
Recepción: 12 Noviembre 2023
Aprobación: 02 Febrero 2024
Resumen: El presente trabajo describe una propuesta para el estudio de los contactos de acoplamiento y alteración. Empleando un procedimiento similar a los reportados en la literatura sobre seguimiento y captura (tracking and catching) se diseñó y adaptó una tarea en la que se presentaron dos situaciones en las que los participantes debían ajustarse por medio de su desplazamiento en la pantalla de una computadora a un objeto en movimiento. En la primera situación, las condiciones de ocurrencia del objeto en movimiento (velocidad o trayectoria) fueron constantes y no se modificaron por el patrón de respuesta desplegado por los participantes; en la segunda situación, el patrón de respuesta alteraba las condiciones de ocurrencia del objeto (su velocidad). La primera situación se consideró equivalente a una condición de acoplamiento; la segunda, a una de alteración. En los resultados se muestran ejemplares de las medidas molares que pueden obtenerse a partir de los registros. Se considera que el procedimiento es útil para la evaluación de los contactos de acoplamiento y alteración.
Palabras clave: contacto de acoplamiento, contacto de alteración, seguimiento y captura, movimiento, desplazamiento.
Abstract: The present work describes a proposal for the study of coupling and alteration contacts. Using a procedure like those employed in the tracking and catching literature, a task was designed and adapted in which participants were presented with two situations in which they had to adjust to a moving object by scrolling on a computer screen. In the first situation, the occurrence conditions of the moving object (speed or trajectory) were constant and were not modified by the response pattern displayed by the participants; in the second situation, the response pattern altered the occurrence conditions of the object (its speed). The first situation was considered equivalent to a coupling condition; the second, to an alteration condition. Exemplars of the molar measurements that can be obtained from the recordings are shown in the results. It is considered that the procedure may be useful for the evaluation of coupling and alteration contacts.
Keywords: coupling contact, alteration contact, tracking and catching, movement, displacement.
De acuerdo con lo planteado por Ribes-Iñesta en Teoría de la Psicología (2018), enloscontactos de acoplamientoelindividuo se relaciona con ocurrencias del entorno que son independientes de su comportamiento y a las que no puede afectar sino solamente ser afectado por ellas. El contacto se caracteriza por la diferencialidad de los patrones reactivos-activos del individuo respecto de las propiedades temporales y espaciales de las contingencias de ocurrencia. Por su parte, en las contingencias de alteración el individuo, por medio de su comportamiento, altera las contingencias de ocurrencia del entorno. Una de las formas en las que la alteración es posible es al nivel de la producción de cambios en los objetos de estímulo ya sea en las circunstancias espaciotemporales de su ocurrencia o en sus propiedades.
Luego de cinco años de su publicación, los estudios experimentales orientados al análisis de los contactos psicológicos derivados de la Teoría de la Psicología (Ribes-Iñesta, 2018) se han enfocado casi exclusivamente al estudio de los contactos de comparación (Ribes-Iñesta et al., 2020; Ribes-Iñesta et al., 2022). La única excepción corresponde al estudio de Ruíz y Guerrero Sánchez (2021) quienes analizaron contingencias de tipo pavloviano como una instancia en la que puede tener lugar un contacto de acoplamiento.
Una de las características de la obra de Ribes-Iñesta (2007, 2018) es el énfasis en el continuo conductual inspirado principalmente por las reflexiones de Schoenfeld. De acuerdo con Schoenfeld y Farmer (1979), tanto las conductas especificadas experimentalmente como respuestas objetivo a ser reforzadas, así como todas aquellas que se excluyen de esta categoría, hacen parte de un flujo conductual. Una de las formas de dar cuenta del flujo conductual es a partir del registro continuo de la conducta. A partir de dicho registro, Ribes-Iñesta (2007, 2018) y Ribes-Iñesta, Palacios y Hernández, (2020) plantean la necesidad de analizar molarmente la conducta partiendo de cinco dimensiones o categorías de medida: la direccionalidad, la preferencia, la variación, el esfuerzo o vigor, y la persistencia. La mayor parte de los estudios recientes en los que se han empleado estas dimensiones y sus medidas asociadas, han usado el registro continuo del desplazamiento del individuo y su reorganización funcional a partir de la forma como se contactan objetos y eventos en diferentes tipos de situaciones experimentales (Ribes-Iñesta, Hernández & Serrano, 2020; Ribes-Iñesta, Palacios & Hernández, 2020; Ribes-Iñesta & Ruíz, 2021; Ribes-Iñesta, Ruíz & Castillo-Alfonso, 2022; Ribes-Iñesta & Tamayo, 2020, 2021).
Una opción aún no explorada dentro de los estudios derivados de la Teoría de la Psicología es la de analizar la forma como los organismos contactan objetos y eventos con propiedades dinámicas. Dentro de la literatura experimental, Pisacreta y Witt (1985) demostraron que el movimiento puede emplearse como una propiedad discriminativa del estímulo a la que los organismos pueden responder diferencialmente. De la misma manera, existen investigaciones que se han dedicado a evaluar las estrategias de seguimiento y captura (tracking and catching en inglés) de objetos en movimiento tanto en palomas como en humanos. Específicamente se ha analizado la forma como los organismos responden a diferentes cambios en las propiedades del movimiento de los estímulos tales como cambios en la trayectoria, en la velocidad o de oclusión (Rilling & LaClaire, 1989; Willkinson & Kirkpatrick, 2011, 2020).
Situaciones como las apenas planteadas podrían ser analizadas desde la Teoría de la Psicología como ejemplares de los contactos de acoplamiento o alteración integrando el registro del desplazamiento como base para su análisis. De este modo, los casos en los que los organismos se ajusten a los objetos en movimiento sin alterar sus propiedades de ocurrencia podrían considerarse como contactos de acoplamiento; de la misma manera, situaciones en las que a partir de su comportamiento el organismo altere una o varias propiedades del movimiento de los objetos, podrían ser interpretados como ejemplos de contactos de alteración.
En este sentido, el propósito del estudio fue analizar si situaciones similares a las de seguimiento y captura en las cuales se responde a un objeto en movimiento, son ejemplares susceptibles de ser analizados como casos de contactos de acoplamiento y alteración. Para ello, se propone y describe una tarea basada en el procedimiento desarrollado por Castillo-Alfonso (2023). La tarea fue puesta a prueba y a partir de los registros obtenidos se generaron ejemplares de las medidas molares sugeridas por Ribes-Iñesta (2007, 2018) con el fin de mostrar la utilidad y potencialidad de la tarea para cumplir con el objetivo apenas descrito.
Método
Participantes
Participaron de manera voluntaria 2 mujeres estudiantes de licenciatura en psicología de 21 y 22 años. Las participantes fueron reclutadas a través de redes sociales y se ofreció una retribución de $30 (MXN) por su participación en el experimento. Ninguno de los participantes tenía experiencia previa con la tarea.
Aspectos éticos
Antesderesolverlatarea,todaslasparticipantesleyeronyfirmaronunconsentimiento informado en el que se les hizo de conocimiento el objetivo de la investigación, así como los criterios para la protección y resguardo de sus datos personales. El estudio se condujo bajo la guía de los lineamientos establecidos por los Principios Éticos y el Código de Conducta de la American Psychological Association (2017).
Materiales
Se utilizó una computadora HP 22-dd1500 con una pantalla de 15 pulgadas y sistema operativo Windows 7 Professional, dentro de las cuales se programó la tarea experimental en Java, un ratón estándar con sensor óptico que tenía la posibilidad de moverse sobre un tapete mediano de 250x350 mm y un teclado de 45x15x2 cm de interacción libre. Estos aparatos estaban ubicados en cubículos individuales insonorizados en el Laboratorio de Conducta Humana del Centro de Estudios e Investigaciones en Conocimiento y Aprendizaje Humano de a Universidad Veracruzana.
Adicionalmente se usó un aplicativo en Java inspirado y diseñado a partir del procedimiento empleado por Castillo-Alfonso (2023) el cual presentaba en la pantalla de la computadora un cuadrado de 1272x1272 px en donde aparecía una rana que el participante podía mover en cualquier dirección empleando el ratón. Por las laterales de la pantalla, se presentaba un insecto que se movía a diferentes velocidades. El aplicativo permitía registrar las coordenadas x y y del puntero del ratón (correspondiente en este caso al centro de la rana) dentro de la pantalla, así como una serie de registros derivados (distancia respecto del insecto, velocidad del desplazamiento, número de insectos capturados, número de clics, etc). Los registros se compilaron en un archivo de extensión .csv y se procesaron con Microsoft Excel para Windows.
Diseño
Cada participante pasó por una condición experimental. La condición 1 correspondió a la situación de acoplamiento (AC) mientras que la condición 2 fue la de alteración (Alt). En los dos casos se presentó una situación previa a modo de línea base (LB) en la que no aparecía insecto en la pantalla. Esta se presentó con el fin de registrar el desplazamiento en la pantalla en ausencia del insecto de modo que se pudiese comparar el cambio en el patrón una vez aquel estuviera presente. Las participantes se asignaron a cada situación de acuerdo con su orden de llegada. De este modo, la primera participante se asignó a la condición de acoplamiento mientras la segunda, a la de alteración.
Procedimiento
La velocidad del insecto estuvo controlada por dos parámetros que se establecieron directamente desde la condición de programación de su movimiento: la magnitud del movimiento que correspondió a la distancia (en px) entre una posición del insecto y la siguiente. El segundo parámetro correspondió a la demora (en ms) entre el cambio de una posición del insecto a la siguiente. Se emplearon 2 valores de velocidad: 90 px en 100 ms para la situación de acoplamiento y 90 px en 10 ms para la situación de alteración. De este modo, la velocidad incrementa cuando el insecto recorre una mayor distancia (en px) en un menor tiempo (en ms), y disminuye cuando recorre una distancia menor en un tiempo mayor.
El insecto se movió en la dirección de las manecillas del reloj permaneciendo siempre pegado a las laterales de la pantalla. Solamente podía ser capturado en el centro de cada lateral lo cual se señaló con un cambio en el color del fondo del insecto (de rojo a verde). El participante debía capturar el insecto moviendo la rana hacia las zonas centrales de cada lateral y haciendo clic sobre el insecto. Por cada insecto capturado se obtenía un punto.
Dado que la rana se controló con el ratón de la computadora, la velocidad de su desplazamiento estuvo determinada directamente por la configuración de la velocidad del puntero en el sistema operativo (Windows 7 Professional). En este la velocidad se configuró en el valor 3 del rango de velocidad lenta-rápida. Por su parte, la velocidad del clic se configuró como rápida. Las dos configuraciones se mantuvieron constantes para todos los participantes.
El estudio se realizó en una sola sesión de aproximadamente 25 minutos en un horario de entre 10:00 am a 2:00 pm. Cada participante decidió el día y hora en el que asistirían dependiendo de su disponibilidad. Al llegar, se situaba al participante en uno de los cubículos del laboratorio con la tarea experimental preparada para su inicio en la computadora. Previo a realizar la tarea, se le presentó el consentimiento informado el cual leyó y firmó en caso de estar de acuerdo.
Posteriormente, se ubicó al participante en una silla frente a un computador y se le mencionó que se le presentarían unas instrucciones en la pantalla que debía leer detenidamente y luego oprimir el botón “continuar” para iniciar.
Las instrucciones iniciales fueron las siguientes:
“¡Hola!
Agradecemos mucho tu participación. Esta tarea consta dos partes.
Esta es la primera parte.
En la pantalla aparecerá una ranita que podrás mover como quieras utilizando el ratón.
¡Diviértete!
Da clic en el botón “continuar” para empezar”
Luego de que el participante oprimía el botón “continuar” iniciaba la línea base que fue idéntica para las dos participantes. En la mitad izquierda de la pantalla aparecía un cuadrado con fondo verde en el que se presentaba una rana en la parte central que el participante podía mover mediante el ratón. En esta fase no se presentaba el insecto. El propósito fue observar la forma como el participante se desplazaba en la pantalla de la computadora en ausencia de objetos relevantes para luego estar en la posibilidad de comparar el cambio en el desplazamiento ante la presencia de objetos relevantes. Esta condición duró 300 segundos (5 minutos).
Al término, se presentó en la pantalla la instrucción de manera previa al inicio de la situación de acoplamiento o alteración según fuera el caso:
“¡Hola de nuevo!
Esta es la segunda parte de la tarea. En la pantalla aparecerá una ranita que podrás mover con el ratón. Este juego se trata de que ayudes a la ranita a capturar la mayor cantidad de insectos posibles. No siempre podrás capturarlo así que debes averiguar cuándo y cómo atraparlos más fácilmente. Cada vez que captures un insecto, escucharás un sonido; por cada insecto que captures, obtendrás un punto.
¡Diviértete!
Da clic en “aceptar” para empezar”
En este caso la duración aumentó a 900 segundos (15 minutos). Para la situación de acoplamiento, se presentaba el insecto recorriendo la periferia de la pantalla a una velocidad de 90 px/100 ms.
Para capturar el insecto, la participante debía mover la rana al centro de cada una de las laterales y hacer clic sobre este en el momento en el que pasara por esta área. La disponibilidad del insecto para ser atrapado se señaló con un color verde a su alrededor cuando pasaba por el centro de cada lateral de la pantalla; el resto de la trayectoria, el color que rodeaba al insecto fue rojo lo cual señalaba que este no se encontraba disponible para ser atrapado. Cuando el insecto estaba con el fondo en color rojo, un clic sobre este no generaba ni ningún cambio en la puntuación. Por el contrario, cuando se hacía un clic sobre el insecto mientras este presentaba un fondo de color verde, se escuchaba un sonido (Windows Proximity Notification) y se incrementaba un punto en el puntaje de la tarea el cual fue siempre visible al participante en la parte superior izquierda de la pantalla. El número máximo de capturas por lateral que podía realizar el participante fue de 4 insectos (equivalentes a 4 puntos). El insecto siempre se mantuvo en movimiento independiente de si era o no capturado. Luego de cada captura, el insecto se continuaba moviendo desde la misma posición, en la misma trayectoria y con la misma velocidad. El participante no podía cambiar la trayectoria o velocidad del insecto.
La situación de alteración fue similar a la de acomplamiento con dos diferencias: la primera, el insecto se movía a una velocidad mayor (90px/10ms) lo que hizo que el patrón de desplazamiento y captura de la situación de acoplamiento fuera inefectivo para atrapar el insecto. La segunda fue que la pantalla de la computadora se dividió virtualmente en 4 cuadrantes (no visibles para la participante). En la parte central del primer cuadrante se presentó un cuadrado rojo con dimensiones de 90x90 px (visible para la participante). A este cuadrado se le denominará “zona” de aquí en adelante. Cuando el participante ubicaba la rana sobre la zona por 3 o más segundos, inmediatamente el insecto disminuía su velocidad (15px/400ms). Al disminuir la velocidad, era posible atrapar el insecto en las laterales bajo las mismas condiciones descritas en la situación de acoplamiento. De este modo, el participante con su respuesta alteraba las condiciones de ocurrencia vinculadas con una de las propiedades del movimiento del insecto (su velocidad). El efecto de la disminución de la velocidad duró 28 segundos que correspondió al tiempo que el insecto tardaba en recorrer dos laterales de la pantalla a esta velocidad. Posterior a ello, el insecto volvía a moverse a la velocidad inicial (90px/10ms). El efecto de disminución de la velocidad se repetía tantas veces como el participante ubicaba a la rana en la zona permaneciendo en ella por 3 o más segundos. Ubicar a la rana en la zona mientras el insecto se movía a la velocidad baja, no generó ningún efecto. El número máximo de capturas que el participante podía lograr por lateral cuando en la velocidad baja fue de 14. La puntuación tuvo las mismas características descritas en la situación de acoplamiento.
Al terminar, a las participantes se les presentó el siguiente mensaje:
“¡Lo hiciste muy bien! Ayudaste mucho a la ranita. Agradecemos tu participación. ¡Hasta la próxima!
Por favor, avisa a la persona encargada”.
Al término de la tarea, a cada participante se le entregó la retribución monetaria y se le agradeció su participación.
Resultados
Se presenta un ejemplo del tipo de datos que pueden generarse a partir de los registros continuos del desplazamiento del ratón en la pantalla de la computadora. Los datos se organizan de acuerdo con las medidas molares propuestas por Ribes- Iñesta (2007, 2018).
Direccionalidad
Respecto a la direccionalidad, se presentan tres medidas. La ruta analógica, la distancia entre el participante y el insecto, y el tiempo acumulado de coincidencia de la ubicación del insecto y del participante.
La Figura 1 representa la ruta analógica del desplazamiento de las participantes en la línea base y durante los 5 primeros y últimos minutos de la situación de acoplamiento (Participante 1 – P1) o alteración (Participante 2 – P2). En la línea base (en ausencia de objetos relevantes), se presentó variación en la ruta entre participantes. Cada participante presentó un patrón de desplazamiento diferente. La implementación de las situaciones de acoplamiento o alteración mostraron un cambio notable en la ruta de desplazamiento en comparación con la línea base. Mientras la P1 mostró una ruta en forma de rombo con trayectorias muy marcadas entre laterales, la P2 presentó una menor densidad de las rutas y una mayor concentración en la zona. Al comparar los primeros y últimos 5 minutos de las situaciones, se observó que en el caso del acoplamiento se notaron rutas más definidas mientras que en la situación de alteración pareció disminuir la densidad de las rutas tanto en la zona como en aquellas que se dirigen hacia las laterales de la pantalla.

La Figura 2 representa la distancia (en px) momento a momento entre la posición del puntero del ratón en la pantalla y el insecto (el centro de la rana en relación con el centro del insecto) durante el primer y último tercio de cada situación. Mientras que la P1 mostró distancias cortas de su posición respecto a la del insecto, la P2 mostró alternación entre distancias cortas y largas, pero en general mostrando distancias mayores a las observadas en el caso de la P1. Sin embargo, en el caso de la P2 se aprecia duraciones mayores ya sea de las distancias cortas o largas. Es decir, en algunos periodos permanecía cerca del insecto mientras en otros lo hacía lejos de este, lo cual describe el patrón de desplazamiento generado en la situación.

La Figura 3 representa el tiempo acumulado durante el cual se dio coincidencia en la ubicación en pixeles entre la posición del insecto y la ranita controlada por las participantes de modo que el dato da un indicio del grado en el que las participantes tendieron a seguir el insecto. El dato se presenta desagregado entre el momento en el que el insecto estuvo disponible para ser atrapado en comparación a cuando no estaba disponible para su captura. El dato se obtuvo a partir de considerar un área de 20 px en todas las direcciones contados tanto desde el centro del insecto como del centro de la ranita. Se representa el tiempo acumulado en el que se presentó algún tipo de coincidencia de áreas independiente de la magnitud de estas. El mayor tiempo total de coincidencia se presentó en la P2 siendo mayor cuando el insecto no estuvo disponible para ser capturado. Por el contrario, la P1 mostró un mayor tiempo de coincidencia cuando el insecto estuvo disponible para ser atrapado.

Nota. ND= corresponde a la coincidencia cuando el insecto no estaba disponible para ser atrapado; D= corresponde a la coincidencia cuando el insecto estaba disponible para ser atrapado.
Vigor
Para el caso del vigor, se presentan dos datos. El primero corresponde a la distancia total recorrida; el segundo, a la distancia recorrida entre capturas.
La Figura 4 representa la distancia recorrida acumulada en la línea base y en cada una de las dos situaciones (acoplamiento y alteración) para las dos participantes. La P1 mostró un incremento de la distancia total recorrida en la situación de acoplamiento respecto a la línea base. Por el contrario, la P2 no mostró un incremento de la distancia recorrida en la situación de alteración respecto a la distancia total recorrida al final de la línea base. Entre participantes, se observó una mayor distancia recorrida para la P1 que para la P2 en las situaciones de acoplamiento y alteración respectivamente.

Como dato complementario al anterior, la Figura 5 representa el promedio de la distancia recorrida entre cada captura. Las distancias fueron mayores para la P1 en comparación con la P2, aunque con algunos picos que muestran incrementos momentáneos de la distancia recorrida entre capturas para esta participante.

Persistencia
En el caso de la persistencia se presentan dos datos correspondientes al número y tipo de errores, así como la distribución de clics efectivos (los que implicaron una captura y por consiguiente un incremento en los puntos) en relación con los clics no efectivos (opuestos a los anteriores).
La Figura 6 representa el número y tipo de errores por fase. Se consideraron dos tipos de errores: por anticipación y por desfase. Los errores por anticipación correspondieron a los clics que ocurrieron antes de que el insecto estuviera disponible para ser atrapado. Los errores por desfase correspondieron a aquellos clics que ocurrieron después de que el insecto estuvo disponible para ser atrapado. Su identificación fue posible a partir de considerar un área de 200 px hacia adelante (anticipación) y hacia atrás (desfase) de la trayectoria del insecto (tomados a partir de su centro). El número de errores totales fue mayor en la P1 respecto la P2. Así mismo, la P1 presentó un mayor número de errores por desfase que por anticipación; por el contrario, la P2 mostró una relación inversa (más errores por anticipación que por desfase).

Nota. A= corresponde a los errores por anticipación; D= corresponde a los errores por desfase.
Preferencia
Como parte de la dimensión de preferencia, se representan dos datos correspondientes al tiempo de permanencia y a la distribución de capturas por cada una de las laterales de la pantalla.
El espacio de la pantalla por el que se podían desplazar las participantes fue dividido en un mallado virtual (no visible para las participantes) de 25x25. Cada celda resultante del mallado tuvo unas dimensiones aproximadas de 49x49 px. Se calculó el tiempo total acumulado de permanencia en cada una de las celdas el cual se representa en la Figura 7. Durante las situaciones de acoplamiento y alteración, la distribución del tiempo acumulado fue diferencial entre participantes. La P1 mostró tiempos de permanencia mayores en el centro de las cuatro laterales de la pantalla mientras que la P2 mostró una concentración de la permanencia principalmente en el área donde se ubicó la zona seguido de una permanencia distribuida en el centro de las laterales.

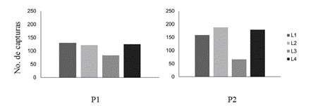
La Figura 8 muestra la distribución de capturas por lateral. Puede ser un indicador de preferencia en el sentido de que el dato puede mostrar si las participantes tendieron a atrapar insectos más en una o algunas laterales por sobre otras. Sin embargo, el dato no muestra una preferencia particular por atrapar insectos en alguna de las laterales. La distribución de las capturas fue relativamente uniforme entre laterales siendo la lateral 3 (correspondiente al borde inferior de la pantalla) en la que menos ocurrieron capturas en ambos casos.

Nota. L1=Lateral 1; L2=Lateral 2; L3=Lateral 3; L4=Lateral 4.
Finalmente, en términos de logro, el número total de capturas varió entre participantes. Mientras la P1 capturó 460 insectos (460 puntos), la P2 logró capturar 592 (592 puntos).
Discusión
Empleando un procedimiento en el que los participantes debían responder a un objeto en movimiento, se analizaron dos situaciones: una, en la que el participante debía ajustarse a las condiciones de ocurrencia del objeto que implicaron su velocidad, trayectoria y disponibilidad. Dado que en este caso el participante no podía modificar ninguna de las condiciones de ocurrencia del objeto, se consideró como una situación ejemplar de un contacto de acoplamiento (Ribes-Iñesta, 2018); la segunda situación, a diferencia de la anterior, implicó la posibilidad de que el participante por medio de su respuesta alterara una de las condiciones de ocurrencia del objeto, en este caso, de la velocidad mientras las demás se mantenían constantes (trayectoria, disponibilidad). Como en este caso, el ajuste requirió que la respuesta del participante alterara las condiciones de ocurrencia del objeto, se asumió que la situación podría ser representativa de un contacto de alteración (Ribes-Iñesta, 2018). En ambos casos, el ajuste requerido implicó el desplazamiento local (en la pantalla de la computadora) del participante, de modo tal que los datos se obtuvieron y derivaron a partir del registro momento a momento de su ubicación.
En primer lugar, los resultados permiten apreciar que los patrones de desplazamiento fueron diferentes en las dos situaciones lo que permite afirmar que las participantes fueron sensibles a las condiciones de ocurrencia del objeto en movimiento. En la primera situación, el patrón de desplazamiento y captura se acopló a las condiciones de ocurrencia del objeto sin alterarlas mientras que, en la segunda situación, el patrón de desplazamiento permitió alterar ocasionalmente las condiciones de ocurrencia del objeto para así poder capturar los insectos.
Lo observado en la condición de alteración, podría interpretarse de acuerdo con lo afirmado por Ribes-Iñesta (2018) respecto a la transitoriedad de los estados resultantes, en este caso, de la alteración de contingencias. En la situación de alteración, una vez que el participante emitía el patrón de respuesta requerido (estancia en zona) y cambiaba la velocidad del insecto, el patrón desplegado posteriormente correspondió nuevamente a un acoplamiento a las actuales condiciones de ocurrencia del insecto en movimiento. En este sentido, la alteración fue transitoria (delimitada a la identificación del requisito de respuesta de alteración y su consecuente emisión), luego de lo cual el patrón de respuesta resultante puede describirse como acoplamiento. Dado que el efecto de la respuesta de alteració tuvo una temporalidad limitada (el cambio en la velocidad duró 28s), las contingencias programadas implicaron una situación recurrente en la que el participante debía emitir tantas veces como quisiera el patrón de alteración si quería seguir atrapando insectos.
En términos de los diferentes tipos de representaciones empleadas, se observó complementariedad entre algunas de ellas. En términos de la direccionalidad, los datos de la distancia participante-insecto complementaron el dato de la ruta de desplazamiento. Las distancias cortas en el caso de la situación de acoplamiento contrastan con la alternación de distancias cortas y largas en el caso de la alteración. La alternación en este último caso describe el patrón requerido para alterar la velocidad del insecto el cual implicó permanecer en la zona por un tiempo para luego dirigirse al insecto cuando este había reducido su velocidad.
El dato del tiempo acumulado de coincidencia complementa los anteriores y permite interpretar tendencias diferentes en la estrategia de captura empleada por los participantes (e.g. seguir o no el insecto). La P1 siguió el insecto principalmente cuando estuvo disponible para ser atrapado mientras que la P2 lo hizo cuando el insecto no estaba disponible para ser atrapado. Esto último puede ser el resultado del efecto de ralentización del insecto. Una vez el insecto empezaba a ir más lento, la participante tendió a seguirlo independientemente de si estaba disponible o no para ser atrapado probablemente porque esta estrategia le aseguraba obtener más puntos una vez el insecto cambiaba de condición (de no disponible a disponible).
Los datos de direccionalidad también se corresponden con los de vigor y así mismo estos con los de logro. Claramente la situación de alteración implicó una menor distancia total recorrida, pero a la vez una menor distancia recorrida entre capturas. La menor distancia total recorrida se explica por el patrón de desplazamiento evidenciado en la direccionalidad. En la situación de alteración, al requerir como condición la permanencia en la zona, implicó una menor distancia recorrida. Pero el efecto de ralentización del insecto permitió una mayor eficiencia (mayor número de capturas) lo cual se corresponde con el dato de una menor distancia recorrida entre capturas.
Por su parte, en el caso de la persistencia el número total de errores fue mayor para la P1 respecto la P2 observándose además una distribución diferente. Mientras la P1 mostró un mayor número de errores por desfase, la P2 mostró un mayor número de errores por anticipación. La tendencia mostrada por la P1 corresponde con lo reportado por Wilkinson y Kirkpatrick (2011, 2020). La diferencia en la P2 podría en principio atribuirse al efecto de disminución de la velocidad del insecto, lo que implicaría suponer que el tipo de errores (o las estrategias de captura según Wilkinson & Kirkpatrick, 2011, 2020) en realidad dependen del parámetro vinculado con la velocidad del objetivo a capturar.
El número de capturas mostró que la situación de alteración favoreció un mayor número de éstas en comparación con la situación de acoplamiento. Así mismo, los datos de la preferencia muestran que la distribución de las capturas fue relativamente homogénea entre laterales. Así mismo, las permanencias en las celdas virtuales corroboran los patrones observados en la ruta analógica como medida de direccionalidad.
En términos generales, los hallazgos identificados en los diferentes tipos de representación pueden resumirse en los siguientes puntos: 1. Las participantes mostraron patrones de desplazamiento distintos en cada situación; 2. Estos patrones parecieron depender de varios factores, por ejemplo, en el caso de la situación de alteración, el tipo de patrón requerido para alterar la ocurrencia del objeto, el cual, en este caso, generó un incremento en la distancia participante-insecto, un mayor número de pausas, pero también un incremento en la eficiencia de las capturas lo que además redundó en una disminución de la distancia recorrida entre capturas. Si el patrón requerido para alterar las condiciones de ocurrencia es de otro tipo (involucrando ocurrencias discretas como clics, por ejemplo), las relaciones observadas entre medidas seguramente también cambiarían; 3. En el caso del acoplamiento, el ajuste pareció depender de la constancia en los parámetros del movimiento, en este caso, de la velocidad y trayectoria. Si los parámetros cambiaran (velocidades variables y/o trayectorias variables), la forma que tomaría el ajuste podría también variar; 4. Para ambas situaciones y bajo las condiciones programadas y evaluadas en este estudio, parece ser crítico varios parámetros: la velocidad del objeto, su trayectoria, sus condiciones de disponibilidad y capturas posibles por lateral, el tipo de patrones requeridos (en el caso de la situación de alteración) y eventualmente, el tiempo de exposición a una misma situación.
Ribes-Iñesta (2018) ha señalado que la sola ocurrencia de respuestas, acciones u operaciones sobre los objetos o eventos no son definitorios de los contactos de alteración de contingencias. Lo son siempre y cuando esas respuestas, acciones u operaciones alteren las contingencias de ocurrencia de los objetos y eventos con los que se interactúa. Las situaciones empleadas en esta propuesta metodológica permiten analizar dos tipos de situaciones: una en la que los participantes despliegan respuestas, acciones u operaciones sobre los objetos, pero sin alterar sus condiciones de ocurrencia (como en el caso de la situación de acoplamiento); y otra en la que, por el contrario, las respuestas, acciones u operaciones, alteran las condiciones de ocurrencia del objeto con el que se interactúa (como en el caso de la situación de alteración). En este sentido, la tarea propuesta y empleada en este estudio parece ser útil para evaluar los contactos de acoplamiento y alteración bajo situaciones relativamente simples que implican responder a objetos en movimiento y ajustarse a estos y sus propiedades por medio del desplazamiento. Adicionalmente, el procedimiento permite entrar en contacto con otras áreas tanto relacionadas como no relacionadas con el análisis experimental de la conducta (e.g. Pisacreta & Witt, 1985; Rilling & LaClaire, 1989; Wilkinson & Kirkpatrick, 2011, 2020), por lo menos al nivel del método y quizá de la representación de los datos (más no necesariamente de su interpretación).
Finalmente, es importante mencionar el amplio espectro de condiciones que se pretenden evaluar con la tarea que se ha descrito, las cuales no agotan las posibilidades de análisis. En lo que corresponde al objeto, se contempla la manipulación y evaluación de cuando menos tres propiedades del movimiento que corresponden a la trayectoria, la velocidad (como en este caso) y la visibilidad de modo tal que se pueda evaluar la forma como el participante se ajusta o altera la trayectoria, la velocidad y la visibilidad del objeto por medio de su desplazamiento. Así mismo, es posible analizar el ajuste a partir de diferentes tipos de respuesta que pueden ir desde ocurrencias discretas (clics o número de clics) hasta patrones más o menos compuestos como, por ejemplo, la ubicación y permanencia en zonas (como en este caso), la direccionalidad del movimiento, o la integración de criterios condicionales como la distancia recorrida en una unidad de tiempo similar a los procedimientos de condicionamiento de la velocidad de carrera empleados por Logan et al., (1955). Lo anterior no excluye la posibilidad de analizar variaciones concurrentes entre los patrones del movimiento de los objetos y eventos y de los patrones de conducta desplegados por los participantes.
Referencias
American Psychological Association [APA]. (2017). Ethical Principles of Psychologists and Code of Conduct. https://www.apa.org/ethics/code/ethics- code-2017.pdf
Castillo-Alfonso, J. (2023). Evaluación de condiciones de ocurrencia-no ocurrencia de estímulos dinámicos sobre el ajuste temporal en humanos. [Tesis Doctoral]. Universidad Veracruzana.
Logan, F. A., Beier, E. M., & Ellis, R. A. (1955). Effect of varied reinforcement on speed of locomotion. Journal of Experimental Psychology, 49(4), 260–266. https://doi.org/10.1037/h0044776
Pisacreta, R., Witt, K. (1985). Movement as the Discriminative Stimulus Dimension in Several Conditional Discriminations. Psychological Record, 35, 113–123. https://doi.org/10.1007/BF03394914
Ribes-Iñesta, E. (2007). Estados y límites del campo, medios de contacto y análisis molar del comportamiento: reflexiones teóricas. Acta Comportamentalia: Revista Latina De Análisis Del Comportamiento, 15(2). Recuperado a partir de https://www.revistas.unam.mx/index.php/acom/article/view/14522
Ribes-Iñesta, E. (2018). El estudio científico de la conducta individual: una introducción a la teoría de la psicología. Manual Moderno.
Ribes-Iñesta, E., Hernández, V., Serrano, M. (2020). Temporal contingencies are dependent on space location: distal and proximal concurrent water schedules. Behavioral Processes, 181, 104256 https://doi.org/10.1016/j.beproc.2020.104256.
Ribes-Iñesta, E., León, A., & Andrade, D. (2020). Comparison patterns: An Experimental study of transposition in children. Behavioral Processes, 171, 10424. https://doi.org/10.1016/j.beproc.2019.104024
Ribes-Iñesta, E., Palacios, H.B., Hernández, A.V. (2020). Continuous measuring of temporal and spatial changes in rats’ behavior under water temporal schedules. Psychological Record, 70 (2), 267–278. https://doi.org/10.1007/s40732-020-00389-z.
Ribes-Iñesta, E., Peña, V., & Cobos, I. (2022). Contacto de comparación en una tarea de transposición de posición relativa entre objetos. Acta Comportamentalia: Revista Latina De Análisis Del Comportamiento, 30(2). Recuperado a partir de https://www.revistas.unam.mx/index.php/acom/article/view/82675
Ribes-Iñesta, E., Ruiz, J.A. (2021). Spatial distribution of behavior under concurrent random-time schedules of water. Behavioral Processes. 193, 104549. https:// doi.org/ 10.1016/j.beproc.2021.104549.
Ribes-Iñesta, E., Ruiz, J. A. & Castillo-Alfonso, J. (2022). Spatial organization of rat’s behavior in a situation with three optional lever-pressing responses under continuous and fixed-interval schedules of food. Behavioural Processes, 201, 104733. https://doi.org/10.1016/j.beproc.2022.104733
Ribes-Iñesta, E., & Tamayo, J. (2020). Evaluación de diferentes contingencias temporales y espaciales en un ambiente experimental ampliado con cuatro dispensadores de agua. Revista Mexicana de Análisis de la Conducta, 46 (2), 84-118. http://dx.doi.org/10.5514/rmac.v46.i2.77875
Ribes-Iñesta, E., & Tamayo, J. (2021). Efectos de dos condiciones de restricción espacial en la distribución espaciotemporal de la conducta de la rata. Acta Comportamentalia: Revista Latina De Análisis Del Comportamiento, 29(2). Recuperado a partir de https://www.revistas.unam.mx/index.php/acom/article/view/79611
Ruiz, J. A., & Guerrero Sánchez, C. G. (2021). Análisis molar del comportamiento en contingencias de emparejamiento tono-agua en ratas. Acta Comportamentalia: Revista Latina De Análisis Del Comportamiento, 29(4). Recuperado a partir de https://www.revistas.unam.mx/index.php/acom/article/view/80311
Schoenfeld, W. N., & Farmer, J. (1979). Programas de reforzamiento y flujo conductual. En, W. N. Schoenfeld, Teoría de los programas de reforzamiento. Trillas.
Rilling, M. E., & Laclaire, T. L. (1989). Visually guided catching and tracking skills in pigeons: A preliminary analysis. Journal of the Experimental Analysis of Behavior, 52(3), 377–385. https://doi.org/10.1901/jeab.1989.52-377
Wilkinson, A., & Kirkpatrick, K. (2011). Tracking and capture of constant and varying velocity stimuli: a cross-species comparison of pigeons and humans. Animal Cognition, 14(1), 59–71. https://doi.org/10.1007/s10071-010-0343-8
Wilkinson, A., & Kirkpatrick, K. (2020). Tracking of unpredictable moving stimuli by pigeons. Learning & Behavior, 48(1), 27–40. https://doi.org/10.3758/gs13420-020-00412-x
Información adicional
redalyc-journal-id: 2745