Artículos
Heuristic Strategies of Self-Regulated Learning in University Students
Estrategias heurísticas para el aprendizaje autorregulado en estudiantes universitarios
Heuristic Strategies of Self-Regulated Learning in University Students
Utopía y Praxis Latinoamericana, vol. 25, no. Esp.11, pp. 386-397, 2020
Universidad del Zulia

Received: 08 August 2020
Accepted: 18 October 2020
Abstract: The research starts from the objective of demonstrating, whether the application of heuristic strategies strengthens self- regulated learning in students of the National University of Cañete. The research belongs to the applied type and explanatory level, with a pre-experimental design, for the sample, 343 students from the Professional School of Systems Engineering were taken probabilistically. The main results show us that self-regulated learning has improved by 16.17%, then in its components learning to learn by 12.19%, in the domain of specific learning by 18.42%, and in the use of computer resources 17.90%. Then, it is concluded with the Wilcoxon test with a p-value: (0.000 <0.050) considers that the application of heuristic strategies has favorably and significantly strengthened the self-regulated learning of the students of the National University of Cañete.
Keywords: Heuristic strategy, self-regulated learning, learning to learn, specific learning, use of computer resources..
Resumen: El estudio parte del objetivo de demostrar si la aplicación de las estrategias heurísticas fortalece el aprendizaje autorregulado en los estudiantes de la Universidad Nacional de Cañete. La investigación, pertenece al tipo aplicada y nivel explicativo, con diseño pre-experimental; la muestra probabilística se tomó a 343 estudiantes de la Escuela Profesional de Ing. de Sistemas. Los principales resultados dan cuenta que ha mejorado en un 16,17% el aprendizaje autorregulado; luego sus componentes aprender a aprender en un 12,19%, en el dominio de un aprendizaje específico un 18,42%, y en el uso de recursos informáticos un 17,90%. Se concluye con la prueba de Wilcoxon con un valor-p: (0.000<0.050) considerando que la aplicación de las estrategias heurísticas han fortalecido favorable y significativamente el aprendizaje autorregulado de los estudiantes de la Universidad Nacional de Cañete.
Palabras clave: Estrategia heurística, aprendizaje autorregulado, aprender a aprender, aprendizaje específico, uso de recursos informáticos..
INTRODUCTION
The importance of self-regulated learning in the professional training of the systems engineer, currently it is of special interest to university professionals. Currently, there are large projects that seek to systematize, consolidate and develop different didactic strategies; including those focused on cooperative learning, problem-based learning, project-based learning and specifically heuristic strategies (Díaz and Hernández, 2002). Heuristic strategies deserve special attention, since their purpose is to awaken in the student the need to learn to learn; as well as focus on domain-specific learning making use of the information resources and technological, competencies that every university student should develop and master, in order to successfully face the new demands of the emerging occupational market.
Regarding the concept of competence, it is a combined, coordinated and integrated set of knowledge, procedures and attitudes; in the sense that the person has to know, know how to do, know how to be and know how to be in relation to what professional practice implies (Tejada and Ruiz, 2016). Mastering these knowledge makes people able to act effectively in professional situations Also, according to Steffens (2006) it is understood as the set of knowledge, skills and attitudes necessary to perform a certain task. In this sense, in the field of university academic learning; reference can be made to competencies related to how to find and organize information in order to generate knowledge, those that refer to how to apply it to specific situations, and those related to communication and collaboration.
In our daily work, where study is by necessity, an activity that occurs throughout life, people require effectiveness and efficiency to self-regulate. This control includes that they monitor and /or supervise their own cognitive, behavioral and affective progress; and from there, they make strategic decisions to ensure productive results in the short and medium term. So that university education has a relevant role in the ability of professionals to learn continuously and independently. It is necessary to enable the competences to know, know how to do, know how to be and know how to be sustained (Tejada and Ruiz, 2016; Villalobos and Ramírez, 2018).
Today, a significant amount of research is available on the subject of self-regulation of learning; they show many contributions in the form of proposals and applications (Schunk and Zimmerman, 2008), measurement instruments (De la Fuente and Martínez, 2008) and development in formal (Cardelle-Elawar and Sanz, 2010) and informal contexts (Symeou, 2006). Although, it is a term that has different nuances depending on the context; it can be affirmed that self-regulated learning is an active cognitive process in which students establish the objectives that direct their learning, and try to supervise (look out or monitor) and regulate their cognitions, motivations and behaviors with the intention of achieving these objectives (Williams and Hellman, 2004). Therefore, self-regulation includes the putting into action of a series of thought and behavior strategies that we group as dispositional, cognitive and metacognitive, which enable the person to produce or build their knowledge in its broad sense.
Thus, everyone is able to regulate their motivation, in order to learn to learn, knows the knowledge and skills that each one possesses, knows what they must do to learn to learn, and can monitor their study behaviors and adjust them to the learning demands; in addition of being able to intentionally regulate the entire process (Pintrich, 2000). What characterizes students as self-regulators of their learning is not so much the isolated use of strategies, but their own personal initiative, their perseverance in the task and the competencies exhibited, regardless of the context in which the learning occurs (Rosário et al., 2005). The profile of the students and main analysis models according to (Karabenick, 2003; Martínez Priego et al., 2015; Torrano and González-Torres, 2004; Zimmerman, 2008) are articulated in the following features:
In general, didactic strategies are based on the idea that self-regulation of learning is a skill that is acquired through different stages, processes and specific activities that students develop during their learning experiences (Panadero and Alonso-Tapia, 2014).
Such didactic strategies consider several essential elements for their achievement, through theirobjectives:
The most common didactic strategies that can be observed in most of the programs that have been carried out in recent decades for the development of self-regulation learning strategies conceive learning as a permanent construction model that it can generally be grouped between active and reflective.
Heuristic didactic strategies are general resolution processes and decision rules used to solve problems, based on the previous experience of the subjects of education. These strategies indicate the routes or possible approaches to follow to reach a solution.
According to Torres, (2013) establishes that heuristic instruction presupposes the knowledge and conscious use of three fundamental types of heuristic resources: auxiliary heuristic means, heuristic procedures and the heuristic program in general. Here, we emphasize the use of heuristic procedures, which constitute mental resources of constant search that allow obtaining the solution path during the process of solving a problem.
In this regard, Jungk (1981) classified these heuristic procedures into heuristic principles, rules and strategies. The heuristic principles are suggestions for finding directly the main solution idea of resolution; makes it possible to determine, therefore, the means and the solution path, within these heuristic principles are identified: analogy, reduction and induction (Müller, 1997). Heuristic rules act as general impulses within the search process and help to find, especially, the means to solve problems in self-regulation of learning.
In this sense, students enter the university with very little prior knowledge and few skills to develop and enhance their learning, in the specific case of the National University of Cañete; this phenomenon is perceived, so it is urgent to use heuristic strategies to strengthen self-regulation of the learning of the students of the professional school of Systems Engineering.
Finally, the research questions of this research are: What are the effects of heuristic strategies instrengthening self-regulated learning in students of the National University of Cañete del Peru?
For which the following research objective has been defined to demonstrate the effects of heuristic strategies in strengthening self-regulated learning in students of the National University of Cañete del Peru.
DEVELOPMENT
The research belongs to the quantitative approach, applied type and explanatory level, the research made use of the general scientific method and the specific experimental, statistical and hypothetical deductive methods (Kerlinger, and Lee, 2002). Observation, survey and psychometric techniques were used, in addition to the field work, ethical criteria such as informed consent were taken into account.
METHODOLOGY
Design and participants
The type of research was methodologically applied and the design that was included in this research was the pre-experimental one (Kerlinger and Lee, 2002).GE: 01 X 02
Where: GE: Experimental group
O1: Pre-test application
O2: Post-test application
X: Manipulation of the Independent Variable
The population under study in this work was comprised of 1705 students from the five Professional Schools of the National University of Cañete. The sampling was non-probabilistic and consisted of 54 students from the Professional School of Systems Engineering of the National University of Cañete.
Instruments:
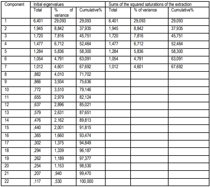
The instruments (entry test and exit test) were designed and elaborated, the same ones that previously had the criteria of reliability and validity, prior to their application. The Principal Component Analysis method forms a linear combination of the observed variables. The first principal component is the combination that accounts for the largest amount of the variance in the sample. The second principal component responds to the following amount of variance, immediately lower than the first and is not correlated with the first. Values greater than 20% in the first component express uniqueness of components in the dimension, from this greater to the greater value, greater degree of uniqueness.

The result of the test shows us that only one component or factor is capable of explaining 29.093% of the total variance of the variable measured by this instrument. The total, also known as the principal value or eigen value, is equal to 6,401. This result indicates that all the items of the instrument are intended to measure a single dimension, that is to say that there is uniqueness of the instrument. Consequently, the research instrument to measure self-regulated learning has excellent construct validity because the items that compose it are closely linked (Feuerstein, Rand, Hoffman, and Miller, 1980).

The measure of sample adequacy of the Kaiser - Meyer - Olkin test is 0.672, being greater than 0.5; It is stated that the value is regular; consequently, the analysis of the items of this variable can be continued, that is, the sample is adjusted tightly to the size of the instrument. The Bartlett sphericity test measures the association between the items of a single dimension, it determines if the items are associated with each other, with a significance that must be less than 0.05. In the case presented, the significance is 0.000, rejecting the null hypothesis, so it is concluded that the correlation of the matrix is not an identity correlation. That is, the items are associated towards the measurement of a single identity.
The Commonality method allows us to extract the proportion of variance explained by the factors of eachitem, small values indicate that the item studied should not be taken into account for the final analysis. Commonality expresses the part of each variable (its variability) that can be explained by the factors common to all of them, that is, those that we consider as part of the study dimension (Feuerstein, Rand, Hoffman, and Miller, 1980).

It can be seen that all the items have values well above 0.4; indicating that the good level of group quality can be inferred within each factor (Feuerstein, Rand, Hoffman, and Miller, 1980).
Procedures:
For the development of the research, the design and elaboration of the intervention program called heuristic didactic strategies were methodologically planned in July 2019, for which 17 basic learning sessions were developed to consolidate the self-regulated learning of the students, which were applied in the period 2019-II, after that, the statistical analysis was carried out and the final report of the research was drafted, including the scientific article.
RESULTS
Descriptive characteristics
Next, the results of the application of the entrance test to the 54 students of the Professional School of Systems Engineering of the National University of Cañete are presented, which are displayed in the following table.

From table 4, it can be deduced that before applying the intervention program heuristic strategies on self- regulated learning in the students of the Professional School of Systems Engineering of the National University of Cañete in the pre-test, there were 33 students representing 61.11% were at the good level, then 18 students which is 33.33% at the regular level, then there were two students with 3.70% at the deficient level and a single student who is 1.85 % at very good level. As can be seen, the highest level is at the regular level, which as Malinowski (2018) mentions is not normal in Latin American university students, but what is sought is that it can be improved since it is about young university students of engineering and They require being at the forefront of the use of learning-to-learn strategies, learning the specific area that would be the profession and making use of computer resources that is a potential of the students of this career. Next, the results of the application of the post-test to the 54 students of the Professional School of Systems Engineering of the National University of Cañete are presented, after the application of the Heuristic Strategy, which are displayed in the following table.

From table 5, it can be deduced that after applying the Heuristic Strategies intervention program in the 54 students of the study sample in the post-test, it is found that 31 students representing 57.41% were at the good level, then 16 students which is 29.63% at the regular level, seven students which is 12.96% at the very good level. As can be seen, the highest level is at the good level, which, as Malinowski (2018) himself mentions, is good, since in this way they are being prepared and trained so that they are able to regulate their own learning and emotions.

From Table 6, it can be deduced that the discriminant analysis shows the differences that exist in percentage terms and means, the differences obtained before and after the application of the intervention program on self-regulated learning. In the learning to learn dimensions there is an improvement of 12.19%, in the domain of a specific area 18.42%, which is where the best scores have been obtained, then in the use of computer resources component there is 17.90%; The same happens in the difference of means in the main variable and the standard deviation, which in all cases is homogeneous.
Now, the process that allows to carry out the hypothesis contrast requires certain methodological procedures, which have been able to verify the proposals of various authors and each of them with their respective characteristics and peculiarities, which is why it was necessary to decide on one of the them to be applied in research. However, regarding the general hypothesis test, the Wilcoxon test was used.

Statement of hypotheses
Null hypothesis: Ho: The application of the heuristic strategy does not significantly strengthen the self- regulated learning of the students of the National University of Cañete.
Alternative hypothesis: H1: The application of the heuristic strategy significantly strengthens the self-regulated learning of the students of the National University of Cañete.
Level of significance or risk: α = 0.05.
Statistical decision: Since (p-value: 0.000 <0.010), consequently, the null hypothesis (Ho) is rejected and the alternative hypothesis (Hi) is accepted.
Statistical conclusion: It is concluded that the application of the heuristic strategy has significantly strengthened the self-regulated learning of the students of the National University of Cañete.
From this point of view, as can be demonstrated, self-regulated learning has received increasing attention in recent decades, insofar as its promotion to students enables not only better academic results, but also greater autonomy and motivation. A clear leading role in their learning process and a necessary capacity to transfer to different situations (Torrano, Fuentes, & Soria, 2017). In a similar way, this also happened in our study sample, the students developed the competence and gradually they have managed to improve their autonomy through self-regulation by 16.17%.
Likewise, according to Díaz, Pérez, González-Pienda, and Núñez, (2017) new information and communication technologies (ICT) allow teachers and students to benefit from the advantages of novel learning environments, which is ratified by (Durán et al., 2015; Kok, 2008) and adjust higher education to the characteristics of the new millennium without affecting its social objectives and purposes of the context.
It is also important to mention that heuristic strategies entail a high interaction between students and the teacher, which obviously favors a better level of communication between these subjects of education. The study also showed that there were statistically significant differences between the two moments of data collection, which has allowed the development of autonomous learning and with it, the decision-making.
For López, and Hederich, (2010) the research provides empirical evidence on the importance of designing and implementing a mixed scaffolding in hypermedia environments that facilitates self-regulation processes in learning, through which students are able to structure a learning plan, to monitor their achievements, to adjust study strategies and to maintain motivation during the learning process. Precisely this happened in the students of the National University of Cañete, where many skills and learning capacities have been strengthened autonomy and self-regulation, thereby promoting subsequent significant learning (Ausubel, 1984).
CONCLUSIONS
BIODATA
Dulio OSEDA GAGO: Bachelor of Education in the specialty of Mathematics and Physics, and Computer and Systems Engineer at the Los Andes del Perú Peruvian University, he has an MBA in Business Administration from the Camilo de Cela University of Madrid-Spain, Doctor in Educational Sciences and Doctor in Educational and Tutorial Psychology from the National University of Education of Peru, Doctor in Engineering Systems from the National University of the Center of Peru, Ph.D. in Business Administration - USA. He is a Principal Professor at the National University of Cañete del Peru and a Research Professor at the National University of San Marcos, an international lecturer at the OIICE and a Renacyt - Concytec researcher. E-mail: doseda@undc.edu.pe; dosedag@gmail.com; ORCID ID: https://orcid.org/0000-0002-3136-6094. Scholar Google: Dulio Oseda Gago.
Ruth Katherine MENDIVEL GERONIMO: Bachelor of Education from the National University of Huancavelica, Master of Education Administration and Doctor of Education from César Vallejo University. She is an Associate professor at the National University Mayor de San Marcos and a contracted professor at the National University of Cañete and the National University of Huancavelica, an International Lecturer at the OIICE. E-mail: rmendivel@undc.edu.pe, ruthk15_28@hotmail.com, ORCID ID: https://orcid.org/0000-0002- 3147-2655
Javier Pedro FLORES AROCUTIPA: Commercial Engineer, Lawyer and Economist from the José Carlos Mariátegui University, Magister in Agrarian Development Magister in Educational Technology. Master in Public Management. PhD in Political Science from the AIU. Doctor in Economics from the Inca Garcilaso de la Vega University, Doctor in Social Sciences from the San Agustín University of Arequipa. Doctor in Education and Administration from the Alas Peruanas University. Principal Professor of the José Carlos Mariátegui University. E-mail: pflores@ujcm.edu.pe; ORCID: https://orcid.org/0000-0003-0784-4153
Julio Cesar LUJAN MINAYA: He has a degree in Business Administration from the Andean University Néstor Cáceres Velásquez, a degree in Education from the Alas Peruanas University. Doctor of Administration from Alas Peruanas University. Principal Professor at the Andean University Néstor Cáceres Velásquez and professor at the José Carlos Mariátegui University. E-mail: jlujan@ujcm.edu.pe, ORCID: https://orcid.org/0000-0003-3752-824X
BIBLIOGRAPHY
AUSUBEL, D. (1984) Psicología educativa: un punto de vista cognitivo (2a ed.). (Educational Psychology: A Cognitive View, Trad.) Mexico: Trillas.
CARDELLE-ELAWAR, M., y SANZ, M. (2010), Looking at Teacher Identity through Self-Regulation. Psicothema, 22(2), 293-298.
DE LA FUENTE, J. y MARTÍNEZ, J. (2008), Scales for Interactive Assessment of the Teaching-Learning Process (IATLP). Almería: Education & Psychology I+D+i, e-Publishing Series.
DÍAZ, A., PÉREZ, M. V., GONZÁLEZ-PIENDA, J. A. NÚÑEZ, J. A. y ALMEIDA, A. (2000), Descripción yevaluación de programas de enriquecimiento cognitivo [Description and evaluation of cognitive enrichment programs]. Psykhe, 9(1), 91-105.
DÍAZ, A., PÉREZ, M.V., GONZÁLEZ-PIENDA, J. A. NÚÑEZ, J. C. (2017) Impacto de un entrenamiento en aprendizaje autorregulado en estudiantes universitarios [Impact of a training in self-regulated learning in university students]. Perfiles Educativos [Educational Profiles], XXXIX(157), 87-104.
DÍAZ, F., y HERNÁNDEZ, C. (2002). Estrategias docentes para un aprendizaje significativo [Teaching strategies for meaningful learning]. Mexico: Mc Graw Hill.
DURÁN, R., ESTAY-NICULCARB, C. y ÁLVAREZ, H. (2015), Adopción de buenas prácticas en la educación virtual en la educación superior [Adoption of good practices in virtual education in higher education.]. Aula Abierta, 43(2), 77-86.
FEUERSTEIN, R., RAND, Y., HOFFMAN, M. B. y MILLER, R. (1980), Instrumental Enrichment: Anintervention program for cognitive modifiability. Baltimore: University Park Press.
JUNGK, W. (1981). Conferencias sobre metodología de la enseñanza de la matemática 2 [Lectures on methodology of teaching mathematics 2]. Second part. La Habana: Pueblo y Educación.
KARABENICK, S. A. (2003), Seeking Help in Large College Classes: A person-centered approach, Contemporary Educational Psychology, 28(1), 37-58.
KERLINGER, H. y LEE, H. (2002) Investigación del comportamiento [Behavioral research]. Mexico: Interamericana S.A.
KOK, A. (2008), An Online Social Constructivist Tool: A secondary school experience in the developing world. Turkish Online Journal of Distance Education-TOJDE, 9(3), 87-98.
LÓPEZ, O., y HEDERICH, C. (2010) Efecto de un andamiaje para facilitar el aprendizaje autorregulado en ambientes hipermedia [Effect of a scaffolding to facilitate self-regulated learning in hypermedia environments]. Revista Colombiana de Educación [Colombian Journal of Education], 58, pp. 14-39.
MALINOWSKI, L. (2018) Habilidades sociales blandas. Modelos y casos [Soft social skills. Models and cases.]. Mexico DF: Mc Graw Hill.
MARTÍNEZ-PRIEGO, C., NOCITO, G. y CIESIELKIEWICZ, M. (2015), Blogs as a Tool for the Development of Self-Regulated Learning Skills: A project, American Journal of Educational Research, 3(1), 38-42.
MÜLLER, M. A. (1997). Estrategia metodológica de carácter heurístico para el estudio de las relaciones de medidas geométricas: El caso de áreas y perímetros [Heuristic methodological strategy for the study of geometric measurement relationships: The case of areas and perimeters]. Premisa 14(55), 20-31.
PANADERO, E. y ALONSO-TAPIA, J. (2014b), Teorías de autorregulación educativa: una comparación y reflexión teórica. Psicología Educativa [Theories of educational self-regulation: a comparison and theoretical reflection], 20(1), 11-22.
PINTRICH, P. (2000), Multiple Goals, Multiple Pathways: The role of goal orientation in selfregulated learning and achievement. Journal of Educational Review, 92(3), 544-555
ROSÁRIO, P., GONZÁLEZ-PIENDA, J. NÚÑEZ. J. C. y MOURÃO, R. (2005), Mejora del proceso de estudio y aprendizaje mediante la promoción de los procesos de autorregulación en estudiantes de enseñanza primaria y secundaria [Improvement of the study and learning process by promoting self-regulation processes in primary and secondary school students]. Revista de Psicología y Educación [Journal of Psychology and Education], 1(2), 51-68.
SCHUNK, D., y ZIMMERMAN, B. (2008), Motivation and Self-Regulated Learning: Theory, research, and applications. New Jersey: LEA.
STEFFENS, K. (2006), Self-Regulated Learning in Technology-Enhanced Learning Enviroments: Lessons of a European peer review, European Journal of Education, vol. 41(3-4), 353-379.
SYMEOU, L. (2006), Past and Present in the Notion of School-Family Collaboration. Aula Abierta, 85(1), 165- 184.
TEJADA, J., y RUIZ, C. (2016) Evaluación de competencias profesionales en educación superior: retos e implicaciones. Educación [Evaluation of professional competences in higher education: challenges and implications. Education]. 21(1) pp. 17-38
TORRANO, F., FUENTES, J. L. y SORIA, M. (2017) Aprendizaje autorregulado: estado de la cuestión y retos psicopedagógicos [Self-regulated learning: state of the art and psycho-pedagogical challenges.]. Perfiles Educativos [Educational Profiles], XXXIX(156), 160-173.
TORRANO, F., FUENTES, L., y SORIA, M. (2017), Una aproximación al aprendizaje autorregulado en alumnos de educación secundaria [An approach to self-regulated learning in secondary school students]. Contextos Educativos [Educational Contexts], Vol. extra 1, 97-115.
TORRANO, F., y GONZÁLEZ-TORRES, M. C. (2004), El aprendizaje autorregulado: presente y futuro de la investigación [Self-regulated learning: present and future of research]. Revista Electrónica de Investigación Psicoeducativa [Electronic Journal of Psychoeducational Research], 2(3), 1-34.
TORRES, P. (2013). La instrucción heurística en la formación de profesores de Matemáticas [Heuristic instruction in the training of mathematics teachers]. En Dolores, C., García, M., Hernández, J. A., Sosa, L. (Eds.). Matemática Educativa: La formación de profesores [Educational Mathematics: Teacher training] (205- 221).
VILLALOBOS ANTÚNEZ, J y RAMÍREZ MOLINA, R (2018). El derecho a la autobiografía: dimensión ius- filosófica desde la perspectiva de H. Arendt y P. Ricoeur. Opción. Revista de Ciencias Humanas y Sociales, 34(18), pp. 1012-1587.
WILLIAMS, P., y HELLMAN, C. (2004), Differences in Self-Regulation for Online Learning between First and Second Generation College Students. Research in Higher Education, 45(1), 71-82.
ZIMMERMAN, B. J. (2008), Investigating SelfRegulation and Motivation: Historical background, methodological developments, and future prospects. American Educational Research Journal, 44(1), 166- 183.