ARTÍCULOS
Dinámica territorial del poder político en la Venezuela contemporánea (1961–2013)*
Dinâmica territorial do poder político na Venezuela contemporânea (1961–2013)
Territorial political power dynamics in contemporary Venezuela (1961–2013)
Dinámica territorial del poder político en la Venezuela contemporánea (1961–2013)*
Cuadernos de Geografía - Revista Colombiana de Geografía, vol. 25, núm. 1, pp. 95-109, 2016
Universidad Nacional de Colombia
Recepción: 11 Julio 2014
Aprobación: 24 Noviembre 2014
Resumen: En Venezuela, desde 1980 y en el marco de la Constitución de 1961, se inició un proceso de distribución del poder político que permitió fortalecer, administrativa y financieramente, a los estados federales y municipios. En la actualidad, con el respaldo de una nueva Constitución de 1999, se re–centraliza el poder y, bajo la premisa de una democracia directa, se instaura un poder inconstitucional —Poder Popular—, cuyas actuaciones, dependientes de la Presidencia de la República, se solapan con los subniveles de gobierno establecidos en la Carta Magna. Ello se ha logrado a través de modificaciones del ordenamiento jurídico nacional fuera del marco constitucional, cuyo impacto en la dinámica territorial del poder se intenta evidenciar en este estudio.
Palabras clave: centralización, descentralización, participación ciudadana, poder político, territorio.
Resumo: Na Venezuela, desde 1980 e no bojo da Constituição de 1961, iniciou–se um processo de distribuição do poder público que permitiu fortalecer, administrativa e financeiramente, os estados federais e municípios. Na atualidade, com o apoio de uma nova Constituição de 1999, recentraliza–se o poder e, sob o princípio de uma democracia direta, instaura–se um poder inconstitucional —Poder Popular—, cujas atuações, dependentes da Presidência da República, sobrepõem–se com os subníveis de governo estabelecidos na Carta Magna. Isso se deve ãs modificações do ordenamento jurídico nacional fora do âmbito constitucional, cujo impacto na dinâmica territorial do poder tenta–se evidenciar neste estudo.
Palavras-chave: centralização, descentralização, participação cidadã, poder político, território.
Abstract: In Venezuela, since 1980 and within the framework of the Constitution of 1961, a process of the distribution of political power was begun that allowed the administrative and financial strengthening of the federal states and municipalities. Currently, with the backing of a new Constitution (1999) power was recentralized and, under the premise of a direct democracy, an unconstitutional power was set up —Popular or People Power— whose actions, dependent upon the President of the Republic, overlap with the sub–levels of government established in the Magna Carta. These changes have been made possible by modifications of the legal regulations on a national scale outside the constitutional framework whose impact on the territory dynamics of power will be evidenced, where possible, in this study.
Keywords: centralization, decentralization, citizen participation, political power, territory.
Artículo de reflexión sobre los cambios en la distribución territorial del poder político en Venezuela durante el periodo 1961–2013, mediante la discusión del ordenamiento jurídico vigente.
CÓMO CITAR ESTE ARTÍCULO: Salas–Bourgoin, María Andreina. 2016. “Dinámica territorial del poder político en la Venezuela contemporánea (1961–2013)”. Cuadernos de Geografía: Revista Colombiana de Geografía 25 (1): 95–109. DOI: 10.15446/rcdg.v25n1.52592.
Introducción
Después de una larga tradición centralista en Venezuela, entre la décadas de 1980 y 1990, se llevó a cabo un proceso de reforma del Estado que imprimió un cambio en la dinámica territorial del poder político, pues permitió la transferencia de competencias y de recursos a las instancias de gobierno estadal y municipal. Posteriormente, gracias a la Constitución de la República Bolivariana de Venezuela en 1999, se evidenció una mayor voluntad política por profundizar la descentralización administrativa y la participación ciudadana, que se ha venido diluyendo en un proceso de recentralización del poder.
Muestra de este proceso de recentralización son la propuesta presidencial de reforma constitucional de 2007, así como las sucesivas acciones desarrolladas tanto por el Poder Ejecutivo como por el Poder Legislativo nacional para revertir competencias transferidas y debilitar a los municipios frente a las organizaciones de base popular.
Con la reforma constitucional se pretendía: 1) instaurar un modelo de gobierno socialista; 2) modificar la estructura político–administrativa del territorio nacional y las funciones de sus jefes de gobierno para concentrar el poder en el Ejecutivo Nacional, y 3) hacer del Poder Popular el fundamento de la democracia directa. Sin embargo, después de su rechazo por medio de referéndum popular, entre 2007 y 2010, tanto la Asamblea Nacional como el Presidente de la República Hugo Chávez Frías fueron incorporando al ordenamiento jurídico nacional los contenidos de dicho proyecto de reforma.
Se creó de esta manera un sexto poder1 —el Poder Popular— así como nuevos ámbitos territoriales de gestión bajo su responsabilidad; se fundaron instituciones para el traspaso de recursos públicos a las instancias del nuevo poder y se modificó la distribución del presupuesto nacional para incluir los nuevos ámbitos de gestión.
Paralelamente, desde el 2008 hasta la actualidad, la Asamblea Nacional, a través de sucesivos proyectos de Ley Orgánica para la Ordenación y Gestión del Territorio, ha intentado crear una estructura territorial de poder paralela a la constitucionalmente establecida, que invalida la gestión estadal y limita ampliamente las competencias del municipio en esta materia.
Más recientemente, en abril de 2013, el Presidente Nicolás Maduro Moros crea, mediante el Decreto n.° 11, las Regiones de Desarrollo Integral (REDI), a cargo de vicepresidentes de libre designación y remoción, superpuestas tanto a la división político–administrativa del territorio nacional, establecida en la Constitución, como a las nuevas unidades de gestión del Poder Popular (Gaceta Oficial de la República Bolivariana de Venezuela 2013).
Estas transformaciones, además de mostrar un profundo interés por reacomodar el sistema de gobierno a diferentes escalas para fines de la recentralización administrativa, evidencian la intensificación de la dinámica territorial del poder político venezolano y el uso del territorio como medio para controlar autoridades de gobierno directamente electas y autónomas según la Carta Magna vigente.
Por su naturaleza, dichas transformaciones constituyen un objeto de investigación de relevancia social y científica que, en el caso de este estudio, se abordó por medio de una aproximación diacrónica, multidimensional y multiescalar a la tríada territorio–actores–cuotas de poder, desde la perspectiva de uno de los medios más importantes para intervenir en la misma: el ordenamiento jurídico, en particular, el acotado al periodo 1961–2013, en tanto que referencia la magnitud de los cambios producidos y en gestación.
Para presentar los resultados obtenidos, en primer lugar, se exponen las particularidades del rentismo petrolero venezolano y su relación con la distribución territorial del poder; luego, se describen las características de la distribución territorial del poder y de los recursos financieros en la Venezuela previa y posterior a la Constitución de 1999; a continuación, se aborda lo relativo al Poder Popular y el debilitamiento de los poderes estadal y municipal. Para finalizar, se expone una reflexión sobre el uso de la ordenación del territorio como instrumento para el reacomodo del poder político, así como las posibles consecuencias de ello.
Venezuela, rentismo petrolero y dinámica territorial del poder
En Venezuela, desde el segundo cuarto del siglo XX, la dinámica territorial del poder ha estado signada por el rentismo petrolero, un tipo de sistema económico nacional dependiente del ingreso derivado de la exportación de petróleo, cuya propiedad es nacional–estatal y permite que la administración pública venezolana se sustente en unos ingresos, en este particular, inicialmente provenientes de concesiones otorgadas a empresas anglo–holandesas2 y, a partir de 1976, de actividades de explotación y exportación realizadas por la estatal Petróleos de Venezuela S. A. —en adelante, PDVSA—.
Dichos ingresos han condicionado en el país: 1) la disponibilidad de recursos financieros durante el año fiscal en ejecución; 2) la existencia de periodos en los cuales, desde la perspectiva político–partidista, el poder se concentra o desconcentra; y 3) la dinámica del poder político–económico del Estado.
En el marco de una sociedad distributiva, se ha creado un esquema de dependencia social, económica y políticoadministrativa en torno al Estado. En materia social, la población ha obtenido beneficios, entre otros, por medio del gasto público, estableciéndose, en palabras de Gamardo, “[…] un tipo de relación particular de dominación (tácita o expresa) entre el Estado venezolano y la sociedad y su ciudadanía […]. En síntesis, el Estado ha tenido su “propio negocio” […] y el venezolano ha sido beneficiario de ello […]” (2010, 2).
En el ámbito económico, los ingentes ingresos provenientes de la actividad petrolera han permitido la implementación de una política proteccionista y de subsidio permanente, cuyo resultado son un sector privado creciente a la sombra del Estado y un sistema de relaciones de dependencia permeadas por lealtades políticas para garantizar inclusión.
Entre los municipios y los estados federales el modelo se ha reproducido ya que, en el reparto de la renta, el denominado Situado Constitucional es prácticamente la única fuente de recursos para cumplir las respectivas competencias. En este particular, el Poder Nacional cumple el rol de administrador de un gran presupuesto dentro del cual el estadal y el municipal solo son derivados.
Por otra parte, PDVSA se ha instaurado dentro de la estructura nacional de poder como un importante agente, pues por medio de su inversión distribuye porciones del ingreso petrolero, particularmente en las áreas de exploración, extracción y refinación, lo que le ha permitido convertirse en un actor decisivo, a diversas escalas, dentro del juego de poder. Ello, a juicio de Rojas (1999), representa una modificación en el reparto territorial del poder porque ha creado y reforzado alianzas entre gobernadores y PDVSA o alcaldes y PDVSA que reportan altos ingresos, en algunos casos superiores a los suministrados por el Poder Nacional.
Así pues, gracias a la economía de tipo rentista–distributiva, a la cuota de poder que por naturaleza detenta el Estado venezolano se le ha sumado un enorme poder económico caracterizado por: 1) capitalismo de Estado con tutela sobre la economía privada; 2) dominación de la ciudadanía; 3) concentración de la fuerza económica y político–institucional en el Ejecutivo Nacional; y 4) consolidación del partido político regente, como dominante en toda la sociedad (Gamardo 2010). El resultado de lo anterior es una relación de poder en extremo asimétrica, sobre la base del monopolio y la administración discrecional por parte del Poder Nacional de la principal fuente de ingresos económicos del país, manifiesta a través de un sistema de medios institucionales y normativos sujetos a modificación o readecuación para ceder o retirar cuotas de poder, según los intereses de quienes regentan la administración pública nacional.
Poder y territorio 1961–1999
La Constitución de la República de Venezuela de 1961, aunque no consagraba expresamente la descentralización, establecía que tanto estados federales como municipios eran autónomos e iguales, en su calidad de entidades políticas con competencias exclusivas y fuentes de recursos específicos para su cumplimiento. De las dos, el municipio era la unidad política primaria y autónoma más cercana a la comunidad.
Conforme a la Carta Magna en cuestión, dentro de las competencias de los estados federales se encontraba, entre otras: 1) organizar sus poderes públicos, sus municipios y demás entidades locales y 2) administrar sus bienes, el situado constitucional y demás ingresos; mientras que al municipio le correspondía atender las demandas primarias de la población (servicios públicos y equipamiento, por ejemplo).
En el marco de una política destinada a impulsar el desarrollo económico y social de las regiones más rezagadas dentro del territorio nacional, en 1959, el Ejecutivo Nacional inició un proceso de regionalización administrativa y de planificación que incluyó la creación, en 1960, de cinco corporaciones de desarrollo que se fortalecieron en las décadas de 1970 y 1980. A juicio de González “Las bases para la regionalización fueron fundamentalmente la necesidad de lograr una nueva y mejor distribución geográfica de las funciones públicas […] uniformizar las […] administraciones regionales […] y coordinar con los Estados y Municipios el proceso de planificación del desarrollo” (2009, 72); no así, el debilitamiento de los poderes Estadal y Municipal. Dado lo anterior, el interés subyacente era mejorar la eficiencia del Estado planificador y no debilitar los poderes estadal y municipal.
A partir de la década de 1980 se puso en marcha un proceso de Reforma del Estado focalizado en la descentralización. Gracias a la Comisión Presidencial para la Reforma del Estado (COPRE), creada en 1985, se revisaron y reestructuraron las relaciones entre el Estado y la sociedad venezolana, inicialmente por medio de: 1) elección directa de gobernadores, designados por el Presidente de la República hasta 1989; 2) creación de la figura del alcalde, para separar el poder legislativo del ejecutivo a escala local, y 3) elección nominal de concejales (De la Cruz 1992).
Un hito de este proceso fue la sanción de la Ley de Descentralización, Delimitación y Transferencia de Competencias del Poder Público —en adelante, Ley de Descentralización— en 1989,3 ya que permitió la transferencia de atribuciones del Poder Nacional a gobernadores y alcaldes, conjuntamente con la creación de instrumentos fiscales y financieros para su ejercicio. En palabras de D’Elia, la descentralización representó:
[…] una nueva delimitación de competencias, entre exclusivas y concurrentes, básicamente dirigidas al fortalecimiento de las capacidades financieras e institucionales de los estados federales y los municipios para que estas entidades pudieran ejercer sus potestades de forma autónoma e independiente del Poder Nacional en sus respectivos territorios. (2010, 3)
Se esperaba que el Poder Nacional o central redujese su tamaño y que sus operaciones asumieran un rol estratégico, descargando en gobernaciones y alcaldías la atención de problemas de interés público (De la Cruz 1992).
En materia municipal, la modificación de la Ley Orgánica de Régimen Municipal (LORM), en 1989, permitió ratificar su autonomía: 1) política, para elegir sus autoridades; 2) administrativa, para gestionar las materias de su competencia; 3) financiera, para la creación, recaudación e inversión de ingresos; y 4) normativa, para establecer preceptos de derecho objetivo (Fundación para el Desarrollo de la Comunidad y el Fomento Municipal 1989). Asimismo, dio lugar a las denominadas Juntas Parroquiales y Asociaciones de Vecinos; las primeras, como instancias administrativas y de prestación de servicios en cada parroquia,4 y las segundas, como instancias de participación ciudadana para la cogestión; ninguna de ellas para sustituir al gobierno municipal.
A raíz de este proceso descentralizador, la organización político–administrativa del territorio y el reparto del poder político comenzaron a mostrar modificaciones, no solo por voluntad del Poder Nacional sino por las demandas mismas de la sociedad. Se incrementó el número de municipios, los denominados ‘ territorios federales’ adquirieron la categoría de estados y se promovió la creación de un nuevo estado en 1998 (estado Vargas)5; todo ello acompañado de la incorporación a la vida política de nuevos partidos, nuevas alianzas y liderazgos locales, antes inexistentes frente a la figura presidencial (Rojas 1999). No obstante, a pesar de los esfuerzos por lograr una estructura territorial y funcional del poder coherente y coordinada, los resultados no fueron los esperados ya que, sobre estos intentos, pudo más la herencia de una administración estadal y municipal débil.
Distribución territorial de recursos financieros 1961–1999
Según la Constitución de 1961, el Situado Constitucional era una partida a distribuir entre los Estados, el Distrito Federal y los Territorios Federales, correspondiente al 15% del presupuesto nacional, repartida así: 30% en partes iguales y 70% según la población de cada territorio. Esta partida, gracias a la Ley de Descentralización de 1989, se incrementó para representar 20% del total de los ingresos ordinarios estimados.
Con el fin de fortalecer la política de descentralización y el desarrollo de los estados federales y los municipios, se crearon dos nuevas fuentes de recursos: por un lado, la Ley que crea el Fondo Intergubernamental para la Descentralización (FIDES), de 1993, según la cual, después de descontar los recursos destinados al presupuesto nacional, lo restante se repartiría: 60% a los estados y 40% a los municipios, atendiendo los siguientes criterios: 1) 45% en función de la población; 2) 10% según la extensión territorial; y 3) 45% según el indicador de compensación interterritorial y, por otro, la Ley de Asignaciones Económicas Especiales para los estados y el Distrito Metropolitano de Caracas derivadas de Minas e Hidrocarburos —en adelante, LAEE— de 1996, que contemplaba la distribución de “[…] un porcentaje del monto de los ingresos fiscales […] originado de los tributos previstos en la Ley de Hidrocarburos y la Ley de Minas[…]” (Gaceta Oficial de la República Bolivariana de Venezuela 1996, art. 1), tanto a los estados con hidrocarburos (70%) como a los carentes de estos (30%).
Así pues, por medio de diferentes instrumentos normativos se crearon mecanismos financieros para que gobernaciones y alcaldías pudieran disponer de los recursos requeridos en el cumplimiento de las nuevas competencias. Sin embargo, todos estos recursos, aun cuando eran distribuidos a través de diferentes partidas, tenían un origen común: la renta petrolera.
Poder y territorio 1999–2013
Gracias a la Constitución de la República Bolivariana de Venezuela —en adelante, CRBV— de 1999, se puso de manifiesto la voluntad política por profundizar la descentralización administrativa al señalar expresamente que “La República Bolivariana de Venezuela es un Estado Federal Descentralizado en los términos consagrados en esta Constitución, y se rige por los principios de integridad territorial, cooperación, solidaridad, concurrencia y corresponsabilidad” (Gaceta Oficial de la República Bolivariana de Venezuela 2000, art. 4).
Según esta Carta Magna, los estados federales se mantienen como entidades autónomas regidas por un gobernador de elección universal, directa y secreta, asesorado por el Consejo Estadal de Planificación y Coordinación de Políticas Públicas (CEPCPP), en calidad de órgano rector de la planificación de políticas tendentes a lograr el desarrollo de la entidad, conjuntamente con la comunidad organizada.
A escala local, los municipios se mantienen como la unidad política primaria de la estructura territorial del poder, con personalidad jurídica y autonomía administrativa, gobernados por un alcalde —igualmente electo por votación universal, directa y secreta—, asistido por un Consejo Local de Planificación Pública (CLPP) encargado de llevar a cabo, junto con las comunidades, las labores de planificación.
En la nueva Constitución, a la estructura vertical del poder —nacional, estadal y municipal—, se sumó una estructura horizontal de cinco poderes: ejecutivo, legislativo, judicial, ciudadano y electoral.
En 2006, en el marco de la política presidencial del poder comunal, se sancionó la Ley de los Consejos Comunales6 como instrumento para regular el funcionamiento de estas instancias de participación ciudadana y permitir su injerencia directa en la gestión de asuntos de interés público. A esta ley le siguieron, en 2007, los llamados “Cinco Motores de la Revolución”: Ley Habilitante, Reforma Constitucional, Nueva Geometría del Poder, Moral y Luces, y Explosión del Poder Comunal.
Aun cuando el segundo motor, Reforma Constitucional, fue rechazado por referéndum popular celebrado en 2007, sus principios —estrechamente vinculados con la distribución territorial del poder— se incluyeron en el ordenamiento jurídico nacional, vía leyes habilitantes7 y Asamblea Nacional, con anuencia de la Sala Constitucional del Tribunal Supremo de Justicia (Brewer–Carías 2011). Ello permitió que, para finales del 2010, estuviese establecido el soporte legal del Poder Popular por medio de leyes orgánicas sobre: 1) Poder Público Municipal; 2) Poder Popular; 3) Consejos Comunales, 4) Comunas; 5) Sistema Económico Comunal; 6) Planificación Pública y Popular; y 7) Contraloría Social. Asimismo, se instauró el Estado Comunal, cuya unidad primaria, la comuna, en la práctica suplanta las funciones del municipio.
Particularmente, a través de las leyes orgánicas del Poder Público Municipal, del Poder Popular y de los Consejos Comunales, el legislativo nacional8 transfirió competencias municipales a las organizaciones de base comunal y creó una nueva estructura territorial de poder donde la comunidad es el punto de partida de donde se derivan: el consejo comunal, la comuna, la ciudad comunal, la federación comunal y la confederación comunal.9
En esta nueva estructura del poder prima el centralismo, fundamentado en una relación directa comunidad– Poder Nacional, que relega a estados federales y a municipios, donde el Poder Nacional rige el empoderamiento de las comunidades y excluye a aquellas no organizadas bajo los preceptos del socialismo como doctrina del Estado (Hernández 2011).
Del Estado Comunal y el Poder Popular derivaron instancias de gestión pública10 paralelas al Poder Municipal, como se muestra en la tabla 1.

Cabe señalar que, tal y como puede apreciarse en la tabla 1, al Consejo de Contraloría Comunal se le atribuyó la competencia de vigilar y supervisar al Poder Municipal, mientras que a este último no se le asignó la misma competencia con respecto a las instancias del Poder Popular. En la Ley Orgánica del Poder Público Municipal (LOPPM) no se incluyó el control, por parte de la municipalidad, de la inversión y los proyectos de las comunas, sino que la competencia le fue asignada a la Secretaría del Consejo Federal de Gobierno (Gaceta Oficial de la República Bolivariana de Venezuela 2010c, art. 20 n.° 18) como instancia del Ejecutivo Nacional encargada de administrar y ejecutar el Fondo de Compensación Interterritorial —en adelante, FCI—.
En el caso de la transferencia de competencias, la CRBV permite a la Asamblea Nacional atribuir a los municipios y a los estados federales materias que le corresponden al Poder Nacional, para así promover la descentralización que, según la Ley Orgánica de la Administración Pública —en adelante, LOAP— de 2001, puede ser: político territorial y funcional. La primera, según Brewer–Carías (2002), comprende el traspaso de competencias y servicios públicos entre poderes en sentido descendente, mientras que la segunda, la creación de entes descentralizados. En ninguna de estas formas de descentralización se considera el traspaso de competencias del Poder Público al Poder Popular.
Pese a lo anterior: 1) según el artículo 2 de la Ley Orgánica del Consejo Federal de Gobierno (LOCFG), el Consejo Federal puede promover la transferencia de competencias y atribuciones de las entidades estadales y municipales, a las organizaciones de base del Poder Popular; 2) contrario a los principios de la CRBV, por medio de la última modificación de la LOAP (2008) se permitió la reversión de transferencia de competencias, vía derogación o modificación del instrumento jurídico que le dio lugar (art. 31) y 3) conforme al artículo 8 de la Ley Orgánica de Descentralización de 2011, el Poder Nacional, por medio de un órgano del Ejecutivo Nacional, puede revertir la transferencia de competencias concedidas a los estados federales.11
De esta manera, no solo se produjo un retroceso en la descentralización administrativa lograda en las décadas de 1980 y 1990, sino que además se apostó por el debilitamiento de los estados y municipios para hacerlos inoperantes ante instancias de gestión no contempladas en la Constitución.
Distribución territorial de recursos financieros 1999–2013
Los cambios en la distribución territorial del poder en el periodo que transcurre entre 1999 y 2013, en especial a partir de 2007, se han fundamentado en modificaciones al esquema de reparto de recursos financieros entre los poderes Estadal y Municipal, por inclusión del Poder Popular. De un lado, se modificó la distribución del FCI —se destinó el 37% a los estados federales, 28% a los municipios, 30% a los consejos comunales y 5% al fortalecimiento institucional (Gaceta Oficial de la República Bolivariana de Venezuela 2010c, art. 36), equiparando de esta manera las responsabilidades de los municipios con las de las organizaciones comunales— y, de otro, se reformó en 2010 la LAEE para distribuir una primera asignación de recursos de: 1) 42% a las gobernaciones; 2) 28% a las alcaldías y 3) 30% a los consejos comunales; y una segunda asignación, por medio de créditos adicionales aprobados por el Ejecutivo Nacional, distribuidos así: 1) 42% a los estados federales; 2) 20% a los municipios y 3) 50% a las organizaciones de base popular (art. 9).12
A la reducción de recursos para los poderes Estadal y Municipal se unió la desviación de recursos públicos para el financiamiento de las misiones sociales13 creadas en el 2003. Lo que se puede resaltar con respecto a estas es que: 1) son administradas directamente desde el Ejecutivo Nacional; 2) los recursos financieros que las sustentan derivan del Decreto con Rango Valor y Fuerza de Ley de Creación del Fondo Social para la Captación y Disposición de los Recursos Excedentarios de los Entes de la Administración Pública Nacional del 2008, que no forma parte del Tesoro Nacional, y 3) su uso es aprobado directamente por el Presidente la República. Tal situación lleva a Rangel (2008) a afirmar que Venezuela se encuentra en tiempos de “re–centralización” debido al estrangulamiento financiero de los estados y municipios por medio de: 1) recorte del 20% de los recursos destinados a estas entidades, para financiar los proyectos propuestos por las organizaciones comunitarias, vía modificación de leyes; 2) generación de ingresos extraordinarios, por medio de la subestimación del precio del barril de petróleo, que no se incorporan al Situado Constitucional sino a fondos extrapresupuestarios como el Fondo de Desarrollo Nacional (FONDEN); 3) modificación del reparto de recursos financieros para incluir a los consejos comunales con el 50% de los recursos excedentarios, y 4) disminución del Impuesto al Valor Agregado (IVA) que nutre el fondo destinado a financiar las funciones de los estados y los municipios.
El Poder Popular: los consejos comunales
Si bien la dispersión y los vacíos de información restringen la posibilidad de presentar datos que reflejen el debilitamiento de los estados federales y, en particular, de los municipios frente a los consejos comunales, es posible referir algunas estadísticas de fuentes oficiales y estudios que dan cuenta de la relación Ejecutivo Nacional–comunidades y de la estrategia de sustitución de los poderes Estadal y Municipal por las instancias del Poder Popular.
De un total de 44.196 consejos comunales legalmente constituidos14 en 2011, la mayor proporción se localizaba en los estados Zulia (3.938), Lara (3.378), Miranda (3.187) y Mérida (2.274), mientras que el menor número estaba ubicado en Nueva Esparta (499), Vargas (524), Amazonas (662) y Cojedes (775) (El Intersocial 2011).
En el 2011, la distribución de los recursos públicos fue de la manera como se muestra en la tabla 2.

Según los datos compilados en la tabla 2, los consejos comunales fueron las instancias que, en 2011, recibieron la mayor cantidad de recursos financieros. De hecho, capturaron más de la mitad de lo distribuido por medio del FCI y cerca de la mitad transferida a través de LAEE. La distribución del FCI para el 2011 se presenta en la tabla 3.

Los estados que se muestran resaltados en la tabla 3 son aquellos en los que la gobernación, la alcaldía o ambos, recibieron en 2011 menos recursos que las instancias del Poder Popular. Puede destacarse, por ejemplo, el caso del estado Miranda, el segundo más poblado del país, donde su gobernación y sus alcaldías recibieron menos recursos públicos que las instancias del Poder Popular localizadas su territorio.
Si bien es menester resaltar la importancia de los consejos comunales en la atención directa a los requerimientos de la población (Machado M. 2008), también es necesario destacar que, como afirma Jungemann, “[…] la forma como el Estado piensa y ejecuta las políticas públicas […] [correspondientes a los consejos comunales] […] no es homogénea y depende de la propia disputa al interior de los grupos que las administran […]” (2008, 13). Por ello, la dinámica de su conformación difiere altamente en todo el territorio nacional y se asocia a múltiples factores que fungen como ventajas comparativas que, entre otros motivos, se dan gracias a su relación con los entes gubernamentales y la lucha por el poder a escala micro–local.
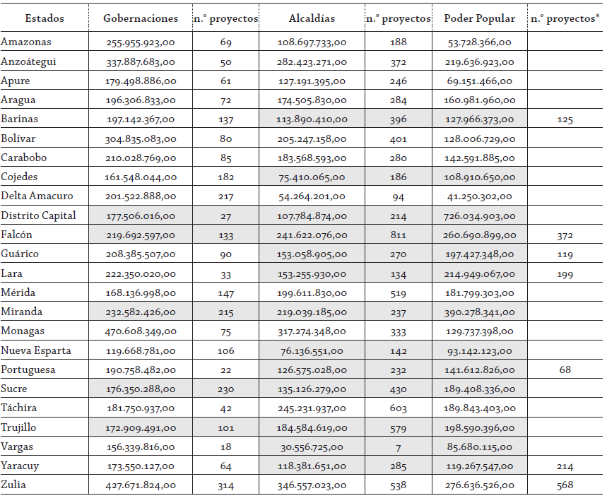
En un escenario de ventajas comparativas entre consejos comunales, el nuevo modelo de reparto territorial del poder es contrario a los argumentos que le sirven de fundamento: la distribución equitativa de los medios para la democracia directa y la autogestión, puesto que aquellas organizaciones con mayores capacidades para formular proyectos, con más conexiones políticas y localizadas en territorios claves serán las que, finalmente, dispondrán de más medios para alcanzar la satisfacción de sus necesidades. La tabla 4 muestra esta situación.

Si, por ejemplo, se observan en la tabla 4 los casos del estado Carabobo y el Distrito Capital, es posible entrever la importancia política que para el Poder Popular reviste la distribución de recursos. Carabobo es el tercer estado más poblado del territorio nacional y el octavo con más consejos comunales, sin embargo, en el reparto de recursos a los consejos comunales en este localizados, solo se les asignó el 3,21% del total, mientras que a los consejos del Distrito Capital —lugar de asentamiento del Poder Nacional— se les concedió el 16,33%.
La ordenación del territorio y la distribución territorial del poder
Desde la década de 1970 se discute en la palestra pública venezolana el tema de la ordenación del territorio y, gracias a la Ley Orgánica para la Ordenación del Territorio —en adelante, LOPOT—, de 1983, esta se convirtió en una política de Estado tanto para regular el uso y la ocupación del territorio como para promover el desarrollo integral de las regiones (Salas–Bourgoin 2011).
Con muchas debilidades, desde la década de 1980 esta política se puso en marcha15con el concurso de órganos y entes de la administración pública para adecuar el territorio a los requerimientos del desarrollo y la conservación ambiental, en principio, desde la escala nacional hasta la estatal para luego, a partir de la CRBV, incorporar la escala municipal.16 Sin embargo, desde que se inicia el proceso de modificación de la LOPOT, en 2003, se evidencia un claro interés por hacer de esta política un medio para ceder o retirar cuotas de poder político.
En efecto, obviando lo contemplado en la LOPOT vigente y en el Plan Nacional de Ordenación del Territorio de 1998, el Ejecutivo nacional ha puesto la ordenación del territorio al servicio de sus intereses, implementando diversas estrategias. Por ejemplo: 1) desde cada sector de la administración pública se comenzó a hacer ordenación del territorio (Zonas Especiales de Desarrollo Sustentable, Fundos Zamoranos, Núcleos de Desarrollo Endógeno, Demarcación Turística Prioritaria) sin considerar a los estados ni a los municipios; 2) desde la Presidencia de la República se comenzó a planificar y desarrollar proyectos de interés estadal y municipal, sin la participación de estos (entre ellos puentes Orinoquia y Mercosur del río Orinoco); 3) desde las misiones sociales se empezó a disponer, por mandato presidencial, sobre el uso y la ocupación del territorio a diversas escalas (Ciudades Socialistas de la Misión Vivienda, entre otros), y 4) a partir de la instauración del CFG, en 2005, se tomaron decisiones con incidencia territorial bajo un esquema de reducida participación de alcaldes (23 representantes de alcaldes de un total nacional de 335).
Si, aunado a lo anterior, se considera que: 1) desde el 2003 se han redactado cinco proyectos de ley diferentes para sustituir la actual LOPOT sin lograr resultados exitosos (Salas–Bourgoin y Sulbarán 2012), y 2) actualmente la política territorial nacional se muestra centrada en la creación de medios para superponer autoridades de libre designación y remoción a las autoridades directamente elegidas por la población, es posible considerar que, en el presente, su importancia se asocia más a la consolidación de un nuevo reparto territorial del poder, paralela a la constitucional, que a la gestión del territorio propiamente dicha.
En la exposición de motivos del último proyecto de Ley Orgánica para la Ordenación y Gestión del Territorio —en adelante, LOGOT— (aprobado en Primera Discusión en 2008 y sometido a Segunda Discusión en 2013), se señala que la ley plantea “[…] una manera diferente de distribuir espacialmente el poder político, económico, social y militar […]”, (Asamblea Nacional 2013, 4). Sin embargo, las unidades de gestión que incorpora a la estructura territorial constitucionalmente establecida, no aportan nada más allá de lo que la legislación vigente permite en materia de desarrollo territorial a los estados y municipios, y sí favorecen la recentralización del poder.
Las modificaciones con respecto a la LOPOT que el proyecto de LOGOT incorpora son: 1) autoridades de libre designación y remoción por parte del Presidente de la República, a quienes se subordinan gobernadores y alcaldes; 2) creación de nueve tipos de planes de ordenación del territorio sancionados por medio de decreto del Ejecutivo Nacional; 3) supresión de la competencia constitucional otorgada al municipio para ordenar su territorio como un todo, y 4) subordinación del ordenamiento urbanístico al ordenamiento hecho por comunas y consejos comunales. A este respecto, Rojas señala que la ordenación del territorio vista así es autodestructiva,inoperante y contraria a la Constitución (2013).
Si al hecho de que territorialmente los consejos comunales no se encuentran limitados a un estado o a un municipio17 se suma que: 1) son la base de una nueva geometría del poder en donde sus actuaciones serán guiadas por el poder público, bajo el principio de gobernar obedeciendo los mandatos de las organizaciones del Poder Popular (Gaceta Oficial de la República Bolivariana de Venezuela 2010d, art. 24); 2) toman parte en el proceso de control del uso y la ocupación del territorio; y 3) su actuación es básicamente operativa. Entonces es posible considerar que el actual proyecto, en materia territorial, busca más que reducir la autonomía de los gobernadores y alcaldes, más que reducir su supresión, como señala Briceño (2006).
De otra parte, los conflictos socioterritoriales se tornarían particularmente políticos porque: 1) del proceso de transformación se excluye a las organizaciones sociales no adeptas al partido regente;18 2) las instancias del Poder Popular tienden a seguir, incuestionablemente, los lineamientos presidenciales, además de sus propios intereses, y 3) la gestión tiene un marcado carácter inmediatista sin previsión de impactos futuros, porque responde a intereses relacionados con los procesos electorales que periódicamente se celebran en el país.
La segregación territorial de tipo político–partidista es otro problema que puede derivar de la implementación de los nuevos mecanismos para redistribuir el poder, puesto que la entrega de recursos públicos a los estados federales o municipios, así como su prontitud, responde a la militancia política de la autoridad gobernante.
En atención a lo anterior, parece que el interés del Poder Nacional por el territorio radica en su utilidad como instrumento de control político para imponer acciones y voluntades, ya que, según Brewer–Carías, “[…] lo que resultaba necesario era acercar el poder municipal al ciudadano, municipalizándose el territorio […]” (2007, 41). Aún queda mucho por estudiar sobre este tema para dilucidar los efectos que tendrá, en el territorio y su gestión, el nuevo reparto del poder del país.
Conclusiones
La década de 1980 y el principio de la década de 1990 representaron para Venezuela, entre otras cosas, un periodo en el que se reconoció la necesidad de descentralizar, administrativa y financieramente, el gobierno de la nación; de acercar el poder a la ciudadanía, a través de la apertura de espacios para la participación en la gestión de materias de interés público; y de hacer eficiente la actuación del Estado, por medio de un Poder Nacional que se encargase de lo estratégico y delegara en manos de los gobernadores y alcaldes, autónomos y de elección directa, la atención de las necesidades de la población.
Sin lugar a dudas, en ello ejerció una influencia negativa la renta petrolera y su comportamiento, caracterizado por bajos precios internacionales del barril, así como la imposibilidad de los estados federales y los municipios de generar sus propias rentas. Era necesario disminuir la dependencia administrativa de los territorios subnacionales, pero los esfuerzos no dieron los resultados esperados ya que unos y otros continuaron acudiendo al centro para obtener los recursos requeridos para su gestión.
En los últimos lustros, caracterizados por ingresos petroleros nunca antes experimentados en el país, el modelo de gobierno en Venezuela parece ir en contravía, es decir, hacia la recentralización del poder. Una recentralización que se lleva a cabo por medio de instrumentos legales inconstitucionales y que polariza la gestión del desarrollo entre Poder Nacional y comunidades, bajo la premisa de la democracia directa y participativa, al privar de capacidad funcional y financiera a los estados y municipios.
Los arreglos que permiten esta situación se sustentan en cuatro dispositivos: 1) subestimación de los ingresos en el presupuesto nacional, de la que se derivan excedentes de libre disposición por parte del Presidente de la República; 2) traspaso directo de esos recursos a las comunidades, en desmedro de los estados y los municipios; 3) transferencias, fuera del marco legal, de las competencias estadales y municipales a las instancias del Poder Popular; y 4) creación de una estructura territorial paralela a la constitucionalmente establecida, donde las autoridades, que solo obedecen lineamientos presidenciales, no son electas directamente por el pueblo.
En un escenario de subordinación total de la ciudadanía al Estado se instaura el denominado ‘Poder Popular’, cuyas competencias gestoras, contraloras y deliberantes se solapan con los subniveles del Poder Público; además, maneja cuotas de poder político y económico, en algunos casos, mayores que las de los estados y municipios.
Así pues, por medio del Poder Popular se sientan las bases de un tipo de gobierno caracterizado por la exaltación de la figura del Presidente, con puertas abiertas al totalitarismo en sus diferentes expresiones y matices, gracias al poder económico que otorga el control de la renta petrolera. De esta manera, y como bien señala Brewer–Carías, se está asistiendo a un proceso de desmunicipalización del territorio nacional.
Este reacomodo en la distribución territorial del poder tendrá serios impactos. Entre ellos, la posible fragmentación del territorio en microunidades dirigidas, prácticamente, por un autogobierno, que desconocen su funcionamiento como sistema y tienden a la gestión en beneficio propio de mediano plazo. Asimismo, se abre paso a la profundización de la divergencia territorial a escala micro, porque el desarrollo de las unidades territoriales dependerá de la capacidad de las organizaciones comunitarias para apropiarse de parte de la renta petrolera y de establecer vínculos con los entes gubernamentales y empresas estatales como PDVSA.
El uso de la ordenación del territorio como instrumento de control de autoridades constitucionalmente autónomas es, tal vez, el problema de mayor gravedad. Evidentemente el Poder Nacional monopoliza tanto el poder político como el económico en el país y, gracias a esto, promueve los cambios en el territorio más acordes a sus intereses. Ahora bien ¿cuáles son, finalmente, estos intereses? ¿Desconcentrar o concentrar? ¿Controlar o gestionar? Como ha señalado Rojas (2013), los estados y los municipios, en especial estos últimos, deben actuar como contrapeso del poder central y recuperar sus competencias. Traspasar el proceso de toma de decisiones a una sociedad no empoderada, para que participe activamente en el diseño y la ejecución de proyectos sin una evaluación previa de su efectividad, con cuantiosos recursos de respaldo y sin el seguimiento de autoridades como alcaldes o Concejos Municipales, significa sustentar sobre algo incierto un proyecto del cual depende el futuro de la nación venezolana.
Referencias
Agencia Bolivariana de Noticias. 2011. “AN aprueba recursos para los estados, municipios y consejos municipales”. Agencia Bolivariana de Noticias, 15 de marzo. http://www.avn.info. ve/contenido/aprueba–recursos–para–estados–municipiosy–consejos–comunales
Asamblea Nacional. 2013. Proyecto de Ley Orgánica de Ordenación y Gestión del Territorio. Documento para Segunda Discusión, septiembre. https://carloseramos.files.wordpress.com/2014/04/ley–enviada–a–la–plenaria.pdf.
Brewer–Carías, Allan. 2002. “Introducción general al régimen jurídico de la administración pública”. En Ley Orgánica de Administración Pública, editado por Allan Brewer–Carías y Rafael J. Chavero Gazdik, 13–90. Colección Textos Legislativos n.° 24. Caracas: Jurídica Venezolana.
Brewer–Carías, Allan. 2007. El inicio de la desmunicipalización en Venezuela: la organización del poder popular para eliminar la descentralización, la democracia representativa y la participación a nivel local. http://www.allanbrewercarias.com/Content/449725d9–f1cb–474b–8ab2–41efb849fea8/Content/II,%204,%20499.%20LA%20DESMUNICIPALIZACI%C3%93N%20Y%20LOS%20CONSEJOS%20COMUNALES.pdf.
Brewer–Carías, Allan. 2011. “Introducción general al régimen del Poder Popular y del Estado Comunal”. En Leyes orgánicas sobre el Poder Popular y el Estado Comunal, editado por Allan Brewer–Carías, Claudia Nikken, Luis A. Herrera Orellana, Jesús M. Alvarado A., José I. Hernández y Adriana Vigilanza, 11–181. Colección Textos Legislativos n.° 50. Caracas: Editorial Jurídica Venezolana.
Briceño, Manuel. 2006. Desarrollo, ambiente y ordenación del territorio. Base teórico–política para la ordenación del territorio en Venezuela. Caracas: Asamblea Nacional. Comisión Permanente de Ambiente, Recursos Naturales y Ordenación del Territorio.
Consejo Federal de Gobierno. 2011. “Consejo Federal de gobierno entregó recursos para el desarrollo de proyectos en los estados llaneros”. Boletín electrónico n.° 13. https://www.cfg.gob.ve/web_cfg/images/boletines/boletin13.pdf.
Consejo Federal de Gobierno. 2012. “Ejecución financiera de los planes de inversión de las entidades político territoriales y las organizaciones de base del poder popular durante el período 2011”.
D’Elia, Yolanda. 2010. En defensa de la Descentralización en Venezuela. Caracas: Instituto Latinoamericano de Investigaciones Sociales (ILDIS), Unidad, Convitec, Fundación Foro Social Demócrata de Venezuela. http://library.fes.de/pdf–files/bueros/caracas/08800.pdf.
De la Cruz, Rafael. 1992. “La estrategia de la descentralización en Venezuela”. En Descentralización, gobernabilidad, democracia, compilado por Rafael De la Cruz, 17–54. Comisión Presidencial para la Reforma del Estado (COPRE). Programa de las Naciones Unidas para el Desarrollo (PNUD). Caracas: Nueva Sociedad.
El Intersocial. 2011. “Más de 41.000 consejos comunales en la construcción del socialismo venezolano”. El Intersocial, 10 de junio. http://elintersocial.blogspot.com/2011/06/mas–de–41000–consejos–comunales–en–la.html.
El Universal. 2011. “Consejos comunales se organizan contra la exclusión”. El Universal, 27 de marzo. http://www.eluniversal.com/2011/03/27/consejos–comunales–se–organizancontra–la–exclusion.shtml.
Fundación para el Desarrollo de la Comunidad y Fomento Municipal. 1989. Guía interpretativa de la Ley Orgánica de Régimen Municipal. Dirección de Desarrollo Municipal. Caracas: División de Asistencia Legal.
Gaceta Oficial de la República Bolivariana de Venezuela. 1961. “Constitución de la República de Venezuela”. n.° 662, Extraordinario, 23 de enero.
Gaceta Oficial de la República Bolivariana de Venezuela. 1983. “Ley Orgánica para la Ordenación del Territorio”. n.° 3.238 Extraordinario, 11 de agosto.
Gaceta Oficial de la República Bolivariana de Venezuela. 1989a. “Ley de Descentralización. Delimitación y Transferencia de Competencias del Poder Público”. n.° 4.153 Extraordinario, 28 de diciembre.
Gaceta Oficial de la República Bolivariana de Venezuela. 1989b. “Ley Orgánica de Régimen Municipal”. n.° 4.109 Extraordinario, 15 de junio.
Gaceta Oficial de la República Bolivariana de Venezuela. 1996. “Ley de Asignaciones Económicas Especiales”. n.° 36.110, 18 de diciembre.
Gaceta Oficial de la República Bolivariana de Venezuela. 1997. “Ley que crea el Fondo Intergubernamental para la Descentralización”. n.° 5.132 Extraordinario, 3 de enero
Gaceta Oficial de la República Bolivariana de Venezuela. 2000. “Constitución de la República Bolivariana de Venezuela”. n.° 5.453, 24 de marzo.
Gaceta Oficial de la República Bolivariana de Venezuela. 2001. “Decreto con Rango, Valor y Fuerza de Ley Orgánica de la Administración Pública”. n.° 37.305, 17 de octubre.
Gaceta Oficial de la República Bolivariana de Venezuela. 2006. “Ley de Consejos Comunales”. n.° 5.806, 10 de abril.
Gaceta Oficial de la República Bolivariana de Venezuela. 2008. “Decreto con Rango Valor y Fuerza de Ley de Creación del Fondo Social para la Captación y Disposición de los Recursos Excedentarios de los Entes de la Administración Pública Nacional”. n.° 6.128 Extraordinario, 3 de junio.
Gaceta Oficial de la República Bolivariana de Venezuela. 2010a. “Ley de Asignaciones Económicas Especiales”. n.° 5.991 Extraordinario, 29 de julio.
Gaceta Oficial de la República Bolivariana de Venezuela. 2010b. “Ley Orgánica del Poder Público Municipal”. n.° 6.015, Extraordinario, 28 de diciembre.
Gaceta Oficial de la República Bolivariana de Venezuela. 2010c. “Ley Orgánica del Concejo Federal de Gobierno”. n.° 5.963 Extraordinario, 20 de febrero.
Gaceta Oficial de la República Bolivariana de Venezuela. 2010d. “Ley Orgánica de Planificación Pública y Popular”. n.° 6.011 Extraordinario, 21 de diciembre.
Gaceta Oficial de la República Bolivariana de Venezuela. 2011. “Ley Orgánica de Descentralización, Delimitación y Transferencia de Competencias del Poder Público”. n.° 39.819, 13 de diciembre.
Gaceta Oficial de la República Bolivariana de Venezuela. 2013. Gaceta Oficial de la República Bolivariana de Venezuela n.° 41.157, 30 de abril.
Gamardo, Alcides. 2010. Las relaciones Estado–Sociedad Civil en el capitalismo rentístico venezolano. Caracas: ildis. http://library.fes.de/pdf–files/bueros/caracas/08809.pdf.
González, Fortunato. 2009. “La regionalización en Venezuela. Conceptualización de la Región. Impacto político sobre el federalismo y las autonomías provinciales”. Provincia 22:69–85.
Hernández, José. 2011. “Sobre los vicios de inconstitucionalidad de la Ley Orgánica del Poder Popular”. En Leyes orgánicas sobre el Poder Popular y el Estado Comunal, editado por Allan Brewer–Carías, Claudia Nikken, Luis A. Herrera Orellana, Jesús M. Alvarado A., José I. Hernández y Adriana Vigilanza, 509–590. Colección Textos Legislativos, n.° 50. Caracas: Jurídica Venezolana.
Instituto Nacional de Estadística. 2011. Censo de población y vivienda 2011. http://www.ine.gov.ve/index.php?option=com_content&view=category&id=95&Itemid=26.
Jungemman, Beate. 2008. “Organizaciones sociales y anclaje socioterritorial: Escenarios y componentes de la transformación socioterritorial y local en Venezuela”. Cuadernos del Cendes 67:1–34. http://www.scielo.org.ve/pdf/cdc/v25n67/art02.pdf.
Machado M., Jesús E. 2008. Estudio de los consejos comunales en Venezuela. Caracas: Fundación Centro Gumilla. http://gumilla.org/files/documents/Estudio–Consejos–Comunales01.pdf.
Rangel, Christi. 2008. “Desafíos Financieros del Municipio Venezolano y Propuestas para Enfrentarlos”. Revista Provincia 20:89–112.
Rojas, Andrés. 1999. “Ingreso petrolero y redistribución política y espacial del poder y los recursos en Venezuela”. Revista Geográfica Venezolana 40 (2): 297–317.
Rojas, Andrés. 2013. Taller de discusión sobre el Proyecto de Ley Orgánica para la Ordenación y Gestión del Territorio. Mérida: Instituto de Geografía y Conservación de Recursos Naturales.
Salas–Bourgoin, María. 2011. “Lineamientos para la reconstrucción histórica de la política de ordenación del territorio en Venezuela, con fines de observación territorial”. Proyección 11:90–105.
Salas–Bourgoin, María y Elides Sulbarán. 2012. “Modificación de la Ley Orgánica para La Ordenación del Territorio en Venezuela: revisión de un proceso de 10 años sin perspectivas de cristalización”. Revista Provincia 26:33–66.
Notas
Notas de autor