Artículos
Productividad total factorial y diferencias de ingreso a nivel internacional: 1950-2017
Total factorial productivity and international income differences: 1950-2017
Productividad total factorial y diferencias de ingreso a nivel internacional: 1950-2017
Revista de Ciencias Sociales (Ve), vol. XXVI, núm. 3, pp. 327-342, 2020
Universidad del Zulia

Recepción: 26 Febrero 2020
Aprobación: 14 Mayo 2020
Resumen: La distribución de la producción y de los ingresos a nivel mundial reviste suma importancia para el desarrollo. El presente estudio tiene como propósito estimar la contribución de la productividad o eficiencia y los factores productivos para explicar las diferencias en los niveles de ingreso entre países. La investigación es de tipo descriptiva de corte transversal, basada en revisiones documentales de fuentes secundarias, con información estadística tomada de la Penn World Tables 9.0. Se procesó la información aplicando la metodología de la contabilidad del desarrollo a una muestra de 44 países (agrupados en 7 regiones) y 68 años comprendidos entre 1950 y 2017. Los resultados indican que una amplia proporción de las diferencias en producto por trabajador que ostenta Estados Unidos respecto a las regiones se deben a diferencias en los niveles de productividad total de los factores. Se concluye que la metodología aplicada de la contabilidad del desarrollo arroja en consenso que la eficiencia juega un rol crucial en casi todas las regiones para explicar por qué en promedio tiene un menor ingreso relativo respecto a Estados Unidos, y además puede ser el camino para reducir las brechas respecto a los países de mayores ingresos.
Palabras clave: Productividad total de los factores, factores productivos, contabilidad del desarrollo, distribución del ingreso, producto por trabajador.
Abstract: The production distribution and income worldwide is of utmost importance for development. The purpose of this study is to estimate the productivity’s contribution or efficiency and productive factors to explain the differences in income levels between countries. The research is descriptive in cross section, based on documentary reviews of secondary sources, with statistical information taken from Penn World Tables 9.0. The information was processed by applying the development accounting methodology to a sample of 44 countries (grouped in 7 regions) and 68 years between 1950 and 2017. The results indicate that a large proportion of the differences in output per worker that shows States United with respect to the regions are due to differences in the levels of total factor productivity. It is concluded that the applied methodology of development accounting shows in consensus that efficiency plays a crucial role in almost all regions to explain why, on average, it has a lower relative income compared to the United States, and it may also be the way to reduce gaps in higher-income countries.
Keywords: Total factor productivity, production factors, development accounting, income distribution, product by worker.
Introducción
La distribución desigual del ingreso entre países y regiones en el mundo es posiblemente el hecho económico más importante en la actualidad (Weil, 2006). Por tal razón, desde el ámbito de la ciencia económica, suele prestarse mucha atención al problema crucial de la teoría del crecimiento como lo es comprender por qué unos países crecen más rápido que otros y explicar las diferencias observadas en desigualdad económica y niveles de ingreso por persona.
Se entiende por desigualdad económica a la diferencia que hace posible que un grupo de personas tengan acceso a oportunidades materiales y otras no (Ramos, Alvargonzález y Moreno, 2018). La medición de la distribución desigual del ingreso tiene como objetivo dar a conocer cómo se caracteriza el crecimiento y desarrollo entre diferentes grupos sociales, asimismo el elevado nivel de desigualdad influye en las tendencias que siguen las relaciones internacionales, el mercado de trabajo, la salud, entre otros ámbitos.
De lo anterior surge un prolífico debate sobre las causas que explican las diferencias en los niveles de ingresos entre países, entre las cuales han destacado las divergencias en los niveles de productividad o eficiencia de las economías (Klenow y Rodríguez-Clare, 1997 y 2005; Hall y Jones, 1999; Caselli, 2005;Cole, et al., 2005;Cazallo y Salazar, 2018). Se arguye que el crecimiento económico, más allá del incremento en la acumulación de capital físico, por medio de la inversión, y de capital humano, a través de una mejor educación y salud, sólo sería posible si crece la productividad o eficiencia con la cual los trabajadores producen (Gutiérrez, 2019).
En ese sentido, por ejemplo, Hsieh y Klenow (2010) al relacionar la productividad con la diferencia en el ingreso de las naciones, muestran que entre 10% a 30% de estas se atribuyen a diferencias en capital humano, 20% a las de capital físico y, la mayor parte y de mayor significancia, entre 50% a 70% es atribuida a diferencias de productividad. Así, la eficiencia o la productividad como principal elemento explicativo del crecimiento económico y de las diferencias entre países y economías a lo largo del tiempo, se remonta a los escritos de diversos autores dentro del pensamiento económico, pero quizás es más conocido desde el nacimiento de la moderna teoría del crecimiento económico con los aportes efectuados por Robert Solow (Solow, 1956; Solow, 1957). Al respecto, Gutiérrez (2019) menciona que “el desarrollo teórico formal sobre el crecimiento y la productividad se remonta al modelo neoclásico desarrollado por Solow-Swan” (p.6).
A pesar de la amplia difusión que ha tenido la productividad como variable principal para explicar las fuentes del crecimiento y de los altos niveles de ingreso de los países más aventajados, existe debate en torno a cómo se mide. En ese sentido, una medida ampliamente utilizada en la academia para aproximar el nivel de productividad o eficiencia de una economía es la Productividad Total de los Factores (PTF) o productividad total factorial. La PTF puede explicarse como la diferencia entre el crecimiento observado del producto menos el aporte brindado por el crecimiento de los factores de producción, por lo tanto, según Hamann, et al. (2019):
Es un indicador de la capacidad de una economía para combinar sus recursos productivos disponibles, como el tiempo de las personas (trabajo calificado y no calificado), las máquinas y la infraestructura (capital) y otros recursos (como la tierra o recursos naturales), para producir bienes y servicios. (p.4)
En este sentido, la metodología de la contabilidad del desarrollo ofrece una perspectiva cuantitativa para aproximar las diferencias entre países y describir qué parte de esas discrepancias se corresponden a divergencias en los niveles de eficiencia o PTF, e indagar en la importancia relativa que tienen el resto de factores en la brecha que separa el ingreso de una economía respecto a otra. En este documento se ofrecen estimaciones a través de la contabilidad de desarrollo para el debate sobre la importancia de la productividad, frente al capital físico y humano, con el fin de explicar las diferencias internacionales en los niveles de ingreso.
El estudio presenta la siguiente estructura. Después de la introducción, en la primera sección, se expone el planteamiento teórico de la herramienta conocida como contabilidad del desarrollo. Seguidamente, en la sección dos se discute la estrategia metodológica, los datos y la muestra de países usada en las estimaciones. Luego, en la siguiente sección se describe las brechas que exhiben los países analizados en capital físico, capital humano y productividad. Posteriormente, se emplean los resultados hallados para presentar la descomposición de las brechas mediante el ejercicio de contabilidad del desarrollo a la par que se discuten los mismos por regiones del mundo y se presentan algunas consideraciones normativas. Finalmente, se exponen las conclusiones del estudio.
1. Bases teóricas
1.1. Identificación de los componentes que explican las diferencias internacionales en ingreso per cápita
Una cuestión de persistente interés en la literatura teórica y empírica del crecimiento económico es determinar sus fuentes y las diferencias en ingreso que exhiben los países. La eliminación de las brechas en ingreso, como fue el caso de algunos países de Asia, y el estancamiento en otros, como el promedio de América Latina, constituye un área que sigue siendo objeto de estudio y debate. Por ejemplo, autores como Gómez, Posada y Rhenals (2018), señalan que en 1950 “el PIB per cápita asiático representaba sólo 21,2% del latinoamericano” (p.3) y en 2015 prácticamente igualaron el ingreso medio de América Latina. Sin lugar a dudas, es claro que la eliminación de la brecha que separa a dos economías en cuanto a sus niveles relativos de ingreso per cápita se debe a que ambas exhibieron diferentes trayectorias y ritmos de crecimiento económico. En tal sentido, los precitados autores destacan que las naciones emergentes de Asia alcanzaron a América Latina porque los primeros crecieron en promedio a una mayor tasa que los de la segunda región mencionada.
Ahora bien, la permanencia de las diferencias en niveles de ingreso per cápita, o bien su eliminación, se debe en una primera instancia aproximada, a que dos economías exhiben diferentes niveles de factores productivos o discrepancias en productividad agregada. Luego, cada economía debe identificar qué parte de la diferencia que separa su ingreso per cápita del que exhiben los países de altos niveles de ingreso, se deben a brechas en los factores productivos o en niveles de productividad o eficiencia. Esto es un primer paso para la puesta en práctica de las políticas adecuadas para incentivar el crecimiento sostenido a largo plazo, que permitiría eventualmente corregir tales divergencias o recortar las brechas.
1.2. Metodología de la contabilidad del desarrollo
La metodología de la contabilidad del desarrollo, es un enfoque útil para descomponer las diferencias en niveles de ingreso per cápita. En este apartado se presenta una exposición sobre la misma. Recientemente, trabajos como el de Beugelsdijk, Klasing y Milionis (2018) emplearon la contabilidad del desarrollo en una perspectiva regional, en el caso de 257 regiones de la Unión Europea, hallando resultados cónsonos con la idea que detrás de las diferencias en desarrollo (ingresos) se esconden discrepancias sustanciales en productividad agregada. De la misma forma, que De Figueiredo y Nakabashi (2016) encuentran que principalmente las brechas en producto por trabajador entre los estados de Brasil, respecto al estado de San Pablo, provienen de la brecha que existe en productividad total.
El planteamiento formal parte del modelo de crecimiento de Solow-Swan (Solow, 1956;Swan, 1956), ampliado para incorporar capital humano, en línea con el desarrollo teórico y empírico brindado por Mankiw, Romer y Weil (1992). Sea la función de producción neoclásica(1), con capital humano incorporado, en términos intensivos para una economía:
(1)En la ecuación (1) y representa el producto (real) por trabajador, es decir, el total de la producción de bienes y servicios de uso final dividido entre el número de trabajadores ocupados en la economía; k es el stock de capital físico disponible por trabajador; es un índice de capital humano por trabajador; h mientras que
y
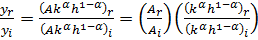
son parámetros que recogen las participaciones de la remuneración del capital y del trabajo dentro del ingreso nacional, respectivamente; finalmente, A es la medida de la eficiencia o productividad total con la que se emplean los factores. El cociente entre el producto por trabajador del país rico respecto al i-ésimo país, es dado por la siguiente expresión:
(2)
Para cualquier período
. La ecuación anterior mide la brecha entre el nivel de producto por trabajador del país
rico respecto al país
, como resultado del cociente o brecha entre sus respectivas funciones de producción. Es decir, refleja del lado izquierdo de la igualdad cuantas unidades de producto (por trabajador) obtiene el país rico con respecto a cada unidad de producto del país . Esta descomposición deja conocer a su vez cuál es el tamaño de la contribución de los insumos (
,
) y la productividad (total de los factores) o eficiencia (
) en las diferencias típicas entre dos países en relación a sus niveles de producto (e ingreso) por trabajador.
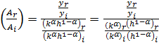
En otros términos, este enfoque permite estimar, para un período cualquiera, cuánto de la diferencia en el producto por trabajador entre dos países es explicado por diferencias en sus niveles de productividad. La contabilidad del desarrollo, nombre con el cual se conoce a la descomposición anterior, es usada para comparar a dos países en un mismo período, típicamente usando data de sección cruzada o transversal de países, regiones o cualquier otra clasificación. Entonces, queda que la producción por trabajador se compone de dos partes: 1) la productividad total; 2) los factores de producción por trabajador.
Por ejemplo, si una economía (rica) produce más por trabajador que otra economía (pobre) es porque: a) la primera tiene un mayor nivel relativo de productividad total de los factores respecto a la segunda; b) la primera acumula, en términos relativos, mayores niveles de factores (capital físico y humano) por trabajador, de nuevo, respecto a la segunda; o, c) por ambas razones. Entonces, en la comparación de dos países, se capturaría la descomposición de esas diferencias relativas en el producto (por trabajador) entre las diferencias que hay en productividad, y las discrepancias asociadas a la acumulación de factores:
(3)Asumiendo que cada economía Importar imagen = 1, 2,..., N, incluyendo el país rico, tiene una tecnología de producción Cobb–Douglas:
(4)Aplicando logaritmo natural en ambos lados de la ecuación anterior:
(5)La ecuación anterior brinda, en diferencia de logaritmo, la parte de la brecha que separa el ingreso generado en la producción por cada trabajador en dos economías entre las discrepancias que existen en niveles de eficiencia agregada o productividad y la parte correspondiente a las diferencias en niveles de acumulación factorial. Entender las fuentes de las diferencias de ingreso y el crecimiento económico heterogéneo que el mundo ha presentado en las últimas décadas parte necesariamente de un ejercicio a partir de la ecuación (5).
Esto permitirá una aproximación descriptiva al rol que juega el capital humano en el crecimiento, en línea con el papel que le otorgan a tal factor desde la teoría endógena del crecimiento, o si el incremento de la productividad total constituye el detonante más cercano que permite elevar el nivel medio de ingreso de una economía, en cuyo caso serviría, en cierta forma, de evidencia a favor de las exposiciones que enfatizan en la tecnología como el factor determinante en el crecimiento económico. Asimismo, este último “es una condición importante para el desarrollo humano, a condición de que genere oportunidades iguales para todos” (Márquez, et al. 2020, p.244). Por lo tanto, de acuerdo con Fuertes, Plou y Gómez (2017) “el crecimiento económico posibilita el desarrollo humano siempre y cuando mejore los factores de producción, las condiciones así como la calidad de vida de todos” (p.84). Después de todo, sigue siendo un enigma qué factores se esconden detrás de los patrones de crecimiento económico (Chirwa y Odhiambo, 2018).
2. Estrategia metodológica
El procedimiento que sigue este trabajo es el siguiente. En primer lugar, se disponen para el país
Importar imagen de información estadística, de indicadores que miden a las variables
,
y
, además del parámetro
. En el caso de este estudio, la fuente de datos es la Penn World Tables 9.0 (Federal Reserve Economics Data [FRED], 2018), que cubre información estadística del lapso 1950-2017 para un conjunto bastante extenso de países a nivel mundial. En segundo lugar, se aplica logaritmo natural a las series estadísticas que representan las variables
,
y
, además se calcula el parámetro
. En tercer lugar, se sustrae cada componente para el país
de los valores correspondientes al país rico. Por último, se estima la brecha en
, expresada en logaritmo, mediante un residuo que es calculado como la diferencia entre la brecha en niveles de producto por trabajador (la diferencia de los logaritmos naturales de
para ambos países) y la brecha en factores productivos,
y
.
3. Resultados y discusión
3.1. Diferencias en producto por trabajador
Se estimó la brecha que separa el producto por trabajador de EEUU respecto a cada país y en cada año. Los resultados hallados, para un total de 44 países (agrupados en 7 regiones) y 68 años, se expresaron en logaritmo natural, siguiendo la ecuación 5. En total, 2.992 observaciones componen el panel. El valor promedio para todos los datos en el logaritmo natural de la brecha del producto por trabajador de EEUU respecto a cada país, es ligeramente superior a 1, lo que se traduce en un valor en niveles de 2,7. Esto significa que, en promedio, para todos los países y años, el producto por trabajador de EEUU excedió en 2,7 veces el producto por trabajador de cualquier país.
En el lapso 1950-2017, el valor máximo (mínimo) en la serie construida a partir de las diferencias entre el logaritmo del producto por trabajador de EEUU y el producto por trabajador del resto de países fue de 3,35 (-0,37), esto es una proporción máxima (mínima) de 28,5 (0,69) entre el producto por trabajador de EEUU respecto al país de referencia, en este caso correspondió a la India (Irlanda) en el año 1985 (2016). La mayor parte de las observaciones del panel, 86% de los datos, revelan que la diferencia de logaritmo del producto por trabajador de EEUU y de los demás países, se encuentran en el rango 0-2, en escala logarítmica, lo cual equivale a un relativo en los productos que va desde uno (es decir, el producto por trabajador de EEUU es igual al del país de comparación), hasta 7,5 veces la proporción del producto por trabajador de EE UU respecto a otro país.
Sin embargo, el comportamiento temporal, en 1950-2017, del valor promedio de la brecha para la sección cruzada de países en cada año muestra un comportamiento marcadamente descendente, en general. Dicho de otro modo, el mundo, en este estudio conformado por 44 países, logró año tras año reducir la brecha, en promedio, que le separa respecto al producto por trabajador de EEUU.
El valor promedio, para la sección cruzada de países en el año 1950, de la diferencia entre el producto por trabajador de EEUU respecto al producto por trabajador de los países considerados fue de 1,25 (en logaritmo natural), lo que equivalió a un valor de 3,5 en el cociente entre el producto por trabajador de EEUU respecto al producto por trabajador promedio de los demás países en el año 1950. En contraste, para el año 2017, este mismo valor promedio de la sección cruzada había llegado a 0,80 (en logaritmo natural), equivalente a un valor de 2,25 en el cociente entre el producto por trabajador de EEUU en el año 2017 respecto al producto por trabajador promedio de los demás países, en ese mismo año.
En ese sentido, la Figura I recoge el comportamiento del valor promedio en las secciones cruzadas para cada año, para el total de los países y por regiones del mundo. Al analizar los resultados por regiones, la media en la brecha (en logaritmo natural) entre el producto por trabajador de EEUU y los países de la región Este de Asia y Pacífico, muestra un desempeño descendiente en el lapso 1950-2017, reduciéndose en promedio a la mitad de su valor inicial. Igual comportamiento se deja ver en el caso de Europa y Asia Central, donde la brecha pasó de 0,92 a 0,19 (en logaritmo) y, en menor grado, para el grupo de Medio Oriente y Norte de África.

Por su parte, la media en el grupo América Latina y el Caribe de la brecha en el producto por trabajador de EEUU respecto a los países de esta región, muestra un comportamiento descendente hasta principios de los años ochenta, y, a partir de ahí, un comportamiento creciente, lo que significa un atraso relativo en el producto por trabajador de este grupo respecto al país rico de referencia. En este sentido, hasta 1980 esta región en promedio había reducido significativamente la brecha en nivel de producto por trabajador respecto al país rico, no obstante, con la crisis de los años ochenta, en la que esta región se vio inmersa durante todo el decenio, revertió la tendencia a la convergencia y reducción de la brecha que había mantenido hasta entonces.
En la actualidad la brecha en producto por trabajador entre EEUU y América Latina, sigue teniendo el mismo nivel o amplitud respecto al valor de 1950 (1,42 en escala logarítmica). Igual desempeño muestra, de acuerdo a los resultados, la región de África Subsahariana, que en este trabajo solo comprende a Suráfrica y Kenia.
3.2. Intensidad capital-producto
Se estimó la brecha en la relación capital-producto entre EEUU y cada uno del resto de países que conforman las unidades de sección cruzada del estudio. El valor promedio, para todos los datos, en el logaritmo natural del cociente entre el capital-producto de EEUU respecto a cada país es de -0,08, lo que se traduce en un valor en niveles de 0,92.
Esto significa que, en promedio, para todos los países y años, el cociente entre la relación capital-producto de EEUU y la relación capital-producto de los países de la muestra se ubicó por debajo de la unidad. Esto revela, en el caso del país rico de referencia (EEUU), que ésta economía emplea menos capital físico por unidad de producto generado en un año, a diferencia de los demás países donde hay más capital físico por cada unidad de producto. Los resultados son ilustrados en la Figura II.

La brecha que separó EEUU del resto de países y regiones se redujo considerablemente en todo el lapso 1950-2017, aunque en menor ritmo en las regiones de África Subsahariana y de Medio Oriente y Norte de África. Lo anterior significa, que estas regiones siguen presentando brechas positivas en sus relaciones capital-producto respecto a la misma relación para EEUU, con lo cual se deja ver que una parte de las diferencias que separan al producto (ingreso) por trabajador de estos países y regiones respecto al de EEUU, se explican en cierta proporción por las brechas en la relación capital-producto, es decir, en la acumulación y utilización de más capital físico por unidad de producto.
Regiones como Este de Asia y Pacífico, Europa y Asia Central, y América Latina y el Caribe, tienen en promedio una mayor razón capital-producto respecto a Estados Unidos, de modo que han cerrado la brecha en acumulación de capital físico, más parecen no ser regiones tan productivas como la economía estadounidense, pues en su conjunto estas regiones tienen menos producto e ingreso por trabajador respecto al país rico.
3.3. Capital humano por trabajador
La Figura III, presenta el comportamiento temporal entre 1950 y 2017 de los valores promedios de las secciones transversales en cada año, por región y el mundo en su conjunto, para la diferencia de los logaritmos del capital humano por trabajador de EEUU y el capital humano por trabajador del resto de países.
Para el grupo llamado mundo, los 44 países del estudio, el comportamiento temporal de la media de la sección transversal de los datos, muestra una tendencia decreciente en todo el lapso; en efecto, la diferencia entre el logaritmo del capital humano por trabajador de EEUU y el logaritmo del capital humano por trabajador promedio del resto de países, pasó de 0,39 a 0,23. Esto se traduce en que el cociente capital humano por trabajador de EEUU respecto al del mundo pasó de 1,47 a 1,23, mostrando una convergencia hacia la igualdad con respecto al país de contraste. El gráfico revela un descenso en todas las regiones consideradas.

3.4. El rol de las diferencias en PTF
La Figura IV, describe el desenvolvimiento entre 1950-2017 de los valores promedios en cada año, de cada región y del mundo en su conjunto, para la diferencia de los logaritmos de la PTF de EEUU y de la PTF del resto de países.
Esta variable muestra un comportamiento de tendencia decreciente hasta mediados de los años setenta (con excepción del Sur de Asia), donde ocurre un quiebre y, seguidamente, comienza de nuevo a mostrar un desempeño ascendente, es decir, la PTF de los EEUU en relación a los demás países y regiones, comenzó a aumentar desde entonces. En el año más reciente, 2017, la razón entre la PTF de EEUU respecto al promedio del mundo, es de 3,3 veces la productividad o eficiente del país rico respecto al promedio de los demás países, siendo aún mayor en relación a las regiones Sur de Asia (diez veces mayor), América Latina y el Caribe (6,3 veces), y África Subsahariana (5 veces).

4. Descomposición de las brechas y contabilidad del desarrollo
Estimada la brecha en la PTF entre EEUU y el resto, se procedió con la metodología de la contabilidad del desarrollo, a los fines de descomponer la brecha del producto por trabajador entre la brecha en acumulación de capital físico y humano, así como la brecha en productividad o eficiencia. Para tal fin, se emplearon los valores promedios del lapso 1950-2017 para cada país (44 en total) y, luego, agrupados por regiones; es decir, se hizo un análisis de corte transversal para estimar la responsabilidad de los factores productivos y de la productividad en la brecha del producto por trabajador del país rico respecto a los demás, en el período señalado. En ese sentido, la Tabla 1 expone los resultados hallados.

Cerrar la brecha promedio del producto por trabajador de EEUU respecto a la media mundial en el lapso 1950-2017, depende significativamente de la brecha que existe en niveles de productividad general o eficiencia respecto a la que muestra el país rico. Así pues, de acuerdo a los resultados encontrados en este estudio, la mayor porción de la brecha en producto por trabajador se encuentra ligada la brecha que existe en la PTF (0,72), con una participación secundaria de la brecha en factores productivos (0,36 para el capital humano y -0,08 para el capital físico).
La brecha en la PTF es casi idéntica a la brecha en producto por trabajador en el caso de Este de Asia y Pacífico (1,11 la brecha de la productividad de 1,15 la brecha del producto por trabajador, en escala logarítmica), y en Europa y Asia Central (0,4 la brecha de la productividad de 0,46 la brecha del producto por trabajador, en escala logarítmica), regiones donde literalmente se cerraron las brechas en factores productivos; por tal razón, sus esfuerzos en políticas de crecimiento y convergencia respecto a EEUU, deben concentrarse en incrementos en la productividad o eficiencia con la cual se emplean los factores productivos ya acumulados por estas economías.
En el caso de otras regiones, las perspectivas son más complejas. Por ejemplo, África Subsahariana tiene un producto por trabajador que representó, en promedio, una sexta parte del producto por trabajador de EEUU y la responsabilidad de tal brecha descansa casi por partes iguales tanto en la brecha en acumulación de factores como en la brecha en productividad de estos.
En Latinoamérica y el Caribe, los países de esta región en promedio muestran una brecha en producto por trabajador cuya descomposición se traduce principalmente en una brecha bastante alta en productividad (la diferencia, en escala logarítmica, en la productividad de EEUU respecto a la media de la región es de 1). Además, la desviación estándar de las observaciones cruzadas para la región indica que hay poca variabilidad entre la media de los países de este grupo respecto a la brecha en productividad. La Figura V ilustra las brechas, en logaritmo, en cada variable: Producto por trabajador, factores productivos por trabajador y productividad total; y es otra forma de exponer los mismos resultados del cuadro anterior.

En el mismo orden de ideas, la Tabla 2 muestra información derivada de los resultados anteriores, pero en esta ocasión presenta las brechas en productividad y en factores en términos relativos respecto a la brecha del producto por trabajador, para ver su proporción porcentual. Así, la información es reveladora del papel que juega la brecha en productividad o eficiencia respecto al rol de los factores productivos para representar a las diferencias que existen en producto por trabajador entre el país rico, EE UU, y el resto.

Según los resultados hallados, casi la totalidad de las diferencias en producto por trabajador que ostenta EEUU respecto a las regiones, se componen principalmente por diferencias que existen en los niveles de productividad total de los factores que EEUU presenta respecto al resto, en concreto, un 91,5% o poco más de nueve décimas partes de la diferencia en producto por trabajador. Es decir, la metodología aplicada de la contabilidad del desarrollo arroja en consenso que la eficiencia juega un rol muy crucial en casi todas las regiones para explicar por qué, en promedio, estas son menos ricas que EEUU.
Con la excepción de la región África Subsahariana, donde la mayor proporción es explicada por la acumulación factorial (una sexta parte por el capital físico y dos quintas partes por el capital humano), en todos los demás las diferencias en PTF vienen a significar una alta proporción de las discrepancias en producto por trabajador, que pueden ir desde 50% hasta 94% de las diferencias explicadas por la brecha en productividad; como se dijo, África Subsahariana presenta un comportamiento más parejo respecto a la responsabilidad que tienen las brechas en acumulación y en eficiencia, en explicar las diferencias que históricamente han separado su producto por trabajador del obtenido por EEUU.
La Figura VI sirve para ilustrar los resultados obtenidos en las participaciones relativas de las diferencias en capital físico y humano, así como en productividad total, con el fin de explicar las razones próximas por la cual EEUU es más rico que otros países, en términos intensivos. Se ilustra en el mismo lo antes comentado, sobre el rol igualitario entre eficiencia y acumulación factorial para explicar la brecha de África respecto a EEUU, mientras que en promedio a nivel global un poco más del 90% de las diferencias que separan a EEUU del resto en producto por trabajador, son explicadas por diferencias en eficiencia.

En el caso particular de Latinoamérica y el Caribe cabe señalar que, de acuerdo a autores como Cavalcanti, De Abreu y Veloso (2012), hasta inicios de la década de los setenta del siglo pasado la región en promedio tuvo altos niveles de productividad relativa a Estados Unidos, siendo después de esa década que se observa un rápido decrecimiento en el nivel de PTF. Para Cavalcanti, et al. (2012), entre los factores que pueden explicar la caída en la productividad relativa de los países de esta región, puede mencionarse, severas distorsiones de políticas, una rápida y amplia gama de intervención gubernamental, y barreras a la competitividad nacional e internacional.
Con base en una revisión documental de los principales modelos de crecimiento exógenos y endógenos, Chirwa y Odhiambo (2018) identifican algunos determinantes claves que dan cuenta de las diferencias internacionales en niveles de productividad. Esos determinantes son: La tecnología, el capital intelectual e innnovativo, el capital humano, la política fiscal, la política monetaria, el comercio internacional, factores financieros, e instituciones políticas, económicas y sociales.
En este estudio se identificaron las fuentes de las diferencias, y se contabilizaron las brechas en productividad y en factores productivos que determinan las brechas internacionales en niveles de producción por trabajador, como una aproximación a las diferencias internacionales en ingresos per cápita. Estudios posteriores deben estar dirigidos en indagar en los elementos que influyen en las diferencias en productividad, habida cuenta del rol que juegan los distintos niveles de productividad que exhiben los países, en el tiempo, en los patrones, y diferencias que presentan en tasas de crecimiento e ingresos per cápita.
Conclusiones
Los diferentes modelos disponibles en la teoría del crecimiento económico brindan un conjunto amplio y heterogéneo de predicciones positivas y normativas, por lo tanto, es importante distinguir entre ellos desde el punto de vista empírico. La contabilidad del desarrollo permite una aproximación descriptiva para conocer las fuentes de las diferencias en niveles de ingreso entre diferentes economías y regiones.
Según los resultados hallados, casi la totalidad de las diferencias en producto por trabajador que ostenta EEUU respecto a las regiones, se componen principalmente por diferencias que existen en los niveles de productividad total de los factores que presenta con respecto al resto, poco más del 90%, según estimaciones transversales.
Se concluye que la metodología aplicada de la contabilidad del desarrollo, permite explicar que la eficiencia o productividad juega un rol muy importante en casi todas las regiones para revelar por qué en promedio son menos ricas que EEUU. En América Latina, como en la mayoría de las economías emergentes, elevar la productividad es crucial para cerrar la amplia brecha respecto de los niveles de vida de las economías avanzadas y escapar a la trampa del ingreso medio, lo cual exigirá reformas estructurales integrales, apoyadas en un marco de políticas que fomente la productividad e incorpore consideraciones de inclusión social.
Referencias bibliográficas
Beugelsdijk, S., Klasing, M., y Milionis, P. (2018). Regional economic development in Europe: The role of total factor productivity. Regional Studies, 52(4), 461-476. https://doi.org/10.1080/00343404.2017.1334118
Briones, X. F., Molero, L. E., y Calderón, O. X. (2018). La función de producción Cobb-Douglas en el Ecuador. Tendencias, XIX(2), 45-73.
Caselli, F. (2005). Accounting for cross-country income differences. In P. Aghion and S. N. Durlauf (Eds.), Handbook of economic growth (pp. 679-741). Vol. 1A. Elsevier.
Cavalcanti, P., De Abreu, S., y Veloso, F. A. (2013). On the evolution of total factor productivity in Latin America. Economic Inquiry, 51(1) 16-30. https://doi.org/10.1111/j.1465-7295.2011.00430.x
Cazallo, A. M., y Salazar, E. J. R. (2018). Análisis macroeconómico de los países de la Alianza del Pacífico (2011-2015). Revista de Ciencias Sociales (Ve), XXIV(2), 37-55.
Chirwa, T. G., y Odhiambo, N. M. (2018). Exogenous and endogenous growth models: a critical review. Comparative Economic Research, 21(4), 63-84.
Cole, H., Ohanian, L., Riascos, Á., y Schmitz, J. (2005). Latin American in the rearview mirror. Journal of Monetary Economics, 52(1), 69-107.
De Figueiredo, L., y Nakabashi, L. (2016). The relative importance of total factor productivity and factors of production in income per worker: Evidence from the Brazilian states. Economia, 17(2), 159-175. https://doi.org/10.1016/j.econ.2016.03.005
Federal Reserve Economics Data – FRED (2018). Penn World Tables 9.0.https://fred.stlouisfed.org/categories/33402
Fuertes, E., Plou, P., y Gómez, C. (2017). Desarrollo humano desde la perspectiva del crecimiento. Revista de Ciencias Sociales (Ve), XXIII(4), 81-97.
Gómez, W. A., Posada, C. E., y Rhenals, R. (2018). Determinantes de la productividad multifactorial: Los casos de las principales economías latinoamericanas y emergentes de Asia (1960-2015). Borradores Departamento de Economía, (78), 1-47.
Gutiérrez, A. M. (2019). Determinantes de la productividad total de factores en América del Sur. Investigación & Desarrollo, 19(2), 5-26. https://doi.org/10.23881/idupbo.019.2-1e
Hall, R. E., y Jones, C. I. (1999). Why do some countries produce so much output per worker than others? TheQuarterly Journal of Economics, 114(1), 83-116. https://doi.org/10.1162/003355399555954
Hamann, F. (Coord.), Arias, F., Bejarano, J. A., Gáfaro, M. M., Méndez, J. C., y Poveda, A. P. (2019). Productividad total de los factores y eficiencia en el uso de los recursos productivos en Colombia. Ensayos sobre Política Económica (ESPE), (89), 1-54. https://doi.org/10.32468/espe.89
Hsieh, C-T., y Klenow, P. J. (2010). Development accounting. American Economic Journal: Macroeconomics, 2(1), 207-223. https://doi.org/10.1257/mac.2.1.207
Klenow, P., y Rodríguez-Clare, A. (1997). The neoclassical revival in growth economics: Has it gone too far? In B. S. Bernanke and J. Rotemberg (Eds.), NBER Macroeconomics Annual 1997, Volume 12 (pp. 73-103). MIT Press.
Klenow, P., y Rodríguez-Clare, A. (2005). Externalities and economic growth. In P. Aghion and S. N. Durlauf (Eds.), Handbook of economic growth (pp. 817-861). Vol. 1A. Elsevier.
Mankiw, N. G., Romer, D., y Weil, D. N. (1992). A contribution to the empirics of economic growth. The Quarterly Journal of Economics, 107(2), 407-437. https://doi.org/10.2307/2118477
Márquez, L. E., Cuétara, L. M., Cartay, R. C., y Labarca, N. J. (2020). Desarrollo y crecimiento económico: Análisis teórico desde un enfoque cuantitativo. Revista de Ciencias Sociales (Ve), XXVI(1), 233-253.
Ramos, C., Alvargonzález, M., y Moreno, B. (2018). Factores determinantes de la reducción de la desigualdad en la distribución de la renta en países de América Latina. Revista de la CEPAL, (126), 88-107.
Solow, R. M. (1956). A contribution to the theory of economic growth. The Quarterly Journal of Economics, 70(1), 65-94.
Solow, R. M. (1957). Technical change and the aggregate production function. The Review of Economics and Statistics, 39(3), 312-320.
Swan, T. W. (1956). Economic growth and capital accumulation. Economic Record, 32(2), 334-361. https://doi.org/10.1111/j.1475-4932.1956.tb00434.x
Weil, D. (2006). Crecimiento económico. Editorial Pearson Educación, S.A.
Notas