Artículos
Cadenas productivas y clusters en la economía regional de Nuevo León. Un análisis con matrices de insumo-producto
Productive Chains and clusters in the Regional Economy of Nuevo Leon. An Analysis with Input-Output Matrices
Cadenas productivas y clusters en la economía regional de Nuevo León. Un análisis con matrices de insumo-producto
Economía: teoría y práctica, núm. 46, pp. 41-69, 2017
Universidad Autónoma Metropolitana, a través de la Unidad Iztapalapa, la Unidad Azcapotzalco y la Unidad Xochimilco, División de Ciencias Sociales
Recepción: 18 Mayo 2015
Aprobación: 29 Noviembre 2016
Resumen: El estado de Nuevo León ha alcanzado altos niveles de competitividad como resultado de la creciente interacción de sus actividades económicas, expresadas en tasas de crecimiento superiores a la economía nacional. Para demostrar el comportamiento reciente de su economía a través de las relaciones intersectoriales, se utilizan varios modelos del cálculo para obtener indicadores. En primer lugar se calculan los índices de Chenery y Watanabe para clasificar los sectores de actividad económica según su encadenamiento con datos de la matriz de insumo-producto regionalizada. Se calculan los índices de Rasmussen para detectar el poder y sensibilidad de dispersión intersectorial, y al final, con la metodología de Feser y Bergman, se identifican los principales clusters, apoyados en la política industrial y de organización empresarial que ha adquirido mucha fuerza en Nuevo León.
Palabras clave: Nuevo León, matriz insumo-producto, encadenamientos, cluster, economía regional.
ABSTRACT: The state of Nuevo Leon has achieved high levels of competitiveness due to increasing interaction among economic activities, expressed in growth rates above the national average. To demonstrate the recent behavior of its economy through intersectoral relations, we used several computation models to obtain indicators, from the most basic to the most complex. First, Chenery and Watanabe’s indices are calculated to classify sectors of economic activity according to the data from a regionalized input-output matrix. We calculated Rasmussen’s indices to detect the power and sensitivity of intersectoral dispersion and at the end; we used Feser and Bergman’s methodology to identify major clusters, which have gained strength in Nuevo Leon thanks to industrial policies and business organization.
Keywords: Nuevo León, Input-output, chaining, cluster, regional economy.
jel classification: C4, L6, L8, R1, R3
Introducción
Los ciclos económicos a escala regional se reproducen con distinta intensidad que el conjunto de la economía de un país debido a la estructura de sus sectores productivos, cuyas actividades económicas se encuentran mejor o peor conectadas a los mercados internacionales, determinando sus tasas de crecimiento. La economía de Nuevo León se encuentra muy estrechamente ligada a esos mercados y en la crisis financiera global del 2008-2009 experimentó una caída mayor en el crecimiento que el resto del país.
Por las ventajas competitivas de operar en los mercados internacionales de varios consorcios regionales (Cemex, Vitro, Femsa, etcétera), la economía y la industria regional pudieron recuperarse más pronto y posicionarse en las economías mundiales hasta alcanzar la estabilidad. La larga vinculación del noreste mexicano con Texas, principal socio comercial de México, ofrece testimonios de la versatilidad por la economía de Nuevo León.
Mucho del éxito de la economía regional tiene raíces históricas muy bien cimentadas, con grandes inversiones en sectores estratégicos, que en los tiempos modernos se han visto vulnerables a la competencia internacional; sin embargo, la diversificación económica alcanzada recientemente le ha permitido compensar esa pérdida de competitividad.
El ensayo tiene como objetivo identificar los principales encadenamientos y clusters a través de un análisis del tejido sectorial en la economía de Nuevo León para demostrar la importante interacción intersectorial. Se asume como hipótesis que en Nuevo León se han creado importantes cadenas productivas y clusters entre sus principales subsectores económicos, estrategias de organización y de fomento económico fundamentales para generar mayor valor agregado, resultado final de una economía regional exitosa.
En virtud de que los indicadores que se construyan no pueden explicar por sí mismos su funcionamiento por “el factor humano subyacente”, se hace necesario analizarlos a la luz de las políticas de organización de cadenas productivas y clusters, que han cobrado mucha importancia en años recientes en la industria local, que demanda investigaciones con estos enfoques.
El artículo se estructura de la siguiente forma: el inciso 1 muestra los aspectos teóricos; el inciso 2 describe la metodología; el inciso 3 presenta el análisis de resultados; en el inciso 4 se muestran las conclusiones y finalmente la bibliografía.
I. Aspectos teóricos
Cuando se intenta analizar a las regiones desde una perspectiva de las teorías existentes que explican el crecimiento y el desarrollo, se puede tomar como referencia a las teorías del crecimiento neoclásicas,1 pues éstas tienen validez a escala regional y nacional, ya que la región es sólo un subconjunto del conjunto universal compuesto por el país.
Sin embargo, la teoría del crecimiento neoclásica centra su análisis en la relación capital-producto e inversión-ahorro, y no incluye aquellos factores propios del territorio. Por tanto, esta investigación se fundamenta en la teoría económica regional, cuyos conceptos fundamentales son la localización, concentración, aglomeración y clusters, que explican los resultados en la conformación de vínculos, proveeduría, subcontratación, cadenas, etcétera, a nivel empresarial, sectorial y territorial, donde las externalidades del desarrollo tecnológico y del capital humano (Jiménez, 2012; Lucas, 1988; Romer, 1986) contribuyen al desempeño de las economías regionales, reconocidas por los propios neoclásicos.
En lo que sigue se hace una revisión de las principales formulaciones teóricas sobre economía regional para fundamentar la proximidad entre crecimiento endógeno y desarrollo, que caracteriza a las economías regionales analizadas a través de la Matriz de Insumo-Producto (MIP) y otras técnicas aquí utilizadas. A decir, la teoría económica regional tuvo sus orígenes en la necesidad de encontrar la mejor localización de las empresas: cerca de los mercados de consumo o de las materias primas.
Los pioneros fueron Von Thünen (1826) y Alfred Weber (1909), centraron su atención en los factores de localización de las actividades agrícolas para abastecer a las comunidades rurales, formularon modelos concéntricos (teoría del lugar central) para reducir los costos del transporte e incrementar la renta de la tierra; Christaller (1933) y Lösh (1954) se sumaron también a estos esfuerzos por construir una economía regional (Mendoza y Díaz, 2006; Smith, 1982), cuya preocupación teórica y empírica fue la localización y el costo del transporte.
El keynesianismo formó economistas con una visión más general del crecimiento al enfatizar el desarrollo desequilibrado y concentrado en ciertos polos de crecimiento. Durante esa época se desarrolló la MIP que recomendó Hirschman para entender el funcionamiento de las economías latinoamericanas. No obstante, la similitud con el concepto de espacio en el postulado de Perroux, según el cual “las actividades económicas no se desarrollan por igual en todas los lugares al mismo tiempo, lo hacen en lugares particulares con diferente intensidad”; el propio autor lo reconoció como un concepto económico abstracto para explicar los enlaces propulsivos del crecimiento entre empresas y sectores económicos a lo largo de la economía (Perroux, 1964).
Durante esa época los trabajos de Walter Isard (1956) tomaron mucha presencia en la ciencia regional, con modelos de localización de corte ortodoxo y equilibrio general, donde la variable fundamental fue el costo del transporte (Mendoza y Díaz, 2006). La teoría de la localización y el costo del transporte llevaron de la mano al desarrollo de la geografía económica; en esta línea, la nueva geografía económica, una versión “más terrenal” de la economía regional, la desarrollaron economistas como Paul Krugman, Masahisa Fujita, Anthony J. Venables y Porter.
Para Krugman (1991) los factores históricos y fortuitos, junto con la preexistencia de determinados recursos, han hecho crecer las economías regionales. Asimismo, Krugman y Obstfeld (1994) destacan las razones de la importancia de la localización de las empresas de Marshall: i) la concentración de un mercado de trabajadores especializado, ii) la proveeduría de insumos en una gran variedad, y iii) una mayor fluidez de la información e intercambio tecnológico.
Vázquez (2000) argumenta que el desarrollo económico local y regional se puede definir como un proceso de crecimiento y cambio estructural que, mediante la utilización del potencial existente en el territorio, conduce a elevar el bienestar de una región. Muchos autores han enfatizado la importancia territorial en el desempeño económico (Boisier, 1999; Ruiz, 1997); el propio Vázquez (2005) lo antepone como requisito para alcanzar altos niveles de competitividad en una economía globalizada, y como lo señalan Livas y Krugman (1992), en una economía abierta los vínculos pueden ser mucho más débiles si no se fortalece antes la economía interna.
Por tanto, el territorio juega un papel importante en el entendimiento de su tejido económico y social, pues éste se puede entender como el entramado de intereses de todo tipo en una comunidad, siempre que sea posible mantener y desarrollar la integridad y los intereses territoriales en los procesos de crecimiento y cambio estructural, pues las fuerzas del desarrollo actúan sinérgicamente (Vázquez, 2007). Si lo anterior no se toma en cuenta, las políticas de desarrollo regional pueden fracasar, de ahí la importancia de contemplar el contexto desigual de las localidades. Se debe tomar en consideración los activos no pecuniarios, como las normas y convenciones institucionales, las competencias organizacionales y aspiraciones culturales (OCDE, 2001b).
Con la acumulación de capital hicieron presencia las empresas transnacionales y su capacidad de inversión en nuevas tecnologías; se desarrollaron las comunicaciones y cambió radicalmente la movilidad del capital, con impactos particulares en el desarrollo regional. Economistas, políticos, periodistas y una diversidad de agentes y actores le acuñaron el concepto de globalización a estos procesos. El tamaño de las empresas y los pedidos en la industria condujeron a la subcontratación, con prácticas flexibles para atender las exigencias del consumidor con nuevas variedades, diseños y modelos de productos.
Dado lo anterior, se vuelve importante la dispersión del conocimiento, que de acuerdo con Keilbach (2000), éste influye en gran medida sobre la dinámica de la aglomeración en la actividad económica, así como en el crecimiento económico regional. Asimismo, destaca que la convergencia regional depende de la concentración espacial y de ahí la importancia de la formación de clusters.
Por clusters entendemos las concentraciones sectoriales y geográficas de empresas que producen y venden productos relacionados o complementarios (Porter 1998; ONUDI, 2004). Tomando en consideración dicho concepto, Porter (1990) hizo importantes contribuciones al análisis sectorial que ayudaron a explicar la concepción de competitividad; es un clásico obligado para entender las cadenas productivas, porque la ventaja competitiva se alcanza a lo largo de la cadena y no aisladamente.
Tales concentraciones dan lugar a las economías externas y favorecen la creación de servicios especializados en aspectos técnicos, administrativos y financieros tanto horizontales como verticales. Porter (2003) señala que el rendimiento de las regiones está altamente influido por las agrupaciones locales y la innovación que se genera a partir de éstas; argumenta que la formación de clusters impacta de manera positiva sobre los salarios y el crecimiento del empleo. Asimismo, Porter (2000) señala que los clusters representan una nueva forma de entender la economía, la organización del pensamiento sobre el desarrollo económico y la implementación de políticas públicas.
Muestra de lo anterior resultan los diversos trabajos que destacan la importancia de los clusters sobre el desempeño de innovación de las empresas, regiones y naciones, así como en las relaciones internacionales entre los sistemas de innovación. La evidencia presentada en dichos trabajos proporciona una guía útil sobre cómo la realidad de los clusters puede tomarse en cuenta para el diseño e implementación de políticas de innovación (OCDE, 2001a).
No obstante, puede presentarse el caso donde la formación de clusters no impacte en gran escala sobre la región, tal es el caso del complejo industrial militar de Changwon en Korea del Sur, analizado por Markusen y Park (1993). En dicho ejemplo, la conformación del cluster fue construido por el Estado, sin embargo, fue poca la creación de vínculos entre las industrias y, por consecuencia, un pobre proceso de innovación.
Al igual que los clusters, la formación de cadenas productivas permite que la cooperación entre las empresas sea una forma importante de incrementar sus capacidades individuales, pues permite que la información llegue a los distintos eslabones y, combinada con las habilidades y la tecnología, fomenta las innovaciones en el proceso de producción (Pyke, 1994). Anderson (1994) argumenta que a través del fortalecimiento de las relaciones entre las empresas líderes y las empresas proveedoras de insumos y compradoras es como se puede incrementar la productividad e implementar mejoras en innovación. Asimismo, sugiere que dichas relaciones permiten obtener sinergias de mejor desempeño entre las cadenas formadas en todo el cluster.
Hirschman (1973) formuló originalmente la idea de las cadenas productivas como una secuencia de decisiones de inversión. En esencia, la cadena productiva es un conjunto estructurado de procesos de producción que tienen en común un mismo mercado, donde las características tecno-productivas de cada eslabón afectan la eficiencia y productividad de la economía en su conjunto (ONUDI, 2004). Las cadenas productivas pueden ser de dos formas: hacia atrás, representadas por las decisiones de inversión y cooperación para producir materias primas y bienes de capital; y hacia adelante, por la necesidad de promover la creación y diversificación de nuevos mercados para la comercialización de los productos existentes (Hirschman, 1973).
Dávila (2002) señala que las matrices de insumo-producto contienen información detallada sobre las transacciones intersectoriales de consumo intermedio y el procedimiento de la inversión de la matriz de Leontief permite analizar los encadenamientos intersectoriales del sistema económico local. La técnica de Leontief permite la elaboración de mapas detallados de las cadenas productivas existentes en la economía regional; hace posible la identificación de oportunidades para integrar nuevas cadenas a las economías locales, incorporar nuevos eslabones en las cadenas existentes, o bien, para incrementar el valor agregado localmente a los eslabones presentes.
II. Metodología
Dado que el análisis se centra en el tejido sectorial para la identificación de clusters y encadenamientos, se utilizará la MIP regionalizada de Nuevo León, elaborada por Fuentes y Brugués (2012)2 con datos del 2008.
II.1. Modelo de insumo-producto para encadenamientos
El modelo insumo-producto3 cuantifica las relaciones de intercambio de insumos intermedios entre sectores y permite identificar aquellos cuya importancia es significativa en la relación de interdependencia (Soto, 2000). Los encadenamientos permiten señalar aquellos sectores con mayor potencial de arrastre (Schuschny, 2005); éstos a su vez conducen a la formación de clusters especializados que comparten segmentos de mercado, donde converge la competencia y la cooperación (Porter, 1990).
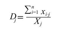
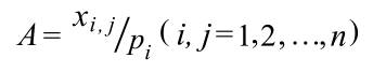
Los encadenamientos pueden ser hacia atrás, que se dan cuando un sector j aumenta su demanda de insumos; mientras que los encadenamientos hacia adelante se presentan cuando un sector i incrementa su disponibilidad de insumos para ser utilizados por los demás sectores. Lo anterior permite entre otras cosas, clasificar sectores y determinar los agrupamientos sectoriales (Miller y Blair, 2009). Chenery y Watanabe (1958) utilizaron la MIP para cuantificar los encadenamientos hacia atrás y hacia adelante, así como la clasificación de los sectores. Las fórmulas son:
(1)Donde:
Dj = Encadenamientos hacia atrás
xi.j = Valor de las ventas intermedias del sector “i” al sector “j”
Xj = Valor bruto de la producción del sector “j”
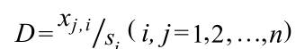
(2)Donde:
Di = Encadenamientos hacia adelante
xi.j = Valor de las ventas intermedias del sector “j” al sector “i”
Xi = Valor bruto de la producción del sector “i”

De acuerdo con la tabla 1, la clasificación de los sectores estaría dada por:
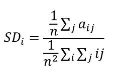
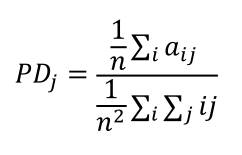
En vista de que los indicadores de interdependencia de Chenery y Watanabe muestran algunas debilidades para entender los encadenamientos intersectoriales, se calculan índices de Rasmussen (1956) para identificar mejor las interconexiones intersectoriales a través del poder de dispersión y la sensibilidad de dispersión.
Poder de dispersión. Describe la extensión relativa sobre la que un aumento de la demanda final de los productos del subsector j se dispersa a través del sistema económico.
(3)Donde:
PDj = Poder de dispersión
aij = Coeficiente técnico
n = Total de subsectores
Sensibilidad de dispersión. Expresa la extensión o medida en que el sistema de subsectores pesa sobre el subsector i.
(4)Donde:
PDi = Sensibilidad de dispersión
aij = Coeficiente técnico
n = Número de industrias
El valor que resulta del cálculo individual de estos índices permite clasificar los sectores de la economía en:
I. Claves: PDj > 1 & SDi > 1
II. Estratégicos: PDj < 1 & SDi > 1
III. Impulsores de la economía: PDj > 1 & SDi < 1
IV. Independientes: PDj < 1 & SDi < 1
II.2. Modelo de insumo-producto para identificación de clusters
De acuerdo con Czamanski y Ablas (1979), la identificación de clusters se puede generar mediante dos criterios: i) por el uso de herramientas matemáticas, y ii) el enfoque espacial. Dentro de los enfoques y en algunos casos, el uso de la MIP resulta indispensable en la identificación de clusters, ya que los vínculos a través de los flujos de bienes y servicios marcan la pauta en determinar la conformación de éstos.
El cluster es en sí mismo una herramienta para el análisis de las economías. Por ejemplo, en México se han realizado diversos trabajos respecto a las economías de aglomeración. Por ejemplo, Unger y Chico (2004) analizaron tres regiones de México (región Centro, Frontera, y el Bajío) en la dinámica de formación de clusters en la actividad automotriz. Los resultados sugieren que a pesar de las diferencias entre las regiones, surge la necesidad de una mayor especialización para generar mayor competitividad dentro de la industria automotriz. En el mismo sentido, Tamayo (2000) argumenta que en la industria manufacturera los efectos de dichas aglomeraciones fueron positivos para la generación de mayor empleo y producción en la industria manufacturera.
Asimismo, diversos enfoques teóricos sobre clusters, como los de Porter (1990), Corrales (2007), entre otros, aportan buenas definiciones, características y supuestos sobre éstos; sin embargo, no emplean una técnica para calcular la intensidad de las relaciones que se generan a su interior. En el presente ensayo, por el tipo de información que se tiene, se identifican los clusters con la metodología de Feser y Bergman (2000) utilizando los datos del cuadrante de relaciones intersectoriales de la MIP para Nuevo León, que se presenta a continuación:

Donde:
x = Valor monetario de las transacciones intermedias. El primer subíndice denota al subsector de origen y el segundo al de destino.
y = Valor monetario de la demanda final.
X = Valor monetario del producto bruto total.
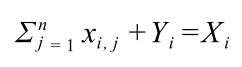
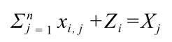
De las relaciones intersectoriales en la MIP se puede desprender la asignación de la producción:
(5)Mientras que el análisis por columnas capta el valor de los insumos utilizados en el proceso de producción por cada uno de los subsectores:
(6)Se denota a la suma de compras como Ʃxj pij = pj y las ventas por Ʃxj sij = sj .4 Establecido lo anterior, se divide cada elemento de las relaciones intersectoriales por los montos pi, pj , si , sj de manera sucesiva formando las matrices A,B,C,D:
(7)
(8)
(9)
(10)Se obtienen matrices de correlación entre las cuatro matrices, tal que:
Correlación A-B mide el grado de similitud entre los patrones de compra de las industrias i, j.
Correlación C-D similitud entre los patrones de venta de las industrias i, j.
Correlación A-C grado en que los patrones de compra de i son similares a los de venta de j.
Correlación B-D grado en que los patrones de venta de i son similares a los de compra de j.
Finalmente, se obtiene una matriz mixta nxn integrada por los valores más altos de los índices de correlación de las matrices A,B,C,D, esto es:
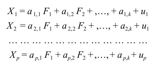
(11)Sobre la matriz mixta se aplica el análisis de factores y componentes principales con rotación Varimax.5 Mediante la carga factorial6 se determina cada cluster.
El modelo de análisis factorial viene dado generalmente por las ecuaciones:

Donde F1 , … , Fk (k<<p) son los factores comunes y u1 , … , up los factores específicos y los coeficientes 〈ai , j ; i = 1, … , p; j = 1 , … , k 〉 de las cargas factoriales. De acuerdo con Feser y Bergman (2000), el tipo de relación que mantienen los subsectores con el cluster se puede establecer de acuerdo con el valor del coeficiente de la carga factorial, esto es:
0.65< Carga factorial. Tipo de relación primaria, grado de asociación es alto.
0.5<Carga factorial<0.65. Relación secundaria, los subsectores medianamente asociados al cluster.
0.35< Carga factorial <0.5. Relación terciaria, los subsectores participan con poca intensidad en el cluster
0.35> Carga factorial. Relación nula, poco significativa.
Dicha metodología se ha empleado en diversas ocasiones para el análisis de clusters en México. Davila (2004) utiliza dicha metodología en combinación con sistemas de información geográfica para identificar agrupamientos industriales, destaca que la identificación de éstos permite la detección de oportunidades para integrar nuevos eslabones o incrementar el valor agregado local de los ya existentes. El propio Dávila (2005) identificó la formación de clusters en la economía mexicana y analizó sus cadenas de valor, en sus resultados sugiere la formación de doce agrupamientos industriales, de los cuales destaca el cluster “Metalmecánica y automotriz” por su importante generación de valor agregado. Sugiere que la formación de clusters permite un mejor desempeño de la actividad económica regional y un mayor aumento de su competitividad. Laguna (2010) identificó doce agrupamientos industriales, destacando los de “productos químicos”, “textiles” y “metalmecánica y automotriz” dado su poder de arrastre. Sus resultados refuerzan la idea de un mejor desempeño de la actividad económica dada la formación de clusters.
Dicha metodología se ha aplicado también para algunos estados, ciudades y regiones de la República mexicana, por ejemplo, Dávila (2003) analizó la formación de clusters en el estado de Coahuila con el objetivo de establecer estrategias que favorecieran la competitividad de las actividades económicas de la región y avanzar en la diversificación productiva de la región. Sánchez y Bracamonte (2006) analizaron los agrupamientos industriales de la ciudad de Hermosillo, Sonora, los resultados argumentan la formación de 22 agrupaciones con mayor influencia en la actividad económica. El propio Dávila (2008) empleó la metodología para identificar los clusters industriales del noreste de México con el objetivo de explorar oportunidades de desarrollo en un contexto de mayor integración comercial con Texas. Los resultados sugirieron la formación de seis clusters donde destacan el de “Hierro y acero”, “Automotriz” y “Metálicos no ferrosos”.
III. Análisis de resultados
III.1. Encadenamientos
Para la clasificación de los subsectores se calcularon los promedios de los índices de Chenery-Watanabe, cuyos resultados son: 
La tabla 2 concentra los subsectores que tienen un fuerte encadenamiento hacia atrás pero débilmente hacia adelante. En principio, destacan subsectores manufactureros como el 324, 325, 326, servicios profesionales, científicos y técnicos, más servicios de apoyo a los negocios cuyos códigos son 541 y 561, quienes compran una gran cantidad de insumos en la economía local y generan mayor crecimiento económico con respecto a otros subsectores, cuya demanda es poco significativa.


La tabla 3 muestra los subsectores clave. Se destaca que de los 74 subsectores analizados,7 23 por ciento están dentro de esta clasificación, lo que ayuda a explicar la fortaleza del crecimiento económico de Nuevo León; esta ventaja se observa en el porcentaje de participación de la demanda intermedia, que es de 26.4 por ciento y sobresalen los subsectores 331 y 487, que consumen 13.93 por ciento de la demanda intermedia.

(Continuación)

Los subsectores independientes demandaron el 23.83 de los insumos intermedios; sin embargo, sus indicadores los colocan por debajo de la media. Los resultados parecen reflejar la realidad, pues son subsectores relacionados con los servicios y de empresas que compran sus materias primas en el extranjero, como es la industria maquiladora que opera en Monterrey.
Asimismo, los subsectores cuyos encadenamientos fuertes son hacia adelante representaron 24 por ciento y si se suman a la tabla 2 se concluye que más del 50 por ciento de éstos contribuyen en la formación de enlaces en la economía. No obstante, y siguiendo las recomendaciones de Hirshman (1973), es más importante fomentar las actividades económicas con fuertes encadenamientos hacia atrás para incrementar la demanda de productos intermedios y del valor agregado.
La tabla 4 muestra los subsectores clave; éstos son decisivos para impulsar el crecimiento económico; si bien es cierto que solamente son el 22 por ciento, cuentan con un alto porcentaje (62 por ciento) de participación sobre la demanda intermedia. Se destacan los subsectores 43-46 y 331, el primero con el mayor porcentaje de participación (15.79 por ciento), y el segundo con una participación de 9.44 por ciento.

La tabla 5 presenta los subsectores estratégicos, concentran 29 por ciento de la demanda intermedia. El subsector 324 registra el mayor porcentaje en el total de la demanda, seguido del 561, ambos suman cerca de 15 por ciento de la participación total. Esta clasificación muestra una tendencia de poca participación en la demanda intermedia; pero en lo particular, resulta interesante la producción de derivados del petróleo y carbón, que son de mucho consumo en la región, así como los servicios de apoyo a los negocios.

En la clasificación bajo el modelo de Rasmussen, los subsectores impulsores de la economía concentran 43 por ciento del total en la MIP. En seguimiento a los objetivos de este artículo, podría ser muy importante fomentar su crecimiento a largo plazo para propiciar crecimiento económico; pero ninguno de ellos supera el uno por ciento en la demanda intermedia y la suma de los 30 subsectores, es apenas cinco por ciento de dicha demanda intermedia. Esta estructura evidencia un alto nivel de dispersión; no obstante, muchos tienen encadenamientos hacia adelante y hacia atrás, que a la postre podrían incrementar el valor agregado.
Los subsectores independientes representan el 24 por ciento del total y demandan el tres por ciento de los bienes intermedios. Algunos de estos subsectores son de suma importancia, tal como la fabricación de equipo de computación, comunicación, medición y de otros equipos, componentes y accesorios electrónicos. Su poca demanda intermedia indica también poca presencia en Monterrey y escasas oportunidades para su crecimiento por su dominio en Guadalajara y el Silicon Valley en California, Estados Unidos.
En suma, todos los indicadores de conexión para la compra y venta de bienes y servicios en la economía de Nuevo León muestran la importancia de las industrias de mayor relevancia en la economía: industrias metálicas básicas, productos a base de minerales no metálicos, fabricación de productos metálicos, equipo de transporte, maquinaria y equipo, comercio al por mayor, etcétera.
Se evidencia un proceso de diversificación en la generación del Producto Estatal Bruto; actividades todas que habrán de potenciarse con mayores inversiones para fomentar el crecimiento económico. Asimismo, debe ponerse especial atención en el proceso de tercerización de la economía, proceso que no es relativamente nuevo, tal como lo sugiere Dávila (2004) en su estudio sobre los niveles de concentración y localización del empleo manufacturero en cada rama de los 32 estados de México. Durante el periodo de estudio (1980-1998, previo a la apertura comercial) las fuerzas centrífugas de la localización del empleo tuvieron un peso importante en Nuevo León, justificado por el proceso de tercerización de la economía.
III.2. Identificación de clusters
En las tablas 6, 7, 8, 9 y 10 se muestran los resultados de la aplicación de esta metodología. Se encontraron ocho clusters, pero por razones de simplicidad, sólo se exponen cinco, cuyos títulos son los siguientes: 1. De medios, transporte y actividades de oficina; 2. Energía, industria y servicios diversos; 3. Transporte y actividades primarias; 4. Industria metalmecánica y no metálica, y 5. Industria de alimentos y derivados. Para validar su importancia en las políticas de crecimiento, se cotejan con los que el Plan Estatal de Desarrollo para Nuevo León 2010-2015 (PEDNL 2010-2015) se propuso fomentar en la económica regional: 1. Cluster automotor, 2. Electrodomésticos, 3. Servicios médicos, 4. Tecnologías de información, y 5. Comunicaciones y agroalimentarias.








La tabla 6 muestra el “cluster de medios, transporte y actividades de oficina”. Es interesante notar que la mayoría de los subsectores agrupados tienen encadenamientos hacia atrás y hacia adelante, que los hace clave para la economía, además, su participación en la demanda intermedia es de casi 18 por ciento, donde destacan el subsector 541 y 551, por la coincidencia en el apoyo a éstos según el PEDNL 2010- 2013 en la promoción de cadenas productivas y clusters industriales.
La tabla 7 integra el “cluster de energía, industria y servicios diversos”; se caracteriza por tener subsectores impulsores y estratégicos; resalta el subsector 325 por su carga factorial que lo identifica con el grupo y por el mayor porcentaje de participación en la demanda intermedia. Al ser un cluster que se identifica por la intensidad de intercambio comercial, cualquier decisión de política de apoyo hacia esta agrupación beneficiaría al resto de los subsectores a través de las interconexiones generadas por comercio.
La tabla 8 reúne el “cluster del transporte y actividades primarias”. A pesar de que el sector primario no es uno de los fuertes en el estado, los subsectores 111 y 114 se encuentran fuertemente encadenados a este cluster, prueba de ello son sus cargas factoriales que los identifican con un alto grado de pertenencia. En esencia, el transporte en Nuevo León es importante, a tal grado de encontrar agrupados a varios de los subsectores que se desempeñan bajo esta “etiqueta”. En general, se aprecia que los subsectores son impulsores de la economía, lo que hace a este cluster trascendente en el estado, pues genera efectos en cadena tanto local como en los mercados internacionales.
En la tabla 9 se concentra el “cluster de la industria metálica y no metálica”; este agrupamiento cuenta con varios subsectores que son claves para la economía, y tiene una participación en la demanda intermedia de casi 18 por ciento. Además, contiene al subsector de industrias metálicas básicas, que han sido la base del crecimiento económico de la región con su industria acerera y siderúrgica.
La tabla 10 rescata el “cluster de la industria de alimentos y derivados”, en su mayoría son subsectores impulsores de la economía. En general, estos subsectores tienen encadenamientos hacia adelante y abastecen al consumo final, el valor que implica poseer una industria alimenticia, ganadera y de bebidas para la región es incuestionable; no obstante, para incrementar el valor agregado de una economía, es más recomendable impulsar actividades económicas, subsectores y sectores con fuertes encadenamientos hacia atrás.
En general, se concluye que los clusters de Nuevo León tienen un alto grado de pertenencia, reflejan la estructura económica del estado, se destacan algunos subsectores más que otros, y sin embargo, la articulación que muestran es muy buena, así como sus encadenamientos a lo largo de la economía regional.
Al revisar el Plan Estatal de Desarrollo para Nuevo León (2010: 41)se identifica la necesidad de impulsar el desarrollo económico a través de la integración de cadenas productivas. En la misma dirección de hechos, se busca fortalecer las políticas de apoyo a la formación de clusters en sectores estratégicos para consolidar la economía de la entidad.
En virtud de esta necesidad insoslayable, en 2012 se creó el Consejo Estatal de clusters para actuar en colectivo y alcanzar los objetivos del crecimiento y el desarrollo económico a través de nueve clusters: aeroespacial, agroalimentario, biotecnológico, automotriz, electrodoméstico, vivienda, software, salud y nanotecnología.
Conclusiones
La crisis financiera global tuvo especial repercusión sobre la economía mexicana, expresada por la caída en su tasa de crecimiento. Asimismo, impactó sobre las economías regionales, sin embargo, como cada región es distinta en su contexto endógeno, la afectación y repercusión de factores exógenos sobre éstas varían, dependiendo de la estructura económica y social que las componen.
Al calcular los índices de Chereny y Watanabe, se pudo apreciar que muchos de los subsectores de la actividad económica en Nuevo León registraron índices muy elevados de la demanda intermedia y encadenamientos hacia atrás de suma importancia. Asimismo, se destaca la gran cantidad de subsectores fuertemente encadenados (tanto hacia atrás como adelante), de los cuales se destacan las manufacturas, así como los servicios que, mediante una política económica de fomento de clusters, pueden hacer crecer la economía regional. Con la metodología de Rasmussen se identificó que el 33 por ciento de los subsectores son claves y estratégicos, y acumulan 91 por ciento de la participación en la demanda intermedia, por lo que su contribución se vuelve trascendente siempre y cuando sean capaces de influir en el conjunto de la economía.
Con la metodología de Feser y Bergman (2000) se identificaron ocho clusters, pero por razones de simplicidad sólo se expusieron cinco. Destaca el “cluster de medios, transporte y actividades de oficina”, cuyos subsectores tienen encadenamientos hacia atrás y adelante, lo cual convierte a este grupo en clave para la economía de Nuevo León; así mismo, el “cluster de la industria metálica y no metálica”, que resulta interesante por el hecho de contar con varios subsectores que son claves para la economía y porque en conjunto participan en la demanda intermedia con casi el 18 por ciento de la demanda total.
En general, se concluye que los clusters de Nuevo León tienen un alto grado de pertenencia y reflejan la estructura económica del estado porque demuestran un alto grado de homogeneidad en la estructura de los agrupamientos productivos, donde la articulación de las cadenas productivas y la cohesión intersectorial son requisitos necesarios para fomentar el crecimiento y el desarrollo económico endógeno.
Referencias bibliográficas
Anderson, Gary (1994), “Industry Clustering for Economic Development”, Economic Development Review, 12 (2): 26-32.
Boisier, Sergio (1999), “Teorías y metáforas sobre desarrollo territorial”, Revista Austral de Ciencias Sociales, 1 (18): 5-18.
Chenery, Hollins Burnley y Watanabe, T. (1958), “An International Comparison of the Structure of Production”, Econométrica, 26: 487-521.
Christaller, Walter (1933), Die Zentralen Orte in Süddeutschland. Traducido del alemán por C.W. Baskin, 1966, Central Places in Souther Germany, Englewood Cliffs, Prentice-Hall.
Corrales, Salvador (2007), “La importancia del Cluster en el desarrollo regional actual”, Frontera Norte, 19 (37): 174-201.
Czamanski, Stan y De Q. Ablas, Luiz Gustavo (1978), “Identification of Industrial Clusters and Complexes: a Comparison of Methods and Findings”, Urban Studies, 16: 16-80.
Dávila Flores, Alejandro (2002), “Matriz de insumo-producto de la economía de Coahuila e identificación de sus flujos intersectoriales más importantes”, Economía Mexicana, Nueva Época, 11 (1): 79-163.
Dávila Flores, Alejandro (2003), “Potencialidades de desarrollo de la región centro del estado de Coahuila”, México, Secretaría de Economía del Gobierno Federal (reporte), p. 99.
Dávila Flores, Alejandro (2004), “Sistema de Información Geográfica: Los agrupamientos económicos del sector industrial en México”, México, Secretaría de Economía, p. 32.
Dávila Flores, Alejandro (2004), “México: concentración y localización del empleo manufacturero, 1980-1998”, Economía Mexicana . Nueva Época, cide, 8 (2): 209-254.
Dávila Flores, Alejandro (2005), “Industrial Clusters in México. 1988-2002”, en Roberta Rabellotti, Elisa Giuliani y Meine Pieter Van Djik, Clusters Facing Competition: The Importance of External Linkages (ed.), Ashgate, Hampshire, England and Burlington, VT USA, pp. 231-257.
Dávila Flores, Alejandro (2008), “Los clusters industriales del noreste de México (1993-2003). Perspectivas de desarrollo en el marco de una mayor integración económica con Texas”, Región y Sociedad, 20 (41): 57-88.
Feser, Edward y Bergman, Edward (2000), “National Industry Cluster Templates: A Framework for Applied Regional Cluster Analysis”, Regional Studies, 34: 1-19.
Fuentes Flores, Aron Noé y Brugués, Alejandro (2012), Matriz de Insumo-Producto regionalizada de Nuevo León con datos de 2008.
Gobierno del Estado de Nuevo León, Plan Estatal de Desarrollo 2009-2013.
Gorsuch, Richard (1983), Factor Analysis, 2a. ed., Hillsdal, Lawrence Erlbaum Associates, p. 322.
Hirschman Otto, Albert (1973), La estrategia del desarrollo económico, 3a. reimp., México, Fondo de Cultura Económica, pp. 104-124.
Isard Walter (1956), Location and Space Economy, Cambridge, MIT Press.
Instituto Nacional de Estadística y Geografía (INEGI), Sistema de Cuentas Nacionales de varios años.
Instituto Nacional de Estadística y Geografía (INEGI), (2004), Censos Económicos 2004.
Instituto Nacional de Estadística y Geografía (INEGI), (2009), Censos Económicos 2009.
Jiménez, Félix (2012), Elementos de teoría y políticas macroeconómicas para una economía abierta (tomo i), Nuevas tendencias, el crecimiento endógeno, cap. 17, Fondo Editorial de la Pontíficia Universidad Católica de Perú. http://departamento.pucp.edu.pe/economia/images/documentos/LDE- 2012-02a-19.pdf, bajado de internet en septiembre de 2015.
Keilbach, Max (2000), “Spatial Knowledge Spillovers and the Dynamics of Agglomeration and Regional Growth”, Physica-Verlag Heidelberg, Alemania, p. 193.
Krugman, Paul (1991), Geografy and Trade, Published jointly by Leuven University Press, Bélgica y el MIT Press Cambridge, Massachusetts, London, p. 142.
Krugman, Paul y Obstfeld, Maurice (1994), “International Economics. Theory and Policy”, en Harper Collins College Publishers, 6a. ed., cap. 6, pp. 147-158.
Laguna Reyes, Christian Enmanuel (2010), “Cadenas Productivas, columna vertebral de los clusters industriales mexicanos”, Economía Mexicana , Nueva Época, 19 (1): 119-170.
Leontief, Wassily (1949), “Recent Developments in the Study of Interindustrial Relationships”, The American Economic Review, 39 (03): 211-225.
Lira, Luis y Quiroga, Bolívar (2003), “Técnicas de análisis regional.” Series manuales, Instituto Latinoamericano y del Caribe de Planificación Económica y Social (ilpes), Santiago de Chile, 30: 145.
Livas, Raul y Krugman, Paul (1992), “Trade Policy and the Third World Metropolis”, NBER, Working Paper Series, 4238, p. 38.
Lösch, August (1954), “The Economics of Location”, Trans W. H. Woglom, New Haven, Yale University Press.
Lucas, Robert Emerson (1988), “On the Mecanics of Economics Development”, Journal of Monetary Economics, 22: 3-42.
Markusen, Ann y Ock Park, Sam (1993), “The State as Industrial Locator and District Builder: The Case of Changwon, South Korea”, Economic Geography, 69 (02): 157-181.
Marshall, Alfred (1920), Principles of Economics, 8a. ed., Londres, Inglaterra.
Mendoza Cota, Jorge Eduardo y Díaz Bautista, Alejandro (2006), Economía regional moderna, teoría y práctica, México, El Colegio de la Frontera Norte , Universidad de Guadalajara y Plaza y Valdés, p. 188.
Miller, Ronald y Blair, Peter (2009), Input-Output Analysis. Foundations and Extensions, 2a. ed., Nueva York, Cambridge University Press, p. 750.
Organisation for Economic Cooperation and Development(2001a), Innovative Clusters. Drivers of National Innovation Systems, París, Enterprise, Industry and Services OECD Publications, p. 420.
Organisation for Economic Cooperation and Development (2001b), “Territorial Outlook”, Territorial Economy, oecd Publications, París, pp. 171-195.
Organización de las Naciones Unidas para el Desarrollo Industrial (2004), Manual de minicadenas productivas, República de Colombia, Onudi, Bogotá, , Ministerio de Comercio Industria y Turismo, p. 148.
Perroux, Francois (1964), “Economic Space: Theory and Applications”, The Quaterly Journal of Economics, 64 (1): 89-104, en JohnFriedman y WilliamAlonso (eds.), Regional Development and Planning, EUA, MIT.
Porter, Michael Eugene (1990), “The Competitive Advantage of Nations”, Harvard Business Review, pp. 71-91.
Porter, Michael Eugene (1998), “Cluster and the New Economics of Competition”, Harvard Bussines Review, 76 (6): 77-90.
Porter, Michael Eugene (2000), “Location, Competition, and Economic Development: Local Clusters in a Global Economy”, Economic Development Quarterly, 14 (1): 15-34.
Porter, Michael Eugene (2003), “The Economic Performance of Regions”, Regional Studies , 37: 549-578.
Plan Estatal de Desarrollo para Nuevo León, 2010-2015, Gobierno del Estado de Nuevo León en la administración de Rodrigo Medina de la Cruz.
Pyke, Frank (1994), Small Firms, Technical Services and Inter-firm Cooperation, Ginebra, International Institute for Labour Studies, pp. 80-105.
Rasmussen, Paul Nyrup (1956), “Studies in Inter-Sectorial Relations”, The American Economic Review , 47 (3): 432-435.
Romer, Paul (1986), “Increasing Returns and Long-Run Growth”, Journal of Political Economy, 94 (5): 1002-1037.
Ruiz Durán, Clemente (1997), “Lo territorial como estrategia de cambio”, en Pensar globalmente y actuar regionalmente, México, unam y Editorial Jus.
Sánchez, Gamboa y Bracamonte, José Manuel (2006), “Aglomeraciones industriales y desarrollo económico. El caso de Hermosillo, 1998”, Frontera Norte , 18 (36): 87-124.
Solow, Merton Robert (1992), La teoría del crecimiento, México, Fondo de Cultura Económica .
Soto, Germán Vicente (2000), “Insumo-Producto, diseño y uso en los análisis de economía regional: El caso de Nuevo León”, Estudios Económicos, 15(2): 281-309.
Schuschny, Andrés Ricardo (2005), Tópicos sobre el modelo de insumo-producto: teoría y aplicaciones, Santiago de Chile, División de Estadística y Proyecciones de la Comisión Económica para América Latina, p. 93.
Smith, Ann Carol (1982), “El estudio económico de los sistemas de mercadeo: Modelos de la geografía económica”, Nueva Antropología, 6 (19): 29-80.
Swan, Trevor (1956), “Economic Growth and Capital Accumulation”, The Economic Record, 32 (2): 334-361.
Tallman, Stephen; Jenkins, Mark; Henry, Nick y Pinch, Steven (2004), “Knowledge, Clusters, and Competitive Advantage”, The Academy of Management Review, 29 (2): 258-271.
Tamayo Flores, Rafael (2000), “Location Factors and Spatial Deconcentration of Manufacturing Growth in México: What did we Know and How do we Know it?”, Economía, Sociedad y Territorio, 2 (8): 593-639.
Unger, Kurt y Roberto Chico (2004), “La industria automotriz en tres regiones de México. Un análisis de clusters”, El Trimestre Económico, 71 (284): 909-941.
Vázquez Barquero, Antonio (2000), Desarrollo económico local y descentralización: aproximación a un marco conceptual, Santiago de Chile, Comisión Económica para América Latina y el Caribe (cepal).
Vázquez Barquero, Antonio (2005), Las nueva fuerzas del desarrollo, Editor Antoni Bosch, Barcelona.
Vázquez Barquero, Antonio (2007), “Desarrollo endógeno. Teorías y políticas de desarrollo territorial”, Investigaciones Regionales, 11: 183-210.
Von Thünen, Johann Heinrich (1826), Der isolirte Staat in Beziehung auf Landwirthschaft und Nationalökonomie, order Untersuchungen über den Einfluss, den die Getreidepreise, der Reichtum des Bodens und die Abgaben auf den Ackerbau ausüben, 1.
Weber, Alfred (1909), Theory of Location of Industries, Chicago, Friedrich Carl J. (ed.), Chicago Illinois, University of Chicago Press, p. 253.
Notas
Notas