Artículos
Eficiencia y productividad de las políticas de empleo en la Eurozona
Efficiency and Productivity Employment Policies in Eurozone
Eficiencia y productividad de las políticas de empleo en la Eurozona
Revista de Ciencias Sociales (Ve), vol. XXII, núm. 1, pp. 11-25, 2016
Universidad del Zulia

Recepción: 02 Mayo 2015
Aprobación: 26 Febrero 2016
Resumen: Una de las principales consecuencias de la actual crisis económica mundial, en particular en la Unión Europea, es el incremento de los desempleados. Ante esta coyuntura, comienzan a ser relevantes las investigaciones relacionadas con la evaluación de las inversiones públicas en políticas que conlleven a la creación y/o mejora de las condiciones de acceso al empleo en los países miembros. Este artículo tiene como objetivo la estimación de la eficiencia y los cambios en la productividad impulsada por las políticas de empleo, activas y pasivas, de los 18 países de la Eurozona, en el periodo 2006-2010, empleando para ello el Análisis Envolvente de Datos – DEA- y el Índice de Productividad de Malmquist. Los resultados arrojan que sólo 5 de los 18 países -Austria, Chipre, Estonia, Malta y Países Bajos- alcanzan la eficiencia en el periodo considerado. Cabe destacar, sin embargo, un leve incremento en la productividad la cual obedece, principalmente, a una variación positiva de la eficiencia. En general, los países de la Eurozona no han realizado una asignación eficiente de los recursos destinados a financiar las políticas de empleo, por ello se recomienda seguir reajustando sus políticas, para así continuar incrementando tanto sus niveles de eficiencia como de productividad.
Palabras clave: Eficiencia, productividad, políticas de empleo, análisis envolvente de datos, índice de productividad de Malmquist.
Abstract: One of the main consequences of the current global economic crisis, particularly in the European Union, is the increase in the number of unemployed. At this juncture, begin to be more relevant research related to the evaluation of public policies conducive to investment in the creation and / or improvement of the conditions of access to employment in the member countries. This article has as its central objective the estimation of efficiency and productivity changes-by reference to the Employment Rate-of employment policies, active and passive, of the 18 countries of the Euro Zone, in the period 2006 -2010, using for this the data Envelopment Analysis-DEA and Malmquist Productivity Index. The results show that only 5 of the 18 countries-Austria, Cyprus, Estonia, Malta and the Netherlands- reach the efficiency in the period considered. Notably, however, a slight increase in productivity which is mainly due to a positive change in efficiency. Overall, the countries of the Euro Zone have not done an efficient allocation of resources to finance employment policies, so it is recommended to keep readjusting its policies so as to continue to increase both their efficiency and productivity.
Keywords: Efficiency, productivity, employment policies, data envelopment analysis, Malmquist productivity index.
Introducción
En la literatura sobre el mercado de trabajo se utiliza, tradicionalmente, la clasificación establecida por la Organización de Cooperación al Desarrollo Económico -OCDE- según la cual las políticas de empleo se dividen en dos grandes grupos: las políticas activas y las políticas pasivas (Ramos, et al., 2010). Las políticas pasivas de empleo -PPE- cubren la asistencia económica a los desempleados durante un período de tiempo y revisten generalmente la forma de prestaciones por desempleo o jubilaciones anticipadas (Katz & Meyer, 1990; Samaniego, 2002).
Por su parte, las políticas activas de empleo -PAE- están constituidas por un conjunto de programas de intermediación, formación y fomento del empleo dirigidos hacia la adecuación de la oferta y la demanda de trabajo (Ruesga & Da Silva, 2002; Fernández, et al., 2002; Fernández & Algarra, 2000; Layard, et al., 2005). En el seno de la Unión Europea, la financiación de las PAE se realiza, en gran medida, a partir del denominado Fondo Social Europeo, definiéndose, a través del reglamento 1784/99, un sistema de distribución de recursos financieros entre los distintos países miembros, siguiendo criterios basados en su riqueza relativa.
En este artículo se considera imprescindible, de cara a la optimización de las inversiones en políticas de empleo de los países de la Zona Euro, incorporar criterios de eficiencia en el procedimiento de reparto de las mismas, y ésta es la justificación prioritaria de la determinación del tema como objeto de investigación. Cabe destacar que son poco numerosos los estudios sobre evaluación de la eficiencia de las políticas públicas de empleo (Blázquez & Herrarte, 2012). No obstante, algunas investigaciones desarrolladas en las últimas décadas han propuesto la utilización de diversas herramientas metodológicas a aplicar sobre los datos empíricos que se han ido publicando. Sin ánimo de ser exhaustivos, es menester destacar las aportaciones de Lalonde (1986), Heckman, et al. (1999), Dehejia & Wahba (1999), Robinson (2000), Gerfin & Lechner (2002), Boone & Van Ours (2004), Sianesi (2004), Kluve, et al. (2005), Caliendo (2006), Hujer, et al. (2006), García (2007) y Blázquez & Herrarte (2012).
Profundizando más en el análisis de los elementos que definen la estructura del reparto de fondos públicos dedicados al empleo, en este artículo se pretende determinar la eficiencia y los cambios en la productividad de las políticas públicas de empleo a través de la utilización del Análisis Envolvente de Datos –DEA- y del Índice de Productividad de Malmquist aplicado a las políticas públicas de empleo, tanto pasivas como activas1. Este procedimiento de evaluación de las políticas de empleo, activas y pasivas, -tomando como referencia la Tasa de Ocupación- se aplica a la inversión realizada por los países de la Zona Euro, o Eurozona2 durante el ámbito temporal 2006 - 2010; de esta manera, se pueden obtener resultados sobre la eficiencia en los años anteriores a la llegada de la crisis, los inicios de la misma y las primeras repercusiones derivadas de ella.
1. Aproximación a las políticas de empleo en la Unión Europea
Las PAE nacen asociadas a los modelos de bienestar social aparecidos en el norte de Europa durante la década de los sesenta3 (Ruiz & Chacartegui, 2004). Hasta ese momento, la existencia de desempleo en las economías se podía justificar como una consecuencia del paro friccional (Fina, 2001). Sin embargo, a partir de la crisis del petróleo surge la necesidad de revisar los modelos teóricos sobre el funcionamiento del mercado de trabajo, así como las políticas de empleo derivadas de los mismos, al ser insuficientes para poder explicar las elevadas tasas de desempleo que se estaban produciendo. Mediante la implantación de los programas de empleo -encuadrados dentro de las PAE- se pretende mejorar la cualificación profesional de los desempleados y así, junto a la implementación de políticas macroeconómicas de orientación keynesiana, disminuir el desempleo (Martínez, 2008).
En Europa, las PAE empiezan a desarrollarse de manera conjunta a partir del Tratado de Ámsterdam de 1997. Anteriormente, los tratados constitutivos de la Comunidad Económica Europea se habían sustentado básicamente sobre la consecución de fines económicos, eludiendo en su redacción la concreción de unos objetivos sociales comunes para la Unión (García, 2010). Será a través del citado tratado cuando se introduce un cambio fundamental en la forma de abordar las políticas de empleo, pasando de ser una competencia exclusiva de cada uno de sus Estados miembros a ser un objetivo conjunto y prioritario del ámbito europeo supranacional (Campbell, et al., 2007).
Posteriormente, en la Cumbre de Luxemburgo de 1997 se diseña la denominada Estrategia Europea de Empleo –EEE-, fijando unas directrices sobre políticas de empleo dentro del ámbito de la Unión Europea. De esta manera, la EEE pasa a convertirse en el marco de referencia de las PAE desarrolladas por los Estados miembros de la Unión, que las materializarán mediante los denominados Planes Nacionales de Acción por el Empleo. Ese mismo año se aprueba el Tratado de Maastricht, donde se reconoce el carácter estructural del desempleo y se establece la necesidad de desarrollar estrategias de estabilización macroeconómica y de fomento del empleo.
En 1993 se crea el Libro Blanco sobre “Crecimiento, Competitividad y Empleo”, donde se define el empleo como el elemento básico de la integración social y económica. A partir de ahí, y en reuniones siguientes, la dimensión del empleo se vuelve un punto a tratar dentro de las agendas conjuntas. Por mencionar algunas, el Consejo de Cardiff de 1998, el Consejo de Colonia de 1999, el Consejo de Lisboa del año 2000, o el Consejo Europeo de junio de 2010, donde se hace referencia a la “Estrategia Europa 2020”.
Para la financiación de las PAE, como se ha señalado en el epígrafe introductorio, desde la UE se establece, mediante el reglamento 1784/99, el Fondo Social Europeo, donde se especifican los criterios de reparto de recursos financieros entre los países miembros, basados en su riqueza relativa. Así, se plantean tres categorías de financiación en función de su PIB regional y/o per cápita en comparación con la media de la UE (de los 27):
• Regiones menos desarrolladas (PIB per Cápita < 75% de la media de la UE-27)
• Regiones en transición (PIB per Cápita entre el 75% y el 90% de la media de la UE-27)
• Regiones más desarrolladas (PIB per Cápita >=90% de la media de la UE-27)
Como puede apreciarse, el sistema de reparto de la financiación pública no incorpora ningún criterio de eficiencia. Sin embargo, la utilización de recursos financieros de carácter público, así como el destino asignado a las ayudas -desempleados-, hace necesario incorporar instrumentos que justifiquen el resultado en la aplicación de estas políticas públicas. Sería conveniente incorporar un índice corrector al sistema de distribución de los fondos que apoye, en mejor medida, a aquellas regiones que están haciendo un uso más eficiente de las ayudas públicas. Esta propuesta, base fundamental de este artículo, quizás cobre mayor interés y justificación en un contexto económico como el actual, de crisis económica, donde las tasas de desempleo de algunos de los países de la UE han alcanzado cifras que ponen en riesgo los principios de cohesión social dentro del ámbito europeo (Blázquez & Herrarte, 2012).
2. Metodología
Como se señaló con anterioridad, este artículo tiene como objetivo central el cálculo de la eficiencia y los cambios en la productividad de las políticas de empleo -activas y pasivas- aplicadas por los países que integran la Zona Euro. Para el cálculo de la eficiencia se aplica el Análisis Envolvente de Datos -DEA-, mientras que para el cambio en la productividad se emplea el Índice de Malmquist, que permite descomponer dicho cambio en los efectos asociados a variaciones en la eficiencia y/o en la tecnología empleada. Se han elegido estas técnicas de análisis porque se consideran idóneas para evaluar criterios de eficiencia y productividad de los recursos asociados a políticas públicas, en general, y de empleo, en particular, pudiendo ser utilizadas como propuesta de evaluación ante la carencia, como se mencionó anteriormente, de criterios de medición, contribuyendo así a la mejora de la gestión de los escasos recursos públicos, sobre todo en épocas de crisis.
El DEA es una técnica no paramétrica para el análisis de eficiencia relativa planteada inicialmente por Farrel (1957) y desarrollada posteriormente por Charnes, et al. (1978), que permite comparar las salidas –outputs- actuales de una unidad tomadora de decisiones -DMU, por Decision Making Unit4 en la literatura anglosajona y que, para este caso, corresponde a los países que conforman la Eurozona frente a los que podría obtener en su frontera óptima, dado las entradas -inputs- utilizadas, para así establecer el desempeño ideal y las posibles mejoras, que pueden justificarse por la variación en la utilización de entradas o la obtención de salidas. Ante la posibilidad de incluir múltiples variables -tanto entradas como salidas-, desde sus primeras aplicaciones y hasta el día de hoy es considerada una de las técnicas de medición de la eficiencia más populares para análisis del sector público (Tavares, 2002) sobre todo, porque la multiobjetividad de las organizaciones públicas dificulta la consecución de indicadores de desempeño (Worthington & Dollery, 2000; Zhonghua & Ye, 2012).
Cuando se pretende la mayor cantidad de salidas dado un nivel de entradas5, pero se desconoce el nivel tecnológico asumido por cada DMU -que en este caso representa a cada país de la Zona Euro, que tiene el interés de incrementar el empleo con la inversión en sus políticas-, se emplea el modelo de Retornos a Escala Variable -VRS-, planteado por Banker, et al. (1984) y que, orientado hacia la salida –modelo BCC -Output-, se representa de la siguiente forma:

Sujeto a:



Donde:
: Amplificación radial que se produce de todas las salidas – outputs -. Puede identificarse con la eficiencia de J si J se compara con un punto perteneciente a la frontera eficiente.
: Reducción rectangular de la entrada -input- i.
: Amplificación rectangular de la salida -output- k.
: Coeficientes de la combinación lineal de entradas – inputs - y salidas - outputs - a los que se está refiriendo el punto de proyección de DMU j sobre la frontera eficiente. Puede interpretarse como la proximidad del punto de proyección de DMU j respecto a la frontera eficiente.
Por otra parte, el Índice de Productividad de Malmquist – IM - es una técnica planteada por Sten Malmquist (1953) y posteriormente desarrollada para un contexto no paramétrico por Färe, et al. (1994), para el cálculo de los cambios en la productividad entre dos periodos de tiempo. Este índice puede descomponerse en dos elementos: los Cambios en la Eficiencia -desviaciones respecto a la frontera de producción- y del Cambio Tecnológico -movimientos de la frontera-, a través de ratios entre las diferentes funciones de distancia (Marco-Serrano & Rausell-Köster, 2006).
Tal como se ha indicado con anterioridad, el Índice de Malmquist permite estimar la productividad entre periodos de tiempo t, y para cada t=1,2...T, la tecnología de producción puede expresarse a través del conjunto de posibilidades de producción -combinaciones factibles de entradas y salidas - de la siguiente forma:

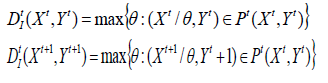
Definiendo funciones de distancia con respecto a dos periodos de tiempo distintos (t y t+1), y suponiendo un nivel de tecnología dado, se pueden obtener las siguientes expresiones, que definen las distancias -radiales- de entradas, dado un nivel de salida:

De forma similar, se pueden calcular las funciones de distancia para un nuevo nivel de tecnología. La siguiente fórmula representa el cambio de la productividad experimentado en dos periodos de tiempo (t y t+1), asumiendo un nivel fijo de tecnología para ambos periodos:

La siguiente expresión, por su parte, representa el cambio de la productividad experimentado en dos periodos de tiempo (t y t+1), asumiendo un cambio en el nivel tecnológico:

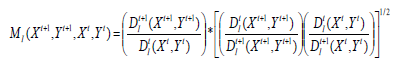
Para evitar la arbitrariedad de tomar como referencia uno u otro período, se opta por considerar como índice de Malmquist de una DMU, entre el período t y t+1, a la media geométrica de los dos resultados posibles (Färe, et al., 1994)

O, en forma equivalente:

La expresión anterior puede ser dividida en dos componentes: el primero hace referencia a los Cambios en la Eficiencia– CE -, cuyos resultados favorables indican un acercamiento de la DMU a la frontera eficiente, y que en este artículo se refiere a los países que, de un periodo a otro, alcanzan -o no- una mayor eficiencia en sus políticas de empleo, en relación a aquéllos que le sirven de referencia. El segundo componente indica el Cambio Tecnológico – CT -, donde mayores resultados reflejan una mejora tecnológica por parte de la DMU. Para el caso de análisis, este componente reflejaría los países que se trasladan -o no- a una condición de mayor productividad en sus políticas de empleo mediante mejoras, por ejemplo, en la organización y/o gestión. Resultados mayores a 1 del IM indican incrementos de la productividad, mientras que valores inferiores a 1 indican una disminución. De igual modo, las variaciones en los índices CE y CT indicarán mejoras cuando sean mayores que 1, y empeoramientos cuando sean menores a este valor (Maza, et al., 2013).
Siguiendo los criterios definidos para la estimación de la eficiencia y los cambios en la productividad de los países de la Zona Euro, se ha propuesto una función de producción que contempla 8 variables como entradas – inputs- al modelo, agrupadas en dos tipos de políticas: el primer grupo corresponde a Políticas Activas de Empleo – PAE -, donde se incluyen las inversiones en Servicios del mercado de trabajo – SMT -, Formación – F -, Incentivos al empleo – IE -, Apoyo y rehabilitación para la empleabilidad – ERE -, Creación de empleo directo – CED - e Incentivos a emprendimientos empresariales – IEE -. El segundo grupo corresponde a las Políticas Pasivas de Empleo – PPE -, cuyas variables son el Mantenimiento de ingresos y apoyo al desempleado – MIAD - y Jubilación anticipada – JA -. Todas estas entradas han sido consideradas porque son aplicadas en todo los países en estudio, dentro de la Estrategia Europea de Empleo – EEE -, facilitando la comparación entre ellos. Todas están expresadas en miles de Euros.
Como salida del modelo –output- se define la Tasa de Ocupación – TO -, que es el resultado del ratio entre la población empleada sobre la Población Activa6. Esta variable resulta de gran relevancia por dos razones: 1) considera el tamaño de la población en edad activa, lo que permite la comparación entre varios países, y 2) porque su incremento es considerado como un síntoma de recuperación y de la entrada en una fase creación de empleos dentro de una economía. La información ha sido obtenida del sistema de información estadística de la Comisión Europea – EUROSTAT -.
También se ha tomado como referencia temporal el periodo 2006-2010. Este periodo resulta de interés para su análisis, pues permitirá observar la existencia –o no- de cambios en la asignación eficiente de recursos antes y después del 2008, año de inicio de la crisis económica mundial y europea (Marichal, 2010; Manzano & Hernández, 2011; Banco de México, 2012).
Partiendo del hecho que las inversiones realizadas en Políticas de Empleo - activas y pasivas - requieren de un tiempo prudencial para ver sus efectos en el empleo (Sterman, 2000; Arranz, et al., 2013), para la función de producción sugerida se emplea la TO correspondiente a dos periodos posteriores a la inversión en PAE y PPE. Esto significa que, por ejemplo, la TO empleada para evaluar las inversiones en Políticas de Empleo del año 2010 corresponde a la observada en el año 2012. Las variables mencionadas se resumen en el Cuadro I.
Para la estimación de la eficiencia se asume una orientación hacia las salidas y rendimientos variables a escala – Modelo BCC -, ya que el interés de la inversión en políticas de empleo -activas y pasivas- por cada país radica en la maximización de la Tasa de Ocupación, sin tener ningún tipo de discrecionalidad en cuanto a los montos de los insumos aplicados para tal fin.
Para el cálculo posterior del Índice de Malmquist se asumen rendimientos a escala constante – modelo CCR -, tal como lo sugiere Thanassoulis (2001). En la Tabla I se muestra el resumen estadístico, para los años en estudio, de las variables a incluir en el modelo para la función de producción “Políticas de empleo en países de la Zona Euro”.

| 2006 | SMT | F | IE | ERE | CED | IEE | MIAD | JA | TO |
| Media | 896,8 | 1147,8 | 682,9 | 275,1 | 457,1 | 248,1 | 6091,5 | 469,8 | 66,5 |
| Dev. Est. | 1712,5 | 2072,0 | 1027,3 | 659,7 | 939,0 | 665,4 | 10374,4 | 694,9 | 5,3 |
| Rango | 6258,8 | 7614,4 | 3168,3 | 2661,1 | 3547,9 | 2758,0 | 38812,5 | 2486,8 | 21,9 |
| Mínimo | 3,0 | 1,2 | 0,5 | 0,0 | 0,0 | 0,0 | 10,7 | 0,0 | 55,3 |
| Máximo | 6261,9 | 7615,6 | 3168,8 | 2661,1 | 3547,9 | 2758,0 | 38823,2 | 2486,8 | 77,2 |
| 2007 | SMT | F | IE | ERE | CED | IEE | MIAD | JA | TO |
| Media | 910,1 | 1105,3 | 667,0 | 303,6 | 456,3 | 215,2 | 5452,4 | 468,2 | 64,5 |
| Dev. Est. | 1744,2 | 1901,6 | 953,5 | 669,2 | 967,2 | 481,3 | 8684,8 | 682,8 | 5,5 |
| Rango | 6536,2 | 6202,2 | 2928,9 | 2658,5 | 3881,6 | 1865,6 | 29960,6 | 2485,8 | 22,0 |
| Mínimo | 3,8 | 0,8 | 0,2 | 0,0 | 0,0 | 0,0 | 15,7 | 0,0 | 55,0 |
| Máximo | 6540,0 | 6203,1 | 2929,0 | 2658,5 | 3881,6 | 1865,6 | 29976,3 | 2485,8 | 77,0 |
| 2008 | SMT | F | IE | ERE | CED | IEE | MIAD | JA | TO |
| Media | 938,5 | 1153,7 | 674,0 | 360,6 | 412,2 | 211,7 | 5634,2 | 464,1 | 63,7 |
| Dev. Est. | 1830,0 | 1956,3 | 932,7 | 715,0 | 791,7 | 456,3 | 8475,1 | 696,4 | 5,5 |
| Rango | 7124,0 | 6690,0 | 2502,6 | 2787,9 | 2984,2 | 1670,0 | 25989,5 | 2559,6 | 18,6 |
| Mínimo | 5,3 | 1,2 | 0,1 | 0,0 | 0,0 | 0,0 | 18,6 | 0,0 | 56,1 |
| Máximo | 7129,3 | 6691,2 | 2502,7 | 2787,9 | 2984,2 | 1670,0 | 26008,1 | 2559,6 | 74,7 |
| 2009 | SMT | F | IE | ERE | CED | IEE | MIAD | JA | TO |
| Media | 1123,3 | 1384,2 | 717,3 | 375,9 | 408,2 | 227,4 | 7881,0 | 452,1 | 63,7 |
| Dev. Est. | 2315,1 | 2446,4 | 968,2 | 735,9 | 776,5 | 458,1 | 11606,3 | 705,3 | 5,7 |
| Rango | 9042,5 | 8609,0 | 2508,2 | 2848,2 | 2957,9 | 1649,4 | 34615,3 | 2578,0 | 19,3 |
| Mínimo | 6,0 | 0,4 | 0,1 | 0,0 | 0,0 | 0,0 | 21,9 | 0,0 | 55,6 |
| Máximo | 9048,5 | 8609,5 | 2508,3 | 2848,2 | 2957,9 | 1649,4 | 34637,2 | 2578,0 | 74,9 |
| 2010 | SMT | F | IE | ERE | CED | IEE | MIAD | JA | TO |
| Media | 1202,2 | 1357,5 | 775,5 | 378,7 | 466,1 | 272,6 | 8032,7 | 431,3 | 63,5 |
| Dev. Est. | 2503,3 | 2335,7 | 1036,1 | 732,6 | 1019,1 | 553,0 | 11658,1 | 712,3 | 6,3 |
| Rango | 9462,5 | 7618,0 | 2817,5 | 2810,8 | 4201,5 | 1942,1 | 32546,9 | 2616,5 | 23,8 |
| Mínimo | 6,2 | 1,3 | 0,9 | 0,0 | 0,0 | 0,0 | 21,6 | 0,0 | 51,3 |
| Máximo | 9468,7 | 7619,4 | 2818,3 | 2810,8 | 4201,5 | 1942,1 | 32568,5 | 2616,5 | 75,1 |
3. Resultados empíricos
La crisis económica ha afectado de manera desigual a los Estados miembros de la Zona Euro, con distinta incidencia sobre sus economías, en general y sobre sus mercados laborales, en pasivas de empleo. En la Tabla II se muestran los resultados de la eficiencia arrojados para los 18 países que integran la Zona Euro para el periodo 2006-2010. Puede observarse que sólo 5 países (Austria, Chipre, Estonia, Malta y Países Bajos) asignan de forma óptima los recursos destinados al fomento del empleo, condición que mantienen durante todo el periodo de estudio. Por su parte, los países con un resultado más bajo a lo largo del periodo han sido Bélgica, España, Francia e Italia los cuales, en promedio, han obtenido un valor de su eficiencia por debajo del 90%. De hecho, España ha sido el país más ineficiente durante todo el periodo de análisis (75,65% en el 2010), lo que refleja una política de empleo que no ha logrado disminuir el desempleo, en comparación con los resultados obtenidos por el resto de países de la Zona Euro.
Un caso especial reviste Grecia7, ya que en el año 2010 logra asignar eficientemente sus recursos. Esta condición puede obedecer al nulo crecimiento de los fondos para apoyar las políticas de empleo -de hecho, los fondos para el 2010 disminuyeron en un 0,09%, con respecto al año anterior-, y al fuerte cuestionamiento por parte del resto de miembros de la Zona Euro por la forma en la que el país heleno ha gestionado sus recursos, lo que pudo conllevar a un mayor esfuerzo por parte de las autoridades griegas para asignarlos de forma eficiente.

Por otra parte, y tomando como referencia el periodo 2009-2012, Alemania es uno de los pocos países de la Zona Euro que ha mantenido el incremento de la Tasa de Ocupación (el resto han sido Austria, Bélgica, Estonia, Finlandia, Letonia, Luxemburgo y Malta). De hecho, y tras los Países Bajos, es el país con mayor Tasa de Ocupación de la Zona Euro para el año 20128, y también el que ha crecido a un ritmo superior, después de Malta y Estonia (Tabla III). Sin embargo, no se encuentra entre los países más eficientes en la asignación de recursos, aunque su media se acerca a la eficiencia (98,37%). Lo mismo ocurre con Finlandia (98,7%), Letonia (97,62%) Luxemburgo (94,73%) y Bélgica (87,4%), aunque ésta última un poco más alejada.

Para el análisis de la productividad se ha aplicado el Índice de Productividad de Malmquist -IM- a las políticas de empleo ejecutadas, durante el periodo considerado, en los 18 países de la Zona Euro, desagregándolo en sus dos componentes: Cambios en la Eficiencia –CE- y Cambios en la Tecnología–CT-.
De los resultados arrojados se pueden identificar tres periodos diferenciados. En los años que anteceden a la crisis económica ,(2006-2008), los países que integran la Zona Euro experimentaron crecimientos de la productividad de sus Políticas de Empleo. De hecho, en el periodo 2007-2008 dichos países, en conjunto, incrementan su productividad en un 20% -el mayor en la serie analizada-, debido principalmente al componente eficiencia (19%). Se destaca el caso de Austria, Alemania y Francia, cuyos incrementos individuales se situaron por encima del 55%.
En el periodo de inicio de la crisis (2008-2009) los países no experimentaron incremento de la productividad. De hecho, tal como se observa en la tabla IV, hubo una disminución de la eficiencia promedio -2%-, compensada con una leve mejora tecnológica -2%-, lo que arrojó el efecto final en la productividad.
Es de resaltar los resultados obtenidos por España, Finlandia y Francia, quienes fueron los únicos países que lograron incrementar su productividad por encima del 10% en este periodo, aunque sólo Finlandia logra este incremento gracias a una mejora en su eficiencia.
El último periodo analizado (2009-2010) puede señalarse como la etapa de inicio de la recuperación para algunos de los países de la Zona Euro, pues se observa nuevamente un incremento de la productividad de las Políticas de Empleo, aunque no de la misma magnitud del observado en el periodo 2007-2008 -13% vs. 20%-. Dicho resultado puede explicarse por un incremento en la eficiencia -12%-. Esto podría obedecer a los ajustes realizados por los países de la Eurozona para mejorar la asignación de sus recursos, con la finalidad de incrementar el empleo (Tabla IV).
4. Conclusiones
La principal novedad de este artículo consiste en proponer la incorporación de mediciones de la eficiencia y la productividad -empleando para ello modelos no paramétricos- como criterios a tener en cuenta a la hora de evaluar y asignar recursos para financiar políticas activas y pasivas de empleo en los 18 países que integran la Zona Euro, sobre todo, ante la evidencia de escasas investigaciones que han centrado su atención en evaluar la efectividad de las inversiones en políticas públicas de empleo y que resultan apremiantes en el periodo de crisis actual.
Algo a destacar de la propuesta planteada es la oportunidad que brinda de contar con una mirada integral tanto para la evaluación como para la asignación, centrada en el análisis, por cada país de la Eurozona, de los resultados esperados –incremento de la Tasa de Ocupación- frente a lo invertido para alcanzarlos –Inversión en Políticas Activas y Pasivas de Empleo-, alejándose así de las evaluaciones tradicionales, que sólo consideran el resultado esperado. Visto de esta manera -y con respecto a la eficiencia- tener mejores Tasas de Ocupación no significa siempre ser más eficientes, y viceversa. Un caso que ejemplifica esta situación es Alemania, uno de los pocos países de la Zona Euro cuya Tasa de Ocupación ha seguido creciendo en el periodo de crisis; sin embargo, en ninguno de los años analizados se ha ubicado en la frontera eficiente. Por el contrario, Chipre y Países Bajos han presentado fuertes descensos en su Tasa de Ocupación durante la crisis, sin embargo, siempre se han mantenido en la frontera de eficiencia.
En cuanto a la productividad, la posibilidad de descomponer los resultados en Cambios de Eficiencia y Cambios Tecnológicos, permite un análisis más enriquecedor de las variaciones de inversión en políticas públicas de empleo –activas y pasivas- a lo largo del tiempo, más allá de la información que brinda el cálculo del cambio porcentual. Tal como se pudo constatar en la sección anterior, el análisis de los cambios en la productividad para el periodo de análisis permitió identificar tres etapas: Una primera etapa, situada en los años previos a la crisis (2006-2008), y caracterizada por crecimientos excepcionales de la productividad, motivados principalmente por mejoras en la eficiencia; una segunda etapa, que corresponde al periodo de inicio de la crisis (2009-2010), donde se observa un nulo crecimiento de la productividad, resultado de la compensación entre una disminución de la eficiencia y un aumento tecnológico; una tercera y última etapa, que podría denominarse como de inicio de la recuperación, caracterizada por un incremento –vía eficiencia- en la productividad de las políticas de empleo, aunque a tasas más bajas a las obtenidas en la primera etapa, y que pueden obedecer a los ajustes realizados por los países de la Eurozona para mejorar la asignación de sus recursos, con la finalidad de incrementar el empleo.
Por las razones reseñadas, se recomienda que a la asignación de los recursos del Fondo Social Europeo para financiar las políticas de empleo –que actualmente depende del PIB per cápita de cada país- deben añadirse unos coeficientes correctores, de acuerdo a la eficiencia arrojada por cada país en el periodo inmediatamente anterior, sobre todo en el actual periodo de crisis, que ha incrementado el número de desempleados, por los que la gestión de los escasos recursos deben optimizarse. Asimismo, se sugiere una evaluación y seguimiento continuo –ex ante, durante y ex post, por parte de las autoridades competentes, de la ejecución de las Políticas de Empleo –en especial, las activas, que son, en su mayoría, financiadas por el Fondo Social Europeo- para así lograr corregir las desviaciones y, por tanto, conseguir mayores niveles de eficiencia y productividad.

CE= Cambios en la Eficiencia; CP= Cambios en la productividad; IM= Índice de Malmquist
Fuente: Elaboración propia (2014)Bibliografía
Arranz, José María; García Serrano, Carlos & Hernanz, Virginia (2013). Evaluación macroeconómica de las políticas activas del mercado de trabajo en España: ¿mucho ruido y pocas nueces?. Revista Internacional del Trabajo. Vol. 132, No. 2. Ginegra, Suiza. Pp. 367–390.
Banco de México (2012). Reporte sobre el sistema financiero. México. Ediciones Banco de México. Pp. 145.
Banker, Rajiv; Charnes, Abraham & Cooper, William (1984). Some Models for Estimating Technical and Scale Inefficiencies in Data Envelopment Analysis. Management Science. Vol. 3, No. 9. Catonsville, EE.UU. Pp. 1078– 1092.
Blázquez, Maite & Herrarte, Ainhoa (2012). Políticas de empleo y sus efectos: El caso de la formación dirigida a desempleados. Cuadernos de Economía. Vol. 35, No. 99. Bogotá, Colombia. Pp. 139-157.
Boone, Jan & Van Ours, Jan (2004). Effective Active Labor Market Policies. Discussion Papers Series. No. 1335. Alemania. Institute for the Study of Labor. Pp. 40.
Caliendo, Marco (2006). Microeconometric Evaluation of Labour Market Policies. Lecture Notes in Economics and Mathematical Systems. Vol. 568, No. 1. Alemania. Springer. Pp. 263.
Campbell, McConnell; Brue, Stanley & Macpherson, David (2007). Economía Laboral. España. Mc Graw Hill. Pp. 672.
Charnes, Abraham; Cooper, William & Rodhes, Edward (1978). Measuring the Technical Efficiency of Decision Making Units. European Journal of Operational Research. Vol.2, No. 6. Ámsterdam, Paises Bajos. Pp. 429–444.
Dehejia, Rajeev & Wahba, Sadek (1999). Casual Effects in Non - Experimental Studies: Reevaluating the Evaluation of Training Programs. Journal of The American Statistical Association. Vol. 94, No. 448. Washington, EE. UU. Pp. 1053-1062
Färe, Rolf; Grosskopf, Shawna; Norris, Mary & Zhang, Zhongyang (1994). Productivity Growth, Technical Progress and Efficiency Change in Industrialized Countries. The American Economic Review. Vol. 84, No. 1. Nashville, EE.UU. Pp. 66-83.
Farrell, Michael (1957). Measuring the Technical Efficiency. Journal of the Royal Statistical Society. Vol. 120, No. 3. Londres, Inglaterra. Pp. 253–290.
Fernández, Jose & Algarra, Angel (2000). El mercado de trabajo en la Unión Europea, fundamentos teóricos y políticas de empleo. España. Ediciones Pirámide. Pp. 280.
Fernández, Andrés; Parejo, José & Rodríguez, Luis (2011). Política económica. España. Mc Graw Hill. Pp. 540.
Fina, Lluis (2001). El reto del empleo. España. Mc Graw Hill. Pp. 560.
García, María (2010). La dimensión territorial de la política de empleo. España. Editorial Aranzadi. Pp. 314.
García, Carlos (2007). Las políticas del mercado de trabajo: Desempleo y activación laboral. Política y sociedad. Vol 44, No. 2. Madrid, España. Pp. 135-151.
Gerfin, Michael & Lechner, Michael (2002). A Microeconometric Evaluation of the Active Labour Market Policy in Switzerland. The Economic Journal. Vol 112, No. 482. Bonn, Alemania. Pp. 854–893.
Heckman, James; Lalonde Robert & Smith, Jeffrey (1999). The Economics and Econometrics of Active Labor Market Programs. En: Ashenfelter, Orley & Card, David (eds.). Handbook Of Labor Economics. Amsterdam, Países Bajos. Pp. 1865-2097.
Hujer, Reinhard; Caliendo, Marco; Zeiss, Christopher & Blie, Uwe (2006). Macroeconometric Evaluation of Active Labour Market Policies in Germany, a Dinamic Panel Aproach Using Regional Data. En: Carloeo, Floro & Destefanis, Sergio (eds.). The European Labour Market. Regional Dimensions. Nápoli, Italia. Pp 287-310.
Katz, Lawrence & Meyer, Bruce (1990). The Impact of the Potential Duration of Unemployment Benefits on the Duration of Unemployment. Journal of Public Economics. Vol. 41, No. 1. Massachusetts, EE.UU. Pp. 45-72.
Kluve, Jochen; Fertig, Michael; Jacobi, Lena; Nima, Leonhard & Schaffner, Sandra (2005). Study on the effectiveness of ALMPs. Dinamarca. Rwi Essen. Pp 253.
Kouzis, Yannis. (2011). El impacto de la crisis sobre las relaciones de trabajo y los convenios colectivos en Grecia. Boletín Internacional de Investigación Sindical, Vol 3, No. 2. Ginegra, Suiza. Pp.273-287.
Lalonde, Robert (1986). Evaluating the Econometrics Evaluations of Training Programs. The American Economic Review. Vol. 76, No. 4. Nashville, EE.UU. Pp. 604-620.
Layard, Richard; Nickell, Stephen & Jackman, Richard (2005). Unemployment: Macroeconomic Performance and the Labour Market. New York, EE. UU. Oxford University Press. Pp. 640.
Malmquist, Sten (1953). Index Numbers and Indifferent Surfaces. Trabajos de Estadística. Vol. 4, No. 2. Marid, España. Pp.209-242.
Manzano, Dennys & Hernández, Edwin (2011). El libre mercado y el hundimiento de la economía mundial. Cuadernos Geográficos. Vol. 48, No. 1. Granada, España. Pp. 317-318.
Marichal, Carlos (2010). Nueva historia de las grandes crisis financieras. Una perspectiva global: 1873 - 2008. España. Editorial Debate. Pp. 424.
Marco-Serrano, Francisco & Rausell-Köster, Pau (2006). Análisis de la productividad en el sector de la cultura y el ocio español: Una perspectiva regional. Estudios de Economía Aplicada. Vol. 24, No. 2. Valladolid, España. Pp. 699-722.
Martínez, Antonio (2008). La influencia de las políticas activas de empleo en las transformaciones de los modos de intervención y los modelos contemporáneos de bienestar social. Portularia. Vol 8, No. 2. Huelva, España. Pp 103-115.
Maza, Francisco; Quesada, Víctor & Vergara, Juan (2013). Eficiencia y productividad de la calidad educativa en municipios del Departamento de Bolívar- Colombia. Revista Entramado. Vol 9, No. 2. Cali, Colombia. Pp. 28-39.
Ramos, Raúl; Suriñach, Jordi & Artís, Manuel (2010). ¿Es necesario reformar las políticas activas de mercado de trabajo en España? Algunos elementos para la reflexión. Papeles de Economía Española. Vol. 1, No. 124. Madrid, España. Pp. 281-300.
Rivero, Angel (2003). Evaluación de políticas activas de empleo: el caso de las formas de intervención cofinanciadas por el Fondo Social Europeo en España. España. Ministerio de Trabajo y Asuntos Sociales. Pp. 214.
Robinson, Peter (2000). Active Labour - Market Policies: A case of Evidence - Based Policy - Making?. Oxford Review of Economic Policy. Vol. 16; No. 1. Oxford, Inglaterra. Pp. 13-26.
Ruesga, Santos & Da Silva, Julimar (2002). Economía del trabajo y política laboral. España. Editorial Pirámide. Pp. 360.
Ruiz, Carmen & Chacartegui, Consuelo (2004). Políticas sociolaborales: Un enfoque pluridisciplinar. Barcelona, España Editorial UOC. Pp. 611.
Samaniego, Norma (2002). Las políticas del mercado de trabajo y su evaluación en América Latina. Serie Macroeconomía del Desarrollo de las Naciones Unidas. Vol. 19, No. 1. Santiago, Chile. Pp. 1-85.
Sianesi, Barbara (2004). An Evaluation of the Swedish System of Active Labor Market Programs in the 1990s. Review of Economics and Statistics. Vol. 83, No. 1. Massachusetts, EE.UU. Pp. 133-155.
Sterman, John (2000). Business Dynamics: System Thinking and Modeling for a Complex World. EEUU. McGraw-Hill. Pp. 982.
Tavares, Gabriel (2002). A Bibliography of Data Envelopment Analysis (1978 - 2001). EEUU. Rutgers University. Pp. 186.
Thanassoulis, Emmanuel (2001). Introduction to the Theory and Application of Data Envelopment Analysis. Birmingham. Kluwer Academic Publishers. Pp. 281.
Worthington, Andrew & Dollery, Brian (2000). Efficiency Measurement in the Local Public Sector: Econometric and Mathematical Programming Frontier Techniques. Discussion Papers and Working Papers Series. Vol. 1, No. 78. Brisbane, Australia. Pp. 1-21.
Zhonghua, Cai & Ye, Wang (2012). Research Frontiers in Public Sector Performance Measurement. Physics Procedia. Vol. 25, No. 1. Ámsterdam, Paises Bajos. Pp. 793–799.
Notas