Compulsão Alimentar em Ratas: Uma Replicação Sistemática de Hagan e Moss (1997)
Binge Eating in Rats: A Systematic Replication of Hagan and Moss [1997]
Compulsão Alimentar em Ratas: Uma Replicação Sistemática de Hagan e Moss (1997)
Acta Comportamentalia: Revista Latina de Análisis de Comportamiento, vol. 30, núm. 4, pp. 659-681, 2022
Universidad Veracruzana

Recepción: 18 Octubre 2021
Aprobación: 25 Febrero 2022
Resumo: Diferentes modelos experimentais investigam o papel de variáveis ambientais na determinação de padrões alimentares, dentre eles o binge eating. No presente estudo, avaliou-se os efeitos de uma história de restrição alimentar com acesso intermitente a alimento palatável sobre o peso e consumo alimentar em ratas expostas, durante 12 ciclos, a uma de quatro condições: (a) restrição com acesso intermitente a alimento palatável; (b) restrição com acesso apenas a alimento regular; (c) sem restrição e acesso intermitente a palatável e (d) sem restrição e acesso apenas a alimento regular. Encerrados os ciclos, seguiram-se 30 dias de normalização da dieta e, então, três testes de consumo, envolvendo privação de 24h (Testes 1 e 2) ou ausência de privação (Teste 3), com acesso somente a alimento regular (Teste 1) ou regular e palatável (Testes 2 e 3). Ao longo do estudo, sujeitos com história de acesso ao palatável reduziram o consumo de alimento regular, especialmente na ausência de restrição. Sujeitos expostos à restrição e acesso ao alimento palatável apresentaram o maior aumento no peso e consumo, mesmo após a normalização da dieta, atestando a importância dessas variáveis na produção e manutenção do binge eating.
Palavras-chave: restrição alimentar, alimento palatável, comer excessivo, compulsão alimentar, modelos experimentais de psicopatologias, Análise do Comportamento.
Abstract: Different experimental models investigate the determinants environmental variables of eating patterns, including binge eating. In the present study, the effects of a history of food restriction with intermittent access to palatable food (in unlimited quantity) on body weight and consumption of regular and palatable food in rats were evaluated. Daily consumption on the five days of the week and the average consumption of each subject on weekends was analyzed in baseline (LB) and for 12 weekly cycles involving 4 days of restriction or not of regular food and 3 days of ad lib access to regular or regular and palatable food (refeeding). The restriction was 75% in cycles 1 to 6 and 50% in cycles 7 to 12. The 12 subjects were exposed to one of four possible conditions: (a) restriction with access to palatable food (Rest/Palat); (b) restriction with access to regular food only (Rest/Reg); (c) no restriction with access to palatable food (NRest/Palat) and (d) no restriction with access to regular food only (NRest/Reg). Restriction was based on the consumption of the control subject paired to subject in restriction chosen for showing similar consumption in LB. At the end of the cycles, a period of 30 days in the same conditions of LB followed and then three consumption tests, involving 24-hour deprivation (Tests 1 and 2) or absence of deprivation (Test 3) and access to only regular food (Test or regular and palatable (Tests 2 and 3). Taken together, the data showed that a history of restriction increased subsequent food consumption, especially when the refeeding involved palatable food. On the other hand, intermittent access to palatable food produced a progressive reduction in the consumption of regular food, immediately for NRest/Palat and later for Rest/Palat, after its increase. In general, tests showed greater consumption by the Rest/Palat, even after normalization of the diet, which attests the importance of these variables in the production and maintenance of binge eating.
Keywords: food restriction, palatable food, overeating, binge eating, experimental models of psychopathologies, Behavior Analysis.
A transposição controlada de achados obtidos por modelos experimentais para análise de casos clínicos mostra a integração entre pesquisa básica e pesquisa aplicada (e.g. Moraes & Almeida, 2018), importante para a maior efetividade de intervenções (Sidman, 2011). A importância do uso de modelos animais para compreender psicopatologias foi demonstrada em estudos que investigam problemas de comportamento como ansiedade (Estes & Skinner, 1941), depressão (Seligman & Maier, 1967; Willner, Muscat, & Papp, 1992), abuso de drogas (Galesi, Silva, & Garcia-Mijares, 2012) e transtornos alimentares (TA), como anorexia (Pierce, Epling, & Boer, 1986) e compulsão alimentar (Corwin & Buda-Levin, 2004).
A compulsão alimentar é um comportamento característico da Bulimia Nervosa (BN) e do Transtorno de Compulsão Alimentar Periódica (TCAP), em inglês, denominado binge eating disorder (BED). No caso do BED, o diagnóstico baseia-se na observação de episódios recorrentes de consumo excessivo de alimentos ricos em calorias, em um curto período de tempo (Corwin & Buda-Levin, 2004), sem a observação de comportamentos compensatórios para prevenção do ganho de peso, descritos na BN. Mais frequente entre mulheres jovens, o BED têm sido, também, prevalente entre homens e pessoas mais velhas, diferente do observado para a Anorexia Nervosa (AN) e a BN (Smink, Van Hoeken & Hoek, 2012). Entre adolescentes, a prevalência do BED atinge cerca de 1 a 4%, com pico entre 16 e 17 anos, estando relacionado a consequências negativas como a obesidade e comorbidades físicas e psicológicas (Marzilli, Cerniglia e Cimino, 2018). O ganho de peso, decorrente dos episódios de excesso alimentar, vem sendo relatado na literatura, que indicou que cerca de 16% e 51,6% de obesos em programas de emagrecimento foram diagnosticados com BED –associado a maior peso e comorbidades psiquiátricas (Palavras, Kaio, Mari & Claudino, 2011).
Estudos de revisão sobre a epidemiologia dos TA mostram ainda aumento da incidência destes na população nos últimos 50 anos (Smink, Van Hoeken & Hoek, 2012), sendo BN e BED mais comuns do que a AN na América Latina, resultado interpretado como relacionado a diferenças culturais no tipo de corpo idealizado, mais curvilíneo, e ao valor emocional do alimento em culturas latinas (Kolar, Rodriguez, Chams & Hoek, 2016).
Tomados em conjunto, os dados atestam a relevância de se compreender o comportamento denominado binge eating, a partir do desenvolvimento de modelos experimentais que investiguem os efeitos de diferentes variáveis sobre o comportamento alimentar compulsivo (Corwin & Buda-Levin, 2004; Corwin, Avena & Boggiano, 2011; Treasure & Eid, 2019), observados em quadros clínicos de BED, BN, obesidade, pacientes submetidos a cirurgia bariátrica (Machado, Zilberstein, Cecconello & Monteiro, 2008) ou a restrições alimentares, como os diabéticos (Abbott, Dindol, Tahrani & Piya, 2018).
Um desses modelos é o de restrição e acesso intermitente e ilimitado a alimentos palatáveis, desenvolvido por Hagan (também citada como Boggiano) e colaboradores (e.g. Hagan et al., 2002; Boggiano et al., 2007; Oswald, Murdaugh, King, & Boggiano, 2011).
Em um dos estudos com esse modelo, Hagan e Moss (1997) avaliaram os efeitos da combinação de períodos de restrição alimentar seguidos por períodos de acesso a alimento palatável (biscoitos), sobre o consumo de alimento regular (ração) e palatável e o peso corporal de 32 ratas. Os animais foram expostos a 12 ciclos envolvendo quatro dias de restrição (Rest) ou não restrição (NRest), e dois ou quatro dias de realimentação com alimento regular (Reg), ou regular e palatável simultaneamente (Palat), após o período de restrição. O grau de restrição nos grupos Rest/Reg e Rest/Palat foi de 75% do consumo diário do grupo controle (NRest/Reg) nos primeiros seis ciclos e 50% nos últimos seis. Após os 12 ciclos, os sujeitos passaram por um período de 30 dias de normalização da dieta, com apenas alimento regular disponível ad lib. Foram, então, realizados três testes de consumo, intercalados com períodos de 7 dias de normalização da dieta, com o objetivo de avaliar a persistência do padrão compulsivo produzido pelos ciclos. Os testes avaliaram os efeitos das histórias experimentais sobre: 1) o consumo de alimento regular (em 3,5 h) sob privação alimentar (de 24 h); 2) o consumo de alimento regular e palatável (em 3,5 h) quando os sujeitos estavam sob privação (de 24 h). Neste teste, antes que alimento regular e palatável fossem apresentadas juntos, só o regular esteve disponível por 3,5 h; 3) o consumo de alimento regular e palatável (em 3,5 h) na ausência de privação alimentar, após acesso livre ao regular (por 3,5 h). Os resultados de Hagan e Moss (1997) indicaram que restrição alimentar e acesso intermitente a alimento palatável em quantidade ilimitada, separadamente, aumentaram a média de consumo de alimento regular e palatável dos grupos Rest/ Reg e NRest/Palat em comparação ao controle (NRest/Reg). Em combinação, no grupo Rest/Palat, essas variáveis aumentaram ainda mais o consumo, característica do comer compulsivo (binge eating).
Em uma tentativa de replicação acrescida de medidas operantes para avaliar o valor reforçador dos alimentos, Almeida, Guedes, Grandi e Wegener (2012) obtiveram resultados discrepantes aos de Hagan e Moss (1997), com as ratas respondendo mais por alimento regular do que por palatável nos testes operantes. Leite, Almeida & Guedes (2019), apontaram diferentes variáveis para explicar tais discrepâncias, inseridas na replicação de Almeida et al. (2012) para tornar possível o uso de medidas operantes. Dentre essas variáveis, o tipo de alimento utilizado como palatável na caixa operante (pelotas de cereal coberto com chocolate, de tamanho adequado para o comedouro, ao invés dos biscoitos dispostos na caixa viveiro) e a história de reforçamento dos animais durante a preparação para as sessões operantes, que ocorreu apenas com alimento regular. Conforme apontado por Corwin et al. (2011), mudanças na composição e estado dos alimentos palatáveis utilizados podem afetar o comer excessivo. Nos estudos citados por Leite et al. (2019), pelotas de cereal coberto por chocolate foram preteridas ao alimento regular, e o alimento usado como reforçador no treino dos sujeitos tendeu a ser mais escolhido em testes operantes de preferência.
Dados da literatura apontam, também, para outros efeitos do acesso a e do tipo de alimento palatável sobre o comportamento alimentar, como a diminuição no valor reforçador de um alimento antes aceito, embora “menos preferido”, após apresentação intermitente de um de maior preferência (Cottone, Sabino, Steardo & Zorilla, 2008; Almeida et al., 2012); produção do comer excessivo pela apresentação intermitente e ilimitada de gordura vegetal pura como alimento palatável (Corwin, Wojnick, Fisher, Dimitriou, Rice & Young, 1998; Dimitriou, Rice & Corwin, 2000); aumento da ingestão e ganho de peso causado pela exposição pós-desmame à sacarose pura (Frazier, Mason, Zhuang & Beeler, 2008); preferência de ratas por pelotas de açúcar puro a pelotas de ração, avaliada pelo responder sob diferentes esquemas (Leite et al., 2019); distinção no valor reforçador de diferentes açúcares, com preferência por sacarose e glicose a frutose (Sclafani & Mann, 1987; Sclafani & Ackroff, 2016), além de preferência por soluções doces com calorias a doces sem calorias (adoçantes), indicando que palatabilidade/preferência parece não estar relacionada exclusivamente ao sabor adocicado dos alimentos (Martinéz, Madrid, López-Espinoza & Vivanco, 2009).
O presente estudo teve por objetivo conduzir uma replicação sistemática de Hagan e Moss (1997) avaliando se seus resultados seriam reproduzidos diante da alteração do tipo de alimento palatável (cubos de sacarose, ao invés de biscoitos), do procedimento de restrição (baseada no consumo de um sujeito controle pareado, ao invés da média dos sujeitos controle) e da duração dos períodos de realimentação (no presente caso sempre com 3 dias). As modificações programadas visaram avaliar a generalidade do modelo de binge eating e, no caso da substituição do alimento palatável, favorecer adaptações para futuras investigações, que poderão ser conduzidas em caixas operantes equipadas com comedouro que suporta pelotas de até 45 mg, tamanho em que sacarose é comercializada, mas não os biscoitos. Isso permitirá avaliar a compulsão alimentar (i.e., a mudança no valor reforçador do alimento) a partir de medidas operantes (e.g., frequência do comportamento que o produz).
MÉTODO
Sujeitos
Foram utilizadas 12 ratas Wistar (Rattus norvegicus), com aproximadamente 90 dias de vida no início do estudo. Os sujeitos permaneceram em caixas viveiro individuais forradas com maravalha, sob condições controladas de umidade do ar e temperatura e ciclos automatizados de 12 h de claro e escuro. Houve oferta de água ad lib durante todo o estudo. Os animais tiveram acesso ilimitado a alimento regular durante a Fase 1 do estudo, passando por diferentes manipulações na quantidade e/ ou tipo de alimento oferecido na Fase 2, como será descrito posteriormente. Este experimento foi aprovado pelo Comitê de Ética no Uso de Animais em Pesquisa (CEUA) da instituição em que foi realizado (Protocolo nº 0025/19).
Equipamento
Como alimento regular, foram utilizados cilindros de ração Quimtia Nuvilab CR-1 Autoclavável, de valor energético de 3.860 kcal/kg. Como alimento palatável, utilizou-se cubos de sacarose, com valor energético de 4.000 kcal/kg. Os dados de consumo e de peso dos sujeitos foram coletados utilizando uma balança Filizolla, com precisão de 0,5 g. O consumo foi mensurado a partir da sobra de alimento regular ou palatável sobre as caixas-viveiro, desprezando-se quantidades ínfimas que, ao roer, possam ter passado pelas grades.
Procedimento
Fase 1. Linha de base (LB) do peso e consumo. Nesta fase, com duração de duas semanas (LB1 e LB2), alimento regular esteve disponível ad lib para todos sujeitos.
Foram realizadas diariamente pesagens dos sujeitos e das sobras de alimento, exceto aos finais de semana. A LB teve por objetivos identificar o consumo de alimento dos sujeitos antes das manipulações experimentais e permitir que fossem pareados a partir de seus consumos – cada um que, nas fases seguintes, passou por restrição foi pareado com um controle que tivesse consumo médio mais próximo ao seu na LB2, cujos dados indicaram consumo mais estável.
Fase 2. Ciclos de restrição e realimentação. Nesta fase, foram realizados 12 ciclos, constituídos de quatro dias de restrição ou não restrição e três dias de realimentação com alimento apenas regular ou regular e palatável simultaneamente. A realimentação ocorreu sempre aos finais de semana. Foram manipuladas as mesmas condições planejadas por Hagan e Moss (1997). Os sujeitos 1, 9 e 11, expostos à condição de Não Restrição com Acesso ao Alimento Regular (NRest/ Reg), tiveram acesso ilimitado a alimento regular em todos os dias de cada ciclo. Os sujeitos 3, 5 e 6, expostos à condição Não Restrição com Acesso ao Alimento Palatável (NRest/Palat), tiveram acesso ilimitado apenas ao alimento regular durante os quatro dias iniciais e acesso ilimitado a regular e palatável durante os três dias finais de cada ciclo. Os sujeitos 4, 8 e 10, exposto à Restrição com Acesso ao Alimento Regular (Rest/Reg), tiveram acesso limitado a alimento regular durante a restrição e acesso ilimitado apenas ao regular durante a realimentação. Os sujeitos 2, 7 e 12, submetidos à Restrição com Acesso ao Alimento Palatável (Rest/Palat) tiveram acesso limitado a alimento regular durante a restrição e acesso ad lib a regular e palatável na realimentação.
Para os sujeitos expostos às condições Rest/Reg e Rest/Palat, a quantidade de alimento oferecida a cada dia de restrição nos ciclos 1 a 6 foi de 75% do consumo no dia anterior do sujeito pareado e nos ciclos 7 a 12 a restrição foi aumentada para 50%.
Fase 3. Normalização da dieta. Após os 12 ciclos, foram reestabelecidas as condições de linha de base. Alimento regular foi oferecido ad lib para todos os sujeitos por 30 dias, com o objetivo de permitir a avaliação da persistência dos efeitos das diferentes condições alimentares presentes nos ciclos sobre o consumo dos sujeitos em testes posteriores.
Fase 4. Testes de Consumo. Nesta fase, foram realizados três testes com o objetivo de avaliar a persistência dos padrões alimentares produzidos pelas condições a que cada sujeito foi exposto durante os ciclos. A quantidade ofertada de alimento regular ou palatável em cada teste foi ilimitada. Entre cada teste, ocorreram períodos de normalização da dieta de 6 ou 7 dias, com condições alimentares iguais às da linha de base e normalização.
4.1. Teste 1. Consumo de alimento regular sob privação (24h). Após o período de normalização de 30 dias (Fase 3), os sujeitos foram completamente privados de alimento por 24 h. Após esse período, alimento regular foi disponibilizado livremente para todos. O consumo foi mensurado após 3,5 h e após 7 h da disponibilização do alimento.
4.2. Teste 2. Consumo de alimento regular e palatável sob privação (24h). Decorridos 6 dias de normalização da dieta desde o Teste 1, os sujeitos foram completamente privados de alimento por 24 h. Após esse período, foram expostos a 3,5 h de acesso ao alimento regular, e então a outras 3,5 h de acesso ao alimento regular e palatável simultaneamente. O consumo de alimento regular foi mensurado após 3,5 h e após 7 h de sua disponibilização, e o consumo de alimento palatável foi mensurado após as 3,5 h de sua oferta.
4.3. Teste 3. Consumo de alimento regular e palatável na ausência de privação. Passados 7 dias de normalização desde o Teste 2, o consumo de alimento regular por 3,5 h foi mensurado, sem qualquer privação anterior. Depois, alimento palatável foi disponibilizado juntamente ao regular. O consumo de ambos foi mensurado depois de passadas novas 3,5 h.
RESULTADOS
Consumo Médio Antes e ao Longo dos Ciclos de Restrição e Realimentação
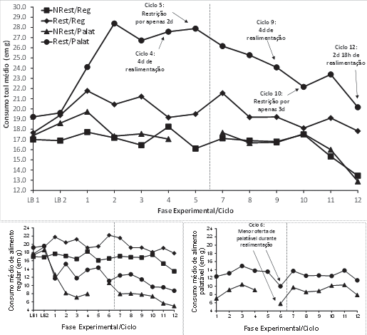
Na Figura 1 foram apresentadas as médias de consumo nas realimentações pelos sujeitos expostos a cada condição experimental. Na parte superior estão a soma de alimento regular e palatável consumidos pelos sujeitos NRest/Palat e Rest/Palat e só de regular pelos que não tiveram acesso a açúcar nos ciclos (NRest/Reg e Rest/Reg). A parte inferior mostra separadamente o consumo de alimento regular (esquerda) e palatável (direita). Para melhor visualização, na parte superior foi omitido o ciclo 6, em que houve menor oferta não planejada de açúcar; e, apenas para os NRest/Palat, foi omitido o ciclo 5 devido à perda de dados dos sujeitos 5 e 6. Todos os ciclos foram incluídos na parte inferior. As flechas indicam alterações não previstas no procedimento, cujos efeitos serão descritos quando relevantes. No caso do ciclo 12, a redução do consumo dos sujeitos NRest/Reg, NRest/Palat e Rest/Palat pode ser efeito da menor duração da realimentação, com 66 h ao invés das 72 h usuais.

A linha pontilhada indica o aumento da restrição alimentar de 75% do consumo para 50% do consumo ad lib do sujeito controle pareado. A parte superior mostra o consumo total. A parte inferior mostra separadamente o consumo de alimento regular (à esquerda) e alimento palatável (à direita).
Durante a de linha de base (LB1 e LB2) o consumo médio foi similar entre as condições, diferente do que ocorreu após a introdução dos ciclos. Com essa introdução, os sujeitos Rest/Palat, que apresentavam consumo médio de 19,22 g na LB (cerca de 2g maior que os demais), apresentaram o maior aumento no consumo, especialmente nos dois primeiros ciclos, passando a consumir 24,11 g no ciclo 1e 28,39 g no ciclo 2. A partir do ciclo 7, o consumo diminuiu progressivamente, mesmo com aumento da restrição para 50%, indicado pelas linhas verticais na Figura 1. Tal declínio foi ocasionado, especialmente, pela redução na ingestão de alimento regular (parte inferior esquerda da figura), já que o consumo do alimento palatável se manteve estável ao longo dos ciclos (parte inferior direita da figura).
No caso dos sujeitos Rest/Reg, podemos ver aumento no consumo médio da LB até o ciclo 1, quando se estabilizou. Nos ciclos 4 (com maior período de realimentação) e 5 (com menor período de restrição), houve redução para níveis próximos aos da LB2, seguida de recuperação nos ciclos 6 e 7 (ver parte inferior da Figura 1). Do ciclo 8 em diante, no entanto, o consumo médio dos sujeitos Rest/ Reg foi menor, resultado inesperado, uma vez que o nível de restrição a partir do ciclo 7 foi aumentado de 75% para 50%. Diferentemente dos demais, os sujeitos Rest/Reg não apresentaram diminuição no consumo nos ciclos 11 e 12 em relação aos ciclos anteriores. No quadro inferior esquerdo da Figura 1 vê-se ainda que os sujeitos Rest/Reg foram os que apresentaram maior consumo de alimento regular ao longo dos ciclos, seguidos pelos NRest/Reg. Visto que nas duas condições eles não tinham acesso ao alimento palatável, a diferença observada parece ter sido produzida pela imposição de restrição.
Na ausência de restrição, o consumo médio dos sujeitos NRest/Palat e NRest/ Regular foi bastante semelhante, como indicado na parte superior da Figura 1, especialmente a partir do ciclo 7. Tal consumo, no entanto, assemelha-se na quantidade, mas não na qualidade dos alimentos ingeridos: nos quadros inferiores da Figura 1, nota-se que o consumo de alimento regular foi menor entre os sujeitos NRest/Palat, que consumiram cada vez menos desse alimento ao longo dos ciclos, e que os NRest/Reg, por sua vez, apresentaram padrão estável de consumo de alimento regular, que decaiu apenas nos ciclos finais avaliados. Na parte superior da Figura 1 nota-se, ainda, que o aumento no consumo dos sujeitos NRest/Palat entre a LB1 e o ciclo 1 foi temporário e sofreu diminuição no ciclo 2 para um valor próximo ao da LB1, mantendo-se estável até o ciclo 10 e decaindo nos ciclos 11 e 12.
Uma análise geral dos dados indica que a oferta de palatáveis na ausência de restrição não produziu aumento do consumo, já que o consumo médio dos sujeitos NRest/Palat ficou não apenas próximo ao dos NRest/Reg como foi inferior ao dos Rest/Palat, cujo consumo de regular e de palatável foi superior ao dos NRest/Palat em todos os ciclos, com uma redução da diferença nos ciclos finais. A restrição alimentar, isoladamente, pareceu ser uma variável importante para aumento do consumo, sendo especialmente problemática a combinação com o acesso ao alimento palatável. Tal afirmação sustenta-se na observação de que a) ingestão dos sujeitos Rest/Palat foi maior que a dos demais em toda a Fase 2, exceto quando menor quantidade de alimento palatável foi oferecida (ciclo 6); b) o consumo dos sujeitos Rest/Reg foi superior ao dos NRest/Reg e NRest/Palat em todos os ciclos e c) o padrão de consumo de sujeitos NRest/Palat e NRest/Reg foi quantitativamente semelhante na maior parte dos ciclos.
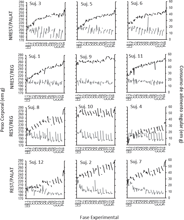
Consumo Individual Antes, Durante e Depois dos Ciclos de Restrição e Realimentação
A fim de conduzir uma análise individual do consumo, na Figura 2 foi mostrado o consumo de cada sujeito nos últimos três dias das LB1 e LB2, nas realimentações dos ciclos 1 a 4 e 7 a 12 e nas três normalizações. De maneira geral, os dados individuais aproximam-se das médias. Serão descritos dados discrepantes ou que constituam informações adicionais.

durante as realimentações dos ciclos e após os ciclos (normalização 1, 2 e 3, que foram medidos, no primeiro e último dia do período de normalização de 30 dias e imediatamente antes dos Testes 2 e 3). A linha pontilhada marca a mudança no grau de restrição de 75% para 50%.
Figura 2. Consumo médio de alimento regular (à esquerda e centro) e palatável (à direita) pelos sujeitos durante os últimos 3 dias das LB1 e LB2, durante as realimentações dos ciclos e após os ciclos (normalização 1, 2 e 3, que foram medidos, no primeiro e último dia do período de normalização de 30 dias e imediatamente antes dos Testes 2 e 3). A linha pontilhada marca a mudança no grau de restrição de 75% para 50%.
As variações no consumo de alimento regular durante a linha de base (LB1 e LB2) foi menor do que nos ciclos. Comparando-se cada sujeito com ele mesmo, houve tanto aumento, como diminuição ou manutenção do consumo em todas as condições, diferente do observado com os dados médios, que sugeriram aumento no consumo em todas as condições já na linha de base. Isso indica que uma análise individual permitiu, nesse caso, avaliar com mais acurácia a linha de base dos sujeitos.
O consumo de todos sujeitos controle (NRest/Reg), se manteve estável, em torno de 16 g a 20 g entre LB1 e ciclo 10. Para os três dessa condição, o consumo diminuiu nos ciclos 11 e 12 e na normalização 1, embora de maneira mais acentuada para o sujeito 9, e recuperou-se no período entre os testes (normalizações 2 e 3).
A introdução da restrição isolada (Rest/Reg), parece ter produzido um padrão cíclico de aumentos e diminuições do consumo ao longo da Fase 2, com maior variabilidade intra sujeito e maior consumo do que a condição NRest/Reg, permanecendo em torno de 18 a 22 g, com poucas exceções (sujeito 8, nos ciclos 3 e 8). O aumento do nível de restrição, de 75% para 50%, para os sujeitos Rest/Reg e Rest/Palat, a partir do ciclo 7, parece não ter produzido mudanças relevantes no consumo, independentemente do tipo de alimento avaliado.
Quando restrição foi combinada ao acesso a alimento palatável (Rest/Palat), houve aumento acentuado no consumo nos dois primeiros ciclos, quando somados os dois alimentos ofertados (em torno de 16,67 g a 29,67 g), com a exceção de picos de consumo do sujeito 2 nos ciclos 2 (36,33 g, dos quais 18g de palatável) e 4 (33 g, dos quais 14,5 g de palatável). Observa-se ainda, uma distribuição inicial equilibrada no consumo de alimento regular e palatável, com tendência à diminuição do consumo de alimento regular ao longo dos ciclos. Tal diminuição ocorreu de maneira diferente para cada animal: o sujeito 7 apresentou redução gradual e contínua ao longo da Fase 2; o sujeito 12 apresentou redução abrupta no ciclo 1, seguida por recuperação e manutenção; o sujeito 2 apresentou padrão cíclico de aumento e redução até o ciclo 9, quando ocorre redução do consumo até o ciclo 12.
Quando alimento palatável foi oferecido na ausência de restrição, não houve mudança no consumo em relação à linha de base, quando somados os dois alimentos ofertados. No entanto, assim como para os Rest/Palat, houve diminuição do consumo de alimento regular pelos sujeitos NRest/Palat. Diferente do que observado para os Rest/Palat, tal diminuição do consumo de alimento regular foi abrupta, ocorrendo até o ciclo 2, especialmente entre LB2 e ciclo 1 (sujeitos 3 e 6), e ciclo 1 ao 2 (sujeito 5). Tanto para os sujeitos NRest/Palat quanto para os Rest/Palat, as alterações de consumo de alimento regular não são sistematicamente acompanhadas por alterações no consumo de alimento palatável, que foi bastante estável.
Independente da história experimental, observa-se que a normalização da dieta produziu um retorno dos níveis de consumo aos da linha de base. No entanto, houve diferenças entre as condições: para os sujeitos com acesso ao palatável a recuperação se deu a partir da normalização 1, e para os com acesso apenas ao regular a partir da normalização 2.
Peso e Consumo Antes e ao Longo dos Ciclos de Restrição e Realimentação
A Figura 3 mostra o peso e consumo dos sujeitos na linha de base (LB1 e LB2), nos ciclos 1 a 12 e nas normalizações da dieta (Pós-ciclos). Para todos sujeitos, observa- se aumento do peso ao longo dos ciclos, comparados às LB1 e LB2. Apesar disso, esse aumento não se deu da mesma maneira para todos.

mensurados de segunda a sexta-feira, antes (LB1 e LB2), ao longo (C1 a C12) e depois (Pós) dos ciclos de restrição e
realimentação. Os dados pós-ciclos são do 1º e último dia da normalização de 30 dias e imediatamente anteriores aos Testes 2 e 3.
Na ausência de uma história de restrição (NRest/Reg e NRest/Palat), o maior ganho de peso de cada sujeito se deu gradualmente e sem muitas oscilações até, aproximadamente, o ciclo 6, havendo desaceleração do ganho a partir desse ciclo. Para os sujeitos sem história de restrição, principalmente os com acesso a palatável, houve maior ganho de peso em comparação aos com história de restrição.
Com a exposição à restrição, houve aumento moderado do peso ao longo dos ciclos e maior aumento apenas após a suspensão da restrição, nas normalizações.
Para os sujeitos Rest/Reg, a desaceleração durante os ciclos se deu mais tardiamente (ciclo 9). Em contraste aos demais, os sujeitos Rest/Palat praticamente não apresentaram desaceleração do ganho de peso. Como exceções, o aumento foi menor desde o início para os sujeitos 9 (NRest/Reg) e 10 (Rest/Reg), que já iniciaram o estudo com pesos mais altos em relação aos demais.
Dos seis que passaram por restrição, três [sujeitos 8 (Rest/Reg), 2 e 7 (Rest/ Palat)] iniciaram e terminaram o estudo com pesos similares, um pouco superiores, aos NRest/Reg, a despeito da restrição em quase 60% dos dias de experimento. Dos outros três sujeitos, dois tiveram pesos iniciais e finais menores [sujeito 4 (Rest/Reg) e 12 (Rest/Palat)], mas com ganhos equiparáveis, ocorrendo para os cinco perda seguida de recuperação do peso a cada ciclo. As quedas raramente alcançaram os níveis da LB após o ciclo 2, mas os aumentos frequentemente superaram a LB e a realimentação precedente, possivelmente por conta aumento do consumo nas realimentações, especialmente para os Rest/Palat. Nota-se que mesmo com o aumento na restrição no ciclo 7, o peso dos sujeitos não deixou de aumentar. Observou-se também aumento do peso após os primeiros 30 dias de normalização, seguido de manutenção nas normalizações entre os testes, com exceção dos sujeitos 9 e 11, cujos pesos permaneceram similares aos observados nos ciclos finais. O peso final dos sujeitos NRest/Reg ficou entre 265,5 g e 267 g, o da maioria dos sujeitos Rest/Reg e Rest/Palat ficou entre 268,5 g e 276,5 g [com exceção dos sujeitos 4 (Rest/Reg) e 12 (Rest/Palat), com 234,5 g e 246 g, respectivamente, que já tinham os menores pesos na linha de base] e o dos sujeitos NRest/Palat entre 249,5 e 253,5g.
Comparando o peso no último dia de linha de base com o peso ao final dos 12 ciclos, nota-se que, em média, o sujeitos que mais ganharam peso foram os NRest/ Palat (35 g), seguidos por NRest/Reg (26,7 g), Rest/Palat (17,3 g) e Rest/Reg (7 g), em 84 dias.
Os dados de consumo de alimento regular intra ciclos indicaram que, para os sujeitos NRest/Reg, o consumo diário foi estável, enquanto para os sujeitos NRest/ Palat, uma diminuição abrupta ocorria após cada acesso a alimento palatável, seguida de aumento contínuo até a próxima realimentação, quando nova queda era observada. No início de alguns ciclos, o consumo de alimento regular dos sujeitos NRest/Palat foi até mesmo inferior ao dos sujeitos restritos, de maneira que o maior ganho de peso desses sujeitos deve-se, possivelmente, ao acesso intermitente ao alimento palatável. Por sua vez, o menor ganho de peso dos sujeitos Rest/Reg e Rest/ Palat em relação aos demais parece se dever à restrição, uma vez que consumiram todo o alimento regular ofertado diariamente nos períodos de restrição, que era limitado pelos experimentadores. O maior ganho de peso dos Rest/Palat em relação aos Rest/Reg, parece ter sido produzido pelo acesso ao alimento palatável.
Quando comparados os pesos ao final do ciclo 12 e ao final do estudo, observou-se aumento de 4,8 g (NRest/Palat), 4,7 g (NRest/Reg), 24,8g (Rest/ Palat) e 26,3g (Rest/Reg), em 44 dias. Isso indica que o maior peso dos sujeitos Rest/Reg e Rest/Palat se deve à recuperação do peso durante o curto período em que a restrição foi suspensa.
Testes de Consumo após Normalização da Dieta
A Figura 4 mostra o consumo médio e valores máximo e mínimo nos Testes de Consumo, realizados após 30 dias de acesso ad lib a apenas alimento regular. Serão descritos os resultados de média dos sujeitos expostos à mesma história experimental e então comentados os casos individuais que contrastam com as médias.

e consumo máximo e mínimo de alimento regular (marcadores cinzas) e palatável (marcadores pretos) no período inicial (3,5 h) e final (3,5 h) dos Testes 1 a 3.
Teste 1.
No primeiro período do Teste 1, sob privação de 24h e com apenas alimento regular disponível, o consumo médio de alimento regular pelos sujeitos Rest/Palat (7,5 g) se destacou quando comparado aos demais. Os NRest/Reg, NRest/Palat e Rest/Reg apresentaram consumos similares entre si (4,83 g, 5,67 g, 5,83 g, respectivamente). Distanciando-se das médias, os sujeitos 2 (Rest/Palat) e 8 (Rest/Reg) tiveram consumo claramente maior em relação às médias e os sujeitos 12 (Rest/Palat) e 10 (Rest/Reg) consumo claramente menor. Nota-se, portanto, maior variabilidade entre sujeitos submetidos à restrição.
Nas 3,5 h finais do Teste 1, o consumo médio foi menor entre os sujeitos NRest/Palat (1,17g) e Rest/Palat (2,17g) do que entre os demais (3,0g e 2,67g para NRest/Reg e Rest/Reg), indicando que o consumo se diferenciou não apenas em quantidade, mas também em localização temporal ao longo do teste: aqueles com história de acesso a palatável, quando expostos à privação de 24h, ingeriram grande quantidade em um período mais curto (no primeiro período do teste), característica do binge eating, enquanto os demais distribuíram a ingestão nos dois períodos, ainda que todos tenham consumido menos no segundo.
Teste 2.
Somando-se o consumo de alimento regular no primeiro período com o de alimento palatável do segundo período do Teste 2, como fizeram Hagan e Moss (1997), o consumo total foi maior pelos sujeitos expostos a uma história de restrição alimentar (10,17 g Rest/Palat e 9,83 g Rest/Reg) do que pelos não expostos (9 g NRest/Palat e 8,5 g NRest/Reg).
Quando avaliado o consumo médio total dos dois períodos do Teste 2, não há diferenças marcantes entre as médias dos sujeitos expostos a cada condição: (10,17 g Rest/Palat; 10,17 g Rest/Reg; 10 g NRest/Palat; 9,17 g NRest/Reg). Analisando separadamente o consumo médio de alimento regular e palatável, nota-se que o consumo do regular foi maior no caso dos Rest/Reg (7,5 g), seguidos pelos NRest/Reg (7,17 g), e então pelos Rest/Palat e NRest/Palat (6,67 g para ambos). O consumo de alimento palatável foi maior no caso dos Rest/Palat (3,5 g) e NRest/Palat (3,33 g), seguidos pelos Rest/Reg (2,67 g) e NRest/Reg (2 g). Desse modo, o consumo total de alimento regular foi maior entre os sujeitos sem história de acesso ao palatável; e o consumo de palatável, mesmo após a saciação com alimento regular, foi maior entre os que tiveram acesso ao palatável. Ainda, o consumo de cada tipo de alimento foi maior para sujeitos com história de restrição do que sem história de restrição, quando comparados Rest/Reg com NRest/Reg e Rest/Palat com NRest/Palat.
Em geral, os consumos individuais dos sujeitos em cada condição se aproximaram entre si, e, portanto, das médias. No entanto, assim como no Teste 1, observa-se variabilidade, principalmente entre os sujeitos Rest/Reg e Rest/Palat, com história de restrição.
Teste 3.
Quando comparados da mesma forma que fizeram Hagan e Moss (1997), vemos que a soma do consumo de alimento regular no primeiro período com de alimento palatável no segundo período do Teste 3, na ausência da privação de 24h, foi de 6,17g, 4,67 g, 3,83 g, e 3,67 g para os sujeitos Rest/Palat, NRest/Reg, Rest/Reg, e NRest/Palat, respectivamente.
Quanto ao consumo médio total, os sujeitos Rest/Palat foram aqueles com maior consumo (6,34 g) quando comparados aos NRest/Reg (4,67 g,), Rest/Reg e NRest/Palat (4 g para ambos). Assim, o consumo dos sujeitos Rest/Palat foi superior aos demais. Em relação a cada tipo de alimento, os Rest/Palat apresentaram maior consumo do regular (3,17 g) e do palatável (3,17g), seguidos pelos demais, que tiveram consumos entre 2 g e 2,5 g de alimento regular e 1,67 g e 2,17 g de alimento palatável. Uma análise do consumo de alimento regular apenas no período final do Teste 3 indicou pouca relevância do período, sendo que alguns sujeitos consumiram 0,5 g e os demais não o consumiram.
Foi observada variabilidade no consumo entre os sujeitos, mas esta foi menor para alimento regular do que para palatável, e, em geral, menor do que nos testes com privação.
Em conjunto com os Testes 1 e 2, esses dados sugerem que uma história de restrição alimentar com acesso intermitente a alimento palatável gerou maior consumo. O consumo elevado se mantém mesmo após saciação com alimento regular, caso seja apresentado alimento palatável após esta.
DISCUSSÃO
O presente estudo teve por objetivo avaliar os efeitos de uma história de restrição alimentar com acesso intermitente em quantidade ilimitada a alimentos palatáveis sobre peso e consumo de alimento em ratas, alterando o tipo de alimento palatável, o procedimento de restrição e a duração das restrições e realimentações utilizadas por Hagan e Moss (1997).
Quanto ao consumo de alimento regular e palatável ao longo dos ciclos, os dados mostraram aumento do consumo durante e após uma história em que períodos de restrição alimentar foram seguidos de períodos de acesso ao alimento em quantidade ilimitada. Esse resultado indica que restrição alimentar produz efeitos a curto e a longo prazo. Os resultados mostraram também maior consumo de alimento na presença (Teste 1 e 2) do que na ausência de privação (Teste 3), especialmente para os sujeitos com história de restrição alimentar. Na presença de privação, o consumo foi maior quando houve oferta de alimento palatável (Teste do que quando não houve (Teste 1), especialmente para aqueles com história de acesso a esse alimento, de maneira consistente com o estudo de Hagan e Moss (1997).
A exposição a açúcar de maneira intermitente em quantidade ilimitada, por sua vez, quando ocorreu sem histórico de restrição alimentar, levou a uma ingestão cada vez menor de alimento regular, resultando em um consumo desse alimento inferior ao da LB. Quando combinado à restrição, no entanto, o acesso intermitente ilimitado a alimento palatável levou a um consumo inicial igualmente muito elevado dos dois alimentos e só tardiamente diminuiu o consumo de alimento regular, com este permanecendo superior ao da LB.
Esse resultado é consistente com os de Cottone et al. (2008) e de Almeida et al. (2012), em cujos estudos a exposição a um alimento “mais preferido” de maneira intermitente, levou à menor ingestão de um alimento “menos preferido” oferecido diariamente. A redução do consumo não pode ser explicada, segundo Cottone et al. (2008), por uma compensação energética pela ingestão excessiva do alimento “mais preferido”, uma vez que a quantidade de calorias ingeridas pelos animais em seu estudo foi inferior à dos sujeitos controle, e ocasionou um menor ganho de peso. Alternativamente, os autores propõem que mecanismos não nutricionais, mas sim hedônicos, estariam envolvidos, referindo-se, entre outras hipóteses, ao contraste negativo, pela experiência prévia com o alimento mais palatável, e à aversividade da retirada do alimento (similar à retirada de drogas) como possíveis explicações. Estas poderiam ser interpretadas como envolvendo controle de estímulos antecedentes pareados ao acesso a alimento palatável e/ou a apresentação de condições corporais desconfortáveis ocasionadas pela privação do alimento palatável.
Os dados de peso e consumo ao longo dos ciclos de restrição e realimentação indicaram que dietas restritivas, quando intercaladas ao acesso ilimitado a alimento (regular ou palatável) produziram maior flutuação, mas não diminuição duradoura do peso, que foi igual ou até maior ao observado em sujeitos sem qualquer restrição, devido a um consumo acentuado após os períodos de restrição. Em geral, houve maior ganho de peso nos primeiros seis ciclos (146 dias de experimento), com posterior desaceleração desse ganho, similarmente ao que ocorreu no estudo de Tomanari, Pine e Silva (2003), em que ratos machos tiveram uma desaceleração do ganho de peso a partir do 106º dia de vida, independentemente de estarem submetidos a uma oferta livre de água e alimento, privados de água ou privados de alimento. Uma história de acesso a alimentos palatáveis na ausência de restrição alimentar levou ao maior ganho médio de peso ao longo dos ciclos, mesmo com a redução no consumo de alimento regular. Uma história de restrição alimentar, principalmente com acesso a alimento palatável, produziu maior ganho médio de peso após a suspensão da restrição.
Quanto aos testes de consumo, observou-se que o consumo dos sujeitos Rest/ Palat foi quase sempre maior do que o dos expostos às demais histórias, evidenciando que as transformações no padrão alimentar dos sujeitos após a história experimental permaneceram mesmo com a reintrodução das condições alimentares da LB por 30 dias na normalização, sendo condizentes com aqueles encontrados por Hagan e Moss (1997).
A combinação de restrição alimentar e acesso intermitente a alimento palatável produziu efeitos mais claros do que apenas uma dessas variáveis isoladamente. Ainda assim, o consumo de alimento regular no Teste 1 foi alto no caso dos sujeitos com história de restrição, e o consumo de palatável no Teste 2 foi alto no caso dos sujeitos com história de acesso a alimento palatável. Adicionalmente, o consumo dos dois alimentos nos Testes 1 e 2 foi inferior no caso dos sujeitos controle, ainda que estivessem sob 24h de privação igual aos demais. Esses resultados parecem reafirmar a importância da história alimentar no consumo futuro (Hagan & Moss, 1997; Corwin et al., 1998; Dimitriou et al., 2000; Frazier et al., 2008; Almeida et al., 2012) ou na preferência (Cottone et al., 2008; Leite et al., 2019).
Do ponto de vista comportamental, o reforçamento alimentar do comer na presença de restrição (uma operação motivadora) ao longo dos ciclos pode ter estabelecido um controle antecedente do comportamento alimentar (Skinner, 1953/1965; Michael, 1982), produzindo maior consumo no caso dos sujeitos Rest/ Reg e Rest/Palat. Além disso, o controle antecedente pela operação motivadora pode estar relacionado ao tipo de reforçador específico apresentado para o comer na presença de restrição. Desse modo, nas realimentações, o comer foi reforçado com alimento regular no caso dos sujeitos Rest/Reg e com alimento regular e palatável no caso dos Rest/Palat, podendo isto ter determinado quais alimentos foram posteriormente mais consumidos na presença de privação. Tal interpretação é consistente com os resultados obtidos nos Testes 1 e 2 e com estudos da literatura: Leite et al. (2019) relatam que, após uma história de reforçamento apenas com açúcar, sujeitos responderam claramente mais por açúcar do que por alimento regular em esquemas concorrentes, enquanto, após uma história de reforçamento apenas com alimento regular, o responder foi mais distribuído entre as duas opções de reforçadores, além de ser observada maior variabilidade entre sujeitos. Panlilio, Hogarth e Shoaib (2015) ao usarem sacarose e nicotina como reforçadores no pré- treino de alguns sujeitos e apenas nicotina para outros, obtiveram maior número de respostas por sacarose no primeiro grupo e mais diferenças individuais no segundo grupo, com metade dos sujeitos respondendo mais por nicotina. Esses estudos sugerem que um operante pode ser reforçado por uma substância específica, e que isso afeta a distribuição do responder em situações posteriores em que há mais de uma alternativa de reforçador.
O achado de Frazier et al. (2008), de que a exposição precoce de ratos à sacarose produziu maior consumo na vida adulta quando oferecida livremente, mas não quando foram exigidas respostas para sua produção, sugere que o reforçamento alimentar de uma resposta específica em contexto específico pode não afetar a emissão de outras respostas em outros contextos. De maneira relacionada, López- Espinoza, Martínez, Díaz, et al. (2010) mostraram que o binge eating tende a ocorrer quando a oferta de alimento se dá no mesmo contexto da privação alimentar, e que a mudança de contexto inibe o binge eating. Além da mudança de contexto, a diferença entre responder consumatório e outras respostas em diferentes estudos poderia ser atribuída ao custo de resposta, como propuseram Leite et al. (2019).
Outra interpretação possível para o menor consumo de açúcar nos Testes 2 e 3 pelos sujeitos sem história de acesso a esse alimento, seria a de que ele foi uma novidade para esses sujeitos, produzindo respostas de esquiva, o que na literatura é referido como neofobia alimentar (Barnett, 1958; Mitchell, 1976; Modlinska, Stryjek & Pisula, 2015). Tal interpretação explicaria melhor o que ocorreu no Teste 2 do que no Teste 3, em que o açúcar já não era mais novidade. Outro dado contrário a essa interpretação é o de que o consumo de açúcar ocorreu já no primeiro ciclo de realimentação na Fase 2 para os sujeitos aos quais foi apresentado, quando também era novidade para estes. Adicionalmente, há discussões na literatura sobre menor ocorrência de neofobia alimentar em ratos domésticos de diferentes linhagens do que em selvagens (Barnett, 1958; Mitchell, 1976), sendo especialmente menor em ratos Wistar (Mitchell, 1976). Também há diferenças na duração da neofobia, com estudos que relatam dias (Barnett, 1958) e estudos que relatam poucos segundos de evitação do alimento novo (Nascimento, Rezende, Furlan & Marquês, 1990; Modlinska, et al., 2015).
Os resultados obtidos no Teste 3 foram parcialmente discrepantes aos de Hagan e Moss (1997). Os sujeitos Rest/Palat permaneceram, como esperado, com maior consumo de alimento regular e palatável, mas, inesperadamente, o consumo dos NRest/Reg (controle) foi superior ao dos Rest/Reg e NRest/Palat. Além disso, os consumos dos Rest/Reg e NRest/Palat foram muito parecidos, com os Rest/Reg apresentando um consumo ligeiramente maior de palatável e os NRest/Palat de regular. Pode-se inferir um possível efeito da ordem de exposição aos testes, uma vez que os efeitos da história de restrição foram menos claros no Teste 2, talvez porque todos sujeitos foram expostos a privação de 24h no Teste 1. O mesmo pode ser dito sobre o efeito do acesso a palatável no Teste 3, uma vez que todos sujeitos foram expostos a essa variável no Teste 2. Considerando que os efeitos dessas variáveis se mostraram logo nos primeiros ciclos durante a Fase 2, pode- se supor que a exposição a testes envolvendo restrição e/ou acesso ao alimento palatável seja suficiente para alterar o padrão alimentar dos sujeitos, embora não tenha sido esse o resultado observado por Hagan e Moss (1997). Sugere-se, portanto, a realização de estudos que avaliem os efeitos da sequência de realização dos testes. Adicionalmente, um teste do consumo apenas de alimento regular, na ausência de privação, poderia ampliar as possibilidades de análise e interpretação dos resultados. Os resultados nos testes de consumo indicaram ainda quantidade muito menor de alimento ingerido (em gramas) e de calorias ingeridas por todos os sujeitos quando comparado com o estudo de Hagan e Moss (1997), o que ainda precisa ser investigado.
Outro dado de interesse no modelo experimental de binge eating explorado é a pequena diferença entre os sujeitos ao final das 7 h dos Testes 1 e 2 (e no Teste 3, exceto para os Rest/Palat, que se mantiveram consumindo mais até o final do teste). Episódios de binge eating costumam ser descritos por especialistas e pelos próprios indivíduos que o apresentam como episódios de grande consumo alimentar em pequenos períodos, com sensação de descontrole, muitas vezes independente da fome momentânea (Corwin & Buda-Lewin, 2004; Moraes & Almeida, 2018). As transformações no padrão alimentar produzidas pelo modelo aqui investigado parecem se caracterizar exatamente por diferenças entre os sujeitos que se expressam nas primeiras horas de acesso ao alimento, mas não são observadas quando longos períodos de acesso são apresentados, constituindo um padrão topograficamente similar àquele observado em pessoas que comem compulsivamente. Em estudos futuros, uma coleta de dados envolvendo um maior número de medidas, realizadas em menores intervalos de tempo entre as avaliações ao longo de cada teste, poderia permitir a identificação de diferenças, por exemplo, na primeira, segunda e terceira hora do teste, momentos que podem se mostrar críticos para se compreender os efeitos das variáveis manipuladas.
Experimentos futuros que realizarem testes operantes do valor reforçador de cada alimento antes, durante e após os ciclos de restrição e realimentação poderão identificar mais precisamente mudanças nesse valor em função dos ciclos, sem a inconveniência de uma possível saciação ao longo do teste e com a possibilidade de avaliar a distribuição temporal de respostas cuja consequência seja alimento regular ou palatável. No experimento de Almeida et al. (2012) foram usadas, além do consumo, medidas operantes do valor reforçador dos alimentos em testes adaptados para um delineamento de sujeito único. Os resultados não replicaram, no entanto, aqueles de Hagan e Moss (1997), o que foi atribuído principalmente ao alimento palatável utilizados nos testes operantes (pelotas de cereal cobertas com chocolate). Uma nova replicação de Almeida et al. (2012), utilizando desta vez pelotas de açúcar, parece importante uma vez que no presente estudo acesso intermitente a açúcar puro combinado a restrição alimentar mostrou-se efetivo em produzir binge eating.
Estudos futuros podem avaliar, ainda, os efeitos de uma história de restrição e realimentação com alimentos palatáveis usando diferentes procedimentos de teste do valor reforçador dos alimentos, tais como FR Progressivo e intervalo variável (VI) em sessões com um único reforço ou com esquemas concorrentes para se avaliar o valor dos dois reforçadores simultaneamente, procedimentos já utilizados para comparar o valor reforçador de alimento regular e palatável na ausência de ciclos de restrição e realimentação em estudos anteriores (ver sistematização de Leite et al., 2019).
A grande variabilidade observada no consumo dos sujeitos expostos a uma mesma história nos testes de consumo também evidencia a importância utilização de delineamentos de sujeito único com todas as suas características. Como este estudo teve o objetivo de replicar as condições de teste de Hagan e Moss (1997), utilizou-se delineamento de sujeito único na análise do consumo na linha de base, ao longo e após os ciclos, mas não na comparação dos testes. O uso de delineamento de sujeito único aliado a medidas operantes na linha de base e nos testes de consumo permitirá avaliar se os resultados obtidos se estendem a respostas não consumatórias mantidas por reforçadores alimentares. Isto pode ampliar os achados sobre os efeitos de variáveis já investigadas usando delineamentos de grupo com este modelo (Boggiano et al., 2007; Hagan et al.,2002; Hagan et al.,2003; Oswald et al., 2011) e integrar esses achados a pesquisas sobre comportamento alimentar fundamentadas na metodologia própria da Análise do Comportamento (Epling & Pierce, 1984; Epling & Pierce, 1996; Pierce et al., 1986). Outra variável que poderia estar relacionada à variabilidade entre sujeitos, especialmente no caso dos Rest/Reg e Rest/Palat é o procedimento de restrição a partir de um sujeito controle pareado utilizado, uma vez que basear-se no consumo de outro sujeito pode implicar em restrição maior ou menor do que ocorreria baseando-se no consumo ou peso do próprio sujeito. Estudos futuros poderão avaliar outros procedimentos de restrição. A presente pesquisa mostrou persistência dos efeitos de uma história de restrição alimentar com acesso intermitente ao alimento palatável mesmo após a normalização da dieta, assim como no estudo de Hagan e Moss (1997). Este resultado é relevante para a compreensão dos padrões alimentares excessivos típicos dos quadros psiquiátricos de BED e BN e de outras condições médicas, sendo indicado, nesses casos, o controle dessas duas variáveis a fim de garantir a regularização do padrão alimentar. Ao replicar Hagan e Moss (1997) sob novas condições, o presente estudo aumenta a generalidade do modelo experimental de binge eating investigado e permite a adaptação para futuras pesquisas sobre compulsão alimentar, conduzidas com medidas operantes.
REFERÊNCIAS
Abbott, S., Dindol, N., Tahrani, A. A., & Piya, M. K. (2018). Binge eating disorder and night eating syndrome in adults with type 2 diabetes: a systematic review. Journal of Eating Disorders, 6(36), 1-8. doi: 10.1186/s40337-018- 0223-1
Almeida, P. E. M.; Guedes, M. L.; Cruz, L. F.; Grandi, P. & Wegener, C. (2012). Investigando alterações no valor reforçador do alimento após um histórico de restrição alimentar seguido pela oferta simultânea de ração e alimento palatável. Manuscrito não publicado, Laboratório de Psicologia Experimental da PUC-SP, São Paulo, Brasil.
Barnett, S. A. (1958). Experiments on ‘neophobia’ in wild and laboratory rats. British journal of Psychology, 49(3), 195-201. doi: 10.1111/j.2044-8295.1958.tb00657.x
Corwin, R. L. & Buda-Levin, A. (2004). Behavioral models of binge-type eating. Physiology & behavior, 82(1), 123-130. doi: 10.1016/j.physbeh.2004.04.036
Corwin R.L., Wojnicki F.H.E., Fisher J.O., Dimitriou S.G., Rice H.B., Young M.A. (1998). Limited access to a dietary fat option affects ingestive behavior but not body composition in male rats. Physiology Behavior, 65, 545–53. doi: 10.1016/s0031-9384(98)00201-7
Cottone, P.; Sabino, V.; Steardo, L. & Zorilla, E. P. (2008) Intermittent access to preferred food reduces de reinforcing efficacy of chow rats. American Journal of Physiology - Regulatory, Integrative and Comparative Physiology, 295(4), R1066-R1076. doi: 0.1152/ajpregu.90309.2008
Dimitriou S.G., Rice H.B., Corwin R.L. (2000). Effects of limited access to a fat option on food intake and body composition in female rats. Int J Eat Disord, 28, 436–45. doi: 10.1002/1098-108x(200012)28:4<436::aid-eat12>3.0.co;2-p
Epling, W. F., & Pierce, W. D. (1984). Activity-based anorexia in rats as a function of opportunity to run on an activity wheel. Nutrition & Behavior, 2(1), 37-49.
Epling, W. F., & Pierce, W. D. (1996). Activity anorexia: Theory, research, and treatment. New York: Psychology Press.
Estes, W. K., & Skinner, B. F. (1941). Some quantitative properties of anxiety. Journal of Experimental Psychology, 29(5), 390-400. doi: 10.1037/h0062283
Frazier, C. R., Mason, P., Zhuang, X., & Beeler, J. A. (2008). Sucrose exposure in early life alters adult motivation and weight gain. PloS one, 3(9), e3221. doi: 10.1371/journal.pone.0003221
Galesi, F. L., Silva, M. T. D. A., & Garcia-Mijares, M. (2012). Análise comportamental do modelo animal de recaída ao uso de drogas cue-induced. Acta Comportamentalia, 20(3), 269-285.
Hagan, M. M., & Moss, D. E. (1997). Persistence of binge‐eating patterns after a history of restriction with intermittent bouts of refeeding on palatable food in rats: Implications for bulimia nervosa. International Journal of Eating Disorders, 22(4), 411-420. doi: 0.1002/(sici)1098- 108x(199712)22:4<411::aid-eat6>3.0.co;2-p
Hagan, M. M., Wauford, P. K., Chandler, P. C., Jarrett, L. A., Rybak, R. J., & Blackburn, K. (2002). A new animal model of binge eating: key synergistic role of past caloric restriction and stress. Physiology & Behavior, 77(1), 45- 54. doi: 10.1016/s0031-9384(02)00809-0
Kolar, D. R., Rodriguez, D. L. M., Chams, M. M., & Hoek, H. W. (2016). Epidemiology of eating disorders in Latin America: a systematic review and meta-analysis. Current Opinion in Psychiatry, 29(6), 363-371. doi: 10.1097/ YCO.0000000000000279
Leite, E. F. C. Almeida, P. E. M. & Guedes, M. L. (2019). Modelos experimentais de alterações no comportamento alimentar. Em Gioia, P. S. & Azoubel, M. S. (Orgs.) Estudos em Análise do Comportamento e Saúde, Curtitiba: CRV. doi: 10.24824/978854443290.7
López-Espinoza, A., Martínez, A. G., Diaz, F., Franco, K., Aguilera, V., Hernández, G., ... & Magaña, C. R. (2010). Inhibición de la gran comilona por cambios del contexto alimentario. Revista Mexicana de Análisis de la Conducta, 36(2), 185-197. ISSN 0185-4534.
Machado, C. E., Zilberstein, B., Cecconello, I., & Monteiro, M. (2008). Compulsão alimentar antes e após a cirurgia bariátrica. Arquivos Brasileiros de Cirurgia Digestiva, 21(4), 185-191. doi: 10.1590/S0102-67202008000400007
Martínez, A. G., Madrid, J. A., López-Espinoza, A., & Vivanco, P. (2009). Consumo de soluciones endulzadas en octodones (Octodón-degú). Acta Comportamentalia: Revista Latina de Análisis de Comportamiento, 17(2), 141-153. ISSN 0188-8145
Marzilli, E., Cerniglia, L., & Cimino, S. (2018). A narrative review of binge eating disorder in adolescence: prevalence, impact, and psychological treatment strategies. Adolescent Health, Medicine and Therapeutics, 9, 17-30. doi: 10.2147/AHMT.S148050
Michael, J. (1982). Distinguishing between discriminative and motivational functions of stimuli. Journal of the Experimental Analysis of Behavior, 37(1), 149-155. doi: 10.1901/jeab.1982.37-149
Mitchell, D. (1976). Experiments on neophobia in wild and laboratory rats: a reevaluation. Journal of Comparative and Physiological Psychology, 90(2), 190. doi: 10.1037/h0077196
Modlinska, K., Stryjek, R., & Pisula, W. (2015). Food neophobia in wild and laboratory rats (multi-strain comparison). Behavioural Processes, 113, 41-50. doi: 10.1016/j.beproc.2014.12.005
Moraes, B. A., & Almeida, P. E. M. (2018). Uma proposta interventiva à compulsão alimentar de indivíduos submetidos à cirurgia bariátrica. Revista Psicologia: Teoria e Prática, 20(3), 314-328. doi: 10.5935/1980-6906/psicologia. v20n3p329-342
Nascimento, A. B., Rezende, D., Furlan, A. C. C., & Marquês, L. M. (1991). Efeitos da desnutrição proteico calórica sobre a atividade exploratória de ratos em um teste de neofobia. Semina: Ciências Biológicas e da Saúde, 11(2), 92-96. doi: 10.5433/1679-0367.1990v11n2p92
Oswald, K. D., Murdaugh, D. L., King, V. L., & Boggiano, M. M. (2011). Motivation for palatable food despite consequences in an animal model of binge eating. International Journal of Eating Disorders, 44(3), 203-211. doi: 10.1002/eat.20808
Palavras, M. A., Kaio, G. H., Mari, J. D. J., & Claudino, A. M. (2011). A review of Latin American studies on binge eating disorder. Brazilian Journal of Psychiatry, 33, s81-s94. doi: 10.1590/s1516-44462011000500007.
Panlilio, L. V., Hogarth, L., & Shoaib, M. (2015). Concurrent access to nicotine and sucrose in rats. Psychopharmacology, 232(8), 1451-1460. doi: 10.1007/ s00213-014-3787-8
Pierce, W. D., Epling, W. F., & Boer, D. P. (1986). Deprivation and satiation: The interrelations between food and wheel running. Journal of the Experimental Analysis of Behavior, 46(2), 199-210. doi: 10.1901/jeab.1986.46-199
Sclafani, A., & Ackroff, K. (2016). Operant licking for intragastric sugar infusions: differential reinforcing actions of glucose, sucrose, and fructose in mice. Physiology & Behavior, 153, 115-124. doi: 10.1016/j.physbeh.2015.10.021
Seligman, M. E., & Maier, S. F. (1967). Failure to escape traumatic shock. Journal of experimental psychology, 74(1), 1. doi: 10.1037/h0024514
Sidman, M. (2011). Can an understanding of basic research facilitate the effectiveness of practitioners? Reflections and personal perspectives. Journal of Applied Behavior Analysis, 44(4), 973-991. doi: 10.1901/jaba.2011.44-973
Skinner, B. F. (1965). Science and Human Behavior. New York, NY: The free press. Originalmente publicado em 1953.
Smink, F. R., Van Hoeken, D., & Hoek, H. W. (2012). Epidemiology of eating disorders: Incidence, prevalence, and mortality rates. Current Psychiatry Reports, 14(4), 406-414. doi: 10.1007/s11920-012-0282-y
Tomanari, G. Y., de Souza Pine, A., & Silva, M. T. A. (2003). Ratos Wistar sob regimes rotineiros de restrição hídrica e alimentar. Revista Brasileira de Terapia Comportamental e Cognitiva, 5(1), 57-71. ISSN 1517-5545
Treasure, J., & Eid, L. (2019). Eating disorder animal model. Current opinion in psychiatry, 32(6), 471-477. doi: 10.1097/YCO.0000000000000550
Willner, P., Muscat, R., & Papp, M. (1992). Chronic mild stress-induced anhedonia: a realistic animal model of depression. Neuroscience & Biobehavioral Reviews, 16(4), 525-534. doi: 10.1016/S0149-7634(05)80194-0
Boggiano, M. M., Artiga, A. I., Pritchett, C. E., Chandler-Laney, P. C., Smith, M. L., & Eldridge, A. J. (2007). High intake of palatable food predicts binge- eating independent of susceptibility to obesity: an animal model of lean vs obese binge-eating and obesity with and without binge-eating. International Journal of Obesity, 31(9), 1357-1367. doi: 10.1038/sj.ijo.0803614
Corwin, R. L., Avena, N. M., & Boggiano, M. M. (2011). Feeding and reward: perspectives from three rat models of binge eating. Physiology & behavior, 104(1), 87-97. doi: 10.1016/j.physbeh.2011.04.041
Notas