Competencias emprendedoras para generar una cultura de emprendimiento en la educación superior
Entrepreneurial skills to generate a culture of entrepreneurship in higher education
Competencias emprendedoras para generar una cultura de emprendimiento en la educación superior
Revista de Ciencias Sociales (Ve), vol. Esp. 28, núm. 6, pp. 297-313, 2022
Universidad del Zulia
Recepción: 17 Marzo 2022
Aprobación: 04 Junio 2022
Resumen: Las competencias emprendedoras están relacionadas con capacidades, destrezas, habilidades y aptitudes que posee un emprendedor, o puede adquirir, a través de procesos formativos y de capacitación. Así, el objetivo de la investigación es identificar las competencias emprendedoras en los estudiantes de la carrera de Administración de Empresas de la Universidad Técnica de Oruro, Bolivia, adquiridas en los procesos de formación profesional. El tipo de investigación es descriptivo-correlacional, con diseño de campo, transeccional. Se realizó una encuesta a 290 estudiantes de pregrado, seleccionados de forma intencional. Los principales resultados establecen que el coeficiente de correlación (R) alcanza un valor de 0.153, lo que indica la existencia de una asociación entre las variables; sin embargo, el coeficiente de determinación (R2) tiene un valor de 0.024, lo que permite sostener que la relación de las variables es muy baja, siendo nada significativa la misma. Se concluye que los tipos de competencias que deben desarrollar los estudiantes para generar una cultura emprendedora son las actitudinales, como la motivación, creatividad, liderazgo, toma de decisiones y pensamiento crítico; además, de las conceptuales, como el conocimiento operativo de un negocio, comprensión de la gestión del talento humano, conocimiento de finanzas y el de marketing.
Palabras clave: Emprendimiento, competencias de emprendimiento, competencias actitudinales, cultura emprendedora, estudiantes universitarios.
Abstract: Entrepreneurial competencies are related to capabilities, skills, abilities and aptitudes that an entrepreneur possesses, or can acquire, through training and education processes. Thus, the objective of the research is to identify the entrepreneurial skills in the students of the Business Administration career at the Technical University of Oruro, Bolivia, acquired in the professional training processes. The type of research is descriptive-correlational, with field design, transactional. A survey was conducted on 290 undergraduate students, selected intentionally. The main results establish that the correlation coefficient (R) reaches a value of 0.153, which indicates the existence of an association between the variables; however, the coefficient of determination (R2) has a value of 0.024, which allows us to maintain that the relationship of the variables is very low, being nothing significant. It is concluded that the types of skills that students must develop to generate an entrepreneurial culture are attitudinal, such as motivation, creativity, leadership, decision-making and critical thinking; in addition, conceptual ones, such as operational knowledge of a business, understanding of human talent management, knowledge of finances and marketing.
Keywords: Entrepreneurship, entrepreneurship skills, attitudinal competencies, entrepreneurial culture, University students.
Introducción
La evolución del concepto de emprendedor se asienta en la capacidad de un individuo de generar nuevas iniciativas productivas que permiten cambiar modos, formas y procesos de producción y mercados, con ventajas competitivas e innovación, donde la personalidad de los emprendedores, así como sus principales acciones y estrategias están orientadas a generar un valor añadido (Veeraraghavan, 2009; Ingalagi et al., 2021; Lopes et al., 2021). Al respecto, existe una definición sobre emprendedor muy aceptada a nivel internacional que lo señala como una persona que detecta una oportunidad y crea una organización para encararla (Stam, Audretsch y Meijaard, 2008; Álvarez y Urbano, 2011).
Esta definición es parcialmente aplicada en algunos países, puesto que en Latinoamérica muchos de los emprendedores no lo hacen solamente para aprovechar una oportunidad, sino por necesidad (Álvarez y Urbano, 2011). Si alguien que se encuentra desempleado inicia algún emprendimiento por la carencia de un empleo formal, no es precisamente para aprovechar una oportunidad, sino porque probablemente no tiene otras alternativas laborales (López et al., 2011). No obstante, sólo con la decisión de emprender y el capital no es suficiente, también interviene un conjunto de elementos y factores que definen al emprendimiento (Popescu et al., 2016; Lopes et al., 2021).
Sin embargo, el hombre como ser socialmente dinámico, y en relación con el mercado en una búsqueda constante de nuevos productos que satisfagan tanto necesidades y deseos, debería tener presente el espíritu emprendedor que le permita innovar y generar nuevas respuestas al mercado (Kerr, Nanda y Rhodes-Kropf, 2014; Quispe, Ayaviri y De la Cruz, 2017). Además, para afrontar los problemas sociales y económicos, los individuos pueden desarrollar mecanismos que le consientan satisfacer tanto las necesidades propias como las del mercado (Vesper y Gartner, 1997).
Por ello, el emprendedor no es una persona conformista, sino alguien que puede lograr mayores beneficios personales desde el establecimiento de una nueva iniciativa empresarial. Así, todas las personas tendrían la posibilidad y habilidad potencial para establecer unidades de negocios y empresas por su espíritu emprendedor, pero también existen ambientes que propician ese espíritu emprendedor, basado en el desarrollo de competencias personales (Acs y Amorós, 2008).
El desarrollo de las competencias emprendedoras no sólo incide en el crecimiento de las empresas y el desarrollo económico, sino que forman parte de un proyecto social integrado y socialmente responsable (Alvarado et al., 2017; Si et al., 2020; Ijieh, 2020; Ingalagi et al., 2021). Por tanto, es necesario promover el dinamismo económico mediante la puesta en práctica y consolidación de unidades productivas en línea, con un desarrollo sostenible capaz de generar mayor equidad, así como cohesión social (Vidyatmoko y Hastuti, 2017; Batuka et al., 2019; Uribe-Toril et al., 2019).
Así, la formación de profesionales en los centros de educación superior, con énfasis en los emprendimientos, se convierte en una estrategia y una política educativa, así como productiva importante; además, se constituye en un instrumento privilegiado por cuanto persigue la construcción de un ideal humano mediante estrategias, medios, recursos (Vesper y Gartner, 1997; Monsalve, 2010; Saldarriaga y Guzmán, 2018; Zapata, Corredor y Mena, 2019; Lopes et al., 2021; Pita, Costa y Carrizo, 2021), con los que generan la adquisición de valores, creencias, conocimientos, actitudes, saberes, habilidades, entre otros aspectos (Calderón-Martínez, 2017), necesarios para promover el desarrollo de una cultura emprendedora basado en competencias para la intervención en el conjunto de iniciativas productivas.
Esta tarea debe estar designada a las facultades relacionadas con el ámbito empresarial. Así, el presente trabajo de investigación tiene como objetivo identificar las competencias emprendedoras en los estudiantes de la carrera de Administración de Empresas de la Universidad Técnica de Oruro, en Bolivia, adquiridas en los procesos de formación profesional y que le permiten desarrollar una cultura emprendedora.
1. Fundamentación teórica
1.1. ¿Qué se entiende por emprendimiento?
El emprendimiento es una necesidad real para el desarrollo y la competitividad regional, que contribuye en la consolidación de grupos o individuos con habilidades y aptitudes de gerenciamiento y crecimiento del tejido empresarial, dichas aptitudes emprendedoras inciden positivamente en el desarrollo de proyectos en una comunidad (Si et al., 2020). Por ello, es necesario entenderlo como un proceso cultural, que parte de la persona y se extiende a todas las actividades de una sociedad y no solo como instrumento para la creación de proyectos empresariales (Hidalgo, 2014; Cantillo, Pedraza y Suarez, 2021).
En ese sentido, el emprendimiento como un pilar importante en la dinamización de las economías regionales, se centra en el paradigma que su única finalidad es la creación de empresas (Reza y Reza, 2010; Sparano, 2014). Por ello, es necesario destinar recursos desde las instituciones públicas y privadas del orden municipal, departamental, nacional u organismos internacionales, para el fomento y creación de empresas (Frese y Gielnik, 2014); mientras que le corresponde a la Universidad proporcionar capital humano que tenga las competencias necesarias para que el emprendimiento tome el rumbo adecuado a partir de una cultura emprendedora (Vesper y Gartner, 1997; Monsalve, 2010; Alvarado et al., 2017).
Así, la cultura es un elemento que determina los emprendimientos y tiene especial relevancia en la configuración del sector, su dinámica e involucramientos del conjunto de los actores del desarrollo. La cultura, por lo tanto, debe ser valorada de forma muy positiva porque incide favorablemente sobre el deseo de emprender de las personas.
Hay que tener en cuenta que la importancia de la capacidad emprendedora en la persona, creatividad, actitud hacia el riesgo, liderazgo, compromiso, autoconfianza, orientación a metas, motivación al logro, autoestima, es más evidente en ambientes complejos y dinámicos, en los que las personas requieren idear alternativas para enfrentar situaciones en las que la incertidumbre y el riesgo están presentes (Veeraraghavan, 2009; Zsuzsanna y Herman, 2012; Frese y Gielnik, 2014).
El empresario es la persona que enfrenta estas situaciones con la innovación, la cual se puede dar en varias formas, una de las cuales es la creación de una empresa, convirtiéndose así, en un líder durante el desarrollo económico, el agente capaz de dar una respuesta creadora, esto es, de colocar en marcha proyectos innovadores, ajenos a las prácticas existentes de combinaciones de los factores de producción (Zsuzsanna y Herman, 2012; Toma, Grigore y Marinescu, 2014; Ayaviri et al., 2017).
Por otra parte, se propone una definición de empresario a partir de la actitud emprendedora, que significa tomar acciones humanas creativas para construir algo de valor a partir de una decisión con certidumbre o incertidumbre (Hidalgo, 2014); y toma una posición crítica frente al emprendimiento y las instituciones que se dedican a su fomento, expresando que, lo más importante es crear una mentalidad emprendedora basada en competencias y habilidades en la toma de decisiones y gerenciales (Uribe-Toril et al., 2019). Esta expresión, por ejemplo, es el eje de la mayor parte de los esfuerzos de la Unión Europea para promover la educación emprendedora en los centros de educación superior (Pita et al., 2021), sindo importante porque orientan al desarrollo emprendedor en un sentido más amplio que el de la creación de una empresa.
Al respecto, ese propósito le corresponde a las organizaciones y centro de educación superior, que, de alguna forma, deben ser formados en el bagaje y fortalecimiento de capacidades del futuro emprendedor, los cuales se constituirán en el ecosistema de emprendimientos en los distintos sectores de la economía (Hisrich, Langan-Fox y Grant, 2007; Monsalve, 2010), con un enfoque fuerte en la innovación en los procesos de producción y los mercados.
.2. Cultura emprendedora
La visión generalizada que se sigue sobre la cultura empresarial continúa midiéndose bajo los estrictos criterios de competitividad y eficiencia económica (Zsuzsanna y Herman, 2012). El crecimiento económico debe ser uno de los principios rectores de la actividad emprendedora, pero no el único (Carree y Thurik, 2010; Vidyatmoko y Hastuti, 2017).
Así, y como segunda afirmación, el modelo de crecimiento actual desde la perspectiva de los emprendimientos, está asociado a la competitividad empresarial y los mercados complejos, así como en una sociedad compleja (Uribe-Toril et al., 2019); la generación de ventajas comparativas y competitivas de una unidad de negocio en un mercado complejo merece especial atención, dado que no es sencillo establecer una iniciativa y actuar en un mercado cada vez más complejo por los constantes cambios que se producen en los gustos y preferencias de los consumidores (Prasad, Venkata y Shyam, 2018; Edwards et al., 2020; Ratten y Jones, 2021; Chen, Tang y Han, 2022; Gigauri et al., 2022).
Es necesario que el crecimiento y desarrollo económico vayan juntos y configuren el estudio del desarrollo de las regiones, y el bienestar social de las familias, así como de los emprendedores (Mayer et al., 2020). Por ello, el planteamiento es que las actuaciones de este grupo de emprendedores, deben ser de forma integral y sistemática, de tal manera, que involucre procesos productivos sostenibles y el reconocimiento de la sociedad y sus instituciones en la preferencia del consumo de productos, como también servicios provenientes de los emprendimientos (Eckhardt y Shane, 2003; Vidyatmoko y Hastuti, 2017; Romero et al., 2021).
Conviene señalar, que no se puede comparar cultura empresarial y cultura emprendedora, al menos, con estos criterios. De ahí que, teniendo en cuenta que la cultura emprendedora es fruto de la construcción social, el éxito empresarial no depende sólo de variables económicas sino también culturales, puesto que existe una vinculación entre ésta y el desarrollo socioeconómico y que, puede ser formado o entregado en los centros de educación superior (Quispe et al., 2017; Kreuz y Roberts, 2017; Zapata et al., 2019; Mayer et al., 2020; Longoño y Alvarez, 2021).
En consecuencia, la cultura emprendedora es el conjunto de comportamientos, valores, creencias, conocimientos, entre otros; en definitiva, pautas culturales, generadas por medio de acciones educativas para incitar a los ciudadanos a acometer prácticas innovadoras en el plano laboral y social con objeto de mejorar la realidad (Hidalgo, 2014; Zapata et al., 2019). Dichas acciones deben ir orientadas en una triple perspectiva: Promover el crecimiento económico, la justicia y la cohesión social, y el desarrollo sostenible desde el punto de vista medioambiental (Uribe-Toril et al., 2019). Configurándose de esta forma, la cultura emprendedora, como proyecto social integrado.
Desde esta perspectiva, se obtiene una nueva imagen denominada cultura emprendedora, como una expresión compuesta por la unión de dos conceptos: Por un lado, el sustantivo cultura, como la construcción social de pautas integradas para la vida en sociedad; y, por otro lado, del adjetivo emprendedora, concebida, en términos generales como la persona que tiene iniciativa y decisión para emprender (Popescu et al., 2016; Kreuz y Roberts, 2017).
Todo esto deriva del verbo emprender, que significa acometer y comenzar una obra, un negocio, un empeño, especialmente si encierra dificultad o peligro; para que suceda aquello, es vital fomentar una cultura emprendedora como proyecto social integrado con la finalidad de mejorar la realidad desde el punto de vista social y medioambiental (Ingalagi et al., 2021), pero que también es muy importante en ese orden, la formación de competencias en los emprendedores (Sáenz y López, 2015).
En ese contexto, se subraya que la cultura emprendedora es el conjunto de ideas y prácticas de un colectivo que promueven ciertas características del ser emprendedor, de forma tal que aquellas actividades, llevadas a cabo por la acción de un individuo o un grupo, puedan ser entendidas como una opción profesional. Es decir, que la cultura emprendedora incluye todas las nociones y acciones que impulsan a un individuo o a un grupo hacia la participación activa en el ámbito personal, en el entorno social y en el ámbito productivo (Arteaga y Lasio, 2009; Arias y Peña, 2010). Entonces, el objetivo principal de cualquier política o estrategia de emprendimiento apunta a establecer y consolidar una cultura del emprendimiento basado en la educación (Popescu et al., 2016; Lopes et al., 2021).
Entonces, lo que se pretende es empezar a recorrer el largo camino que conduzca a una cultura emprendedora, interviniendo procesos educativos en los niveles básica y superior. Así, el emprendimiento hoy en día, debe ser concebido como un proceso sistémico, que abarca desde el surgimiento de vocaciones y capacidades para emprender hasta la concreción, así como desarrollo de la empresa.
1.3. Competencias en los emprendedores
En el contexto cultural, político y social actual, se debe promover un sistema de valores dominantes que oriente una actitud emprendedora empresarial, en forma de competencias emprendedoras que tengan como base a la innovación, la responsabilidad social y el liderazgo (Rodriguez y Gómez, 2014). Al respecto, desde los niveles básicos de educación, junto con la familia, se influye significativamente en los procesos formativos de las personas, tarea que más tarde continúan las instituciones educativas en sus distintos niveles y las mismas empresas a través de la experiencia laboral que proveen (Navarro, Bayona y Pacheco, 2020; Alvarez-Risco et al., 2021).
Adicionalmente, el funcionamiento del mercado de factores incide sobre la existencia de recursos para emprender (financieros, asistencia técnica, oportunidades), en tanto que el marco regulatorio afecta el grado de facilidad con que los emprendedores pueden cumplir con las normas que regulan la creación y funcionamiento de una empresa. No obstante, existe un elemento relevante que tiene que ver con las competencias adquiridas o desarrolladas por los emprendedores, las habilidades, destrezas, capacidades y aptitudes que destacan en estos colectivos, lo que determina finalmente, que los emprendimientos tengan éxito y sean sostenibles en el tiempo (Undiyaundeye y Otu, 2015; Barragán, González y Ortiz, 2020).
Junto a ello, el desarrollo de competencias hacia el establecimiento de una cultura emprendedora debe ser acompañado por políticas claras de incentivos y promoción de los agentes del desarrollo y sus actores (Okolie y Ogbaekirigwe, 2014; Ukah y Atah, 2021), puesto que se hace indispensable que todos los actores de la sociedad identifiquen su papel dentro de la cadena productiva, convirtiendo al emprendimiento, más que en un proyecto, en un eje programático dentro de la planeación estratégica de los espacios locales, del cual se desprenden lineamientos tan fuertes como la transformación de la educación (Prasad et al., 2018; Pita et al., 2021).
Así, las competencias y la cultura emprendedora sostenible debieran ser una responsabilidad de todos, donde los valores y creencias refuercen la convicción de la validez del esfuerzo independiente como medio de éxito y autosatisfacción (Undiyaundeye y Otu, 2015; Navarro et al., 2020; Ijieh, 2020); esa cultura emprendedora basada en las competencias, se manifieste en todos los aspectos de la vida humana y a su vez, permita que las instituciones, agentes y actores actúen en ese entorno.
En este orden, se entiende por cultura emprendedora la creación y acumulación de conocimientos e innovaciones que, construidos socialmente por los grupos humanos, son transmitidos de generación en generación dando lugar a valores, costumbres y creencias socialmente compartidas que influyen y cambian de forma constante la calidad de vida de las personas. Así también, se otorga especial atención en la formación de competencias que debe incorporar o adaptar el emprendedor para una actuación eficiente y sostenible en los procesos de generación de unidades de negocios.
2. Metodología
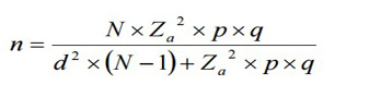
La investigación asume un enfoque mixto (cualitativo y cuantitativo), de tipo descriptivo correlativo porque, en primera instancia, describe el fenómeno de estudio en su dimensión y luego, busca asociar y correlacionar las variables de estudio. La población para el presente estudio corresponde al total de estudiantes matriculados en la carrera de administración de empresas, la misma asciende a 1.163 en la gestión 2021, en ese sentido, la muestra se determina a partir de la siguiente fórmula:

En donde: n= tamaño de la muestra; N = tamaño de la población: 1.186 universitarios; z= nivel de confianza: 1,96; p= probabilidad de éxito, o proporción esperada: 0,5; q= probabilidad de fracaso: 0,5; y, d= precisión (Error máximo admisible en términos de proporción): 0,05.


Por lo que, la muestra alcanza a 290 estudiantes, a quienes se aplicó una encuesta, con preguntas de tipo dicotómicas, abiertas, estructuradas y de escala de Likert, mismas que estuvieron incluidas en un cuestionario. Para el análisis de datos se empleó el SPSS, consecuentemente el análisis e interpretados de datos, y junto a la contrastación de las hipótesis, y para ello, se empleó una regresión lineal. Conviene señalar que, la investigación se apoya en fuentes secundarias como documentos institucionales y literatura especializada en el ámbito de los emprendimientos.
3. Resultados y discusión
3.1. Estadísticos descriptivos
El 46,46% de los universitarios que estudian la carrera de administración de empresas son varones, mientras que el 53,4% son mujeres; el 39,3% de los encuestados, considera que la razón más importante para estudiar dicha carrera, es emprender un negocio; mientras que el 30% estudia, afirma, para incorporarse al mercado laboral; el 16,6% para incrementar sus conocimientos; el 7,6% para obtener un título profesional; y finalmente, el 5,2% por satisfacción personal. Asimismo, un 50% de los encuestados indican que preferiría emprender un negocio al culminar la carrera, mientras que un 22,4% elegiría trabajar, en una institución pública un mismo porcentaje, en un porcentaje similar en organizaciones privadas.
El 64,2% considera que la malla curricular está relacionada a los emprendimientos, mientras que el 23,8% están en desacuerdo. El 37,6% piensa que los conocimientos adquiridos en su proceso de formación no son suficientes para generar un emprendimiento económico, en tanto que el 28,6% asume que no es suficiente, y el 7,6% considera que los conocimientos son totalmente insuficientes. El 45,2% de los encuestados contempla que los conocimientos no ayudarían en la generación de un emprendimiento.
Asimismo, el 36,9% de los encuestados considera que el factor más importante para generar una cultura emprendedora es la formación profesional; mientras que un 21% considera al financiamiento como el factor más importante; el 19,7% observa a la motivación, el 12,8% a la vocación; y solo el 9,7% sostiene que es la oportunidad para desarrollar nuevas iniciativas. El 49,3% de los encuestados está de acuerdo en que el desarrollo de la creatividad y la innovación, puede ayudar a generar una cultura emprendedora; y el 47,2% está totalmente de acuerdo en esta noción; solo el 3,4% no está de acuerdo ni en desacuerdo.
El 61,7% de los encuestados está de acuerdo en que el desarrollo del pensamiento autocrítico puede ayudar a generar una cultura emprendedora, y el 22,1% está totalmente de acuerdo en esta afirmación, solo el 14,5% no está de acuerdo ni en desacuerdo; así el 83,8% piensa que ayudaría el autoconocimiento a desarrollar una cultura emprendedora. Por otra parte, el 47,6% de los encuestados está de acuerdo en que el desarrollo del liderazgo puede ayudar a generar una cultura emprendedora, y el 39,7% está totalmente de acuerdo en esta noción, solo el 12,8% no está de acuerdo ni en desacuerdo; por lo que el 87,2% piensa que el desarrollo de la toma de decisiones, ayudaría a generar una cultura emprendedora.
Por otra parte, el 42,8% de los encuestados está de acuerdo en que el desarrollo de los conocimientos específicos, puede ayudar a generar una cultura emprendedora, y el 33,4% está totalmente de acuerdo en esta posición, solo el 20,7% no está de acuerdo ni en desacuerdo; en consecuencia, el 76,2% piensa que el desarrollo de los conocimientos específicos, ayudaría a generar una cultura emprendedora (ver Tabla 1).
| Opciones | Frecuencia | Porcentaje |
| Totalmente de acuerdo | 97 | 33,4 |
| De acuerdo | 124 | 42,8 |
| Ni de acuerdo, ni en desacuerdo | 60 | 20,7 |
| En desacuerdo | 9 | 3,1 |
| Total | 290 | 100,0 |
En la Tabla 2, se observan las competencias emprendedoras que se desarrollan en los estudiantes universitarios. Como se puede apreciar, el 42,1% considera que las competencias emprendedoras están siendo poco desarrolladas, mientras que el 29,7% manifiesta que están siendo desarrolladas, el 22,8% considera que ni desarrolladas, ni poco desarrolladas, y solo el 5,5% piensa que están nada desarrolladas. Es importante que las competencias emprendedoras sean desarrolladas para generar una cultura emprendedora, bajo el criterio de los encuestados ellas no están siendo desarrolladas.
| Opciones | Frecuencia | Porcentaje |
| Desarrolladas | 86 | 29,7 |
| Ni desarrolladas, ni poco desarrolladas | 66 | 22,8 |
| Poco desarrolladas | 122 | 42,1 |
| Nada desarrolladas | 16 | 5,5 |
| Total | 290 | 100,0 |
Así también, en la Tabla 3 se puede ver la importancia de una cultura emprendedora en la carrera de administración de empresas. El 65,2% de los encuestados, considera que es muy importante generar una cultura emprendedora en la Carrera de Administración de Empresas; mientras que el 27,2% lo manifiesta importante, solo el 7,6% piensa que ni importante, ni poco importante. Así, el 92,4% hace notar la importancia de generar una cultura emprendedora en los estudiantes universitarios.
| Opciones | Frecuencia | Porcentaje |
| Muy importante | 189 | 65,2 |
| Importante | 79 | 27,2 |
| Ni importante, ni poco importante | 22 | 7,6 |
| Total | 290 | 100,0 |
Como se puede apreciar, los encuestados sostienen que es muy importante generar una cultura emprendedora en los estudiantes, a través del desarrollo de conocimientos específicos; así también las competencias emprendedoras tienen un peso importante en el establecimiento de nuevas unidades de negocio. Desde la perspectiva de las investigaciones empíricas, coinciden que para que los emprendimientos alcancen una sostenibilidad, éstos deben basarse en criterios técnicos enmarcados en la formación del talento humano, cuyas competencias (destrezas y habilidades) estén bien formadas e incorporadas en la personalidad del emprendedor (Saldarriaga y Guzmán 2018; Rincón et al., 2022); dichos conocimientos específicos en el desarrollo de ciertas habilidades destaquen en la puesta en marcha de los emprendimientos (Campo-Ternera et al., 2018; Coelho y Marín-González, 2022).
Una cuestión importante en las mismas dimensiones que las anteriores, es sobre la cultura, factor clave que determina el éxito o fracaso del emprendimiento (Useche, Giler y Guerrero, 2019; Barbetti, 2020; Cantillo et al., 2021; Luo et al., 2022), de ella dependerá si la población emprendedora, para el presente caso, los estudiantes, alcancen tanto el diseño como su implantación con criterios de eficiencia y sostenibilidad en el tiempo. Por tanto, los resultados alcanzados en la presente investigación, se acercan a aquellos que fueron abordados considerando los elementos de análisis.
3.2. Contrastación de las hipótesis
La investigación plantea tres hipótesis y son contrastadas a través del modelo de regresión: 
Donde: Yt: Variable dependiente; X1, X2,…, Xp: Variable explicativa o independiente;
,
,
,…, : Parámetros, que miden la influencia que las variables independientes tienen sobre el regrediendo;
: Es la intersección o término “constante”; las: Son los parámetros respectivos a cada variable independiente; y, p: Es el número de parámetros independientes a tener en cuenta en la regresión.
H1: Los conocimientos desarrollados en la carrera de administración de empresas generan una cultura emprendedora en los estudiantes de la misma.
Matemáticamente el modelo se expresa de la siguiente manera: Y(cultura emprendedora)= β0 + β1(conocimientos)+ ε
Según el modelo de regresión lineal (ver Tabla 4), la correlación (R) alcanza un valor de 0,153, lo que representa que existe una asociación entre las variables; así también el coeficiente de determinación, (R2) tiene un valor de 0,024, lo que permite sostener que la dependencia de las variables es muy baja, siendo nada significativa la relación que existe entre las variables.
| Modelo | R | R cuadrado | R cuadrado ajustado | Error estándar de la estimación |
| 1 | ,153a | ,024 | ,020 | ,624 |
Por otra parte, el valor del Anova alcanza 0,09 (ver Tabla 5); este valor es mayor de 0,05; lo que permite aceptar la hipótesis nula y rechazar la alternativa (H1). Por lo tanto, los conocimientos desarrollados en la carrera de administración de empresas no generan una cultura emprendedora en los estudiantes de la misma.
| Modelo | Suma de cuadrados | Gl | Media cuadrática | F | Sig. | |
| 1 | Regresión | 2,705 | 1 | 2,705 | 6,948 | ,009b |
| Residuo | 112,126 | 288 | ,389 | |||
| Total | 114,831 | 289 | ||||
H2: Las competencias emprendedoras actitudinales que deben desarrollar los estudiantes de la carrera de administración de empresas para generar una cultura emprendedora en la carrera son: Motivación, creatividad, liderazgo, toma de decisiones, pensamiento crítico.
Y(cultura emprendedora)= β0 + β1(liderazgo) + β2(creatividad e innovación) +
β3(pensamiento crítico) + β4(toma de decisiones) + β5(motivación)+ ε
Según el modelo antes presentado, acerca de las competencias emprendedoras actitudinales que se deben desarrollar para alcanzar una cultura emprendedora, se puede apreciar en la Tabla 6, que la correlación (R) alcanza un valor de 0,284, lo que representa que existe una asociación entre las variables estudiadas; en tanto que el coeficiente de determinación, (R2) tiene un valor de 0,081, lo que permite sostener que la dependencia de las variables también es baja.
| Modelo | R | R cuadrado | R cuadrado ajustado | Error estándar de la estimación |
| 1 | ,284a | ,081 | ,064 | ,610 |
En este sentido, el valor del Anova es 0,000 (ver Tabla 7), este valor se encuentra por debajo del 0,05; lo que permite aceptar la hipótesis alternativa. En consecuencia, las competencias emprendedoras actitudinales que deben desarrollar los estudiantes para generar una cultura emprendedora en la carrera deben ser la motivación, creatividad, liderazgo, toma de decisiones y pensamiento crítico.
| Modelo | Suma de cuadrados | Gl | Media cuadrática | F | Sig. | |
| 1 | Regresión | 9,264 | 5 | 1,853 | 4,985 | ,000b |
| Residuo | 105,567 | 284 | ,372 | |||
| Total | 114,831 | 289 | ||||
Sin embargo, se debe hacer notar que, si bien se acepta esta hipótesis, los valores de asociación y dependencia no son significativos, se puede generar una cultura emprendedora con el desarrollo de las competencias, pero no de manera significativa.
H3: Las competencias emprendedoras conceptuales que deben desarrollar los estudiantes de la carrera de administración de empresas para generar una cultura emprendedora en la carrera son: Conocimiento operativo de un negocio, comprensión de la gestión del talento humano, conocimiento de finanzas y el de marketing.
La Tabla 8 muestra el resumen del modelo presentado:
Y (cultura emprendedora)= β0 + β1(gestión del talento humano) + β2(marketing) + β3(finanzas) + β4(operatividad del negocio) + ε
| Modelo | R | R cuadrado | R cuadrado ajustado | Error estándar de la estimación |
| 1 | ,540a | ,292 | ,282 | ,534 |
La correlación (R) alcanza un valor de 0,54, lo que afirma que existe una asociación entre las variables estudiadas; el coeficiente de determinación (R2) tiene un valor de 0,292 lo que permite sostener que la dependencia de las variables es baja, y el valor Anova es de 0.000 (ver Tabla 9); lo que permite aceptar la hipótesis alternativa. Así, las competencias emprendedoras conceptuales que deben desarrollar los estudiantes para generar una cultura emprendedora son, el conocimiento operativo de un negocio, conocimiento de la gestión del talento humano, conocimiento de finanzas y el conocimiento de marketing.
| Modelo | Suma de cuadrados | Gl | Media cuadrática | F | Sig. | |
| 1 | Regresión | 33,479 | 4 | 8,370 | 29,321 | ,000b |
| Residuo | 81,352 | 285 | ,285 | |||
| Total | 114,831 | 289 | ||||
En la literatura se observan ciertos aportes en este sentido, investigaciones como la de Mittal y Raghuvaran (2021); Aly, Audretsch y Grimm (2021); y, Blesia et al. (2021), sostienen que las competencias conceptuales en los emprendedores pueden ser desarrolladas a través de programas de formación y capacitación en diversas áreas, siendo las más importantes, comercialización, recursos humanos y la administración de las finanzas, que les permita conocer aspectos técnicos de las operaciones de una unidad productiva; por lo que, la presente investigación afirma que desde la perspectiva de la educación superior, los estudiantes debieran recibir una fuerte formación en dichas áreas con la finalidad de adquirir competencias conceptuales vinculados al establecimiento y manejo de los emprendimientos.
Conclusiones
Las competencias emprendedoras actitudinales que deben desarrollar los estudiantes (universitarios) en el aula para permitirles generar una cultura emprendedora en la carrera son: La motivación, creatividad, liderazgo, toma de decisiones y pensamiento crítico. Y, por otra parte, se establece que las competencias emprendedoras conceptuales a desarrollar por los estudiantes y que contribuya en la generación de una cultura emprendedora son: El conocimiento operativo de un negocio, comprensión de la gestión del talento humano, conocimiento de finanzas y el de marketing.
El estudio establece, que la carrera no está desarrollando una cultura emprendedora, puede ser porque se haya abocado al desarrollo del conocimiento en los estudiantes, a una formación por objetivos, y no a una formación integral. Los universitarios prefieren emprender un negocio que permita generar una cultura emprendedora y empleo.
Finalmente, las competencias emprendedoras como las habilidades, capacidades y destrezas no son desarrolladas en las aulas, éstas deben ser abordadas de forma intencional en los estudiantes, de tal forma, que puedan adquirir además de las competencias, una cultura emprendedora que les permita desarrollar sus capacidades con base a conocimientos y valores, así como creencias para un desempeño eficiente y sostenible en el ámbito de los emprendimientos.
Referencias bibliográficas
Acs, Z. J., y Amorós, J. E. (2008). Entrepreneurship and competitiveness dynamics in Latin America. Small Business Economics, 31(3), 305-322. https://doi.org/10.1007/s11187-008-9133-y
Alvarado, R., Peñarreta, M., Armas, R., y Alvarado, R. (2017). Access to financing and regional entrepreneurship in ecuador: An approach using spatial methods. International Journal of Entrepreneurship, 21(3), 1-9.
Álvarez, C., y Urbano, D. (2011). Factores del entorno y actividad emprendedora en América Latina. Academia Revista Latinoamericana de Administracion, (48), 31-45.
Alvarez-Risco, A., Mlodzianowska, S., García-Ibarra, V., Rosen, M. A., y Del-Aguila-Arcentales, S. (2021). Factors affecting green entrepreneurship intentions in business university students in covid-19 pandemic times: Case of Ecuador. Sustainability, 13(11), 6447. https://doi.org/10.3390/su13116447
Aly, M., Audretsch, D. B., y Grimm, H. (2021). Emotional skills for entrepreneurial success: The promise of entrepreneurship education and policy. The Journal of Technology Transfer, 46(5), 1611-1629. https://doi.org/10.1007/s10961-021-09866-1
Arias, A., y Peña, I. (2010). The effect of entrepreneurs’ motivation and the local economic environment on young venture performance. International Journal of Business Environment, 3(1), 38-56. https://doi.org/10.1504/IJBE.2010.031269
Arteaga, M. E., y Lasio, V. (2009). Empresas dinámicas en Ecuador: factores de éxito y competencias de sus fundadores. Academia. Revista Latinoamericana de Administración, (42), 49-67.
Ayaviri, V. D., Chucho, D., Romero, M., y Quispe, G. M. (2017). Emprendimientos y clúster empresarial. Un estudio en la Provincia Chimborazo, Ecuador. Revista Perspectivas, (40), 41-64.
Barbetti, P. A. (2020). Promoción de emprendimientos y autoempleo para jóvenes en políticas y programas de Argentina. Revista de Ciencias Sociales (Ve), XXVI(1), 272-286. https://doi.org/10.31876/rcs.v26i1.31324
Barragán, C. A., González, A. D. C., y Ortiz, A. G. (2020). Competencias gerenciales: Una visión estudiantil desde la Pontificia Universidad Católica del Ecuador. Revista de Ciencias Sociales (Ve), XXVI(2), 113-126. https://doi.org/10.31876/rcs.v26i0.34117
Batuka, L. R., Bezrukikh, D. V., Senashov, S. I., Levshina, V. V., y Yevseeva, S. A. (2019). Modernization and innovation: Economic and institutional role. Revista Espacios, 40(11), 3. https://www.revistaespacios.com/a19v40n11/19401103.html
Blesia, J. U., Iek, M., Ratang, W., y Hutajulu, H. (2021). Developing an entrepreneurship model to increase students’ entrepreneurial skills: An action research project in a higher education institution in Indonesia. Systemic Practice and Action Research, 34(1), 53-70. https://doi.org/10.1007/s11213-019-09506-8
Calderón-Martínez, M. G. (2017). Tercera misión de la universidad. Una revisión de la literatura sobre emprendimiento académico. Vincula Tégica EFAN, 3(1), 364-373.
Campo-Ternera, L., Amar-Sepúlveda, P., Olivero, E., y Huguett, S. (2018). Emprendimiento e innovación como motor del desarrollo sostenible: Estudio bibliométrico (2006- 2016). Revista de Ciencias Sociales (Ve), XXIV(4), 26-37.
Cantillo, N., Pedraza, C. J., y Suarez, H. (2021). Formación del emprendimiento social: Compromiso de la Universidad de la Guajira en Colombia. Revista de Ciencias Sociales (Ve), XXVII(1), 216-229. https://doi.org/10.31876/rcs.v27i1.35308
Carree, M. A., y Thurik, A. R. (2010). The Impact of Entrepreneurship on Economic Growth. In Z. J. Acs y D. B. Audretsch (Eds.), Handbook of entrepreneurship research. International Handbook Series on Entrepreneurship, Vol 5 (pp. 557-594). Springer. https://doi.org/10.1007/978-1-4419-1191-9_20
Chen, H., Tang, Y., y Han, J. (2022). Building students’ entrepreneurial competencies in chinese universities: Diverse learning environment, knowledge transfer, and entrepreneurship education. Sustainability, 14(15), 9105. https://doi.org/10.3390/su14159105
Coelho, H., y Marín-González, F. (2022). Programa de Formación para Emprendedores desde la formación de posgrado en la Península de Paraguaná-Venezuela. Revista de Ciencias Sociales (Ve), XXVIII(3), 413-429. https://doi.org/10.31876/rcs.v28i3.38484
Eckhardt, J. T., y Shane, S. A. (2003). Opportunities and entrepreneurship. Journal of Management, 29(3), 333-349. https://doi.org/10.1177/014920630302900304
Edwards, C. J., Bendickson, J. S., Baker, B. L., y Solomon, S. J. (2020). Entrepreneurship within the history of marketing. Journal of Business Research, 108, 259-267. https://doi.org/10.1016/j.jbusres.2019.10.040
Frese, M., y Gielnik, M. M. (2014). The psychology of entrepreneurship. Annual Review of Organizational Psychology and Organizational Behavior, 1, 413-438. https://doi.org/10.1146/annurev-orgpsych-031413-091326
Gigauri, I., Panait, M., Apostu, S. A., y Raimi, L. (2022). The essence of social entrepreneurship through a georgian lens: Social entrepreneurs’ perspectives. Administrative Sciences, 12(3), 75. https://doi.org/10.3390/admsci12030075
Hidalgo, L. F. (2014). La cultura del emprendimiento y su formación. Alternativas, 15(1), 46-50. https://editorial.ucsg.edu.ec/ojs-alternativas/index.php/alternativas-ucsg/article/view/8
Hisrich, R., Langan-Fox, J., y Grant, S. (2007). Entrepreneurship research and practice: A call to action for psychology. American Psychologist, 62(6), 575-589. https://doi.org/10.1037/0003-066X.62.6.575
Ijieh, S. O. (2020). Entrepreneurship, skill acquisition and economic growth. UJAH: Unizik Journal of Arts and Humanities, 21(3), 102-116. https://doi.org/10.4314/ujah.v21i3.6
Ingalagi, S. S., Nawaz, N., Rahiman, H. U., Hariharasudan, A., y Hundekar, V. (2021). Unveiling the crucial factors of women entrepreneurship in the 21st century. Social Sciences, 10(5), 153. https://doi.org/10.3390/socsci10050153
Kerr, W. R., Nanda, R., y Rhodes-Kropf, M. (2014). Entrepreneurship as experimentation. Journal of Economic Perspectives, 28(3), 25-48. https://doi.org/10.1257/jep.28.3.25
Kreuz, R., y Roberts, R. (2017). Culture and its consequences. In R. Kreuz y R. Roberts (Eds.), Getting through: The pleasures and perils of cross-cultural communication. The MIT Press. https://doi.org/10.7551/mitpress/10845.003.0006
Longoño, S., y Álvarez, C. M. (2021). Emprendimiento e innovación social: Experiencia de jóvenes rurales en Caldas-Colombia. Revista de Ciencias Sociales (Ve), XXVII(E-4), 108-126. https://doi.org/10.31876/rcs.v27i.36997
Lopes, J. M., Oliveira, M., Oliveira, J., Sousa, M., Santos, T., y Gomes, S. (2021). Determinants of the entrepreneurial influence on academic entrepreneurship -Lessons learned from higher education students in Portugal. Education Sciences, 11(12), 771. https://doi.org/10.3390/educsci11120771
López, J. C., Astudillo, S., Carpio, X., Delgado, J., y Amón-Martínez, O. (2011). Análisis de los factores que influyen el emprendimiento y la sostenibilidad de las empresas del área urbana de la ciudad de Cuenca, Ecuador. Maskana, 2(2), 27-37. https://doi.org/10.18537/mskn.02.02.03
Luo, L., Guo, M., Huang, J., y Yang, J. (2022). Research on the effect of an entrepreneurial environment on college students’ entrepreneurial self-efficacy: The mediating effect of entrepreneurial competence and moderating effect of entrepreneurial education. Sustainability, 14(11), 6744. https://doi.org/10.3390/su14116744
Mayer, E. L., Blanco, F. J., Alonso, M. Á., y Charles J. A. (2020). Emprendimiento y crecimiento económico: El sistema mexicano de incubadoras de negocios. Revista de Ciencias Sociales (Ve), XXVI(1), 107-127. https://doi.org/10.31876/rcs.v26i1.31314
Mittal, P., y Raghuvaran, S. (2021). Entrepreneurship education and employability skills: The mediating role of e-learning courses. Entrepreneurship Education, 4(2), 153-167. https://doi.org/10.1007/s41959-021-00048-6
Monsalve, B. (2010). El emprendimiento y la universidad. Revista Pensamiento Americano, 3(5), 51-54.
Navarro, G. T., Bayona, J. A., y Pacheco, C. A. (2020). Competencias emprendedoras y formación para el emprendimiento en instituciones de educación media. Revista Espacios, 41(11), 3-16. http://www.1.revistaespacios.com/a20v41n11/a20v41n11p03.pdf
Okolie, C. U., y Ogbaekirigwe, C. (2014). Entrepreneurship development through vocational education training: Issues and roles in skills acquisition and manpower development in a developing economy. Journal of Educational Policy and Entrepreneurial Research, 1(2), 151-157. https://www.iiste.org/Journals/index.php/JEPER/article/view/17014
Pita, M., Costa, J., y Carrizo, A. (2021). The effect of university missions on entrepreneurial initiative across multiple entrepreneurial ecosystems: Evidence from Europe. Education Sciences, 11(12), 762. https://doi.org/10.3390/educsci11120762
Popescu, C. C., Bostan, I., Robu, I-B., Maxim, A., y Diaconu, L. (2016). An analysis of the determinants of entrepreneurial intentions among students : A Romanian case study. Sustainability, 8(8), 771. https://doi.org/10.3390/su8080771
Prasad, M., Venkata, V. P. R. P., y Shyam, R. (2018). Impact of financial, social and human capital on Entrepreneurial Success. International Journal of Small Business an Entrepreneurship Research, 6(4), 1-28. http://www.eajournals.org/wp-content/uploads/Impact-of-financial-social-and-human-capital-on-entrepreneurial-success.pdf
Quispe, G. M., Ayaviri, V. D., y De la Cruz, G. M. (2017). Iniciativa del emprendimiento en los entornos rurales: Un estudio de los factores culturales. Revista Venezolana de Gerencia, 22(78), 191-209.
Ratten, V., y Jones, P. (2021). Entrepreneurship and management education: Exploring trends and gaps. The International Journal of Management Education, 19(1), 100431. https://doi.org/10.1016/j.ijme.2020.100431
Reza, M., y Reza, G. (2010). Notice of retraction: An exploration of social entrepreneurship in the entrepreneurship era. IEEE International Conference on Advanced Management Science (ICAMS), 759-763. https://doi.org/10.1109/ICAMS.2010.5553306
Rincón, I. B., Rengifo, R., Hernández, C., y Prada, R. (2022). Educación, innovación, emprendimiento, crecimiento y desarrollo en América Latina. Revista de Ciencias Sociales (Ve), XXVIII(3), 110-128. https://doi.org/10.31876/rcs.v28i3.38454
Rodriguez, D. C., y Gómez, A. X. (2014). Las competencias emprendedoras en el departamento de Boyacá. Apuntes del Cenes, 33(58), 217-242.
Romero, J., Gutiérrez, J. M., Hernández, L., y Portillo, R. (2021). Factores contextuales que influyen en la intención emprendedora de estudiantes universitarios venezolanos y colombianos. Revista de Ciencias Sociales (Ve), XXVII(4), 113-130. https://doi.org/10.31876/rcs.v27i4.37237
Sáenz, N., y López, A. L. (2015). Las competencias de emprendimiento social, COEMS: aproximación a través de programas de formación universitaria en Iberoamérica. REVESCO. Revista de Estudios Cooperativos, 119, 159-182. https://doi.org/10.5209/rev_REVE.2015.n119.49066
Saldarriaga, M. E., y Guzmán, M. F. (2018). Enseñanza del emprendimiento en la educación superior: ¿Metodología o modelo? Revista Escuela de Administración de Negocios, (85), 125-142. https://doi.org/10.21158/01208160.n85.2018.2054
Si, S., Ahlstrom, D., Wei, J., y Cullen, J. (2020). Business, entrepreneurship and innovation toward poverty reduction. Entrepreneurship and Regional Development, 32(1-2), 1-20. https://doi.org/10.1080/08985626.2019.1640485
Sparano, H. (2014). Emprendimiento en América Latina y su impacto en la gestión de proyectos. Revista Dimensión Empresarial, 12(2), 95-106.
Stam, E., Audretsch, D., y Meijaard, J. (2008). Renascent entrepreneurship. Journal of Evolutionary Economics, 18(3-4), 493-507. https://doi.org/10.1007/s00191-008-0095-7
Toma, S-G., Grigore, A-M., y Marinescu, P. (2014). Economic development and entrepreneurship. Procedia Economics and Finance, 8, 436-443. https://doi.org/10.1016/s2212-5671(14)00111-7
Ukah, T. A., y Atah, C. A. (2021). Entrepreneurship skills development and self reliance motive. World Journal of Entrepreneurial Development Studies, 6(1), 43-52.
Undiyaundeye, F. A., y Otu, E. A. (2015). Entrepreneurship skills acquisition and the benefits amongst the undergraduate students in Nigeria. European Journal of Social Sciences Education and Research, 2(3), 9-14. https://doi.org/10.26417/ejser.v4i1.p9-14
Uribe-Toril, J., De Pablo, J., Ruiz-Real, J. L., y Pires, J. R. (2019). Literatura científica sobre emprendimiento social y su impacto en el ámbito iberoamericano. Revista de Ciencias Sociales (Ve), XXV(3), 10-29.
Useche, M. C., Giler, M., y Guerrero, L. J. (2019). Competencias gerenciales en el ámbito empresarial zuliano. Revista de Ciencias Sociales (Ve), XXV(1), 173-185.
Veeraraghavan, V. (2009). Entrepreneurship and Innovation. Asia-Pacific Business Review, V(1), 14-20.
Vesper, K. H., y Gartner, W. B. (1997). Measuring progress in entrepreneurship education. Journal of Business Venturing, 12(5), 403-421. https://doi.org/10.1016/S0883-9026(97)00009-8
Vidyatmoko, D., y Hastuti, P. (2017). Identification of the determinants of enterpreneurial success: A multidimensional framework. STI Policy and Management Journal, 2(2), 163-178. https://doi.org/10.14203/stipm.2017.118
Zapata, A., Corredor, A., y Mena, A. (2019). Emprendimiento y cultura en instituciones universitarias: Una revisión de la literatura. Revista Venezolana de Gerencia, 24(85), 85-97.
Zsuzsanna, S. K., & Herman, E. (2012). Innovative entrepreneurship for economic development in EU. Procedia Economics and Finance, 3, 268-275. https://doi.org/10.1016/S2212-5671(12)00151-7