Artículos
Estimación de cuotas diferenciadas para permisos de pesca deportiva en Los Cabos, México. Un enfoque de costo de viaje
Estimation of Differentiated Quotas for Fishing Permits in Los Cabos, Mexico. A Travel Cost Approach
Estimación de cuotas diferenciadas para permisos de pesca deportiva en Los Cabos, México. Un enfoque de costo de viaje
Economía: teoría y práctica, núm. 46, pp. 139-171, 2017
Universidad Autónoma Metropolitana, a través de la Unidad Iztapalapa, la Unidad Azcapotzalco y la Unidad Xochimilco, División de Ciencias Sociales
Recepción: 17 Diciembre 2014
Aprobación: 30 Mayo 2016
Financiamiento
Fuente: Fondo Sectorial para la Investigación Ambiental Semarnat-Conacyt
Nº de contrato: 108270
Resumen: El objetivo de esta investigación es estimar montos diferenciados para los permisos de pesca deportiva en México mediante métodos propuestos por la economía ambiental, específicamente costo de viaje. El estudio se realiza en Baja California Sur, que es el estado que más permisos de pesca deportiva emitió en 2012 (90,296), particularmente en Los Cabos, ya que es el destino de pesca deportiva por excelencia en esta entidad. Se utilizaron modelos de conteo Poisson y binomiales negativos para estimar el monto del permiso diario, semanal, mensual y anual. El monto estimado para el permiso diario es de 40.60 USD, y para el permiso semanal, mensual y anual se estimaron montos que oscilan entre los 54.055 y 54.493 USD. El estudio propone dos escenarios de tarifas para permisos de pesca deportiva OP1 y OP2, los cuales podrían recaudar 4,788 y 4,789 millones de dólares respectivamente.
Palabras clave: Economía ambiental, valoración económica, costo de viaje, permisos, pesca deportiva.
Abstract: The aim of our research is to estimate different fees for sport fishing permits in Mexico using methods proposed by environmental economics, specifically travel costs. The study was conducted in Southern Baja California, the state which issued the most sport fishing permits in 2012, with 90,296. Los Cabos is the state’s leading sport fishing destination. Count models, Poisson and negative binomial, where used to estimate the amounts of daily, weekly, monthly, and annual sport fishing fees. The estimated fee for a daily permit is 40.60 USD, and estimates for weekly, monthly, and annual permits range between 54.055 and 54.493 USD. The study proposes two scenarios for sport fishing permit fees, OP1 and OP2, which could raise 4.788 and 4.789 million dollars respectively.
Keywords: Environmental economics, economic valuation, travel cost, fees, sport fishing.
Clasificación jel: H41, Q26, Q50
Introducción
La pesca deportiva es una actividad turística que se ha consolidado con el paso del tiempo, ésta es practicada por ciudadanos de todo el mundo, y se realiza principalmente en las costas. Existen lugares donde la concentración de pescadores durante las temporadas de abundancia de las especies de peces destinadas a esta actividad es muy alta. Lugares como Cairns, Australia; Bay of Island, Nueva Zelanda; Kailua- Kona, Hawaii y Cabo Blanco, Perú (Pérez-Valencia, 2004).
De acuerdo con el estudio realizado por la Billfish Foundation (2008) y Soto- Jiménez y colaboradores (2010) la pesca deportiva en América Latina tiene mayor auge en México y Costa Rica debido a dos grandes componentes, el biológico y el económico. En el biológico se encuentra una alta probabilidad de capturar un ejemplar de peces de pico y un alto índice de abundancia para estas especies. Dentro del apartado económico, a éste lo constituyen tres factores: i) es una actividad en la que los usuarios son de altos ingresos, ii) la contribución económica de la actividad a las economías locales, y iii) las especies de pelágicos mayores destinadas a la pesca deportiva se encuentran protegidas. Sin embargo, ambos sitios no pueden considerarse sustitutos debido a los atributos naturales que los distinguen, principalmente, y a otros elementos socioeconómicos.
La NOM-017-PESC-1994, la cual fue modificada y publicada en el Diario Oficial de la Federación en noviembre de 2013 (DOF, 2013), menciona: “Esta actividad basa su desarrollo en el aprovechamiento sustentable de diversas especies pesqueras tanto en embalses de aguas interiores, como en aguas marinas. Dentro de estas últimas, los denominados marlín, pez vela, pez espada, sábalo o chiro, pez gallo y dorado, se encuentran destinadas exclusivamente para la pesca deportivo- recreativa, dentro de una franja de 50 millas náuticas, contadas a partir de la línea de base desde la cual se mide el Mar Territorial”.
Chávez-Comparan (2000) menciona que la práctica de la pesca recreativa en México es una de las actividades de esparcimiento que ofrece mayores atractivos naturales, ya que el país cuenta con una amplia variedad de especies destinadas a esta actividad. En México la pesca deportiva genera importantes beneficios económicos. La Comisión Nacional de Acuacultura y Pesca (Conapesca, 2009) estima que el valor de pesca deportiva en México asciende a dos mil millones de dólares (MDD). De acuerdo con Ditton y colaboradores (1996) la derrama económica generada por la actividad provoca un efecto multiplicador en tres sectores de la economía: i) el turístico (por los servicios de hotelería, restaurantes, agencias de viajes y transporte), ii) el pesquero (a través de la flota prestadora de servicios, en abasto de insumos e instalaciones portuarias), y iii) el industrial (por la fabricación de embarcaciones, equipos y accesorios, la taxidermia y en general la industria conexa).
En México la pesca deportiva se practica en centros turísticos como Acapulco e Ixtapa Zihuatanejo en Guerrero; Puerto Vallarta, Jalisco; Manzanillo, Colima; Mazatlán, Sinaloa; y Los Cabos, Baja California Sur. Entre las principales especies mayores de pesca deportiva se encuentran los picudos como los marlines, entre ellos el marlín rayado (Tretapturus audax), marlín azul (Makaira nicrans) y marlín negro (Makaira indica), otros peces de pico son el pez vela (Isthiophorus platypterus) y el pez espada (Xiphias gladius); y las especies de pesca menor como el dorado (Coryphaena hippurus) y el pez gallo (Nematistius pectoralis). Otras especies que la NOM-017-PESC-1994 no contempla pero que se pescan deportivamente son: atún aleta amarilla (Thunnus albacares), wahoo (Acanthocybium solendari) y jurel (Trachurus picturatus murphyi).
Klett-Traulsen y colaboradores (1996) destacan dos aspectos de esta actividad recreativa, el primero, que las especies de picudos son las más codiciadas por el pescador deportivo debido a su fuerza y tamaño, al igual que se les considera especies altamente migratorias que habitan en aguas templadas y tropicales. Segundo, que Los Cabos debe su vocación turística primordialmente al auge de la actividad de pesca deportiva y a que las especies destinadas a esta actividad (marlín azul, rayado y negro, pez vela, dorado, atún aleta amarilla, wahoo, pez gallo y, en menor proporción, jurel) son uno de los principales atractivos que motivan al turista para realizar el viaje a este destino.
La actividad de pesca deportiva en Baja California Sur (BCS) se concentra en mayor proporción en la región de Los Cabos por tres razones: 1) cuenta con infraestructura turística y personal capacitado para atender este tipo de demanda; 2) cambios estacionales mínimos en la abundancia de las diferentes especies para pesca deportiva (Ortega-García et al., 2008), y 3) todas las especies de pesca deportiva se encuentran presentes en la zona de Los Cabos (Ponce-Díaz et al., 2003). Gámez-Vázquez (1993) indica que estos aspectos se combinan de tal forma que hacen que la demanda de los servicios recreativos asociados a la actividad vaya en aumento. A finales del siglo pasado la pesca deportiva se consolida como actividad económica en Los Cabos. En Baja California Sur, Los Cabos es el principal destino turístico, en 2010 captó cerca de 1.2 millones de turistas, 72 por ciento del total estatal. Una de las principales actividades de promoción de este destino es la pesca deportiva, a la cual se atribuye su desarrollo y auge.
Para el año 2010 la Capitanía de Puerto de Cabo San Lucas reporta 32,166 viajes de pesca deportiva y 94,218 pescadores a bordo de las mismas, representando el 8.4 por ciento del total de visitantes. Sin embargo, la autoridad portuaria no reporta la tasa de captura para la actividad, ésta es una variable importante a considerar en cualquier estudio de pesca deportiva, ya que se encuentra altamente correlacionada con el número de viajes de pesca (Ortega-García et al., 2003). Una variación (positiva o negativa) en la tasa de captura de especies destinadas a la pesca deportiva puede repercutir en dos aspectos: i) una variación en la demanda de viajes de pesca deportiva en la zona, y ii) una variación en el beneficio recreativo percibido por el pescador deportivo.
De acuerdo con Sosa-Nishisaki (1998), en la costa del Océano Pacífico mexicano se dan altas tasas de captura de peces de pico o picudos (marlín, pez vela y pez espada) para la pesca deportiva desde 1990 a la fecha. Es tal la relevancia de la captura de este tipo de especies que el gobierno mexicano ha establecido dos estrategias de conservación para que las capturas no se alteren: i) una zona de reserva para la pesca deportiva de 50 millas náuticas, ii) la prohibición de la captura comercial de marlín y pez vela,1 y iii) una zona de protección para picudos en las costas de Baja California Sur (Anexo 1).
El presente estudio plantea que utilizando el método costo de viaje, propuesto por la economía ambiental para establecer cuotas de acceso a sitios recreativos, es posible establecer una línea base para proponer nuevos montos a los permisos de pesca deportiva (diarios, semanales, mensuales y anuales) en Los Cabos. El estudio también busca incorporar la abundancia relativa de especies para esta actividad (mensurada mediante la tasa de captura [TC]) como un determinante de la demanda por viajes de pesca deportiva en la zona de estudio, y comprobar la sensibilidad (elasticidad) de la demanda ante cambios en la TC.
I. Permisos para pesca deportiva
La conservación de los servicios ecosistémicos, entre ellos los culturales-recreativos, hace que los individuos deriven beneficios que impactan directa o indirectamente en su bienestar (Millenium Ecosystem Assessment [ME], 2005). La mayoría de los servicios ecosistémicos (base, provisión, regulación y culturales) caen dentro de la categoría de bienes públicos con sus dos características distintivas: no exclusión y no rivalidad en el consumo. Esto causa que los individuos los disfruten generalmente de forma gratuita. Actualmente el aumento en la demanda de recursos naturales y su, a menudo inadecuada distribución, implica que éstos y sus servicios ecosistémicos se vean amenazados.
A pesar de la creciente popularidad del turismo en áreas destinadas a la conservación o protección de recursos naturales, estas actividades rara vez tienen un precio adecuado. Las áreas protegidas alrededor del mundo generalmente tienen cobros bajos o no cobran por la provisión de oportunidades recreativas al público. Esto, por lo general, provoca que la demanda exceda la capacidad del área. El resultado de un exceso en las visitas ocasionalmente es visible en algunos sitios, mientras que en otros se manifiesta en la degradación o salud de los ecosistemas por un uso turístico excesivo, el cual es un elemento difícil de evaluar (Drumm y Moore, 2002).
Un instrumento económico para controlar la demanda por especies de pesca deportiva son los permisos que, de acuerdo con la Ley General de Pesca y Acuacultura Sustentable, tienen como objetivo fomentar la práctica y desarrollo de la actividad, así como la conservación de las especies. Stolpe (2001) menciona que otro objetivo de los permisos es instrumentar el cobro de derechos por uso, goce o aprovechamiento recreativo con el fin de apoyar la operación no básica, infraestructura y sostenibilidad financiera de un sitio con potencial o vocación turística.
La regulación del cobro de estos permisos se encuentra en el artículo 199-B de la Ley Federal de Derechos (LFD), que cobrará por el aprovechamiento de los recursos pesqueros en la pesca deportivo-recreativa, se pagará el derecho de pesca, por permiso individual, conforme a las siguientes cuotas en pesos (dólares):2i) por un día 114.21 (8.73), ii) por una semana 286.30 (21.88), iii) por un mes 429.52 (32.83), iv) por un año 572.85 (43.78). La misma LFD menciona que las entidades federativas que hayan celebrado convenio de colaboración administrativa en materia fiscal federal con la Secretaría de Hacienda y Crédito Público para que directamente, cuando así lo acuerden expresamente, ejerzan funciones operativas de administración sobre los ingresos que se obtengan por el cobro del derecho a que se refiere este artículo, percibirán la totalidad de los ingresos que se generen por su cobro. Sin embargo, estas recaudaciones mediante los permisos, ya sea por la Federación o por las entidades, parecen no tener un fin mayor que la misma recaudación.
Análogamente, países emergentes como Costa Rica, Chile y Argentina, y otras economías desarrolladas han planteado una estrategia de cobro más elevada para la actividad de pesca deportiva, basada, principalmente, en la tipología del visitante (nacional o extranjero), u otros atributos como la estacionalidad de la demanda por este tipo de actividad (tabla 1).

Aunque la LFD establece tarifas diferenciadas por espacio temporal de pesca, se observa que los permisos en México, principalmente para visitantes extranjeros, se encuentran por debajo de economías similares. Esto plantea la necesidad de visualizar una estrategia para modificar los montos de estos permisos con base en distintas características o en su defecto establecer una línea base para estudios futuros. Esto podría reforzar las acciones de conservación e inspección y vigilancia en las áreas destinadas a la pesca deportiva, o en su defecto, fortalecer una política fiscal de recaudación vía otros instrumentos económicos no fiscales.
La valoración económica es una herramienta que ayuda a diseñar instrumentos económicos de política ambiental como los permisos, los cuales van orientados a modificar patrones de producción y/o consumo. Estos instrumentos auxilian en el diseño, fortalecimiento de instrumentos de planeación ambiental o acciones encauzadas a conservar los servicios de los ecosistemas y es una herramienta para estimar el monto económico de posibles daños a los servicios ecosistémicos (Seenprachawong, 2003).
La visión ecosistémica que presenta el ME (2005), condujo a un consenso entre científicos sociales y naturales por reconocer el valor económico (VE) de los servicios ecosistémicos con el fin de identificar instrumentos económicos que coadyuven a su conservación, una metodología útil consiste en la determinación de este valor. Estimar el VE de un servicio ecosistémico comúnmente puede realizarse aplicando el método de valoración contingente o costo de viaje (Costanza et al., 1997). La valoración económica provee elementos objetivos que permiten a los formuladores de política pública contar con criterios conmensurables de los costos de oportunidad e impactos de la actividad económica sobre el medio ambiente, y así contribuir con ello a su conservación y a un mejor aprovechamiento de la biodiversidad del país.
Haro-Martínez y Taddei-Bringas (2014) indican que la economía ambiental y la economía ecológica actualmente convergen e integran sus conceptos para tratar tópicos ambientales de manera holística o ecosistémica. Esta nueva forma de analizar e integrar los procesos económicos y ecológicos se basa en los criterios de eficiencia y equidad de la economía ecológica, y en la base teórica de la economía ambiental que busca internalizar el costo social (e.g. daños) que las actividades económicas provocan por el aprovechamiento intensivo de los recursos naturales, al igual que adopta los instrumentos económicos de política ambiental que buscan minimizar el costo social. A esta convergencia entre ambas disciplinas de la economía se le conoce hoy día como economía de la conservación (ME, 2005; TEEB, 2010). Anderson y M’Gonigle (2012) mencionan que el rol de las metodologías neoclásicas en la economía ecológica, como los métodos de valoración y la teoría del valor económico total, son actualmente principios críticos básicos de la misma disciplina. La economía de la conservación busca, entre otros objetivos, evaluar crematísticamente las contraprestaciones entre la actividad económica, la sociedad y el ambiente mediante la interacción interdisciplinaria (Spash, 2012).
La visión ecosistémica de la economía de la conservación ha llevado a los economistas ambientales y ecológicos a incorporar el valor económico de los servicios ecosistémicos con la finalidad de utilizar instrumentos económicos de política ambiental que coadyuven a su conservación. El paradigma de los servicios ecosistémicos es presentando en la Evaluación de Ecosistemas del Milenio (ME, 2005), el cual es adoptado por varios países en América, mientras que la Unión Europea incluye este paradigma en el estudio homólogo The Economics of Ecosystems and Biodiversity (TEEB [por sus siglas en inglés], 2010). El presente estudio toma como referencia el paradigma propuesto por el ME.
II. Marco teórico
II.1. De los bienes y servicios ambientales a los servicios ecosistémicos
Una primera aproximación a los servicios que proporcionan los recursos naturales es la que brinda la economía ambiental, la cual define los servicios ambientales como la capacidad del ambiente de absorber desechos y contaminantes, captar energía solar y, en distintas formas, proveer las bases de la actividad económica; mientras que los bienes ambientales son definidos como un elemento del ambiente que se deriva o es producido por los servicios ambientales, el cual puede brindar un beneficio (Mercado, 2004; Harris, 2002). Entonces los bienes y servicios ambientales (BSA) se definen como el conjunto de condiciones y procesos naturales (incluyendo las especies y los genes) que proporcionan un beneficio a la sociedad por el uso directo o indirecto de los distintos elementos de la naturaleza o por su simple existencia (Hawkins, 2003). La clasificación más aceptada de los BSA (o ecosystem services, término utilizado con mayor frecuencia) los agrupa en cuatro categorías: 1) servicios hidrológicos; 2) captura de carbono; 3) conservación de la biodiversidad, y 4) belleza escénica (Mayrand y Paquin, 2004; Burstein et al., 2002; Hawkins, 2003; Pagiola y Platais, 2002).
Acorde con la Organización de Estados Americanos (OEA, 2005) esta clasificación es limitada debido a: 1) la ambigüedad del concepto; 2) para dos de los servicios son muy específicos; 3) para los otros dos su concepto abarca un amplio gradiente de aspectos del ambiente; y 4) no incorpora las interacciones y contraprestaciones existentes entre el ecosistema y la sociedad.
La limitación de esta clasificación ha encauzado los esfuerzos de los economistas, principalmente economistas ecológicos, a replantear si el concepto de BSA es adecuado. Sin embargo, las investigaciones acerca de cómo identificar y tipificar los servicios ecosistémicos son o se muestran intensas en las últimas décadas (Daily et al., 1997; Costanza et al., 1997 y de Groot et al., 2002). Estos esfuerzos intentan traducir la complejidad ecológica de los ecosistemas (estructuras y procesos) a funciones más específicas y a un número más amplio de servicios de los ecosistemas. La Evaluación de Ecosistemas del Milenio (ME) busca este objetivo, entre otros, y se sustenta en el enfoque ecosistémico; el estudio sitúa al bienestar humano como el eje primario de la evaluación, sin embargo, reconoce el valor que tienen los ecosistemas, ya que las personas toman decisiones que afectan a los ecosistemas con la finalidad de mejorar su bienestar (ME, 2005). El ME identifica cuatro funciones principales del ecosistema (base o soporte, provisión, regulación y culturales), de las cuales derivan 23 servicios ecosistémicos, y define los servicios ecosistémicos como los beneficios que las personas obtienen de los ecosistemas. Posiciona al ser humano como parte integral del ecosistema y reconoce la existencia de una interacción dinámica entre ambos. El enfoque ecosistémico, propuesto en 2005 por el ME, y replanteado por la Unión Europea en 2010 en el documento The Economics of Ecosystems and Biodiversity (TEEB), son hoy en día el marco conceptual contemporáneo de referencia para el estudio de las relaciones ecosistema-hombre-bienestar y para la evaluación y valoración de los recursos naturales (TEEB, 2010; Gómez y De Groot, 2007).
II.2. Valoración económica
La relación entre la economía y el ambiente es clara, la economía es un subsistema del ambiente y depende de éste para proveerse de recursos e insumos y como fuente para disponer de los desechos originados por la producción (Daily, 1999). La actividad económica es regulada por el mercado, y los precios se utilizan para establecer y determinar las necesidades y límites para la sociedad y para tomar decisiones económicas coordinadas de forma eficiente (Varian, 1999).
Sin embargo, los mercados no son capaces de incorporar a los recursos naturales y los bienes y servicios de los ecosistemas. Acorde con Seijo y colaboradores (1996) y Azqueta-Oyarzun y Field (1996) esto se debe a tres causas principales: i) cuando una o más condiciones del modelo de competencia pura no se cumplen; ii) los supuestos de la asignación óptima rara vez se cumplen a cabalidad en el caso de los recursos naturales, y, iii) el régimen de los derechos de propiedad de los recursos. Estas tres situaciones dan lugar a las fallas de mercado (Varian, 1999). Las fallas de mercado pueden ocurrir cuando las personas no pueden observar lo que otras están haciendo. Cualquier tipo de información o acción oculta retrasa la creación de mercados que pueden ser utilizados para la distribución eficiente de recursos. Así pues, las fallas de mercado nos llevan a una subvaloración del ambiente y sus servicios, provocando la ineficiencia económica y la inequidad distributiva del bienestar y sobreaprovechamiento de recursos naturales (Rashev, 2003).
Las fallas de mercado son las externalidades, los bienes públicos y los derechos de propiedad. Azqueta-Oyarzun y Field (1996) indican que existe una externalidad cuando la actividad de una persona (o empresa) repercute sobre el bienestar de otro agente económico que no está directamente involucrado en la actividad, y sin que se pueda cobrar un precio o recibir compensación por ello. Éstas pueden ser de dos tipos; negativa, que son costos sociales generados por empresas que contaminan y, positiva, que se suscitan cuando actividades brindan beneficios a otras personas que no están involucradas en la actividad. Mientras que un bien público puro, al igual que los servicios ecosistémicos, tiene dos características que los distinguen, la no rivalidad y la no exclusión en el consumo (Tabla 2), la primera implica que el consumo de un bien no reduce la cantidad disponible para otro consumidor y, la segunda, que no se puede excluir a nadie de su consumo una vez que se ha suministrado el bien o servicio. Como no se puede excluir a nadie del consumo del bien, los individuos se benefician del él sin importar si pagaron o no por el mismo.

En este caso el individuo no tiene incentivos para un precio positivo por el bien y en cambio sí lo tienen para disfrutar de él, lo que puede conducir a lo que Hardin (1968) llamó la tragedia de los comunes, definida como, la sobreutilización de recursos comunes o de acceso público, debido a incentivos individuales para obtener los beneficios lo más rápido posible antes de que alguien más los obtenga. Finalmente, la falla de mercado vinculada a los derechos de propiedad se refiere al derecho a usar los recursos, los cuales definen las atribuciones, privilegios y limitaciones de uso para los propietarios de los recursos. Los tipos de propiedad pueden ser privados, donde la propiedad puede ser identificada a individuos y, de propiedad común, donde el uso de la propiedad en cuestión es compartida con otros agentes (Azqueta-Oyarzun y Field, 1996).
A pesar de las fallas de mercado, se pueden utilizar los mecanismos del mismo para corregirlas. Turner y colaboradores (1993) mencionan que un mecanismo utilizado es el asignar derechos de propiedad a activos ambientales y dejar que la gente negocie el precio y cantidad del bien. Otro es que se pueden establecer reguladores del mercado para establecer un precio por unidad del recurso natural o servicio del ecosistema en cuestión y dejar a las personas decidir cuanta cantidad del mismo adquirir -llamados- impuestos verdes o cargos. Finalmente, se pueden utilizar reguladores para fijar la cantidad del bien o servicio ecosistémico o que las personas pueden comprar y dejar que ellas decidan el precio que están dispuestas a pagar por la cantidad fijada -llamados- permisos negociables.
Una vez corregidas las fallas de mercado, aún existe otro problema. El ambiente puede tener valor económico aun si no tiene precio o valor de mercado. Pero los valores económicos y los precios no son equivalentes regularmente. El concepto de valor económico total (VET) se ha desarrollado para cerrar esta brecha, es decir, se utiliza para re-estimar el “verdadero” valor del ambiente (Turner et al., 1993). El VET se utiliza para conocer el valor social de los servicios de los ecosistemas y de los recursos naturales. Dicho método consiste en clasificar a estos bienes en cinco componentes de acuerdo con el tipo de servicio que brindan, los cuales son: valor de uso directo (recreación, actividades cinegéticas y agropecuarias y suministro de alimento y materias primas), valor de uso indirecto (vinculado a funciones ecológicas, principalmente de regulación, y estéticas), valor de opción (usos opcionales de los bienes y servicios de los ecosistemas en el futuro y bioprospección), valor de herencia (conservar el ambiente para beneficio de generaciones futuras) y valor de existencia (el valor del recurso per se).
Todos estos valores reflejan la DAP individual por una mejora en el ambiente, o la DAP por evitar un costo ambiental. Pero, para algunas personas, o tal vez para todas, estos valores económicos pueden ser cero. De acuerdo con Dosi (2001), siguiendo el enfoque antropocéntrico predominante y adoptado en la literatura económica, el valor de los recursos naturales puede describirse mediante el flujo de sus servicios y cómo contribuyen al bienestar de la gente. Turner y colaboradores (1993) indican que estos flujos ecosistema-bienestar pueden traducirse a términos crematísticos mediante los métodos de valoración económica propuestos por la economía ambiental. Pero debido a la compleja naturaleza de los ecosistemas, el estimar su valor recae en una extensa lista de métodos de valoración disponibles para los tomadores de decisiones. ¿Qué método utilizar, para qué servicio del ecosistema y bajo qué circunstancias? No es una respuesta fácil de contestar.
La economía de la conservación relaciona los servicios ecosistémicos (SE) y los métodos de valoración económica (tabla 3) para poder asignar un valor a los SE en aras de lograr una eficiente distribución de los recursos (Farber et al., 2006). Acorde con Barzev (2002) los métodos de valoración tienen dos enfoques, el de mercado y el de no mercado. El primer enfoque valora un activo ambiental a través de una curva de demanda, conocido como método de preferencia expresada (valoración contingente) y revelada (costo de viaje y precios hedónicos) que arroja medidas del bienestar. El segundo, agrupa a los métodos que no generan una curva de demanda (dosis respuesta, costos de reposición, mitigación y costos de oportunidad) y no proporcionan medidas del bienestar.

Este estudio utiliza uno de los métodos de preferencias reveladas, el de costo de viaje, el cual relaciona servicios del ecosistema con otros bienes y servicios de mercado, y es factible generar indirectamente una función de demanda sobre el servicio en cuestión. A partir de esta base, es posible analizar cómo revelan las personas el valor de los servicios de los ecosistemas, estudiando el comportamiento en mercados reales de los bienes con los que están relacionados (Pauldrud, 2004; Azqueta-Oyarzun, 2002; Riera, 2001). La existencia del método costo de viaje (MCV) se remonta a la petición que realizara el Servicio de Parques Nacionales de los Estados Unidos de Norteamérica en 1947 a varios economistas para que propusieran una metodología para establecer cuotas de acceso a estos parques. En respuesta a esta solicitud Harold Hotteling (1947) propuso utilizar el método costo de viaje para determinar estas cuotas de ingreso (Vásquez-Lavín et al., 2007). A partir de esa fecha el MCV ha sido un instrumento que la economía ambiental utiliza para valorar recursos naturales que proporcionan servicios recreacionales a la sociedad.
III. Materia les y métodos
III.1. Método costo de viaje
El método se fundamenta en los costos en los que tiene que incurrir el visitante con el propósito de disfrutar de los servicios recreativos o ambientales ofrecidos por un lugar específico. Es decir, busca estimar la variación de la demanda del bien ambiental, traducida en número de visitas, ante cambios en el costo del viaje. A partir de esta propuesta, los primeros estudios conducidos en la década de los setenta dieron origen a lo que se conoció como economía de la recreación.
Desde la perspectiva económica, los servicios recreativos proporcionados por sistemas de recursos naturales (lagos, ríos, estuarios, bosques, entre otros) poseen importantes características y atributos. Estos últimos son fundamentales para la determinación del valor económico de los servicios recreativos. En segunda instancia, el acceso a los recursos que ofrecen alternativas de recreación no es asignado a través del mercado. En esencia, se alude a la condición de bienes públicos dentro de la cual caen la mayoría de los recursos naturales que proporcionan alternativas recreacionales.
El MCV asume que cada individuo que visita un sitio se asocia a la transacción implícita que relaciona los costos de viaje con el valor o precio que debería pagar el visitante por acceder a un lugar específico. Las decisiones que se toman por parte de las personas en relación con las diferencias en costos de viaje han sido modeladas desde dos perspectivas. En la primera, los individuos escogen un número determinado de viajes para realizar un determinado periodo de tiempo. En los modelos que usan este tipo de decisión se estima una función de demanda que relaciona el número de viajes y sus respectivos costos, los cuales varían de acuerdo con las distancias diferenciales recorridas por los recreacionistas. El valor del flujo de servicios recreativos de un sitio particular está representado por el área bajo la curva de demanda compensada, que es agregada a través de todas las personas que visitan el sitio.
En la segunda perspectiva de modelación, las personas deciden si quieren visitar un sitio o no en algún lugar con fines recreativos. En caso afirmativo, se procede a definir el sitio o los sitios visitados. Los modelos que utilizan este esquema de decisión se asocian a una elección discreta o a modelos de utilidad aleatoria (RUM, por sus siglas en inglés). Los RUM enfatizan el problema de selección entre sitios para un determinado viaje; es decir, después de tomar la decisión del número de viajes por realizar en la actividad recreativa, se procede a modelar la elección del sitio. El modelo de maximización de utilidad del individuo se puede dividir en dos etapas. En la primera, se escoge el sitio para visitar en cada ocasión. Por consiguiente, no interesa saber cómo se distribuyen los viajes entre los diferentes sitios. En este caso, las medidas del bienestar son calculadas teniendo en cuenta los parámetros de una función indirecta de utilidad, la cual es estimada a partir de estimaciones individuales.
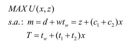
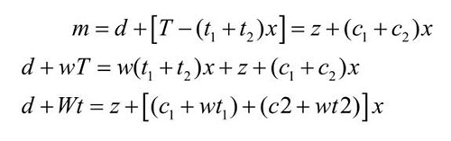
En el modelo general de costo de viaje se trata de formalizar el comportamiento de un individuo o grupo de personas en lo que respecta al número de viajes que serán realizados a un determinado sitio. Estos modelos de comportamiento están basados en una hipótesis común de maximización de utilidad sujeta a una restricción presupuestaria (Hueth y Strong, 1984). Asumiendo que existe sólo un sitio disponible y que todas las visitas tienen la misma duración, es factible adaptar el problema de decisión de la siguiente forma:
(1)donde x es el número de viajes, z es un bien el cual no necesita de tiempo en la restricción de tiempo (o bien hicksiano), m es el ingreso total, d es el ingreso disponible no asociado al trabajo, w es la tasa salarial, tw es el la jornada de trabajo, c1 es el costo de viaje, c2 es el costo monetario en el sitio, T es el tiempo total, t1 es el tiempo de viaje, y t2 es el tiempo de permanencia en el sitio.
Si suponemos que las personas pueden elegir discrecionalmente las horas de trabajo, y si asumimos que el costo de oportunidad del tiempo de viaje está relacionado con la tasa salarial, es posible despejar tw de la ecuación anterior, de tal forma que:
(2)Al sustituir (2) en la restricción presupuestaria obtenemos:
(3)De la ecuación (3) tenemos que se deduce que wT corresponde al ingreso obtenido si se dedicara todo el tiempo a trabajar, c1 + wt1 equivale al costo de viaje, y c2 + wt2 representa el costo de permanencia. La ecuación (3) puede reescribirse de la siguiente manera:
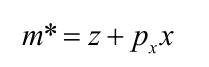
(4)donde; m* = d + wT y Px = (c1 + wt1) + (c2 + wt2). Por lo que el problema de maximización de utilidad se transforma en:

En esencia, se trata de estimar x = ( px ,m*) y z= z (pz , m*), que son las funciones de demanda que se obtienen al resolver el problema primal. Al respecto, es importante señalar que la restricción presupuestaria es lineal.
Los supuestos implícitos del modelo teórico esbozado son siete: i) el número de viajes y la calidad ambiental del sitio son complementarios dentro de la función de utilidad; ii) se asume que los individuos perciben y responden a los cambios en el costo de viaje en la misma forma en que responderán a cambios en los precios de admisión al sitio; iii) se visita un único sitio; iv) el tiempo de permanencia es exógeno y fijo; v) no existen sitios sustitutos; vi) la tasa salarial representa el costo de oportunidad del tiempo y, vii) el individuo no percibe utilidad o desutilidad durante el viaje o durante su tiempo de trabajo.
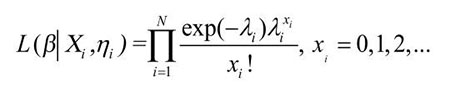
En los inicios de la aplicación del MCV, década de 1980, se identificaron dos corrientes básicas de trabajo que apuntan la estimación de funciones de demanda por zonas de origen o aproximación de Clawson y Knetsch (1996), y la estimación de funciones de demanda individual. Hellerstein (1995) indica que la mayor disponibilidad de datos de origen micro, conjuntamente con un conocimiento mayor de los sesgos de agregación del método, condujo a abandonar el modelo de demanda de viajes por zonas de origen. Por consiguiente, se recurre al método individual de costo de viaje individual, que se caracteriza por sus bondades en términos de una mejor eficiencia en la estimación de la demanda por servicios recreacionales. La forma general del método individual es:
(5)donde Xij es el número de visitas realizadas al sitio por el individuo en un año; Cij es el costo de viaje del individuo al sitio; Zij es un vector de variables explicativas de tipo socioeconómico y otras variables ambientales vinculadas al sitio, y eij es el término estocástico.
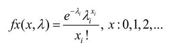
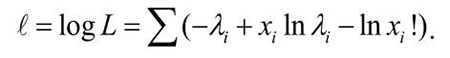
La mayoría de los modelos de costo de viaje se estiman utilizando distribuciones discretas, dado que el número de viajes es una variable discreta no negativa que tiene la variable dependiente (número de viajes), ya que, por lo general, es recurrente el hecho de que las personas realicen sólo un número pequeño de viajes al sitio recreacional, con uno o dos viajes al sitio como máximo (Haab y McConnell, 2002). En virtud de este planteamiento, los estudios han resuelto recurrir al uso de funciones de densidad discretas como la distribución Poisson, definida por
(6)donde λi es el parámetro Poisson, que corresponde tanto a la media (número esperado de viajes) como a la varianza de la distribución, y xi corresponde al número de viajes de cada individuo.
Dada la necesidad de que λi >0, es decir, que el número de viajes esperado sea positivo, λi se expresa como una función exponencial de las variables explicativas del modelo. Así ηi = exp(Xβ) y la función de verosimilitud para una muestra de tamaño N se puede definir como
(7)la cual luego de tomar el logaritmo, se define como
(8)Usando la forma funcional más frecuente para λi , es decir, λi = exp(Xiβ), por ser λi una función determinística de x, y que la aleatoriedad en el modelo proviene de la especificación Poisson para xi
(9)Los modelos Poisson asumen igualdad entre la media y la varianza de la distribución. Si este supuesto no es válido empíricamente es muy probable obtener estimadores sesgados. El estimador en el modelo Poisson puede ser sesgado e inconsistente en la presencia de sobredispersión (α), la cual se considera como un tipo de heteroscedasticidad, y se define como el exceso de varianza condicional sobre la correspondiente media condicional de la variable dependiente (cuando la razón varianza-media es mayor que 1). En condiciones de esta naturaleza es recomendable acudir a una distribución binomial negativa, considerada como una extensión de una Poisson.
Habb y McConnell (2002) indican que la media de la distribución binomial negativa es E(xi ) = λi = exp(ziβ). Sin embargo, la varianza de la variable dependiente es Vi = (xi ) = λi (1+ α λi ), donde el parámetro α cómo un parámetro de sobredispersión. Si α=0 (o si α→0) no existe sobredispersión, entonces la distribución gamma pierde significancia y la distribución binomial negativa se reduce a una distribución Poisson.3
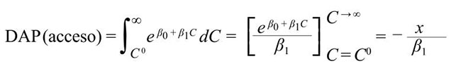
Haab y McConnell (2002) proponen que una vez realizadas las estimaciones de los parámetros de las variables del modelo Poisson o binomial negativo (BN), se puede calcular la DAP por acceder al sitio mediante
(10)Para incorporar la tasa de captura (TC) dentro del modelo general de demanda se utilizaron los registros mensuales de esta variable que reporta la flota de pesca deportiva que opera en la zona. Al respecto, Hanley y colaboradores (2001) y Maunder y colaboradores (2006) indican que la TC es utilizada como un índice adecuado para medir la abundancia relativa del acervo (stock) en las pesquerías. Ortega-García y colaboradores (2003, 2008) indican que a mayor temperatura superficial en el mar (TSM) menor será la captura de especies como el marlín azul, es decir, menor tasa de captura. En este caso, la TC incorpora la relación existente entre la TSM y todas las especies capturadas durante el periodo de investigación.
III.2. Encuesta
Para obtener los datos se utilizó muestreo aleatorio estratificado para determinar la muestra de 32,166 viajes reportados por la capitanía de puerto de Cabo San Lucas. Se consideró cada mes de muestreo como un estrato, con un nivel de confianza de 95 por ciento y un error de estimación de 4 por ciento, dando como resultado una muestra de 467 individuos para la zona de Los Cabos para el periodo comprendido de agosto de 2010 a septiembre de 2011.
La entrevista incluye reactivos sobre las actividades de pesca deportiva que realiza el pescador (especies capturadas, días de pesca, si pesca en grupo o sólo él, entre otros), sobre el viaje (costo de viaje a Los Cabos, costo del viaje de pesca, número de veces que ha pescado en el área, percepción de su nivel de experiencia como pescador deportivo, y otros más) y aspectos socioeconómicos y demográficos (edad, ingreso, nivel de escolaridad, etcétera). Para minimizar los sesgos en la encuesta se siguieron las recomendaciones realizadas por Mitchell y Carson (1989).
IV. Resultados
IV.1. Descriptivos
El 80 por ciento de los visitantes provenían de los Estados Unidos de Norteamérica, 9 por ciento de Canadá y 7 por ciento de México, de ellos el 34 por ciento vive en California. El 97 por ciento de los entrevistados en la muestra son hombres. Con una edad promedio de 34 años, el 72 por ciento ubica su escolaridad en el nivel superior (incluyendo posgraduados) y reportan un ingreso promedio de 137,740 dólares norteamericanos (USD). Con los datos recabados se puede inferir que el 8.5 por ciento (105,169) de los visitantes a Los Cabos en el año 2011 realizó actividades recreativas de pesca deportiva.
En lo que respecta a la actividad de pesca deportiva el 85 por ciento manifiesta que no participó en torneos de pesca, sólo el 43 por ciento de ellos declara que el motivo de su visita es la pesca deportiva y 47 por ciento la considera un elemento muy importante en su visita. El 56 por ciento de la muestra se consideran expertos pescadores, 80 por ciento de ellos rentaron la embarcación en que pescaron, únicamente el 13 por ciento de los pescadores no capturó ninguna especie en su viaje, y el 66 por ciento adquirió una licencia diaria para pescar. En promedio pescaron dos días, con un costo de viaje total y un costo por el viaje de pesca promedio de 4,783 y 782 dólares respectivamente.
IV.2. Econométricos
Para estimar la función de demanda para la pesca deportiva en la zona de Los Cabos se utilizó el método de costo de viaje individual aplicando a los datos estimaciones mediante modelos Poisson y binomial negativo. Los modelos estimados satisfacen los supuestos básicos con respecto al término estocástico de acuerdo con lo propuesto por Cameron y Trivedi (2013). Los resultados muestran que la función de demanda no es lineal en el precio (p) o costo de viaje, pero es lineal en los demás atributos, denotados por el vector z. Donde v es la variable dependiente representando al número de viajes de pesca deportiva en Los Cabos y ε es el término estocástico. Problemas de heteroscedasticidad detectados en las estimaciones fueron corregidos mediante el recíproco del costo de viaje de pesca (rcv). Las variables incluidas en el modelo se describen en la tabla 4.

La tabla 5 muestra que los coeficientes de las variables rcv, avisita, experto, motivo y el intercepto incluidas en los modelos Poisson y BN de demanda por viajes de pesca deportiva son significativos al 1 por ciento, el coeficiente de ltc es significativo al 5 por ciento en ambos modelos. Los parámetros asociados al costo de viaje tienen el signo esperado y, los coeficientes de las variables en logaritmos son las correspondientes elasticidades de cada una de ellas.

La probabilidad de α(7) proporciona bases para rechazar la hipótesis nula de equidispersión del modelo BN-A. Es decir, α→0, lo cual colapsa la distribución gamma causando que pierda significancia y la distribución binomial negativa se reduce a una distribución Poisson, por lo cual en ambos modelos los parámetros de todas las variables, incluyendo el intercepto, tienen los mismos valores.
En los modelos recíprocos el cálculo de la DAP por acceder al sitio no se puede calcular mediante la ecuación (10). En un modelo recíproco se deben realizar dos pasos: 1) calcular la elasticidad del cv (ηcv ) mediante
; donde βcv es el coeficiente del cv,
son el promedio de las visitas y del costo de viaje respectivamente y, 2) estimar la DAP por acceder al sitio mediante la ecuación
(Christiernsson, 2003). La elasticidad precio de la demanda
calculada para el modelo Poisson A y BN-A son de carácter inelástico con una magnitud de 0.0481 para ambos. La DAP de acceso para ambos modelos asciende aproximadamente a 41.60 USD por dos días de pesca en promedio, representando el nuevo monto propuesto para la licencia diaria de pesca deportiva.
Se obtuvo un valor R2 ajustado de 0.3366 para la regresión Poisson A y la BN-A respectivamente, lo cual se considera adecuado, recordando que para modelos no lineales este valor sólo nos otorga una aproximación de esta medida de bondad de ajuste, que no es totalmente análoga a la R2 obtenida mediante mínimos cuadrados ordinarios. Bajo este criterio, ambos modelos tienen el mismo ajuste. Los valores del Log-likelihood no permiten decir qué estimaciones, Poisson A o BN-A, son preferibles una sobre otra. Para decantar por un modelo u otro se utiliza el Criterio de Información de Akaike (aic, por su acrónimo en inglés), la regla general es que a menor valor de este criterio, mejor el modelo; con base en esta proposición el Poisson A se prefiere sobre el BN-A (3.0295<3.0355).
En ambos modelos el coeficiente asociado a rcv indica que si el costo de viaje aumenta indiscriminadamente, la probabilidad de realizar un viaje de pesca deportiva se verá reducida en aproximadamente 80 por ciento. El valor de parámetro de la tasa de captura (ltc) indica que un aumento del 1 por ciento en la abundancia relativa de especies de pesca deportiva tendrá un efecto positivo de 0.76 por ciento en la demanda por viajes para el modelo asociado.
El que coeficiente de avisita sea positivo deja ver que entre mayor sea el número de años que el individuo haya visitado Los Cabos, la probabilidad de realizar un viaje de pesca deportiva se incrementará. Si el individuo considera que su nivel de experiencia pescando es de experto y si el principal motivo de su viaje es la pesca, ambos factores ejercerán un efecto positivo sobre la probabilidad de realizar un viaje de pesca deportiva en la zona de Los Cabos.
Para poder actualizar los montos para los permisos semanales, mensuales y anuales se estimaron los modelos Poisson B y BN-B utilizando V como variable dependiente y lsem, lmes y laño como variables explicativas. Se busca encontrar la variación porcentual con respecto a la licencia diaria de pesca o DAPacceso, permitiendo visualizar el potencial porcentaje de incremento en permisos distintos con respecto a la licencia diaria de pesca, en este caso la DAPacceso. Los resultados de estas estimaciones son mostrados en la tabla 6. El cálculo de los nuevos permisos (semanales, mensuales y anuales) se puede realizar mediante (1 + βi )(DAPacceso ); donde βi representa los coeficientes correspondientes a lsem, lmes y laño para cada modelo estimado y DAPacceso es la respectiva disposición a pagar por acceder al sitio estimada en los modelos Poisson A y BN-A.

Se observa que todos los parámetros para las estimaciones de la tabla 5 son significativos al 1 por ciento. Los coeficientes se interpretan como el potencial incremento de los permisos de pesca deportiva semanal, mensual y anual, en comparación si el individuo adquirió un permiso de pesca diario. Las correspondientes elasticidades para el modelo Poisson B es de 29.83, 35.16 y 30.94 por ciento. Para el modelo BN-B la elasticidades de lsem es 29.94 por ciento, lmes tiene un valor de 35.15 por ciento y para laño su magnitud es de 30.99 por ciento. Se observa que la diferencia en las elasticidades en ambos modelos es marginal. Las modificaciones a los montos de los permisos de pesca deportiva se circunscriben en la tabla 7. Los montos propuestos son congruentes con otros estudios similares realizados en distintas partes del mundo (tabla 8).


La Comisión Nacional de Pesca y Acuacultura (Conapesca, 2013) reporta que Baja California Sur es la entidad federativa que más permisos de pesca deportiva emite y que mayor recaudación realiza por venta de estos permisos, la mayor proporción de éstos es para pescar en la zona de Los Cabos. Para el año 2012 esta entidad emitió 90,296 permisos y recaudó 15.44 millones de pesos, que representan alrededor de 1.18 MDD. Considerando los nuevos esquemas de costo para los permisos de pesca propuestos por este estudio, la potencial recaudación podría ascender a 4’788,760 y 4’789,861 millones de dólares para el modelo Poisson B y BN-B respectivamente. La recaudación por tipo de licencia y total se muestra en la tabla 9.

La modificación en los montos de los permisos de pesca deportiva provocará un descenso en los pescadores que demandan esta actividad (Anexo 2). De implementar un único valor para el permiso, habría un desplazamiento de usuarios fuera de este mercado de casi 21,293 pescadores. En caso de seleccionar OP2 (tarifas diferenciadas) el mercado vería un descenso de 13,404 pescadores.
Conclusiones
Con respecto al primer objetivo, proponer nuevos esquemas de pago para los permisos de pesca deportiva, los resultados manifiestan que es posible realizar una modificación en los montos de los permisos de pesca deportiva, de tal forma que sean diferenciados. Se proponen dos vertientes para implementar una política de recaudación diferenciada para este tipo de instrumentos. La primera (OP1), es mantener los costos actuales para pescadores nacionales y establecer una tarifa fija de 41.60 USD para los pescadores extranjeros. La segunda opción (OP2), continuar con los costos actuales de los permisos de pesca deportiva por día, semana, mes y año para los pescadores nacionales y definir cuotas diferenciadas para pescadores extranjeros de acuerdo con los montos del modelo Poisson B o el BN-B. En ambas situaciones la potencial recaudación por la venta de estos permisos rebasaría la actual, con OP1 por casi 370 por ciento y con OP2 por más de 400 por ciento. Al ser un mercado en su mayoría norteamericano, no se ve la necesidad de filtrar las nuevas tarifas por otro tipo de visitante.
Bajo el escenario OP1 y OP2 se puede esperar que alrededor de 13 mil y 21 mil pescadores deportivos respectivamente fueran desplazados de esta actividad recreativa. Esto es importante de considerar al momento de optar por modificar los costos de los permisos de pesca deportiva, ya que proporciona un elemento de control importante para desplazar la demanda hacia la izquierda, acción que podría contribuir a la conservación de las especies destinadas a esta actividad. Sin embargo, es esencial tener en cuenta el contexto general de la política de desarrollo y promoción turística prevalecientes al momento de seleccionar entre alternativas, así como el contexto de la política ambiental.
El monto recaudado permitiría fortalecer estrategias de conservación para pelágicos mayores, diseño de programas de monitoreo de especies de pesca deportiva, fortalecimiento a programas de ordenamiento ecológico marino, acciones de inspección y vigilancia. Una acción muy concreta sería el apoyo a la realización de estudios sobre dinámica de la flota de pesca deportiva en la zona de estudio. Esto podría detonar en el conocimiento de las principales áreas de pesca de la flota local y sentar una línea base para el establecimiento de reservas marinas o áreas de crianza o reproducción para especies de pesca deportiva. De igual forma, los fondos colectados se pueden destinar a estudios orientados al manejo sustentable de la pesquería y la generación de un plan de manejo para las especies de pesca deportiva. La cantidad monetaria reunida coadyuvará a fortalecer el fomento de la actividad y conservación de las especies reservadas y destinadas a esta actividad.
La modificación en los costos de los permisos de pesca deportiva y el potencial monto de recaudación son una alternativa a la política fiscal actual, la cual está orientada a tasas impositivas al consumo directo (principalmente). Esta propuesta de política de recaudación se enfoca a una actividad específica cobijada dentro del sector turístico, y consiste en gravar el uso y extracción del recurso deportivo pesquero que se localiza en territorio nacional. Sin embargo, la forma de operación del Fideicomiso Fondo para la Protección de los Recursos Marinos (Fonmar) establece que son sólo las entidades federativas quienes pueden definir la utilización final del monto recaudado por la emisión y venta de permisos para pesca deportiva en el área de su influencia territorial.
La selección del escenario para modificación a los montos de los permisos puede realizarse bajo criterios estadísticos, como la magnitud del Log-likelihood y del AIC; con base en estos criterios se tiene que el modelo Poisson B es preferible sobre el BN-B, destacando que es bajo el primer modelo donde se logra la mayor recaudación, aunque ésta sea marginal comparada con el segundo. De igual forma se debe considerar la potencial recaudación si se generalizaran los montos propuestos a nivel nacional.
Por lo que respecta a la inclusión de la abundancia relativa de las especies tomando como indicador la tasa de captura (TC), los resultados muestran dicha variable estadísticamente significativa, por lo que es posible concluir que los estudios de abundancia en conjunto con acciones de conservación orientadas a mantener, o incrementar la cuantía de individuos de estas especies en la región de estudio potenciará el aumento en los viajes y, en consecuencia, los beneficios económicos. El aumento en los viajes, medido a través de la elasticidad de la TC sería de 0.76 por ciento si la tasa de captura aumenta 1 por ciento para ambos modelos.
Las repercusiones económicas de la potencial modificación en el cobro de los permisos de pesca deportiva son: una potencial contracción en la oferta del número de viajes de pesca deportiva, un incremento en la recaudación por arriba del 350 por ciento en comparación con las actuales, pero disminuyendo la demanda (entre 14 por ciento y 23 por ciento) por esta actividad dependiendo el escenario que se elija OP1 u OP2. Mientras que las implicaciones sociales asociadas a la modificación de tarifas son quizás, manifestaciones públicas de inconformidad por parte de los operadores turísticos por el alza en los permisos y un descenso en el número de empleos. Las consecuencias ambientales de esta política podrían verse reflejadas en el aumento de la abundancia de las especies de pesca deportiva, principalmente picudos; sin embargo, la medición de ésta no puede ser exacta al tratarse de una especie pelágica y altamente migratoria. Por último, las implicaciones legales derivan en elaborar una propuesta a la Ley Federal de Derechos en su Artículo 199-B y su correspondiente cabildeo.
AGRADECIMIENTOS
Al Fondo Sectorial para la Investigación Ambiental Semarnat-Conacyt por financiar el proyecto No108270. Daniel Lluch Belda (†) y Germán Ponce agradecen a EDI y COFAA en el Instituto Politécnico Nacional. En el Instituto Politécnico Nacional- Centro Interdisciplinario de Ciencias Marinas al ingeniero Armando Hernández López por haber realizado las imágenes en esta publicación; al doctor Daniel Lluch-Belda, gracias por sus enseñanzas y por ser un gran ser humano y un gran amigo.
A los dos revisores anónimos del manuscrito por sus pertinentes, acertados y valiosas contribuciones para que el artículo fuera publicado.
Referencias bibliográficas
Anderson, Blake y M’Gonigle, Michael (2012), “Does Ecological Economics Have a Future? Contradiction and Reinvention in the Age of Climate Change”, Ecological Economics, 84, pp. 37-48.
Azqueta-Oyarzun, Diego y Field, Barry C. (1996), Economía y medio ambiente, t. 2, McGraw-Hill Interamericana, 298 pp.
Azqueta-Oyarzun, Diego (2002), Introducción a la Economía Ambiental, Madrid, McGraw Hill Interamericana de España, 356 pp.
Barzev, Radoslav (2002), “Guía metodológica de valoración económica de bienes, servicios e impactos ambientales. Un aporte para la gestión de ecosistemas y recursos naturales en el CBM”, Serie Técnica núm. 4, Proyecto para la Consolidación del Corredor Biológico Mesoamericano, 149 pp.
Billfish Foundation (2008), Contribución económica de la pesca deportiva a la economía de Los Cabos, 43 pp.
Burstein, John; Chapela Mendoza, Gonzalo; Jazmín Aguilar y De León, Emilliene (2002), “Propuesta de pago por servicios ambientales en México (Informe sobre el Proyecto Pago por Servicios Ambientales en las Américas)”, Fundación Prisma, enero.
Cameron, A. Colin y Trivedi, Pravin K. (2013), Regression Analysis of Count Data, 2a. ed., Cambridge Uniersity Press, Nueva York, 598 pp.
Chávez-Comparan, Juan Carlos (2000), “Valoración económica de los beneficios generados por la pesca deportiva en Manzanillo, Colima”, en Memoria del Seminario de Valoración Económica del Medio Ambiente, Dirección de Economía y Política Ambiental, México, Instituto Nacional de Ecología, pp. 2-18.
Christiernsson, A. (2003), An economic valuation of the coral reefs at Phi Phi Island: a travel cost approach, Essay from Lulea University of Technology, Department of Business Administration and Social Sciences, Division of Economics, 55 pp.
Clawson, Marion y Knetsch, Jack L. (1996), Economics of Outdoor Recreation, Resource for the Future (RFF) (ed.), 328 pp.
Comisión Nacional de Acuacultura y Pesca (2009), Anuario Estadístico de Acuacultura y Pesca, México, 212 pp.
Comisión Nacional de Acuacultura y Pesca (2013), Anuario Estadístico de Acuacultura y Pesca 2012, Sagarpa, 385 pp.
Costanza, Robert; D’Arge, Ralph; De Groot, Rudolf; Farber, Stephen; Grasso, Mónica; Hannon, Bruce; Limburg, Karin; Shahid, Ñame; O’Neill, Robert V.; Paruelo, José; Robert G., Raskin; Sutton, Paul y Den Belt Marjen Van (1997), “The Value of the World’s Ecosystem Services and Natural Capital”, Nature, 387, pp. 253-260.
Daily, Gretchen; Susan Alexander; Ehrlich, Paul R.; Goulder, Larry; Lubchenco, Jane; Matson, Pamela A.; Mooney, Harold A.; Postel, Sandra; Schneider, Stephen H.; Tilman, David y Woodwell, George M. (1997), “Servicios de los ecosistemas: beneficios que la sociedad recibe de los ecosistemas naturales”, Tópicos en Ecología, 2, Sociedad Norteamericana de Ecología, pp. 1-16.
Daly, Herman E. (1999), Ecological Economics and the Ecology of Economics: Essays in Criticism, Edward Elgar (ed.), 191 pp.
De Groot, Rudolf S.; Wilson, Matthew A. y Boumans, Roelof M. J. (2002), “A Typology for the Classification, Description and Valuation of Ecosystem Functions, Goods and Services”, Ecological Economics , 41 (2002), pp. 393-408.
Diario Oficial de la Federación (2013), MODIFICACIÓN a la Norma Oficial Mexicana NOM-017-PESC-1994, Para regular las actividades de pesca deportivo- recreativa en las aguas de jurisdicción federal de los Estados Unidos Mexicanos, publicada el 9 de mayo de 1995, Gobierno Federal, Diario Oficial (Primera Sección), 25 de noviembre, México, 13 pp.
Ditton, Robert B.; Grimes, Sheperd R. y Filkenstein, Leslie D. (1996), “A Social and Economic Study of the Recreational Billfish Fishery in the Southern Baja Area of Mexico”, Reporte preparado para The Billfish Foundation, Universidad Texas A&M.
Dosi, Cesare (2001), “Environmental Values, Valuation Methods, and Natural Disaster Damage Assessment”, CEPAL. Serie Medio Ambiente y Desarrollo, núm. 37, Environment and Human Settlements Divison, Santiago de Chile, 52 pp.
Drumm, Andy y Moore, A. Andy (2002), Desarrollo del ecoturismo. Un manual para los profesionales de la conservación, vol. 1, The Nature Conservancy, 88 p.
Farber, Stephen C.; Costanza, Robert y Wilson, Matthew A. (2002), “Economic and Ecologic Concepts for Valuing Ecosystem Services”, Ecological Economics , 41, Elsevier Inc., pp. 375-392.
Farber, Stephen C.; Costanza, Robert; Childers, Daniel L.; Ericson, Jon; Gross, Katherine; Grove, Morgan; Hopkinson, Charles S.; Khan, James; Pincetl, Stephanie; Troy, Austin; Warren, Paige y Wilson, Matthew (2006), “Linking Ecology and Economics for Ecosystem Management”, Bioscience, 56 (2), pp. 34-47.
Gámez-Vázquez, Alba Eritrea (1993), “Desempeño y perspectivas de desarrollo del polo turístico de Los Cabos”, tesis de licenciatura en Economía, La Paz, Universidad Autónoma de Baja California Sur, 139 pp.
Gómez, Baggethun y De Rudolf, Groot (2007), “Capital natural y funciones de los ecosistemas: explorando las bases ecológicas de la economía”, Ecosistemas16 (3), Asociación Española de Ecología Terrestre, pp. 4-14.
Haab, Timothy C. y McConnell, Kenneth E. (2002), Valuing Environmental and Natural Resources: The Econometrics of Non-market Valuation, Edward Elgar Publishing (ed.), 326 pp.
Hanley, Shelton J.; Myers, Ramson A. y Dunn, Alistair (2001), “Is Catch-per-Unit- Effort Proportional to Abundance?”, Canadian Journal of Fisheries and Aquatic Sciences, 58 (2001), pp. 1760-1772.
Hardin, Garret (1968), “The Tragedy of the Commons”, Science, vol. 162 (3859), pp. 1243-1248.
Haro-Martínez, Alma Angelina y Taddei-Bringas, Isabel Cristina (2014), “Sustentabilidad y economía: la controversia de la valoración ambiental”, Economía, Sociedad y Territorio, vol. XIV, núm. 46, septiembre-diciembre, pp. 743-767.
Harris, John M. (2002), Environmental and Natural Resources Economics. A Contemporary Approach, Boston, NY, Houghton Mifflin Company (ed.).
Harris, John M. y Codur, Ann-Marie (2004), Microeconomics and the Environment, Global Development And Environment Institute (ed.), Universidad de Tufts.
Hawkins, Chistopher (2003), “Economic Valuation of Ecosystem Services”, Working Papers, núm. PEE.026.03, Departamento de Economía Aplicada, Universidad de Minnesota, pp. 65-71.
Hellerstein, Daniel (1995), “Welfare Estimation Using Aggregate and Individual Observation Models: a Comparison Using Monte Carlo Techniques”, American Journal of Agricultural Economics, 77 (3), 620-630 pp.
Hotteling, Harold (1947), “Carta dirigida al Servicio de Parques Nacionales de los Estados Unidos de Norteamérica”, Universidad de Carolina del Norte, 2 pp.
Hueth, Darrel y Elizabeth J. Strong (1984) “A Critical Review of the Travel Cost, Hedonic Travel Cost and Household Production Models for Measurement of Quality Changes in Recreational Experiences”, Journal of Agricultural and Resource Economics, 13 (2), pp. 89-107.
Klett-Traulsen Alexander; Ponce-Díaz, Germán y Ortega-García, Sofía (1996), “Pesquería deportiva recreativa”, Estudio del potencial pesquero y acuícola de Baja California Sur, vol. II, Casas Váldez & Ponce Díaz Editores, pp. 389-418.
Lew, Daniel K. y Douglas M., Larson (2011), “A Repeated Mixed Logit Approach to Valuing a Local Sport Fishery: The Case of Southeast Alaska Salmon”, Land Economics, 87 (4), pp. 712-729.
Loomis, John y Kawa, Ng (2012), “Comparing Economic Values of Trout Anglers and Nontrout Anglers in Colorado’s Stocked Public Reservoirs”, North American Journal of Fisheries Management, 32 (2), pp. 202-210.
Maunder, Mark N Sibert, John R.; Fonteneau, Alain; H ampton, John; Kleiberg, Pierre y Harley, Shelyon J. (2006), “Interpreting Catch per Unit Effort Data to Assess the Status of Individual Stocks and Communities”, ICES, Journal of MarineScience, 63: 2006, pp. 1373-1385.
Mayrand, Karel y Paquin, Marc (2004), “Pago por servicios ambientales: Estudio y evaluación de esquemas vigentes”, Informe presentado por Unisfera International Centro para la Comisión y Cooperación Ambiental de América del Norte (CCAN), Montreal.
McKean, John R.; Johnson, Donn y Taylor, R. Garth (2010), “Willingness-to-Pay for Steelhead Trout Fishing: Implications of Two-Step Consumer Decisions with Short-Run Endowments”, Water Resourses Resaerch, 46 (9), W09523, doi:10.1029/2009WR008664.
Melstrom, T. Richard y Lupi, Frank (2013), “Valuing Recreational Fishing in the Great Lakes”, North American Journal of Fisheries Management , 33, pp. 1184-1193.
Mercado, Laura (2004), “Creando mercados para servicios ambientales”, presentación para el Instituto Internacional para el Desarrollo y Medio Ambiente, Programa de las Naciones Unidas para el Desarrollo (pnud).
Millennium Ecosystem Assessment(2003), Millennium Ecosystem Assessment. Ecosystem and Their Services, World Resources Institute, 104 pp.
Millennium Ecosystem Assessment (2005), Ecosystems and Human Well-Being. Synthesis, J. Sarukhán y W. Reid (eds.), Island Press, 84 pp.
Mitchell, Robert C. y Carson, Richard T. (1989), “Using Surveys to Value Public Goods”, Resources for the Future, Washington, 463 pp.
Organización de Estados Americanos (2005), Pagos por Servicios Ambientales. Informe preparado por la Oficina de Desarrollo Sostenible y Medio Ambiente de la Organización de los Estados Americanos, Taller de Expertos sobre el Apoyo al Desarrollo Sostenible a Través de la Agricultura, la Silvicultura y el Turismo, 2 de noviembre de 2005, San José, Costa Rica.
Ortega-García Sofía; Ponce-Díaz, Germán; O’Hara, R. y Merila, Juha (2008), “The Relative Importance of Lunar Phase and Environmental Conditions on Striped Marlin (Tetrapturus audax) Catches in Sport Fishing”, Fisheries Research, 93, pp. 190-194.
Ortega-García, Sofía; Klett-Traulsen, Alexander y Ponce-Díaz, Germán (2003), “Analysis of Sportfishing Catch Rates of Striped Marlin (Tetrapturus audax) at Cabo San Lucas, Baja California Sur, México, and their Relation to Sea Surface Tempature”, Marine and Freshwater Research, 54, pp. 483-488.
Pagiola, Stefano y Platais, Gunars (2002), “Pagos por servicios ambientales”, Environment Strategy Notes, 3, Banco Mundial, Departamento de Medio Ambiente, mayo.
Pascoe Sean, Amar Doshi; Thébaud, Olivier; Colette, R. Thomas; Schuttenberg, Heidi Z.; Heron, Scott F.; Setiasih, Naneng; Tan i, James C.H.; True, James; Wallmo, Kristy; Loper, Christy y Calgaro, Emma (2014), “Estimating the Potential Impact of Entry Fees for Marine Parks on Dive Tourism in South East Asia”, Marine Policy, 47, julio, pp. 147-152.
Pauldrud, Anton (2004), “Economic Valuation of Sport-Fishing in Sweden: Empirical Findings and Methodological Developments”, tesis doctoral, Departamento de Economía Forestal, Universidad Sueca de Ciencias Agrícolas, UMEA , 44 pp.
Pérez-Valencia, Sergio Alejandro (2004), “Estudio de la pesca deportivo-recreativa en la región de los Cabos, B.C.S., con énfasis en el destino de las capturas”, tesis de maestría, Centro de Investigaciones Biológicas del Noroeste, La Paz, Baja California Sur, México.
Ponce-Díaz, Germán; Ortega-García, Sofía y Hernández-Vázquez, Sergio (2003), “Lunar Phase and Catch Success of the Striped Marlin (Tetrapturus audax) in Sport Fishing at Los Cabos, Baja California Sur, Mexico”, Revista de Biología Tropical, 51(2), pp. 555-559.
Raguragavan, Jananee; Hailu, Atakelty y Burton, Michael (2010), “Economic Valuation of Recreational Fishing in Western Australia”, Working Paper 1001, School of Agricultural and Resource Economics, Universidad de Australia Occidental, 24 pp.
Rashev, Boyan (2003), “Alternative Economic Valuation of Pirin National Park, Bulgaria. Application of Contingent Valuation and Travel Cost Method”, tesis de maestría, Universidad Tecnológica de Branderburg, Cottbus.
Riera, Pere (2001), “Assessment of Methodologies for Valuing Biological Diversity of Forests”, Reporte para el Work Programme on the Conservation and Enhancement of Biological and Landscape Diversity in Forest Ecosystems of the Ministerial Conference on the Protection of Forests in Europe (MCPFE)European Forest Institute (EFI).
Seenprachawong, Udonsak (2003), “Economic Valuation of Coral reefs at Phi Phi Islands, Thailan”, International Journal of Global Environmental Issues, vol. 3, núm. 1, pp. 104-114.
Seijo, Juan Carlos; Defeo Omar y Salas, Silvia (1997), “Bioeconomía pesquera. Teoría, modelación y manejo”, Documento Técnico de Pesca, 368, Roma, FAO, 178 pp.
Sosa-Nishisaki, Oscar (1998), “Historical Review of the Billfish Management in the Mexican Pacific”, en Ciencias Marinas, 24, pp. 95-111.
Soto-Jiménez, Max Alberto; Yong-Chacon, Marlon; Gutiérrez-Lee, Alejandro; Fernández- García, Carolina; Lücke-Bolañoz, Rudolf; Rojas, Freddy y González, Gabriela (2010), “Analysis of the Economic Contribution of Recreational and Commercial Fisheries to the Costa Rican Economy”, Reporte Final, Instituto de Investigaciones en Ciencias Económicas, Universidad de Costa Rica, 141 pp.
Spash, Clive L. (2012), “New Foundations forEcological Economics”, Ecological Economics , 77, pp. 36-47.
Stolpe, Gisela (2001), “Overview of Financial Instruments”, Financial Instruments for Nature Conservation in Central and Eastern Europe, Alemania, International Academy for Nature Conservation, pp. 30-40.
TEEB (2010), The Economics of Ecosystems and Biodiversity Ecological and Economic Foundations, Earthscan, Londres, UK y Washington, Pushpam Kumar (ed.), 422 pp.
Turner, Kerry; Pearce, David W. y Bateman, Ian (1993), Environmental Economics. An Elementary Introduction, Baltimore, The John Hopkins University Press.
Varian, Hal (1999), Microeconomía Intermedia. Un enfoque actual. Antoni Bosch (ed.), 5ª ed., 726 pp.
Vásquez-Lavín, Felipe; Cerda-Urrutia, Arcadio y Orrego-Suaza, Sergio (2007), Valoración económica del ambiente, Thomson (ed.), 368 pp.
Anexo 1

Anexo 2

Notas