agua.
EXPERIMENTO 1
En este experimento se sobrepuso un laberinto radial de ocho callejones a una cámara de desplazamiento libre, con cuatro bebederos, bajo distintos programas de entrega de agua en fases sucesivas, incluyendo programas múltiples dependientes y programas concurrentes de tiempo fijo (TF) y de intervalo fijo (IF). Se supuso que podrían incrementar las medidas de persistencia y preferencia, así como detectar distintos tipos de alteraciones en la direccionalidad de las rutas, con un índice reducido de consumo de las aguas programadas.
MÉTODO
Sujetos
Se utilizaron cuatro ratas albinas macho (R01 a R04), cepa Wistar, de aproximadamente seis meses de edad, experimentalmente ingenuas, bajo un régimen de privación de agua de 23 horas, con acceso libre durante 30 minutos en sus cajas habitación después de cada sesión. Los animales tuvieron acceso continuo a comida. Se realizó una sesión diaria durante seis días a la semana. Cada sesión tuvo una duración de 30 minutos.
Se utilizaron cuatro ratas macho albinas (R05 a R08), cepa Wistar, de aproximadamente seis meses de edad, experimentalmente ingenuas, bajo un régimen de privación de agua de 23 horas, con acceso libre durante 30 minutos en sus cajas habitación después de cada sesión. Los animales tuvieron acceso continuo a comida. Se realizó una sesión diaria durante seis días a la semana. Cada sesión tuvo una duración de 30 minutos.
Aparatos
Se utilizó una cámara modular de desplazamiento marca Coulbourn Instruments ® con un espacio experimental de 92 cm. de ancho por 92 cm. de largo y 33 cm. de altura, colocada en una caja sonoamortiguada sobre una base de 100 cm desde el piso. Se ubicaron cuatro bebederos (MED ENV-202M-S) en cada una de las paredes de la caja. Como referencia, cada bebedero se ubicó a 21.5 cm medidos desde la esquina izquierda de cada pared hasta el punto central del dispensador. Sobre cada bebedero se colocó un juego de tres focos led verde, amarillo y rojo (MED ENV- 222-M); en el interior del bebedero se presentó una luz de 5 w. que se encendía durante la entrega de agua; en cada una de las paredes se ubicó un foco como luz general de 28 w. Cada bebedero estuvo provisto con un detector de entradas (MED ENV-254). La entrega se realizó bajo disponibilidad limitada de 3 segundos. Se colocaron ocho palancas (MED-ENV-110M) a 2.6 cm. del piso enrejado, dos para cada bebedero, uno a la derecha y el otro a la izquierda, que requerían una fuerza de 0.2 N para el cierre del microinterruptor. Solamente una de las palancas era operativa en cada bebedero (palanca derecha en todos los casos).
Se usó una PC Pentium 4 para el registro de los datos, el software “Ethovision versión 3.2” y una videocámara Panasonic Mod. RJ36, para analizar los patrones de desplazamiento de las ratas. La cámara se ubicó a una altura de 110 cm desde el piso del dispositivo experimental. Su posición fue en las coordenadas 45 cm (en el eje X) y 45 cm (en el eje Y) justo en el centro en relación con la cámara de desplazamiento. El sistema digitalizaba la posición de la rata cada 0.33 s, de manera continua durante toda la sesión. El registro realizado en video permitió una división virtual del espacio experimental en 64 celdas de 11.5 cm x 11.5 cm cada una. Se empleó una computadora adicional conectada a una interfaz (MED DIG-70-F) y software especializado (MED-PC ® IV) para el control y registro de dispositivos de luces, palancas, bebederos y detectores de entrada en bebedero.
Para las sesiones de moldeamiento que se llevaron a cabo después de la Fase 1, se emplearon cuatro cámaras de condicionamiento operante para ratas marca MED modelo ENV-008, de 24.3 cm x 29.5 cm x 29.5 cm ubicadas en cubículos atenuadores de sonidos. En cada cámara, en el centro de una de las paredes se colocó un bebedero a 2 cm del piso además de una palanca operativa ubicada a 3.5 cm a la derecha del bebedero. La palanca requirió una fuerza de 0.2 N para el cierre del interruptor.
En este estudio se incluyó una condición de restricción espacial que se denominó “Laberinto radial”. La cámara experimental incluyó divisiones hechas con láminas de acrílico de 4 mm de grosor distribuidas a manera de laberinto radial de ocho brazos donde cuatro de ellos conducían directamente a los bebederos mientras los otros cuatro correspondieron a entradas falsas que conducían a una de las paredes de la caja. La restricción espacial de esta condición se aprecia en la figura 1.

Procedimiento
Tabla 1. Diseño experimental por fases
| Condición de restricción | FASE 1 | FASE 2 | FASE 3 | FASE 4 | FASE 5 |
| Laberinto radial | MULT TF30-TF30- TF30-TF30 | MULT IF30-IF30- IF30-IF30 | CONC IF30-IF30- IF30-IF30 | CONC TF30-TF30- TF30-TF30 | CONC IF30-TF30- IF30-TF30 |
| Sesiones | 30 | 30 | 30 | 30 | 10 |
Cada una de las cuatro ratas pasó por cinco fases, donde las cuatro primeras estuvieron compuestas por 30 sesiones de 30 minutos. La Fase 5 se implementó como una fase de sondeo en la que se combinaron condiciones de las fases previas. Por esta razón, esta fase estuvo compuesta solamente por 10 sesiones de 30 minutos. La Tabla 1 describe las fases y los programas componentes de cada fase. La Fase 1 estuvo compuesta por un programa Múltiple TF30-TF30-TF30-TF30 en el cual la entrega de agua se efectuaba de manera no contingente en cada uno de los bebederos de forma secuencial cada 30 segundos. Cada entrega de agua duró 3 segundos. En este caso, las respuestas en las palancas no tuvieron consecuencias programadas. Al finalizar la primera fase cada una de las ratas fue moldeada a responder a la palanca por el método de aproximaciones sucesivas en una cámara de condicionamiento operante tradicional. Una vez lograda la primera respuesta de presión de la palanca, se estableció como criterio para pasar a la siguiente fase, la obtención de 100 entregas de agua en una sesión de 30 minutos bajo una condición de Rfc.
En la Fase 2 el agua se entregó de manera contingente bajo un programa Múltiple dependiente IF30-IF30-IF30-IF30, de forma secuencial en cada bebedero. Una vez que se entregaba el agua en un bebedero, el reloj del programa se iniciaba en el bebedero siguiente en la secuencia. De no producirse la entrega del agua en el primer dispensador, las respuestas en los dispensadores restantes no eran efectivas, dado el carácter dependiente del programa múltiple.
Durante la Fase 3 el programa en operación fue un Concurrente IF30-IF30- IF30-IF30. En este caso todos los bebederos operaban al mismo tiempo con relojes independientes. Posterior a la entrega de agua en un bebedero se reiniciaba el reloj que controlaba el programa en dicho bebedero.
En la Fase 4 el programa empleado fue un Concurrente TF30-TF30-TF30- TF30. En este caso, todos los bebederos operaban a la vez de manera independiente realizando una entrega no contingente de agua por 3 segundos cada 30 segundos.
Por último, en la Fase 5 se utilizó un programa Concurrente IF30-TF30-IF30- TF30. En cada uno de los bebederos fue implementado uno de los programas de la siguiente forma: en el Bebedero 1 y 3 un programa IF30 segundos, mientras que en los Bebederos 2 y 4 un programa TF30 segundos. Los cuatro programas fueron presentados de manera independiente.
En el caso de los programas múltiples cada componente estuvo correlacionado con el encendido de los tres leds que se colocaron sobre los bebederos de modo que las luces señalaban el dispensador en el cual el componente del programa múltiple se encontraba vigente. Durante los programas concurrentes, los leds sobre los dispensadores permanecieron encendidos y se apagaron durante las entregas de agua.
Análisis de datos
A partir del registro continuo de la posición de las ratas en el espacio experimental, se analizaron las siguientes medidas de cada una de las dimensiones molares: 1) como índice de direccionalidad, el número de trayectorias de tipo funcional entre dispensadores (ir al dispensador correcto). Se identificaron cuatro tipos de trayectorias: Tipo I, cuando se iba de un bebedero que entregaba agua al bebedero inmediato adyacente; Tipo II, cuando se pasaba de un bebedero a otro, saltando un bebedero intermedio en la secuencia, por ejemplo del 1 al 3; Tipo III, cuando se pasaba de un bebedero a otro saltando dos bebederos intermedios, por ejemplo del 1 al 4, o del 2 al 1 en sentido del reloj, y, Tipo IV, cuando se mantenía en o regresaba al mismo bebedero. Las trayectorias se presentan por sesión y fase. Así mismo se presentan como medida de direccionalidad las rutas analógicas del desplazamiento de las ratas en el espacio experimental. Se representa el recorrido realizado por la rata durante el primer y último ciclo de 30 segundos de la sesión inicial y final de cada fase; 2) como índice de preferencia se presenta el tiempo acumulado en cada una de las 64 celdas virtuales en las que se dividió el espacio experimental. El tiempo acumulado corresponde a la suma total del tiempo de permanencia (en minutos) en cada celda en todas las sesiones experimentales de cada fase; 3) como indicador de la variación, se presenta la mediana del número de visitas sin repetición por ciclo por fase. Una visita se considera al paso de la rata por una de las celdas virtuales en las que se dividió la cámara experimental. Dado que solamente se representan las visitas sin repetición, se eliminan del análisis aquellas celdas por las que la rata pasó más de una vez durante su desplazamiento, de manera que se analizan únicamente las celdas efectivamente utilizadas; 4) como medida de vigor se presenta la mediana de la velocidad corregida (descartando pausas) por ciclo por fase. En este caso se calculó la velocidad sin considerar todos aquellos casos en los que la rata permaneció sin moverse por un periodo igual o mayor a 3 segundos, de ahí su denominación como velocidad corregida; y 5) como indicador de la persistencia se presenta el número de respuestas de entrada de cabeza al dispensador cuando no había agua disponible. Adicionalmente, se incluye el número de entregas de agua contactadas y la frecuencia de presiones de palanca por sesión y fase. Las entregas de agua contactadas constituyen una medida de logro, es decir, del resultado del comportamiento operante o de desplazamiento oportuno de las ratas en cada condición. Las presiones de palanca son un dato complementario de la direccionalidad, funcional o no funcional, y no constituyen medidas de logro, pues en los programas de IF solo se requiere una respuesta para procurar la entrega del agua en este caso. Las trayectorias y las rutas se consideran como parte de la dimensión relativa a la direccionalidad del comportamiento; el tiempo acumulado en cada celda virtual se asume como parte de la dimensión de preferencia; las visitas sin repetición a las celdas virtuales se estiman como pertenecientes a la dimensión de la variación; en el caso de la velocidad corregida, se asume como parte de la dimensión del vigor de la conducta; finalmente, el número de respuestas de entrada de cabeza a dispensador cuando no hay agua disponible se considera como un indicador de la dimensión de persistencia del comportamiento.
Todos los datos se presentan individualmente para cada una de las cuatro ratas en el experimento.
RESULTADOS Y DISCUSIÓN
La figura 2 muestra las rutas analógicas de los recorridos de las ratas R01 a R04 en el primer y último ciclo de la primera y última sesión de cada fase experimental. En general se observaron rutas entre dos dispensadores en la mayoría de los casos, no necesariamente entre los dispensadores contiguos, sino también entre dispensadores opuestos en diagonal. Solo hubo un caso de ingreso en un callejón contiguo sin bebedero en la rata R01, y varios casos en los que las ratas permanecieron en el punto central del laberinto a lo largo del ciclo. Las ratas R02 y R04 realizaron algunos recorridos por tres o los cuatro callejones con dispensador.

Nota: SI: sesión inicial; SF: sesión final; C1: ciclo 1; C60: ciclo 60. Condición laberinto radial.
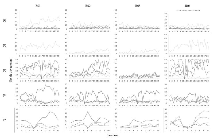
La figura 3 muestra los distintos tipos de trayectorias funcionales para cada una de las ratas en cada una de las sesiones de todas las fases experimentales. Tanto en las condiciones contingentes como en las no contingentes, la trayectoria funcional correspondió al recorrido de la rata entre dos dispensadores que procuraron agua y se identificó a partir de la adyacencia de la rata con el dispensador en el momento de la entrega. El cumplimiento de una trayectoria no implicaba que las ratas consumieran el agua disponible. De hecho, en la mayoría de los casos no contingentes daban la espalda al dispensador y no constataban la disponibilidad de agua. En el caso de los programas múltiples solo había un dispensador con agua disponible, a diferencia de los programas concurrentes en que todos disponían de agua simultáneamente. En esta figura se observa que durante la Fase 1, con un múltiple dependiente de componentes de TF, casi todas las trayectorias que concluyeron con consumo de agua fueron de tipo I, es decir, desplazándose al bebedero próximo siguiendo el orden de las manecillas del reloj. En la Fase 2 con un programa múltiple dependiente con componentes de IF, disminuyó el número de trayectorias funcionales completas en todas las ratas, excepto las ratas R01 y R04. En R04 hubo un incremento respecto a la Fase 1, mientras que las ratas R02 y R03 en muy pocas sesiones apenas alcanzaron a completar en ocasiones 10 trayectorias funcionales. En la Fase 3, con un programa concurrente con componentes de IF, cada rata mostró trayectorias diferentes. La rata R01 alcanzó a completar más de 100 trayectorias funcionales (se procuraban 8 entregas de agua por minuto, 240 en la sesión con el programa concurrente), con picos de 50 en las trayectorias tipo I seguidas por las de tipo IV y finalmente tipo I y II. La rata R02 mostró un incremento a lo largo de las sesiones con picos en las trayectorias tipo III, seguidos por las de tipo II y en menor medida, tipo I y IV. La rata R03 completó muy pocas trayectorias funcionales en comparación con las demás y combinó los cuatro tipos. La rata R04 mostró un incremento en trayectorias funcionales tipo III y IV siendo menos frecuente el tipo I. En la Fase 4, todas las ratas mostraron un mayor número de trayectorias tipo 4, con una disminución en el número de trayectorias funcionales respecto a la Fase 3, excepto la rata R03 con bajo desempeño en dicha fase, y de la rata R01 que mantuvo picos cercanos a 50 trayectorias. En la Fase 5, hubo una disminución en el total de trayectorias funcionales en todas las ratas, y la mayor parte fueron de tipo IV, que indican que recorrieron el mismo callejón en que estaban o simplemente se mantuvieron en el bebedero en que se había consumido agua previamente.

Nota: Tipo I = secuencia; Tipo II = un bebedero intermedio; Tipo III = dos bebederos intermedios; Tipo IV = tres bebederos intermedios (ver sección Análisis de datos).
La figura 4 muestra la variación en el desplazamiento de las ratas en términos de la mediana del número de visitas no repetidas por ciclo de sesión en cada fase. A mayor repetición de visitas, menos celdas distintas visitadas. La mediana de visitas no repetidas nunca fue mayor de 20 para todas las ratas, excepto para la rata R04 en la Fase 3. Los rangos superiores de las medianas siempre fueron menores que los rangos inferiores, indicando pocas variaciones en el desplazamiento respecto de las aproximadamente 44 celdillas en que se registraban visitas. Se puede observar, en general, una disminución en el número de visitas sin repetición al interior de cada sesión, a lo largo de las Fases 1 y 2 (con programas múltiples) y después en las Fases 3 y 4 (con programas concurrentes). En la Fase 5, hay mucha variación en el número de visitas no repetidas, excepto en la rata R03.

Nota: Las barras representan el rango intercuartil.
La figura 5 muestra el número de presiones de palanca y número de aguas consumidas en cada dispensador para cada rata en cada fase experimental. Estos datos complementan los relativos a las trayectorias funcionales. Debe destacarse que todas las ratas apretaron la palanca en la primera sesión experimental bajo un programa múltiple con componentes de TF. La frecuencia de presionar las palancas (cuatro operativas disponibles) fue menor para las ratas R02 y R04 en comparación con los sujetos R01 y R03, aunque disminuyendo considerablemente en el transcurso de la fase. Sin embargo, en ningún caso las cuatro ratas superaron las 10 entregas de agua consumidas (de 60 programadas por sesión). En la Fase 2 el número de respuestas y entregas de aguas consumidas incrementó en todas las ratas respecto a la Fase 1, aunque en menor medida en la rata R03. El mayor número de respuestas en las palancas operativas, así como de entregas de aguas consumidas se presentó en la Fase 3 (concurrente de componentes IF30) para todas las ratas. En la Fase 4, tanto las respuestas como las entregas de agua consumidas disminuyeron en el transcurso de las sesiones con algunos picos notorios en el caso de la rata R03 en las sesiones intermedias. Finalmente, en la Fase 5 se aprecia una tendencia al incremento tanto en respuestas a la palanca como en consumos de entregas de agua. Cabe destacar que por lo regular la frecuencia de respuesta fue mayor que el número de entregas de aguas consumidas, con excepción de algunas sesiones de las Fases 1, 4 y 5.

Nota: Los cortes en la línea indican pérdida de datos.
La figura 6 muestra las preferencias espaciales en la forma de tiempo acumulado de permanencia en cada celda del espacio experimental. Cada rata mostró diferentes preferencias que, por lo general, mantuvieron a lo largo de todo el experimento, independientemente de las distintas condiciones en cada fase. La rata R01 mostró mayor tiempo acumulado en los Bebederos 1 y 2, concentrándose en las últimas dos fases en la zona próxima al Bebedero 1, con poca permanencia en la zona central del laberinto. La rata R02 distribuyó su permanencia en las cuatro zonas de bebedero y el centro del laberinto en las tres primeras fases, para después concentrar su estancia principalmente en la zona del Bebedero 1. La rata R03 mostró inicialmente preferencia por el centro del laberinto y el Bebedero 3, pasando después a concentrar su permanencia en el centro y el Bebedero 1, y en la última fase en los Bebederos 1 y 2. La rata R04 tendió a distribuir sus estancias, en distinta medida, en las cuatro zonas de bebederos y en la zona centro, sin una preferencia destacada por alguna de ellas.

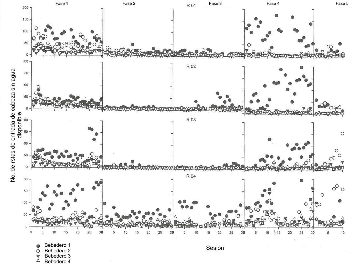
La figura 7 muestra el número de respuestas de entrada de cabeza en bebedero sin agua disponible por sesión para cada rata en cada fase experimental. Destaca la rata R04 que realizó 100 o más respuestas de entrada de cabeza sin agua disponible especialmente en los Bebederos 1 y 2 en las Fases 1, 4 y 5. En contraste, las demás ratas mostraron un menor número de respuestas de este tipo en las Fases 2 y 3 incrementándose a valores superiores a 100 respuestas en la Fase 4 todas en el Bebedero 1. La rata R01 realizó más de 100 respuestas de entrada de cabeza sin agua en algunas sesiones de la Fase 1.

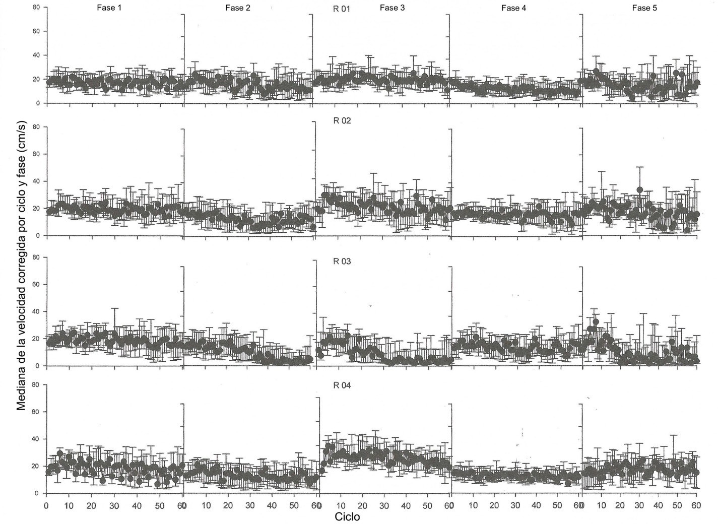
La figura 8 muestra la mediana de la velocidad corregida en cm/s por ciclo de todas las sesiones de cada fase experimental para cada rata. La velocidad corregida considera únicamente el tiempo efectivo de desplazamiento, eliminando las estancias. En términos generales, la velocidad mediana fue inferior a 20 cm por segundo, excepto en la Fase 3 (con concurrentes de IF) en que alcanzó los 40 cm por segundo.

Los resultados de este estudio sugieren que las restricciones físicas impuestas por los brazos del laberinto produjeron trayectorias completas estereotipadas respecto a algunos de los dispensadores de agua, especialmente el 1 y el 2, sin que estas trayectorias correlacionaran con el consumo de agua disponible o producible. A pesar de ello, la mayoría de las ratas tendieron a permanecer tiempo en las zonas próximas a los dispensadores, aunque en un principio también pasaron tiempo en la zona central. Se observaron frecuentes respuestas de entrada de cabeza de los dispensadores cuando no tenían agua, probablemente ligados a estancias prolongadas, como lo muestran los tiempos acumulados en esas zonas. El mayor consumo de agua tuvo lugar bajo programas concurrentes de IF, en los que el agua se entregaba estando presente la rata al presionar la palanca, a diferencia de los concurrentes de TF. Lo mismo se observó en la relación entre programas múltiples con componentes de IF y de TF. La mayor parte de las trayectorias completas en las primeras tres fases fueron al siguiente dispensador en la secuencia. En cambio, en las Fases 3 y 5 las trayectorias fueron entre dispensadores alternados o en el mismo dispensador en que se había entregado el agua.
EXPERIMENTO 2
Se planeó un segundo experimento replicando todas las condiciones del Experimento 1, exceptuando las restricciones espaciales sobrepuestas a la cámara ampliada de desplazamiento. En este caso, al final de cada callejón, las ratas podían circular por las paredes laterales de la cámara e ingresar por ellas directamente a los bebederos. Se supuso que, en comparación con el Experimento 1, las ratas podrían consumir más entregas de agua bajo programas concurrentes, al igual que en los programas múltiples de seguir la secuencia adecuada.
MÉTODO
Sujetos
Se utilizaron cuatro ratas macho albinas (R05 a R08), cepa Wistar, de aproximadamente seis meses de edad, experimentalmente ingenuas, bajo un régimen de privación de agua de 23 horas, con acceso libre durante 30 minutos en sus cajas habitación después de cada sesión. Los animales tuvieron acceso continuo a comida. Se realizó una sesión diaria durante seis días a la semana. Cada sesión tuvo una duración de 30 minutos.
Aparatos
Los mismos que en el Experimento 1. La única diferencia fue que en este experimento se incluyó una condición de restricción espacial que se denominó “Falso laberinto radial”, en la que la cámara experimental incluyó divisiones hechas con láminas de acrílico de 4 mm de grosor distribuidas a manera de la condición laberinto radial del Experimento 1, pero con canales laterales de salida y desplazamiento tal como se aprecia en la figura 9.

Diseño
Igual que en el Experimento 1.
Procedimiento
Igual que en el Experimento 1
RESULTADOS Y DISCUSIÓN
La figura 10 muestra las rutas analógicas de las cuatro ratas en el primer y último ciclo de la primera y última sesión de cada fase experimental. Se observan una diversidad de rutas, que incluyen dos o tres callejones recorridos por ciclo. En otros casos, hay recorridos por callejones sin bebedero o permaneciendo en el centro del laberinto en el transcurso del ciclo. En todas las ratas se aprecia por lo menos un ciclo en el que se dieron recorridos perimetrales por la cámara experimental.

La figura 11 muestra los distintos tipos de trayectorias funcionales completas de cada rata en cada una de las sesiones de las distintas fases experimentales. En la Fase 2 con un programa múltiple de componentes de IF todas las trayectorias (hasta 40 por sesión) fueron de Tipo I, es decir, al bebedero próximo inmediato siguiendo las manecillas del reloj. En la Fase 5 la mayor parte de las trayectorias fue de Tipo IV. En general, las ratas de este experimento mostraron un menor número de trayectorias funcionales en comparación con las ratas del Experimento 1.

Nota: Tipo I = secuencia; Tipo II = un bebedero intermedio; Tipo III = dos bebederos intermedios; Tipo IV = tres bebederos intermedios (ver sección Análisis de datos).
La figura 12 muestra la mediana del número de visitas sin repetición por ciclo (de 30 s) de todas las sesiones de cada fase experimental. En el caso de este experimento, dado que los brazos del laberinto radial no estaban cerrados, y las ratas podían recorrer la cámara por las paredes laterales, se computaron las 64 celdas del espacio experimental. A mayor número de celas visitadas sin repetición, mayor variación en el desplazamiento, mientras que a menor número menor variación y mayor estereotipia en los recorridos. En las Fases 1, 2, 4 y 5 todas las ratas mostraron medianas iguales o menores a 20 visitas sin repetición con una tendencia decreciente. Esta tendencia no se presentó en la Fase 3, para todas las ratas y en la Fase 5 para la rata R05, ambas fases con programas concurrente con todos o parte de los componentes de IF en las que se mostró mayor variación.

La figura 13 muestra la frecuencia de presionar cada una de las cuatro palancas, así como el número de aguas consumidas para cada una de las ratas en todas las fases. En primer lugar, se observa que el menor número de respuestas y entregas de agua consumidas se dio en la Fase 1 con un programa múltiple dependiente con componentes de TF. En la Fase 2 con un programa múltiple con componente IF, la frecuencia total de presiones de palanca y el número de entregas de agua consumidas incrementó en el transcurso de las sesiones. La misma tendencia se observó en la Fase 3, bajo un programa concurrente con componentes de IF. Por el contrario, en la Fase 4, se observó una tendencia inversa en la que la frecuencia de respuestas y el número de entregas de agua consumidas disminuyó con el paso de las sesiones. Finalmente, en la Fase 5, bajo un programa concurrente con dos componentes de IF y dos de TF, el número de respuestas y entregas de agua consumidas incrementó respecto a la fase previa observándose una tendencia muy similar entre respuestas y consumos. A excepción de algunas sesiones de las Fases 1 y 4, en todas las demás fases la frecuencia de respuesta a las palancas fue mayor que el número de entregas de agua consumidas.

Nota: Los cortes en la línea indican pérdida de datos.
La figura 14 muestra la preferencia por distintas ubicaciones del espacio experimental en términos del tiempo acumulado en cada celda de la cámara. El sujeto R05 permaneció el mayor tiempo de las fases experimentales en las zonas de los Bebederos 1 y 2. La rata R07 distribuyó sus estancias entre las zonas de bebederos, pero principalmente en los Bebederos 1, 2 y 3. Los sujetos R06 y R08, acumularon sus estancias principalmente en el Bebedero 1 y en la zona central de la cámara experimental con un incremento en la permanencia en el Bebedero 3 a partir de la Fase 2 para la rata R06, y en los cuatro dispensadores en la Fase 5 y; en el caso de la rata R08, se incrementó la estancia en los cuatro dispensadores en la Fase 3.

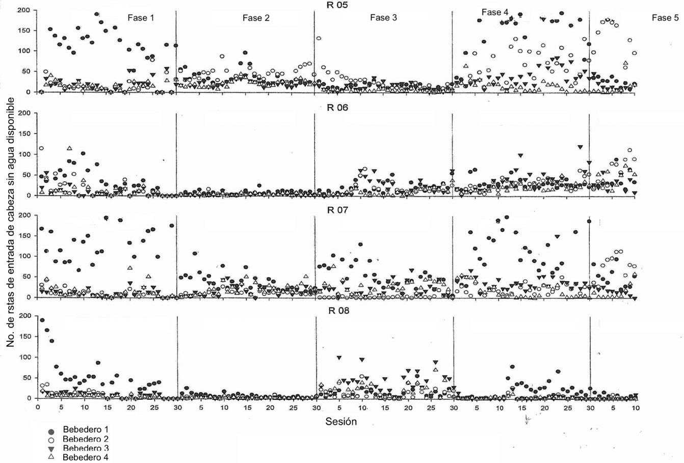
La figura 15 describe la persistencia en términos del número de respuestas de entrada de cabeza en bebedero cuando no estaba entregando agua, por sesión y en todas fases experimentales. En la Fase 1 todas las ratas mostraron hasta 200 respuestas de entrada en los bebederos sin agua, especialmente en el Bebedero 1. Un efecto similar se observó en la Fase 4, ambas fases con programas de TF (uno en múltiple, el otro en concurrente). En las Fases 2 y 3, con componentes de IF, el número de respuestas de este tipo disminuyó, y en la Fase 5 todas las ratas, excepto la rata R08, mostraron entre 130 y 200 ingresos a los Bebederos 1 y 2 sin agua.

La figura 16 muestra la mediana de velocidad corregida para cada uno de los ciclos (de 30s) de todas las sesiones para cada fase, como una medida de vigor. Exceptuando la Fase 3, en que la mediana de la velocidad corregida, de carrera efectiva sin estancias, alcanzó 30 cm por segundo, en el resto de las fases experimentales, se mantuvo en 20 cm por segundo o menos. La disponibilidad concurrente en IF promovió mayor velocidad que en valores equivalentes en TF.

Los resultados de este experimento muestran consistencias entre medidas bajo el efecto de programas concurrentes con componentes de IF. La comparación entre fases muestra que fue en la Fase 3 en la que se produjeron más respuestas de presionar la palanca, mayor consumo de agua, menor número de respuestas de entrada de cabeza a los bebederos sin agua, mayor variación en términos de visitas no repetidas a las distintas celdillas del espacio experimental, y mayor vigor en términos de la velocidad corregida. En cambio, en las dos fases con programas múltiples, que requería que las ratas siguieran una secuencia espacial, discriminada en cada momento por las luces en el dispensador que correspondía, se observaron menos consumos de aguas, menor variación en los recorridos de las ratas, mayor número de respuesta de entrada a dispensador sin agua disponible, y el valor de velocidad más bajo en el experimento. En cuanto a preferencias no se observaron diferencias entre las distintas fases experimentales, y en el caso de la segunda fase, dos de las ratas (R05 y R07) mostraron el mayor número de trayectorias secuenciales completas, obteniendo ambas en la última sesión un total de 73 consumos de agua, a partir de 444 presiones de la palanca, lo que sugiere que se dieron respuestas adicionales en el operando, antes y después de la disponibilidad del agua. En general, en la Fase 5, en que se presentó un programa concurrente con componentes de IF y de TF, se observó mayor variabilidad intra y entre sujetos en todas las medidas (preferencia, velocidad, entrada de cabeza a bebedero sin agua disponible, visitas sin repetición), así como el mayor número de trayectorias funcionales completas con tres dispensadores intermedios, es decir, permaneciendo en el mismo bebedero o recorriendo de vuelta el mismo brazo del laberinto. Se presentaron rutas analógicas de recorrido perimétrico del espacio experimental, adicionalmente a las de recorrido de uno, dos o tres brazos del laberinto. Sin embargo, no se observó una correlación consistente entre el tipo de ruta y alguna condición experimental.
DISCUSIÓN GENERAL
Los dos experimentos descritos evaluaron el efecto de dos tipos de restricción espacial en una cámara ampliada de desplazamiento para ratas. Se registró en forma continua en tiempo y espacio el desplazamiento y posición de las ratas en cada una de las 64 celdillas en que se dividió el espacio experimental, y dicho registro se transformó en medidas de direccionalidad, variación, preferencia, vigor y persistencia, incluyendo además las frecuencias locales de presionar cuatro operandos disponibles (palancas) y las entregas de agua consumidas en cuatro dispensadores distintos bajo diferentes condiciones experimentales. Estas consistieron en programas múltiples dependientes y programas concurrentes, con componentes de tiempo fijo (TF) y/o intervalo fijo (IF).
Las restricciones espaciales fueron distintas en cada experimento. En el Experimento 1 se sobrepuso un laberinto radial de ocho brazos, con cuatro de dichos brazos terminando en un dispensador, de modo que el único desplazamiento posible era dentro del laberinto radial, su punto central y sus brazos. En el Experimento 2, los brazos del laberinto radial no estaban cerrados, sino que tenían continuidad con las paredes perimetrales de la cámara experimental, de modo que las ratas podían desplazarse por el espacio completo (de 64 celdillas) en comparación con el espacio reducido de 43 celdillas del primer estudio. Podían ingresar a los dispensadores por la periferia, por el centro del laberinto, o incluso por uno de los brazos sin dispensador asociado. Es de interés comparar el comportamiento de las ratas bajo estas restricciones en cada uno de los programas de entrega de agua empleados en cada fase.
Podría suponerse que la estructura espacial procurada por los brazos del laberinto, al restringir los desplazamientos “libres”, debería facilitar la localización de los dispensadores, cuando menos bajo los programas múltiples dependientes de TF e IF. Los resultados de ambos experimentos muestran lo contrario, pues en ambos experimentos las ratas consumieron un número relativamente bajo de entregas de agua (en relación con las entregadas o programadas). Las trayectorias funcionales completas fueron, por lo general, parecidas en ambos experimentos en la Fase 2 con trayectoria secuenciales tipo I y en la Fase 5 con trayectorias tipo IV que partían y regresaban al mismo dispensador. En cambio, en el laberinto radial se observaron un mayor número de trayectorias secuenciales tipo I en la Fase 1, y a partir de la Fase 3 un total mayor de trayectorias funcionales completas que con el falso radial. En el caso del laberinto radial con los callejones cerrados, se observó que en muchas ocasiones las ratas daban la espalda al bebedero y perdían el agua disponible. En el programa múltiple IF dos de las cuatro ratas en cada uno de los experimentos realizaron el mayor número de trayectorias funcionales completas de tipo secuencial (tipo I), como lo requería el programa, y obtuvieron más del doble de aguas que en el programa múltiple con TF. En todas las ratas el consumo de agua fue mayor con programas de IF que con TF, sugiriendo que su entrega contingente al presionar la palanca facilitó el contacto proximal con la disponibilidad de agua. En ambos experimentos, la mayor parte de los consumos de agua se dieron en la Fase 3 con un programa concurrente con IF, que permitía contactar el agua como efecto de presionar la palanca y qué, además, no requería de secuencialidad dependiente. Debe destacarse que en todas las fases experimentales con programas de TF (concurrentes o múltiples) las ratas presionaron la palanca, incluso en la Fase 1 en que no se habían expuesto previamente a ese requerimiento. Es importante recordar que en los programas contingentes IF solo se requiere de una respuesta para producir el agua. El valor del intervalo es un tiempo “muerto” funcionalmente, y por esta razón no se dio necesariamente un mayor consumo de agua con mayor número de presiones de palanca. El efecto fue siempre mayor cuando se pasó de programas IF a TF, especialmente entre la última sesión del IF a la primera en el TF.
Se observaron diferencias en las rutas analógicas entre ambos experimentos, pues mientras en el laberinto radial se dieron rutas dentro de un ciclo de entrega de agua cubriendo el recorrido de tres brazos distintos, en el falso radial ocurrieron raramente, observándose rutas de tipo perimetral por las paredes laterales de la cámara, de modo que el acceso a los bebederos tuvo lugar en ocasiones sin entrar al laberinto propiamente dicho. Las ratas en el laberinto radial mostraron más estereotipia en sus desplazamientos, es decir, repitieron mayor número de celdas que las ratas en el falso radial. Este efecto fue inducido por la mayor restricción del laberinto radial que redujo el acceso a cuando menos 20 de las 64 celdillas del espacio experimental. Sin embargo, debe mencionarse que la diferencia en variación entre ambas situaciones tuvo lugar de manera especial en la Fase 3 en el falso radial, en que bajo programas concurrentes de IF las ratas mostraron mayor variación en sus recorridos. Aunque en esa fase de los experimentos, las ratas consumieron más agua, producida por la presión de la palanca, las ratas en el falso radial tuvieron un mayor consumo por la facilidad de trasladarse entre los distintos componentes concurrentes con menos restricciones. La estereotipia en el laberinto radial se confirmó por los tiempos acumulados prácticamente en solo dos dispensadores (1 y 2) y en ocasiones en el punto central, mientras que en el falso radial también hubo permanencia en el dispensador 3 y en varios puntos de las paredes del espacio experimental. Se dieron mayor número de respuestas de entrada de cabeza a bebedero sin agua disponible en laberinto radial que en el faso radial, aunque el mayor número de estas respuestas en ambas situaciones coincidió en las Fases 1 y 4, y en algunas ratas en la Fase 5, todas ellas bajo algún tipo de programa de TF, concurrente o múltiple. Esto sugiere que el bajo consumo de agua no resultó solamente de la imposibilidad de trasladarse a cuando menos 2 o 3 de los dispensadores simultáneos, sino del hecho de que se permaneció en solo algunos de ellos metiendo la cabeza en el dispensador fuera de tiempo respecto de la disponibilidad de agua, mostrando poca sincronía con los ciclos de entrega. El vigor del desplazamiento de las ratas, medido como velocidad corregida, fue similar en ambas situaciones, excepto por un vigor duplicado de las ratas en la Fase 3 del falso radial, bajo un concurrente con componentes de IF.
En un estudio previo (Ribes-Iñesta & Tamayo, en prensa) se empleó la cámara experimental aquí descrita, pero libre de restricciones espaciales que afectaran el desplazamiento de las ratas. Se empleó un procedimiento igual al de los dos experimentos aquí descritos, y los resultados mostraron algunas diferencias. La mayor parte de las trayectorias funcionales fueron de tipo II o III (con uno o tres bebederos intermedios), lo que afectó el desempeño en las fases con programas múltiples dependientes, en donde prácticamente no hubo consumo de agua. A pesar de la falta de restricción espacial, hubo poca variación (en términos de visitas no repetidas), por la permanencia elevada en algunos de los bebederos. El consumo de agua más elevado tuvo lugar durante los programas concurrentes, ya fueran de IF o de TF, pero fue en presencia de los programas concurrentes de TF donde también ocurrió el mayor número de respuestas de entrada de cabeza en dispensadores sin agua, confirmando la baja sincronización de las ratas con las entregas simultáneas de agua (a las que cuando menos podían acceder a dos o tres, en casos de desplazamiento rápido). El vigor del desplazamiento fue mayor que en los estudios con laberintos sobrepuestos, pues se alcanzaron velocidades de 70 cm por segundo. Estos resultados reafirman que las ejecuciones típicas bajo programas de reforzamiento se deben, principalmente, al uso de un máximo de dos programas, con operandos y dispensadores contiguos, en un espacio reducido. Estas características espaciales favorecen medidas de persistencia (entradas de cabeza al dispensador cuando no hay agua disponible y frecuencias moderadas o elevadas de respuesta en el operando) así como estereotipia y poca variación en el desplazamiento.
Los resultados obtenidos en los dos experimentos aquí descritos no concuerdan con algunos hallazgos particulares de la literatura experimental en la que se emplean laberintos, especialmente en lo que refiere a las rutas y trayectorias. Un patrón típico reportado por dicha literatura es que las ratas tienden a visitar el brazo adyacente o contiguo al recientemente visitado (por ejemplo, ver Innis & Macgillivray, 1987, usando privación de agua). En el presente estudio, por el contrario, las ratas tendieron a visitar el brazo opuesto, o bien dejaron un brazo intermedio sin viitar, incluso desde el primer ciclo de la primera sesión de la primera fase. Respecto de la variación del comportamiento de las ratas, en el Experimento 1 de este estudio se observó poca variación del comportamiento en términos del número de celdas visitadas sin repetición. Este hallazgo no concuerda con lo reportado en la literatura con laberintos, en los que las ratas tienden a visitar los brazos de laberintos de 4 o más brazos sin repetirlos al interior de un mismo ensayo (Olton & Samuelson, 1976) o entre ensayos (Buresova & Bures 1982). Esto supondría una alta variación del comportamiento. Por el contrario, en el Experimento 1 se encontró que las ratas por lo regular recorrían las mismas celdas, reingresaban a brazos ya visitados, o incluso permanecían al interior de estos en las áreas adyacentes a bebederos por lo que además de poca variación, se presentó una alta preferencia en la forma de permanencia acumulada en dichas zonas del laberinto.
En los estudios con laberintos se ha reportado la emergencia de patrones de ingresos a brazos adyacentes sin repetición de los ya visitados (Buresova & Bures, 1982; Guitar & Roberts, 2015). La ocurrencia de ingresos a brazos no adyacentes y la repetición de brazos ya visitados en este estudio (por lo menos en las dos primeras fases en las que las condiciones programadas implicaron secuencia de visitas), no permite corroborar tales supuestos. Por otra parte, la literatura experimental con laberintos por lo general reporta que la elección correcta de los brazos de un laberinto se ve facilitada por la presencia de claves contextuales que señalan los brazos en los que la comida se encuentra disponible (Shishimi & Nakajima, 2007), o bien se asume que los organismos son capaces de guiar su conducta a partir del seguimiento de claves extra o intralaberinto (Babb & Crystal, 2003). En el caso de este estudio, los tres leds ubicados sobre cada dispensador indicaban la disponibilidad del agua al final del intervalo (tanto en las condiciones con TF como en las de IF). A pesar de ello, no se observó un consumo estable de entregas de agua, sino que estas incrementaron cuando se procuraban con base en programas concurrentes de IF, concurrentes de TF y múltiples de IF, en ese orden, aun cuando, como ya se señaló previamente, el porcentaje de consumo de aguas siempre fue menor que el 40 % de las entregas programadas. La relación contingente de la presentación del agua respecto la presión de la palanca aumentó el número de consumos de agua, efecto que, en menor cantidad, tuvo lugar cuando se presentaron programas concurrentes de TF por la disponibilidad simultánea de agua en los cuatro dispensadores. No está de más señalar que en nuestros experimentos se miden las dimensiones continuas del comportamiento de las ratas, sin interrupciones entre ensayos, y con exposiciones temporales de duración predeterminada, usualmente durante periodos que superan los cuatro meses. Esta exposición prolongada intra y entre sesiones permite evaluar efectos estables y transitorios de las condiciones experimentales en cada uno de los sujetos y su comparación directa.
REFERENCIAS
Babb, S. J., & Crystal, J. D. (2003). Spatial navigation on the radial maze with trial-unique intramaze cues and restricted extramaze cues. Behavioural Processes, 64(1), 103–111. https://doi.org/10.1016/s0376-6357(03)00125-6
Barnes, C. A. (1979). Memory deficits associated with senescence: A neurophysiological and behavioral study in the rat. Journal of Comparative and Physiological Psychology, 93(1), 74–104. https://doi.org/10.1037/h0077579
Bekhterev, V. (1904/1906). La Psychologie objective (2). Revue Scientifique:revue- rose-5°série,6(13), 390-396.
Buresova, O., & Bures, J. (1982). Capacity of working memory in rats as determined by performance on a radial maze. Behavioural Processes. 7(1):63-72. DOI: 10.1016/0376-6357(82)90053-5.
Ferster, C. B. (1953). The use of the free operant in the analysis of behavior. Psychological Bulletin, 50(4), 263–274. https://doi.org/10.1037/h0055514
Guitar, N. A., & Roberts, W. A. (2015). The interaction between working and reference spatial memories in rats on a radial maze. Behavioural Processes, 112, 100–107. https://doi.org/10.1016/j.beproc.2014.10.007
Hilgard, E. R., & Marquis, D. G. (1961). The century psychology series. Hilgard and Marquis’ conditioning and learning (2nd ed.). Appleton-Century-Crofts
Innis, N. K., & Macgillivray, M. (1987). Radial maze performance under food and water deprivation. Behavioural Processes, 15(2-3), 167–179. https://doi. org/10.1016/0376-6357(87)90005-2
Kupalov, P.S. (1983) Situational conditional reflexes. The Pavlovian Journal of Biological Science 18, 13–21. https://doi.org/10.1007/BF03004907
Logan, F. A. (1960). Incentive: How the conditions of reinforcement affect the performance of rats. Yale Univer. Press.
Maier, N. R. F., & Schneirla, T. C. (1935). Principles of animal psychology. New York: McGraw Hill.
Maxwell, J.C. (1877/1925). Matter and motion. Londres: The Sheldon Press.
Minkowski, H. (1907-1908/2012). Space and time: Minkowski’s papers on relativity. Montreal, QUE: Minkowski Instituye Press.
Notterman, J.M., & Mintz, D.E. (1965). Dynamics of response. NY: John Wiley.
Olton, D. S., & Samuelson, R. J. (1976). Remembrance of places passed: Spatial memory in rats. Journal of Experimental Psychology: Animal Behavior Processes, 2(2), 97–116. https://doi.org/10.1037/0097-7403.2.2.97
Pavlov, I. P. (1927). Conditioned reflexes: an investigation of the physiological activity of the cerebral cortex. Oxford Univ. Press.
Ribes-Iñesta, (2007). Estados y límites del campo, medio de contacto y análisis molar del comportamiento: reflexiones teóricas. Acta Comportamentalia, 15, 2, 229-259.
Ribes-Iñesta, E. (2018). El estudio científico de la conducta individual: una introducción a la teoría de la psicología. CDMX: El Manual Moderno.
Ribes-Iñesta, E., Palacios Pérez, H.B. & Hernández Eslava, V. (2020). Continuous Measuring of Temporal and Spatial Changes in Rats’ Behavior under Water Temporal Schedules. Psychological Record, 70, 267–278. https://doi. org/10.1007/s40732-020-00389-z
Ribes-Iñesta, E., & Tamayo, J. (en prensa). Evaluación de diferentes contingencias temporales y espaciales en un ambiente experimental ampliado con cuatro dispensadores de agua. Revista Mexicana de Análisis de la Conducta, 46(2).
Shishimi, G., & Nakajima, S. (2007). Contextual control of rats’ foraging behaviour in a radial maze. Behavioural processes, 74(1), 97–103. https://doi.or- g/10.1016/j.beproc.2006.10.011
Skinner, B. F. (1938). The behavior of organisms: an experimental analysis. Appleton-Century.
Spence, K.W. (1960). Behavior theory and learning. Englewood Hills, NJ: Prentice Hall.
Watson, J. B. (1914). Behavior: An Introduction to Comparative Psychology. New York. Henry Holt.
Zimmerman, D. W. (1959). Sustained performance in rats based on secondary reinforcement. Journal of Comparative and Physiological Psychology, 52(3), 353–358. https://doi.org/10.1037/h0045807
Notas
Humano, Av. Araucarias esq. Agustín Melgar s/n, Col. Revolución, 91100 Xalapa, México Correo electrónico: eribes@uv.mx