“Percepción de Causalidad Personal” en Estudiantes Universitarios
“Perception of Personal Causality” by College Students
“Percepción de Causalidad Personal” en Estudiantes Universitarios
Acta Comportamentalia: Revista Latina de Análisis de Comportamiento, vol. 32, núm. 2, pp. 183-200, 2024
Universidad de Guadalajara

Recepción: 27 Noviembre 2023
Aprobación: 05 Marzo 2024
Resumen: La “percepción de causalidad personal” se ha estudiado con palomas al apagar una tecla de forma dependiente o independiente al picoteo a dicha tecla. Entonces, se ilumina una tecla a cada lado. Las palomas deben picar una tecla después de un cambio de estímulos (CE) dependiente o la otra tecla después de un CE independiente. Se ha observado que la precisión de la percepción de causalidad personal de las palomas disminuye al alargar la demora entre las respuestas y los CE dependientes. En el presente estudio se replicó este procedimiento con humanos para averiguar si la demora entre las respuestas y los CE dependientes determina la percepción de causalidad personal en humanos de manera similar que en palomas. La demora varió entre 0, 0.5, 1, 2 y 4 s. Los aciertos de los humanos disminuyeron al alargar la demora de forma similar que con las palomas. Las curvas Características Operativas del Receptor no mostraron sesgos sistemáticos en los reportes de los participantes conforme se alargó la demora. Se concluyó que las palomas y los humanos discriminan entre CE dependientes e independientes a sus respuestas con base en el tiempo entre su última respuesta y el CE, conforme a una discriminación condicional.
Palabras clave: “percepción de causalidad personal”, demora respuesta- estímulo, discriminación temporal, palomas, humanos.
Abstract: “Perception of personal causality” has been studied with pigeons by turning off a key dependently or independently of pecking on such key. Then, a key is lit on each side. Pigeons must peck one key after a dependent stimulus change (SC) or the other key after an independent SC. It has been observed that the accuracy of pigeons’ perception of personal causality decreases by lengthening the delay between responses and dependent SCs. The present study replicated this procedure to find out whether the delay between responses and dependent SCs determines the perception of personal causality in humans as in pigeons. Delay varied between 0, 0.5, 1, 2, and 4 s. Correct responses by humans decreased by lengthening the delay, as with pigeons. Receptor Operative Characteristic curves did not show systematic biases in participants’ reports as the delay was lengthened. It was concluded that pigeons and humans discriminate between response-dependent and response- independent SCs based on the time elapsed between their last response and the SC, according to a conditional discrimination.
Keywords: “perception of personal causality”, response-stimulus delay, temporal discrimination, pigeons, humans.
Algunas veces, al observar repetidamente que un evento es seguido por otro, las personas reportan percibir una relación causal entre ambos eventos, la cual se induce a momentos y eventos similares (Hume, 1739/1975). Michotte (1963) condujo la primera investigación para identificar los parámetros que determinan la percepción de causalidad entre dos eventos. En uno de sus experimentos, mostró un rectángulo (A) que se movía de izquierda a derecha hasta tocar un segundo rectángulo (B). Al hacer contacto, A se detenía y B comenzaba a moverse. Michotte encontró que los participantes reportaron percibir causalidad cuando el movimiento de B ocurría en contigüidad temporal y espacial al detenimiento de A, por lo que concluyó que una relación causal entre dos eventos se percibe cuando ambos eventos son cercanos en tiempo y espacio.
Aunque la percepción se ha explicado desde diversos enfoques (cf. Bartley, 1958), la percepción podría entenderse desde el análisis experimental de la conducta conforme al siguiente paradigma:
𝐸→𝑅₁⋅𝑅₂
Donde E representa un cambio en el ambiente, R₁ representa una respuesta perceptual y R₂ corresponde al reporte (Schoenfeld y Cumming; 1962). Por ejemplo, en el estudio de Michotte (1963), un movimiento de B que ocurrió en contigüidad espacial y temporal al detenimiento de A (E) provocó alguna respuesta visual (R₁) a partir de la cual los participantes reportaron percibir causalidad (𝑅₂). En cambio, cuando el movimiento de B no era espacial y temporalmente contiguo al detenimiento de A (E), la respuesta visual de los participantes (R1) dio lugar a un reporte de no ver una relación causal (𝑅₂). Debido a que una discriminación consiste en un responder diferencial en presencia de dos estímulos distintos (Keller & Schoenfeld, 1950), podría plantearse que la percepción de causalidad implica una discriminación basada en la contigüidad entre eventos.
Un caso particular de percepción de causalidad es la percepción de causalidad personal, en la que el observador reporta un nexo causal entre su propia conducta y algún evento ambiental. La relevancia de la percepción de causalidad personal puede ilustrarse a partir del estudio de Sims y Baumann (1972). Al entrevistar a mujeres provenientes del norte y sur del “callejón de los tornados”, en Estados Unidos, encontraron que el porcentaje de mujeres del norte que tomaban medidas preventivas ante un posible tornado era mayor que el porcentaje de las mujeres del sur. Después de descartar posibles explicaciones, como la densidad poblacional, el tipo de construcción, la severidad de las tormentas y el acceso a medios de comunicación, Sims y Baumann encontraron que las mujeres del sur reportaron que los eventos de su vida dependen de algún agente externo como la suerte o el destino, en mayor medida que las mujeres del norte. Es decir, conforme a la teoría del aprendizaje social de Rotter (1954; 1955; 1960), las mujeres del sur mostraron un Locus de Control Externo, mientras que las mujeres del norte manifestaron un Locus de Control Interno. Sims y Baumann consideraron que estas diferencias en la percepción de causalidad personal llevaron a las mujeres del sur y del norte del callejón de los tornados a acatar las medidas preventivas de forma distinta.
Si bien, el estudio de Sims y Baumann (1972) representa un ejemplo de un fallo en la percepción de causalidad personal ante un evento dependiente de la conducta del observador, también es posible que un observador actúa ante un evento independiente de su conducta como si fuera dependiente. Por ejemplo, los jugadores de boliche frecuentemente realizan algún patrón estereotipado de conducta después de lanzar la bola, aun cuando dicho patrón no tiene ningún efecto sobre la trayectoria del lanzamiento. Skinner (1948) consideró que este tipo de comportamiento “supersticioso” es análogo al que obtuvo con palomas al entregar comida periódicamente, pero de forma independiente al comportamiento de los sujetos. Al entregar comida cada 15 s, observó que las palomas emitieron patrones estereotipados de conducta, como girar en sentido contrario a las manecillas del reloj o realizar movimientos de picoteo en dirección al suelo, pero sin tocarlo.
El estudio experimental de la percepción de causalidad personal inició después de que Killeen (1978) investigó si el establecimiento de patrones supersticiosos de conducta en palomas se debía a una incapacidad en la discriminación entre cambios ambientales dependientes o independientes de su conducta. Killeen utilizó tres teclas alineadas horizontalmente. Al inicio de cada ensayo, iluminó la tecla central mientras las teclas laterales se encontraban apagadas. Cada picotazo a la tecla central (R) tuvo una probabilidad de 0.05 de resultar en un cambio de estímulo (CE), que consistió en que las teclas laterales se encendieran. Al mismo tiempo, ocurrieron pulsos electrónicos con una frecuencia similar a la del picoteo y con la misma probabilidad de resultar en el CE. Los picotazos a la tecla derecha después de un CE causado por el picoteo a la tecla central y los picotazos a la tecla izquierda después de un CE causado por un pulso electrónico resultaron en acceso a comida. Por el contrario, los picotazos a la tecla izquierda luego de un CE causado por un picotazo a la tecla central y los picotazos a la tecla derecha luego de un CE causado por un pulso electrónico resultaron en que se apagara la luz general y las teclas (i.e., un blackout; BO). Encontró que las palomas acertaron en un 80% de los ensayos, por lo que concluyó que las palomas pueden discriminar entre los cambios ambientales dependientes e independientes de su conducta. Sin embargo, observó que las palomas reportaban como CE dependientes aquellos CE independientes que ocurrían entre 0.5 y 2 s después de una R, por lo que sugirió que la percepción de causalidad personal podría basarse en la demora entre la R y el CE.
Siguiendo el razonamiento de Killeen (1978), estudios posteriores investigaron el efecto de la relación temporal entre las R y los CE sobre la percepción de causalidad personal. Por ejemplo, Valente (1981) investigó el efecto de variar la demora entre las R y los CE dependientes. Utilizó un procedimiento similar al de Killeen. Sin embargo, añadió una demora entre los picoteos y los CE´s dependientes, cuya duración varió entre fases sucesivas del experimento en 0, 0.5, 1, 2 y 4 s. Encontró que la precisión de la percepción de causalidad personal disminuyó al alargar la demora entre las R y los CE´s dependientes, ya que los CE’s dependientes se reportaron más frecuentemente como CE´s independientes. Al igual que Killeen, Valente concluyó que la percepción de causalidad personal podría basarse en la demora entre la R y los CE’s.
De forma complementaria al estudio de Valente (1981), Alva y Bruner (1986) investigaron el efecto de la demora entre las R y los CE independientes sobre la percepción de causalidad personal. Para manipular la demora entre las R y los CE’s independientes, Alva y Bruner variaron la frecuencia de las R, de tal forma que las R ocurrieran en mayor proximidad temporal respecto a los CE’s independientes. Utilizaron un procedimiento similar al de Killeen (1978), pero variaron la frecuencia con la que el picoteo a la tecla central resultó en un CE, ya que la frecuencia de respuesta aumenta con la frecuencia de reforzamiento (cf. Herrnstein, 1961). Durante la primera fase, utilizaron un programa de razón al azar (RA) de 20 respuestas con la mitad de los sujetos y un programa de RA 5 de respuestas para el resto. Durante la segunda fase, variaron el valor del RA en 20, 50, 100, 200, 50, 10 y 5 respuestas, en ese orden para todos los sujetos. Alva y Bruner observaron que todos los sujetos del grupo con el RA 20 adquirieron la discriminación de CE dependientes e independientes de la R, mientras que solo una de las tres palomas expuestas al RA 5 adquirió la discriminación. Alva y Bruner sugirieron que estos hallazgos parecían verificar el razonamiento de que frecuencias altas de respuesta resultan en que la precisión de la percepción de causalidad personal disminuya. No obstante, debido a que no encontraron cambios sistemáticos en la precisión de la percepción de la causalidad al variar el valor del RA en condiciones posteriores, consideraron apresurado atribuir la percepción de causalidad personal a la frecuencia de R.
Al igual que Alva y Bruner (1986), Bruner (1989) investigó el efecto de la demora entre las R y los CE independientes al variar la frecuencia de R. Utilizando un procedimiento similar al de Killeen (1978), Bruner manipuló la frecuencia de R al variar la duración del intervalo entre ensayos (IEE), ya que en situaciones de ensayo por ensayo se ha observado que la tasa de R aumenta al alargar el IEE (e.g., Bruner, 1981; 1982). El IEE aumentó de manera progresiva entre ensayos sucesivos desde 0, 8, 16, 24, 32, 64, 96, 112 hasta 120 s. Observó que alargar el IEE resultó en que la tasa de R aumentara y en que el índice de discriminación entre los CE dependientes e independientes disminuyera, por lo que concluyó que acelerar la tasa de R empeora la percepción de causalidad personal en las palomas debido a la posible coincidencia accidental entre las R y los CE independientes.
Aunque los estudios experimentales con palomas han mostrado que la demora entre una R y un evento ambiental determina la percepción de causalidad personal (e.g., Valente, 1981; Alva y Bruner, 1986; Bruner, 1989), no es claro si dicha demora también determina la percepción de causalidad personal en humanos, ya que solo se ha estudiado de forma cualitativa (e.g., Sims & Bauman, 1972). El propósito del presente estudio fue averiguar si la demora entre una R y un evento ambiental determina la percepción de causalidad personal en humanos de manera similar que en palomas.
Método
Participantes
Se invitó a participar a 14 alumnos de licenciatura y posgrado de la Universidad Nacional Autónoma de México (UNAM), de entre 18 y 27 años. La mayoría de los participantes residían en la Ciudad de México. La mitad de los participantes fueron hombres y la otra mitad fueron mujeres. De acuerdo con la regla de Nivel Socioeconómico de la Asociación Mexicana de Agencias de Investigación de Mercado (AMAI) 2022, la mayoría de los participantes pertenecían a un nivel socioeconómico medio-alto. En la Tabla 1 se detallan las características de los participantes.
| Variable | Frecuencia | Porcentaje | |
| Sexo | Mujer | 7 | 50% |
| Hombre | 7 | 50% | |
| Grado | Licenciatura | 12 | 83% |
| Posgrado | 2 | 17% | |
| Tláhuac | 1 | 7.14% | |
| Gustavo A. Madero | 1 | 7.14% | |
| Benito Juárez | 2 | 14.28% | |
| Tlalpan | 2 | 14.28% | |
| Lugar de residencia | Álvaro Obregón | 3 | 21.42% |
| Cuauhtémoc | 1 | 7.14% | |
| Coyoacán | 1 | 7.14% | |
| Iztapalapa | 2 | 14% | |
| Estado de México | 1 | 7.14% | |
| Clase Media Alta | 8 | 57.14% | |
| Nivel socioeconómico | Clase Media | 4 | 28.57% |
| Clase Media Baja | 2 | 14.28% |
Aparatos
El experimento se realizó en un cubículo del Laboratorio de Condicionamiento Operante de la Facultad de Psicología de la UNAM. Se utilizó una computadora portátil modelo HP 15-da0011la y otra computadora Acer Aspire E5-573, ambas equipadas con el programa Visual Basic versión 2010 y un mouse. Para mostrar los eventos experimentales, en la pantalla de las computadoras se mostró una ventana gris de 1350 por 750 pixeles.
Procedimiento
Antes de iniciar el experimento, se realizó un pretest para identificar a los participantes capaces de discriminar entre un CE dependiente de su R y un CE generado por la computadora. Primero, se informó a los participantes la posibilidad de abandonar el experimento en cualquier momento sin que esto les perjudicara de ninguna manera. Después, los alumnos contestaron el cuestionario de datos personales y sociodemográficos de la regla de Nivel Socioeconómico de la Asociación Mexicana de Agencias de Investigación de Mercado (AMAI) 2022 (Apéndice A). Posteriormente, se mostraron las siguientes instrucciones en la pantalla de una de las computadoras portátiles:
A continuación observarás tres botones. Tu tarea consiste en dar clics sobre el botón central mientras esté iluminado en blanco para lograr que se oscurezca. Cuando el botón central se oscurezca, los botones laterales se iluminarán. Un botón se iluminará de verde y otro de rojo. Al mismo tiempo, la computadora también podrá provocar que el botón central se oscurezca y que los botones laterales se iluminen. Si consideras que la computadora provocó ese cambio, presiona el botón rojo. Si el cambio lo provocaste tú al presionar el botón central, oprime el botón verde. Sólo los participantes con un porcentaje igual o superior al 80% pasarán a la siguiente fase del experimento.
Debajo de las instrucciones se colocó un botón de 290 por 91 píxeles con la leyenda “Empecemos” y se indicó a los participantes presionar dicho botón una vez hubieran comprendido las instrucciones.
Al iniciar el pretest, se mostró una ventana gris de 1350 por 750 píxeles, con tres botones rectangulares de 170 por 160 píxeles, alineados horizontalmente, 295 píxeles debajo del límite superior de la ventana. El botón izquierdo, central y derecho se ubicaron respectivamente a 190, 600 y 990 píxeles a la derecha del límite izquierdo de la ventana. Al inicio de cada ensayo, el botón central se iluminó de blanco, mientras que los botones laterales se mantuvieron oscurecidos e inhabilitados. Las presiones al botón central (R) produjeron un CE inmediato conforme a un programa de RA de 10 respuestas (cf. Schoenfeld & Cole, 1972). Simultáneamente, la computadora emitió pulsos electrónicos, los cuales también provocaron un CE inmediato conforme a un programa de RA de 10 respuestas. Para asemejar la frecuencia de las R y de los pulsos de la computadora, se contó el número de R en ciclos sucesivos de 10 s y se programó que la computadora produjera un pulso en cada décima de segundo de cada ciclo con una probabilidad igual al número de R’s durante el ciclo anterior entre 100. Los CE consistieron en que el botón central se oscureciera e inhabilitara, y en que los botones laterales se iluminaran, uno de verde y otro de rojo. El color de los botones laterales varió aleatoriamente entre ensayos para evitar un sesgo por ubicación en las respuestas. Se consideraron aciertos las presiones al botón verde si el CE ocurrió por una presión al botón central blanco y las presiones al botón rojo si el CE ocurrió por un pulso de la computadora. En cambio, se consideraron errores las presiones al botón rojo si el CE se debió a una presión al botón central blanco y las presiones al botón verde si el CE ocurrió por un pulso del equipo. Los aciertos resultaron en que se mostrara la leyenda “¡Correcto! Tienes un x% de aciertos”, mientras que los errores resultaron en que se mostrara la leyenda “Error, tu porcentaje de aciertos bajó al x%”, siendo x el porcentaje de aciertos obtenidos hasta el momento en ambos casos. Las leyendas “Error” y “Correcto” se presentaron en fuente tipo Times New Roman de 100 puntos. El porcentaje de aciertos se mostró debajo de la leyenda correspondiente en una etiqueta de 580 por 66 pixeles. Ambas leyendas se presentaron durante 1.5 s. Inmediatamente después, se apagaron los botones laterales y se volvió a iluminar el botón central de blanco. En la Figura 1 se muestra un esquema del procedimiento utilizado durante el pretest. El pretest terminó después de 100 CE dependientes. Los participantes con un porcentaje de aciertos mayor al 80% fueron elegidos para continuar en el experimento.

Nota. Los cuadrados negros indican que los botones están oscurecidos. Las letras B, V y R significan blanco, verde y rojo respectivamente. Este diagrama fue adaptado de “La percepción de la causalidad personal desde el punto de vista de la teoría moderna de la conducta” por C. A. Bruner, 1989, Revista Mexicana de Psicología, 5, p. 169.
De los 14 participantes que realizaron el pretest, 12 cumplieron con el criterio de porcentaje de aciertos, con los cuales se acordó una fecha para llevar a cabo la sesión experimental. Al iniciar la sesión experimental, se presentaron las mismas instrucciones que en el pretest, omitiendo la frase “Sólo los participantes con un porcentaje igual o superior al 80% pasarán a la siguiente fase del experimento”. Se utilizó el mismo procedimiento del pretest, pero se agregó una demora entre las R del participante y los CE dependientes. La demora entre las presiones al botón central y el CE varió entre condiciones en 0, 0.5, 1, 2, y 4 s, en ese orden. Posteriormente se redeterminó el efecto de las demoras de 1 y 0 s, en ese orden. Cada demora estuvo vigente durante 20 CE dependientes. Las presiones al botón central no tuvieron consecuencias durante la demora, pero fueron registradas. Además, la computadora no produjo pulsos durante la demora. A lo largo de la sesión experimental, los CE producidos por la computadora fueron inmediatos al pulso que cumplió el requisito del RA 10. Después de exponer a los participantes a todos los bloques de demora, en la pantalla se mostró la frase “¡Gracias por participar!” y finalizó el experimento.
Resultados
Para mostrar si el número de pulsos de la computadora se asemejó al número de R de los participantes, en la Tabla 2 se muestra el número de R de los participantes y el número de pulsos producidos por la computadora. Con todos los participantes se observó un mayor número de R que pulsos de la computadora. Dicha diferencia pudo deberse a que el equipo no produjo pulsos durante el primer bloque de 10 s ni durante la demora, mientras que las R de los participantes se siguieron registrando. Sin embargo, dichas R no podían provocar un CE, por lo que no interfirieron en el número de CE dependientes e independientes a los que se expuso a los participantes.
| Participante | Respuestas | Pulsos de Computadora |
| 1 | 1528 | 1327 |
| 2 | 1233 | 1140 |
| 3 | 1593 | 1532 |
| 4 | 1677 | 1568 |
| 5 | 1733 | 1495 |
| 6 | 1433 | 1254 |
| 7 | 1482 | 1407 |
| 8 | 1241 | 1151 |
| 9 | 1615 | 1459 |
| 10 | 1334 | 1280 |
| 11 | 1578 | 1386 |
| 12 | 1475 | 1349 |
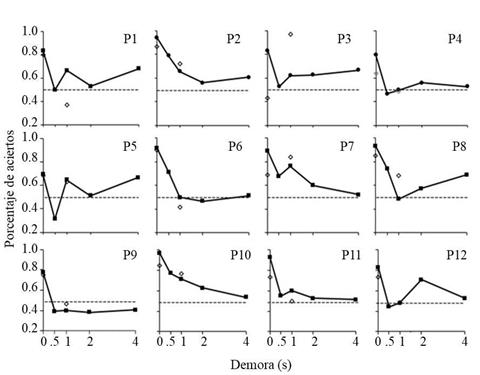
Con el propósito de mostrar el efecto de la demora entre una R y un CE dependiente sobre la percepción de causalidad personal de los participantes, en la Figura 2 se muestra el porcentaje de aciertos con cada demora para cada participante. Se trazó una línea punteada al nivel del 50% de aciertos para facilitar la comparación entre los aciertos obtenidos con cada participante y los aciertos esperados a partir del azar. Todos los participantes obtuvieron el porcentaje de aciertos más alto al inicio de la sesión con la demora de 0 s. Conforme se alargó la demora, el número de aciertos de los participantes P2, P6, P7, P9, P10 y P11 disminuyó gradualmente. Asimismo, el porcentaje de aciertos de los participantes P3, P4, P8 y P12 tuvo una tendencia decreciente, aunque se observaron algunos aumentos con las demoras de 2 y 4 s. Por otra parte, el porcentaje de aciertos obtenidos con P1 y P5 varió de manera no sistemática, aunque siempre fue más bajo que con la demora de 0 s. Con excepción de los participantes P3 y P7, acortar la demora de 1 a 0 s durante las redeterminaciones resultó en que el número de aciertos aumentara.

Nota. Los símbolos en negro representan el porcentaje de aciertos por bloque de demora. Los rombos blancos corresponden al porcentaje de aciertos durante la redeterminación. La línea punteada indica el valor .5 en la ordenada.
Para comparar el efecto de la demora sobre la percepción de causalidad personal en palomas y humanos, en la Figura 3 se muestra el porcentaje promedio de aciertos obtenidos en cada bloque de demora con los participantes del presente estudio y el porcentaje promedio de aciertos por demora obtenidos con palomas en el estudio de Valente (1981). El promedio de aciertos por demora en palomas se estimó a partir de la Figura 3 de la tesis doctoral de Valente con ayuda del software WebPlotDigitizer versión 4.7 (Rohatgi, 2024). Ambas funciones iniciaron con un porcentaje de aciertos superior al 80% en el CE dependiente inmediato. Además, el porcentaje de aciertos disminuyó gradualmente conforme se alargó la demora entre la R y los CE dependientes. A pesar de que ambas funciones fueron decrecientes, el nivel de la función de las palomas fue más alto que el de las personas con todas las demoras, excepto con la de 0 s.

Nota. La línea sólida corresponde al promedio de aciertos por demora obtenidos con humanos en el presente estudio y la línea punteada corresponde al promedio de aciertos por demora obtenidos con palomas en el estudio de Valente. El promedio de aciertos por demora en palomas fue adaptado de los datos de la Figura 3 de la tesis doctoral “Temporal Influences on the Perception of Causality in Pigeons” por R. G. Valente, 1981, p.30.
Para identificar algún sesgo en el reporte de los participantes, se analizaron las respuestas conforme a una tarea de detección de señales (Swets, 1996). Se contó un acierto (AC) cuando los participantes reportaron un CE dependiente como dependiente, una falsa alarma (FA) cuando los participantes reportaron un CE independiente como dependiente, una omisión (OM) cuando los participantes reportaron un CE dependiente como independiente, y un rechazo correcto (RC) cuando los participantes reportaron un CE independiente como independiente. Debido a que el número de CE independientes varió entre sujetos, se calcularon los porcentajes de cada tipo de respuesta por participante y, posteriormente, se promediaron estos valores. En la Tabla 3 se muestran los porcentajes de AC y OM ante los CE dependientes y los porcentajes de FA y RC ante los CE independientes obtenidos por los participantes en cada una de las demoras. El porcentaje de AC y RC más alto se obtuvo con la demora de 0 s. Después, el porcentaje de AC y RC obtenido fue cercano a 0.5, lo que indica que los participantes no discriminaron entre CE dependientes y CE independientes de su conducta. En el Apéndice B se muestran los porcentajes individuales de AC, MO, FA y RC por demora.
| CE Dependientes | CE Independientes | |||
| Demora (s) | Aciertos | Omisiones | Falsas Alarmas | Rechazos Correctos |
| 0 | 0.95 | 0.05 | 0.26 | 0.74 |
| .5 | 0.58 | 0.42 | 0.44 | 0.56 |
| 1 | 0.67 | 0.33 | 0.55 | 0.45 |
| 2 | 0.59 | 0.41 | 0.46 | 0.54 |
| 4 | 0.60 | 0.40 | 0.51 | 0.49 |
Para analizar gráficamente el desempeño de los participantes durante cada demora en presencia de los CE dependientes y los CE independientes, en la Figura 4 se muestran las curvas Características Operativas del Receptor (ROC, por sus siglas en inglés) con cada demora. Para calcular las curvas ROC, las tasas de aciertos (AC/(AC+OM)) y falsas alarmas (FA/(FA+RC)) de los participantes se ordenaron de menor a mayor con cada demora. Después, se establecieron como puntos de corte los valores no repetidos de tasa de aciertos y de tasa de falsas alarmas. Para calcular la sensibilidad, se dividió el número de tasas de aciertos mayores o iguales a cada punto de corte entre el número de participantes. Para calcular la 1 - especificidad, se dividió el número de tasas de falsas alarmas menores o iguales a cada punto de corte entre el número de participantes. Las curvas ROC se trazaron al conectar los valores de sensibilidad y 1 - especificidad en cada punto de corte. La curva ROC obtenida con la demora de 0 s se aproximó a la esquina superior izquierda, lo que muestra que los participantes tuvieron un alto índice de discriminación entre los CE dependientes y los CE independientes. Conforme aumentó la demora entre la R y el CE dependiente, las curvas se acercaron más a la línea punteada de no discriminación. Inclusive, se obtuvieron puntos de corte por debajo de la línea de no discriminación en las curvas correspondientes a las demoras 1, 2 y 4 s. Durante las demoras de 0.5 y 1 s se observó un ligero aumento en el porcentaje de OM, mientras que durante las demoras 2 y 4 s aumentó el porcentaje de FA. Sin embargo, no se observaron sesgos sistemáticos en el reporte de los participantes conforme se alargó la demora.

Nota. Los círculos blancos corresponden al porcentaje de AC y FA de un participante en cada bloque. La línea punteada es la línea de no discriminación.
Discusión
El propósito del presente estudio fue averiguar si la demora entre la R y el CE determina la percepción de casualidad personal en humanos de manera similar que en palomas. Si bien, estudios previos habían encontrado diferencias individuales en la percepción de causalidad personal en humanos (cf. Rotter, 1954; 1955; 1960), dichas diferencias solo se habían estudiado cualitativamente (e.g., Sims & Baumann, 1972), impidiendo identificar su origen. En contraste, estudios experimentales con palomas han mostrado que la percepción de causalidad personal depende de la relación temporal entre una R y un CE. Por ejemplo, Valente (1981) mostró que la precisión de la percepción de causalidad personal disminuye al alargar la demora entre las R y los CE dependientes. De forma similar, en el presente estudio se encontró que la precisión de la percepción de causalidad personal en estudiantes universitarios disminuyó al alargar la demora entre las R y los CE dependientes. Este resultado demuestra que la demora entre las R y los CE determina la percepción de causalidad personal igualmente en palomas y humanos.
Con excepción de la demora 0 s, el porcentaje de aciertos obtenidos por las palomas fue más alto que el de las personas. Esta diferencia podría deberse a los cambios en el procedimiento que se realizaron al adaptarlo de palomas a humanos. Por ejemplo, mientras que los humanos estuvieron expuestos a cada demora durante 20 ensayos, las palomas estuvieron expuestas a cada demora durante 900 ensayos (cf. Valente, 1981), lo que pudo haber resultado en que tuvieran un porcentaje de aciertos mayor. Pese a estas diferencias, ambas funciones son decrecientes, lo que extiende la generalidad del efecto de la demora entre las R y los CE de palomas a humanos (cf. Sidman, 1960).
La semejanza entre los resultados obtenidos con palomas por Valente (1981) y los resultados obtenidos en el presente estudio podría suponer que un mismo proceso está implicado en la percepción de causalidad personal en ambas especies (cf. Sidman, 1960). Conforme al paradigma propuesto por Schoenfeld y Cumming (1962), es posible comprender la percepción de causalidad personal como una discriminación condicional. En una discriminación condicional con palomas, por ejemplo, podría iluminarse una tecla de un color u otro (estímulo muestra; EM) para después iluminar otras dos teclas (estímulos comparativos; ECO), cada una con uno de los dos colores posibles para el EM. Así, el color del EM (E) controla que las palomas respondan en uno de los dos ECO (R2). De igual forma, en una tarea de percepción de causalidad personal, el tiempo entre la última R y el CE (E) podría controlar una R2 cuando es corto (“fui yo”) y otra R2 cuando es largo (“no fui yo”).
Considerando que el mismo proceso podría determinar la percepción de causalidad personal en palomas y humanos, es posible que aquellas variables que se han mostrado efectivas en la percepción de causalidad personal en las palomas también sean efectivas con los humanos. Por ejemplo, Alva y Bruner (1986) aportaron evidencia de que la frecuencia de respuesta podría tener un efecto sobre la precisión de percepción de causalidad personal, al encontrar diferencias en palomas cuando el picoteo a la tecla central resultó en CE conforme diferentes programas de reforzamiento. Posteriormente, Bruner (1989) encontró cambios sistemáticos en la percepción de causalidad personal en palomas cuando varió la frecuencia de respuesta a partir de la duración del IEE. De forma similar, estudios posteriores podrían comparar la percepción de la causalidad personal en humanos al variar a frecuencia de respuesta, ya sea variando la frecuencia con la que las respuestas provocan un CE o al variar el IEE.
La percepción de causalidad personal influye cotidianamente en la vida de las personas. Un fallo en la percepción de causalidad personal puede interferir en la ejecución de comportamiento relevante para el bienestar y la sobrevivencia (e.g., Sims & Baumann, 1972). Asimismo, percibir que un evento ambiental depende de nuestro comportamiento cuando no hay una relación causal verdadera, puede resultar en patrones de conducta irrelevantes o contraproducentes (i.e., Skinner, 1948). Rotter (1954;1955; 1960) describió estas problemáticas al señalar las implicaciones de tener un Locus de Control Externo o Interno. Sin embargo, atribuyó estas diferencias a rasgos de personalidad, sin indagar en las condiciones que determinan que una persona atribuya o no un evento ambiental a su propia conducta. Con base en la investigación animal sobre la percepción de causalidad personal, el presente estudio mostró que la percepción de causalidad personal depende de al menos una variable medioambiental: la demora entre las R y los CE.
Referencias
Alva, E. A., & Bruner C. A. (1986). El efecto de variar el programa de presentación de estímulos sobre la percepción de causalidad en palomas. Revista Mexicana de Análisis de la Conducta, 12(1), 9-17.
Bartley, S. H. (1958). Principles of perception. Harper.
Bruner, C. A. (1989). La percepción de la causalidad personal desde el punto de vista de la teoría moderna de la conducta. Revista Mexicana de Psicología, 5, 167-172.
Herrnstein, R. J. (1961). Relative and absolute strength of response as a function of frequency of reinforcement. Journal of the Experimental Analysis of Behavior, 4(3), 267–272. https://doi.org/10.1901/jeab.1961.4-267
Hume, D. (1975). An Enquiry Concerning Human Understanding (P. N. Nidditch, Trad.). Clarendon Press. (Obra original publicada en 1739).
Killeen, P. R. (1978). Superstition: A matter of bias, not detectability. Science, 199, 88-90. http://doi.org/10.1126/science.199.4324.88
Michotte, A. (1963). The perception of causality. Basic Books
Rohatgi, A. (2024). WebPlotDigitizer (Versión 4.7) [Software]. Automeris. https://apps.automeris.io/wpd/
Rotter, J. B. (1954). Social learning and clinical psychology. Englowood Cliffs: Prentice-Hall.
Rotter, J. B. (1955). The role of the psychological situation in determining the direction of human behavior. En M. R. Jones (Ed.), Nebraska symposium on motivation (pp. 245-269). Nebraska Press.
Rotter, J. B. (1960). Some implications of a social learning theory for the prediction of goal directed behavior from testing procedures. Psychological Review, 67(5), 301–316. https://doi.org/10.1037/h0039601
Schoenfeld, W. N., & Cole, B. K. (1972). Stimulus Schedules: the t-tau Systems. Harper & Row.
Schoenfeld, W. N., & Cumming, W. W. (1962). Behavior and perception. En S. Koch (Ed.), Psychology: A study of a science. Study II: Empirical substructure and relations with other sciences. Vol. 5. The process areas, the person, and some applied fields: Their place in psychology and in science (pp. 213–252). McGraw-Hill. https://doi.org/10.1037/10040-004
Sidman, M. (1960). Tactics of scientific research: Evaluating experimental data in psychology. Basic Books.
Sims, J. H., & Baumann, D. D. (1972). The tornado threat: coping styles of the north and South. Science, 176(4042), 1386–392.https://doi.org/10.1126/science.176.4042.1386
Skinner, B. F. (1948). ‘Superstition’ in the pigeon. Journal of Experimental Psychology, 38(2), 168–172. https://doi.org/10.1037/h0055873
Swets, J. A. (1996). Signal Detection Theory and ROC Analysis in Psychology and Diagnostics: Collected Papers. Psychology Press.
Valente, R. C. (1981). Temporal Influences on the Perception of Causality in pigeons. [City University of New York. Unpublished Doctoral Dissertation.]