Artículos
Enseñanza en el análisis de señales aleatorias usando correlación y sus aplicaciones
Teaching in the Analysis of Random Signals Using Correlation and its Applications
Enseñanza en el análisis de señales aleatorias usando correlación y sus aplicaciones
Utopía y Praxis Latinoamericana, vol. 25, núm. Esp.3, pp. 190-200, 2020
Universidad del Zulia
Recepción: 20 Mayo 2020
Aprobación: 25 Junio 2020
Resumen: Este artículo consiste básicamente en definir que es, mencionar y explicar las aplicaciones de la correlación y auto correlación. Utilizando las herramientas brindadas por Matlab se pretende aplicar todos estos conceptos de correlación a una señal que pudiese ser aleatoria, y hacer un algoritmo que evalúe todo el comportamiento de la señal elegida. Se pretende dar información acerca de las aplicaciones en distintas áreas de la ciencia, la ingeniería, la estadística y la medicina.
Palabras clave: Correlación, autocorrelación, Convolución, Señales Aleatorias y Coeficiente de Correlación..
Abstract: This article basically consists of defining what it is, mentioning and explaining the applications of correlation and self-correlation. Using the tools provided by Matlab, it´s intend to apply all these correlation concepts to a signal that could be random, and make an algorithm that evaluates the behavior of the chosen signal. It is intended to give information about applications in different areas of science, engineering, statistics and medicine.
Keywords: Correlation, Auto Correlation, Convolution, Random Signals, Correlation Coefficient..
INTRODUCCIÓN
El termino correlación ha despertado en los últimos tiempos un gran interés tanto en la comunidad científica como matemática, existiendo en la actualidad gran número de grupos de investigación de todas las universidades del mundo que trabajan en este campo. La razón fundamental de su éxito radica en la sencillez conceptual y moderada complejidad frente a las indudables mejoras que proporciona frente a otras ciencias123. Esta comunicación presenta los resultados obtenidos en el análisis de distintas señales que permiten recuperar y comparar información de otro proceso o señal, lo cual es muy útil en aplicaciones de la ciencia y la medicina moderna45. En todos los casos se demuestra la potencialidad de dicha técnica que permite resolver, gracias a la flexibilidad de los parámetros de diseño, los problemas que van apareciendo en la implementación de reconstrucción y comparación de datos. Es de gran interés resaltar que esta metodología aproxima de una manera muy sustancial los resultados que se predicen en simulación con los obtenidos con las señales reales.
Cálculos
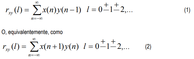
Teniendo dos secuencias reales x(n) e y(n), ambas de energía finita. La correlación cruzada de es la secuencia , que se define como6

El índice l es el parámetro de desplazamiento o retardo en el tiempo y los subíndices xy de la secuencia de auto correlación rxy (l) indican las señales que han sido correlacionadas7. El orden de los subíndices, con x precediendo a y indica la dirección en que una secuencia es desplazada con respecto a la otra. Es decir, la secuencia x(n) no se desplaza y la secuencia y(n) se desplaza l muestras hacia la derecha si l es positivo y l muestras hacia la izquierda si l es negativo. De forma análoga en (2) la secuencia y(n) no se desplaza y lo hace la secuencia x(n) muestras hacia la izquierda si l es positivo y l hacia la derecha si l es negativo. Desplazar x(n) l muestras hacia la izquierda con relación a y(n) es equivalente a desplazar y(n) muestras hacia la derecha con relación a x(n) de aquí que (1) y (2) produzcan idéntica secuencias de correlación cruzada.
Si se invierten los papeles de x(n) e y(n) en (1) y (2) y, por tanto, se invierte también el orden de lossubíndices xy, se obtiene la secuencia de correlación cruzada


Comparando (1) con (4) o (2) con (3), se concluye que
rxy (l) = ryx (-l) (5)
Por tanto ryx (l) es simplemente la versión reflejada de rxy (l) , donde la reflexión se hace con respecto a l =0. De aquí, que ryx (l) proporcione exactamente la misma información que rxy (l) , con respecto a la similitud x(n) e y(n).
Las similitudes entre el cálculo de la correlación cruzada y la convolución de dos secuencias son evidentes.
En el cálculo de la convolución, una de las señales se refleja, se desplaza y entonces se multiplica por la otra secuencia; finalmente se suman todos los valores de la secuencia producto. Con excepción de la operación de reflexión, el cálculo de la correlación cruzada supone exactamente las mismas operaciones: el desplazamiento de una de las secuencias, multiplicación de ambas y suma de todos los términos de la secuencia producto.
En definitiva, si se tiene un programa para el cálculo de la convolución, se puede utilizar para obtener la correlación cruzada proporcionando como entrada x(n) y la secuencia reflejada y (-n). Así, la convolución de x(n) con y(-n) entrega la correlación cruzada rxy (l) , esto es,
rxy (l) = x(l) * y(-l) (6)
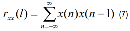
En el caso especial de qué y(n)=x(n), se tiene la auto correlación de x(n), que se define como la secuencia

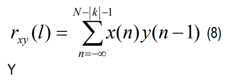
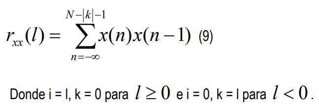
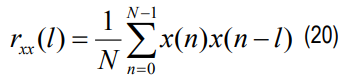
Al tratar con señales de duración finita es costumbre expresar tanto la auto correlación como la correlación cruzada mediante sumatorios finitos. En particular, si x(n) e y(n) son secuencias causales de longitud N (es decir, x(n) = y(n) = 0 para n < 0 y ), la auto correlación y la correlación cruzada pueden expresarse como


Propiedades de las secuencias de correlación cruzada
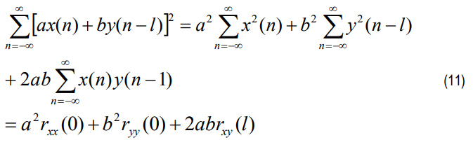
Las secuencias de correlación cruzada tienen varias propiedades importantes, que se presentan a continuación. Para desarrollar dichas propiedades se considera que se tienen dos secuencias x(n) e y(n) de energía finita que se combinan linealmente para obtener8

Donde a y b son constantes arbitrarias y l es un desplazamiento en el tiempo. La energía de esta señal es

En primer lugar, se observa que rxx (0) = Ex y ryy (0) Ey , que son las energías de x(n) e y(n), respectivamente.
Considerando

Ahora, suponiendo que b = 0 se puede dividir (12) por b2 para obtener

Considerando esto como una ecuación cuadrática de coeficiente rxx (0) , 2rxy (l) y ryy (0) .Dado que siempre es no negativa, el discriminante debe ser no positivo, es decir,

Por lo tanto, la correlación cruzada verifica que

En el caso especial de qué y(n) = x(n), (16) se reduce a

Esto significa que la auto correlación es una secuencia que alcanza su valor máximo para el retardo cero. Este resultado es consistente con el hecho de que una señal se adapta consigo misma para un retardo cero. En el caso de la correlación cruzada (15) constituye una cota superior de sus posibles valores.
Se observa que una o las dos secuencias implicadas en el cálculo de la correlación cruzada se escala, la forma de la correlación no cambia, simplemente se produce un escalado de la misma de acuerdo con el escalado realizado sobre las secuencias originales. Así, pues, el escalado carece de importancia, y es a menudo conveniente, en la práctica, normalizar las secuencias de auto correlación y correlación cruzada al rango entre -1 y 1.
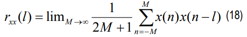
Correlación de secuencias periódicas
Es para señales de potencia.
Sean x(n) e y(n) dos señales de potencia. Su correlación cruzada se define como

Si x(n)=y(n), se tiene la definición de la correlación de una señal de potencia en concreto.

En concreto, si x(n) e y(n) son dos secuencias periódicas, cada una de periodo N, los promedios sobre el intervalo infinito indicados en (17) y (18) son iguales a los promedios sobre un único intervalo, de manera que(17) y (18) se reducen a


Está claro que rxy (l) y rxx (l) son secuencias de correlación periódicas con periodo N, el factor 1/N puede considerarse un factor de escala.
Cálculo de la correlación
Como ya se había indicado, el procedimiento para obtener la correlación entre dos secuencias x(n) e y(n) implica desplazar de una de las secuencias, por ejemplo x(n), para obtener x(n-1), multiplicar esta secuencia desplazada para obtener la secuencia producto y(n) x(n-1) y entonces sumar todos los valores de la secuenciaproducto para obtenerrxy (l). Este procedimiento se repite para los distintos valores del retardo l Conexcepción de la operación de la operación de reflexión que se realiza en la convolución, las operaciones necesarias para el cálculo de la correlación son las mismas que las necesarias para el cálculo de la convolución.
El procedimiento para el cálculo de la convolución es directamente aplicable al cálculo de la correlación. Por lo tanto, si se refleja y(n), y entonces se realiza la convolución entre x(n) con y(-n) se obtiene la correlación cruzada entre x(n) e y(n). Esto es,

Como consecuencia, el procedimiento descrito para el cálculo de la convolución se aplica directamente para el cálculo de la correlación.
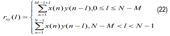
Se describe ahora un algoritmo, fácil de programar, para el cálculo de la correlación cruzada de dos secuencias de duración finita x(n), 0 < n < N -1 e y(n), 0 < n < M - 1.
El algoritmo calcula rxy (l) para retardos positivos. De acuerdo con rxy (-l) = ryx (l) los valores rxy (l)para valores negativos del retardo se pueden obtener usando el mismo algoritmo que para valores positivos del retardo e intercambiamos los papeles de x(n) e y(n).
Se observa que sí M < N , rxy (l) puede calcularse mediante las relaciones

Por otra parte, si M > N, la correlación cruzada se obtiene según

Las fórmulas (22) y (23) pueden ser combinadas por un algoritmo.
Intercambiando los papeles de x(n) e y(n) y recalculando la correlación cruzada, se obtiene rxy (l) correspondientes a valores negativos de retardo l . Para calcular la auto correlación r (l) , se hace y(n) = x(n) y M = N en la ecuación (23). El cálculo de r (l) se puede hacer mediante el mismo algoritmo para valorespositivos del retardo solamente.

EJEMPLOS GRÁFICOS
Se puede graficar la correlación entre las dos variables a través de una gráfica de dos ejes (abscisas y ordenadas) cartesianos.
En el siguiente gráfico se observa la correlación entre potencia de motor de un automóvil y consumo en Litros por cada 100 Km. El r = 0.87 (correlación positiva). (SPSS). Evidentemente a mayor potencia se observa mayor consumo de combustible. El valor de significación para ese r es de una p < 0.01. Esto quiere decir que la correlación entre potencia y consumo no es aleatoria9.

En el siguiente gráfico se encuentra la relación existente entre peso del automóvil en Kg. Y aceleración 0 a 100 Km. / hora en segundos. El r = - 0.56 con una p < 0.05. Esto significa que existe una correlación negativa significativa, entre peso del auto y respuesta de la aceleración. Automóviles más pesados presentan una respuesta más tardía y viceversa. (SPSS)

APLICACIONES
La correlación brinda diversas e importantes aplicaciones en distintos campos10.En concreto, suponiendo que se tienen dos secuencias x(n) e y(n) que se desean comparar. En radar y sonar, por ejemplo, x(n) puede representar muestras de señal que se transmiten e y(n) muestras de señal que se reciben a la salida del conversor analógico – digital (A / D). Si existe un blanco en el espacio explorado por el radar o sonar la señal recibida y(n) es una señal retardada de la señal transmitida, reflejada por el blanco y corrompida por el ruido aditivo. Se puede representar la secuencia recibida como

Donde (a) es un factor de atenuación que contiene las perdidas debidas al trayecto de ida y vuelta recorrido por la señal x(n), D es el retardo debido al trayecto de ida y vuelta y se supone que es un múltiplo entero del intervalo de muestreo, y w(n) representa el ruido aditivo captado por la antena y cualquier otra componente de ruido generada por los componentes electrónicos y los amplificadores del receptor. Por otra parte, si no existe ningún blanco en el espacio explorado por el radar o el sonar, la señal recibida constara únicamente de ruido.
Teniendo las dos secuencias, x(n), que se denomina señal de referencia o señal transmitida e y(n), la señal recibida, el problema radar o sonar consiste en determinar si existe algún blanco comparando x(n) con y(n) y si es así determinar el retardo en el tiempo D y a partir de él la distancia a la que se encuentra el blanco. En la practica la señal x (n – D) se encuentra fuertemente corrompida por ruido, de manera que la observación visual de y(n) no permite determinar la presencia o ausencia de un blanco. La correlación proporciona una forma de extraer esta información de y(n).
Otra de las áreas en la que la correlación se usa con frecuencia es la de las comunicaciones digitales. En comunicaciones digitales la información que se va a transmitir de un punto a otro se convierte a forma binaria, es decir se transforma en una secuencia de unos y ceros que es transmitida hacia el receptor. Para transmitirun 0 se puede enviar una secuencia x0 (n) para.....0 < n < L -1 y para transmitir un 1 la secuencia x1 (n) para.....0 < n < L -1, donde L es un entero que indica el número x0 (n) para.....0 < n < L -1 o de muestras en cada una de las dos secuencias. Muy a menudo, se selecciona x1 (n) como el valor negativo de x0 (n) La señal recibida por el receptor se puede presentar como
y(n) = xi (n) + w(n) i=0,1 0 < n < L -1
Donde, lo que se debe determinar es si x (n) o x (n) la señal contenida en y(n), y w(n) representa el ruido aditivo y otras interferencias propias de cualquier sistema de comunicación. Otra vez parte del ruido tiene su origen en los distintos componentes del receptor. En cualquier caso, el receptor conoce las dos posiblessecuencias transmitidasx0 (n) y x1 (n) y su tarea consiste en compararlas con la señal recibida y(n) paradeterminar cuál de las dos se parece más a ésta.
RESULTADOS
Como el objetivo principal del artículo es observar el comportamiento de las señales de una forma cualitativa se emplea un entorno de simulación MATLAB en donde el código consiste en unos pasos en los cuales se preguntaran los datos iniciales en algunos casos y se crean unos archivos con códigos de distintos tipos de variables, que en su defecto tienen unas características estadísticas o matemáticas que el usuario podrá variar como por ejemplo la media, la varianza, los intervalos y el número de datos y luego se hallarán los parámetros para efectuar la correlación y auto correlación mediante distintos algoritmos y por último se llevará esto a un entorno GUI.

Variables aleatorias
En este submenú se elige el tipo de señal que se desea aplicar la auto correlación estadística o temporal y se determina el número de muestras. Y se puede observar la curva y espectro discreto característico de la señal predeterminada

Auto correlación
En este submenú se calcula la auto correlación estadística y temporal de la señal predeterminada en el primer submenú de variables aleatorias.

Correlación
En este submenú se calcula la correlación a partir de matrices o vectores que ingrese el usuario. Pretende además facilitar la relación entre el usuario y Matlab y ayuda a corroborar la fortaleza matemática utilizada, los comandos que se incluyeron son fáciles de manejar.

CONCLUSIONES
En el desarrollo del artículo como del algoritmo, permitió evidenciar que en el ámbito de los sistemas y señales existen diferentes temas importantes a estudiar y a desarrollar como el caso de la correlación y la auto correlación. A partir de muestreos, señales y algoritmos, es posible recuperar y obtener información muy valiosa que permite dar aplicaciones específicas en recuperación de datos estadísticos, matemáticos y médicos.
Un aspecto importante de este artículo ha sido la caracterización de señales y sistemas. La correlación de señales discretas juega un papel muy importante en el procesamiento de señales, especialmente en aplicaciones relacionadas con las comunicaciones digitales. En este artículo se tuvieron en cuenta algunos parámetros estadísticos para el muestreo y obtención de las señales para tener una mejor aproximación a la ideal. Estos parámetros fueron utilizados para evaluar el ruido en las señales y de esta manera observar de una manera exacta el comportamiento de la señal. En el área de la salud, la correlación de señales es importante para corroborar las variables fisiológicas que puedan ser comparables.
BIODATA
Andrés HERNANDEZ MARULANDA: Recibió el título de ingeniero electrónico en 2005 en La Universidad Pontificia Bolivariana y el grado de PhD en 2018 en la misma institución. Profesor de ingeniería en la Universidad San Buenaventura en Medellín y sus temas de interés son procesamiento de señales, modelado y simulación y métodos numéricos.
Nelson ESCOBAR MORA: Ingeniero Mecánico y Magister en Ingeniería, docente investigador con más de 15 años de experiencia en temas de Ingeniería Biomédica y en especial de educación ya que en la actualidad me desempeño desde 2009 como Coordinador Académico de la Especialización en Ingeniería Biomédica y de la Ruta de Formación en Bioingeniería de la Maestría en Ingeniería de la Universidad Pontificia Bolivariana. Grupo de Investigaciones en Bioingeniería.
Horderlin ROBLES VEGA: Ingeniero en Control electrónico e instrumentación de la Universidad Distrital Francisco José de Caldas en Bogotá - Colombia, Especialista en Bioingeniería de Universidad Distrital, Magister en Ingeniería Biomédica de la Facultad de Ingeniería de la Universidad Nacional de Entre Ríos, en Paraná Argentina. Director de Investigaciones de la Universidad del Sinú Elías Bechara Zainum de la ciudad de Montería Córdoba. Mis áreas de interés son: instrumentación electrónica y biomédica, sistemas de control, procesamiento de señales e imágenes biomédicas. Además, diseño digital con microcontroladores y PFGAs. Grupo de Investigación GNOCIX.
BIBLIOGRAFÍA
BANFI, F. y FERRINI, G. (2012) Wavelet correlación cruzada y análisis de fase de un voladizo libre sometido a excitación de banda. Beilstein J. Nanotechnol. 3, 294–300. doi: 10.3762 / bjnano.3.33
ELALI, T S. (2004). Discrete Systems and Digital Signal Processing with Matlab®. Boca Raton: CRC Press.
MANOLAKIS D. (2013) "Applied digital signal proccesing", Edit Cambridge University Press
PODOBNIK B, JIANG Zhi-Qiang, ZHOU Wei-Xing y STANLEY H. E. (2011) Pruebas estadísticas para procesos de correlación cruzada de ley de poder. Phys. Rev. E 84 , 066118
PROAKIS J. (2018) "Tratamiento digital de señales", Edit Prentice hall
PROAKIS J, SALEHI M (2007) Digital Communications, Edición: 5, McGraw-Hill Education, ISBN- 10: 0072957166; ISBN-13: 978-0072957167
PROAKIS, JG and MANOLAKIS, DG (1996). Digital Signal processing. Principles, Algorithms and Applications. Third edition. Prentice Hall.
SMITH S W. (2002). Procesamiento de señal digital: una guía práctica para ingenieros y científicos ISBN 0- 7506-7444-X Newnes.
SMITH. S W. (1997). The Scientist & Engineer's Guide to Digital Signal Processing, 1st Edition ISBN-13: 978- 0966017632; ISBN-10: 0966017633
STEIN J, (2010)"Digital signal proccesing: A computer science Perspective", Edit Wiley
STEWART, R.W. and M.W. Hoffman. (1998) Digital Signal Processing, An “A” to “Z”, BlueBox Multimedia.
WEEKS, M. (2007). Digital Signal Processing Using Matlab ® and Wavelets. Hingham (Boston): InfinityScience Press,
YUAN N. et al. (2015) “Detrended Partial-Cross-Correlation Analysis: A New Method for Analyzing Correlations in Complex System", Scientific reports, 1-7
Notas