Artículos
Power, Strength and Endurance of Volleyball Athlete Among Different Competition Levels
Poder, fuerza y resistencia del atleta de voleibol entre los diferentes niveles de competencia.
Power, Strength and Endurance of Volleyball Athlete Among Different Competition Levels
Utopía y Praxis Latinoamericana, vol. 25, no. Esp.10, pp. 15-23, 2020
Universidad del Zulia

Received: 25 August 2020
Accepted: 28 October 2020
Abstract: Volleyball games require good motor skills and cardiorespiratory skills. Power, strength and endurance become very influential factors in performance and winning the match. This study aims to compare the power, strength and endurance of volleyball athlete among different levels of competition. The explosive power of the leg was measured by a vertical jump test, while explosive power of the arm was measured by a medic ball throw test; multistage fitness test was used to measure aerobic endurance capacities. We concluded that elite athlete, both senior and junior, have many differences from local athletes based on power, strength and endurance.
Keywords: Endurance, power, strength, volleyball..
Resumen: Los juegos de voleibol requieren buenas habilidades motoras y habilidades cardiorrespiratorias. El poder, la fuerza y la resistencia se convierten en factores muy influyentes en el rendimiento y en ganar el partido. Este estudio tiene como objetivo comparar el poder, la fuerza y la resistencia del atleta de voleibol entre los diferentes niveles de competencia. El poder explosivo de la pierna se midió mediante una prueba de saltos verticales, mientras que el poder explosivo del brazo se midió mediante una prueba medica de lanzamiento de balón; es decir, la prueba de condición física multietapa fue utilizada para medir las capacidades de resistencia aeróbica. Concluimos que los atletas de élite, tanto senior como junior, tienen muchas diferencias en comparación con los atletas locales en función de su potencia, fuerza y resistencia.
Palabras clave: Fuerza, poder, resistencia, voleibol..
INTRODUCTION
Performance of athlete depends on motoric skills, regular training, motivation and physiological factors. Motoric skills are factors that determine the athlete’s performance and achievement in the volleyball game. Serve, pass, spike, block, and dig require good motoric skills so that it can be done perfectly. Spike is a characteristic technic of volleyball requires a complex skill involved many components of the movement, technical, and muscular qualities. A scientific and rational training method was the key for the athletes to improve spike skill (Tang: 2013). A study showed that spike performance of high-level volleyball athlete was influenced by some specific strength and physical characteristics (Forthomme et al.: 2005).
Muscle power was defined as the product of force and velocity. Muscle power was influenced by exercise, age, and gender (Alcazar et al.: 2018). Vertical jump test as a simple indirect measure of leg power, while the power of arm was tested by medicinal ball throw. Jumping is a fundamental movement pattern to volleyball. Volleyball players who have higher vertical jump score have better performance (Ziv & Lidor: 2010) because vertical jumping abilities improved the height of spike jump (Sheppard et al.: 2008). Vertical jump and spike jump height was different between volleyball player in different levels of play (Yusuke et al.: 2018; Villalobos et al.: 2018; Ahmad & Ahmad: 2019; Rincón et al.: 2019; Annía et al.: 2019). The higher vertical jump ability increases volleyball player successfully to contact the ball at the highest point and then hitting the ball to strike it past the net.
Strength (strength) is the maximum effort that can be issued by a muscle to overcome pressure. Volleyball games involved almost all muscles that play the same importance (Sattler et al.: 2015). Strength of arm muscled are very important in volleyball games. Strength of arm is one factor that used to predict the quality of volleyball players (Ahmad & Ahmad: 2018, pp. 44-49; Grgantov et al.: 2013, pp.61-68). The strength of handgrip correlated with the strength of spike, the stronger hand-grip, the stronger ball hits were produced (Koley & Kaur: 2011).
Endurance is all about the level of cardiorespiratory fitness. Aerobic endurance is how efficiently the body can transport oxygen to where it needed during exercise. The maximal oxygen consumption (VO2max) has been considered by the World Health Organization as the single best indicator of cardiorespiratory fitness. Volleyball game with a relay point system allows the game to last for quite a long time. Cardiorespiratory capacity is very influential in maintaining performance throughout the game (Ahmad & Sahar: 2019). Players with a better cardiorespiratory capacity will be able to maintain their performance and increased opportunity to win. Athletes who compete in different levels of competition face off against opponents who have equal ability or performance. This research aims to describe the power, strength and endurance of volleyball athlete based on their level of competition.
METHODS
Participants
A total of thirty-seven volleyball athletes involved in this research. They were senior elite athlete, junior elite athlete and local athlete. Senior athletes were recruited from Central Java volleyball team. Junior elite was recruited from Central Java Student team, and local athlete was recruited from district volleyball club. All participants were exam their health status before the test and signed the agreement as a volunteer.
Strength test
The variable of strength included left-hand grip and right, upper arm strength pulls and push, and leg strength. The strength was examined by handgrip dynamometer, pull and push dynamometer and leg dynamometer. Each athlete exam the test for three chances, and the highest score was recorded.
Power test
The variable of power for volleyball athlete was explosive power of arm and explosive power of the lower leg. The explosive power of arm was examined by medicinal ball throw test. Athlete throws the 5 kg medicinal ball for three chances, and the longest distance was recorded. The explosive of the lower leg was exam by vertical jump test.
Endurance test
The endurance capacity was measurement by Multistage Fitness Test. Athletes conducted warm-up before the test for about five minutes. The test was conducted by running continuously between two points that are 20 m apart from side to side. Athlete runs allowed the pre-recorded audio from computer software, which plays beeps at set certain intervals. The interval of beeps increased from the level to the next level. The athletes must increase their speed to keep in sync with the beeping rhythm. When the athlete being tested did not make the next interval, the most recent level they completed is their final score. VO2max was predicted by the beep test calculator.
RESULTS
Characteristics of participants
The anthropometric variable had been measured, presenting in Table 1. The junior elite was the youngest, and senior elite athlete was the oldest. The senior elite as high as the junior elite, but they have higher body mass index value.

Strength
Muscle strength static was measured by a dynamometer. Senior elites showed the highest scores in left and right-hand grip, pull, push and leg strength test. The junior elite showed the lowest strength of the right- hand and left-hand grip, while junior elite showed the lowest in the pull, push and leg strength test. (Figure 1).

Power
Medicinal ball throw test appearance the explosive power of upper arm muscle. The upper arm muscle power was the difference between a senior elite athlete and the other one (p=0.000), while no difference power between junior elite and local athlete (p=337). The explosive power of the lower leg was measured by vertical jump test. In opposite with the upper arm explosive power, the lower leg explosive power was not the difference between senior elite junior elite and local athlete (p=0.126). Although the vertical jump value not different between groups but all the values were excellent category.

Endurance
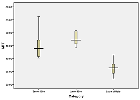
The multistage fitness test is a test for measuring the aerobic capacity or oxygen consumption. Aerobic capacity of the athlete was showed how long they run to allow the rhythm. The level and shuttle their reach were converted to VO2max. The highest VO2max level was a junior elite athlete that reaches 47.76 ml/kg/min, followed by senior elite athlete 45.54 ml/kg/min, and the lowest was a local athlete (36.48 ml/kg/min). There was no different of endurance between senior and junior elite athlete, but they were different from the local athlete. (figure 2).

DISCUSSION
Explosive power is crucial to optimal volleyball player’s performance. Spike and serve were technical of the game that was determined by the explosive power of arm and wrist. Arm power was key to increasing the velocity of the spike (Yulanda & Sepdanius: 2019). Some training strategy is effective improving explosive power of the upper arm such as plyometric exercise (Vassil & Bazanovk: 2012, pp.34-40; Pereira et al.: 2015). The senior elite has experienced more than the junior and local athlete. Senior elite athlete train harder to reach their level competition.
The vertical jump is influenced by many factors, including the type and dose of exercise (Martinez: 2017). Strength and conditioning programs that emphasize plyometric training appeared increasing of vertical jump performance. The combination of plyometric exercises and some other types of jump exercises such as squat jump, depth jump, one-step jump and countermovement jump more effective increasing vertical jump performance (Waller et al.: 2013). High-velocity resistance exercise with low external resistance improved muscle power and physical performance (Kieran et al.: 2015). The senior elite athlete has a higher body mass index that can be affected to vertical jumps and resulted in the higher vertical jump than a junior athlete and local athlete. Vertical jump was influenced not only by the explosive power of leg but also by body mass index.
Muscle strength is influenced by muscle size or muscle mass. Muscle can experience a change in sizecalled hypertrophy through regular exercise in a long period. The regular and programmed exercise which done continuously potentially increase the muscle strength. Endurance training influences the increase in the number of muscle fibres and muscle strength (Kazior: 2016). Consumption of protein in an athlete's diet affected the increase in athlete's muscle strength because protein provides material for the process of muscle hypertrophy so that the size becomes larger (Lowery et al.: 2012). Muscle strength decreases allowed the age, muscle strength in male begins to decline at the age of 20 years (Stoll et al.: 2000).
We also found that the right-hand grip was stronger than the left. The previous study showed a similar result; the muscles of the right side were always stronger than those of the left side (Stoll et al.: 2000). It is understood because all athletes were right-handed, so the left extremities are less muscularly developed in right-handed people, i.e. they are weaker and worst coordinated.
Endurance is the ability of the cardiorespiratory system to maintain aerobic exercise. Cardiorespiratory fitness depends on many factors such as age, gender, lifestyle, hereditary conditions and how much exercise (Hoeger et al.: 2017). It is also affected by weight, body mass index, physical activity and several other clinical factors are related to cardiorespiratory capacity (Lakoski et al.: 2011; Ramos et al.: 2012) Cardiorespiratory endurance usually at its best from the late teens to thirties and then naturally declines with age. VO2max decreases by about 1 percent every year, starting at age 25. In the fact that junior elite reach the best values may be influenced by age.
Endurance can be trained and improved through regular and programmed exercise. Targeted and regular endurance training gives the optimal performance of a volleyball player. High-intensity endurance training increases the aerobic capacity of athletes. The similar dose and type of training between senior and junior athlete may cause the non-different of multistage fitness. Both of senior elite athlete and junior elite have a cardiorespiratory fitness similar to the average of volleyball athlete (Milenković et al.: 2013), (Taware et al.: 2013).
This study limited on the result of the once time test, and we have not data their physical exercised and their recovery before the test. We also have not data about the intake food. It is established that carbohydrate intake influenced the source of energy during a long time exercise. Optimal glycogen stores will typically postpone fatigue and extend the duration of steady-state exercise and improve performance over a set distance or workload (Jeukendrup et al.: 2003). Increasing the carbohydrate intake after a restriction period may enhance acute strength performance, muscular endurance, and hypertrophy (Cholewa et al.: 2019).
CONCLUSION
Volleyball elite athlete needed physical pre-condition are supported by the techniques and strategies of the volleyball game. Power and strength muscle, especially upper and lower extremity, were important to the result of serve, pass, spike and block. The high capacity of aerobic ensures the availability of oxygen and energy to maintain performance during long matches. The difference level of competition forcing the athlete to enhance their ability in preparation for a balanced match. This research concluded that elite and non-elite athlete were different based on muscle strength, muscle arm power and aerobic endurance.
Acknowledgements
This research was supported by Research Division Universitas Negeri Semarang with the letter of contract number 188.13.5/UN37/PPK.3.1/2019.
BIODATA
N NASUKA: She is a PhD holder in the field of Sport Science. She was born in Kendal, September 16, 1959. Became a lecturer in the Sports Coaching Study Program at the Faculty of Sport Science, Universitas Negeri Semarang since 1985. Graduated from the Airlangga University Health Sport Study Program in 2000. Completed his S3 in Sport Education from Semarang State University in 2015. Conducted 15 research projects, wrote one reference book and several textbooks, and published in several national journals. Publications in international journals indexed by Scopus.
A SETIOWATI: She is a PhD holder in the field of Sport Science. She was born in Sleman, July 11, 1983. Has been a lecturer in Public Health, Faculty of Sport Science, Universitas Negeri Semarang since 2008. Graduated from Gajah Mada University doctor program in 2007 and Masters in Public Health Sciences from the same University in 2013. Conducted 7 research projects both in the public sector health or collaborating with sports. Publications in several accredited national and Scopus indexed journals.
F INDRAWATI: She is a PhD holder in the field of Health Sport Science. She was born in Semarang on April 13, 1977. Graduated from the Diponegoro University in 2003 and a Masters in Nutrition at Diponegoro University in 2013. Has been a lecturer in the Science of Sport study program since 2005. Conducted several sports and nutrition studies, and wrote in the Sinta indexed national and publication in Scopus indexed journals.
BIBLIOGRAPHY
AHMAD, I., & AHMAD, S. (2018). “Multiple Skills and Medium Enterprises’ Performance in Punjab Pakistan: A Pilot Study”. Journal of Social Sciences Research, 7(4), 44-49.
AHMAD, I., & AHMAD, S. (2019). “The Mediation Effect of Strategic Planning on The Relationship Between Business Skills and Firm’s Performance: Evidence from Medium Enterprises in Punjab, Pakistan”. Opcion, 35(24), 746-778.
AHMAD, I., SAHAR. (2019). “Waste Management Analysis From Economic Environment Sustainability Perspective”. International Journal Of Scientific & Technology Research 8(12), 1540-1543.
ALCAZAR, J, GUADALUPE-GRAU, A, GARCÍA-GARCÍA, FJ & ALEGRE, LM (2018). “Skeletal Muscle PowerMeasurement in Older People: A Systematic Review of Testing Protocols and Adverse Events”. The Journals of Gerontology: Series A, 73 (7), pp.914–924, https://doi.org/10.1093/gerona/glx216.
ANNÍA GONZÁLEZ, M., VILLALOBOS ANTÚNEZ, J., RAMÍREZ MOLINA, R & RAMOS MARTÍNEZ, Y (2019).“Capacidades dinámicas frente a la incertidumbre: una mirada desde la gestión universitaria”. Revista Venezolana de Gerencia (RVG), 24(88), pp. 1357-1372.
CHOLEWA, JM, NEWMIRE, DE & ZANCHI, NE (2019). “Carbohydrate restriction: Friend or foe of resistance- based exercise performance?” Nutrition, 60(12), pp.136–146.
FORTHOMME, B, CROISIER, J, CICCARONE, G, CRIELAARD, J & CLOES, M (2005). “Factors CorrelatedWith Volleyball Spike Velocity”. The American Journal of Sports Medicine, 33(10), pp.1513-19. DOI: 10.1177/0363546505274935
GRGANTOV, Z, MILIĆ, M & KATIĆ, R (2013). “Identification of explosive power factors as predictors of player quality in young female volleyball players”. Cell Antropol, 37(2), pp.61-68.
HOEGER, WK, HOEGER, SA, HOEGER, CI & FAWSON, AI (2017). “Lifetime Physical Fitness and Wellness: A Personalized Program”. 14th Ed. Boston: Cengage Learning.
JEUKENDRUP, AE (2003). “High-carbohydrate versus high-fat diets in endurance sports”. Sportmedizin und Sporttraumatologie, 51(1), pp.17–23.
KAZIOR, Z, WILLIS, SJ, MOBERG, M, APRÓ, W, CALBET, JAL & HOLMBERG, HC (2016). “EnduranceExercise Enhances the Effect of Strength Training on Muscle Fiber Size and Protein Expression of Akt and mTOR”. PLoS ONE, 11(2).
KIERAN, F, KIMBERLY, I, GHEORGHE, D, DAVID, J, CYNTHIA, H, CAROLYNN, P, EDWARD, M, PHILLIPS,WR & FRONTERA, RA (2015). “Comparative Effects of Light or Heavy Resistance Power Training for Improving Lower Extremity Power and Physical Performance in Mobility-Limited Older Adults”. The Journals of Gerontology: Series A, 70(3): pp.374–380, https://doi.org/10.1093/gerona/glu156.
KOLEY, S & KAUR, SP (2011). “Correlations of Handgrip Strength with Selected Hand-Arm-Anthropometric Variables in Indian Inter-university Female Volleyball Players”. Asian Journal of Sports Medicine, 2(4), pp.220- 226.
LAKOSKI, SG, BARLOW, CE, FARRELL, SW, BERRY, JD, MARROW, JR & HASKELL, WL (2011). “Impactof body mass index, physical activity, and other clinical factors on cardiorespiratory fitness (from the Cooper Center Longitudinal Study)”. The American Journal of Cardiology, pp.34-39. https://www.ncbi.nlm.nih.gov/pubmed/21529738.
LOWERY, L, EDEL, JF& MCBRIDE, IM (2012). “Dietary Protein and Strength Athletes”. Journal of Strength& Conditioning Research, 34(4).
MARTINEZ, DB (2017). “Consideration for Power and Capacity in Volleyball Vertical Jump Performance”. Strength and Conditioning Journal.
MILENKOVIĆ, V, VITOŠEVIĆ, B, VIDAKOVIĆ, HM, NEDIN, GR & RANKOVI, J (2013). “Values of aerobiccapacity in handball and volleyball players”. Acta Medica Medianae, 52(4).
PEREIRA, A, COSTA, AM, SANTOS, P, FIGUEIREDO, T & PAULO VICENTE JOÃO (2015). “Trainingstrategy of explosive strength in young female volleyball players”. Medicina 5(1), pp.126 –131.
RAMOS, PS, RICARDO, DR & ARAÚJO, CGS (2012). “Cardiorespiratory Optimal Point: a Submaximal Variable of the Cardiopulmonary Exercise Testing”. Arq Bras Cardiol, 99(5), pp.988-996.
RINCÓN, Y; SUKIER, H; CONTRERAS, J & RAMÍREZ MOLINA, R (2019). “Responsible CommunicationStrategies for Small and Medium-Sized Enterprises”. Opción. Revista de Ciencias Humanas y Sociales, 35(89-2), pp. 1208-1234.
SATTLER, T, HADŽIĆ, V, DERVIŠEVIĆ, E & MARKOVIC, C (2015). “Vertical Jump Performance of Professional Male and Female Volleyball Players: Effects of Playing Position and Competition Level”. J Strength Cond Res. 29(6), pp.1486-93. doi: 10.1519/JSC.0000000000000781.
SHEPPARD, JM, CRONIN, JB, GABBETT, TJ, MCGURGAN, MR, ERXERARIA, N & NEWTON (2008).“Relative importance of strength, power, and anthropometric measures to jump performance of elite volleyball players”. J Strength Cond Res, 22(3), pp.758–765.
STOLL, T, HUBER, E, SEIFERT, B, MICHEL, BA & STUCKI, G (2000). “Maximal Isometric Muscle Strength: Normative Values and Gender-Specific Relation to Age”. Clin Rheumatol, 2(19), pp.105–113. https://www.ncbi.nlm.nih.gov/pubmed/10791620.
TANG, D (2013). “A Study of Key Technical Factors of Volleyball Spike Based on the Biomechanical Analysis”. Information Technology Journal, 12(19), pp.5166-5171. DOI: 10.3923/itj.2013.5166.5171
TAWARE, GB, BHUTKAR, MV & SURDI, AD (2013). “A Profile of Fitness Parameters and Performance of Volleyball Players”. JKIMSU, 2(2), pp.49-59.
VASSIL, K & BAZANOVK, B (2012). “The Effect of Plyometric Training Program on Young Volleyball Players in Their Usual Training Period”. Journal of Human Sport and Exercise, 7(12), pp.34-40.
VILLALOBOS ANTÚNEZ, JOSÉ VICENTE & GANGA CONTRERAS, FRANCISCO (2018). “Tecnoempresa yTecnocimiento: Una Perspectiva desde la Bioética Empresarial”. Revista Fronteiras: Journal of Social, Technological and Environmental Science. Vol. 7, No. 3: 214-230. Unievangélica Centro Universitario, (Brasil).
WALLER, M, GERSICK, M & HOLMAN, D (2013). “Various Jump Training Styles for Improvement of Vertical Jump Performance”. Strength and Conditioning Journal, 25(1), pp.82-89.
YULANDA, N & SEPDANIUS, E (2019). “Contribution of Explosive Power of Arm Muscles And Flexibility to Smash Ability of PB”. Semen Padang Athletes. Jurnal Stamina, 2(2), pp.40-49. https://doi.org/10.24036/jst.v2i2.173.
YUSUKE, I, YUSUKE, S & RENA, H (2018). “Factors Influencing Spike Jump Height in Female College Volleyball Players”. The Journal of Strength & Conditioning Research: January, 32 (1), pp.267-273. doi: 10.1519/JSC.000000000000219.
ZIV, G & LIDOR, R (2010). “Vertical jump in female and male volleyball players: a review of observational and experimental studies”. Scand J Med Sci Sports, 20(4), pp.556-67. doi: 10.1111/j.1600-0838.2009.01083.x. https://onlinelibrary.wiley.com/journal/16000838.