Contabilidad de Gestión
Métodos TOPSIS e VIKOR na verificação da resource advantage theory em empresas têxteis brasileiras
Métodos TOPSIS e VIKOR na verificação da resource advantage theory em empresas têxteis brasileiras
Contabilidad y Negocios, vol. 12, núm. 23, pp. 96-110, 2017
Pontificia Universidad Católica del Perú

Resumo: Esta pesquisa teve por objetivo analisar o desempenho em recursos, mercado e financeiro que explicam a vantagem competitiva empresarial de acordo com a Resource Advantage Theory (RA Theory), de empresas do setor têxtil listadas na BM&FBovespa. Foram analisadas um total de 21 empresas do setor têxtil divididas em quatro segmentos. Para amensuração do desempenho foram adotados os métodos de apoio a decisão multicritério baseados em cenários ideaisTOPSIS e VIKOR. Foram analisados os desempenhos com base em quatro indicadores para recursos, três para mercadoe quatro para a dimensão financeira. Os resultados da pesquisa apontam para a não verificação da RA Theory em empresas têxteis, considerando o que se preconiza de que uma empresa em vantagem em recursos e mercado tende a ser superior na dimensão financeira. Desta forma a única empresa que verificou este fator foi a Arezzo. De mesmo modopara verificação da referida teoria seria coerente que existisse correlação entre os rankings das diferentes dimensões, oque não se verificou. Assim conclui-se que a vantagem competitiva em recursos e em mercado de empresas do setor têxtil do Brasil não contribui para superioridade no desempenho financeiro das empresas.
Palavras-chave: Resource Advantage Theory, apoio a decisão multicritério, indústrias têxteis.
Abstract: This research had the objective to analyze the performance in Resources, Market and Financial explaining the competitive advantage of companies according to the Resource Advantage Theory, of Textile companies sector listed at BM&FBovespa. It analyzed 21 companies in the textile sector divided into four segments. For measuring performance have been adopted the Multiple Criteria Decision Making based on ideal scenarios, TOPSIS and VIKOR. It was analyzed the performances based on four indicators for resources, three for market and four for the financial dimension.The results point to the non-verification of RA Theory in textile companies, considering what it recommends that abusiness advantage in resources and market tends to be higher in the financial dimension. In this way, the only companythat observed this factor was the Arezzo. Likewise for verification of such a theory would be consistent that there was correlation between the rankings of different dimensions, which was not the case. It was concluded that competitive advantage in resources and in market of companies, Brazil’s textile sector does not contribute to high performance infinancial dimension.
Keywords: Resource Advantage Theory, Multiple Criteria Decision Making, Textile Industry.
Resumen: Esta investigación tuvo como objetivo analizar los recursos de rendimiento, de mercado y financiera explicar laventaja competitiva del negocio de acuerdo con la teoría de las ventajas de recursos (RA Teoría) de las empresas textiles enumerados en la BM&FBovespa. Ellos analizaron un total de 21 empresas del sector textil se divide en cuatro segmentos. Para la medición de los métodos de rendimiento fueron adoptadas para apoyar la toma multicriterio basado en ideal y escenarios, Topsis y Vikor. Se analizaron las actuaciones sobre la base de cuatro indicadores de recursos, tres para el mercado y cuatro para la dimensión financiera. Los resultados de la encuesta apuntan a la no verificación de la RA Teoría en las empresas textiles, teniendo en cuenta lo que se recomienda que una ventaja de negocio en recursos y el mercado tiende a ser mayor en la dimensión financiera. Por lo tanto la única compañía encontró que este factor fue el Arezzo. Del mismo modo para la verificación de tal teoría sería coherente que no había correlación entre la clasificación de diferentes dimensiones, que no era el caso. Por lo tanto, se concluye que la ventaja competitiva de los recursos y de Brasil, las empresas del sector textil de mercado no contribuye al desempeño financiero superior de las empresas.
Palabras clave: Teoría de la Ventaja de Recursos, apoyo a la decisión multicriterio, industrias textiles.
1. Introdução
Na década de 90, Hunt e Morgan (1995) publicaram um trabalho acerca das vantagens comparativas de recursos para as organizações. Em trabalho posterioros autores inserem em sua abordagem o desempenho de recursos, financeiro e de mercado das organizações como uma maneira de alcançar a vantagem competitiva (Hunt e Morgan, 1996). O trabalho de Hunt e Morgan (1996) culminou no desenvolvimento da Resource Advantage Theory (RA Theory), que conforme Rossi e Silva (2009) contestava algumas premissas da Economia Neoclássica.
Considerando a abordagem da RA Theory a competição baseia-se na disputa das empresas por vantagens comparativas de recursos que acarretam em vantagens competitivas, bem como em um desempenho superior no mercado (Hunt, 1997, 2000). Rossi e Silva (2009) salientam que essa abordagem pode ser classificada como relações de causa e efeito. Pois a vantagem competitiva de uma empresa frente, as demais do mercado, é uma consequência das vantagens comparativas de recursos, que causa um desempenho financeiro superior.
Dessa forma, mediante a RA Theory, Hunt (1997) salienta que as empresas estão inseridas em um processo competitivo objetivando sempre alcançar vantagens sobre as demais empresas. Assim, as organizações competem nas dimensões de recursos, mercado e desempenho financeiro, considerando que as empresas com melhores vantagens de recursos possuem melhor posicionamento no mercado e melhor desempenho financeiro (Hunt e Morgan, 1996). Em virtude disso, aumenta-se a vantagem competitiva, pois as empresas buscam alcançar sempre um desempenho superior as demais, investindo assim em inovação para incrementar seus resultados (Hunt, 2000).
Diante disso, assume-se a seguinte problemática de pesquisa: O desempenho de recursos, mercado e financeiro explica a vantagem competitiva empresarial conforme a premissa da Resource Advantage Theory nas empresas do setor têxtil listadas na BM&FBovespa?. Para responder a problemática proposta, a pesquisa tem por objetivo analisar como os desempenhos de recursos, mercado e financeiro explicam a vantagem competitiva empresarial de acordo com a Resource Advantage Theory, de empresas do setor têxtil listadas na BM&FBovespa.
A justificativa de restringir a aplicação do estudo as empresas do setor têxtil baseia-se em Slack (2002) ao considerar que este setor atende a todas as dimensões propostas pela Resource Advantage Theory, bem como se relaciona com a vantagem competitiva das empresas.
As contribuições desta pesquisa, prevalecem principalmente quanto aos procedimentos metodológicos. Pois efetua-se a mensuração do desempenho das três dimensões (recursos, mercado e financeiro) e também a construção de rankings para estabelecer o posicionamento das empresas nessas dimensões da RA Theory, para assim explicar a vantagem competitiva. A construção dos rankings baseia-se em dois modelos distintos de apoio a tomada de decisão que envolvem a comparação de cenários (TOPSIS e VIKOR). A escolha desses dois modelos baseia-se na sua pouca aplicabilidade em estudos nacionais e também na sua operacionalização estar menos sujeita a subjetividade.
Os métodos Technique for Order Preference by Similarity to an Ideal Solution (TOPSIS) proposto por Hwang e Yoon (1981) e VlseKriterijumska Optimizacija I Kompromisno Resenje (VIKOR) proposto por Opricovic (1998) estão sendo muito aplicados em pesquisas científicas voltadas ao apoio a decisão multicritério por meio da mensuração do desempenho, tais como Aydogan (2011), Bulgurcu (2012), Cables, García-Cascales e Lamata (2012), Wu, Chen, Chen e Zhuo (2012), Bilbao-Terol, Parra, Cañal Fernández e Antomil-Ibias (2014), Iç (2014), entre outros. Estes métodos objetivam estabelecer um ranking com base nas distâncias para com um cenário ideal.
A diferença destes dois métodos vincula-se as funções de compromisso. No estudo de Opricovic e Tzeng (2004) tem-se uma discussão acerca das diferenças entre os métodos TOPSIS e VIKOR. Conforme os autores o método VIKOR pondera a importância das distâncias em relação aos cenários ideal e melhor desempenho verificado. Para os autores, a formação de rankings pelo método VIKOR torna-se mais estável se comparado ao método TOPSIS.
2. Referencial Teórico
Nessa seção apresentam-se os principais aspectos teóricos da Resource Advantage Theory. Em sequência apresenta-se a descrição dos métodos TOPSIS e VIKOR, utilizados para mensurar o desempenho de recursos, mercado e financeiro das empresas que explicam a sua vantagem competitiva.
2.1. Resource Advantage Theory
A discussão em torno do surgimento da Resource Advantage Theory (RA Theory) iniciou na década de 90 com os trabalhos de Hunt e Morgan (1995, 1996). Naquele momento os autores inseriram a abordagem da vantagem competitiva por meio do desempenho de recursos, de mercado e desempenho financeiro. Conforme Hunt (2000) as empresas estão em constante processos de alcançar vantagens de recursos e consequentes reflexos no mercado ao qual estão inseridas. Segundo Hunt e Madhavaram (2012) a RA Theory é uma teoria evolucionária, ou seja, trata-se de um processo teórico de busca por competitividade. E este processo é embasado na estabilização inicial da empresa para se chegar a um status de plena competitividade.
A competição no desempenho de recursos, nas posições de mercado e o desempenho financeiro das empresas são o cerne da RA Theory, conforme esquematizado na Figura 1. Dessa forma, Hunt e Morgan (1996) consideram que quanto maior a vantagem de recursos, melhor o desempenho financeiro e de mercado.
A vantagem comparativa de recursos é responsável pelas vantagens competitivas de mercado e de desempenho financeiro (ver figura 1). No que tange aos recursos, Hunt (2000) salienta que podem ser classificadosem tangíveis ou intangíveis a fim de produzircom maior eficiência e/ou eficácia o produto oferecido ao mercado. Conforme Golicic, Fugate e Davis (2012) um desempenho de recursos elevado, indicaque as empresas devem superar as suas concorrentes no tocante aos custos relativos, de maneira a alcançarmaior eficiência e eficácia.
Em relação ao desempenho de mercado, Priem e Swink (2012) afirmam que os indicadores são oriundos de uma disponibilidade de recursos, sendo que quanto maior o valor percebido pelos clientes, maior seria a vantagem competitiva da empresa, gerando assim uma nova contribuição tanto nos recursos,quanto no desempenho financeiro. Nesse sentido,o posicionamento de mercado (vantagem ou desvantagem competitiva) impactará no desempenho financeiro (Hunt, 2000). No aspecto de mercado,é importante verificar fatores, como por exemplo, o aumento de produtividade, que incrementam as vendas.Sendo que vendas mais eficientes geram maiores valores às empresas.
Em relação ao desempenho financeiro, verifica-se um grande avanço na importância atribuída a mensuração do desempenho enquanto ferramenta gerencial das empresas (Kennerly e Neely, 2002; Souza, 2011). Conforme Groppelli e Nikbakht (2002), a importância desses indicadores dizer respeito a eficiência da empresa, bem como o controle dos custos e geração de resultados. Conforme Hunt e Morgan (1995) e Rossi e Silva (2009) a posição de vantagem ou desvantagem competitiva resulta em um desempenho financeiro inferior ou superior. Essa vantagem competitivaé alcançada quando os recursos permitem a geração de produtos com um valor superior ou a sua produção abaixos custos.

Na percepção de Hunt e Madhavaram (2012) a RA Theory além de envolver um processo evolutivo da competição, se utiliza da interdisciplinaridade de outras áreas como marketing, economia, ética, entre outros. Conforme Rossi e Silva (2009) a RA Theoryé coerente com os conceitos de aprendizado organizacional, pois com o passar do tempo as empresas aprendem e de diversas maneiras. Essa teoria também amplia o conhecimento do processo de competição. Nesse sentido Hunt (2000) afirma que o feedback desse processo de competição é obtido pelo desempenho financeiro, no qual as empresas reconhecem os recursos e sua posição de mercado.
2.2. Método TOPSIS
O método Technique for Order Preference by Similarity to an Ideal Solution (TOPSIS) proposto por Hwange Yoon (1981), vem sendo aplicado a pesquisas científicas voltadas ao apoio a decisão multicritério. O método é dado pela matriz de dados X, compostapor elementos na forma xij, que corresponde ao resultado observado da alternativa i no critério j. Assume-se ainda
como o conjunto de todas as alternativas e
como conjunto de todos os critérios. Inicialmente realiza-sea padronização dos dados (deixar todos em mesma escala).
Uma das formas de padronização leva em consideraçãoa natureza do critério avaliado. Se o critério representa benefícios (quando maior melhor) a padronização docritério j é dada por:
onde
. Se o critério representa custos (quanto menor melhor) a padronização docritérioj é dada por:
. Esta padronização permite que todos os critérios tenham amplitude 1.
Realizada a padronização, o valor ponderado decada critério pode ser obtido da seguinte forma:
. Esta ponderação serve para considerarpeso maior a critérios que influenciam mais o processo de tomada de decisão. Com base nos valores ponderados,estabelece-se o Cenário Ideal Positivo (CIP) e o Cenário Ideal Negativo (CIN) conforme segue:

Onde J1 representa o conjunto de critérios de benefício (do tipo quanto maior melhor) e J2 o conjunto de critérios de custo (do tipo quanto menor melhor).
O passo seguinte do modelo consiste em calcular as distâncias de cada alternativa para o cenário ideal positivo (Di+) e as distâncias de cada alternativa parao cenário ideal negativo (Di-). Cabe destacar que o modelo de distâncias pode variar de acordo como objetivo do problema. Pode-se utilizar, por simplicidade a distância Euclidiana, assim como as distâncias de Manhattan, Minkowski, Mahalanobis, entreoutras. Bastando para isso considerar que o modelo utilizado seja uma métrica bem definida em um espaço métrico. Por simplicidade, a aplicação considerará a distância Euclidiana, distância usual. Assim omodelo para obtenção das mesmas é definido como:

De igual modo:

Onde i =1, 2,⋯, n.
Por fim o método deve sintetizar um score que caracterizeo desempenho segundo a similaridade da alternativa avaliada para com o Cenário Ideal Positivo. Este índice pode ser definido como:

O ranqueamento é feito considerando o score obtidono índice de similaridade. Quanto maior o valor, melhor a avaliação da alternativa em seu desempenho segundo seus critérios.
O modelo descrito por Hwang e Yoon (1981) recomenda a utilização de variáveis numéricas. Alguns trabalhos como Cables, García-Cascales e Lamata (2012) descrevem um modelo Fuzzy para o método TOPSIS que pode utilizar variáveis linguísticas ou categóricas segundo um determinado critério. Possivelmente aaplicação de variáveis categóricas pode ser possibilitada também pelo uso de outra métricas na mensuração das distâncias. A ainda problemas quanto ao estabelecimento de pesos para cada critério de avaliação. Uma alternativa apresenta por Li, Wang, Liu, Xin, Yan Gao (2011) é a utilização do modelo de Entropia da Informação, para se estabelecer os pesos wj.
Desta forma, o modelo de análise de desempenho TOPSIS prioriza a comparação de uma alternativa com cenário ideias hipotéticos. Esta comparação pode gerar instabilidade em processos mais dinâmicos, que são chamados de problemas de reversão de ordem.
Em contraposição, o método VIKOR, que será apresentadona seção seguinte, tenta garantir uma maior estabilidade ao ranking formado, quando considera tanto o desempenho em comparação ao melhor cenário,como o desempenho no critério de maior potencial da alternativa.
2.3. Método VIKOR
O método VlseKriterijumska Optimizacija I Kompromisno Resenje (VIKOR) foi apresentado por Opricovic (1998) que baseou sua ideia em problemas de Programação por Compromisso de Yu (1973) e Zeleny (1982). A ideia inicial do modelo é estabelecer um ranking segundo as distâncias com relação a um cenário ideal. A principal diferença estrutural deste método para com o TOPSIS está ligada a vinculação deste àsfunções de compromisso. Opricovic e Tzeng (2004) discutem sobre as diferenças entre o método TOPSIS e o método VIKOR. Segundo os autores o método VIKOR tem como virtude, sobre o método TOPSIS, ponderar a importância das distâncias em relação aos cenários Ideal e melhor desempenho em um critério de potencial da alternativa analisada. Ainda segundo os autores, este comparativo estabelece o método VIKOR como um método onde o ranking formado émais estável do que o formado pelo método TOPSIS.
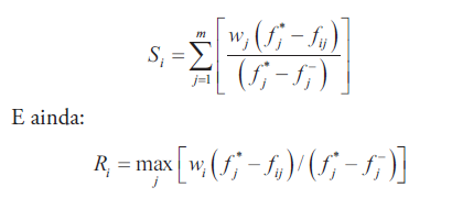
O método baseia-se na função do Método de Programação de Compromisso descrita por Yu (1973) e Zeleny (1982). Assumindo como notação tem-se o conjunto de alternativas A definido como a1,⋯,an ,onde para a alternativa i, o valor padronizado de sua avaliação no critério j é dado por f ij. Assim pode-sedefinir a função de compromisso como:

Onde: 1≤ p ≤ ∞ que i =1, 2,⋯, n , assumindo que j denota um critério específico e que m é o número de critérios utilizado no modelo. Ainda, fj* trata-se domelhor resultado obtido no critério j e que fj- trata-se do pior resultado obtido para o critério j.
Inicialmente o método VIKOR constrói dois scores utilizados para o ranqueamento, sendo eles S e R. A construção destes scores está vinculada a função de compromisso, onde para se construir S assume-se p = 1 e para R assume-se p = ∞. Desta maneira é possível obter:

Existe, portanto uma curva estabelecida por FC que apresenta o conjunto de soluções viáveis que se destacam como o mais próximo possível do cenário ideal positivo F*. A Figura 2 destaca esta representação.

O método VIKOR de apoio a decisão, pode ser descrito de acordo com as seguintes etapas:
Etapa 1: identificação dos valores fij* = max fij− e fj-= min fij, cabe destacar que é considerado máximo o valor que representa o melhor resultado obtido pela variável, sendo que podem existir variáveis descritas como «quanto maior melhor» e variáveis descritas como «quanto menor melhor». Interpretação análoga é possível para o pior cenário.
Etapa 2: Calcular os valores Si e Ri para todo i =1, 2,⋯,n. As fórmulas foram descritas anteriormente. Cabe destacar que wj representa o peso estabelecido para a variável.
Etapa 3: Calcular os valores de Qi, dado i =1, 2,⋯, n. Considerando para tanto a equação:

Onde S* = max Si; S- = min Siassim como R* = max Ri ; R− = min Ri. O peso v é uma ponderação descrita pelos autores como critério majoritário. Costuma-se defini-lo como v = 0,5, porém este critério pode sofrer alterações devido a hipótese de robustez da classificação.
Ainda de acordo com Opricovic e Tzeng (2004), a classificação das alternativas segue uma descrição mais difusa do que métodos como TOPSIS. O VIKOR fornece três diferentes rankings, a saber S, R e Q, sendo os dois primeiros com preferência a valores maiorese o último com preferência de scores menores. Assimuma alternativa a' será classificada como preferida se possuir fechamento com as seguintes condições:
Condição 1: a' possui «Vantagem Aceitável» sobre as demais se quando comparada com a'' (alternativa imediatamente posterior) for verificado que:

Condição 2: a' tem «Estabilidade aceitável na tomada de decisão» se além de melhor em Q, também formelhor em S e/ou R. Esta condição é mais comum emanalises onde v ≈ 0,5.
A natureza da comparação final dos rankings dá ao VIKOR um laço possível com outros métodos, principalmente com os modelos de outrankings. Nesta discussão Opricovic e Tzeng (2007) estudaram a extensãodo método utilizando argumentos dos métodos PROMETHEE e ELECTRE. Assim os autores concluíram que os resultados obtidos pelo VIKOR são mais similares aos rankings obtidos pelos métodos PROMETEE e ELECTRE II, do que pelo método TOPSIS.
3. Metodologia
Conforme delimitação do objetivo da pesquisa, busca-se analisar como os desempenhos referentes a recursos,mercado e indicadores financeiros, conforme a Resource Advantage Theory buscam explicar a vantagem competitiva das empresas. Para tanto, realizou-se uma pesquisa descritiva, de cunho documental e com uma abordagem quantitativa.
3.1. População e amostra
A população e amostra da pesquisa, compreende as empresas do setor têxtil com ações negociada na BM&FBovespa. Limita-se a análise da pesquisa para este setor devido a interligação teórica com o mesmo. Pois conforme Slack (2002) este setor atende da melhor maneira a dimensão de mercado que é proposto pela Resource Advantage Theory, relacionando com a vantagem competitiva das empresas.
A população da pesquisa engloba as empresas pertencentes ao setor de Consumo Cíclico e subsetor de Tecidos, Vestuário e Calçados da BMF&Bovespa, perfazendo um total de 40 empresas. Verificou-se no entanto que nem todas as empresas apresentavam as informações necessárias para o cálculo dos indicadores requeridos. Para tanto a amostrada pesquisa, obtidapor meio de disponibilidade, é composta pelas empresas apresentadas no Quadro 1.

O subsetor de Tecidos, Vestuários e Calçados possui quatro segmentos. O segmento de Fios e Tecidos possuio maior número de empresas (61,90%), na sequênciao segmento de Calçados com 19,05 % das empresas, o segmento de Comércio com 14,29%, e o segmento de Vestuário representado com apenas uma empresa.
3.2. Coleta dos dados
Para atender ao objetivo da pesquisa, elaborou-se um constructo que delimita os indicadores a serem utilizados, pautando-se na Resource Advantage Theory. No Quadro 2, apresenta-se estes indicadores.

Os indicadores apresentados do Quadro 2, foram coletados na base de dados Economática® referente às demonstrações financeiras de 2014. Salienta-se que no constructo teórico tem-se um grupo maior de indicadores. Porém restringiu-se a análise devido ao acesso das informações.
3.3. Procedimentos de análise dos dados
Estabelecidos os indicadores a serem utilizados, o procedimento seguinte pauta-se na definição de rankings para explicar o posicionamento das empresas nas dimensões da Resource Advantage Theory. Além dos modelos de ranqueamento, elaborados de acordo com os modelos TOPSIS e VIKOR, utilizou-se ainda neste estudo a correlação de Kendall para variáveis ordinais. A estipulação dos pesos para os cálculos dos modelos de ranqueamento foi feita através da ponderação do coeficiente de variação de cada uma dasvariáveis utilizadas. O procedimento adotado considerou que cada coeficiente de variação foi dividido pela soma dos coeficientes de variação de todas as variáveis da dimensão analisada.
4. Resultados da Pesquisa
A análise dos dados se dá em duas partes, na primeira parte efetua-se a mensuração do desempenho das empresas têxteis utilizado os métodos de apoio a tomada de decisão. Em um segundo momento será comparado o posicionamento da empresas nos três rankings preconizados pela RA Theory, a saber: Recursos, Mercado e Finanças. Os resultados são apresentados na sequência.
Verifica-se na Tabela 1 que as empresas com melhor posicionamento em ambos os rankings foram, Cremer, Karsten e Le Lis Blanc. O ranqueamento para as primeiras empresas analisadas foi coincidente, havendo pouca variabilidade do posicionamento das demais. A pior empresa, segundo o ranking de desempenho foi a Teka, que apresenta limitação em seu Patrimônio Líquido e dificuldades de captação de recursos.
No que tange ao desempenho de mercado apresentado na Tabela 2, verifica-se a alternância das empresas Arezzo e Grendene, permanecendo a empresa Cia. Hering como líder do desempenho na dimensão de Mercado. Destaca-se na Tabela 2 que a liderança de Recursos por parte de algumas empresas como Cremer, não implicou na liderança quando considerado o mercado, o que não confirma em partes a teoria de Hunt e Morgan (1996) e Hunt (2000). Verifica-sena última dimensão a efetividade da teoria quanto a dimensão de desempenho financeiro.
Os resultados da Tabela 3 destacam o desempenho mensurado para a dimensão de desempenho financeiro. Nesta dimensão a liderança ficou com a empresa Grendene em ambos os rankings, mensurados por meio dos métodos TOPSIS e VIKOR. Quanto as segundase terceiras posições ocorreram modificações significativas, assim como nas demais. Entretanto, destaca-seque as empresas Vulcabras e Wembley foram as duas piores empresas em ambos os rankings.

Desta maneira a RA Theory não se configura consistente, pois nessa pesquisa não pode-se assumir que uma empresa com vantagem em recursos terá vantagem no mercado e será superior no desempenho financeiro. O Quadro 3 foi formado para a investigação da classificação descrita pelos autores, considerou-se a classificação em três grupos com a mesma quantidade de empresas.
Os resultados do Quadro 3, destacam que apenas a empresa Arezzo foi classificada como com vantagem Competitiva em recursos e mercado e como superior em desempenho financeiro, para ambos os métodos de mensuração do desempenho. A empresa Alpargatas confirma a teoria de Hunt e Morgan (1996) e Hunt (2000) apenas para o desempenho mensurado pelo método TOPSIS. Estes resultados indicam para um problema de verificação da RA Theory no setor têxtil brasileiro. Para confirmação estatística e posterior conclusão, foi feita a análise da Correlação Ordinal de Kendall, entre todos os rankings.

Os resultados apresentados na Tabela 4, referentes a análise da correlação de Kendall entre as variáveis, constatou a não existência de relação em praticamente a totalidade de comparações. Existe entretanto uma correlação significativa entre os rankings de mercado e financeiro com desempenho mensurado pelo método VIKOR, que possivelmente é ocasionado pela maior estabilidade deste método destacado por Opricovic e Tzeng (2004). Mesmo assim os resultados não apontam para a verificação da RA Theory na análise do desempenho de empresas do setor têxtil.
Os resultados empíricos demonstram, além da falta de ajuste entre a teoria e a efetivação empírica, a liderançade algumas empresas em dimensões específicas. Este destaque especial para cada dimensão, pode ser entendido pela natureza das dimensões como ressaltam Hunt (2000), Golicic, Fugate e Davis (2012) que afirmam ser o desempenho no gerenciamento de recursos algo mais voltado a busca de redução de custose manutenção de bens tangíveis e intangíveis. O desempenho de mercado foca segundo Priem e Swink (2012) na disponibilidade de recursos, o que geraria um melhor posicionamento no financeiro, segundo Hunt (2000). Aliás, foi a constatação de Hunt (2000) a única que indicou uma tendência de relação segundo os resultados da Tabela 4.

5. Conclusão
Esta pesquisa teve por objetivo analisar o desempenho em recursos, mercado e financeiro que explicam a vantagem competitiva empresarial de acordo com a Resource Advantage Theory, de empresas do setor têxtil listadas na BM&FBovespa. Foram analisadas um total de 21 empresas do setor têxtil divididas em quatro segmentos. Para a mensuração do desempenho foram adotados os métodos de apoio a decisão multicritério baseados em cenários ideais TOPSIS e VIKOR. Foram analisados os desempenhos com base em quatro indicadores para recursos, três para mercado e quatro para a dimensão financeira.

Os resultados da pesquisa apontam para a não verificação da RA Theory em empresas têxteis, considerando o que se preconiza de que uma empresa em vantagem em recursos e mercado tende a ser superiorn a dimensão financeira. Desta forma a única empresa que verificou este fator foi a Arezzo. De mesmo modo para verificação da referida teoria seria coerente que existisse correlação entre os rankings das diferentes dimensões, o que não se verificou. Cabe destacar que os achados permitem traçar um indicativo de relação quanto a afirmação deque vantagem de mercado levaria a vantagem financeira.
Assim conclui-se que a vantagem competitiva em recursos e em mercado de empresas do setor têxtil do Brasil não contribui para superioridade no desempenho financeiro das empresas. Entretanto é possível verificar que os métodos de mensuração do desempenho, TOPSIS e VIKOR, obtiveram desempenho satisfatório para ajudar a verificação dos empíricos da RA Theory.

Referencias
Assaf Neto, A. (2010). Finanças Corporativas e Valor. 5. ed. São Paulo: Atlas.
Aydogan, E. K. (2011) Performance measurement model for Turkish aviation firms using the rough-AHP and TOPSIS methods under fuzzy environment. Expert Systems with Applications, 38, 3992-3998. https://doi.org/10.1016/j.eswa.2010.09.060
Bilbao-Terol, A., Parra, M. A., Cañal-Fernández, V. & Antomil-Ibias, J. (2014) Using TOPSIS for assessing the sustainability of government bond funds. Omega, 49, 1-17. https://doi.org/10.1016/j.omega.2014.04.005
Bulgurcu, B. (2012) Application of TOPSIS Technique for Financial Performance Evaluation of Technology Firms in Istanbul Stock Exchange Market. Procedia - Social and Behavioral Sciences, 62, 1033-1040. https://doi.org/10.1016/j.sbspro.2012.09.176
Cables, E., García-Cascales, M. S. & Lamata, M. T. (2012). fte LTOPSIS: An alternative to TOPSIS decision-making approach for linguistic variables. Expert Systems with Applications, 39(2), 2119-2126. https://doi.org/10.1016/j.eswa.2011.07.119
Ehrhardt, M. C & Brigham, E. F. (2012) Administração financeira: teoria e prática. 2. ed. São Paulo: Cengage Learning.
Gitman, L. J. (2010) Princípios de administração financeira. 12. ed. São Paulo: Pearson.
Golicic, S. L., Fugate, B. S. & Davis, D. F. (2012). Examin- ing Market Information and Brand Equity ftrough Resource-Advantage fteory: A Carrier Perspective. Journal of Business Logistics, 33, 20-33. https://doi.org/10.1111/j.0000-0000.2011.01035.x
Groppelli, A. A. & Nikbakht, E. (2002). Administração financeira. 2. ed. São Paulo: Saraiva.
Hu, Y. C. & Ansell, J. (2007). Measuring retail company performance using credit scoring techniques. Euro- pean Journal of Operational Research, 183, 1595-1606. https://doi.org/10.1016/j.ejor.2006.09.101
Hunt, S. D. (1997). Resource-advantage theory: an evolutionary theory of competitive behavior. Journal of Economics Issues, 31(1), 59, 77. https://doi.org/10.1080/00213624.1997.11505891
Hunt, S. D. (2000). A General Theory of Competition: Resources, Competences, Productivity, Economic Growth. ftousand Oaks, CA: Sage Publications.
Hunt, S. D. & Madhavaram, S. (2012). Managerial action and resource-advantage theory: conceptual frameworks emanating from a positive theory of competition. Journal of Business & Industrial Marketing, 27(7), 582- 591. https://doi.org/10.1108/08858621211257356
Hunt, S. D. & Morgan, R. M. (1995). fte comparative advantage theory of competition. Journal of Marketing, 59(2), 1-14. https://doi.org/10.2307/1252069
Hunt, S. D. & Morgan, R. M. (1996). fte resource-advantage theory of competition: dynamics, path dependencies, and evolutionary dimensions. Journal of Marketing, 60(4), 107-114. https://doi. org/10.2307/1251905
Hwang, C. L. & Yoon, K. (1981). Multiple attribute decision making, methods and applications. Lecture notes in economics and mathematical sýstems, 186. New York: Springer-Verlang. https://doi.org/10.1007/978-3-642-48318-9
Iç, Y. T. (2014). A TOPSIS based design of experiment approach to assess company ranking; Applied Mathematics and Computation, 227, 630-647. https://doi.org/10.1016/j.amc.2013.11.043
Kennerley, M. & Neely, A. (2002). A framework of the factors affecting the evolution of performance mea- surement systems. International Journal of Operations & Production Management, 22(11), 1222-1245. https://doi.org/10.1108/01443570210450293
Li, X., Wang, K., Liu, L., Xin, J., Yang, H. & Gao, C. (2011). Application of the entropy weight and TOPSIS method in safety evaluation of coal mines. Procedia Engineering, 26, 2085-2091. https://doi.org/10.1016/j.proeng.2011.11.2410
Martins, E., Diniz, J. A. & Miranda, G. J. (2012). Análise avançada das demonstrações contábeis: uma abordagem crítica. São Paulo: Atlas.
Opricovic, S. (1998). Multicriteria Optimization in Civil Engineering. Faculty of Civil Engineering, Belgrade.
Opricovic, S. & Tzeng, G.-H. (2004). Compromise solution by MCDM methods: A comparative analysis of VIKOR and TOPSIS. European Journal of Operational Research, 156(2), 445-455. https://doi.org/10.1016/S0377-2217(03)00020-1
Priem, R. L. & Swink, M. (2012). A demand-side perspective on supply chain management. Journal of Supply Chain Management, 48(2), 7-13. https://doi.org/10.1111/j.1745-493X.2012.03264.x
Rossi, R. M. & Silva, A. L. (2009). Vantagem competitiva: operacionalizando o conceito a partir da Resource-Advantage Theory. Revista Ibero-Americana de Estratégia – RIAE, 8(2), 31-57. https://doi.org/10.5585/riae.v8i2.1633
Slack, N. (2002). Vantagem competitiva em manufatura: atingindo competitividade nas operações industriais. São Paulo: Atlas.
Souza, A. E. (2011). Indicadores de mensuração de desempenho em pequenas e médias empresas (PMEs): estudo no setor calçadista de Santa Catarina (Tese de doutorado). Universidade de São Paulo, São Paulo, SP, Brasil).
Wu, H., Chen, J., Chen, I. & Zhuo, H. (2012). Ranking universities based on performance evaluation by a hybrid MCDM model. Measurement, 45, 856-880. https://doi.org/10.1016/j.measurement.2012.02.009
Yu, P. L. (1973). A class of solutions for group decision problems. Management Science, 19(8), 936-946. https://doi.org/10.1287/mnsc.19.8.936
Zeleny, M. (1982). Multiple Criteria Decision Making. New York: McGraw-Hill.