Artículos
Customer Satisfaction and Retention and its impact on Turism in Hotel Industry
Satisfacción y retencion del cliente y su impacto en el turismo de la industria hotelera
Customer Satisfaction and Retention and its impact on Turism in Hotel Industry
Utopía y Praxis Latinoamericana, vol. 25, núm. Esp.1, pp. 117-126, 2020
Universidad del Zulia
Recepción: 27 Febrero 2020
Aprobación: 23 Abril 2020
Resumen: Tomando un estudio de caso del turismo como industria hotelera en la provincia de Lampung en Indonesia, analizamos el impacto de la satisfacción y retencion del cliente. Usando el modelo de ecuación estructural (SEM), encontramos que la gestión de la relación con el cliente tiene un impacto significativo en la calidad del servicio, la satisfacción y retención del cliente. Basándonos en los hallazgos, recomendamos algunas estrategias para el gobierno de la provincia de Lampung, por ejemplo: capacitar a las personas locales para que se comporten de manera más amigable al dar la bienvenida a turistas nacionales o internacionales, arreglando todas las instalaciones de alojamiento, creando más recuerdos con los adornos de Lampung y desarrollando un sistema de gestión que adopte cambios globales en tecnología, comunicación y tendencias.
Palabras clave: Calidad del servicio, gestión de la relación con el cliente, retención de clientes, satisfacción del cliente, turismo de la industria hotelera..
Abstract: Taking a case study of tourism as hospitality industry in Lampung Province in Indonesia, we analyze the impact on customer satisfaction and retention. Using Structural Equation Model (SEM), we find that customer relationship management has a significant impact on service quality, customer satisfaction and customer retention. Relying on the findings, we recommend some strategies for the government of Lampung Province, for example: training local people to behave more friendly in welcoming domestic or international tourists, fixing all lodging facilities, creating more souvenirs with Lampung’s ornaments and developing management system adopting global changes in technology, communication and trend.
Keywords: Customer relationship management, customer retention, customer satisfaction, hospitality industry, service quality, tourism..
INTRODUCTION
Tourism as hospitality industry is related to accommodation, food and beverages, and all interrelated services which are intended to provide the visitors all their needs, including lodging facilities and services of a certain product in the industry. This industry is one of the sectors that supports the economy of Indonesia and its provinces. One of the Indonesia Provinces which build its tourism industry is Lampung. The province has tried to boost its tourism industry by organizing tourism events, such as Tanjung Setia Festival1, Krakatoa Festival2 and Way Kambas Festival3. Recently, the province has been popular for snorkeling and diving. Both domestic and international tourists from various diving communities have been visiting tourism areas in Lampung such as Pahawang island, Krui beach, Kiluan gulf, Ringgung beach, Kelagian island, Balak island, and Mahitam island.
By the end of the year 2016, in Lampung, tourist visiting has increased to 31.78% and new hotels have been built up to 1.78%. Unfortunately, the growing number of tourists and hotels is not followed by the growing number of tourist expenditure and their length of stay, which is only US$ 77 per day and 1,74 day per visit respectively. Therefore, the government of Lampung needs to enhance tourist expenditure and stay during the tourists’ visit by, for example, increasing and maintaining their satisfaction.
By taking a case study of tourism industry in Lampung Province in Indonesia, we analyze the antecedent of customer satisfaction and its impact on customer retention. In the analysis, we study both the direct and indirect impacts and overall influence of variables. We also use a structural equation model for confirmatory factor analysis on the relationships between the latent and measured variables which are indicators of common factors.
LITERATURE REVIEW
Customer Retention
Customer retention is defined as customer’s commitment towards a company and its offerings for a specific period of time through their repeat purchases and tendency in spreading positive word of mouth among their social circle [1,2]. In order to produce customer retention, the company must keep its customers by providing a great customer experience [3]. As in [4], customer retention can lead significant benefits to companies, i.e. reducing operating cost and increasing revenue by referrals. Thus, companies put customer retention as primary task because the cost of acquiring a new customer is greater than the cost of maintaining a relationship with a current customer [5].
Factors Influencing Customer Retention
Customer retention can be influenced by customer satisfaction [6,7], service quality [8,9] and customer relationship management [10]. Customer satisfaction is defined as the result of a cognitive and affective evaluation, where the standard expectation is compared to the actual perceived performance with disconfirmation paradigm [3,11]. In the comparison, when the performance exceeds the expectation, the result of evaluation will reach satisfaction (positively disconfirming). Conformity expectations and willingness to re- purchase and to recommend can be the attributes of custumer satisfaction [12].
Service quality can be a major factor that causes satisfaction and customer retention [13]. It is connected to customer perceptions and customer expectations and has five dimensions, i.e. tangible, reliability, responsiveness, assurance and empathy [14]. These dimensions are interrelated as in [15] showing that in tourism service quality, when many costumers were able to pay more for travel services, fewer were willing to do so.In order to maintain the relationship with the customer for a long time, many companies are investing in customer relationship management. It is a combination of people, process, technology and communication that seeks to understand a company’s customers [16]. Tourism industry can take the benefits from this management as a strategy in increasing tourist visits [17].
METHODS
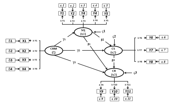
The population were domestic and foreign tourists in Lampung Province. Since the population is dynamic and its nature is diverse (heterogeneous), the population is categorized as infinite. Fig. 1 shows Structural Equation Modeling (SEM) formed from latent variables (i.e. endogenous and exogenous) used in this study. Service quality, customer satisfaction and customer retention act as endogenous variables and customer relationship management as exogenous one.

Fig. 1. Structural Equation Modeling (SEM). SQ: Service Quality; CS: Customer Satisfaction; CR: Customer Retention; CRM: Customer Relationship Management; : latent variable Y (Endogenous variable); : latent variable X (Exogenous variable); : the influence of exogenous variables on endogenous variables; β: The influence of endogenous variables on endogenous variables.
Equations (1-3) show SEM 1, 2 and 3 respectively.

RESULTS AND DISCUSSION
Table 1 shows that all construct estimates of latent variables are valid and reliable because their values of Standardized Loading Factor (SLF) > 0.50, Construct Reliability (CR) > 0.70 and Variance Extracted (VE) >0.50. Therefore, the validity and reliability of the structural equation models are significant.

* SLF= Standardized Loading Factor; CR= Construct Reliability; VE=Variance Extracted.
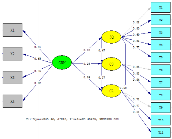
In details, Customer Relationship Management (CRM) variable consists of four indicators, i.e. X1 (people), X2 (process), X3 (technology), and X4 (communication). In CRM, X4 has the biggest influence (SLF = 0.92), and X1 has the smallest influence (SLF = 0.51). Service Quality (SQ) variable consists of five indicators, i.e. Y1 (tangibles), Y2 (reliability), Y3 (responsiveness), Y4 (assurance) and Y5 (empathy). In SQ, Y1 has the biggest influence (SLF = 0.82), and Y3 has the smallest influence (SLF = 0,69).
Customer 6 7( 8 80,94), 7indicators 9 10 11 (customer loyalty). In CR, Y10(SLF = 0,77), and Y11 has the smallest influence (SLF = 0,68).
To construct the exogenous latent variables in CRM, X1 is measured by variables: X11 (hospitality) and X12 (nice welcoming); X2 by variables: X21 (easy to get souvenirs) and X22 (easy to get transportation); X3 by variables: X31 (friendly website), X32 (ticketing via technology) and X33 (interest promotion); and X4 by variables: X41 (advertising), X42 (information from local people), and X43 (correct information). Fig. 2 shows the result of confimatory factor analysis (2nd order) in CRM.

In constructing the endogenous latent variables in SQ, Y1 is measured by variables: Y11 (nice tourist attractions), Y12 (comfortable lodging); Y2 by variables: Y21 (good service for tourists) and Y22 (good service for lodging); Y3 by variables: Y31 (good response for tourists’ attraction), Y32 (good response at lodging); Y4 by variables: Y41 (safety environment) and Y42 (nice people); Y5 by variables: Y51 (knowing the tourists’ attraction) and Y52 (knowing the the torurists’ lodging). The result of confimatory factor analysis (2nd order) in SQ can be seen in Fig. 3.

For the endogenous latent variables in CS, Y6 is measured by variables: Y61 (completed facility), Y62 (good employee performance), Y63 (enjoying Lampung product) and Y64 (feeling satisfied and visiting again); Y7 by variables: Y71 (excellent souvenirs), Y72 (recommending souvenirs), Y73 (suggesting souvenir boutiqe); Y8 by variables: Y81 (suggestions for tourists’ attraction), Y82 (suggestions for lodging) and Y83 (recommending destination for vacation). Fig. 4 shows the result of confirmatory factor analysis (2nd order) in CS.

To construct the endogenous latent variables in CR, Y9 is measured by variables: Y91 (excellent hospitality), Y92 (good tourist experience) and Y93 (use lodging facility); Y10 by variables: Y101 (use lodging service), Y102 (use tourists’ attraction facility), Y103 (use tourists attraction service), Y104 (satisfied in visiting Lampung); Y11 by variables: Y111 (buying some souvenirs), Y112 (quality in vacation experience) and Y113 (satisfied in vacation value). The result of confimatory factor analysis (2nd order) in CR can be seen in Fig. 5.

From the validity and reliability tests, the exogenous latent variables in CRM, and the endogenous latent variables in SQ, CS and CR construct valid and reliable relationship because the values of its SLF is ≥ 0.5, its construct reliability is ≥ 0,7 and its variance extracted is ≥ 0,5. It is observed that only Y64 and Y101 variables are invalid and reduced.
In structural equation model, we analyses the feasibility of measurement model resulting in the previous Confirmatory Factor Analysis (2nd order). See Fig. 6 for the estimation model of structural equation with coefficient value and Fig. 7 with t-value.


The analysis in the estimation of structural models shown in Fig. 6 and Fig. 7, results in the following structural equations.
Moreover, direct, indirect and total effects of each variable can be observed in Table 2. It shows the existence of indirect effect in order to determine the effect of an exogenous variable on the endogenous variable which is dependent through endogen entervening variable. The result of indirect effect has been accordance with the desired structural model. As an example, CRM has direct and positive influence on SQ, on CS through SQ, and on CR through CS.

CONCLUSION
Understanding the behavior of the customers especially for their satisfaction provides insights for strategies to attract more customers and create customer retention. We have analyzed the antecedent of customer satisfaction and its impact on customer retention in tourism industry in Lampung, Indonesia. We find that customer relationship management has a significant impact on service quality, customer satisfaction and customer retention. Moreover, the impact of service quality on customer satisfaction and the one of customer satisfaction on customer retention are also significant.
Relying on the findings, we recommend some strategies related to local people hospitality, service responsiveness, and customer interest and customer loyalty. The government of Lampung Province could, e.g. train local people to behave more friendly in welcoming domestic or international tourists, fix all lodging facilities, create more souvenirs with Lampung’s ornaments and develop management system adopting global changes in technology, communication and trend.
BIODATA
Andala Rama Putra Barusman: Professor at University of Bandar Lampung, Bandar Lampung, Indonesia. andala@ubl.ac.id
Evelin Putri Rulian: Lecturer at University of Bandar Lampung, Bandar Lampung, Indonesia. evelinpr55@gmail.com
Acknowledgment
We gratefully acknowledge the supports from Bandar Lampung University. We appreciate the comments from our colleages and students for the earlier draft of the paper. We also thank the reviewers and appreciate their comments.
BIBLIOGRAPHY
CHEN, I.J. & POPOVICH, K. (2003). “Understanding customer relationship management (CRM): People, process and technology,” Business Process Management Journal, vol. 9 no. 5, pp. 672 – 688, 2003.
DEAN, A., MORGAN, D. & TAN, T.E. (2002). “Service Quality and Customer’s Willingness to Pay More for Travel Service,” Journal of Travel and Tourism Marketing, vol. 12 no. 2/3, pp. 95-110, 2002.
FERRELL, O.C. & HARTLINE, M.D. (2010). Marketing Strategy, 5th ed. Boston, MA: Cengage Learning, 2010.
HAN, H., BACK, K.J. & BARRETT. B. (2009). “Influencing factors on restaurant customers’ revisit intention:The roles of emotions and switching barriers,” International Journal of Hospitality Management, vol. 28 no. 4,pp. 563-572, 2009.
IVANOVIC, S., MIKINAC, K. & PERMAN, L. (2011). “CRM Development in Hospitality Companies for the Purpose of Increasing the Competitiveness in the Tourist Market,” UTMS Journal of Economics, vol. 2 no. 1, pp. 59-68, 2011.
JENG, D.J.F. & BAILEY, T. (2012). “Assessing Customer Retention Strategies in Mobile Telecommunications: Hybrid MCDM Approac,” Management Decision, vol. 50 no. 9, pp. 1570-1595, 2012.
KIM, M.K., PARK, M.C & JEONG, D.H. (2004). “The Effects of Customer Satisfaction and Switching Barrier on Customer Loyalty in Korean Mobile Telecommunication Services,” Telecommunications Policy, vol. 28 no. 2, pp. 145-159, 2004.
KOTLER, P. & KELLER, K.L. (2010). Marketing Management, 15th ed. New York: Pearson Education, 2016.
PARIDA, B.B. & BAKSI, A.K. (2011). “Customer Retention and Profitability: CRM Environment,” SCMS Journal of Indian Management, vol. 8 no. 2, pp. 66-84, 2011.
SEIDERS, K., VOSS, G.B., GREWAL, D AND GODFREY, A.L. (2005). “Do Satisfied Customers Buy More?Examining Moderating Influences in A Retailing Context,” Journal of Marketing, vol. 69, pp. 26-43, 2005.
SHARMEELA-BANU, S.A., GENGESWARI, K. & PADMASHANTINI, P. (2012). “Customer RetentionPractices among the Major Retailers in Malaysia,” International Journal of Academic Research in Business and Social Sciences, vol. 2 no. 6, pp. 157-166, 2012.
SINGH, R AND KHAN, I.A. (2012). “An Approach to Increase Customer Retention and Loyalty in B2C World,” International Journal of Scientific and Research Publications, vol. 2 no. 6, pp. 1-5, 2012.
TAWINUNT, K., PHIMONSATHIEN, T & WANNO, F. (2015). “Service Quality and Customer Relationship Management Affecting Customer Retention of Long-Stay Travelers in the Thai Tourism Industry: A SEM approach,” International Journal of Arts & Sciences, vol. 8 no. 2, pp. 459–477, 2015.
TJIPTONO, F. (2004). Strategi Pemasaran (Marketing Strategy), 2nd ed. Yogyakarta: Andi, 2004.
WEBER, K. (1997). “The Assessment of Tourist Satisfaction Using the Expectancy Disconfirmation Theory: A study of the German travel market in Australia,” Pacific Tourism Review, vol. 1, pp. 35-45, 1997.
YEE, R.W., YEUNG, A.C & CHENG, T.C.E. (2010). “An Empirical Study of Employee Loyalty, Service Quality and Firm Performance in the Service Industry,” International Journal of Production Economics, vol. 124 no. 1, pp. 109-120, 2010.
ZEITHAML, V.A., PARASURAMAN, A. & BERRY, L.L. (1990). Delivering Quality Services. New York: The Free Press, 1990.
Notas