ARTÍCULOS
Apoyo del Gobierno o de un familiar en México ante la COVID-19: un estudio exploratorio de las personas receptoras
Government or family support in Mexico during COVID-19: An exploratory study of recipients
Apoyo del Gobierno o de un familiar en México ante la COVID-19: un estudio exploratorio de las personas receptoras
Gestión y Análisis de Políticas Públicas. Nueva época, no. 36, pp. 22-42, 2024
Instituto Nacional de Administración Pública (INAP)
Received: 31 October 2023
Accepted: 18 June 2024
RESUMEN: Objetivos: en este artículo se analizan las características sociodemográficas y laborales que aumentan la probabilidad de recibir apoyo del gobierno o de un familiar en el contexto de la pandemia por COVID-19 en México. Metodología: para ello, se utiliza un modelo de regresión logística multinomial y se calculan las probabilidades condicionales de cada categoría de resultado con datos de la Encuesta telefónica sobre COVID-19 y mercado laboral de junio de 2020. Resultados: el estudio muestra la relevancia estadística y positiva de la variable sexo en los dos tipos de apoyo. Mientras que educación (media y superior) muestra una relación negativa en la probabilidad de recibir apoyo gubernamental y no es una variable significativa en la recepción de apoyo de un familiar. En este último tipo de apoyo se encuentra que, el acceso a servicios de salud por parte del trabajo y empleo como situación laboral son variables significativas y negativas. Conclusiones: la ayuda gubernamental fue escasa y difícilmente contribuyó a mitigar efectos de la pandemia, sin embargo, se concentró en personas vulnerables. El sistema de seguridad y protección social requiere de cambios profundos para revertir la inequidad, con especial atención en el género.
Palabras clave: América Latina, familia, pandemia, protección social, sistema de bienestar, México.
ABSTRACT: Objectives: In this article, we analyze the sociodemographic and employment characteristics that increase the likelihood of receiving support from the government or a family member in the context of the COVID-19 pandemic in Mexico. Methodology: we use a multinomial logistic regression model, and the conditional probabilities of each outcome category are calculated using data from the Telephone Survey on COVID-19 and the Labor Market of June 2020. Results: The results show the statistical and positive relevance of the gender variable in both types of support. Whereas education (high school and higher) shows a negative relationship in the probability of receiving government support and is not a significant variable for family support. For the latter type of support, it is found that access to health services through work and having employment are significant and negative variables. Conclusions: Government support was scarce and hardly contributed to mitigating the effects of the pandemic; however, it was focused on vulnerable individuals. The social security and protection system requires profound changes to reverse the inequity, with special attention to gender.
Keywords: Latin America, family, pandemic, social protection, welfare system, Mexico.
SUMARIO
INTRODUCCIÓN. 1. CARACTERÍSTICAS DEL BIENESTAR EN AMÉRICA LATINA Y EL CARIBE. 2. PROTECCIÓN SOCIAL EMERGENTE: RESPUESTAS ANTE LA PANDEMIA. 2.1. ALCANCES Y LÍMITES DE LAS MEDIDAS EMERGENTES. 3. MÉTODO. 4. PROBABILIDADES DE RECIBIR APOYO DE GOBIERNO O DE UN FAMILIAR EN MÉXICO DURANTE EL CONFINAMIENTO. ANEXO 1. PROBABILIDAD DE NO RECIBIR APOYO, RECIBIR APOYO DE GOBIERNO O RECIBIR APOYO DE UN FAMILIAR EN JUNIO DE 2020, MÉXICO. ANEXO 2. DISTRIBUCIÓN DE LAS VARIABLES. REFERENCIAS BIBLIOGRÁFICAS.
INTRODUCCIÓN
La respuesta de los Gobiernos de América Latina y el Caribe (ALC) para mitigar la crisis provocada por la pandemia de COVID-19 en materia de protección social fue diferente. Algunos Gobiernos expandieron rápidamente los programas sociales y la cobertura de estos, mientras que otros implementaron pocas medidas adicionales. Los programas sociales predominantes en 2020 fueron los de trasferencias monetarias directas y los alimentarios, acorde a las tendencias internacionales (Gentiliniet al.,2020; OIT, 2020).
Los programas de trasferencias monetarias y en especie (nuevos y adaptados) lograron cubrir en promedio 49,4 % de la población de ALC, lo cual significa un aumento de cobertura de 30,9 % (CEPAL, 2021; Palomoet al.,2022). Esto abre la discusión sobre la capacidad de respuesta de los Gobiernos latinoamericanos y las posibilidades de ampliar el sistema de protección social en los diferentes países de forma más permanente. Además, invita a revisar los regímenes de bienestar a partir de las lecciones que ha dejado la pandemia.
En este contexto, México tuvo un desempeño peculiar al ser uno de los países más grandes de la región, pertenecer a la Organización para la Cooperación y el Desarrollo Económicos (OCDE), tener un régimen de bienestar caracterizado como dual (Filgueira, 1998; Barba, 2004), brechas de bienestar moderadas (Cecchiniet al.,2014), un grado de desmercantilización intermedio (Martínez, 2008) y ejecutar pocas medidas de protección social en respuesta a la pandemia en comparación con otros países de ALC (Palomoet al.,2022; Rubioet al.,2020; Cejudoet al.,2021;Berner y Van Hemelryck, 2020).
Si bien todos los países de ALC enfrentaron problemas para identificar a la población susceptible de apoyo durante el confinamiento (Rubioet al.,2020; Berner y Van Hemelryck, 2020), en el caso de México los retos fueron mayores porque la política social del país se estaba reestructurando a partir del nuevo Gobierno, encabezado por el presidente Andrés Manuel López Obrador (2019-2024). Por tanto, algunos programas de trasferencias directas condicionadas que sirvieron en otros países para hacer llegar recursos adicionales, como Brasil y Argentina, en México se habían cancelado y los nuevos programas aún estaban en una fase incipiente de implementación con ajuste en las reglas de operación y definición del padrón de destinatarios.
En este sentido, cabe preguntarse: ¿qué ocurrió con el escaso apoyo gubernamental que se otorgó en el primer año de confinamiento en México? ¿A qué población se atendió mediante algún programa gubernamental? ¿En dónde se concentraron los recursos públicos destinados a atender a la población en el contexto de la pandemia? El presente estudio brinda información que ayuda a dilucidar dichas interrogantes, ya que estima la probabilidad de recibir apoyo gubernamental en dinero o en especie (a través de algún programa), así como la probabilidad de recibir apoyo de algún familiar en el contexto del confinamiento (junio de 2020). El incorporar en el análisis el apoyo recibido proveniente del Gobierno y el que proviene de un familiar permite contar con información sobre, al menos, dos agentes productores y distribuidores de bienestar, como el Estado y la familia.
El análisis se hace a partir de los datos de la Encuesta telefónica sobre COVID-19 y mercado laboral (ECOVID-ML), diseñada y levantada por el Instituto Nacional de Estadística y Geografía (INEGI) de México. La encuesta tiene como población objetivo a las personas de dieciocho años y más que contaban con teléfono celular en la fecha del levantamiento. El diseño de la muestra es probabilístico, por lo que los resultados se pueden generalizar a nivel nacional, y fue calculada con una confianza de 90 % y un error esperado de 6,8 % (INEGI, 2020b).
Para estimar la probabilidad de recibir apoyo del Gobierno o de un familiar se utilizó un modelo de regresión logística multinomial, cuya categoría de referencia es «no recibió ningún tipo de apoyo». Las variables predictoras utilizadas son: sexo, edad, educación, acceso a servicios de salud por parte del trabajo y situación laboral. Se eligieron estas variables sociodemográficas y laborales básica para explorar las probabilidades de recepción de apoyo (gubernamental o familiar) en una situación de crisis porque, de alguna manera, nos permiten considerar la importancia del género, de las condiciones sociales y económicas (medidas a través de la educación) y de las condiciones laborales (acceso a servicios de salud por parte del trabajo y situación laboral). Esta última dimensión es importante para entender la política social y la seguridad social en México (Levy, 2010).
Los resultados del modelo de regresión muestran la relevancia estadística y positiva del sexo (mujer en comparación con hombre) en la probabilidad de recibir apoyo gubernamental en el contexto de la pandemia, mientas que el aumento de los grados de escolaridad reduce la probabilidad de recibir este tipo de apoyo y no es una variable relevante para recibir apoyo de un familiar.
El tener un «empleo», categoría de la variable situación laboral, presenta la más baja probabilidad en la recepción de apoyo gubernamental, en comparación con «negocio propio» u «ocupación por su cuenta». En la recepción de apoyo de algún familiar, la variable sexo (mujer en comparación con hombre) es significativa y positiva, y el «acceso a servicios de salud» por parte del trabajo muestra un signo negativo, al igual que «empleo». Estos resultados permiten reflexionar sobre la importancia del sexo, la educación y la situación laboral en la recepción de recursos públicos para hacer frente a la pandemia, y en las características laborales (acceso a servicios de salud por parte del trabajo y tipo de empleo) que pueden estar contribuyendo a una mayor resiliencia en situaciones de crisis, como la generada por la COVID-19. Así mismo, los resultados permiten repensar hacia dónde redirigir los esfuerzos en materia de protección y seguridad social.
El artículo se estructura en cuatro secciones, además de las conclusiones. En la primera sección se presenta la discusión sobre regímenes de bienestar en los países de ALC. La segunda sección se dedica a revisar las medidas de protección social implementadas en respuesta a la pandemia por COVID-19 en la región, con un particular énfasis en el caso de México. La tercera sección se centra en el método empleado. Finalmente, en la cuarta sección se presentan los resultados del modelo multinomial y las probabilidades condicionales de recibir apoyo gubernamental o de un familiar en México. En las conclusiones se reflexiona sobre la población atendida en junio de 2020 y los desafíos para el sistema de protección social en México.
1. CARACTERÍSTICAS DEL BIENESTAR EN AMERICA LATINA Y EL CARIBE
El papel del Estado en la distribución y redistribución del bienestar es fundamental, ya que es el agente que administra los recursos públicos y además tienen un conjunto de obligaciones legales para con los ciudadanos del territorio que administra y gobierna. Sin embargo, hay otros agentes sociales y económicos generadores de bienestar, como el mercado laboral, la dinámica económica y la familia (Esping-Andersen, 1990), la comunidad, la sociedad civil, la informalidad de los mercados de trabajo (Ubasart-González y Minteguiaga, 2017; Marcel y Rivera, 2008) y el trabajo no remunerado que realizan principalmente las mujeres (Hobson, 1994; Lewis, 1997).
La propuesta de Esping-Andersen (1990), como orientación heurística, ha sido importante para entender los regímenes de bienestar particulares a partir de la participación diferencial de los agentes que el autor considera como centrales (Estado, mercado y familia). De esta forma, el Estado se constituye en un agente importante en la producción y distribución del bienestar porque puede incidir directamente en la redistribución de la riqueza y asegurar un conjunto de derechos sociales y laborales (Barba, 2004); el mercado porque genera empleo e ingresos por salarios, y la familia porque produce protección a sus integrantes a través de una extensa red de solidaridad.
A pesar de que Esping-Andersen (1990) incorpora a la familia como un elemento importante en la generación del bienestar, esta dimensión no ha sido desarrollada y omite la importancia del trabajo de cuidados no pagados que realizan principalmente las mujeres en las familias. Como fue señalado tempranamente por las críticas provenientes de corrientes feminista, esta propuesta no considera la distribución desigual del trabajo pagado y no pagado entre hombres y mujeres, las prestaciones sociales diseñadas bajo un modelo tradicional del hombre como proveedor a pesar de la incorporación de las mujeres al mercado laboral formal y las implicaciones de la desmercantilización entre hombres y mujeres (Lewis, 1997).
Es decir, la distribución del trabajo no pagado y del trabajo pagado (familia y mercado laboral) por género es importante para entender la producción y distribución del bienestar. De esta forma, el grado de desmercantilización y, sobre todo, el grado de familiarismo de un régimen puede estar ocultando la alta y desigual participación de las mujeres en el trabajo de cuidados no remunerado (al margen de las obligaciones del Estado) (Hobson, 1994; Lewis, 1997; Martínez, 2008).
Para ALC, además de estas críticas sobre la ceguera del género de la propuesta de Esping-Andersen (1990), se incorpora la necesidad de analizar cuestiones básicas como cuánto se gasta (más que cómo) y a cuántas personas se atiende (Filgueira, 1998) porque la mayoría de los países de la región no tiene un sistema expansivo de derechos sociales, sino que presenta diferentes grados de exclusión (Martínez, 2008; Valencia, 2010; Barba y Valencia, 2013; Cecchiniet al.,2014; Abramoet al.,2019; Cruz-Martínez, 2021; Ferre, 2023).
Por ejemplo, si se clasifican los países de ALC en función de la articulación entre instituciones públicas, política social, mercado de trabajo y estrategias de los hogares –antes de las reformas de la década de los ochenta– se encuentran tres grandes tipos de regímenes: universal, dual y marginal (Barba, 2004). El primero, se caracteriza por una mayor expansión de derechos sociales en comparación con los otros dos, mayor gasto social y mayor vinculación entre protección social y mercado laboral formal. El segundo tipo, donde se ubica México, tiene valores menores en todos los indicadores y una marcada diferencia entre políticas orientadas al sector urbano en comparación con las destinadas al sector rural (mayor protección al primero y a los sectores vinculados con la industria). El tercer tipo (marginal) presenta aún menores indicadores que los regímenes duales en seguridad social, protección social y mercado de trabajo formal (Barba, 2004).
Posteriormente, tanto la crisis económica de los ochenta como las reformas estructurales para hacer frente a esta generaron diferentes efectos sobre los regímenes de bienestar previamente caracterizados: por ejemplo, en los regímenes duales crecieron los sectores de servicios básicos, financieros y sociales, así como el empleo poco calificado, el empleo por cuenta propia, la informalidad, la polarización salarial y la concentración del ingreso. En el caso mexicano, las reformas estructurales generaron mayor polarización y exclusión (Barba, 2004; Barba y Valencia, 2013).
A partir del año dos mil se encuentran cambios en la orientación de la política social en la región, de manera que algunos Gobiernos de ALC comenzaron a incorporan principios universalistas. En México se ajustaron algunos programas en materia de salud y de pensiones no contributivas, dando como resultado un universalismo mínimo, por debajo de países como Brasil o Uruguay (Barba, 2020).
Analizando el grado de mercantilización, desmercantilización y familiarismo de los países de ALC, el estudio de Martínez (2008) da cuenta de tres regímenes de bienestar: estatal productivista, estatal proteccionista y familiarista (no-estatal). En el primero, se encuentran Chile y Argentina; en el segundo México, Costa Rica, Brasil, Panamá y Uruguay, y en el tercero la mayoría de los países estudiados: República Dominicana, Ecuador, El Salvador, Guatemala, Perú, Venezuela, Colombia, Honduras, Nicaragua, Paraguay y Bolivia.
La población económicamente activa ocupada y el gasto social presentan valores más altos en el primer grupo de países, cuyo régimen de bienestar se denomina estatal productivista porque el Estado interviene en áreas en que el mercado es insuficiente. En el segundo grupo, la política fiscal y la proporción de trabajadores asalariados con seguridad social tienen porcentajes mayores porque el Estado tiene una fuerte intervención en áreas que podrían ser competencia del mercado (estatal proteccionista). El tercer grupo muestra bajos porcentajes en todos los rubros, de manera que el bienestar que se produce es al margen del Estado. La familia y, en particular, las mujeres, así como la comunidad, son los agentes que ayudan a mitigar los riesgos (familiarista) (Martínez, 2008).
Es de destacar que México, a diferencia de los otros países de la región con los que compartía características –como parte del segundo grupo en desempeño–, tuvo un descenso en el grado de desmercantilización del bienestar entre 2002 y 2017, al igual que Panamá. Para 2017, México ocupaba el penúltimo lugar en desmercantilización comparado con dieciocho países de ALC, debido a sus bajos índices en inclusión, generosidad y equidad; sobre todo esta última dimensión es la que muestra peores resultados (Ferre, 2023).
Por otro lado, Cecchiniet al.(2014), a partir del producto interno bruto (PIB) per cápita, el gasto social, los asalariados que aportan a la seguridad social, las tasas de dependencia del trabajo formal y las tasas de ocupados por debajo de la línea de pobreza calculan las brechas de bienestar para algunos países de ALC. Las brechas identificadas son: severas,moderadas y modestas.
Ahora, utilizando estos datos y el diagnóstico de la CEPAL (2016), Abramoet al.(2019) realizan otra clasificación para determinar el grado de inclusión laboral y social de los hogares (doble inclusión) y la fortaleza del Estado de bienestar. De tal forma que porcentajes altos en inclusión doble se asociaron con un Estado de bienestar fuerte, mientras que porcentajes iguales o menores a 15 (en inclusión doble) se clasificaron como Estados de bienestar débiles.
Siguiendo estos criterios, y con datos de 2016, los países con un Estado de bienestar fuerte eran: Chile (51,2 %), Uruguay (44,9 %) y Argentina (37,0 %). Posteriormente, Colombia (31,7 %), Brasil (29,2 %), República Dominicana (26,4 %), México (25,4 %) y Costa Rica (23,6 %). Y, finalmente, dentro de los países con un Estado de bienestar débil se encontraban: Paraguay (14,6 %), Bolivia (13,7 %), El Salvador (13,5 %), Nicaragua (7,4 %), Honduras (7,2 %) y Guatemala (6,7 %) (Abramoet al.,2019).
Considerando las características de los regímenes de bienestar y del sistema de protección social que de este se deriva, era de esperar que países con regímenes más consolidados tuvieran mayor capacidad de respuesta ante la crisis provocada la COVID-19. Y, consecuentemente, los regímenes de bienestar más débiles y excluyentes tendrían menos capacidad de respuesta, mientras que los países que se encontraban en una situación intermedia podrían responder de mejor forma que los débiles, pero por debajo de los regímenes más consolidados (ver tabla 1).
Como se puede observar, México mostraba un desempeño medio en la mayoría de las clasificaciones revisadas, y en comparación con los demás países de ALC, es decir, el régimen de bienestar, los sistemas de protección social y seguridad social ya presentaban problemas antes de la pandemia. Si bien no era de esperar una respuesta a la par de los países con regímenes de bienestar más consolidados, como Uruguay, Costa Rica, Argentina o Chile (Ferre, 2023; Cruz-Martínez, 2021), sí, por lo menos, un desempeño parecido a los países de la región con los que comparte características.

Considerando el índice de desarrollo de estado de bienestar (WeSDI) que calcula Cruz-Martínez (2021), y que capta los cambios de los países entre 2000 y 2015, se esperaría una respuesta del Gobierno mexicano similar a países con índices cercanos, como Bolivia (0,56), Colombia (0,54) o Ecuador (0,50). El índice de México es de 0,56, lo que lo sitúa en el grupo de países con un bajo grado de desarrollo y en el lugar octavo de los países de ALC analizados.
2. PROTECCIÓN SOCIAL EMERGENTE: RESPUESTAS ANTE LA PANDEMIA
La pandemia por COVID-19, como hoy sabemos, acrecentó todas las formas de desigualdad en un lapso relativamente corto, aumentó la pobreza y la violencia, contrajo la economía e impactó negativamente en las tasas de empleo formal e informal. En ALC la caída del PIB fue del 7,7 %, siendo más aguda en los países de Centroamérica y México (8,5 %) (CEPAL, 2020, 2022; CONEVAL, 2021).
En los primeros meses del confinamiento sanitario en México, el empleo se redujo un 17 %, con la peculiaridad de que el empleo informal –que absorbía temporalmente la pérdida del empleo formal en momentos de crisis– también experimentó una contracción de más de diez millones de trabajos para 2020 (Samaniego, 2020). La posterior recuperación del empleo mantiene agudas diferencias por género: mientras que los hombres lograron una rápida recuperación, acercándose a los niveles previos a la pandemia en el segundo trimestre de 2021, las mujeres experimentaron pérdidas que aún no se logran revertir (Hoehn-Velascoet al.,2022).
En este contexto, la respuesta de los Gobiernos de la región fue diferente, pero las tendencias muestran que la asistencia social representó el 52 % de las medidas, posteriormente las acciones orientadas al mercado laboral (35 %) y a la seguridad social (13 %) (Palomoet al.,2022). Los programas sociales más frecuentes fueron los de transferencias monetarias directas y los de alimentación escolar en 2020; posteriormente, el gasto social se redujo considerablemente (Rubioet al.,2020; Palomoet al.,2022; CEPAL, 2021).
En cuanto a las intervenciones de creación nueva, las expansiones verticales y de las expansiones horizontales que se realizaron para aumentar el ingreso de las personas y de los hogares, Cejudoet al.(2021), encuentran diferencias importantes entre países. La media en cobertura para la región fue de 37,4 %, con una variación entre cero y 100 %. En lo que respecta al porcentaje del PIB asignado a transferencias, el promedio regional fue del 1,4 %. Sin embargo, Chile y Bolivia destinaron más del 7 % de su PIB a estas medidas, mientras que Nicaragua y México asignaron menos del 0,1 %.
Por otro lado, Lustiget al.(2020), al analizar la efectividad de las respuestas gubernamentales sobre los niveles de pobreza en Brasil, Argentina, Colombia y México, encuentran que en los tres primeros países se logró compensar parte de los impactos negativos de la pandemia en diferente magnitud y, en el caso de México, la falta de expansión de programas de protección social no permitió calcular tal efecto.
En síntesis, en México se implementaron pocas medidas emergentes (nuevas o modificadas) en respuesta a la pandemia en materia de seguridad social, asistencia social y mercado laboral en comparación con países con características similares, como Colombia e, incluso, en comparación con países con mayores desafíos como Paraguay o Guatemala (ver tabla 2).


La respuesta del Gobierno mexicano consistió, principalmente, en modificaciones a los programas existentes, adelanto de recursos y utilización de transferencias bancarias para evitar la movilidad (y el contagio) de las personas. Por ejemplo, el Programa de Fomento a la Agricultura, Ganadería, Pesca y Acuicultura comenzó a otorgar apoyos directos a pescadores a partir de mayo de 2020. El Programa de Apoyo para el Bienestar de las Niñas y Niños, Hijos de Madres Trabajadoras, que otorga un monto bimestral basado en el número de niños y en la edad, entregó los recursos a través de tarjetas bancarias del bienestar. La Pensión para el Bienestar de las Personas Adultas Mayores y la Pensión para el Bienestar de las Personas con Discapacidad Permanente adelantaron el apoyo correspondiente a dos bimestres. Por último, el programa Sembrando Vida incrementó su cobertura, atendiendo a 200 000 personas adicionales (CONEVAL, 2020).
Además, se crearon otros programas como medidas extraordinarias para hacer frente a la pandemia, tal fue el caso del Programa de Apoyo Financiero a Microempresas Familiares. Este programa ofrecía recursos financieros en dos modalidades: Microempresas familiares y Crédito Solidario a la Palabra, por un monto reembolsable de 25 000 pesos mexicanos. Los programas sociales con el mayor gasto reportado en 2020 fueron: Pensión para el Bienestar de las Personas Adultas Mayores y Apoyo Financiero a Microempresas Familiares (CONEVAL, 2020, 2021).
2.1. Alcances y límites de las medidas emergentes
Es de destacar la respuesta de la mayor parte de los países de ALC para hacer frente a la pandemia: la relativa rapidez con la que ajustaron e implementaron medidas adicionales en materia de protección social, el incremento del gasto social en 2020 y la ampliación de la cobertura como no había ocurrido en las últimas décadas.
Estas medidas contribuyeron a contener el aumento de la desigualdad, como muestra la CEPAL (2021). Las transferencias realizadas por algunos los Gobiernos de la región para compensar la pérdida de ingresos ayudaron a reducir el aumento proyectado de la desigualdad, por efecto de la pandemia, de 5,6 % a 2,9 % (CEPAL, 2021). Por otro lado, dichas transferencias fueron una medida temporal que permitió llegar de manera rápida a sectores de la población hasta el momento excluidos de programas contributivos y no contributivos (Palomoet al.,2022).
Sin embargo, se encuentran algunos límites, como la poca atención a población con ingresos medios (antes de la pandemia), un sector donde aumentó la pobreza por los efectos de la crisis al no ser considerada en las medidas emergentes (Lustinget al.,2020). También se encuentran efectos limitados en trabajadores informales porque los apoyos gubernamentales se concentraron en el primer quintil, siendo el segundo y tercero donde se encuentra una proporción importante de este tipo trabajadores (Bussoet al.,2020).
El uso de programas sociales preexistentes de atención a la pobreza como mecanismo de atención en la crisis por COVID-19 mostró ciertas limitaciones por los problemas de cobertura y focalización que se tenían antes de la pandemia, ya que dejaban fuera, por un lado, a personas elegibles («pobreza oculta») y, por el otro, a personas que trabajaban en la economía informal y no contaban con seguridad social («clase media invisibilizada») (Bussoet al.,2020).
Otro de los desafíos recurrentes fue la identificación de nuevos usuarios de programas de protección social durante la pandemia. Esto se convirtió en un reto tanto para las medidas nuevas como para la adaptación de programas existentes y las expansiones horizontales. La situación previa de los sistemas de registro de destinatarios resultó crucial en la capacidad de respuesta de los Gobiernos. Los países con cobertura limitada en sus registros y sistemas de información poco interoperables tuvieron mayores dificultades para identificar a individuos y hogares. Por otro lado, los países con registros de destinatarios más desarrollados pudieron implementar con mayor rapidez las nuevas medidas (Berner y Van Hemelryck, 2020).
En particular en México, algunas de las limitaciones provinieron de la falta de registros actualizados, la baja cobertura de los sistemas de información y la desarticulación entre bases de datos de programas sociales y bases de datos administrativos (Berner y Van Hemelryck, 2020). En ese sentido, cobra pertinencia indagar en el perfil de las personas que recibieron el escaso apoyo gubernamental en México durante el confinamiento, sobre todo a nivel individual, ya que, como se muestra en la revisión de estudios previos, son frecuentes las investigaciones a nivel regional, cuya unidad de análisis son los países y las acciones implementadas.
3. MÉTODO
Para calcular la probabilidad de recibir apoyo en especie o en dinero del Gobierno se optó por un análisis de regresión logística multinomial (Pando y San Martín Fernández, 2004; Gujarati, 1995) utilizando los datos de la ECOVID-ML. Esta encuesta se levantó en abril, mayo, junio y julio de 2020, utilizando un solo cuestionario en cada mes de referencia (INEGI, 2020a).
En un primer momento se eligieron los datos del mes de julio por tener más observaciones (n= 14 458), pero al realizar el análisis descriptivo la ausencia en el trabajo por vacaciones tenía un porcentaje alto (a pesar del confinamiento) y en comparación con los meses anteriores (15,2 %). Por tanto, se eligió el mes de junio (como la segunda mejor opción) por tener más observaciones comparado con los dos meses previos (n= 13 908), porque los cambios en la situación laboral se relacionan en su mayoría con COVID-19 (80,8 %) y no con vacaciones (2,1 %) y porque se consideró que en los últimos meses del levantamiento (junio o julio) era más factible encontrar programas y acciones de gobierno orientadas a mitigar la crisis provocada por la pandemia.
El diseño de la muestra es probabilístico, por lo que los resultados se pueden generalizar a nivel nacional. El tamaño muestral se calculó con una confianza de 90 % y un error esperado de 6,8 %. La población de estudio fueron las personas de dieciocho y más años con teléfono celular dentro del territorio nacional en la fecha del levantamiento (INEGI, 2020b).
La variable de respuesta (Y) se construyó a partir de la pregunta del cuestionario de la ECOVID-ML: «En las últimas dos semanas, ¿ha recibido ayuda económica o en especie de: algún programa de gobierno; un familiar que vive en su vivienda; un familiar que vive en otra vivienda; otro tipo de apoyo; no ha recibido ayuda».
Esta pregunta es de opción múltiple y se recodificó de la siguiente manera: (0) no recibió apoyo; (1) apoyo del Gobierno, y (2) apoyo de un familiar (que vive en la misma vivienda o en vivienda separada). Cuando una respuesta contenía tanto ayuda del Gobierno como ayuda de un familiar, se clasificó en «apoyo del Gobierno». De tal manera que la categoría «apoyo de un familiar» refiere a la situación en la que una persona de dieciocho años y más recibió únicamente apoyo de algún pariente y nada del Gobierno.
La distribución de las categorías de la variable dependiente (Y), una vez recodificada, quedó de la siguiente forma: 6 663 personas no recibieron ningún tipo de apoyo (85,3 %), 760 recibieron apoyo del Gobierno (9,7 %) y 389 recibieron apoyo de un familiar (5 %). En total se trabajó con 7 812 datos, cifra que corresponde al número de observaciones para las cuales hay información en todas las variables de interés en el mes de junio de 2020.
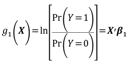
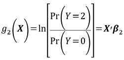
Sea la variable Y = {0,1,2} de resultado, y tómese Y = 0 como la categoría de referencia. Así, el modelo de regresión logística multinomial se define por las ecuaciones.
(1)


donde X es un vector de variables predictoras y β1 y β2 son vectores de coeficientes que estimar.
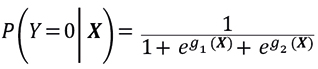
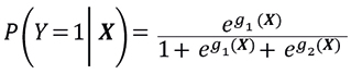
Las probabilidades condicionales de cada categoría de resultado están dadas por.
(2)



Las variables predictoras son: sexo, educación, acceso a servicios de salud por parte del trabajo, situación laboral y edad. Las cuatro primeras variables son categóricas y se codificaron de la siguiente forma:
Sexo: hombre = 0; mujer = 1
Educación: ninguna = 0; básica = 1; media o técnica = 2; licenciatura y más = 3
Acceso a servicios de salud: no tiene = 0; Instituto Mexicano del Seguro Social (IMSS) = 1; Instituto de Seguridad y Servicios Sociales de los Trabajadores del Estado (ISSSTE) = 2; otra = 3
Situación laboral: otro = 0; empleo = 1; negocio u ocupación por su cuenta = 2
La variable edad es numérica y se refiere a los años cumplidos.
Las variables predictoras tienen la siguiente distribución: 43,8 % son mujeres y 56,2 % hombres; 2,1 % no tienen ningún grado de escolaridad cursado; 43,6 % tiene educación básica; 26,3 % educación media o técnica, y 28 % licenciatura y más. En cuanto al acceso a servicios de salud por parte del trabajo: 57,3 % no tiene; 33,4 % tiene acceso a través del IMSS; 6.9 % por medio del ISSSTE, y 2,5 % cuenta con otro tipo de servicios de salud (no especificado). La situación laboral muestra la siguiente distribución: 67,5 % reporta tener un empleo; 28,7 % un negocio u ocupación por cuenta propia, y 3,8 % realiza otro tipo de actividad (diferente a las anteriores y no especificada en la encuesta). La edad promedio es cuarenta y un años, con valor mínimo de dieciocho y máximo de noventa y ocho (ver 2).
4. PROBABILIDADES DE RECIBIR APOYO DE GOBIERNO O DE UN FAMILIAR EN MÉXICO DURANTE EL CONFINAMIENTO
Los resultados del modelo de regresión logística multinomial se presentan en la tabla 3. Primero, es de destacar que la única variable significativa y positiva en la probabilidad de recibir apoyo del Gobierno (económica o en especie) es sexo: mujer en comparación con hombre. Mientras que la educación media o técnica, licenciatura y más son significativas pero negativas, es decir, estos niveles de educación reducen la probabilidad de recibir apoyo gubernamental (en comparación con no tener ningún grado cursado), al igual que el empleo (y en comparación con «otro» tipo de actividad laboral).


Ahora bien, los resultados muestran que en la probabilidad de recibir apoyo (económico o en especie) de un familiar, el sexo nuevamente es significativo y positivo (mujer en comparación con hombre), mientras que el acceso a servicios de salud por parte del trabajo es una variable significativa y negativa, es decir, el tener IMSS, ISSSTE u otro sistema de atención médica (y en comparación con no tener ninguno) reduce la probabilidad de recibir apoyo de un familiar. Esta misma relación (significativa y negativa) se encuentra para la situación laboral, donde tener un empleo (y en comparación con «otra» actividad) reduce la probabilidad de recibir este tipo de apoyo.
Con los resultados del modelo presentado en la tabla 3 y a partir de las ecuaciones (2) se calcularon las probabilidades condicionales de la variable de resultado para las tres categorías que la conforman: «no recibió apoyo», «recibió apoyo del Gobierno» o «recibió apoyo de un familiar» (ver tabla 4). Estas probabilidades se obtienen manteniendo el resto de las variables constantes en su valor típico.
La probabilidad de recibir apoyo del Gobierno en el contexto de pandemia es de 10,4 % para mujeres y 9,2 % para los hombres. La escolaridad muestra que a mayor nivel de educación menor probabilidad de recibir apoyo del Gobierno, siendo 16,9 % la probabilidad más alta de recibir este tipo de apoyo para personas que no tienen escolaridad y disminuye a 6,2 % para personas con licenciatura y más.


El no contar con acceso a servicios de salud por parte del trabajo y el contar con otro (diferente a IMSS o ISSSTE) son las categorías con mayor probabilidad en la recepción de apoyo gubernamental: 10,2 % y 11,4 % respectivamente. Finalmente, la situación laboral muestra que la probabilidad de recibir apoyo del Gobierno es menor cuando se tiene un empleo (8,6 %), aumenta cuando se tiene un negocio o una ocupación por cuenta propia (11,4 %) y se incrementa a 13,9 % al desempeñar otra actividad laboral (diferente a las anteriores y no identificada).
En cuanto a la probabilidad de recibir apoyo de un familiar es del 6,3 % en el caso de mujeres y de 4 % en hombres, diferencia mayor en comparación con la ayuda de los Gobiernos (de un punto porcentual), mientras que la probabilidad por escolaridad se mantiene alrededor del 5 % en todos los niveles. Esto es relevante porque muestra que el apoyo que proviene de un familiar se presenta con la misma probabilidad en todos los niveles educativos, es decir, va más allá de la escolaridad de las personas receptoras.
La probabilidad de recibir apoyo de un familiar es de 6,1 % cuando no se tiene acceso a servicios de salud por parte del trabajo, se reduce aproximadamente a la mitad cuando se tiene IMSS (3,2 %) y a una tercera parte aproximadamente cuando se tiene ISSSTE (2,5 %). Esto es destacable, por las características de la pandemia y por la participación de la familia en ausencia de prestaciones sociales vinculadas al empleo en México.
Por último, la probabilidad de recibir apoyo de un familiar es del 6,2 % cuando se tiene un negocio u ocupación por cuenta propia, de 6,4 % cuando se realiza otra actividad laboral y del 4 % cuando se tiene un empleo.
CONCLUSIONES
En este artículo se analizan las probabilidades de recibir apoyo del Gobierno o de recibir apoyo de un familiar ante la contingencia sanitaria, con datos de la Encuesta telefónica sobre COVID-19 y mercado laboral de junio de 2020, en México.
Primero, es importante destacar que ante una situación de crisis como la generada por la pandemia, la intervención del Estado, a través de sus políticas y programas, es fundamental. En este caso, la pandemia trastocó el ingreso, el empleo, la salud y las dinámicas familiares. Por tanto, era necesario contar con un conjunto de medidas emergentes y estratégicas gubernamentales para mitigar los efectos.
México, como se mostró, fue uno de los países con pocas medidas nuevas o modificadas para mitigar los efectos de la pandemia en comparación con otros países de ALC. Es de destacar el bajo número de medidas y el bajo porcentaje de personas que habían recibido apoyo del Gobierno (económico o en especie) para junio de 2020.
Sin embargo, los resultados del análisis de las probabilidades condicionadas de recepción de apoyo gubernamental indican que, por lo menos, el escaso apoyo llegó a personas que se encontraban en una situación de mayor vulnerabilidad, como mujeres, personas sin escolaridad, personas que no contaban con acceso a servicios de salud (por parte del trabajo) y a personas que no contaban con un empleo (sino con un negocio, ocupación por cuenta propia u otro tipo de actividad laboral).
A pesar de estos esfuerzos, los efectos de la pandemia fueron generales. Por tanto, las medidas focalizadas en los sectores más vulnerables mostraron insuficiencia en toda la región, ya que personas con ingresos apenas por encima de la línea de la pobreza (antes de la pandemia) y personas trabajadoras en el sector informal no recibieron ningún tipo de apoyo gubernamental.
En particular, en México los resultados muestran que las personas con un negocio u ocupación por cuenta propia tuvieron una probabilidad de recibir apoyo del Gobierno de 11 %. Si bien no hay una relación directa entre trabajo informal y estas actividades, muchos de los trabajos informales se concentran en esta situación laboral. Es decir, son situaciones laborales con mayor probabilidad de recepción de apoyo del Gobierno de las categorías evaluadas, pero esta probabilidad aun así es baja.
En general, en México los sectores informales no son atendidos por las deficiencias en el diseño de la política social y de la seguridad social (Levy, 2010), debido a la poca expansión emergente de la protección social como respuesta a la pandemia y por los límites del sistema de registro de destinatarios que tiene el país (solo 15,8 % de la población se encuentra registrada) (Berner y Van Hemelryck, 2020).
En este sentido, podemos afirmar que, si bien los apoyos gubernamentales para enfrentar la pandemia en México se concentraron en perfiles de personas en situación de mayor vulnerabilidad, este esfuerzo fue insuficiente. Las diferentes respuestas de los países de la región muestran que, bajo condiciones similares en régimen de bienestar, brechas de bienestar, grado de desmercantilización o de familiarización del bienestar, las medidas pudieron ser más amplias, incluyentes, rápidas y efectivas.
Cabe destacar que las medidas nuevas de protección social como respuesta a la pandemia no se pueden sostener en el tiempo: por lo general, los programas de trasferencias directas se cancelaron a mediados de 2021 en toda ALC, pero las diferentes respuestas de los países permiten plantear algunas cuestiones fundamentales para el caso mexicano, tales como (a) la necesidad de un sistema de protección social más incluyente; (b) una estrategia para cubrir a trabajadores informales y sectores medios por lo menos en momentos de crisis; (c) un sistema de información de destinatarios universal para poder instrumentar, en el futuro, medidas emergentes, y, sobre todo, (d) plantea la urgente necesidad de revisar el régimen de bienestar por el descenso de los indicadores de desempeño que muestra México en las última décadas (en comparación con los países de ALC).
Segundo, es de destacar el papel de la familia en la producción y distribución del bienestar de México, ya que los datos de este estudio arrojan luz sobre su importancia en una situación de crisis, como la generada por la COVID-19. En junio de 2020, este tipo de apoyo representaba la mitad de apoyo gubernamental. Esto, por un lado, muestra que la solidaridad intrafamiliar es un recurso importante para hacer frente a la adversidad y, por el otro, que el régimen de bienestar mexicano tiene un componente familiarista muy importante.
Esto último requiere de una revisión crítica porque la familia amortigua con recursos propios la falta de seguridad y protección social. Así mismo absorbe las tareas de cuidado que recaen principalmente en las mujeres. Por ello es necesario repensar las obligaciones del Estado y su vínculo con la familia en función del género.
México enfrenta la necesidad imperativa de desarrollar políticas de protección y seguridad sociales que estén específicamente diseñadas para reducir las desigualdades de género, porque desfamiliarizar el bienestar implica reducir la carga de trabajo de cuidados no remunerado que realizan las mujeres. Las mujeres son las principales productoras del bienestar familiar y quienes han padecido de manera más aguda los efectos de la pandemia: mayor desempleo, mayor carga de trabajo de cuidados no remunerado, aumento de la violencia y aumento de la pobreza.
Finamente, se requiere de revisión y reformulación de la política laboral, ya que las condiciones del empleo permiten afrontar de mejor manera ‒en un nivel mínimo‒ las situaciones de crisis, como sugieren estos resultados.
ANEXO 1. PROBABILIDAD DE «NO RECIBIR APOYO», «RECIBIR APOYO DEL GOBIERNO» O «RECIBIR APOYO DE UN FAMILIAR» EN JUNIO DE 2020, MÉXICO



ANEXO 2. DISTRIBUCIÓN DE LAS VARIABLES

REFERENCIAS BIBLIOGRÁFICAS
AbramoL.,Cecchini. S y Morales B. (2019). Programas sociales, superación de la pobreza e inclusión laboral. Aprendizajes desde América Latina y el Caribe [Libros de la CEPAL, N.º 155]. Comisión Económica para América Latina y el Caribe (CEPAL). https://doi.org/10.18356/8d20eba2-es
Arellano-Esparza C. A. y Ortiz-Espinoza A.(2022). Educación media superior en México: abandono escolar y políticas públicas durante la COVID-19. Íconos. Revista de Ciencias Sociales, (74), 33-52. https://doi.org/10.17141/iconos.74.2022.5292
Barba C.(2004). Régimen de bienestar y reforma social en México. Comisión Económica para América Latina y el Caribe (CEPAL). https://hdl.handle.net/11362/6080
Barba C. (2020). La cuestión social en América Latina en los regímenes de bienestar del siglo XXI: reformas universalistas e inercias y contraofensivas neoliberales. En C. Barba, G. Ordóñez y Y. Silva (coords.), La cuestión social en el siglo XXI en América Latina (pp. 43-90). Siglo XXI.
Barba C. y Valencia E.(2013). La transición del régimen de bienestar mexicano: entre el dualismo y las reformas liberales. Revista Uruguaya de Ciencia Política, 22(2), 38-64. https://rucp.cienciassociales.edu.uy/index.php/rucp/article/view/343
Berner H. y Van Hemelryck T. (2020). Sistemas de información social y registros de destinatarios de la protección social no contributiva en América Latina: avances y desafíos frente al COVID-19. Comisión Económica para América Latina y el Caribe (CEPAL). https://hdl.handle.net/11362/46452
Busso M. , Camacho J., Messina J. y Montenegro G. (2020). The Challenge of Protecting Informal Households during the COVID-19 Pandemic: Evidence from Latin America. Inter-American Development Bank. http://dx.doi.org/10.18235/0002388
Cecchini S., Filgueira F. y Robles (2014). Sistemas de protección social en América Latina y el Caribe: una perspectiva comparada [serie Políticas Sociales, 202]. Comisión Económica para América Latina y el Caribe (CEPAL). https://hdl.handle.net/11362/36831
Cejudo G., De los Cobos P., Michel y Ramírez D. (2021). Inventario y caracterización de los programas de apoyo al ingreso en América Latina y el Caribe frente a COVID-19. Banco Interamericano de Desarrollo (BID). https://doi.org/10.18235/0003840
Cocoa Services S. C. (2020). Evaluación de Diseño 2019-2020. Sembrando Vida. Secretaría de Bienestar, Gobierno de México. https://www.gob.mx/cms/uploads/attachment/file/565806/Informe_Final_Dise_o_Sembrando_Vida.pdf
Comisión Económica para América Latina y el Caribe (2016). Panorama Social de América Latina 2015. CEPAL. https://hdl.handle.net/11362/39965
Comisión Económica para América Latina y el Caribe (2020). América Latina y el Caribe ante la pandemia del COVID-19: efectos económicos y sociales [Informe Especial COVID-19 n.º 1]. CEPAL. https://doi.org/10.18356/9789210054720
Comisión Económica para América Latina y el Caribe (2021). Panorama social de América Latina 2020. CEPAL. https://hdl.handle.net/11362/46687
Comisión Económica para América Latina y el Caribe (2022). Balance preliminar de las economías de América Latina y el Caribe 2021. CEPAL. https://hdl.handle.net/11362/47669
Consejo Nacional de Evaluación de la Política de Desarrollo Social (2020). La política social en el contexto de la pandemia por el virus SARS-CoV-2 (COVID-19) en México. Efectos de la pandemia en la pobreza. CONEVAL. https://dds.cepal.org/redesoc/publicacion?id=5233
Consejo Nacional de Evaluación de la Política de Desarrollo Social (2021). De la emergencia a la recuperación de la pandemia por la COVID-19: la política social frente a desastres. CONEVAL. https://www.coneval.org.mx/EvaluacionDS/PP/Politicas/TemasEstrategicos/Paginas/Politica_social_frente_desastres.aspx
Cruz-Martínez G. (2021). Mapping Welfare State Development in (post) Neoliberal Latin America. Social Indicators Research, 157(1), 175-201. https://doi.org./10.1007/s11205-020-02575-6
Esping-Andersen G. (1990). The three worlds of welfare capitalism. Princeton University Press.
Ferre J. C. (2023). Welfare regimes in twenty-first-century Latin America. Journal of International and Comparative Social Policy, 39(2), 101-127. https://doi.org/10.1017/ics.2023.16
Filgueira F. (1998). El nuevo modelo de prestaciones sociales en América Latina: eficiencia, residualismo y ciudadanía estratificada. En B. Roberts (ed.), Ciudadanía y política social (pp. 71-116). FLACSO.
Gentilini U., Almenfi M., Orton I. y Dale P. (2020). Social Protection and Job Responses to COVID-19: A Real-Time Review of Country Measures. World Bank. http://hdl.handle.net/10986/33635
Gujarati D. (1995). Econometría. McGraw-Hill.
Hobson B. (1994). Solo mothers, social policy regimes and the logics of gender. En D. Sainsbury (ed.), Gendering Welfare States (pp. 170-187). SAGE Publications. https://doi.org/10.4135/9781446250518
Hoehn-Velasco L., Silverio-Murillo A., Balmori de la Miyar J. R. y Penglase J. (2022). The impact of the COVID-19 recession on Mexican households: Evidence from employment and time use for men, women, and children. Review of Economics of the Household, 20(3), 763-797. https://doi.org/10.1007/s11150-022-09600-2
Instituto Nacional de Estadística, Geografía e Informática (2020a). Encuesta Telefónica sobre COVID-19 y Mercado Laboral (ECOVID-ML), resultados de abril-julio 2020. https://www.INEGI.org.mx/investigacion/ecovidml/2020/
Instituto Nacional de Estadística, Geografía e Informática (2020b). Encuesta Telefónica sobre COVID-19 y Mercado Laboral ECOVID-ML. Diseño muestral. https://www.inegi.org.mx/contenidos/investigacion/ecovidml/2020/doc/ecovid_ml_diseno_muestral.pdf
Levy S. (2010). Buenas intenciones, malos resultado. Política social, informalidad y crecimiento económico en México. Océano.
Lewis J. (1997). Gender and Welfare Regimes: Further Thoughts. Social Politics: International Studies in Gender, State & Society, 4(2), 160-177. https://doi.org/10.1093/sp/4.2.160
Lustig N., Martínez Pabon V , Sanz y Younger S. D. (2020). The impact of COVID-19 Lockdowns and Expanded Social Assistance on Inequality, Poverty and Mobility in Argentina, Brazil, Colombia and Mexico. Center for Global Development. https://dds.cepal.org/redesoc/publicacion?id=5368
Marcel M. y Rivera E. (2008). Regímenes de bienestar en América Latina. En E. Tironi (ed.), Redes, Estado y mercados: soportes de la cohesión social latinoamericana (pp. 151-226). UQBAR.
Martínez Franzoni J. (2008). Welfare regimes in Latin America: Capturing Constellations of markets, Families, and policies. Latin American Politics and Society, 50(2), 67-100. https://doi.org/10.1111/j.1548-2456.2008.00013.x
Navarrete Cazales Z., Manzanilla Granados H. M. y Ocaña Pérez L (2020). Políticas implementadas por el gobierno mexicano frente al COVID-19. El caso de la educación básica. Revista Latinoamericana de Estudios Educativos, 50(especial), 143-172. https://doi.org/10.48102/rlee.2020.50.ESPECIAL.100
Organización Internacional del Trabajo (2020). Medidas de protección social para responder a la pandemia de COVID-19 en los países en desarrollo: fortalecimiento de la resiliencia mediante el establecimiento de una protección social universal. https://www.ilo.org/es/publications/medidas-de-proteccion-social-para-responder-la-pandemia-de-covid-19-en-los
Palomo N. , Vargas Faulbaum L., Machado A. C. , Rolon C., Veras Soare F., Rubio, Alejandre F. y Escaroz G.(2022). Protección social y respuesta al COVID-19 en América Latina y el Caribe: innovaciones en los sistemas de registro y pago. UNICEF. https://ipcig.org/publication/31125?language_content_entity=es
Pando Fernández V. y San Martín Fernández R. (2004). Regresión logística multinomial. Cuadernos de la Sociedad Española de Ciencias Forestales, (18), 323-327. https://doi.org/10.31167/csef.v0i18.9478
Rubio, M., Escaroz, G., Machado, A., Palomo, N. y Sato, L. (2020). Protección social y respuesta al COVID-19 en América Latina y el Caribe. Asistencia Social. UNICEF. https://dds.cepal.org/redesoc/publicacion?id=5246
Samaniego N. (2020). El COVID-19 y el desplome del empleo en México. Economía UNAM, 17(51), 306-314. https://doi.org/10.22201/fe.24488143e.2020.51.566
Ubasart-González G. y Minteguiaga A. (2017). Esping-Andersen en América Latina. El estudio de los regímenes de bienestar. Política y Gobierno, 24(1), 213-236. http://www.politicaygobierno.cide.edu/index.php/pyg/article/view/892
Valencia Lomelí E. (2010). Los debates sobre los regímenes de bienestar en América Latina y en el Este de Asia: los casos de México y Corea del Sur. Espiral. Estudios sobre el Estado y la Sociedad, 16(47), 65-103. https://doi.org/10.32870/eees.v16i47.1453
Notes
Author notes
Doctora en Ciencias Sociales con mención en Sociología por la Universidad de Guadalajara. Profesora e investigadora de El Colegio Mexiquense, A. C., adscrita al seminario académico Instituciones, Sociedad Civil y Políticas Públicas. Sus áreas de interés son la política social, el bienestar, la migración y el desarrollo.