Artículos
Diversidad del derecho a la información y su efecto divulgativo en universidades de América Latina
Diversity on the Right for Information and its Effects on the Information Disclosure in Latin –America Universities
Diversidad del derecho a la información y su efecto divulgativo en universidades de América Latina
Utopía y Praxis Latinoamericana, vol. 24, núm. Esp.4, pp. 47-63, 2019
Universidad del Zulia

Recepción: 05 Septiembre 2019
Aprobación: 17 Octubre 2019
Resumen: Este artículo analiza el efecto de las normativas legales del derecho de información sobre sus niveles de divulgación en universidades latinoamericanas. Se propone un modelo que se estima mediante el método de mínimos cuadrados. Los resultados son coherentes con los planteamientos teóricos y muestran evidencia respecto de la relación positiva entre la regulación de los derechos de información de los países y los niveles de divulgación de información. Esto implica que es fundamental robustecer las normativas para efecto de tener mayores niveles de divulgación y con ello disminuir las asimetrías de información.
Palabras clave: normativas, divulgación de información, universidades, Latinoamérica.
Abstract: This article analyzes the effect of legal regulations on the right to access to information on the levels of disclosure of information of Latin American universities. An econometric model is proposed that is estimated using the least-squares method. The results are consistent with the theoretical approaches and show evidence regarding the positive relationship between the regulation of the information rights of the countries and the levels of disclosure of information. This implies that it is essential to strengthening legal regulations to have higher levels of dissemination and reduce information asymmetries.
Keywords: legal regulations, disclosure of information, universities, Latin-American.
INTRODUCCIÓN
Las universidades son organizaciones complejas (Aziz, Janor, & Mahadi: 2013; Stake, Arbesú & Contreras: 2017; Svensson & Hvolby: 2012) generadoras de bienes comunes (Gibbs: 2019), donde la información cobra un papel fundamental teniendo en cuenta que esta tiene sus particularidades como el hecho que es imperfecta, costosa y que genera asimetrías de información (Stiglitz: 2000). Una de las formas de reducir la asimetría de información es la divulgación de la misma (Bergh, Ketchen, Orlandi, Heugens, & Boyd: 2019). En el caso de las universidades latinoamericanas, “la divulgación de información es diversa y no cumple con los estándares exigibles para estas instituciones” (Abello: 2018, p. 11); tal diversidad no solo se da a nivel de las universidades, si no también a nivel de país al cual pertenecen esas universidades. La hipótesis central del presente estudio es que la normativa sobre el derecho de información de los países afecta positivamente los niveles de divulgación de información de las universidades. Así, el objetivo de la investigación es determinar el efecto de las normativas legales sobre el derecho de información sobre los niveles de divulgación de Información de universidades latinoamericanas.
Para probar el impacto de la regulación, se propone un modelo que se estima por medio del método de mínimos cuadrados ordinarios donde la variable dependiente es el índice de divulgación de información. Los resultados confirman la importancia que tiene la regulación del derecho a informarse de cada país con los niveles de divulgación de información que tienen las universidades latinoamericanas.
MARCO TEÓRICO
La economía de la información tiene como objeto fundamental estudiar las consecuencias de la existencia de asimetría de información entre los diversos agentes económicos (Stiglitz: 2002). Ello conlleva a preocuparse de cómo se organiza la relación entre los agentes y la eficiencia que se logra, y supone la relación de dos partes, donde una tiene menor información que la otra. Así, la asimetría de información se entiende como la condición que una de las partes tiene más y/o mejor información que otra (Ghafoor, Zainudin, & Mahdzan: 2019), esto se evidencia en que una de las partes tenga información privada, diferente u oculta (Bergh, Ketchen, Orlandi, Heugens, & Boyd: 2019).Todos los mercados se ven afectados, en especial aquellos en donde la información es más intensiva, como los financieros. Lo anterior es también aplicable en todos los niveles de la Educación Superior y, por tanto, se ven reflejados los tres problemas asociados, que la teoría bien describe, con la información asimétrica: selección adversa, riesgo moral y comportamiento rebaño (Sánchez-Daza: 2001; Brown y Hillegeist: 2007).
En la educación superior, la desigual distribución de la información genera fallas de mercado, principalmente en lo relacionado a la provisión de la enseñanza de pregrado (Brunner y Uribe: 2007). Esta asimetría de información entre la institución proveedora de servicio y los que requieren los servicios (estudiantes) se puede ver reflejada en diversas instancias; por ejemplo, en aquellas ocasiones en que el equipo rectoral tiene más información que los directorios o Máximos Cuerpos Colegiados, aparecen los tres problemas asociados con la información asimétrica. Lo anterior refleja la importancia de preocuparse en reducirla información asimétrica en organizaciones donde prevalece el sentido de lo público, como en las instituciones de Educación Superior (Do Ba & Duong: 2018).
La divulgación de información ha cobrado importancia tanto en el mundo de las universidades como en otras organizaciones complejas (Católico: 2012; Flórez-Parra: 2013; Flórez-Parra et al.: 2014; Abello & Mancilla: 2018; Abello et al.: 2018). Hay varias razones que apoyan la aseveración anterior, una de ellas se hace palpable dada la necesidad, cada vez mayor, de generar mejoras en la transparencia y en la rendiciónde cuentas (Brown & Martinsson: 2019). Un matiz relevante a tomar en consideración es la estructura de propiedad, que puede ser concentrada (que implica pocos dueños de los derechos residuales) o dispersa (donde existen múltiples personas dueñas de los derechos residuales). En este último caso, la propiedad dispersa, es más factible que se dé mayor magnitud en la asimetría de información, ya que en los regímenes de propiedad los ejecutivos obtienen mayor volumen de información que los grupos interesados.
Es muy pocoprobable que los grupos interesados se opongan a las acciones de gestión si no son conscientes de estas. Las universidades son más cercanas a una propiedad dispersa, aunque en este caso particular parece más adecuado hablar de una propiedad difusa. La forma de resolver esta asimetría de información es mediante la divulgación transparente y oportuna (Golberg, Danko y Kessler: 2016; Jongbloed et al.: 2018). Los gobiernos universitarios, por intermedio de sus máximos directivos y/o Máximos Cuerpos Colegiados (MCC), deben tomar decisiones estratégicas, ejercer el control estratégico pertinente y rendir cuentas a la sociedad, entendida ésta como la comunidad interna y externa que se ve reflejada por los distintos grupos de interés (Abello: 2015; Abello y Cuyan: 2014).
Mecanismos Externos Reguladores de los Gobiernos Corporativos Universitarios
Los mecanismos de gobierno externos son los componentes con los que los actores externos ejercen control sobre la administración directa (Rector de una universidad). Éstos comprenden entre otros la infraestructura legal o normativa que regula la actuación de las universidades (Dalwai, Basiruddin y Rasid: 2015). Los mecanismos de gobierno externos tienen que ver con los elementos intermedios, de los cuales los miembros del Máximo Cuerpo Colegiado (MCC), aseguran el cumplimiento de los objetivos del equipo rectoral (Beiner et al.: 2004). Dichos mecanismos cohabitan en un contexto cambiante donde las ideas sobre la organización y la gobernanza de las universidades se han transformado en dominantes.
Según Bleiklie y Kogan (2007) las estructuras organizativas y la toma de decisiones se justifican en dos ideas sobre gobernanza universitaria, la primera de ellas “considera a la institución como una república de estudiosos, mientras que la segunda ve a la universidad como una organización de partes interesadas” (p. 477); esta última sostiene con más fuerza los mecanismos externos de gobierno que representan las obligaciones del equipo rectoral que sustentan los objetivos y el desempeño de los directores. Así, los controles ejercidos y la transparencia afectan la asimetría de información, la gobernanza y el desempeño de las universidades. Dentro de las partes interesadas, particularmente en las universidades estatales, el Estado juega un papel sustancial que ha ido disminuyendo, producto de que las autoridades y los poderes se han redistribuido a través de los diversos niveles de la política (Hazelkorn: 2018). En muchos países, la coordinación ha cambiado del estilo clásico de regulación, operado por un solo actor, el Estado, a formas en que diferentes actores en los distintos niveles del sistema operan (Boer y File: 2009). Los mecanismos externos de gobernanza deben tener en cuenta que las universidades han gozado de un estatus especial de autonomía y libertad académica; avalado por una suerte de pacto social que se ha ido erosionando y el estatuto especial de la universidad como institución social ya no se da por sentado (Nguyen, Hamid & Moni: 2016).
En muchos países de la OCDE se han efectuado reformas destinadas a cambiar la coordinación de las universidades. Las transformaciones en la manera de regularlas y financiarlas reflejaron un impulso hacia la masividad en este tipo de enseñanza y la preocupación decisiva sobre la adecuación de los resultados de la Educación Superior y de la investigación para la economía y la sociedad. La universidad se ha vuelto más grande, más cara, menos elitista, políticamente más visible y económicamente más estratégica. El Estado ha entrado a jugar un rol facilitador donde contrasta resultados sin mucha interferencia, y en determinados países se puede hablar de él como encargado de dirigir el mercado; lo que se refleja frecuentemente en formas de operar esgrimiendo modelos de supervisión, en lugar de control estatal, de control de producción, envés de control de procesos, de competición "similar al mercado" combinado con intentos de fortalecer el protagonismo de las universidades como organizaciones (Jongbloed et al.: 2018).
La nueva concepción de cómo organizar las relaciones entre el gobierno, la autonomía y el control de las universidades se ha inspirado en la creciente popularidad de los nuevos enfoques de Gestión Pública que hallan algunos de sus antecedentes en la teoría Principal-Agente (Scott: 2018; Kretek, Dragsic, y Khem: 2013; Christensen: 2011). Es en este sentido que Trakman (2008) plantea que la motivación para la ejecución de estos cambios regulatorios se explica por la falta de confianza en las universidades por parte del estado dado su histórico rol de autonomía. De similar forma, González Ledesma (2014) plantea que esta intervención sobre la universidad, nace por la necesidad de encausar a las universidades para que respondan a las reales necesidades de la sociedad que representan.
La nueva gestión pública implica una nueva forma de regular y evaluar a los entes públicos, para el caso de las universidades esto involucra nuevos métodos de control a través de estándares de aseguramiento de calidad, nuevos sistemas de financiamiento y nuevas formas de gobierno para afrontar estos nuevosescenarios (Dobbins, Knill y Vögtle: 2011). Estos cambios impulsan a que la gestión de la universidad debe adecuarse para hacer más con menos y el estado pasa a ser un supervisor de la universidad (Christensen: 2011).
Es en esta línea que se han producido cambios en la gobernanza de las universidades a nivel mundial,por un lado, por mencionar parte de la literatura, Didriksson (1994) ya planteaba sobre los cambios que se estaban produciendo en la universidad moderna alrededor del mundo. En el caso de Asia existen los trabajos de Mok (2007) refiriéndose a los cambios en las universidades de Malasia y Tailandia. Dobbins, Knill y Vögtle (2011) en el sistema educacional europeo a partir del proceso de Boloña. Vidovich y Currie (2011) para el caso australiano, Dobbins y Khachatryan (2015) para el caso de países de Europa del este como Armenia y Georgia. Para el caso de Dinamarca Degn y Sørensen (2015) y González Ledesma (2014) para el caso de Argentina, Chile y México. Todos ellos manifiestan como se han transformado la legislación de las instituciones respecto del gobierno, financiamiento y su acreditación.
El cómo se materializan estas transformaciones en la gobernanza de las instituciones la figura del rector pasa de ser democrática dentro de la oligarquía académica o escogida entre los grupos de interés internos de la universidad a ser designada por una junta que controla la universidad (Dobbins, Knill y Vögtle: 2011).
Las juntas de administración reemplazan a las figuras de los órganos colegiados dentro de la universidad y las relegan a funciones académicas, dejando las decisiones estratégicas de la institución para la junta de administración donde no existe mayoría de académicos o estudiantes (Scott: 2018).
La gobernanza en red, entendida como la vinculación bidireccional de la universidad con las partes interesadas, los rankings, los sistemas de acreditación y los convenios de desempeños apuntan a mejorar los niveles transparencia del quehacer de las universidades y con ello la divulgación de información hace tangible ese aumento de transparencia (Jongbloed et al.: 2018).
Desde el punto de vista del aseguramiento de la calidad la nueva forma se caracteriza por un estado más intruso de manera indirecta (Scott: 2018). Esto se debe a que ahora controla condicionadamente los recursos lo que obliga a la institución a cumplir los estándares necesarios para satisfacer el nivel de calidad esperado (Ferlie, Musselin y Andresani: 2009).
En el caso de Latinoamérica aún mantiene elementos de gobierno de la universidad autogobernada por los académicos estudiantes y funcionarios con distintos niveles.
En el caso de México López Zárate, González, Mendoza y Pérez (2011) relatan las múltiples formas de nombramiento del rector en función de elementos democráticos y burocráticos con distintos grados de participaciones de estudiantes, funcionarios y académicos. Incluso llegando a elecciones por votación universal donde cada estudiante representa un voto y dejando en una minoría a los académicos. Esto incluye la existencia de cuerpos colegiados donde la principal representación recae en los grupos de interés de internos de la institución.
En caso de Argentina las universidades públicas poseen un modelo de autonomía académica y financiera heredada desde la reforma universitaria de Córdoba (Tunnermann: 2010; Nosiglia y Mulle: 2015) En este sentido esa legislación se basa para las instituciones públicas mientras las privadas se rigen con un modelo de acreditación y sin acceso a recursos públicos (González Ledesma: 2014).
El caso chileno las universidades públicas y privadas son instituciones autofinanciadas que deben competir por los recursos y alumnos (Brunner y Ganga: 2016) Respecto a su gobierno no existen restricciones para las universidades privadas, y las universidades públicas se rigen por sus propios estatutos, es en este sentido, que sus rectores son escogidos por académicos entre ellos y su máximo cuerpo colegiado es integrado por miembros internos y externos (Ganga y Viancos: 2018).
En Colombia las universidades poseen un sistema democrático de gobernanza a través de órganos colegiados con ciertos grados de intervención del gobierno en el caso de las universidades públicas a travésde su participación, pero se pueden establecer tres modelos de universidades existentes uno asociado a la universidad clásica otro a modelos gerencial y un tercero que toma elementos de los anteriores (Flórez-Parra et al.: 2018) Desde el punto de vista de regulación de acreditación que le permite acceder a nuevas fuentes de financiamiento y competir por los recursos (Brunner y Ganga: 2016).
Situación similar sucede en Ecuador, Perú y Brasil donde los sistemas públicos poseen elementos de gobierno tradicionales y financiamiento garantizado, contrastando elementos de financiamiento por el cual deben competir (Brunner y Ganga: 2016). Desde el punto de vista de gobierno existen elementos clásicos de universidad autogobernada por los académicos para las instituciones públicas (Ganga y Maluk: 2017).
Estas circunstancias de la situación de Latinoamérica revelan la existencia de modelos mixtos existentes en los sistemas universitarios (Brunner y Ganga: 2016). Esto puede corresponder a la dificultad de transformar la cultura de las instituciones (Christensen: 2011) dada la permanencia de elementos tradicionales que dificultan un cambio más radical.
Regulación del Derecho a la Información
La regulación de la transparencia de la información se refleja en las leyes que se dan los países para salvaguardar el derecho a información, aunque lo anterior no asegura la transparencia ya que además del marco legal se requiere asegurar la calidad de la implementación. Aunque un país pueda tener un marco legal robusto pero que es débil en la implementación, su marco legal no garantizará la apertura si no se implementan correctamente. De todas maneras, un fuerte acceso a la información puede contribuir a avanzar en la divulgación de información ayudando a quienes lo utilizan para defender y promover el derecho de acceso a la información. Como una forma de entregar antecedentes que sostienen la hipótesis central de este trabajo, se utiliza los datos que aporta el Centre For Law and Democracy a través de su Calificación Global del Derecho a la Información (Global Right to Information Rating (RTI Rating)) para mostrar las diferencias en los marcos legislativos de los paises latinoamericanos que forman parte del presente estudio. El RTI Rating es una herramienta para evaluar la fortaleza de los marcos legales nacionales para acceder a la información en poder de las autoridades públicas (o el derecho a la información, RTI) (Centre For Law and Democracy: 2019).
El RTI Rating corresponde a 61 indicadores que se agrupan en siete categorías y cada un a de ellas con diferente número de indicadores: derecho de acceso (3 indicadores); Alcance (9 indicadores); Procedimientos de Solicitud (15 indicadores); Excepciones y Rechazos(8 indicadores); Apelaciones (14 indicadores); Sanciones y Protecciones (4 indicadores) y, Medidas Promocionales(8 indicadores); todos estos corresponden a una amplia gama de estándares internacionales sobre derecho de la información, como a estudios comparados de leyes sobre el derecho de información de todo el mundo.
Las tablas 1 al 5 que se proporcionan a continuación, reflejan claramente tanto la diferencia en el marco normativo sobre el derecho de la información de los países en estudio como el porcentaje de cumplimiento de los indicadores de RTI (Total, parcial o nulo cumplimiento). Se puede extraer, a partir de ellas, que México es el que tiene, positivamente, el porcentaje más bajo de indicadores con nulo cumplimiento (4,9%), que específicamente significa solo 3 de los 61 indicadores del RTI. Por el lado opuesto, Argentina tiene el 31,1% de los indicadores con nulo cumplimiento de estándares globales. Al verificar cada sección del RTI por separado, las diferencias se profundizan tanto dentro de los países, como entre los países. Estos son antecedentes para sostener que las diferencias normativas sobre el derecho a la información en los países afecta los niveles de divulgación de la información de las universidades de sus respectivos países, en especial a las universidades públicas.
En las mismas tablas se proporcionada un comentario acerca de cada una de las secciones del RTI y están basados en los antecedentes que provee el programa Right to Information Rating (https://www.rti- rating.org/country-data/).





METODOLOGÍA
Para este trabajo se han considerado 219 universidades latinoamericanas presentes en el Scimago Institutions Rankings (SIR) de Iberoamérica cuya aparición en el ranking fue continua entre los años 2012 y 2015. Además, estas universidades están dentro del grupo de los primeros 500 lugares. Son universidades de cinco países: Argentina (31 universidades), Brasil (98 universidades), Chile (28 universidades), Colombia (28 universidades) y México (34 universidades). Es relevante señalar que los países estudiados concentran el 83% de las universidades latinoamericanas y en materia de publicaciones científicas, el 89% del total de la región.
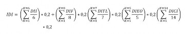
Para analizar el impacto de la regulación de la información primero es necesario considerar el Índice de Divulgación de Información (IDI) para las 219 universidades. Este índice fue propuesto por Abello (2018) y Abello et al. (2018) y la siguiente expresión (1) muestra que el IDI considera cinco dimensiones y cada una de ellas posee una cantidad de diferentes componentes. Para el IDI se calculó el Alfa de Cronbach, el cual es el promedio de las correlaciones entre los ítems que forman parte del índice de divulgación de información. Concretamentee, el Alfa de Cronbach arrojó como resultado que el índice con igual ponderación es 0,69 y el basado en elementos estandarizados es 0,72; por tanto los resultados se encuentran en el tramo de alta fiabilidad. También se calculó este mismo indicador para el índice sin ponderación arrojando un Alfa de Cronbach de 0,87. Entre diversos autores hay consenso en que un coeficiente superior a 0,6 refleja una consistencia interna adecuada (De Castro et al.: 2016; De Freitas y Naves: 2014), de esta manera es posible indicar que el IDI se encuentra en el tramo de alta fiabilidad y puede ser considerado como una variable de interés para este trabajo.
![[Expresión 1]](../27961579005_gf7.png)
DII = Dimensión Información Institucional
DIF= Dimensión Información Financiera
DITL= Dimensión Información de Transparencia y Liderazgo
DIEO= Dimensión Información Estructura y Organización
DICI= Dimensión Información Capital IntelectualK= número de componentes (variables en cada dimensión)
Fuente: Abello (2018), Abello et al. (2018).La tabla 6 muestra el resultado promedio del IDI y por dimensión para las 219 universidades. La interpretación del valor del IDI es que cuanto más cercano a uno, la universidad divulga más información, y cuánto más cercano a 0, la divulgación es más baja. Considerando lo anterior, se observa que el IDI tiene una media 0,43, lo que demuestra una baja divulgación de información por parte de las universidades latinoamericanas.

Para determinar el impacto de la regulación, se propone un modelo (expresión 2) que se estima por medio del método de mínimos cuadrados ordinarios. Se puede observar que el modelo muestra que el índice de divulgación de información – IDI está en función de las características de las universidades y, la regulación; esta última se explica más adelante en esta misma sección. Las variables relacionadas con las características de las universidades se obtuvieron desde bases de datos públicas de cada uno de los cincos países establecidos en la muestra. Abello (2018) y Abello et al. (2018) muestran en sus trabajos que existe una alta correlación entre las características de las universidades y el nivel de divulgación de información; esto conlleva a que las variables puedan ser consideradas como variables explicativas en el modelo que se propone en esta investigación.

[Expresión 2]
En la tabla 7 se entrega el detalle de las variables explicativas, junto a los valores medios y desviaciónestándar. Al modelo estimado se le aplicaron diferentes pruebas como la prueba de normalidad de errores, prueba de significancia global del modelo global (Prueba F), pruebas de significancia individual para los coeficientes (prueba t) y, fue necesario estimar el modelo con errores robustos dado que la primera estimación presentó problemas de heterocedastidad.
Para la variable explicativa “regulación”, y que es uno de los aspectos centrales de este trabajo, se consideró la Calificación Global del Derecho a la Información - RTI (Right to Information) que es un índice que hace una medición del marco legal del derecho de acceso a la información en poder de las autoridades públicas y se puede obtener en https://www.rti-rating.org. El valor del RTI para cada país fue imputado a cadauna de las universidades para poder hacer la estimación del modelo.
El RTI es un índice que considera 61 indicadores agrupados en siete categorías: derecho de acceso, alcance, procedimiento de solicitud, excepciones y denegaciones, apelaciones, sanciones y protecciones y, medidas promocionales. El índice tiene como máximo valor posible 150. El RTI es un programa financiado por Access Info Europe (AIE) y por el Centre for Law and Democracy (CLD). Ambas son instituciones abocadas a promover los derechos de información.

En esta investigación, para determinar que existen diferencias en los niveles de divulgación de información de las universidades por país, se hizo un análisis no paramétrico con la prueba de U-Mann Whitney que busca determinar si dos muestras independientes provienen de una misma población y, la generalización de esta, que es la prueba de Kruskal-Wallis con la que se busca determinar si k muestras independientes provienen de una misma población (Levin y Rubin: 2010).
También en los resultados, para comprender cómo se distribuye el IDI y sus dimensiones por país, se incorpora un diagrama de violín el cual es una combinación del diagrama de cajas y bigotes, y un diagrama de densidad para mostrar la distribución de los datos.
RESULTADOS
Los resultados presentados en la tabla 8 y 9 y la figura 1 resultan concordantes con los planteamientos teóricos previos. En la tabla 8 los promedio del índice de divulgación de información (IDI) y sus dimensiones entregan un indicio de que existirían diferencias de media entre los países que forman parte del estudio, la prueba Kruskal-Wallis ratifica esto ya que sus p-valores para el IDI y las dimensiones Institucional, financiera y capital intelectual es inferior a 0,01 (p< 0,01). Esto indica que al menos un país tiene diferencia de medias estadísticamente significativa. Con la prueba de Kruskal-Wallis no es posible identificar cuál o cuáles son los países que son diferentes entre sí, es por ello que se proporciona la tabla 9 donde se identifican las diferencias entre países.
Con respecto a los niveles de divulgación de la información de las universidades, considerando todas las dimensiones, se puede concluir que a nivel país se presentan diferencias, fundamentalmente, entre las universidades argentinas y los demás países. Esto indica que existen factores que generan esta diferencia y, por lo tanto, al modelar las determinantes se debe considerar el efecto país, que puede estar representado por las diferencias en la regulación sobre la transparencia de información. Una media de 0,28 (promedio para las universidades argentinas) presenta una divulgación deficiente de la información, sobre todo considerando que la mayoría son universidades estatales (públicas). En general, todos los países muestran deficiencias en la divulgación de información y solo las universidades colombianas tienen un promedio por sobre 0,50.

La tabla 9 reporta los p-valores de la prueba U-Mann Whitney que es posible realizar solo para dos grupos de observaciones, en este caso para las universidades entre dos países. La prueba es aplicada para la variable dependiente (IDI) y se puede observar que el grupo de universidades argentinas versus las universidades de los otros países, siempre se rechaza la hipótesis nula de que ambos grupos provienen de una misma población (p<0,05), es decir, es posible señalar que no poseen medias iguales. Primordialmente en los contrastes de medias en que aparece Argentina se rechaza la hipótesis nula igualdad de media, mientras que en México, salvo cuando hace dupla con Argentina, siempre existe evidencia para sostener que no hay diferencias con los otros países.

La figura 1 refuerza lo evidenciado en las tablas 8 y 9, ya que las figuras no muestran uniformidad en su forma y dimensión (véase la descripción de las figuras debajo de las mismas), lo que da fuerza a la tesis que la diversidad de comportamiento de la divulgación de información de los países se debe a las diferencias en las normativas sobre regulación de la transparencia de información.

En la tabla 10 se presentan los resultados obtenidos de la estimación por MCO del modelo que explica los niveles de divulgación de las universidades. En primer lugar se observa que el test global de significancia (prueba F) es altamente significativo y que, a excepción de la constante, las dimensiones y las variables consideradas para explicar los niveles de divulgación de la información son todas significativas. La variable que más importa en este estudio (Regulación de la transparencia de la información) resulta significativa positivamente con p-valor < 0,01; una poderosa evidencia para sostener que la regulación afecta positivamente los niveles de divulgación de la información de las universidades latinoamericanas.

CONCLUSIONES
Este trabajo muestra que las diferencias en las normativas o regulación sobre el derecho al acceso de información en los países que forman parte del estudio tiene un impacto sobre la divulgación de información por parte de sus universidades; más concretamente, mejores niveles de regulación impactan positivamente sobre la divulgación de información. De los antecedentes recopilados, se observa que hay una brecha importante para mejorar su normativa, donde destacaron países como Argentina y Chile que están a un nivel de un 50% de cumplimiento al considerar el puntaje obtenido.
El hallazgo del impacto de la regulación del acceso a la información sobre divulgación de la misma, es especialmente relevante, por cuanto una información fiable e íntegra sobre los diversos aportes de las universidades a su entorno es clave para la legitimidad, financiación y competitividad de estas instituciones. La divulgación de la información es un componente estratégico para el gobierno universitario porque contribuye a sustentar la calidad de la toma de decisiones y la rendición de cuentas; esta última debe conducir a generar confianza con los distintas partes interesadas que forman parte del entorno significativo para las universidades. Por otra parte, la divulgación de la información permite disminuir la asimetría de información pero se debe tener precaución de no generar una sobrecarga de información, ya que puede generar un efecto contrario al no poder entenderla ni procesarla.
La asimetría de información es un problema latente en la educación superior donde existen incentivos para no maximizar la calidad de los servicios educativos, subsidios cruzados a otros servicios educativos deficientes o a funciones distintas como la de recursos de docencia destinados a investigación o viceversa. Si la divulgación voluntaria de la información es deficiente, el regulador debe utilizar sus poderes y generar normativas que obliguen o incentiven la entrega de información objetiva sobre la calidad de la educación superior. Estas normas deberían propiciar sistemas de evaluación de la calidad realizados por organismosindependientes, convenios de desempeño que estimulen la divulgación de información y normas que faciliten el derecho al acceso de información.
Desde el punto de las implicancias en política pública de este trabajo, los resultados conducen a proponer un incremento de la regulación en aspectos que incentiven la divulgación de información a las partes interesadas y su entorno significativo, permitiendo una mayor eficiencia y eficacia, sobre todo en lo referido al funcionamiento del gobierno universitario.Futuras investigaciones debieran considerar aspectos tales como la implementación de las normas queresguardan el derecho al acceso a la información, dado que la sola normativa no asegura la efectiva implementación de la norma.
BIODATA
Juan ABELLO-ROMERO: Doctor en Ciencias de Administración. Académico, Universidad de Los Lagos, departamento de Ciencias del Desarrollo. Actualmente es investigador del Programa de Investigación sobre Gobernanza e Inclusión Organizacional.
Claudio MANCILLA: Doctor en economía aplicada, Magister en Ciencias Sociales. Profesor del Departamento de Ciencias Administrativas y Económicas de la Universidad de Los Lagos, Chile. Sus trabajos de investigación tienen relación con desarrollo regional, emprendimiento, y gobernanza universitaria.
Patricio VIANCOS: Doctorando en Política y gestión educativa. Administrador Público. Asistente de Investigación del Programa de Investigación sobre Gobernanza e Inclusión Organizacional de la Universidad de Los Lagos, Asistente de Investigación de la Universidad Arturo Prat de Chile.
BIBLIOGRAFÍA
ABELLO, J. (2015). "Sistemas de gobiernos en las universidades de Latinoamérica: La importancia de la composición de los máximos cuerpos colegiados". Revista Chilena de Economía y Sociedad. Vol. 9, n°2, pp. 30-47.
ABELLO, J.B. (2018). Impactos de los atributos de los gobiernos corporativos universitarios sobre la divulgación de información: el caso de las universidades latinoamericanas (Tesis doctoral inédita). Universidad de Santiago de Chile, Chile.
ABELLO, J.B., & CUYAN, M. (2014). Universidades Confesionales: Consideraciones sobre su máximo cuerpo colegiado. En F. ganga, Gobernanza Universitaria: aproximaciones teóricas y empíricas (págs. 41-48). Santiago: CEDAC Universidad de los Lagos.
ABELLO, J.B., & MANCILLA, C. (2018). "Análisis Multi-Teórico de los gobiernos corporativos universitarios sobre la divulgación de información". Revista Opción, Año: 34, n°86, pp. 358-392.
ABELLO, J.B., MANCILLA, C., MOLINA, C., & PALMA, A. (2018). "Relación entre divulgación de información y características universidades latinoamericanas". Revista Venezolana de Gerencia, Año:23, n°1, pp. 67-89
AZIZ, N., JANOR, R., & MAHADI, R. (2013). "Comparative departamental efficiency Analysis within a university: A Dea approach". Procedia Social and Behavioral Sciences. Vol. 90, october, pp. 540-548.
BEINER, S., DROBETZ, W., SCHMID, M., & ZIMMERMANN, H. (2004). "Is board size an independent corporate governance mechanism?". Kyklos. Vol. 57, n°3, pp. 327-356. https://doi.org/10.1111/j.0023- 5962.2004.00257.x
BERGH, D., KETCHEN, D., ORLANDI, I., HEUGENS, P., & BOYD, B. (2019). Information asymmetry inmanagement research: Past accomplishments and future opportunities. Journal of Management. Vol. 45, n°1, pp. 122-158. https://doi.org/10.1177/0149206318798026
BLEIKLIE, I., & KOGAN, M. (2007). "Organization and governance of universities". Higher Education Policy. Vol. 20, n°4, pp. 477-493.
BOER, H., & FILE, J. (2009). Higher Education Governance: reforms Across Europe. Brussels: ESMU.
BROWN, J., & MARTINSSON, G. (2019). Does transparency stifle or facilitate innovation? ManagementScience. Año: 65, n°4, pp. 1455-1947. https://doi.org/10.1287/mnsc.2017.3002
BROWN, S., & HILEGEIST, S. (2007). "How disclosure quality affects the level of Information Asymmetry". Review of Accounting Studies. Vol. 12, n°2-3, pp. 443-477.
BRUNNER, J. J., & URIBE, D. (2007). Mercados universitarios: El nuevo escenario de la Educación Superior. Santiago: Universidad Diego Portales.
BRUNNER, J.J., & GANGA-CONTRERAS, F.A. (2016). “Reflexiones en torno a economía política y gobernanza de los sistemas nacionales e instituciones de educación superior en américa latina”. Interciencia. Vol. 41, n°8, pp. 573.
CATÓLICO, D. (2012). "Revelación y divulgación de la información financiera y no financiera de las universidades públicas en colombia". Revista Facultad de ciencias Económicas. Vol. 20, n°1, pp. 57-76.
CENTRE FOR LAW AND DEMOCRACY. (28 de 08 de 2019). law-democracy.org. Obtenido de: http://www.law-democracy.org/wp-content/uploads/2011/09/COVER-NOTE.pdf
CHRISTENSEN, T. (2011). ”University governance reforms: potential problems of more autonomy?”. Higher Education. Vol. 62, n°4, pp. 503-517. doi:10.1007/s10734-010-9401-z
DALWAI, T., BASIRUDDIN, R., & RASID, S. (2015). "A critical review of relationship between corporate governance and firm perfomance: GCC banking sector perspective". Corporate Governance. Vol. 15, n°1, pp. 18-30. https://doi.org/10.1108/CG-04-2013-0048
DE CASTRO, M., JACOMETTI, M., & GONCALVES, S. (2016). "Governance in the context of interorganizational networks: A study in local productive arrangements from Parana state regarding the institutional approach". Revista Electrónica de Ciencia Administrativa. Vol. 15, n°2, pp. 90-115.
DE FREITAS, G., & NAVES, F. (2014). "Ensino de contabilidade na graduacao em administracao: Uma análise sob anperspective discente". Revista de Contabilidade e Organizacöes. Vol. 8, n°21, pp. 58-70.
DEGN, L., & SORENSEN, M.P. (2015). “From collegial governance to conduct of conduct: Danish universities set free in the service of the state”. Higher Education. Vol, 69, n°6, pp. 931-946. doi:10.1007/s10734-014- 9814-1
DIDRIKSSON, A. (1994). “Gobierno universitario y poder. Una visión global de las formas de gobierno y la elección de autoridades en los actuales sistemas universitarios”. Perfiles Educativos. N°64.
DO BA, K., & DUOUG, H.Q. (2018). "Competitive equilibrium and informational asymmetry in the private higher education market". Education Economics. Vol. 26, n°4, pp. 432-443.
DOBBINS, M., & KHACHATRYAN, S. (2015). “Europeanization in the "Wild East"? Analyzing higher education governance reform in Georgia and Armenia”. Higher Education. Vol. 69, n°2, pp. 189-207. doi:10.1007/s10734-014-9769-2
DOBBINS, M., KNILL, C., & VÖGTLE, E.M. (2011). “An analytical framework for the cross-country comparison of higher education governance”. Higher Education. Vol. 62, n°5, pp. 665-683. doi:10.1007/s10734-011-9412- 4
FERLIE, E., MUSSELIN, C., & ANDRESANI, G. (2009). “The governance of higher education systems: A public management perspective”. University governance. Vol. 25, pp. 1-19: Springer.
FLORES-PARRA, J. (2013). El Gobierno Corporativo en el Sector Público: Un estudio en las universidades públicas españolas. Cuadernos de Administración, (Universidad del Valle). Vol. 29, n°50, pp. 142-152.
FLORES-PARRA, J.M., LÓPEZ-PÉREZ, M.V., & LÓPEZ, A.M. (2014). "El gobierno corporativo de las Universidades: Estudio de las 100 primeras Universidades del ranking de Shanghái". Revista de Educación. n° 364, pp. 170-196.
FLOREZ-PARRA, J., LÓPEZ-PÉREZ, M., & LÓPEZ-HERNÁNDEZ, A. (2018). “Corporate governance inColombian universities”. International Review of Administrative Sciences. Vol. 85, n°3, pp. 544-565. doi:https://doi.org/10.1177/0020852317707331
GANGA-CONTRERAS, F., & VIANCOS, P. (2018). “Reforma a la educación superior y su impacto en el sistema de gobierno universitario. El caso de Chile”. Revista ciencias de la documentación. Vol. 4, n°1, pp. 49-67.
GANGA-CONTRERAS, F.A., & MALUK URIGUEN, S.A. (2017). “Análisis descriptivo del gobierno universitario ecuatoriano: una mirada desde los cambios legislativos”. REDIE. Revista Electrónica de Investigación Educativa. Vol. 19, n°2, pp. 22-37. http://dx.doi.org/10.24320/redie.2017.19.2.866.
GHAFOOR, A., ZAINUDIN, R., & MAHDZAN, N. (2019). "Corporate fraud and information in emerging markets". Journal of Finance Crime, Vol. 26, n°1, pp. 95-112. https://doi.org/10.1108/JFC-11-2017-0107
GIBBS, P. (2019). "The three goods of Higher Education; as education, in its educative, and in its institutional practices". Oxford Review of Education. Vol.45, n°3, pp.405-416. doi:10.1080/03054985.2018.1552127
GOLBERG, S., DANKO, D., & KESSLER, L. (2016). "Ownership structure, fraud, and corporate governance". The Journal of Corporate Accounting & Financie. Vol. 27, n°2, pp. 39-46. https://doi.org/10.1002/jcaf.22120
GONZÁLEZ LEDESMA, M.A. (2014). “New modes of governance of Latin American higher education: Chile, Argentina and Mexico”. Bordón. Revista de pedagogía. Vol. 66, n°1, pp. 137-150.
HAZELKORN, E. (2018). The accountability and transparency agenda: Emerging issues in the global era. EnA. Curaj, L. Deca, & R. Pricopie (Edits.), European Higher Education Area: The impact of past and futures policies (pp. 423-439). Cham: Springer.
JONGBLOED, B., VOSSENSTEYN, H., VAN VUGHT, F., & WESTERHEIJDEN, D. (2018). "Transparency inhigher education: the emergence of a new perspective on higher education governance". En A. Curaj, L. Deca,& R. Pricopie (Edits.), European Higher Education Area: The impact of Past and Futures Policies (pp. 441- 454). Cham: Springer.
KRETEK, P., DRAGSIC, Z., & KEHM, B. (2013). "Transformation of university governance: on the role of university board members". Higher Education. Vol. 65, n°1, pp. 39-58.
LEVIN, R., & RUBIN, D. (2010). Estadística para Administración y Economía (Séptima ed.). Naucalpan de Juárez, México: Pearson Educación.
LÓPEZ- ZÁRATE, R., GONZÁLEZ, O., MENDOZA, J., & PÉREZ, J. (2011). "Las formas de elección de los rectores. Otro camino para acercarse al conocimiento de las universidades públicas autónomas". Perfiles Educativos. Vol. 33, n°131, pp. 8-27.
MOK, K.H. (2007). “The Search for New Governance: Corporatisation and Privatisation of Public Universities in Malaysia and Thailand”. Asia Pacific Journal of Education. Vol. 27, n°3, pp. 271-290. Doi:10.1080/02188790701591535
NGUYEN, H., HAMID, O., & MONI, K. (2016). "English-medium instruction and self-governance in higher education: the journey of a viatnamese university through the institutional autonomy regime". Higher Education. Vol. 72, n° 5, pp. 669-683.
NOSIGLIA, M., & MULLE, V. (2015). “El gobierno de las instituciones universitarias a partir de la Ley de Educación Superior 24.521: un análisis de los Estatutos Universitarios”. Revista Iberoamericana de Educación Superior. Vol. 6, n°15, pp. 72-89. https://doi.org/10.1016/S2007-2872(15)30004-4
SÁNCHEZ-DAZA, A. (2001). "Información asimétrica y mercados financieros emergentes: el análisis de Mishkin". Revista Análisis Económico. Vol. XVII, n°34, pp. 35-66.
SCOTT, P. (2018). “Compliance and Creativity: Dilemmas for University Governance”. European Review. Vol. 26, pp. S35-S47. Doi:10.1017/S1062798717000527
STAKE, R., ARBESU, M., & CONTRERAS, G. (2017). Assessing the quality of a university-particularly its teaching. REDU Revista de Docencia Universitaria, 15(2), 125-141.
STIGLITZ, J. (2000). The contributions of the economics of information to twewntieth century economics. The Quarterly Journal of Economics. Vol. 115, n°4, pp. 1441-1478. https://doi.org/10.1162/003355300555015
STIGLITZ, J. (2002). La información y el cambio en el paradigma de la ciencia económica. Revista Asturiana de Economía. n°25, pp. 95-164.
SVENSSON, C., & HVOLBY, H. (2012). "Establishing a business process reference model for universities". Procedia Technology. Vol.5, pp. 635-642. https://doi.org/10.1016/j.protcy.2012.09.070
TRAKMAN, L. (2008). “Modelling University Governance”. Higher Education Quarterly. Vol. 62, n°1‐2, pp. 63-83. doi:doi:10.1111/j.1468-2273.2008.00384.x
TUNNERMANN, C. (2010). “La reforma universitaria de Córdoba”. Revista Educación Superior y Sociedad. Vol. 9, n°1, pp. 103-127.
VIDOVICH, L., & CURRIE, J. (2011). “Governance and trust in higher education”. Studies in Higher Education. Vol. 36, n°1, pp. 43-56. Doi:10.1080/03075070903469580