ARTÍCULO
Recepción: 16 Diciembre 2021
Aprobación: 10 Mayo 2022
DOI: https://doi.org/10.1590/S1413-24782023280027
RESUMEN: La realidad presente en el horizonte educativo aún continúa perpetrada por situaciones de no inclusión para alumnado con diversidad funcional. El cuento se presenta como herramienta psicoterapéutica muy adecuada para trabajar las emociones. A través del cuento se perciben mejor las diferentes situaciones sociales, donde aún existen barreras y prejuicios hacia distintos colectivos con discapacidad. Este trabajo constata una experiencia de 52 estudiantes, con diseño cuasiexperimental con pretest, postest y grupo control, que basa su tratamiento en el uso de cuentos. El instrumento VADA fue cumplimentado antes del tratamiento y transcurridos tres meses. A la luz de los resultados se concluye que, si bien en edades tempranas las actitudes hacia la diversidad no presentan grandes prejuicios, el cuento es un recurso óptimo para su mejora. En este sentido, el diseño de proyectos centrados en cuentos supone un paso hacia delante en la construcción de una escuela y sociedad más inclusiva.
PALABRAS CLAVE: Cuento, diversidad funcional, actitudes, inclusión.
ABSTRACT: The present reality in the educational horizon still continues perpetrated by situations of non-inclusion for students with functional diversity. The story is presented as a very suitable psychotherapeutic tool for working with emotions. Through the story, different social situations are better perceived where there are still barriers and prejudices towards different groups with disabilities. This work confirms an experience with 52 students, with a quasi-experimental design with pretest, posttest, and control group, which bases its treatment on the use of stories. The VADA instrument was completed before treatment and after three months. In light of the results, it is concluded that, although at early ages the attitudes towards diversity do not present great prejudices, the story is an optimal resource for its improvement. In this sense, the design of projects focused on stories is a step forward in the construction of a more inclusive school and society.
KEYWORDS: Story, functional diversity, attitudes, inclusion.
RESUMO: A realidade presente no horizonte educacional ainda é perpetrada por situações de não inclusão para alunos com diversidade funcional. O conto é apresentado como uma ferramenta psicoterapêutica muito adequada para trabalhar emoções. Através do conto, diferentes situações sociais são mais bem percebidas onde ainda existem barreiras e preconceitos em relação a diferentes grupos com deficiência. Este trabalho reflete sobre uma experiência com 52 alunos, com desenho quase experimental com grupo de pré-teste, pós-teste e controle, que baseia seu tratamento no uso de histórias. O instrumento VADA foi concluído antes do tratamento e após três meses. À luz dos resultados, pode-se concluir que, embora as atitudes em relação à diversidade não apresentem grandes preconceitos em tenra idade, o conto é um recurso ideal para sua melhoria. Nesse sentido, o desenho de projetos cujo eixo central são as histórias representa um passo à frente na construção de uma escola e sociedade mais inclusivas.
PALAVRAS-CHAVE: Conto, diversidade funcional, atitudes, inclusão.
ESTADO DEL ARTE
El paradigma educativo inclusivo apuesta por una institución escolar para todo el alumnado, independientemente de sus capacidades y necesidades. Es decir, una escuela para todos, que garantice que todo estudiante tenga acceso a un aprendizaje acorde a sus características particulares. Una institución donde nadie sea excluido, que suprima las barreras y promueva una atención educativa adecuada dentro de centros ordinarios (Lozano, Cerezo y Alcaraz, 2015). Pero este ideal institucional aun no es la realidad educativa que se instaura en las aulas, dado que, ya sea por tradición, por falta de información (Belmonte Almagro y García Sanz, 2016) o incluso de preparación en el caso docente (D’Alonzo, Giordano y Cross, 2010), la discriminación de las personas con diversidad funcional continúa siendo un hecho irrefutable.
El contexto socioeducativo repleto de desafíos (Lipka, Baruch y Meer, 2019) al que deben hacer frente, es una constante desigualdad por motivos de discapacidad (Heikkilä, Katsui y Mustaniemi-Laakso, 2020), la cual genera prejuicios y un trato diferencial del que este colectivo es consciente (Dickter et al., 2020; Gavín-Chocano y Molero, 2020; Belmonte Almagro y Bernárdez-Gómez, 2021), ya que gran parte de las trabas con las que luchan a diario las personas con discapacidad se hallan en el entorno social (Iáñez, 2009). En materia inclusiva, en determinadas ocasiones, es necesaria una revisión de los proyectos y acciones docentes para propiciar el aprendizaje de todo el alumnado (Melero Aguilar, Moriña y Pereira, 2019). Además, hasta la fecha no existían instrumentos que arrojaran claridad sobre la situación existente en las aulas de Educación Infantil (Mirete, Belmonte y Maquilón, 2020). El éxito de la inclusión se encuentra directamente relacionado con la eliminación de barreras conductuales (más incluso que con la implantación de medidas legales), por ser la actitud un determinante de la personalidad y las acciones humanas (Rodríguez Fuentes y Fernández Fernández, 2017). Las numerosas investigaciones de las actitudes hacia el estudiante con diversidad funcional (Avramidis y Norwich, 2000; Slininger, Sherrill y Jankowski, 2000; Yazbeck, McVilly y Parmenter, 2004; Nowicki, 2006; Vignes et al., 2009; Brown et al., 2011; Litvack, Ritchie y Shore, 2011), han hallado que el éxito académico del colectivo con discapacidad puede depender de las actitudes de los demás estudiantes (Langørgen y Magnus, 2018). Actitudes que poseen un componente de pensamiento que abarca también prejuicios y estereotipos. Por ende, para que se produzca una verdadera inclusión, la situación idónea sería que tanto familiares, como docentes, administración y alumnado, tuviera actitudes favorables y positivas ante la presencia, participación y rendimiento del alumnado con diversidad funcional. Para el profesorado y para las familias, el cuento es la oportunidad de acompañamiento en la transferencia de valores y riqueza de la cultura propia y de la sociedad en la que están inmersos (Zambrano y Villafuerte, 2015).
Así pues, se hace necesario un cambio actitudinal global, ya que la educación inclusiva compromete a toda la comunidad educativa, en la búsqueda de un cambio profundo que apueste por una educación de calidad para todos y no meramente para el alumnado con necesidades específicas de apoyo educativo (Novo-Corti, Muñoz-Cantero y Calvo-Babio, 2015). Es imperante que las instituciones educativas actuales acepten el cambio de paradigma en la educación, donde las diferencias constituyen una oportunidad de enriquecimiento, sin escolarización en centros o aulas especializadas y diferenciadas, sin patrones rígidos (Pulido-Mantas y Ruíz-Seisdedos, 2018).
Para que esta educación hacia las personas con diversidad funcional sea de calidad, es necesario el uso de técnicas de intervención eficaces para su proceso de aprendizaje, con el fin de favorecer un adecuado proceso emocional, que quede plasmado en el desarrollo psicoafectivo en todos los contextos socioeducativos (Sarabia, 2012). Por ello, se requiere una metodología de aprendizaje acorde a los intereses e inquietudes del alumnado, con el fin de lograr un aprendizaje significativo, reforzando conceptos, procedimientos y actitudes (Pérez Molina, Pérez Molina y Sanchéz Serra, 2013), además de dialógico y manipulativo.
La experiencia educativa actualmente es un espacio dinámico de aprendizaje y expresión. Es en este contexto donde la práctica educativa promueve nuevos mundos, construcción e intercambio de ideas, es donde se genera el diálogo creador de conceptos, concepciones y reflexiones frente a las adversidades sociales, psicológicas y contemporáneas de la era contemporánea (Alcântara et al., 2019).
La literatura infantil posee la cualidad de atemporalidad y aunque está dirigida a los más pequeños, no es exclusiva de este colectivo (Cardoso y Santos, 2019). Dado que el mundo emocional y social aparece como parte integral de los cuentos infantiles (Álamos et al., 2017), y partiendo del supuesto de que “[…] la forma más positiva y eficiente de que el niño tenga contacto con la herencia cultural es la literatura […]” (Herrera Farfán, 2012, p. 109), es entendido que una buena literatura debe estar estrechamente relacionada con la formación en valores, para que los niños, a partir de ella, logren desarrollar su autoestima, autoconfianza, habilidades, destrezas y posibilidades. El cuento se presenta como el mecanismo más eficaz para transferir los valores y en sí, la cultura de un pueblo, hacia las nuevas generaciones (Zambrano y Villafuerte, 2015).
La narración de cuentos es uno de los métodos educativos y de comunicación más antiguos, económicos, fáciles y efectivos (Amalliah, 2019). Este, complementado con didácticas de dibujo o juego, puede ser una herramienta psicoterapéutica más que adecuada para trabajar las emociones de los niños. Es un recurso que introduce al alumnado en el mundo literario, fomentando con ello la creatividad, fantasía, imaginación, además de potenciar sus habilidades sociales, lingüísticas, cognitivas y afectivas. El cuento desarrolla su conocimiento del lenguaje escrito de una manera agradable e interesante, ampliando su repertorio textual y combinando placer y curiosidad con la lectura (Drago, Moraes y Costa, 2016). Es decir, a partir de la utilización del cuento, se logra el desarrollo global e integral del niño (Gil-Bartolomé, 2016).
Estudios sobre el cuento en contextos educativos (Ahyani, 2010; Sarabia, 2012; Sandoval y Carpena, 2013; Zanini y Schvambach, 2014; Zambrano y Villafuerte, 2015; Gil-Bartolomé, 2016; Jiménez Poloche, 2016; Drago, Moraes y Costa, 2016; Álamos et al., 2017; Martínez, Bejarano y Blanco, 2017; Méndez-Ulrich, Pastor Vicente y Molina Garuz, 2017; Amalliah, 2019; Alcântara et al., 2019; Cardoso y Santos, 2019; Vanier y Vivier, 2019) evidencian que este recurso, enmarcado en un contexto mayor, que implique dimensiones más amplias, fomenta la apertura de miras a nuevas perspectivas que promuevan un crecimiento integral, así como la formación de la personalidad, desde el desarrollo cognitivo a la competencia social (Padial Ruz y Sáenz-López Buñuel, 2014).
La narración de cuentos es, por tanto, un método de comunicación para facilitar la comprensión en la educación moral a través de historias (Amalliah, 2019), donde el texto puede ser breve y sencillo, pero no por ello simple (Padial Ruz y Sáenz-López Buñuel, 2014). La imaginación, la reflexión y la concepción del mundo actual, son fuentes creativas de nuevos universos narrativos (Alcântara et al., 2019). Por ello, dado que el cuento y el lenguaje, la simbología e imágenes que en ellos se utilizan, son un recurso socializador (Martínez, Bejarano y Blanco, 2017), este puede ayudar a fomentar una educación inclusiva en la que se tenga en cuenta la diversidad en el aula y el respeto en ella, logrando enseñar de manera transversal la sensibilidad a partir del aprendizaje sobre otras culturas y formas de vida diferentes a ellos. A través del cuento se puede transmitir el conocimiento para emplear una de las herramientas clave en el fomento de la resiliencia, como son las estrategias de resolución de problemas o búsqueda de ayuda, contribuyendo así a la prevención primaria de abusos, malos tratos, o en general, aquello que está bien y aquello que no lo está (Méndez-Ulrich, Pastor Vicente y Molina Garuz, 2017). En consecuencia a lo expuesto, se plantea como objetivo principal de este trabajo, analizar el valor del cuento como recursos didáctico para el cambio de actitudes hacia la diversidad en el aula.
MARCO METODOLÓGICO
PARTICIPANTES
Este estudio se llevó a cabo en dos centros de Educación Infantil y Educación Primaria de la Región de Murcia (España) con un nivel socioeconómico medio. La selección se llevó a cabo a través de un muestreo no probabilístico de carácter intencional (McMillan y Schumacher, 2005) por tener fácil acceso a ambos centros y no ser requisito del presente estudio la selección de una muestra aleatoria de participantes. Finalmente, se contó con la colaboración de 52 estudiantes con edades comprendidas entre los 8 y los 10 años, de los cuales 27 formaron parte del grupo experimental (52%), mientras que los 25 restantes lo hicieron en el grupo control (48%).
Con relación a las características individuales de los participantes, destaca el elevado número de estudiantes en situación de diversidad funcional o necesidades específicas de apoyo educativo (22% en el grupo experimental y un 20% en el grupo control). En el grupo experimental se encontraba matriculado un estudiante con trastorno espectro autista (TEA), dos con diversidad funcional auditiva, uno con trastorno por déficit de atención e hiperactividad (TDAH) y dos estudiantes con discapacidad psíquica ligera asociada a hitos motores. En el grupo control se encontraba un estudiante con TEA, dos con TDAH, dos con diversidad funcional asociada al ámbito auditivo y motor.
INSTRUMENTO
Para la recogida de datos se empleó el Cuestionario para la valoración de las Actitudes hacia la Diversidad del Alumnado (VADA) (Mirete, Belmonte y Maquilón, 2020). El instrumento consta de diez ítems acompañados de una secuencia gráfica compuesta por cuatro viñetas. Las dos iniciales muestran una situación y su desarrollo, mientras que las dos finales suponen el desenlace a dicha situación. De ambos finales posibles, el participante debe seleccionar uno de ellos como el adecuado. En este sentido, se presenta como una escala dicotómica, donde la imagen de la viñeta no inclusiva se corresponde a la opción de respuesta no, mientras que la viñeta con desenlace inclusivo supone la opción de respuesta sí. En la Figura 1 se presenta como ejemplo el primero de los ítems.

Este instrumento fue previamente validado en la Universidad de Murcia y se encuentra disponible a través de su publicación (Mirete, Belmonte y Maquilón, 2020). Los datos obtenidos en el presente trabajo a fin de valorar la consistencia interna del instrumento, se calculó la prueba estadística Alfa de Cronbach tras la primera aplicación (pretest). El índice obtenido fue de α = .797, indicando una buena fiabilidad del cuestionario empleado.
DISEÑO DE INVESTIGACIÓN Y PROCEDIMIENTO
El diseño de investigación fue cuantitativo de tipo cuasiexperimental, el cual permite estudiar una propuesta de intervención con sujetos seleccionados previamente de manera no aleatoria. En este sentido, el estudio llevado a cabo fue cuasiexperimental con pre-test, post-test y grupo control (Hernández Pina y Maquilón Sánchez, 2010).
El procedimiento que se ha llevado a cabo en esta investigación obedece al proceso general de investigación, destacando el momento de implementación del proyecto y la recogida de información, dadas las características del diseño descrito.
En toda investigación, sobre todo cuando se realizan estudios en ciencias sociales, el investigador debe asumir su responsabilidad ética con los participantes (McMillan y Schumacher, 2005). Siguiendo los criterios establecidos por la American Psychological Association (2010), en este estudio se han garantizado los derechos y la dignidad de todos los implicados, ofreciendo información precisa sobre la opcionalidad de participación, la garantía de anonimato en los datos recogidos, así como el tratamiento de los mismos de manera globalizada. De esta manera, previamente a la intervención en los centros educativos, se realizó una reunión en la cual se expuso el objetivo del trabajo, así como el procedimiento a llevar a cabo. Igualmente, se solicitó la autorización de los progenitores o tutores legales de los estudiantes y se informó sobre el documento de consentimiento informado que se realizaría a los participantes, previamente a la aplicación del instrumento, respetando su deseo de no participar, si así lo manifestasen.
Una vez obtenida la autorización de ambos centros, se procedió a la aplicación del instrumento en los dos grupos, no presentando incidente alguno en su transcurso dada la adecuación del instrumento a la edad de los participantes.
Tras la aplicación del pre-test a todos los estudiantes participantes, y en el transcurso de las cuatro semanas siguientes, se llevó a cabo la unidad didáctica El cuento para la inclusión: una experiencia docente, con el grupo experimental. Dado que el uso de un grupo control en este tipo de estudios pretende poder minimizar los sesgos en los datos debidos a la maduración de los individuos, así como a variables extrañas surgidas por el momento evolutivo y sociohistórico, el contacto con el grupo control fue inexistente durante el tiempo de aplicación y posterior recogida de información (cuatro meses en total). En consecuencia, y ya que todos los estudiantes - experimental y control - pertenecían a una misma zona geográfica, con nivel socioeconómico medio equiparable, y con experiencias vitales similares, la falta de contacto garantiza que, el posible efecto producido en el cambio de actitudes hacia la diversidad sea consecuencia del tratamiento experimental y no de las variables extrañas por estar contraladas gracias a ese segundo grupo.
Finalmente, transcurridos tres meses desde la conclusión del proyecto, se realizó la segunda aplicación del instrumento a los dos grupos.
PROPUESTA DE INTERVENCIÓN
Se diseñó una unidad didáctica titulada El cuento para la inclusión: una experiencia docente, consistente en el desarrollo de actividades manipulativas, cooperativas, lúdicas y motivadoras para trabajar las actitudes hacia la diversidad. Este proyecto constaba de 24 sesiones lectivas de 55 minutos cada una de ellas, las cuales se desarrollaron a lo largo de cuatro semanas.
Las actividades se vincularon con al área troncal Lengua Castellana y Literatura, y al área específica Valores sociales y cívicos, dentro del marco de la Ley Orgánica para la Mejora de la Calidad Educativa (LOMCE - Ministerio de Educación, Cultura e Deporte, 2014), concretamente en el Real Decreto 126/2014, del 28 de febrero, por el que se establece el currículo básico de la Educación Primaria.
El objetivo didáctico general perseguido fue trabajar la inclusión educativa a partir del cuento, el cual se materializa en los siguientes objetivos específicos:
Mejorar las actitudes de inclusión hacia el alumnado diverso;
Crear una dinámica de participación activa en el aula;
Aprender estrategias de trabajo cooperativo e inclusivo.
En el Cuadro 1 se presenta una breve descripción de la unidad didáctica organizada en torno a cinco grandes actividades: una de carácter inicial, tres de desarrollo y una actividad final y de cierre.

ANÁLISIS DE DATOS
Una vez recogidos los datos, se analizaron con el paquete estadístico Statistical Package for the Social Sciences (SPSS) en su versión 22. Se calcularon estadísticos descriptivos y de tendencia central, tales como frecuencia, media, desviación típica y mediana, empleando la prueba estadística Chi-cuadrado, a fin de comparar los porcentajes de respuesta.
Para comprobar la distribución de los estudiantes se llevó a cabo la prueba de bondad de ajuste de Kolmogorov-Smirnov. Dado que los resultados indicaron que la muestra no era normal, se empleó estadística no paramétrica (Siegel y Castellan, 1991). En este sentido, para la comparación de medias entre grupos se realizaron los estadísticos U-Mann Whitney para muestras independientes y la prueba de Wilcoxon para muestras relacionadas. En todos los casos se ha utilizado un nivel de significación estadística de α = .05. Sin embargo, dado que la significación estadística no proporciona información sobre la fuerza de dicha diferencia, se calculó la magnitud de la diferencia entre variables, a partir del denominado tamaño del efecto o d de Cohen (Cohen, 1988), a partir de las puntuaciones medias obtenidas por los grupos y su desviación estándar ponderada.
RESULTADOS
Para dar respuesta al objetivo de este trabajo, el cual radica en analizar el valor del cuento como recurso didáctico para el cambio de actitudes hacia la diversidad en el aula, previamente se han analizado las actitudes hacia la diversidad manifestadas por los estudiantes objeto de estudio (Cuadro 2). En la prueba pretest, a nivel general se observa que existe una tendencia de respuesta inclusiva, mostrando una buena aceptación de la diversidad en siete de los diez ítems. Pese a ello, cabe destacar los porcentajes de respuesta no inclusivos obtenidos, los cuales reflejan como el alumnado tiende a considerar que a los niños con discapacidad no se les debe permitir participar en actividades grupales (P4 = 38.5%), que no confían en que puedan ser estudiantes competentes en sus aprendizajes (P5 = 42.2%), y que de ellos no se puede esperar lo mismo que de los niños que no tienen discapacidad (P7 = 50%).

En la Figura 2 se presenta la comparativa de respuesta en términos de porcentaje obtenidos por el grupo experimental y el grupo control. Los resultados de la prueba Chi-cuadrado para analizar si la tendencia de respuesta es similar entre ambos grupos, muestran que el porcentaje de respuesta es independiente al grupo.

Con la finalidad de poder valorar si existen diferencias entre las actitudes manifestadas por ambos grupos a nivel estadístico previamente al tratamiento, se calculó el constructo denominado actitud hacia la diversidad, el cual se obtuvo con el sumatorio de los 10 ítems que componen el cuestionario. La puntuación media obtenida por el grupo experimental fue de 17.26 (Sd = 2.551) puntos sobre 20, mientras que la obtenida por el grupo control de 16.88 (Sd = 2.108). Los resultados obtenidos tras la realización de la prueba U-Mann Whitney para muestras independientes, mostraron que dichas diferencias entre puntuaciones medias no eran relevantes a nivel estadístico.
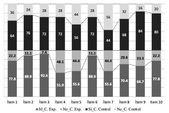
Seguidamente se exponen los resultados obtenidos en la segunda aplicación del instrumento, posterior al tratamiento. Tal y como se hiciera con anterioridad, se presenta (Figura 3) el porcentaje de respuesta obtenida por cada uno de los grupos - experimental y control - en los 10 ítems. Se ha podido comprobar la independencia de respuesta entre grupos en siete ítems, encontrando un nivel de significación inferior a .05 en los ítems número 3, 4, 5 y 7, los cuales se corresponden a aquellos en los que más ha crecido la distancia entre puntuaciones.

En términos de puntuación media, la obtenida por el grupo experimental fue de 19.11 puntos (Sd = 1.251) sobre 20, siendo de 17.04 puntos (Sd = 2.700) sobre 20 para el grupo control. La prueba U-Mann Whitney para muestras independientes mostró que las diferencias observadas entre ambas puntuaciones son significativas a nivel estadístico (Sig= .002), mostrando la magnitud obtenida que dichas diferencias presentan índices muy por encima del típico establecido por Cohen (d = 0.983).
Para concluir este objetivo, se compararon las puntuaciones medias obtenidas antes y después de la intervención a través de la prueba de Wilcoxon para muestras relacionadas. Los resultados mostraron que las diferencias eran significativas a nivel estadístico (Sig = .002) para el grupo experimental, pero no en el grupo control, esta vez sin reflejar un gran tamaño del efecto dichas diferencias (d = 0.162).
DISCUSIÓN
La lectura es esencial para la evolución socioeducativa, no solo por el conocimiento que transmite, fomentando el aprendizaje, sino por ser una fuente de entretenimiento y placer (Cardoso y Santos, 2019).
El cuento fomenta y desarrolla un aprendizaje significativo en un ambiente agradable y es considerado un recurso educativo por las historias que relata (Pérez Molina, Pérez Molina y Sanchéz Serra, 2013). Es pues, esencial en la vida del niño, ya que gracias a ellos van aprendiendo y asimilando conceptos, tanto morales como sociales (Alabart Saludes y Martínez Pardo, 2016). Estos recursos pedagógicos promueven el desarrollo de valores de forma sencilla, espontánea y divertida, ofreciendo un amplio registro de estímulos y posibilidades de aprendizaje (Jiménez Poloche, 2016). Además, incrementan las habilidades expresivas del niño, desarrollando la capacidad de escucha, atención y concentración, logrando la transmisión de patrones y modelos idóneos de conducta a seguir (Pérez Molina, Pérez Molina y Sanchéz Serra, 2013).
Para analizar el valor del cuento como recurso didáctico para el cambio de actitudes hacia la diversidad en el aula, se estudiaron las actitudes hacia la diversidad manifestadas por los estudiantes objeto de estudio, observándose globalmente (en la prueba pretest) una tendencia de respuesta inclusiva y predisposición a la aceptación de la diversidad, en la mayoría de ellos. Pero, por otro lado, el alumnado también tiende a inclinarse por la no participación en actividades grupales del colectivo con discapacidad, no confiando demasiado en su nivel competencial como estudiantes, sin esperar de ellos lo mismo que de los niños que no tienen discapacidad. Y es que, en gran medida, la imagen de la discapacidad se va construyendo socialmente. Las actitudes negativas hacia la diversidad funcional son barreras invisibles que impiden la participación e inclusión educativa de este colectivo (Arellano Torres et al., 2019). Estas a menudo pueden suponer un obstáculo mucho mayor para las personas con diversidad, que las derivadas del propio diagnóstico. Suponen un pesado lastre en el avance de los derechos de todas las personas. El logro de una sociedad inclusiva, donde toda persona tenga la posibilidad de participar y contribuir a su desarrollo, supone en ocasiones un esfuerzo titánico (Belmonte Almagro y García Sanz, 2016). Siendo la diversidad enriquecedora y necesaria para el progreso, resulta evidente que las relaciones sociales deban de desarrollarse en condiciones de equidad y justicia social (Rodríguez Fuentes y Fernández Fernández, 2017). La inclusión en las aulas es imperante para lograr una educación de calidad y calidez para todo el alumnado, sin exclusión alguna (Zambrano-Garcés y Orellana-Zambrano, 2018), prestando especial atención a las personas con diversidad funcional, por su situación de desventaja al presentar una discapacidad (Iáñez, 2009) y ser uno de los colectivos más vulnerables de padecer riesgos de exclusión (Latorre Cosculluela y Liesa Orús, 2016).
Al comparar la actitud hacia la diversidad antes del tratamiento entre el grupo experimental y el grupo control, se observa que la opinión de los sujetos es independiente al grupo al que pertenezcan. Mientras que sí se halla significación estadística en los resultados obtenidos en la segunda aplicación del instrumento, posterior a la unidad didáctica sobre el cuento para la inclusión, a favor del grupo experimental, y es que el cuento infantil es un recurso que potencia la capacidad creativa y la transferencia de aprendizajes en la niñez (Zambrano y Villafuerte, 2015). Son un poderoso recurso de transmisión de conocimiento pero que, a su vez, puede constituir y perpetuar roles, valores y estereotipos que marcan una visión poco inclusiva y sesgada de la sociedad (Martínez, Bejarano y Blanco, 2017). Por ello es tan importante su utilización en las primeras etapas educativas del estudiante, como una herramienta para inculcar buenos comportamientos (Jiménez Poloche, 2016). Esta aproximación a la lectura se puede llevar a cabo en cualquier espacio, siendo un proceso de gran importancia (Cardoso y Santos, 2019). A través del cuento, el alumnado percibe mejor las diferentes situaciones que se presentan en la sociedad, donde aún existe xenofobia, racismo y prejuicios hacia distintos colectivos.
Finalmente, la comparación de los resultados antes y después de la intervención también arrojó significación estadística para el grupo experimental, pero no en el grupo control. Lo que de nuevo pone de manifiesto que la utilización de cuentos en la primera infancia desarrolla de manera significativa hábitos de lectura que un futuro ayudaran a incrementar la función poética, imaginativa, expresiva e instrumental del alumnado (Jiménez Poloche, 2016). Por ello, la narración de cuentos es un lugar extraordinario para desarrollar la inteligencia y las habilidades de personalidad de los niños (Amalliah, 2019), dado que “[…] las actitudes de aceptación de la diferencia aumentan con el conocimiento y comprensión del significado de la discapacidad […]” (Belmonte Almagro, Mirete Ruiz y Mirete Ruiz, 2022, p. 168). Por ello, cuando el alumnado se relaciona con el cuento y se identifica con sus protagonistas, comienza a comprender, de una manera más sencilla, sus dificultades y, por tanto, es más capaz empatizar, así como de idear soluciones para lograr superarlas.
CONCLUSIONES
La cultura inclusiva unida al fomento de la diversidad enmarcado en un entorno de enseñanza-aprendizaje, facilita la integración de las personas con discapacidad intelectual (Belmonte Almagro, Mirete Ruiz y Mirete Ruiz, 2022). La inserción de literatura en la educación de la primera infancia no solo debe ser un espacio y momento lúdico, sino parte integral del proceso permanente de enseñanza-aprendizaje (Cardoso y Santos, 2019).
En este trabajo se ha podido comprobar cómo, a través del cuento como recurso principal, el cambio de actitudes es posible. Más importante aún, en edades tempranas donde la construcción del ideario que conformarán la personalidad del futuro adolescente, están en proceso. Así, se ha podido constatar, en la línea de Pérez Molina, Pérez Molina y Sanchéz Serra (2013), que el cuento no solo favorece al desarrollo cognitivo, sino que a partir de él, se potencia la capacidad de asimilación y acomodación del pensamiento crítico y reflexivo, la trasmisión de valores, socialización, comunicación, colaboración, motivación, respeto y compañerismo, debido a que en numerosas ocasiones las situaciones de los cuentos son interiorizadas por los niños y utilizadas en su vida para la resolución de conflictos.
El transcurso pasado entre las pruebas aplicadas conducen a eliminar posibles sesgos en la recogida de información devenidos del aprendizaje por repetición del instrumento. De la misma manera, el tiempo sucedido desde el final del tratamiento hasta la segunda recogida de datos, permite valorar que el cambio de actitudes producido no es meramente anecdótico, sino que va más allá, asentándose de manera estable y duradera en la configuración actitudinal de los estudiantes. En este sentido, si el cuento se toma como una “[…] herramienta fructífera para el proceso psicoterapéutico de los niños […]” (Sarabia, 2012, p. 1210), ya que este es un facilitador para expresar sentimientos hasta el momento no manifestados, abre aún más posibilidades a su potencial para la construcción de una escuela inclusiva, donde todas las voces pueden ser escuchadas y el desarrollo de la inteligencia emocional cobra un nuevo papel.
Es obvio que la lectura de cuentos en edades tempranas ofrece la oportunidad de ir asentando las bases de hábitos lectores desde el reconocimiento del contexto, la construcción de vocabulario, el perfeccionamiento de la pronunciación, dicción y la aplicación correcta de la entonación (Zambrano y Villafuerte, 2015). Lo no tan evidente son sus posibilidades como recurso para el cambio social. El trabajo presentado así lo hace patente. El cuento, como tal, sin establecimientos concretos, sin diseños específico; el cuento per sé, puede convertirse en la nueva vía hacia la inclusión.
El actual horizonte educativo dista de los logros que se supone que se han ido alcanzando en materia de inclusión, ya que fracaso, marginación o exclusión son situaciones que se continúan vivenciando actualmente en muchos centros escolares, y particularmente, en el estudiante con necesidades específicas de apoyo educativo (Pulido-Mantas y Ruíz-Seisdedos, 2018). Por ello, para creer que el cambio es posible, además de soñarlo, hay que trabajarlo (Pulido-Mantas y Ruíz-Seisdedos, 2018). La utopía, en ocasiones, deja de serlo… ¿qué mejor manera que transformar lo onírico en realidad que con un cuento?
BIBLIOGRAFÍA
AHYANI, L. N. Metode dongeng dalam meningkatkan perkembangan kecerdasan moral anak usia prasekolah. Jurnal Psikologi Universitas Muria Kudus, v. 1, n. 1, p. 24-32, 2010. Disponible en: Disponible en: https://media.neliti.com/media/publications/246460-none-050dd953.PDF. Acceso en: 2 jul. 2020.
ALABART SALUDES, M. A.; MARTÍNEZ PARDO, E. Educación emocional y familia: El viaje empieza en casa. Barcelona: Grao, 2016.
ÁLAMOS, P.; CIFUENTES, O.; MILICIC, N.; PIZARRO, M.; ROSAS, R.; ULLOA, D.; VÉLIZ, S. Construcción de cuentos: ¿Qué pueden aportar al desarrollo socioemocional inclusivo?, Estudios pedagógicos (Valdivia), v. 43, n. 1, p. 7-17, 2017. http://dx.doi.org/10.4067/S0718-07052017000100001
ALCÂNTARA, L. A.; SILVA, E. R; ROSA, D. M.; JORNADA, L. C.; ROSA, L. P.; LOUREIRO, M. M.; RAZNIEVSKY, M. E. F.; FERREIRA, M. V. B.; SCHMITZ, M. M.; CAETANO, N. P.; NUNES, H. B. Narrativas visuais e textuais - linguagens re[contadas] - os contos infantis como referencia na criação e reflexão de práticas educativas. Revista Científica Schola, v. 3, n. 2, p. 259-264, 2019. Disponible en: Disponible en: http://www.cmsm.eb.mil.br/images/CMSM/revista_shola_2019/Narrativas_visuais_e_textuais_-_linguagens_recontadas_-_os_contos_infantis_como_refer%C3%AAncia_na_cria%C3%A7%C3%A3o_e_reflex%C3%A3o_de_pr%C3%A1ticas_educativas.pdf. Acceso en: 2 jul. 2020.
AMALLIAH, R. Y. Pola komunikasi guru dengan siswa melalui media edukatif mendongeng dalam memberikan pendidikan akhlak (studi kasus siswa paud pelangi palmerah). Jurnal Akrab Juara, v. 4, n. 5, p. 59-72, 2019. Disponible en: Disponible en: https://repository.bsi.ac.id/index.php/unduh/item/335846/Jurnal-2.pdf. Acceso en: 2 jul. 2020.
AMERICAN PSYCHOLOGICAL ASSOCIATION - APA. Principios éticos de los psicólogos y código de conducta (APA). 2010. Disponible en: Disponible en: http://www.uhu.es/susana_paino/EP/CcAPA.pdf. Acceso en: 2 jul. 2020.
ARELLANO TORRES, A.; GAETA GONZÁLEZ, M. L.; PERALTA LÓPEZ, F.; CAVAZOS ARROYO, J. Actitudes hacia la discapacidad en una universidad mexicana. Revista Brasileira de Educação, v. 24, p. 1-20. 2019. http://dx.doi.org/10.1590/S1413-24782019240023
AVRAMIDIS, E.; NORWICH, B. Teachers’ attitudes toward integration/inclusión: a review of the literature. European Journal of Special Needs Education, v. 17, n. 2, p. 129-148, 2000. https://doi.org/10.1080/08856250210129056
BELMONTE ALMAGRO, M. L.; BERNÁRDEZ-GÓMEZ, A. Evaluation of Self-Concept in the Project for People with Intellectual Disabilities: “We Are All Campus”. Journal of Intelligence, v. 9, n. 50, p. 1-12, 2021. https://doi.org/10.3390/jintelligence9040050.
BELMONTE ALMAGRO, M. L.; GARCÍA SANZ, M. P. La escuela de vida, otra mirada a la discapacidad intelectual. Revista Fuentes, n. 14, p. 147-170, 2016. Disponible en: Disponible en: https://revistascientificas.us.es/index.php/fuentes/article/view/2357. Acceso en: 2 jul. 2020.
BELMONTE ALMAGRO, M. L.; MIRETE, A. B.; MIRETE, L. Experiencias de vida para fomentar el cambio actitudinal hacia la discapacidad intelectual en el aula. Revista Electrónica Interuniversitaria de Formación del Profesorado, v. 25, n. 2, p. 159-172, 2022. https://doi.org/10.6018/reifop.522781
BROWN, H. K.; OUELLETTE-KUNTZ, H.; LYSAGHT, R.; BURGE, P. Students’ behavioural intentions towards peers with disability. Journal of Applied Research in Intellectual Disabilities, v. 24, n. 4, p. 322-332, 2011. https://doi.org/10.1111/j.1468-3148.2010.00616.x
CARDOSO, V. P. P.; SANTOS M. L. A literatura infantil e o resgate dos contos de fadas. Projeção e docência, v. 10, n. 1, p. 130-141, 2019. Disponible en: Disponible en: http://revista.faculdadeprojecao.edu.br/index.php/Projecao3/article/view/1377/1115. Acceso en: 2 jul. 2020.
COHEN, J. Statistical Power Analysis for the Behavioral Sciences. 2. Ed. New York: Lawrence Erlbaum Associates, 1988.
D’ALONZO, B. J.; GIORDANO, G.; CROSS, T. L. Improving teachers’ attitudes through teacher education toward the nclusión of students with disabilities into their classrooms. The Teacher Educator, v. 31, n. 4, p. 304-312, 2010. https://doi.org/10.1080/08878739609555123
DICKTER, C. L.; BURK, J. A.; ZEMAN, J. L.; TAYLOR, S. C. Implicit and Explicit Attitudes Toward Autistic Adults. Autism in Adulthood, v. 2, n. 2, p. 144-151, 2020. https://doi.org/10.1089/aut.2019.0023
DRAGO, V. S. R.; MORAES, C. F. B.; COSTA, C. S. A tecnologia nos anos iniciais: novas possibilidades de aprendizagem a partir do gênero contos de fadas. Revista Tecnologias na Educação, v. 8, n. 14, p. 1-11, 2016. Disponible en: Disponible en: http://tecedu.pro.br/wp-content/uploads/2016/07/Rel1-vol14-jul2016-A-tecnologia-nos-anos-iniciais-Novas-possibilidades-de-aprendizagem-a-partir-do-g%C3%AAnero-contos-de-fada.pdf. Acceso en: 2 jul. 2020.
GAVÍN-CHOCANO, O.; MOLERO, D. Valor predictivo de la inteligencia emocional percibida y calidad de vida sobre la satisfacción vital en personas con discapacidad intelectual. Revista de Investigación Educativa, v. 38, n. 1, p. 131-148, 2020. http://dx.doi.org/10.6018/rie.331991
GIL-BARTOLOMÉ, M. M. El teatro como recurso educativo para la inclusión. 2016. 215 f. Tesis (Doctorado en Investigación Transdisciplinar en Educación) - Universidad de Valladolid, Segovia, España, 2016. http://uvadoc.uva.es/handle/10324/22080
HEIKKILÄ, M.; KATSUI, H.; MUSTANIEMI-LAAKSO, M. Disability and vulnerability: a human rights reading of the responsive state. The International Journal of Human Rights, v. 24, n. 8, p. 1180-1200, 2020. https://doi.org/10.1080/13642987.2020.1715948
HERNÁNDEZ PINA, F.; MAQUILÓN SÁNCHEZ, J. J. Introducción a los diseños de investigación educativa. En: NIETO MARTÍN, S. (ed.). Principios, métodos y técnicas esenciales para la investigación educativa. Madrid: Dykinson, 2010. p. 109-126.
HERRERA FARFÁN, M. A. El cuento como estrategia para formar en los valores de amistad y generosidad a los alumnos de cuarto Grado “A” del colegio Lomas de Santa María. 2012. 164 f. Tesis (Doctorado en Educación) - Universidad de Piura, Facultad de Ciencias de la Educación, Piura, Perú, 2012.
IÁÑEZ, A. Vida independiente y diversidad funcional. Resultados de una investigación social aplicada en la provincia de Sevilla. Portularia, v. 9, n. 1, p. 93-103, 2009. Disponible en: Disponible en: http://riberdis.cedd.net/handle/11181/3997. Acceso en: 2 jul. 2020.
JIMÉNEZ POLOCHE, B. C. Aprendizaje y rendimiento académico a través de cuentos pedagógicos. 2016. 497 f. Tesis (Doctoral en Educación) - Universidad Complutense de Madrid, Facultad de Educación, Centro de Formación del Profesorado, Madrid, España, 2016. Disponible en: Disponible en: https://eprints.ucm.es/40387/1/T38100.pdf. Acceso en: 2 jul. 2020.
LANGØRGEN, E.; MAGNUS, E. “We are just ordinary people working hard to reach our goals!” Disabled students’ participation in Norwegian higher education. Disability & Society, v. 33, n. 4, p. 598-617, 2018. https://doi.org/10.1080/09687599.2018.1436041
LATORRE COSCOLLUELA, C.; LIESA ORÚS, M. La inclusión social de personas con diversidad funcional en una experiencia de Vida Independiente. Revista de Educación Inclusiva, v. 9, n. 2, p. 171-185, 2016. Disponible en: Disponible en: https://dialnet.unirioja.es/servlet/articulo?codigo=5600280. Acceso en: 2 jul. 2020.
LIPKA, O.; BARUCH, A. F.; MEER, Y. Academic support model for post-secondary school students with learning disabilities: student and instructor perceptions. International Journal of Inclusive Education, v. 23, n. 2, p. 142-157, 2019. https://doi.org/10.1080/13603116.2018.1427151
LITVACK, M. S.; RITCHIE, K. C.; SHORE, B. M. High and Average-Achieving Students’ Perceptions of Disabilities and of Students with Disabilities in Inclusive Classrooms. Exceptional Children, v. 77, n. 4, p. 474-487, 2011. https://doi.org/10.1177/001440291107700406
LOZANO, J.; CEREZO, M. C.; ALCARAZ, S. Plan de atención a la diversidad. Educatio Siglo XXI, v. 33, n. 1, p. 343-346, 2015. Disponible en: Disponible en: https://revistas.um.es/educatio/article/view/224201/174921. Acceso en: 2 jul. 2020.
MARTÍNEZ, I.; BEJARANO, M. T.; BLANCO, M. Cuentos creativos. herramienta feminista para una educación inclusiva en la etapa educativa de infantil y primaria. En: RODRÍGUEZ-MARTÍN, A. (comp.). Prácticas Innovadoras inclusivas: retos y oportunidades. Oviedo: Universidad de Oviedo, 2017. p. 595-601. Disponible en: Disponible en: http://digibuo.uniovi.es/dspace/bitstream/10651/50073/1/Cuentos.pdf. Acceso en: 2 jul. 2020.
McMILLAN, J. H.; SCHUMACHER, S. Research in education: A conceptual introduction. 5 ed. New York: Longman, 2005.
MELERO AGUILAR, N.; MORIÑA, A.; PERERA, V. H. Acciones del profesorado para una práctica inclusiva en la universidad. Revista Brasileira de Educação, v. 24, p. 1-19, 2019. https://doi.org/10.1590/s1413-24782019240016
MÉNDEZ-ULRICH, J. L.; PASTOR VICENTE, C.; MOLINA GARUZ, M. C. El cuento como recurso para fomentar la resiliencia y la inclusión social en la infancia en contextos educativos y socioeducativos. En: RODRÍGUEZ-MARTÍN, A. (comp.). Prácticas innovadoras inclusivas: retos y oportunidades. Oviedo: Universidad de Oviedo, 2017. p. 845-852. Disponible en: Disponible en: http://digibuo.uniovi.es/dspace/bitstream/10651/50073/1/Cuentos.pdf. Acceso en: 2 jul. 2020.
MINISTÉRIO DE EDUCACIÓN, CULTURA Y DEPORTE. Real Decreto 126/2014, de 28 de febrero, por el que se establece el currículo básico de la Educación Primaria. Madrid: Boletin Oficial del Estado, 2014. Disponible en: Disponible en: http://www.boe.es/buscar/pdf/2014/BOE-A-2014-2222-consolidado.pdf. Acceso en: 2 jul. 2020.
MIRETE, A. B.; BELMONTE, M. L.; MAQUILÓN, J. J. Diseño, aplicación y validación de un instrumento para Valorar las Actitudes hacia la Diversidad del Alumnado (VADA). Revista Electrónica Interuniversitaria de Formación del Profesorado, v. 23, n. 2, p. 185-207, 2020. https://doi.org/10.6018/reifop.413851
NOVO-CORTI, I.; MUÑOZ-CANTERO, J. M.; CALVO-BABIO, N. Future teachers and their attitude towards inclusion of people with disabilities. A gender perspective. Annals of Psychology, v. 31, n. 1, p. 155-171, 2015. http://dx.doi.org/10.6018/analesps.31.1.163631
NOWICKI, E. A. A cross-sectional multivariate análisis of children’s attitudes towards disabilities. Journal of Intellectual Disability Research, v. 50, n. 5, p. 335-348, 2006. https://doi.org/10.1111/j.1365-2788.2005.00781.x
PADIAL RUZ, R.; SÁENZ-LÓPEZ BUÑUEL, P. Los cuentos populares/tradicionales en educación infantil: una propuesta a través del juego. E-motion: Revista de Educación, Motricidad e Investigación, n. 2, p. 32-47, 2014. Disponible en: Disponible en: http://rabida.uhu.es/dspace/handle/10272/8068. Acceso en: 2 jul. 2020.
PÉREZ MOLINA, D.; PÉREZ MOLINA, A. I.; SÁNCHEZ SERRA, R. El cuento como recurso educativo. 3ciencias empresa: investigación y pensamiento crítico, v. 2, n. 4, p. 1-29, 2013. Disponible en: Disponible en: https://dialnet.unirioja.es/servlet/articulo?codigo=4817922. Acceso en: 2 jul. 2020.
PULIDO-MANTAS, L.; RUÍZ-SEISDEDOS, S. Educación inclusiva a través de la literatura infantil: la lectura para interiorizar las diferencias. MLS Educational Research, v. 2, n. 1, 2018. http://doi.org/10.29314/mlser.v2i1.48
RODRÍGUEZ FUENTES, A.; FERNÁNDEZ FERNÁNDEZ, A. D. Adultos que conforman menores en una escuela de colores. Actitudes de progenitores y profesores ante la diversidad cultural. Revista de Investigación Educativa, v. 35, n. 2, p. 465-482, 2017. https://doi.org/10.6018/rie.35.2.256371
SANDOVAL LENTISCO, C.; CARPENA MÉNDEZ, A. Educando para la diversidad a través del cuento. Aula de innovación educativa, n. 221, p. 48-52, 2013. Disponible en: Disponible en: https://dialnet.unirioja.es/servlet/articulo?codigo=4254741. Acceso en: 2 jul. 2020.
SARABIA GARCÍA, A. F. El cuento como herramienta psicoterapéutica en el manejo emocional de niños con discapacidad. Revista Electrónica de Piscología Iztacala, v. 15, n. 4, p. 1209-1223, 2012. Disponible en: Disponible en: https://www.revistas.unam.mx/index.php/repi/article/view/34734. Acceso en: 2 jul. 2020.
SIEGEL, S.; CASTELLAN, N. J. Estadística no paramétrica: Aplicada a las ciencias de la conducta. México: Trillas, 1991.
SLININGER, D.; SHERRILL, C.; JANKOWSKI, C. M. Children’s attitudes toward peers with severe disabilities: Revisiting contact theory. Adapted Physical Activity Quarterly, v. 17, n. 2, p. 176-196, 2000. https://doi.org/10.1123/apaq.17.2.176
VANIER, C.; VIVIER, O. How do we work with children using fairy tales?. Enfances & Psycology, v. 82, p. 88-95, 2019. https://doi.org/10.3917/ep.082.0088
VIGNES, C.; GODEAU, E.; SENTENAC, M.; COLEY, N.; NAVARRO, F.; GRANDJEAN, H.; ARNAUD, C. Determinants of students’ attitudes towards peers with disabilities. Developmental Medicine and Child Neurology, v. 51, n. 6, p. 473-479, 2009. https://doi.org/10.1111/j.1469-8749.2009.03283.x
YAZBECK, M.; McVILLY, K.; PARMENTER, T. R. Attitudes toward people with intellectual disabilities. Journal of Disability Policy Studies, v. 15, n. 2, p. 97-111, 2004. https://doi.org/10.1177/10442073040150020401
ZAMBRANO-GARCÉS, R. M.; ORELLANA-ZAMBRANO, M. D. Actitudes de los docentes hacia la inclusión escolar de niños con autismo. Killkana sociales: Revista de Investigación Científica, v. 2, n. 4, p. 39-48, 2018. https://doi.org/10.26871/killkana_social.v2i4.296
ZAMBRANO, T.; VILLAFUERTE J. S. Metodología para la producción de cuentos infantiles centrados en el contexto local. Revista San Gregorio, v. 2, n. 8, p. 94-105. 2015. Disponible en: Disponible en: http://201.159.222.49/index.php/revistasangregorio/article/view/78/35. Acceso en: 2 jul. 2020.
ZANINI, G.; SCHVAMBACH, J. Contos de Fadas como Contos do Cotidiano: a arte mediadora de uma ação educativa. Revista Matéria-Prima, v. 2, n. 3, p. 103-111, 2014. Disponible en: Disponible en: https://repositorio.ul.pt/bitstream/10451/34918/2/ULFBA_mp3_103-111.pdf. Acceso en: 2 jul. 2020.
Notas
Notas de autor
Declaración de intereses