Descripción de contingencias en la adquisición y transferencia de discriminaciones condicionales en niños
Descripción de contingencias en la adquisición y transferencia de discriminaciones condicionales en niños
Acta Comportamentalia: Revista Latina de Análisis de Comportamiento, vol. 29, núm. 2, pp. 99-118, 2021
Universidad Veracruzana

Recepción: 08 Septiembre 2020
Aprobación: 10 Febrero 2021
Resumen: Cuatro grupos de niños fueron expuestos a una tarea de igualación de la muestra de segundo orden y cuatro pruebas de transferencia. Utilizando diferentes videograbaciones, se presentaron descripciones de contingencia particulares para tres grupos de participantes. El grupo restante se entrenó sin descripciones. Las videograbaciones describieron las modalidades relevantes para las respuestas de igualación correctas, o bien las relaciones de igualación en curso de una manera específica o inespecífica. Los tres tipos de descripciones mejoraron la ejecución en el entrenamiento y las pruebas de transferencia. El entrenamiento sin descripciones de contingencia produjo el porcentaje más bajo de respuestas correctas a lo largo del experimento. Ambos tipos de descripciones que refirieron las relaciones de igualación en curso produjeron ejecuciones de transferencia extra-relacional más altas que las descripciones que refirieron modalidades relevantes de igualación. Los resultados concuerdan con experimentos similares realizados con adultos jóvenes y confirman los efectos de las descripciones de contingencia sobre el comportamiento sustitutivo.
Palabras clave: instrucciones, discriminación condicional, transferencia, igualación de la muestra de segundo orden, niños.
Abstract: Four groups of children were exposed to a second-order matching-to-sample task and four transfer-tests. Using different video-recordings, particular contingency-descriptions were presented for three groups of participants. The remaining group was trained without descriptions. Video-recordings described relevant modalities for correct matching responses, or the ongoing matching relations in a specific or an unspefic fashion. The three kinds of descriptions enhanced performance in training as well as in transfer-tests. Training without contingency-descriptions produced the lowest percentage of correct responses along the experiment. Both kinds of descriptions that referred matching relations produced a higher extra-relational transfer than descriptions that referred relevant matching modalities. Results agree with similar experiments conducted with young adults and confirm the effects of contingency-descriptions on substitutive behavior.
Keywords: instructions, conditional discirmination, transfer, second-order matching-to-sample, children.
DESCRIPCIÓN DE CONTINGENCIAS EN LA ADQUISICIÓN Y TRANSFERENCIA DE DISCRIMINACIONES CONDICIONALES EN NIÑOS
En un procedimiento de igualación de la muestra de primer orden se presentan un estímulo de muestra (EM) y dos o más estímulos de comparación (ECO), de entre los cuales un participante debe elegir aquel que corresponde con el EM de acuerdo con una relación de igualación preestablecida. Por lo general, las respuestas de igualación se retroalimentan en cada ensayo de acuerdo con su carácter acertado o erróneo respecto de dicha relación, sin embargo, es posible que la retroalimentación se presente de manera intermitente entre los ensayos o bien de manera “acumulada” al final de cada sesión de entrenamiento. El procedimiento de igualación de la muestra de segundo orden difiere del anterior, debido a que adicionalmente se presentan estímulos que discriminan (Serrano et al., 2006) o instruyen visualmente (Ribes & Torres, 2001) la relación de igualación vigente en cada ensayo, lo que permite incluir aleatoriamente dos o más relaciones de igualación por sesión de entrenamiento.
Diversos estudios previos (e.g., Cepeda et al., 1991; Ribes et al., 1992a; 1992b1995a; 1995b; Ribes & Ramírez, 1998; Ribes & Serrano, 2006) han mostrado que la descripción de contingencias durante el entrenamiento de discriminaciones condicionales mediante procedimientos de igualación de la muestra, favorece la precisión de la ejecución en pruebas de transferencia en las que se introducen diferentes variaciones (Varela & Quintana, 1995) respecto de las condiciones originales de entrenamiento. Tales estudios se han realizado bajo el amparo conceptual de la propuesta taxonómica de Ribes y López (1985), de acuerdo con la cual la ejecución mostrada en dichas pruebas permite inferir si el comportamiento del participante durante el entrenamiento se estructuró sobre la base de las propiedades aparentes de los eventos de estímulo involucrados, o bien a partir del comportamiento lingüístico del propio individuo.
Aunque no constituyen criterios definitivos, Ribes et al. (2009) sugirieron que ejecuciones elevadas al cambiar las instancias de estímulo (e.g., triángulos, cuadrados y pentágonos de colores verde, amarillo y rojo por rombos, círculos y paralelo- gramos de colores azul, rosa y negro) o las modalidades (e.g., la forma por el color) pertinentes de igualación, únicamente permiten inferir que el comportamiento del participante quedó regulado por las propiedades aparentes de los eventos de estímulo. Una alta precisión de la ejecución al cambiar la dimensión en la que tiene lugar la tarea (e.g., numérica por geométrica), permite inferir que el comportamiento del participante se estructuró al nivel de la función sustitutiva no referencial, mientras que porcentajes de aciertos elevados al introducir nuevas relaciones de igualación permiten inferir que el comportamiento tuvo lugar al nivel de la función sustitutiva referencial. En este último caso en particular, de acuerdo con Ribes y Zaragoza (2009) “el individuo tiene que interactuar lingüísticamente respecto de su propio desempeño en la tarea”. […] lo que “le permite responder en momentos ulteriores de la solución del problema, o de un nuevo problema, con base en las propiedades que puede atribuir a la situación dado su desempeño eficaz previo” (p. 62).
En una serie de experimentos utilizando tareas de igualación de la muestra de segundo orden, las descripciones de contingencias se agregaron a las instrucciones iniciales de la tarea (Serrano et al., 2008), se presentaron al interior de cada ensayo de igualación en sustitución de los estímulos de segundo orden (ESO) propiamente dichos (Serrano et al., 2006), o bien formaron parte de la retroalimentación de la ejecución después de cada respuesta de igualación (Serrano et al., 2010). Entre grupos de participantes, las descripciones de contingencias implicaron diferentes niveles de especificidad. Por ejemplo, en el caso de su agregación como parte de la retroalimentación, las descripciones hicieron referencia a la instancia de estímulo que constituyó la opción de respuesta correcta en cada ensayo (e.g., ¡Correcto! Elegiste el triángulo rojo o ¡Incorrecto! No elegiste el triángulo rojo), o bien refirieron las modalidades (e.g., …la figura de abajo que comparte con la del centro el color pero no la forma!) y relaciones (e.g., …la figura de abajo que es semejante en color a la del centro!) pertinentes de igualación.
Al ser agregadas a la retroalimentación, Serrano et al. (2010) observaron que las descripciones referentes a instancias favorecieron la precisión de la ejecución en el entrenamiento, en comparación con descripciones referentes a las modalidades y relaciones pertinentes de igualación. En las pruebas de transferencia, las descripciones referentes a las modalidades pertinentes de igualación promovieron las ejecuciones consistentemente más elevadas. Por el otro lado, tanto al agregarlas como instrucciones iniciales (Serrano et al., 2008) como cuando sustituyeron a los ESO (Serrano et al., 2006), las descripciones de contingencias favorecieron la precisión de la ejecución durante el entrenamiento en comparación con la ausencia de descripciones, mientras que en las pruebas de transferencia se observó que las descripciones referentes a las relaciones de igualación auspiciaron los porcentajes de aciertos consistentemente más altos.
En un estudio más reciente, Cuevas et al. (2019) expusieron a cuatro grupos de adultos jóvenes a un procedimiento de igualación de la muestra de primer orden y pruebas de transferencia en las que se introdujeron nuevas instancias, modalidades y relaciones pertinentes de igualación, así como una prueba adicional en la que la dimensión de la tarea cambió de la dimensión geométrica a la dimensión numérica. Entre los primeros tres grupos de participantes, las instrucciones iniciales incluyeron descripciones de contingencias referentes a las instancias, modalidades y relaciones pertinentes de igualación, de manera similar a los estudios anteriormente descritos. Para el cuarto grupo, la descripción de contingencias incluida en las instrucciones iniciales de cada sesión de entrenamiento se basó en la dimensión en la tuvo lugar la tarea: …“Tu tarea consiste en elegir el objeto geométrico que comparta una de las características con el de arriba” (p. 23). Los autores observaron que las descripciones de contingencias referentes a las instancias, modalidades y relaciones pertinentes de igualación auspiciaron bajas ejecuciones tanto en el entrenamiento como en las pruebas de transferencia, mientras que la descripción basada en la dimensión de la tarea y que implicó la menor especificidad instruccional, promovió las ejecuciones consistentemente más altas a lo largo del estudio.
En los estudios anteriormente descritos en los que se utilizaron tareas de igualación de la muestra de segundo orden, no se incluyeron pruebas de transferencia que implicaran variaciones en las relaciones de igualación vigentes durante la fase de entrenamiento, es decir, en sentido estricto no se abordaron los efectos de las descripciones de contingencias en la configuración del comportamiento al nivel de la función sustitutiva referencial. Por otro lado, los participantes fueron exclusivamente adultos jóvenes, por lo que se desconoce si las descripciones de contingencias tienen efectos similares en otros grupos etarios. Al respecto, destaca que los resultados de estudios previos en los que se comparó la adquisición y transferencia de discriminaciones condicionales entre infantes y adultos, enfatizaron el papel del desarrollo lingüístico de los participantes en la ejecución discriminativa. En un estudio en el que se utilizaron palabras como instancias de estímulo, por ejemplo, Hernández-Pozo et al. (1987) observaron que mientras los niños tendieron a igualar a partir de las propiedades físicas de dichas instancias, los adultos tendieron a hacerlo a partir de sus propiedades semánticas. En otro estudio en el que participaron niños con síndrome de Down, niños preescolares (5 a 7 años), niños escolares (9 a 10 años) y adultos jóvenes (estudiantes universitarios), Ribes et al. (1988) observaron ejecuciones más altas, tanto en el entrenamiento como en las pruebas de transferencia, en función de la edad y, en esa medida, del desarrollo lingüístico. En concordancia con este planteamiento, Moreno et al. (1991) reportaron que niños escolares (9 a 11 años) con un elevado repertorio descriptivo relacional obtuvieron ejecuciones más altas, tanto en el entrenamiento como en las pruebas, que niños con un repertorio descriptivo referido principalmente a propiedades concretas de los estímulos.
En el contexto anterior, puede suponerse que en el caso de los niños las descripciones de contingencias probablemente carezcan de efectos sobre la ejecución discriminativa, o bien que los posibles efectos sean menores a los observados en el caso de los estudiantes universitarios. En este sentido, el presente experimento exploró si los efectos de las descripciones de contingencias observados con adultos jóvenes se replican en niños de primaria, así como si el efecto de la inespecificidad de la descripción reportado por Cuevas et al. (2019) igualmente depende del desarrollo lingüístico. Específicamente, el presente estudio comparó los efectos de agregar tres tipos de descripciones de contingencias (modalidad, relación e inespecífica) durante el entrenamiento de una discriminación condicional utilizando una tarea de igualación de la muestra de segundo orden, sobre el porcentaje de respuestas correctas en el entrenamiento y pruebas de transferencia de niños primaria. Debido al tiempo otorgado para la realización del estudio por parte de la escuela de procedencia de los participantes, las descripciones de contingencias se presentaron sólo en tres ocasiones por sesión de entrenamiento. Esta característica derivada de dicha restricción, sin embargo, permitió explorar si el efecto de la inespecificidad de la descripción contingencial antes aludido se limita o no al caso de las instrucciones iniciales de cada sesión de entrenamiento.
MÉTODO
Participantes
Participaron voluntariamente 16 niños (nueve niños y siete niñas) de entre 11 y 12 años de edad, inscritos en el sexto grado de primaria en una escuela pública de una comunidad urbana del estado de Veracruz (México). Los participantes carecían de experiencia en tareas de igualación de la muestra o cualquier otro procedimiento experimental en Psicología.
Aparatos y situación experimental
El estudio se llevó a cabo en uno de los cubículos de experimentación del Laboratorio Móvil de Aprendizaje Humano Sidney Bijou del Centro de Estudios e Investigaciones en Conocimiento y Aprendizaje Humano de la Universidad Veracruzana. Además de repisa y silla, cada uno de los cubículos contó con una computadora portátil provista con auriculares y mouse, el cual funcionó como dispositivo para las respuestas de igualación. Las instrucciones y estímulos de las tareas experimentales fueron elaborados en mapas de bites independientes y organizadas mediante el programa SuperLab Pro. (Versión 2.0) en un ambiente Windows.. Este sistema operativo igualmente proveyó el software para la grabación de los videos utilizados en la fase de entrenamiento. Las sesiones experimentales se realizaron diariamente entre las 9:00 y las 12:30 horas.
Procedimiento
Diseño. A partir de la preselección al azar realizada por el docente escolar, los participantes fueron asignados de forma aleatoria a cuatro grupos de cuatro participantes cada uno: a) Grupo Descripción de Modalidad (GDM); b) Grupo Descripción de Relación (GDR); c) Grupo Descripción Inespecífica (GDI); y d) Grupo Control (GC). Los cuatro grupos fueron expuestos a una sesión de preprueba, cuatro sesiones de entrenamiento y una sesión de pruebas de transferencia. La sesión de preprueba y la primera sesión de entrenamiento se condujeron el mismo día, la segunda y tercera sesiones de entrenamiento se condujeron en los dos días siguientes, respectivamente, mientras que la última sesión de entrenamiento y la sesión de pruebas de transferencia se condujeron el cuarto día. La Tabla 1 muestra el diseño del presente experimento.
Tabla 1. Diseño experimental

Preprueba
Para todos los participantes, la preprueba estuvo conformada por 36 ensayos de igualación de la muestra de segundo orden en la dimensión geométrica y relaciones de igualación de semejanza en color, semejanza en forma y diferencia. Se programaron 12 ensayos sin retroalimentación por cada relación de igualación, los cuales se presentaron de forma aleatoria al interior de la sesión. Para cada relación de igualación, la mitad de los ensayos se conformaron con instancias de estímulo que se utilizaron durante las sesiones de entrenamiento (instancias familiares) y la otra mitad con instancias de estímulo no utilizadas en el entrenamiento (instancias novedosas). La Tabla 2 muestra las figuras geométricas y colores utilizados para elaborar las tareas de igualación de la muestra de segundo orden del experimento.
Tabla 2. Formas y colores utilizados para elaborar los arreglos de igualación de la muestra de segundo orden en cada fase del experimento

Cada ensayo de igualación estuvo compuesto por dos ESO ubicados en la parte superior de la pantalla, un EM ubicado en la parte central y cuatro ECO dispuestos de forma horizontal en la parte inferior. Los arreglos estuvieron diseñados de tal forma que siempre existió un ECO idéntico, uno semejante en color, uno semejante en forma y uno diferente respecto del EM, los cuales cambiaron de posición aleatoriamente. Los ESO siempre fueron diferentes en color y forma respecto de los EM y los ECO.
Las instrucciones de la preprueba fueron:
“En las siguientes pantallas aparecerán siete figuras geométricas: dos en la parte superior, una en el centro y cuatro en la parte inferior. De las figuras de abajo señala aquella que creas que va con la del centro de acuerdo con lo que indican las dos figuras de arriba. Para registrar tu respuesta ubica el puntero del mouse dentro de la figura que elegiste y posteriormente oprime el botón izquierdo. Para iniciar oprime el botón “Comenzar”.
Entrenamiento.
En las sesiones de entrenamiento se utilizó una tarea de igualación de la muestra de segundo orden en la dimensión geométrica y relaciones de igualación de semejanza en color y semejanza en forma. Cada sesión de entrenamiento estuvo conformada por 36 ensayos de igualación de semejanza en color y 36 ensayos de igualación de semejanza en forma, los cuales se presentaron de manera aleatoria. Los arreglos estuvieron diseñados de tal forma que siempre existió un ECO idéntico, uno semejante en color, uno semejante en forma y uno diferente respecto del EM, los cuales cambiaron de posición aleatoriamente. Los ESO siempre fueron diferentes en color y forma respecto de los EM y los ECO.
Las respuestas de igualación produjeron la desaparición del arreglo de igualación de la muestra de segundo orden y la aparición de una pantalla de retroalimentación de acuerdo con su carácter acertado (¡CORRECTO!) o erróneo (¡INCORRECTO!). Las pantallas de retroalimentación estuvieron vigentes durante 3 s, al término de los cuales se presentó un nuevo ensayo. Al inicio de cada sesión de entrenamiento se presentaron instrucciones similares a las de preprueba, excepto porque antes de la oración referente al botón “Comenzar” se agregó el enunciado: “Te informaremos si tu respuesta fue correcta o incorrecta”.
Las descripciones de contingencias se introdujeron en tres ocasiones a lo largo de cada sesión de entrenamiento para los grupos GDM (descripción de modalidad), GDR (descripción de relación) y el GDI (descripción inespecífica). Para el GC (control) no se introdujeron descripciones de contingencias. Las descripciones se presentaron después de la retroalimentación de la ejecución en los ensayos 18, 36 y 54 e independientemente del carácter acertado o erróneo de las respuestas de igualación en dichos ensayos o los anteriores. Para el efecto, en la pantalla se presentó el mensaje: “En este momento te vamos a proporcionar ayuda para resolver la tarea. Por favor, llama al maestro Iván”.
Una vez que se encontró junto al participante, el experimentador cambió manualmente del software experimental al software de videograbación y ejecutó un video. Adicionalmente, el experimentador se cercioró de que el video fuera audible y visto completamente por cada uno de los participantes. Concluido el video, el experimentador cambió nuevamente de forma manual los softwares utilizados.
En los videos apareció un mismo compañero de clase, quien envió un mensaje diferente para cada grupo de participantes. Para los participantes del GDM, el mensaje fue: “¡Hola! Me pidieron que te ayudara a resolver la tarea que estás enfrentando. Elige la figura de abajo que comparte el color o la forma con la figura del centro, según lo indican las dos figuras de arriba”.
Para los participantes del GDR, el mensaje fue: “¡Hola! Me pidieron que te ayudara a resolver la tarea que estás enfrentando. Elige la figura de abajo que es semejante en color o forma con la figura del centro, según lo indican las dos figuras de arriba”.
Para los participantes del GDI el mensaje fue: “¡Hola! Me pidieron que te ayudara a resolver la tarea que estás enfrentando. Elige la figura de abajo que guarda con la figura del centro la misma relación que indican las dos figuras de arriba”.
Pruebas de transferencia.
Pruebas de transferencia. Las pruebas de transferencias fueron idénticas a la pre- prueba, es decir, se presentaron aleatoriamente 12 ensayos sin retroalimentación para cada una de tres relaciones de igualación: dos entrenadas (semejanza en color y semejanza en forma) y una no entrenada (diferencia). En cada caso, la mitad de los ensayos se conformaron con instancias de estímulo familiares (utilizadas en el entrenamiento) y la otra mitad con instancias de estímulo novedosas (no utilizadas en el entrenamiento). Así, en términos de la taxonomía propuesta por Varela y Quintana (1995), en total se condujeron cuatro pruebas de transferencia: a) intrainstancial-intramodal-intrar- relacional-intradimensional, b) extrainstancial-intramodal-intrarrelacional-intradimensional; c) intrainstancial-intramodal-extrarrelacional-intradimensional; y d) extrainstancial-intramodal-extrarrelacional-intradimensional.
Las instrucciones que precedieron a las pruebas de transferencia fueron: “En los ensayos siguientes ya no se te informará si tu respuesta fue correcta o incorrecta”, las cuales se presentaron en la pantalla de la computadora durante 10 s, después del último ensayo de igualación de la muestra de la última sesión de entrenamiento.
Las pruebas de transferencias fueron idénticas a la pre- prueba, es decir, se presentaron aleatoriamente 12 ensayos sin retroalimentación para cada una de tres relaciones de igualación: dos entrenadas (semejanza en color y semejanza en forma) y una no entrenada (diferencia). En cada caso, la mitad de los ensayos se conformaron con instancias de estímulo familiares (utilizadas en el entrenamiento) y la otra mitad con instancias de estímulo novedosas (no utilizadas en el entrenamiento). Así, en términos de la taxonomía propuesta por Varela y Quintana (1995), en total se condujeron cuatro pruebas de transferencia: a) intrainstancial-intramodal-intrar- relacional-intradimensional, b) extrainstancial-intramodal-intrarrelacional-intradimensional; c) intrainstancial-intramodal-extrarrelacional-intradimensional; y d) extrainstancial-intramodal-extrarrelacional-intradimensional.
Las instrucciones que precedieron a las pruebas de transferencia fueron: “En los ensayos siguientes ya no se te informará si tu respuesta fue correcta o incorrecta”, las cuales se presentaron en la pantalla de la computadora durante 10 s, después del último ensayo de igualación de la muestra de la última sesión de entrenamiento.
RESULTADOS
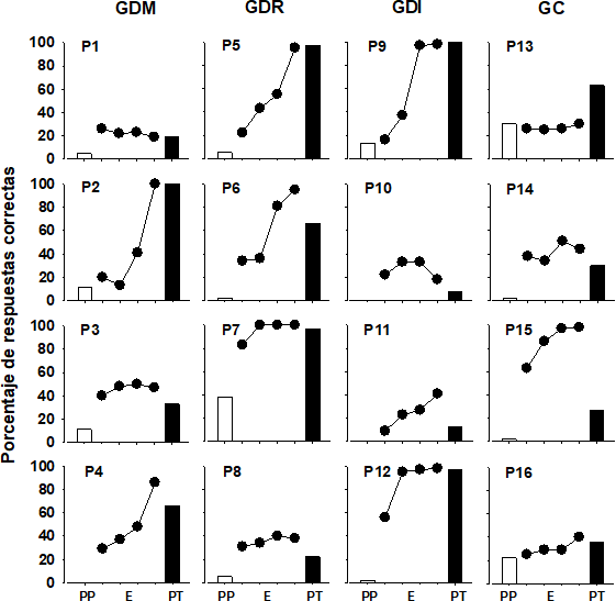
La figura 1 muestra el porcentaje promedio de respuestas correctas por sesión a lo largo del experimento para los participantes de cada grupo. En general, puede apreciarse que la agregación de las descripciones de contingencia favoreció la ejecución a lo largo de las sesiones de entrenamiento y de pruebas de transferencia en comparación con la ausencia de descripciones; principalmente para el GDR (descripción de relación), seguido por los grupos GDI (descripción inespecífica) y GDM (descripción de modalidad), en ese orden. De manera más específica, en la figura se observa que en la preprueba la ejecución fue cercana o menor al 20% de respuestas correctas para la mayoría de los participantes. Las excepciones fueron P7 del GDR y P13 del GC, para los que se registraron ejecuciones de 38% y 30% de respuestas correctas, respectivamente. Las ejecuciones fueron menores al 50% de respuestas correctas para la mayoría de los participantes y sesiones de entrenamiento en el Grupo GDM, excepto para P2 y P4, para los que el porcentaje de respuestas correctas fue cercano o igual al 100% en la última sesión de entrenamiento. Las ejecuciones en las sesiones de entrenamiento incrementaron progresiva o abruptamente hasta valores cercanos al 100% de respuestas correctas para P5, P6 y P7 del GDR y para P9 y P12 del GDI, mientras para P8, P10 y P11 la ejecución se mantuvo cercana, por debajo o alcanzó el 40% de respuestas correctas, respectivamente. Porcentajes de respuestas correctas similares se observaron para P13, P14 y P16 del GC a lo largo de las sesiones de entrenamiento, mientras para P15 la ejecución incrementó progresivamente hasta alcanzar el 100% de respuestas correctas.

Nota. GDM = Grupo Descripción de Modalidad, GDR = Grupo Descripción de Relación, GDI = Grupo Descripción Inespecífica, GC = Grupo Control, PP = Preprueba, E = Entrenamiento y PT = Pruebas de transferencia.
En la sesión de pruebas de transferencia, las ejecuciones consistentemente más elevadas al interior de cada grupo se observaron para la mayoría de los participantes del GDR (P5, P6 y P7) y la mitad de los participantes del GDI (P9 y P12). Para el resto de los participantes de ambos grupos, las ejecuciones en la sesión de pruebas de transferencia fueron cercanas o inferiores al 20% de respuestas correctas. En el GDM, P2 y P4 alcanzaron 100% y 65% de respuestas correctas, respectivamente, mientras para P1 y P3 las ejecuciones estuvieron entre 20% y 30% de respuestas correctas. Ejecuciones similares en la sesión de pruebas de transferencia se observaron para P14, P15 y P16 del GC, mientras para P13 la ejecución superó ligeramente el 60% de respuestas correctas.

Nota. GDM = Grupo Descripción de Modalidad, GDR = Grupo Descripción de Relación, GDI = Grupo Descripción Inespecífica, GC = Grupo Control.
La figura 2 muestra el promedio grupal del porcentaje de respuestas correctas en bloques de 18 ensayos en cada una de las cuatro sesiones de la fase de entrenamiento. En general, la figura confirma que a lo largo del entrenamiento las ejecuciones más elevadas se observaron para el GDR, seguido por los grupos GDI, GDM y GC, en ese orden. La distribución de los porcentajes de respuestas correctas a lo largo de los bloques de ensayos en cada sesión de entrenamiento, por su parte, muestra que la ejecución siguió una tendencia incremental para los grupos GDM y GDR. Un efecto similar se observó en el caso del GDI en la primera y la segunda sesiones de entrenamiento, mientras en las últimas dos sesiones los porcentajes de respuestas correctas se mantuvieron relativamente constantes entre los bloques de ensayos. Para el GC, el efecto incremental se observó sólo en los primeros tres bloques de ensayos de entrenamiento de la primera sesión, mientras en las sesiones siguientes la distribución de los aciertos permaneció relativamente constante entre los bloques de ensayos o bien, como en la tercera sesión de entrenamiento, mostró una ligera tendencia decremental. Excepto por el GDI del segundo al tercer bloque de ensayos de la primera sesión de entrenamiento, para ninguno de los grupos expuestos a la presentación de descripciones de contingencia se observó que la ejecución incrementara en más del 10% de respuestas correctas entre bloques de ensayos. De hecho, para el GDM, la primera presentación de las descripciones de contingencia produjo un ligero decremento en el porcentaje de respuestas correctas en la primera y cuarta sesiones de entrenamiento, mientras que en la tercera sesión el mismo efecto se observó después de la segunda presentación de las descripciones de contingencia.
La figura 3 muestra los porcentajes de respuestas correctas en los ensayos de prueba de transferencia en los que estuvieron vigentes las relaciones de igualación de semejanza en color, semejanza en forma (intrarrelacionales) y diferencia (extrarrelacional). En cada caso, las barras negras corresponden a ensayos conformados con instancias de estímulo familiares (intrainstancial), mientras las barras blancas corresponden a ensayos con instancias de estímulo novedosas (extrainstancial). En general, los porcentajes de respuestas correctas son consistentes con la ejecución de los participantes observada en la última sesión de entrenamiento. Con excepción de P15, en el caso de aquellos participantes que en dicha sesión alcanzaron o superaron el 90% de respuestas correctas, la ejecución en las pruebas de transferencia extrarrelacionales fue consistente entre los participantes al interior de cada grupo sólo en el caso del GDR y del GDI, tanto en los ensayos intrainstanciales como extrainstanciales. Específicamente, en el caso del GDM, para P1 los porcentajes de respuestas correctas se registraron principalmente en los ensayos de semejanza en color e instancias familiares. Para P2 y P4 ambos tipos de relaciones de igualación de semejanza e instancias de estímulo familiares y novedosas controlaron ejecuciones del 100% de respuestas correctas, mientras para P3 el mismo efecto se observó únicamente en la relación de semejanza en forma. De los participantes de este grupo, únicamente para P2 se observaron porcentajes de respuestas correctas en la relación de igualación de diferencia, los cuales alcanzaron el 100% con ambos tipos de instancias de estímulo. En el caso del GDR, para P5 y P7 se registraron ejecuciones entre el 80% y el 100% de respuestas correctas en las tres relaciones de igualación, tanto bajo instancias de estímulo familiares como novedosas. Para P6, se registró un 100% de respuestas correctas en la relación de semejanza en color con instancias familiares, mientras que con instancias novedosas la ejecución fue de 50% de respuestas correctas. Para este participante, el mismo porcentaje de respuestas correctas se registró en las relaciones de semejanza en forma y diferencia con instancias de estímulo familiares, mientras que con instancias novedosas se observaron ejecuciones de 80% y 66% de respuestas correctas, respectivamente. Únicamente para P8 no se observaron porcentajes de respuestas correctas en las relaciones de igualación de semejanza en color y diferencia con ambos tipos de instancias, los cuales controlaron 66% de respuestas en la relación de semejanza en forma.

Nota. GDM = Grupo Descripción de Modalidad, GDR = Grupo Descripción de Relación, GDI = Grupo Descripción Inespecífica, GC = Grupo Control, SC = Semejanza en color, SF= Semejanza en forma, D = Diferencia, F = Familiares, N = Novedosas.
En el caso del GDI, tanto para P9 como para P12 las ejecuciones estuvieron entre 80% y 100% de respuestas correctas con instancias de estímulo familiares y novedosas en las tres relaciones de igualación. Para P10, las ejecuciones fueron de 20% de respuestas correctas en la relación de igualación de semejanza en color con ambos tipos de instancias, así como en la relación de igualación de semejanza en forma con instancias novedosas. Para este participante, bajo instancias de estímulo familiares no se observaron porcentajes de respuestas correctas en la relación de igualación de semejanza en forma, mientras en la relación de diferencia la ejecución fue de cero con ambos tipos de instancias. Ejecuciones iguales a cero se registraron para P11 en las relaciones de semejanza en forma y diferencia con ambos tipos de instancias. Para este participante, únicamente en la relación de semejanza en color las ejecuciones fueron de 50% y 33% de respuestas correctas con instancias familiares y novedosas, respectivamente.
En el caso de los participantes del GC, para P13 las ejecuciones fueron de 83% y 100% de respuestas correctas en las relaciones de semejanza en color y semejanza en forma con instancias de estímulo familiares. Con instancias de estímulos novedosas las ejecuciones fueron, respectivamente, de 66% y 83% de respuestas correctas. En los ensayos en los que estuvo vigente la relación de igualación de diferencia, para este participante las ejecuciones fueron de 16% y 33% de respuestas correctas con instancias de estímulo familiares y novedosas, respectivamente. Para el resto de los participantes de este grupo, las ejecuciones oscilaron entre cero y 50% de respuestas correctas en las tres relaciones de igualación con instancias novedosas, mientras que con instancias de estímulo familiares oscilaron entre cero y 66%. La excepción fue P14 en la relación de semejanza en color e instancias de estímulo familiares; ensayos en los que la ejecución alcanzó 83% de respuestas correctas.
DISCUSIÓN
El presente experimento comparó los efectos de agregar descripciones de contingencias de diferente especificidad durante el entrenamiento de una discriminación condicional, sobre su adquisición y transferencia por parte de niños escolares. Se observó que las descripciones de contingencias favorecieron la ejecución en la fase de entrenamiento en comparación con la ausencia de descripciones, principalmente cuando éstas refirieron las relaciones de igualación de manera específica. Cuando las descripciones refirieron las relaciones de igualación de manera inespecífica o las modalidades pertinentes de igualación, la ejecución en el entrenamiento fue mayor que en ausencia de descripciones para solamente la mitad de los participantes de cada grupo, con incrementos abruptos y progresivos, respectivamente, a lo largo del entrenamiento. Las ejecuciones en las pruebas de transferencia fueron consistentemente más elevadas cuando las descripciones de contingencias refirieron las relaciones de igualación de manera específica, de manera inespecífica y cuando refirieron las modalidades pertinentes de igualación, en ese orden. El grupo de participantes para los que no se agregaron descripciones de contingencias mostraron las ejecuciones consistentemente más bajas del estudio en las pruebas de transferencia. En lo que a las relaciones de igualación se refiere, los resultados sugieren que la ejecución se transfiere más fácilmente en el caso de la relación de igualación de semejanza en color que en la de semejanza en forma, así como que las diferencias por implementar instancias de estímulo novedosas versus familiares se reduce por la agregación de las descripciones de contingencias, incluso cuando la relación de igualación vigente en la prueba es una no entrenada. Esta transferencia extrarrelacional se observó para la mayoría de los participantes expuestos a descripciones que refirieron las relaciones de igualación de manera específica, para la mitad de los participantes expuestos a descripciones que refirieron las relaciones de igualación de manera inespecífica y para un participante expuesto a descripciones que refirieron las modalidades pertinentes de igualación. Para todos los participantes entrenados sin descripciones de contingencias, las ejecuciones en los ensayos de transferencia que implicaron la relación de igualación de diferencia fueron consistentemente bajas o iguales a cero.
A diferencia de lo esperado, la edad de los participantes del presente experimento no impidió que la agregación de las descripciones de contingencias afectara positivamente la ejecución en el entrenamiento de la discriminación condicional ni en las pruebas de transferencia. Estos resultados concuerdan con los reportados por Serrano et al. (2006; 2008; 2010) al agregar las descripciones de contingencias como parte de las instrucciones iniciales de la tarea, en sustitución de los estímulos de segundo orden o como parte de la retroalimentación, con adultos jóvenes y tareas de igualación de la muestra de segundo orden. Los resultados también concuerdan, al menos parcialmente, con el estudio de Ribes et al. (1988) en el que se observó que los niños de 9 a 10 años (inscritos en quinto de primaria en ese momento) y los adultos jóvenes (estudiantes universitarios) mostraron ejecuciones similares en el entrenamiento y las diferentes pruebas de transferencia implementadas. La parcialidad, en este caso, radica en que mientras Ribes et al. concluyeron que el comportamiento de sus participantes de ambos grupos etarios no tuvo lugar al nivel de la función sustitutiva referencial, las ejecuciones en las pruebas de transferencia que implicaron la relación de igualación de diferencia en el presente estudio sí apoyan una conclusión por el estilo; principalmente cuando las descripciones de contingencias refirieron las relaciones de igualación de manera específica y, en una menor medida, de manera inespecífica.
La similitud entre grupos etarios del efecto general producido por la agregación de las descripciones de contingencias, puede atribuirse a varios factores. En primer lugar, a que el repertorio lingüístico necesario para enfrentar una situación problema como la planteada por las tareas de igualación de la muestra y las descripciones aquí utilizadas, es similar entre adultos jóvenes y niños escolares a partir de, aproximadamente, los 9 años de edad (Ribes et al., 1988). En segundo lugar, dicha similitud podría atribuirse a la manera de presentar las descripciones de contingencias en la mayoría de los estudios anteriores versus el presente experimento. Aunque en diferentes formatos y momentos (e.g., Cepeda et al., 1991; Ribes et al., 1992a; 1992b; 1995a; 1995b; Ribes & Ramírez, 1998; Ribes & Serrano, 2006; Serrano et al., 2006; 2008; 2010), en los estudios anteriores las descripciones de contingencias se presentaron invariablemente de manera escrita, mientras que en el presente estudio se presentaron mediante una videograbación. Sobre ésta destaca, por un lado, que las descripciones propiamente dichas tuvieron lugar en la modalidad auditiva y, por el otro, que el “confederado” que proporcionó la descripción era una persona conocida por los participantes y, adicionalmente, un par académico. El primero de los planteamientos concuerda con la idea de incorporar de una manera más explícita y sistemática a los llamados modos lingüísticos (Fuentes & Ribes, 2006) en la investigación experimental sobre procesos sustitutivos de contingencias mediante tareas de igualación de la muestra (e.g., Gómez-Fuentes & Ribes, 2008). En el mismo sentido, el segundo planteamiento sugiere la eventual incorporación en dicha área de investigación de las categorías analíticas para dar cuenta del comportamiento social (Ribes, 2009) y, por supuesto, el potencial de ambas áreas de pesquisa para incidir en el ámbito educativo (e.g., Rodríguez et al. 2008). Ya sea de forma aislada o en conjunto, nuevos estudios deberían abordar experimentalmente dichos aspectos.
Sin menoscabo de los puntos anteriores, en tercer lugar, la similitud entre grupos etarios de los efectos de las descripciones de contingencias podría atribuirse a que a diferencia de los estudios en los que adultos jóvenes colaboraron como participantes, en el presente experimento las descripciones no se presentaron ensayo a ensayo sino solamente en tres ocasiones al interior de las sesiones de entrenamiento, espaciadas por 18 ensayos de igualación. Dicho de otra manera, es posible que al menos bajo condiciones similares a las aquí implementadas, la parcialidad en la ocurrencia de las descripciones de contingencias produjera un efecto de desligamiento funcional (Ribes & López, 1985) análogo al auspiciado por la parcialidad de la retroalimentación “dicotómica” (e.g., Ribes & Martínez, 1996; Martínez & Ribes, 1996; Serrano & Flores, 2018), o bien por la llamada retroalimentación acumulada (e.g., Ortiz-Rueda & Cruz-Alaníz, 2011).
Respecto de lo anterior, debe destacarse que la agregación de las descripciones de contingencias no haya tenido, en general, un efecto positivo robusto sobre la ejecución en los bloques de ensayos de entrenamiento inmediatamente siguientes a la presentación de tales descripciones; excepto en el caso del GDM en el tercer bloque de ensayos de la primera sesión de entrenamiento. En otras palabras, los resultados del presente estudio sugieren que aunque la agregación de las descripciones de contingencias puede disponer distintos niveles de transferencia de la ejecución dependiendo de su contenido y especificidad, el efecto sobre la “velocidad de adquisición” de la discriminación condicional es apreciable principalmente entre sesiones de entrenamiento y no al interior de cada una de ellas. En este contexto, y dado que las ejecuciones globales de los participantes del GDI no fueron las más elevadas del estudio, podría concluirse no que el efecto de la inespecificidad de las descripciones de contingencias reportado por Cuevas et al. (2019) se limita al caso de las instrucciones iniciales de cada sesión de entrenamiento, sino que en virtud de su presentación entre bloques de ensayos, las descripciones inespecíficas en el presente estudio desarrollaron una función de estímulo instruccional (i.e., restringir estímulos, respuestas y factores disposicionales irrelevantes para la contingencia), más que auspiciar una función de estímulo sustitutiva [i.e., estímulos autoproducidos de carácter convencional que desplazan funciones de estímulo vigentes por funciones de estímulo no presentes o no aparentes] (Ribes, 1997); tal como correspondería con nuestra interpretación de los presentes resultados en términos de la función sustitutiva referencial reconocida en la propuesta taxonómica de Ribes y López (1985).
Los incrementos abruptos en el porcentaje de respuestas correctas observados para los participantes con las ejecuciones más altas del GDI en la fase entrenamiento, concuerdan con la “hipótesis” instruccional descrita anteriormente. Sin embargo, una interpretación por el estilo estaría omitiendo que igualmente se observaron incrementos abruptos en la ejecución para al menos uno de los participantes del GDR durante el entrenamiento, así como que para tres de los cuatro participantes de este grupo y un participante del GDM se observaron ejecuciones elevadas en las pruebas de transferencia extrarrelacionales, tanto intra como extrainstanciales. En ese sentido, los resultados del presente estudio sugieren no sólo que el efecto de la inespecificidad de las descripciones de contingencias reportado por Cuevas et al. (2019) puede observarse en niños escolares con las características ya señaladas, sino adicionalmente que aunque tales descripciones puedan anteceder formalmente al contacto del participante con las contingencias involucradas en la tarea, dicha ubicación temporal no necesariamente determina el carácter instruccional de su funcionalidad, así como que las descripciones con un alto grado de especificidad instruccional pueden auspiciar la autoproducción de nuevos segmentos lingüísticos con la función de estímulo sustitutiva antes señalada. De otra manera, sería contraintuitivo y de difícil explicación que una descripción como “Elige la figura que es semejante en color” permitiera, bajo eventuales situaciones novedosas, responder de una manera diferente o incluso contraria a lo que era pertinente en la situación original. Por supuesto, en la explicación de dicha posibilidad no puede soslayarse el ámbito de desempeño al que pertenecen ambas situaciones y, en esa medida, la “compatibilidad” entre las relaciones prácticas que caracterizan a cada una de ellas.
Las interpretaciones anteriores permiten dilucidar los efectos de las descri ciones de contingencias inespecíficas y las referentes a las relaciones pertinentes de igualación, sobre la ejecución observada en las diferentes pruebas de transferencia implementadas en el presente estudio. Sin embargo, si como se señaló anteriormente las descripciones con un alto grado de especificidad instruccional pueden auspiciar interacciones al nivel de la función sustitutiva referencial reconocida en la propuesta taxonómica de Ribes y López (1985), entonces quedaría por resolver cuál es la razón por la que las descripciones de contingencias referentes a las modalidades pertinentes de igualación, promovieron ejecuciones elevadas en las cuatro pruebas de transferencia sólo para un participante del GDM. Dado que tanto para este grupo como para el GDR las descripciones de contingencia hicieron referencia al color y la forma de los estímulos involucrados en la tarea, la diferencia entre ambos grupos de participantes no podría basarse en la referencia a tales propiedades. Adicionalmente, dado que tanto en el entrenamiento como en las pruebas de transferencia la ejecución global fue menor para el GC que para el GDM, la diferencia entre este grupo y el GDR no podría atribuirse a la retroalimentación de las respuestas de igualación o la mera exposición a los ensayos de entrenamiento. En este contexto, una explicación plausible es que el término compartir incluido en el caso de las descripciones de contingencias referentes a las modalidades pertinentes de igualación, favoreció excluir como opciones de respuesta aquellos estímulos que carecían de propiedades aparentes compartidas. Nuevos estudios deberían indagar sobre esta posibilidad, así como explorar sistemáticamente el papel de responder por exclusión en el tránsito interfuncional ascendente en el caso de interacciones selectoras y sustitutivo referenciales. Sobre el particular, los procedimientos sucesivos de igualación de la muestra (e.g., Wasserman, 1976) podrían constituir una opción metodológica viable.
REFERENCIAS
Cepeda, L., Hickman, H., Moreno, D., Peñalosa, E., & Ribes, E. (1991). The effect of prior selection of verbal descriptions of stimulus relations upon the performance in condicional discrimination in human adults. Revista Mexicana de Análisis de la Conducta, 17(1,2), 53-79.
Cuevas, P., Ortiz, G., Serrador-Diez, C., & Rodríguez Pérez, M. E. (2019). Adquisición de la función instruccional como efecto de la especificidad y el contenido de las descripciones. Journal of Behavior, Health & Social Issues, 11(1), 19- 27. http://dx.doi.org/10.22201/fesi.20070780.2019.11.1.75658
Fuentes, M.T., & Ribes, E. (2001). Un análisis funcional de la comprensión lectora como interacción conductual. Revista Latina de Pensamiento y Lenguaje, 9(2), 181-212.
Hernández-Pozo, R., Sánchez, A., Gutiérrez, F., González, E., & Ribes, E. (1987). Substitutional mediation in matching-to-sample with words: Comparison between children and adults. Revista Mexicana de Análisis de la Conducta, 13(3), 337-362. http://rmac-mx.org/substitutional-mediation-in-matching-to- sample-with-words-comparison-between-children-and-adults/
Gómez-Fuentes, A. D., & Ribes, E. (2008). Adquisición y transferencia de una discriminación condicional de primer orden en distintos modos del lenguaje. Acta comportamentalia, 16(2), 183-209. https://www.redalyc.org/ pdf/2745/274520110003.pdf
Martínez, H., & Ribes, E. (1996). Interactions of contingencies and instructional history on conditional discrimination. The Psychological Record, 46, 301-318. http://psycnet.apa.org/record/1996-00325-005
Moreno, D., Cepeda, M. L., Hickman, H., Peñalosa, E., & Ribes, E. (1991). Efecto diferencial de la conducta verbal descriptiva de tipo relacional en la adquisición y transferencia de una tarea de discriminación condicional de segundo orden en niños. Revista Mexicana de Análisis de la Conducta, 17(1,2), 81-99. http://rmac-mx.org/wp-content/uploads/2013/05/VOL-17- N-1-Y-2-81-99.pdf
Ortiz-Rueda, G., & Cruz-Alaníz, Y. (2011). El papel de la precisión instruccional y la retroalimentación en la ejecución y descripciones poscontacto. Revista Mexicana de Análisis de la Conducta, 37(1), 69-87. https://doi.org/10.5514/ rmac.v37.i1.24740
Ribes, E., (1997). The stimulus in behavior theory: Event or function? Mexican Journal of Behavior Analysis, 23(2), 147-160. https://www.academia. edu/6940955/The_stimulus_in_behavior_theory_event_or_function_1997_
Ribes, E. (2009). Functional dimensions of social behavior: Theoretical considerations and some preliminary data. Revista Mexicana de Análisis de la Conducta, 27(2), 285-306. http://rmac-mx.org/wp-content/uploads/2013/05/ Vol-27-n-2-285-306.pdf
Ribes, E., Cepeda, M. L., Hickman, H., Moreno, D., & Peñalosa, E. (1992a). Effects of visual demonstration, verbal instructions, and prompted verbal descriptions on the performance of human subjects in conditional discriminations. The Analysis of Verbal Behavior, 10, 23-36. https://doi.org/10.1007/ BF03392872
Ribes, E., Domínguez, M., Tena, O., & Martínez, H. (1992b). Efecto diferencial de la elección de textos descriptivos de contingencias entre estímulos antes y después de la respuesta de igualación en una tarea de discriminación condicional. Revista Mexicana de Análisis de la Conducta, 18(1), 31-59. http:// revistas.unam.mx/index.php/rmac/article/download/23373/23854
Ribes, E., Hickman, H., Peñalosa, E., Martínez, H., Hermosillo, A., & Ibáñez, C. (1988). Efectos del entrenamiento secuencial en discriminación condicional de primer orden: Un estudio comparativo en humanos. Revista Mexicana de Análisis de la Conducta, 14(2), 149-167.
Ribes, E., & López, F. (1985). Teoría de la conducta: Un análisis de campo y paramétrico. Trillas.
Ribes, E., & Martínez, H. (1990). Interaction of contingencies and rule instructions in the performance of human subjects in conditional discrimination. The Psychological Record, 40, 565-586. https://doi.org/10.1007/BF03399541
Ribes, E., Moreno, D., & Martínez C. (1995a). Interacción del entrenamiento observacional e instrumental con pruebas de transferencia verbales y no verbales en la adquisición y mantenimiento de una discriminación condicional. Revista Mexicana de Análisis de la Conducta, 21(1), 23-46. https://dialnet. unirioja.es/servlet/articulo?codigo=2387825
Ribes, E., Moreno, D., & Martínez C. (1995b). Efecto de distintos criterios verbales de igualación y transferencia de una discriminación condicional de segundo orden en humanos. Acta Comportamentalia, 3(1), 27-54. http://www.revistas. unam.mx/index.php/acom/article/view/18311
Ribes, E., & Ramírez, L. (1998). Efectos de la ubicación temporal del reconocimiento de la respuesta de igualación en la adquisición y transferencia de una tarea de igualación de la muestra de segundo orden. Revista Latina de Pensamiento y Lenguaje, 6(1), 31-48.
Ribes, E., & Serrano, M. (2006). Efectos de tres tipos de preentrenamiento en la adquisición y transferencia de una tarea de igualación de la muestra. Acta Comportamentalia, 14(2), 145-169. http://www.revistas.unam.mx/index.php/ acom/article/view/14535
Ribes, E., & Torres, C. (2001). Un estudio comparativo de los entrenamientos de primer y segundo orden en igualación de la muestra. Revista Mexicana de Análisis de la Conducta, 27(3), 385-401. http://rmac-mx.org/wp-content/ uploads/2013/05/Vol-27-n-3-385-401.pdf
Ribes, E., Vargas, I., Luna, D., & Martínez, C. (2009). Adquisición y transferencia de una discriminación condicional en una secuencia de cinco criterios distintos de ajuste funcional. Acta comportamentalia, 17(3), 299-331. http://www. revistas.unam.mx/index.php/acom/article/view/18156
Ribes, E., & Zaragoza, A. (2009). Efecto de las instrucciones y descripciones con y sin criterio en la adquisición y transferencia de una discriminación condicional de segundo orden. Acta comportamentalia, 17(1), 61-95. http://www. revistas.unam.mx/index.php/acom/article/download/18141/17261
Rodríguez, M. E., Castellanos, F., Díaz, L. (2008). Análisis del discurso didáctico usando una tarea de igualación de la muestra de segundo orden. Acta Colombiana de Psicología, 11(1), 65-74. http://www.scielo.org.co/pdf/acp/v11n1/ v11n1a07.pdf
Serrano, M., & Flores, C. (2018). Feedback combinations and generalized matching- to-sample performance under familiar and unfamiliar stimuli and matching relations. Acta Colombiana de Psicología, 22(1), 52-60. http://www.dx.doi. org/10.14718/ACP.2019.22.1.4
Serrano, M., López, A., & García, G. (2006). Diferencias entre estímulos selectores discriminantes en igualación de la muestra con humanos. Psicología y Ciencia Social, 8(1), 33-42. https://www.redalyc.org/pdf/314/31480104.pdf
Serrano, M., García, G., & López, A. (2006). Textos descriptivos de contingencia como estímulos selectores en igualación de la muestra con humanos. Acta comportamentalia, 14(2), 131-143. http://www.revistas.unam.mx/index.php/ acom/article/view/14534
Serrano, M., García, G., & López, A. (2008). Textos descriptivos de contingencia como instrucciones iniciales en tareas de igualación de la muestra. Acta comportamentalia, 16(3), 333-346. http://www.revistas.unam.mx/index.php/ acom/article/view/18118
Serrano, M., García, G., & López, A. (2010). Textos descriptivos de contingencia y retroalimentación en igualación de la muestra por humanos. International Journal of Psychology and Psychological Therapy, 10(1), 177-187. https://www.ijpsy.com/volumen10/num1/255/textos-descriptivos-de-contingen-cia-y-retroalimentaci-ES.pdf
Varela, J., & Quintana, C. (1995). Comportamiento inteligente y su transferencia. Revista Mexicana de Análisis de la Conducta, 41(1), 47-66. https://dialnet. unirioja.es/servlet/articulo?codigo=2387831
Wasserman, E. A. (1976). Successive matching-to-sample in the pigeon: Variations on a theme by Konorski. Behavior Research Methods & Instrumentation, 8(3), 278–282. https://psycnet.apa.org/doi/10.3758/BF03201713
Notas