Ética del gerente educativo y desempeño docente en educación media general
Ethics of the educational manager and teaching performance in general middle education
Ética del gerente educativo y desempeño docente en educación media general
Revista de Ciencias Sociales (Ve), vol. Esp. 28, núm. 5, pp. 158-171, 2022
Universidad del Zulia
Recepción: 17 Diciembre 2021
Aprobación: 06 Marzo 2022
Resumen: Las variables ética y desempeño intervienen en diversos campos como el educativo, sin embargo, en algunas instituciones de educación media general, los docentes presentan desmotivación y desinterés por el desempeño laboral, y se registran en algunos planteles incumplimiento del horario de clases. Así, el propósito de este estudio es determinar el grado de relación entre el desempeño docente y la ética del gerente educativo en Educación Media General, en el Municipio Mara, Zulia-Venezuela. La investigación fue tipo correlacional, descriptiva, no experimental, transversal y de campo. Participaron docentes y directores, para una población total de 56 individuos. La técnica de recolección fue un instrumento tipo cuestionario con 36 ítems, una escala de respuesta Likert, y 05 alternativas cerradas. Obtenidos los promedios generales de las variables, los encuestados casi siempre identifican y distinguen de forma adecuada las dimensiones Principios éticos y Características personales de la variable Ética del gerente educativo, así como también describen e identifican adecuadamente las dimensiones Factores y Evaluación del desempeño docente, con sus respectivos indicadores, obteniendo una correlación 0.763. significando que la asociación entre ambas variables es alta, concluyendo que se debe mantener la efectividad en indicadores que contaron con fortalezas e incrementarlo en aquellos que presentaron falencias.
Palabras clave: Educación, ética profesional, gerencia educativa, trabajo educativo, desempeño docente.
Abstract: The variables ethics and performance intervene in various fields such as education, however, in some institutions of general secondary education, teachers are demotivated and disinterested in their work performance, and in some schools there is non-compliance with the class schedule. Thus, the purpose of this study is to determine the degree of relationship between teacher performance and the ethics of the educational manager in General High School Education, in the Mara Municipality, Zulia-Venezuela. The research was correlational, descriptive, non-experimental, cross-sectional and field research. Teachers and principals participated, for a total population of 56 individuals. The collection technique was a questionnaire-type instrument with 36 items, a Likert response scale, and 05 closed alternatives. After obtaining the general averages of the variables, the respondents almost always identify and distinguish adequately the dimensions Ethical principles and Personal characteristics of the variable Ethics of the educational manager, as well as adequately describe and identify the dimensions Factors and Evaluation of teacher performance, with their respective indicators, obtaining a correlation of 0.763, meaning that the association between both variables is high, concluding that the effectiveness should be maintained in indicators that had strengths and increase it in those that presented weaknesses
Keywords: Education, professional ethics, educational management, educational work, teaching performance.
Introducción
La ética y la moral son temas de gran auge en distintos escenarios, debido a que intervienen en cada una de las actividades que desarrolla el hombre (Lemoine, Hartnell y Leroy, 2019; Espinoza y Calva, 2020). En este sentido, al hacer referencia a los aspectos morales y éticos es necesario resaltar la relevancia que cobran en el ámbito educativo y, sobre todo, en los responsables de conducir o guiar los procesos, teniendo en cuenta el marco legal que rige en materia educativa (Opie, 2004). Esto indica que los gerentes deben mostrar actitudes apegadas a la ética, la cual debe afianzarse en los principios de equidad e imparcialidad, donde la conexión de estos principios rige la conducta de cualquier individuo (Xu, Loi y Ngo, 2016).
La gestión educativa debe ajustarse a una función orientadora y transformadora en el proceso educativo, considerando la aplicación de valores éticos, para motivar a los docentes, y estudiantes (Amanchukwu, Stanley y Ololube, 2015; Torcatt, 2020). Es decir, que el gerente debe propiciar los estímulos necesarios para que los docentes tengan un mejor desempeño en sus prácticas pedagógicas (Coaquira, 2020; Ripoll, Palencia y Cohen, 2021). En referencia al rendimiento docente y su relación con la ética, Ruiz, Silva y Vanga (2008) resaltan que el desempeño docente debe estar cimentado en otros aspectos también relevantes como los valores; en este sentido, el desempeño docente puede verse afectado negativamente si no hay práctica de valores.
El desempeño laboral, la ética, y su relación se han convertido en una temática de análisis en diversos campos del ámbito laboral, como se observa en Ruiz et al. (2008); y, Ríos-Manríquez, López-Salazar y López-Mateo (2015); en el contexto educativo, por ejemplo, se destaca la investigación de Kusumaningrum, Bambang y Gunawan (2019) donde se estudió el vínculo entre ambos campos y se determinó que existe influencia positiva por parte de la ética profesional en el desempeño laboral de los docentes, lo cuales deben implementar lineamientos éticos para llevar a cabo su labor educativa. Asimismo, se encuentra el trabajo investigativo de Torres y Lajo (2011), en el cual se encontró que la ética profesional tiene una conexión relevante con el desempeño laboral de los educadores, indicando que ambas variables son significativas para la operatividad de una institución educativa (IE).
En este orden de ideas, en Venezuela se tienen los mismos requerimientos en cuanto a las actitudes de los gerentes educativos, puesto que se requiere que intervengan de manera coherente y objetiva ante cualquier situación que se presente en las instituciones de educación a su cargo, de manera que no sea afectada la calidad educativa, sino que pueda promover las potencialidades de los sistemas humanos ante los cambios evolutivos y eventos imprevistos. Por otra parte, en algunas instituciones de Educación Media General (EMG), el colectivo de los docentes presenta altos grados de desmotivación y desinterés por el desempeño laboral, se registran en algunos planteles casos de irresponsabilidad en cuanto al cumplimiento del horario de clases y graves problemas de comunicación entre docentes y directivos.
Por lo anterior y dado el grado de importancia que tienen estas dos variables, la finalidad de esta investigación es determinar el grado de relación entre el desempeño docente y la ética del gerente educativo, con el fin de ofrecer una base de conocimientos que permita atender las dificultades presentes, así como lograr un desempeño y la aplicación de una ética de forma adecuada que se convierta en una práctica cotidiana dentro de la cultura entre los miembros de la institución.
1. Fundamentación teórica
La ética ha sido definida en estudios como el de Srivastava et al. (2021), donde indican que se conceptualiza como las creencias que tienen la gente sobre si está bien o mal determinadas acciones, poner en práctica ciertas acciones, o conductas. Mientras que Sardeli y Savvas (2020), estipulan que la ética se caracteriza por un conjunto de principios morales que influyen significativamente en el comportamiento y las acciones de cada persona. En este sentido, la subjetividad se convierte en un atributo relevante dado que el comportamiento puede variar de individuo a individuo al depender de la percepción de éste sobre la ética (Citra, 2021).
Por otra parte, el desempeño laboral también ha sido tomado como foco de estudio, donde diferentes investigaciones como la de Ta’an et al. (2020), lo definen como el método que aplican los trabajadores, considerando el cumplimiento de estándares durante el proceso. Asimismo, en Chagray et al. (2020) se plantea que este concepto se refiere a la eficacia de los empleados que laboran en una empresa, teniendo en cuenta algunos aspectos como el cumplimiento de actividades relacionadas con el cargo y la satisfacción laboral. De forma complementaria, se han establecido factores relevantes que caracterizan al desempeño laboral, como la confiabilidad, y la empatía, los cuales pueden ser aspectos clave al medirlo (Ojeda, Barrera y Mul, 2021).
2. Metodología
La presente investigación corresponde al tipo descriptiva correlacional, debido a que la investigación descriptiva, conduce a obtener información acerca del estado actual de los fenómenos (Grove y Gray, 2018). Por otra parte, es correlacional por contener dos variables, y busca principalmente, determinar el nivel en el cual las variables en uno o más aspectos son afines entre sí (Tamayo, 2010). En este caso, se evalúa la relación que exista entre las variables Desempeño docente y Ética del gerente educativo. En relación al diseño, la investigación es no experimental, transeccional y de campo. Este estudio es no experimental, porque los fenómenos son observados de la forma en la que acontecen naturalmente, sin participar en su desarrollo (Hernández, Fernández y Baptista, 2014).
En cuanto a los sujetos de la investigación, están constituido por el personal directivo en función gerencial y docente pertenecientes a las instituciones de EMG del municipio Mara del estado Zulia en Venezuela. En cuanto a la población de estudio, fue conformada por 53 educadores y 03 directores, lo que corresponde a la suma total de 56 sujetos; donde se tuvo acceso al total de la población, por lo cual se considera un censo poblacional. A continuación, en la Tabla 1 se detalla la población, segmentada por IE y cantidad de miembros entre directivos educativos y educadores.
| IE | Directores(DIR) | Docentes(DOC) | Totales |
| IE José Ignacio Pulido | 01 | 19 | 20 |
| IE José Gregório Magno | 01 | 16 | 17 |
| IE Juan Vicente Camacho | 01 | 18 | 19 |
| Totales | 03 | 53 | 56 |
2.1. Técnicas de recolección de datos
La técnica de recolección seleccionada fue la encuesta y como instrumento un cuestionario, el cual fue constituido por 36 preguntas, y se estructuró con una escala Likert, cuyas opciones de respuesta fueron configuradas de la siguiente forma: Siempre, Casi Siempre, Algunas Veces, Casi Nunca, y Nunca. Por otra parte, el cuestionario elaborado fue revisado por un grupo de cinco profesionales en gerencia educativa e investigación, quienes determinaron la pertinencia del mismo, considerando las variables, dimensiones, indicadores e ítems.
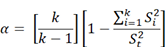
En relación con la confiabilidad, se implementó una prueba piloto a un grupo de 20 individuos con atributos parecidos a la población del estudio, directivos y docentes, pero que no pertenecen a la población seleccionada para la presente investigación. El grado de confiabilidad fue determinado mediante la aplicación de la fórmula del coeficiente Alfa de Cronbach, la cual se representa a continuación: 
Donde k es el número de ítems, S es la sumatoria, α es el coeficiente de Alfa-Cronbach,
es la varianza de puntaje de cada ítem,
es la varianza de puntajes totales, y 1 es una constante. Con base en lo descrito se obtuvo como resultado un coeficiente de confiabilidad de 0.927 para la variable Desempeño docente, y la variable Ética del gerente educativo arrojó un coeficiente de confiabilidad de 0.864, lo que denota que el instrumento cuenta con un alto nivel de confiabilidad según Ruíz (2009).
2.2. Análisis de los datos
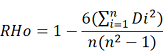
Para analizar los datos obtenidos por el instrumento, se implementó estadística descriptiva mediante el paquete estadístico SPSS, el cual permitió obtener porcentajes promedio por dimensión e indicador. Se determinó el nivel de correlación entre Desempeño docente y Ética del gerente educativo mediante el uso de la fórmula de Rho de Spearman. Luego, se llevó a cabo el contraste entre estos resultados y las teorías que sustentan el estudio, describiendo las conclusiones a las cuales dieron lugar, y dando a conocer sugerencias pertinentes para estos resultados. A continuación, se detalla la fórmula de Rho Spearman: 
Donde Rho es el coeficiente de correlación de Spearman, Di es la diferencia entre los rangos de i, N es el tamaño de la muestra, y 1 es la constante.
3. Resultados y discusión
En este apartado se detallan los resultados alcanzados con la implementación del instrumento sobre la población de directores y docentes, donde se analizan los porcentajes medios obtenidos para cada uno de los grupos que intervinieron en la investigación y las alternativas de respuesta, teniendo en cuenta las variables de análisis. Asimismo, se determina el grado de correlación que existe entre el desempeño docente y la ética del gerente educativo.
3.1. Ética del gerente educativo
Al respecto, se utilizaron las dimensiones Principios Éticos del Gerente Educativo y Características Personales del Gerente Educativo que reflejan su Ética. En referencia a la primera, para su análisis se implementaron los indicadores Responsabilidad, Equitativo, y Tolerante, los cuales contribuyeron a la obtención de datos específicos que permitieron realizar un proceso con mayor precisión, como se plantea en la Tabla 2.
| Indicador | Alternativas de respuesta(%) | |||||||||
| Siempre | Casi Siempre | Algunas Veces | Casi Nunca | Nunca | ||||||
| Población | DIR | DOC | DIR | DOC | DIR | DOC | DIR | DOC | DIR | DOC |
| Responsabilidad | 55,56 | 0,00 | 44,44 | 56,60 | 0,00 | 24,53 | 0,00 | 7,55 | 0,00 | 11,32 |
| Equitativo | 55,56 | 0,0 | 44,44 | 30,2 | 0,00 | 13,2 | 0,00 | 47,17 | 0,00 | 9,43 |
| Tolerante | 88,89 | 0,0 | 11,11 | 28,30 | 0,00 | 30,19 | 0,00 | 32,08 | 0,00 | 9,43 |
| Promedio | 66,67 | 0,00 | 33,33 | 38,36 | 0,00 | 22,64 | 0,00 | 28,93 | 0,00 | 10,06 |
| Porcentaje | 33,33 | 35,85 | 11,32 | 14,47 | 5,03 | |||||
Mediante lo anterior se obtuvo que, considerando el promedio de directivos (33,33%), se presenta una moderada fortaleza en cuanto a los indicadores Responsabilidad y Equitativo con un 44,44%; respecto a la opinión de los educadores, considerando su promedio de respuesta (38,36%), se encontraron fortalezas en relación al indicador Responsabilidad con un 56,60% de esta dimensión. En cuanto a las debilidades encontradas en los indicadores se resalta el indicador Tolerante, donde se obtuvo un 28,30% en los educadores, y 11,11% en opinión de los directivos. Asimismo, los educadores reflejaron dificultad en la identificación del indicador Equitativo.
Finalizando este análisis se puede destacar que existe mayor predilección de respuestas por parte de los directivos y educadores hacia las opciones Casi siempre y Siempre, lo que indica que la dimensión Principios Éticos del Gerente Educativo presenta una identificación significativa dentro de la variable estudiada.
Así, los resultados obtenidos poseen ciertos acercamientos a los postulados expuestos por Rincón (2015), quien expone que los principios éticos además de considerar culturas sociales y costumbres, se deben apoyar en lineamientos de convivencia globales, por lo que los seres humanos, en cuanto a necesidades se refiere, tienen las mismas exigencias. Este autor hace referencia a que todas las personas tienen necesidades en cuanto a la convivencia con los demás, debido a que la estructura física y mental no difiere de la de los otros.
Por su parte, Cortina y Martínez (2008), plantean dentro de los principios éticos, que la ética es un tipo de conocimiento práctico, que permite determinar qué acción debe ser llevada a cabo, y decidir los hábitos idóneos para la convivencia. El estudio hace referencia a que la ética es el conocimiento sobre el comportamiento adecuado en cada circunstancia o situaciones, lo que significa que los principios éticos determinan las acciones a tomar para la convivencia. En referencia al área educativa, los Gerentes no solo ameritan manejar estos principios, sino que deben propiciarlos en el personal a su cargo.
Con respecto al indicador Tolerante, se observan discrepancias entre los resultados obtenidos y los planteamientos realizados por diversos autores, uno de ellos es Gómez (2001), quien manifiesta que la tolerancia es la capacidad que tiene el ser humano de soportar las actuaciones de los demás sin realizar o emitir juicios. Lo cual significa, visto desde una perspectiva gerencial educativa, que el éxito de la gestión dentro del contexto social educativo dependerá en cierta medida de que se evalúe a los trabajadores sin hacer juicios, orientándolos hacia un punto de mayor desarrollo, de manera que se logren las metas personales y colectivas.
Con los resultados obtenidos se establecen discrepancias en cuanto a la opinión de los docentes sobre el indicador Equitativo y lo que plantea Silva (2020), quien considera que la equidad es un valor que involucra igualdad de oportunidades para cualquier persona sin importar aspectos como el género y la raza; tal y como lo expresa el autor, la equidad infiere proporciones iguales en cualquier aspecto. Por esta razón, este principio ético es de suma importancia para ejercer una función gerente, debido a que así no se tomará parte a favor de intereses particulares.
Por otra parte, en cuanto a la dimensión: Características personales del gerente educativo que reflejan su ética, utiliza los indicadores Autocontrol, Empatía, y Solidario, con el fin de mostrar los datos específicos desde diversos puntos de vista, y realizar un proceso analítico más acertado, como se plantea en la Tabla 3.
| Indicador | Alternativas de respuestas (%) | |||||||||
| Siempre | Casi Siempre Siempre | Algunas Veces | Casi Nunca Nunca | Nunca | ||||||
| Población | DIR | DOC | DIR | DOC | DIR | DOC | DIR | DOC | DIR | DOC |
| Autocontrol | 44,44 | 0,00 | 55,56 | 32,08 | 0,00 | 7,55 | 0,00 | 43,40 | 0,00 | 16,98 |
| Empatía | 66,67 | 0,00 | 33,33 | 20,8 | 0,00 | 13,21 | 0,00 | 47,17 | 0,00 | 18,87 |
| Solidario | 66,67 | 0,00 | 33,33 | 24,53 | 0,00 | 5,66 | 0,00 | 54,72 | 0,00 | 15,09 |
| Promedio | 59,26 | 0,00 | 40,74 | 25,79 | 0,00 | 8,81 | 0,00 | 48,43 | 0,00 | 16,98 |
| Porcentaje | 29,63 | 33,26 | 4,40 | 24,21 | 8,49 | |||||
Se evidencia, a través del promedio obtenido para los directivos de 40,74%, la fortaleza para el indicador Autocontrol con un 55,56%, y para los docentes, bajo su promedio de 25,79%, existen fortalezas en el mismo indicador con un 32,08%. Apreciando inconvenientes respecto a los indicadores Empatía y Solidario para los directivos con un 33,33%, y en el caso de los docentes se evidencia a Solidario con un 24,53%; y a Empatía con un 20,8%. Al analizar la predilección que tienen los encuestados conforme a la opción de respuesta se pudo determinar que se presenta una inclinación hacia las categorías Siempre y Casi Siempre, lo cual significa que se cumple de forma idónea con la diferenciación de los indicadores de la dimensión.
Se hallaron acercamientos en relación a los planteamientos realizados por Bounds y Woods (1999), quienes exponen que la comunidad profesional, en la medida que cuente con personas con calidad humana, fomenta una cultura de mayor calidad ética, y esta, en último término depende de quienes forman la organización, sus valores y la facilidad con que los colocan en práctica. De acuerdo con lo descrito, las organizaciones tendrán mayores beneficios en la medida que su personal se apegue a las normas éticas y mantengan una actitud acorde a los derechos de los demás.
De igual forma, al contemplar las características éticas del gerente educativo, hay que hacer énfasis en las actitudes de este, dado que deben ser tenidas en cuenta como constante para su vida profesional, debido a que los induce a efectuar sus actividades laborales con eficiencia y a sostener una postura de rechazo frente a todo lo que afecte negativamente su dignidad.
En cuanto a la debilidad evidenciada para Empatía, lo expresado por Directivos y Docentes difiere de lo planteado por Harrison et al. (2020), quienes exponen que la empatía se refiere a las capacidades que contribuyen al reconocimiento y entendimiento de los sentimientos de los demás, y las motivaciones que influyen en su conducta. Para los autores la empatía implica visualizar el mundo desde la óptica de otro individuo, y experimentar sus emociones. Es vivir temporalmente en el mundo subjetivo del otro, sin hacer juicios, paseándose por sus sentimientos, emociones, cogniciones y argumentos personales sin modificarlos.
En relación a la falencia encontrada para el indicador Solidario, existen discrepancias con lo estipulado por West-Oram (2020), quien plantea que es un encuentro en el cual alguien ofrece su ayuda de manera desinteresada para lograr un bien en la comunidad. La posición del autor establece que este valor es elemento fundamental para la verdadera convivencia de los seres humanos. Desde esta perspectiva, los valores se constituyen en eslabones de una misma cadena que forman lazos de interdependencia e interactúan entre sí al ser parte del sistema moral y ético de una persona.
En este orden de ideas, en cuanto a los resultados generales de la variable analizada: Ética del gerente educativo, se obtuvo que la población de directivos y docentes encuestados se inclinaron con mayor frecuencia por la categoría Casi Siempre con un 34,56%; seguida de Siempre con 31,48%; posteriormente, le sigue la categoría Casi Nunca con 19,34%; seguida de Algunas Veces con 7,86%; y, por último, Nunca con un 6,76%.
Además, al realizar la revisión por promedios para los directivos que poseen un 37,04%, que se puede observar fortaleza en relación a la dimensión Características Personales del Gerente Educativo que reflejan su Ética por parte de los directivos con un 40,74% y debilidad por parte de los docentes en la misma dimensión con un 25,79%. Al evidenciar la preferencia de la población encuestada por las categorías Casi Siempre y Siempre, se contempla que existe un cumplimiento adecuado de las dimensiones señaladas.
Al respecto, Andersson et al. (2022) señalan que la actitud ética tiene por tarea deliberar bien con objeto de realizar la elección más adecuada en diversas situaciones. Esto induce a pensar que la ética consiste en tomar las decisiones más adecuadas, reflexionando sobre los distintos cursos de acción o modos de actuar. El logro de los objetivos y de una reforma educativa dependerá de la coherencia entre los valores que se quieren expresar, actitudes permanentes en una primera instancia y las practicas institucionales dentro y fuera del aula. Los valores deben interpretarse en un modo de vida cotidiano en la institución que penetren y trasciendan su diseño curricular.
3.2. Desempeño docente
Se utilizaron las dimensiones Factores del Desempeño Docente y Evaluación del Desempeño Docente. La primera, se caracteriza por los indicadores, Adecuación del Individuo al Cargo (AIC), Capacitación, y Comunicación, los cuales permiten medir diversos aspectos de la dimensión, con el propósito de lograr un proceso analítico idóneo, como se plantea en la Tabla 4.
| Indicador | Alternativas de respuestas (%) | |||||||||
| Siempre | Casi Siempre | Algunas Veces | Casi Nunca | Nunca | ||||||
| Población | DIR | DOC | DIR | DOC | DIR | DOC | DIR | DOC | DIR | DOC |
| AIC | 22,22 | 0,00 | 77,78 | 11,32 | 0,00 | 12,58 | 0,00 | 57,86 | 0,00 | 18,24 |
| Capacitación | 55,56 | 0,0 | 44,44 | 10,1 | 0,00 | 31,4 | 0,00 | 54,09 | 0,00 | 4,40 |
| Comunicación | 55,56 | 0,0 | 44,44 | 12,58 | 0,00 | 37,74 | 0,00 | 23,90 | 0,00 | 25,79 |
| Promedio | 44,44 | 0,00 | 55,56 | 11,32 | 0,00 | 27,25 | 0,00 | 45,28 | 0,00 | 16,14 |
| Porcentaje | 22,22 | 33,44 | 13,63 | 22,64 | 8,07 | |||||
Analizando los diferentes promedios y tomando en consideración el mismo en relación a las respuestas por parte de los directivos con un 55,56%, se pueden evidenciar grandes fortalezas en cuanto al indicador AIC con un 77,78%; con respecto a los docentes y su promedio de 11,32%, se evidencia fortalezas en relación a Comunicación con un 12,58%.
Asimismo, se apreciaron debilidades en relación a los indicadores Capacitación y Comunicación para los directivos con un 44,44%; y en el caso de los docentes con un 10,1% con respecto a Capacitación, siendo este un indicador de débil manejo para el personal docente. Al analizar la predilección que tienen los encuestados de acuerdo con la alternativa de respuesta, se determinó que existe una inclinación hacia las categorías Casi Siempre y Casi Nunca, lo que significa que se cumple medianamente con la descripción de los factores del desempeño laboral de los educadores en EMG.
De igual manera, se observaron buenas estrategias de comunicación en las instituciones analizadas; no obstante, se encontró que aún existen gerentes autocráticos. De igual forma, se evidenció que la comunicación y el control son las funciones que mejor implementan los jefes de sección, lo cual indica que las funciones de organización, ejecución, y planificación, deben ser fortalecidas con el fin de alcanzar un desempeño laboral óptimo.
De esta manera se encuentra una posición coincidente a los supuestos teóricos que expone Chiavenato (2009), que establece que el desempeño del cargo es una situación que cambia de individuo a individuo y está sujeta a diversos factores condicionantes que afectan de forma relevante. El autor menciona que la cantidad de esfuerzo que un individuo está dispuesto a realizar depende del valor de las recompensas; es decir, es una relación costo-beneficio, implementada para estimular de manera positiva el rendimiento que pueda brindar la persona, dado que ésta espera un beneficio al final de una acción.
Con relación a la debilidad demostrada por los directivos y docentes en cuanto a Capacitación, se hallan diferencias con los planteamientos realizados por García (1982), quien manifiesta que la capacitación, le suministra al individuo los datos, métodos, técnicas, necesarios y eficaces para su aplicación en la práctica, siempre teniendo un sentido de misión, el cual es entendido como el establecimiento de metas, con un propósito para lograrla, y a la vez cumplirla. Ante lo expuesto por el autor, es importante puntualizar que la capacitación debe ser claramente conceptualizada y reconocida por todos los colaboradores, de igual forma, puede ser comprendida como la obligación que tiene el educador de cumplir con la abnegada labor en enseñar al alumno.
En cuanto a la debilidad evidenciada por los directivos con relación a Comunicación, se hallan diferencias con los planteamientos realizados por Alonso y Fernández (2018), quienes al respecto señalan que: “Una organización puede estar bien diseñada, pero si el mecanismo de la comunicación no funciona, trae necesariamente como consecuencia una desarticulación de la estructura organizacional” (p.56). Así, la comunicación debe ser entendida como componente estructural y funcional para que la gestión gerencial tenga significado.
Por otra parte, respecto a la dimensión: Evaluación del Desempeño Docente, para su análisis se implementaron los indicadores Comportamiento, Resultados en las Tareas (RT), y Efectividad, los cuales sirvieron como base para evaluar puntos de vista diferentes sobre la evaluación del desempeño docente y emitir resultados con mayor precisión, como se plantea en la Tabla 5.
| Indicador | Alternativas de respuestas(%) | |||||||||
| Siempre | Casi Siempre | Algunas Veces | Casi Nunca | Nunca | ||||||
| Población | DIR | DOC | DIR | DOC | DIR | DOC | DIR | DOC | DIR | DOC |
| RT | 66,67 | 0 | 33,33 | 13,21 | 0 | 3,14 | 0 | 33,96 | 0 | 49,69 |
| Comportamiento | 33,33 | 0 | 66,67 | 17,0 | 0 | 25,16 | 0 | 41,51 | 0 | 16,35 |
| Efectividad | 55,56 | 0 | 44,44 | 6,92 | 0 | 25,16 | 0 | 28,93 | 0 | 38,99 |
| Promedio | 51,85 | 0 | 48,15 | 12,37 | 0 | 17,82 | 0 | 34,80 | 0 | 35,01 |
| Porcentaje | 25,93 | 30,26 | 8,91 | 17,40 | 17,51 | |||||
Fuente: Elaboración propia, 2021
Se obtuvo que los directivos con un 30,26%, poseen fortalezas con respecto al indicador Comportamiento, siendo este indicador de mejor manejo para esta población con un 66,67%; y en relación al promedio de 12,37% para las respuestas obtenidas para los docentes, se aprecian fortalezas de igual forma en relación a Comportamiento con un 17,0% y RT con un 13,21%.
Además, se aprecia una marcada debilidad en el indicador Resultado en las Tareas en el caso de los directivos con un 33,33% y Efectividad con 44,44%; y para los docentes se ubicó en relación a Efectividad con un 6,92% siendo este un indicador de débil manejo. Al analizar la predilección que tiene la población de acuerdo con las opciones de respuesta, se obtuvo que existe una inclinación hacia las categorías Siempre y Casi Siempre, lo cual significa que se cumple adecuadamente con los indicadores de la dimensión.
Con base en lo descrito, se establece una posición semejante a los expuestos teóricos realizados por autores tales como Gibson et al. (2011), quienes conceptualizan la evaluación del desempeño como: La evaluación sistemática, formal del resultado de un empleado y del potencial para desarrollo de su futuro. En líneas generales, la evaluación del desempeño, representa el procedimiento que permite estimar el rendimiento general del trabajador. Implica brindar retroalimentación al trabajador sobre la forma en que cumple sus tareas, a la vez la conducta en la organización.
Asimismo, existe una posición contradictoria en relación al indicador Efectividad con lo expuesto por los directivos y docentes con respecto a los postulados de autores como Robbins y Coulter (2010), quienes opinan que las evaluaciones del desempeño, requieren encaminarse hacia los aspectos referentes a la retroalimentación, el desarrollo y documentación. Por lo tanto, es fundamental comunicar a los empleados cómo ha sido su desempeño en función de las metas fijadas con la finalidad de establecer una relación entre el esfuerzo y el resultado alcanzado. Sobre el desarrollo, los autores se refieren a las áreas donde el empleado presente debilidad, las cuales deben mejorarse para un óptimo desempeño. Finalmente, la documentación trata sobre el apoyo que ofrecen las evaluaciones de desempeño a las necesidades legales del empleado y la organización.
Por otra parte, según la encuesta realizada a la población de directivos y docentes, como resultado general de la variable: desempeño docente, se obtuvo que los encuestados se inclinaron con mayor frecuencia por la categoría Casi Siempre con un 31,85%, seguida de Siempre con 24,07%, posteriormente se escoge la categoría Casi Nunca con 20,02%, seguida de Nunca con 12,79% y por último con 11,27% Algunas Veces.
El análisis de los promedios de los directivos de un 51,85% evidencia fortalezas en cuanto a la dimensión Factores del Desempeño con 55,56%. De la misma forma, los docentes bajo el promedio de 11,84%, muestran un buen manejo de la dimensión Evaluación del Desempeño con un 12,37%. Mientras que, respecto a las debilidades se observa, en relación a la dimensión Evaluación del Desempeño, un 48,15% en las respuestas de los directivos; y los Factores del Desempeño para los Docentes con un 11,32%. Al evidenciar la preferencia de la población encuestada por las categorías Casi Siempre y Siempre, se puede apreciar que se cumple de forma idónea con las dimensiones señaladas en relación a la variable Desempeño Docente.
Al respecto, Gómez (2000) expresa que el desempeño laboral se refiere al esfuerzo, así como la capacidad para desempeñarse en un contexto con las herramientas y competencias indicadas, siendo concebido por el esfuerzo que realiza una persona cuando utiliza sus capacidades y la tecnología, con la finalidad de efectuar con eficiencia su trabajo. Por lo anterior, todo recurso humano que interacciona dentro de una empresa tiene una conducta que repercute en los resultados de sus actos.
Considerando lo anterior, Sarıköse y Göktepe (2022) expresan un concepto más concreto, al conceptualizarlo como la conducta evaluada al buscar los propósitos establecidos. Aquí radica el aspecto principal del sistema. El rendimiento representa la estrategia individual para alcanzar los propósitos empresariales. Considerando lo planteado, el desempeño del cargo se puede definir como una situación que varía según sea el individuo, y está sujeta a diversos factores condicionantes que impactan de manera significativa.
3.3. Correlación entre la Ética del gerente educativo y el Desempeño docente en EMG
Se aplicó el método del cálculo del coeficiente de correlación de Spearman para la determinación del grado de relación entre las variables: Ética del gerente educativo y Desempeño docente en EMG; por lo cual, las mediciones fueron transformadas a forma nominal empleando los valores arrojados por el programa SPSS. El proceso implementado para la prueba fue llevado a cabo mediante la fórmula estadística de Spearman.
Implementada la fórmula, se produjo un coeficiente de correlación de Spearman de 0.763 a un grado de significancia de 0.033, lo cual significa que existe una relación alta y estadísticamente significativa entre las variables, su signo positivo significa que a medida que incrementan los valores de la variable Desempeño Docente aumentan los valores de la variable Ética del Gerente Educativo en las instituciones analizadas y viceversa.
Conclusiones
De acuerdo con los resultados se concluye que existen debilidades relacionadas con los principios éticos del gerente educativo, específicamente, los indicadores Tolerante y Equitativo en las instituciones analizadas, también se encontraron carencias respecto a la ética del gerente educativo, las cuales deben ser atendidas oportunamente, debido a que estos aspectos son necesarios para efectuar un manejo y trato adecuado del personal, e impulsar el cumplimiento de los propósitos institucionales de manera efectiva, aprovechando las relaciones interpersonales y los recursos humanos con los que cuenta la organización educativa.
De igual forma, se encontró que las características personales del gerente educativo que reflejan su actitud ética, como la empatía y la solidaridad, presentan dificultades que pueden ser mejoradas dentro de la organización mediante mecanismo de formación permanente para estimular de manera positiva el fortalecimiento de la gestión académica. Asimismo, el gerente educativo debe impulsar el correcto desempeño docente respecto a la capacitación y comunicación con la finalidad de alcanzar los objetivos organizacionales.
Considerando lo planteado, en cuanto a la evaluación del desempeño docente, adquiere relevancia el aprovechamiento de herramientas enriquecedoras en materia de efectividad y resultado en las tareas, que permitan al personal adaptarse, así como desarrollar la destreza para llevar a cabo este proceso.
Además, la determinación del grado de correlación entre las variables Ética del Gerente Educativo y Desempeño Docente, permitió comprender que los esfuerzos por lograr mejoras en cualquiera de las mismas generan efectos de igual magnitud en la otra; por ello, se debe mantener el nivel de efectividad en indicadores que contaron con fortalezas, como Responsabilidad, Autocontrol, AIC, y Comportamiento, e incrementarlo en aquellos que presentaron falencias.
Así, esta investigación aporta aspectos de mejora para la operación de diversas organizaciones educativas, lo cual se espera que sirva de base en futuros estudios relacionados con la gestión educativa. No obstante, existen limitaciones respecto a los resultados obtenidos dado que sólo se analizaron instituciones de un municipio, pero podrían variar en el caso de otras localizaciones.
Referencias bibliográficas
Alonso, L. E., y Fernández, C. J. (2018). Poder y sacrificio: Los nuevos discursos de la empresa. Siglo XXI de España Editores.
Amanchukwu, R. N., Stanley, G. J., y Ololube, N. P. (2015). A review of leadership theories, principles and styles and their relevance to educational management. Management, 5(1), 6-14.
Andersson, H., Svensson, A., Frank, C., Rantala, A., Holmberg, M., y Bremer, A. (2022). Ethics education to support ethical competence learning in healthcare: an integrative systematic review. BMC Medical Ethics, 23, 29. https://doi.org/10.1186/s12910-022-00766-z
Bounds, G. M., y Woods, J. A. (1999). Supervisión. International Thomson Editores.
Chagray, N. H., Ramos, S. E., Neri, A. C., Maguiña, R. M., e Hidalgo, Y. N. (2020). Clima organizacional y desempeño laboral, caso: Empresa Lechera Peruana. Revista Nacional de Administración, 11(2), 21-29. https://doi.org/10.22458/rna.v11i2.3297
Chiavenato, I. (2009). Gestión del talento humano. McGraw-Hill/ Interamericana Editores.
Citra, D. (2021). The importance of ethics and social responsibility in international business. Journal of Management and Business Innovations, 3(2), 52-60. http://jurnal.uinsu.ac.id/index.php/jombi/article/view/10660
Coaquira, C. M. (2020). Prácticas pedagógicas desde el enfoque socioformativo: Una autoevaluación Docente en Perú. Revista de Ciencias Sociales (Ve), XXVI(E-2), 260-274. https://doi.org/10.31876/rcs.v26i0.34126
Cortina, A., y Martínez, E. (2008). Ética. Editorial Akal.
Espinoza, E. E., y Calva, D. X. (2020). La ética en las investigaciones educativas. Revista Universidad y Sociedad, 12(4), 333-340.
García, V. (1982). Calidad de educación, trabajo y libertad. Editorial Dossat.
Gibson, J. L., Ivancevichy, J. M., Donnely, J. H., y Konopaske, R. (2011). Organizaciones, comportamiento, estructuras y procesos. McGraw-Hill/ Interamericana Editores.
Gómez, A. (2000). Educación y sociedad. Editorial. Trillas.
Gómez, A. (2001). El crecimiento interior. Ediciones Obelisco.
Grove, S., y Gray, J. (2018). Understanding nursing research: Building an evidence-based practice. Elsevier Health Sciences.
Harrison, J. L., Brownlow, C. L., Ireland, M. J., y Piovesana, A. M. (2020). Empathy measurement in autistic and nonautistic adults: A COSMIN systematic literature review. Assessment, 29(2), 332-350. https://doi.org/10.1177/1073191120964564
Hernández, R., Fernández, C., y Baptista, M. D. P. (2014). Metodología de la investigación. McGraw-Hill/ Interamericana Editores.
Kusumaningrum, D. E., Bambang, R., y Gunawan, I. (2019). Professional ethics and teacher teaching performance: Measurement of teacher empowerment with a soft system methodology approach. International Journal of Innovation, Creativity and Change, 5(4), 611-624.
Lemoine, G. J., Hartnell, C. A., y Leroy, H. (2019). Taking stock of moral approaches to leadership: An integrative review of ethical, authentic, and servant leadership. Academy of Management Annals, 13(1), 148-187. https://doi.org/10.5465/annals.2016.0121
Ojeda, R. N., Barrera, J. L., y Mul, J. (2021). Calidad de vida laboral en hospitales privados del sureste mexicano. Revista de Ciencias Sociales (Ve), XXVII(3), 139-153. https://doi.org/10.31876/rcs.v27i3.36761
Opie, C. (2004). Doing educational research: A guide to first-time researchers. Sage Publications.
Rincón, E. L. (2015). El giro hacia la ética en la formación del economista. Revista de Ciencias Sociales (Ve), 20(2), 371-383.
Ríos-Manríquez, M., López-Salazar, A., y López-Mateo, C. (2015). Ética y calidad laboral: Impacto en el desempeño empresarial. Un estudio empírico. HOLOS, 3, 308-320. https://doi.org/10.15628/holos.2015.2763
Ripoll, M., Palencia, P., y Cohen, J. (2021). Práctica pedagógica, un espacio de conceptualización y experimentación en la formación inicial del educador. Revista de Ciencias Sociales (Ve), XXVII(E-4), 351-363. https://doi.org/10.31876/rcs.v27i.37012
Robbins, S. P., y Coulter, M. (2010). Administración. Editorial Pearson.
Ruíz, C. (2009). Instrumentos de investigación educativa. Procedimientos para su diseño y validación. CIDEG.
Ruiz, J. K., Silva, N. G., y Vanga, M. G. (2008). Ética empresarial y el desempeño laboral en Organizaciones de Alta Tecnología (OAT). Revista Venezolana de Gerencia, 13(43), 417-441.
Sardeli, C., y Savvas, I. (2020). Companion animal ethics: A neglected field of bioethics. Journal of Companion Animal Medicine, 9(2), 156-149.
Sarıköse, S., y Göktepe, N. (2022). Effects of nurses’ individual, professional and work environment characteristics on job performance. Journal of Clinical Nursing, 31(5-6), 633-641. https://doi.org/10.1111/jocn.15921
Silva, M. (2020). The pedagogical dimension of equity in higher education. Education Policy Analysis Archives, 28, 46. https://doi.org/10.14507/epaa.28.5039
Srivastava, M., Shrivastava, S., Srivastava, P., Srivastava, R. K., y Jaiswal, S. (2021). Teaching ethics to medical faculties: An E-learning intervention. Journal of Marine Medical Society, 24(1), 53-56.
Ta’an, W. F., Alhurani, J., Alhalal, E., Al-Dwaikat, T. N., y Al-Faouri, I. (2020). Nursing empowerment: How job performance is affected by a structurally empowered work environment. Journal of Nursing Administration, 50(12), 635-641. https://doi.org/10.1097/NNA.0000000000000951
Tamayo, M. (2010). El proceso de la investigación científica. Editorial Limusa.
Torcatt, T. J. (2020). Liderazgo gerencial y desempeño laboral en docentes del estado Nueva Esparta, Venezuela. Revista de Ciencias Sociales (Ve), XXVI(E-2), 42-53. https://doi.org/10.31876/rcs.v26i0.34112
Torres, M., y Lajo, R. (2011). Relaciones entre ética profesional y desempeño laboral en profesores de un distrito del cono norte de Lima. Revista de Investigación en Psicología, 14(1), 79-93. https://doi.org/10.15381/rinvp.v14i1.2077
West-Oram, P. (2020). Solidarity is for other people: Identifying derelictions of solidarity in responses to COVID-19. Journal of Medical Ethics, 47(2), 65-68. https://doi.org/10.1136/medethics-2020-106522
Xu, A. J., Loi, R., y Ngo, H-Y. (2016). Ethical leadership behavior and employee justice perceptions: The mediating role of trust in organization. Journal of Business Ethics, 134(3), 493-504. https://doi.org/10.1007/s10551-014-2457-4