Artículos
Linear programming for electrical energy generation power plant: An economic optimization approach
Programación lineal para la central eléctrica de generación de energía: Un enfoque de optimización económica
Linear programming for electrical energy generation power plant: An economic optimization approach
Utopía y Praxis Latinoamericana, vol. 25, no. Esp.2, pp. 144-159, 2020
Universidad del Zulia

Received: 14 March 2020
Accepted: 20 April 2020
Abstract: This paper studies how to determine a combined path of an optimum electricity production activity using the Linear Programming method. According to Linear Programming, an optimum generation pattern is influenced by the demand factor, production capacity, raw material stock, operational cost, and efficiency of every unit. With an optimum combination of those aspects, the need for raw materials for each operating unit will be found out; therefore, a continuous and steady supply of raw materials can be maintained, and eventually, an optimum electrical energy-generating process finally results.
Keywords: Electricity production, linear programming, optimum generation, POM software.
Resumen: Este documento estudia cómo determinar una ruta combinada de una actividad de producción de electricidad óptima utilizando el método de programación lineal. Según la programación lineal, un patrón de generación óptimo está influenciado por el factor de demanda, la capacidad de producción, el stock de materia prima, el costo operativo y la eficiencia de cada unidad. Con una combinación óptima de esos aspectos, se descubrirá la necesidad de materias primas para cada unidad operativa; por lo tanto, se puede mantener un suministro continuo y constante de materias primas, y finalmente resulta un proceso óptimo de generación de energía eléctrica.
Palabras clave: Producción de electricidad, generación óptima, programación lineal, software POM..
INTRODUCTION
Electricity is a form of energy closely related to the growth of the industry as one important sector influencing a country’s economic growth. PT. KDLC is one of several companies in Indonesia dealing with electricity production. An optimum and efficient electrical energy production plays a crucial role to improve company performance to boost the country’s economic growth. Therefore, economic optimization can be used to solve problems of allocating limited resources optimally (Donate et al.: 2013, pp. 11-20). Apart from that, human abilities to consider all possibilities to make a decision and action with simple qualitative estimation, generally apply only to simple decisions ( Benkachcha: 2015; Ahmad & Ahmad, 2019). Before the best solution to a complex problem - as found in the process of electricity generation - is determined, the first step to be done is to study and understand in detail the interconnection patterns between factors that cause the problem to appear, qualitatively and quantitatively (measurable) (Adhikari & Agrawal: 2013; Akintola et al.: 2011, pp. 467- 476). The problem might be worse to see the fact whereas limited resources are used inefficiently (or below capacity). In such a condition, systematic planning models are required to overcome the problems ( Bagheri et al.: 2014, pp. 151-157). One of the models that can be used mathematically to solve problems of allocating limited resources optimally is Linear Programming in Operations Research; while for the calculation, POM software is utilized.
METHODS
The problem that will be analyzed in this paper is the problem of electrical energy generation at PT. KDLC. The method used is LinearProgramming, considered to be the best method to solve problems that will be analyzed. Hence, variables of problem characteristics of electricity generation need to be identified. Further, based on those variables, a relevant mathematical Linear Programming model is determined.
Variable and parameter of electricity generation
In this part of the paper, the general variable and parameter related to the characteristics of electricity generation at PT. KDLC is identified. The variable and parameter include (Liu et al.: 2014, pp. 327-331):
i1, i2, . . . , i5 represents unit Boiler 1 - 5
j1, j2, . . . , j5 represents unit Turbine 1 - 5
b1 refers to the cost spent for the use of gas fuel in rupiahs per MMSCFD
b2 refers to the cost spent on the use of oil fuel in rupiahs per kiloliter
k represents the need of water converted from the demand of MW of electricity
r1 refers to the stock capacity of gas fuel
r2 refers to the stock capacity of oil fuel
r12 represents the maximum amount of gas fuel and oil fuel
z1 represents the amount of gas fuel usage to convert water demand to a metric ton of steam
z2 represents the amount of oil fuel usage to convert water demand to a metric ton of steam
l1 refers to the amount of water required to produce 3 MW electricity with one MMSCFD gas fuel
l2 refers to the amount of water required to produce 3 MW electricity with one kiloliter oil fuel
c1i represent the cost spent in rupiahs for the use of the unit with gas fuel
c2i represent the cost spent in rupiahs for the use of the unit with oil fuel
Y1i refer to the amount of steam per ton produced by a unit with gas fuel
Y2i refer to the amount of steam per ton produced by a unit with oil fuel
mi represents the maximum capacity of steam production in the uniti
n1i is the amount of gas per MMSCFD required for the combustion process in the unitto produce one
metric ton of steam
n2i is the amount of oil per kiloliter required for the combustion process in the unitto produce one
metric ton of steam
ais the amount of water per MC required to produce one metric ton of steam
dij is the cost per rupiah spent to operate unit i to unit j
Xij refer to the amount of electricity per MW produced from the unit by using steam from unit i
Y12i refer to the amount of steam per ton from the sum-up of steam amount resulted from gas and oil
fuel combustion process of unit i
Pj refers to the maximum capacity of electricity production in the unit j
qj is the amount of steam per metric ton resulted to produce one MW electricity in unit j
THE SCHEMA OF ELECTRICAL ENERGY GENERATION
Hereunder is the general schema of the electrical energy generation at PT. KDLC:

From the above schema, it can be further explained that demineralized water put in the domain water tank is pumped into the feed water tank. From this tank, the water is pumped with the pressure of 150 bars to the Boiler at the temperature of 145º C. There are combustion and steam reaction in the boiler. The steam produced in the Boiler is further used to change the potential energy into mechanical energy. Thus, it can run the Turbine at the pressure of +0,1 bar producing electrical energy up to 80 MW for every unit. For a clearer picture, it is shown below the production line of electrical energy generation at PT. KDLC with several production steps:

As can be seen in Figure 2, regards to the production line of electrical energy generation shown above, there are three steps conducted in this research (i) To find out an optimum combination of gas and oil fuel consumption. (ii) To find out a combination of an optimum steam production activity from Boiler using gas and oil fuel and (iii) To find out a combination of an optimum electricity production activity of each turbine.
MATHEMATICAL MODEL
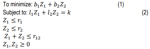
From Figure 2 above, it can be seen that in this electrical energy generation process, there are fourteen interconnected nodes (14 areas). The important aspect of this model is the presentation of a choice whether using a Boiler unit or Turbine Generator in the production activity as it is influenced by the readiness of a unit to operate; while such condition is related to the efficiency (Khashei & Bijari: 2010, pp. 479-489). With the above mentioned three steps that will be conducted, and available variable and parameter, a mathematical model can be derived. The mathematical model that will be applied in this paper is a Linear Programming mathematical model (Liu et al.: 2014, pp. 327-331; Efremenko et al.: 2019, pp. 138-147). Factors influencing the problems of electricity generation, in general, are related to the operational cost for the usage of every different unit, maximum operation capacity, raw material and fuel stock, the maximum capacity of steam production of every Boiler, and the maximum electricity produced by the Turbine Generator (Dudek: 2015, pp. 839-846). The generation process is influenced by the efficiency of every unit, as well, by assuming efficiency in the cost. Thus, the higher the efficiency the Boiler and Turbine Generator is, the less the cost to spend; and vice versa. The following is a further explanation of every step mentioned above ( Akintola et al.: 2011, pp. 467-476; Husnutdinov et al.: 2019, pp. 41-50). The first step is to find out a combination of gas and oil fuel usage. It will be called StepI. In Step I, the influencing factors, among others, are the cost of gas fuel usage in MMSCFD and oil fuel usage in kiloliter, need of water, stock availability of each fuel, and the maximum capacity of the total amount of the two fuels (Liu et al.: 2014, pp. 327-331). Below is the data table of Step I.


From Table 1, the following Linear Programming model can be formed (Liu et al.: 2014, pp. 327-331):
The second step is to find out the combination of an optimum steam production activity from the Boiler unit using gas fuel and oil fuel (Khashei & Bijari: 2010, pp. 479-489). This step will be further called Step II. The influencing factors in Step II are: efficiency of every Boiler unit assumed as cost, the requirement of fuel and water that has been pre-identified – for Step II it is changed into stock factor; and maximum steam production capacity of every Boiler unit. A Vector of each factor above with variable and parameter explained previously shall be derived in the following.
There are ten components of cost factor with the following vector:
C=(c11, c12, c13, c14, c15, c21, c22, c23, c24, c25) (3)
There are ten components for steam production activity of Boiler unit having the following vector (Crone etal.: 2011, pp. 635-660):
Y=(Y11,Y12, Y13, Y14, Y15, Y21, Y22, Y23, Y24, Y25) (4)
The factor component related to capacity and stock is 1, 2 the fuel stock, which is for water stock,while 1, 2, 3, 4, 5 are the maximum steam production capacity of each Boiler unit. From thecomponents mentioned above, one vector 𝑭is derived:
𝑭=(Z1, Z2, , k1, m2, m3, m4, m5) (5)
Since Step II results in steam per metric ton, a conversion related to the stock of fuel and water is required(Kumar & Jha: 2013, pp. 19-25). Producing one metric ton of steam will require 1 MMSCFD gas fuel with its vector11, 12 , 13, 14 , 15 , or 2 kiloliter oil fuel with its vector21, 22, 23, 24, 25, or MC water.Below is the data table formed from each above factor:

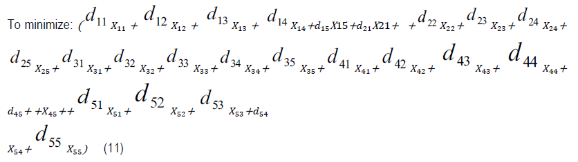
From the data Table, 2 above the following linear programming model can be formed (BIRĂU: 2014) To minimize:


The last step of the production line studied in this research is to find out the combination of an optimum electricity production activity of each Turbine. This step is further called Step III. The influencing factors, among others, are: turbine readiness efficiency to operate - assumed as a cost; steam production from Boiler that has been identified from Step II changed into a stock factor in Step III, and maximum electricity production capacity of each turbine unit. The following is the vector formed from each factor mentioned above with variable and parameter explained previously (Akintola et al.: 2011, pp. 467-476).
There are twenty-five efficiency components assumed as the cost with the following vector:

Factor components related to capacity and stock are;Y121, Y122, Y123, Y124 , Y125 as steam stock, and p1, p2, p3, p4, p5 as the maximum electricity production capacity of each Turbine unit. From capacity and stockfactors above, one vector 𝑽can be formed:

There are twenty-five components for electricity production activity of each turbine unit having the following vector:

Since Step II produces electricity in MW, there must be a conversion done related to the stock of steam, inwhich producing one MW of electricity requires a metric ton of steam with its vector q1, q2, q3, q4, q5. Withthe variable and parameter defined above, the model for this step can be formed into a data table. From thedata Table 2 can further be derived from a linear programming model as under ( Adhikari & Agrawal: 2013):


From the mathematical models of the three steps above, an optimum solution is obtained by first inputtingavailable data according to their variable and parameter (Richard et al.: 2014, pp. 60-64).
RESULTS
Data management
This part of the paper will discuss data management of all the data obtained with the assumption that the data in the following period remains the same (Benkachcha: 2015). However, if there are some changes in the data, they need to be reanalyzed. Based on on-demand data, the total electricity demand was 4,080,000 kWh. Since the model that will be formed needs electricity demand in MW, electricity demand, therefore, needs to be converted into MW first:

From equation (3.1) and (3.2) the following is obtained:

Thus, from (3.3) it is found out that electricity demand received by PT. KDLC in MW is 170 MW.Based on the data of electricity production and raw-water consumption, it is known that the total electricity production of all generators is 170 MW, and the consumption of raw-water is as much as 1,333 MC. Therefore, the conversion to obtain the amount of water required to produce one MW of electricity is:

Equation (3.4) shows it would need as much as 1,332.97 MC of water to produce 170 MW of electricity. It is known that one kiloliter of oil fuel or 1 MMSCFD of gas fuel can produce 3 MW of electricity. Thus, conversion of water use for one kiloliter of oil fuel or 1 MMSCFD of gas fuel can be obtained as under;

Hence, it is obtained = 23.523 MC of water/ one unit of fuel measurement
Based on the production capacity data, it is known that the maximum electricity production capacity of allTurbine Generator units is 400 MW. Therefore, the maximum amount of oil fuel and gas fuel is obtained as under:

For the cost of fuel consumption, it is assumed that the price of oil fuel is IDR 2,600,000.00 per kiloliter.Based on stock data and electricity tariff, the following can be derived:

It results in =676,000. Thus the cost of gas fuel consumption is as much as IDR 676,000.00 per MMSCFD.From the efficiency data of the Boiler unit and Turbine Generator, it is found out that each Boiler unit has differentefficiency. Such condition is closely related to the choice of Boiler unit in the production process. The choice is very much influenced by the readiness of a unit to operate. Efficiency is assumed as the operational cost of the unit used to produce one metric ton of steam. The higher the efficiency is, the less the cost to spend; and vice versa. The conversion can be obtained with the following calculation:

Numeral 100,000.00 above has been chosen with an assumption that if a unit has zero (0) efficiency, theoperational cost is IDR 100,000.00. From the equation above, a vector of Boiler unit usage cost with different fuels can be formed as a cost vector in rupiahs as under:

Related to the monthly average steam production data, a conversion can be derived to find out the amountof fuel required for the combustion process to produce one metric ton of steam as the following:

From equation (3.10) it is obtained that it will require 4.488 metric tons of steam to produce 1 MW ofelectricity. Since it has been identified that 1 MMSCFD of gas fuel or 1 kiloliter of oil fuel can produce 3 MW of electricity, therefore:

Equation (3.11) above shows that 0.074 of the fuel measurement unit will be required to produce one metric ton of steam. From equation (3.5) and (3.11), the following will determine the conversion to finf out the water required to produce one metric ton of steam:

Since efficiency data of each Turbine Generator unit available at the efficency data of Boiler and Turbine unit, the conversion for the operational cost of the unit used to produce one MW od electric can be made with the following calculation:

Numeral 1,000,000 above has been chosen with an assumption that if a Turbine Generator unit has 0efficiencies, the operational cost is as much as IDR 1,000,000.00. Therefore, from equation (25) the following cost vector can be formed:
RESULTS
Data management
This part of the paper will discuss data management of all the data obtained with the assumption that the data in the following period remains the same (Benkachcha: 2015). However, if there are some changes in the data, they need to be reanalyzed. Based on on-demand data, the total electricity demand was 4,080,000 kWh. Since the model that will be formed needs electricity demand in MW, electricity demand, therefore, needs to be converted into MW first:

From equation (3.1) and (3.2) the following is obtained:

Thus, from (3.3) it is found out that electricity demand received by PT. KDLC in MW is 170 MW.Based on the data of electricity production and raw-water consumption, it is known that the total electricity production of all generators is 170 MW, and the consumption of raw-water is as much as 1,333 MC. Therefore, the conversion to obtain the amount of water required to produce one MW of electricity is:

Equation (3.4) shows it would need as much as 1,332.97 MC of water to produce 170 MW of electricity. It is known that one kiloliter of oil fuel or 1 MMSCFD of gas fuel can produce 3 MW of electricity Thus, conversion of water use for one kiloliter of oil fuel or 1 MMSCFD of gas fuel can be obtained as under:

Hence, it is obtained = 23.523 MC of water/ one unit of fuel measurementBased on the production capacity data, it is known that the maximum electricity production capacity of all TurbineGenerator units is 400 MW. Therefore, the maximum amount of oil fuel and gas fuel is obtained as under:

For the cost of fuel consumption, it is assumed that the price of oil fuel is IDR 2,600,000.00 per kiloliter.Based on stock data and electricity tariff, the following can be derived:

It results in =676,000. Thus the cost of gas fuel consumption is as much as IDR 676,000.00 per MMSCFD.From the efficiency data of the Boiler unit and Turbine Generator, it is found out that each Boiler unit has differentefficiency. Such condition is closely related to the choice of Boiler unit in the production process. The choice is very much influenced by the readiness of a unit to operate. Efficiency is assumed as the operational cost of the unit used to produce one metric ton of steam. The higher the efficiency is, the less the cost to spend; and vice versa. The conversion can be obtained with the following calculation:

Numeral 100,000.00 above has been chosen with an assumption that if a unit has zero (0) efficiency, theoperational cost is IDR 100,000.00. From the equation above, a vector of Boiler unit usage cost with different fuels can be formed as a cost vector in rupiahs as under:

Related to the monthly average steam production data, a conversion can be derived to find out the amountof fuel required for the combustion process to produce one metric ton of steam as the following:

From equation (3.10) it is obtained that it will require 4.488 metric tons of steam to produce 1 MW ofelectricity. Since it has been identified that 1 MMSCFD of gas fuel or 1 kiloliter of oil fuel can produce 3 MW of electricity, therefore:

Equation (3.11) above shows that 0.074 of the fuel measurement unit will be required to produce one metric ton of steam. From equation (3.5) and (3.11), the following will determine the conversion to find out the water required to produce onr metric ton of steam:

Since efficiency data of each Turbine Generator unit available at the efficiency data of Boiler and Turbine unit, the conversion for the operational cost of the unit used to produce onr MW of electricity can be made with the following calculation:

Numeral 1,000,000 above has been chosen with an assumption that if a Turbine Generator unit has 0efficiencies, the operational cost is as much as IDR 1,000,000.00. Therefore, from equation (25) the following cost vector can be formed:

Data analysis
As explained previously, within the production line to generate electrical energy, this research has made three steps of the process for an easier solution. The results of the three steps carried out are:As the need of raw-water is known as much as 1,332.97 MC converted from demand as much as 170 MW, therefore, the first step is to find out an optimum combination of gas and oil fuel usage. The following will explain the Linear Programming model for Step I whereas the data are taken from equation (13) until (18):

An optimum solution is obtained by inputting the mathematical model of equation (3.15) and limit functionabove into the linear programming software module POM. From such data management it can be explained that the optimum combination of fuel consumption suggested by POM is 56,667 MMSCFD for gas fuel and 0 kiloliters for oil fuel; meanwhile, the total cost for fuel consumption is assume did 38,306,660.00. The result of Step I will be used in Step II that is to find out the combination of optimum steam production activity from the Boiler unit using gas fuel and oil fuel. The following explains the Linear Programming model for Step II whereas the data are taken from equation (3.7) until (3.13):

By inputting the mathematical model of equation (28) and limit function (29) above into linear programming software module POM, an optimum solution results as shown in Table 3. This table indicates that the combination of an optimum steam production activity in a metric ton of each Boiler unit by using gas and oil fuel suggested by POM is as under:

As can be seen in Table 3 the total productions are 350, 350 and 65.77 ton for steps II, III and V respectively. Also, the cost assumption is 12,288,000 IDR.
Step III of this model is to find out the combination of optimum electricity production activity of each Turbine Generator, using the raw-steam resulted from the combustion in the Boiler unit at Step II. The following explains the Linear Programming model for Step III in which the cost data come from equation (26):


An optimum solution to Step III is obtained by inputting the mathematical model of equation (30) and limit function (3.20) above into linear programming software module POM. Based on POM, the combination of an optimum electricity production activity in MW of each Turbine Generator can be seen in Table 4 below:

As can be seen in Table 4 the total Electricity productions are 80, 10.626 and 80 for steps II, III and IV respectively. Also, the cost assumption is 124,769,600 IDR.
From the data above, it can be determined that the need for raw material for each operating unit is, among others, as under:
1) Water and fuel need for each Boiler unit can be calculated using the following equation
2)

Numeral 1.74 and 0.074 above result from the conversion of equation (23) and (24).
3) The need of steam for each Turbine Generator unit can be determined using the following equation:
Steam need = Electricity production × 4.488 (34)
Numeral 4.488 above is obtained from the conversion of equation (22).From equation (33) until (34), it can be identified that the need for raw material for each unit can be seen in the following table:

As it can be seen in Table 5 the needs for raw water are 609, 609 and 114.44 MC for boiler unit II, III and V respectively. Also, needs for gas fuel are 25.9, 25.9 and 4.867 MMSCFD for boiler units II, III, and V respectively. The following schema (Figure 3) provides a better picture of an optimum generation path based on POM and the above data:

DISCUSSION
The data analyzed in this research were monthly average data, collected from PT. KDLC. Those included data of electricity demand, maximum operation capacity, raw material, and fuel stock, the maximum steam production capacity of each Boiler, the maximum capacity of the electricity produced by Turbine Generator, the mechanism of electrical energy generation done by PT. KDLC, as well as efficiency in every Boiler unit and Turbine Generator, assumed as cost.
This paper has applied a Linear Programming Model for the economic optimization of electrical energy generation at PT. KDLC. The discussion is closely related to the choice of Boiler unit operated in a production process that is influenced by the unit ready to operate. Efficiency is assumed as unit usage operational cost to produce one metric ton of steam
CONCLUSION
There are twenty-five efficiency components considered as cost factors. Based on cost factors, the combination of an optimum electricity production activity of each Turbine Generator, with Raw Steam, is further found out. According to data management using POM, the combination of an optimum electricity production activity in MW of each Turbine Generator can be seen in Table 4. Further, from the analysis, it is recognized that factors influencing the generation process at PT. KDLC is, among others: the demand factor, production capacity, the stock of raw water and fuel, operational cost, and efficiency of every unit. Based on the final result of this generation model, the need for raw material for each operating unit can be determined to maintain the supply of raw material and eventually to obtain an optimum electrical energy generation.
ACKNOWLEDGEMENT
The authors thank the Faculty of Mathematics and Natural Sciences, Padjajaran University, who have given the facilities to do the research and the publication through their academic leadership grant (ALG).
BIODATA
Sukono: Sukono (Member), was born in Ngawi, East Java, Indonesia on April 19, 1956. Master's in Actuarial Sciences at Institut Teknologi Bandung, Indonesia in 2000, and Ph.D. in Financial Mathematics at the Universitas Gajah Mada, Yogyakarta Indonesia in 2011. The current work is the Lecturer in the Masters Program in Mathematics, Faculty of Mathematics and Natural Sciences, Universitas Padjadjaran, Bandung Indonesia. The research is in the field of financial mathematics and actuarial science. Dr. Sukono is a member of the Indonesian Mathematical Society (IndoMS), a member of the Indonesian Operations Research Association (IORA), and in IAENG is a new member has been received in February 2016.
S Supian: Sudradjat Supian is a Professor in the Department of Mathematics, and Dean of Faculty of Mathematics and Natural Sciences, Universitas Padjadjaran, Bandung Indonesia. M.Sc in Industrial Engineering and Management at Institut Teknologi Bandung, Indonesia in (1989), and Ph.D. in Mathematics, University of Bucharest, Romania (2007). The research is in the field of operations research. Sudradjat Supian is a member of the Indonesian Mathematical Society (IndoMS), and President of the Indonesian Operations Research Association (IORA).
E Lesmana: Eman Lesmana is a lecturer at the Department of Mathematics, Faculty of Mathematics and Natural Sciences, Universitas Padjadjaran. He was born in Ciamis on July 9, 1961. He received a degree in mathematics from the Mathematics Study Program, Faculty of Mathematics and Natural Sciences, the University of Padjadjaran Bandung in 1986. He completed a master's program in Industrial Technology from the Bandung Institute of Technology in 1992. Since 1987 it has been a lecturer at Padjadjaran University, Bandung, Indonesia in the field of Applied Mathematics. He teaches in Operational Research, Forecasting, Inventory Control, Linear Programming, Optimization Models and Decision Theory.
J Saputra: Jumadil Saputra is a Ph.D. holder and works as a senior lecturer at the School of Social and Economic Development, Universiti Malaysia Terengganu, Malaysia. He was born in the year of 1985 in a small village of Aceh namely Lhokseumawe, Indonesia. He studied elementary school until senior high school in Aceh and completed his study in the year of 2003. His research areas are Economics (Microeconomics, Macroeconomics, and Economic Development), Econometrics, Islamic Banking and Finance, Risk and Insurance, Takaful i.e. financial economics (Islamic), mathematics and modeling of finance (Actuarial).
B.B Nugraha: Boy Bagja Nugraha, born in Bandung, February 22, 1984, is an alumnus of the Department of Mathematics, Faculty of Mathematics and Natural Sciences, Universitas Padjadjaran, Bandung, Indonesia, 2006. The research is in the field of Operations Research, Optimization, Mathematics, and Natural Sciences and has articles in this field.
A.T Bin Bon: Abdul Talib Bon is a professor of Production and Operations Management in the Faculty of Technology Management and Business at the Universiti Tun Hussein Onn Malaysia since 1999. He has a Ph.D. in Computer Science, which he obtained from the Universite de La Rochelle, France in the year 2008. His doctoral thesis was on topic Process Quality Improvement on Beltline Moulding Manufacturing. He studied Business Administration in the Universiti Kebangsaan Malaysia for which he was awarded the MBA in the year 1998. He’s a bachelor's degree and a diploma in Mechanical Engineering which he obtained from the Universiti Teknologi Malaysia. He received his postgraduate certificate in Mechatronics and Robotics from Carlisle, United Kingdom in 1997. He had published more 150 International Proceedings and International Journals and 8 books. He is a member of MSORSM, IIF, IEOM, IIE, INFORMS, TAM and MIM.
BIBLIOGRAPHY
ADHIKARI, R, & AGRAWAL, RK (2013). “A homogeneous ensemble of artificial neural networks for time series forecasting”. arXiv preprint arXiv:1302.6210.
AKINTOLA, KG, ALESE, BK & THOMPSON, AF (2011). “Time series forecasting with neural network: A case study of stock prices of intercontinental bank Nigeria”. IJRRAS, 3, pp. 467-472.
AHMAD, I., & AHMAD, S. (2019). The Mediation Effect of Strategic Planning on The Relationship Between Business Skills and Firm’s Performance: Evidence from Medium Enterprises in Punjab, Pakistan. Opcion, 35(24), 746-778.
BAGHERI, M, SOLTANI, A & TORKI, L (2014). “Identifying rational speculative bubbles in Tehran stock exchange total index using Neural Network”. Applied Mathematics and Engineering Management and Technology, 2(3), pp. 151-157.
BENKACHCHA, S, BENHRA, J & EL HASSANI, H (2015). “Seasonal time series forecasting models based on artificial neural network”. International Journal of Computer Applications, 116(20).
BIRĂU, FR (2014). “Forecasting financial time series based on Artificial Neural Networks”. IMPACT: International Journal of Research in Business Management (IMPACT: IJRBM), ISSN (E).
CRONE, SF, HIBON, M & NIKOLOPOULOS, K (2011). “Advances in forecasting with neural networks? Empirical evidence from the NN3 competition on time series prediction”. International Journal of forecasting, 27(3), pp. 635-660.
DONATE, JP, LI, X, SANCHEZ, GG & DE MIGUEL, AS (2013). “Time series forecasting by evolving artificial neural networks with genetic algorithms, differential evolution, and estimation of distribution algorithm”. Neural Computing and Applications, 22(1), pp. 11-20
DUDEK, G (2015). “Generalized regression neural network for forecasting time series with multiple seasonal cycles”. In Intelligent Systems' 2014, pp. 839-846. Springer, Cham.
EFREMENKO, D., ERMOLAEVA, P., & YANITSKY, O. N. (2019). On Sociobiotechnical Systems. Voprosy filosofii, (5), pp.138-147.
HUSNUTDINOV, DH, SAGDIEVA, RK, SAYFULINA, FS, GATIN, RG & TIMERKHANOV AA (2019).“Phraseological units in the tatar language containing the component of can (Küñel) (SOUL)”, Xlinguae, 12(2), pp. 41-50.
KHASHEI, M & BIJARI, M (2010). “An artificial neural network (p, d, q) model for time series forecasting”. Expert Systems with Applications, 37(1), pp. 479-489.
KUMAR, N & JHA, GK (2013). “A time series ann approach for weather forecasting”. Int J Control Theory Comput Model (IJCTCM), 3(1), pp. 19-25.
LIU, N, BABUSHKIN, V & AFSHARI, A (2014). “Short-term forecasting of temperature is driven electricity load using time series and neural network model”. Journal of Clean Energy Technologies, 2(4), pp. 327-331.
RICHARD, K, ANTHONY, W & ANTHONY, W (2014). “Artificial Neural Network Application in Modelling Revenue Returns from Mobile Payment Services in Kenya”. American Journal of Theoretical and Applied Statistics, 3(3), pp. 60-64.