EJE I. SISTEMAS URBANOS Y REDES METROPOLITANAS
Trayectoria, evolución y estructura del sistema de ciudades: el caso de la región del Bío–Bío (Chile)
História, evolução e estrutura do sistema de ciudades: O caso do Bio Bio região (Chile)
History, Evolution and Structure of the System of Cities: The Case of Bio Bio Region (Chile)
Trayectoria, evolución y estructura del sistema de ciudades: el caso de la región del Bío–Bío (Chile)
Cuadernos de Geografía - Revista Colombiana de Geografía, vol. 25, núm. 2, pp. 39-58, 2016
Universidad Nacional de Colombia
Recepción: 30 Septiembre 2014
Aprobación: 08 Julio 2015
Resumen: La interacción espacial es uno de los fundamentos principales para comprender las dinámicas que se desarrollan en el espacio geográfico. Los sistemas de ciudades se comportan bajo esta lógica espacial y las interacciones entre centros urbanos determinan, en gran medida, las relaciones de dependencia y diferenciación que plasman estos en el territorio. En este artículo se analiza el sistema de ciudades de la región del Bío–Bío (Chile), a partir de datos de población, metodología de la teoría de grafos y clasificación ascendente jerárquica. Los resultados expresan la estabilidad jerárquica de los centros poblados, el incremento de las disparidades espaciales y la decadencia de las ciudades pequeñas e intermedias, explicado por procesos histórico–económicos y aspectos funcionales.
Palabras clave: Chile, disparidades espaciales, jerarquía urbana, región del Bío–Bío, sistemas de ciudades.
Resumo: A interação espacial é um dos fundamentos principais para a compreensão das dinâmicas que ocorrem no espaço geográfico. Os sistemas de cidades se comportam sob essa lógica espacial e as interações entre centros urbanos determinam, em grande medida, as relações de dependência e diferenciação que estes refletem no território. Este artigo analisa o sistema de cidades da região do Bío–Bío (Chile), a partir de dados populacionais, da metodologia da teoria dos grafos e da classificação hierárquica ascendente. Os resultados mostram a estabilidade hierárquica das cidades, o aumento das disparidades espaciais e o declínio das pequenas e médias cidades, explicado por processos históricos e econômicos e aspectos funcionais.
Palavras-chave: Chile, disparidades espaciais, hierarquia urbana, região do BíoBío, sistemas de cidades.
Abstract: Spatial interaction is one of the foundations for understanding the dynamics occurring in the geographic space. City systems behave under this spatial logic and the interactions between urban centers largely determine the dependency and differentiation relationships in the territory. Using population data and a combination of the methodology of graph theory and ascending hierarchical classification, this article analyzes the system of cities in the Bío–Bío Region of Chile. The results express the hierarchical stability of populated centers, the increase in spatial disparities and the decline of small and intermediate cities, explained by historical–economic processes and functional aspects.
Keywords: Chile, spatial disparities, urban hierarchy, Bío–Bío region, systems of cities.
TIPO DE ARTÍCULO: Artículo de investigación donde se busca comprender y analizar la estructura del sistema de ciudades de la región del Bío–Bío en Chile.
CÓMO CITAR ESTE ARTÍCULO: Maturana Miranda, Francisco, Andrés Rojas Böttner, y David Poblete López. 2016. “Trayectoria, evolución y estructura del sistema de ciudades: el caso de la región del Bío–Bío (Chile).” Cuadernos de Geografía: Revista Colombiana de Geografía 25 (2): 39–58. doi: 10.15446/rcdg.v25n2.45787.
Introducción: El sistema de ciudades circunscrito en el espacio regional
Las ciudades, en su evolución histórica, han reconfigurado su rol en el espacio geográfico, especialmente en el marco de la globalización y los nuevos desafíos a los que se ven enfrentadas (Hall y Pain 2006; Veltz 1996). A raíz de ello, ha proliferado el interés por estudiar la evolución, la jerarquía y el comportamiento de los centros urbanos, especialmente, desde una perspectiva sistémica. A partir de una mirada global y no como una entidad aislada, se ha buscado dar cuenta de una serie de elementos determinantes para el posicionamiento en la jerarquía urbana y las relaciones funcionales que estos centros urbanos establecen (Batty 2006; Bettencourt, Lobo y West 2009; Bretagnolle y Pumain 2010; Lane 2006; Pred 1977).
El posicionamiento de una ciudad, entendido como su rol funcional y jerarquía en el sistema urbano, está vinculado a procesos económicos, culturales y políticos, tanto a escala local como global (Pflieger y Rozenblat 2010). Considerando que los espacios urbanos y sus áreas de influencia están cada vez más conectados (Castells 2010), la interacción espacial vinculada a procesos globalizadores podría desarrollarse con mayor potencia, produciéndose relaciones jerárquicas, complementarias, sinérgicas o, en ocasiones, enfrentadas a una fuerte competencia (Camagni 2005; Cattan et ál. 1994; Damette 1994).
El sistema de ciudades puede ser definido, según Pred (1977), como un conjunto nacional o regional de ciudades interdependientes, de tal forma que un cambio significativo en la estructura económica, profesional o demográfica de una ciudad puede alterar las estructuras de los otros centros urbanos del sistema. Los sistemas de ciudades tendrían la capacidad de ser estables en el tiempo frente a variaciones externas y poseerían una gran capacidad para restaurarse (Saint–Julien 1985). Lo anterior es producto, por ejemplo, del proceso de difusión espacial de innovaciones, en el cual la captación de estas últimas, por parte de los centros de mayor jerarquía, tiende a reforzar la estructura urbana resultante. En efecto, Hägerstrand (1967) demostró la existencia de regularidades temporales y espaciales en el proceso de propagación de la difusión.
Esta evolución de los centros urbanos y la teoría asociada han ido construyendo una “teoría geográfica de las ciudades”, como bien interpreta Pumain (2006, 2011), la cual busca dar una explicación desde un punto de vista geográfico a las diferencias en tamaño, en talla —entendida como la cantidad de población—, en influencia y perfil socioeconómico de los centros urbanos. Lo anterior posibilita prever una cierta ‘evolución’ del conjunto de ciudades, aspectos fundamentales para el diseño de políticas territoriales acordes a los procesos que se desenvuelven en el territorio.
Desde la teoría, las personas, a partir de sus acciones cotidianas, van determinando la estructura que toman los centros urbanos, influyendo a su vez en las decisiones de agentes institucionales. Por ejemplo, la decisión de instalar una sucursal por parte de un banco se encuentra supeditada —principalmente— al volumen de población en un determinado lugar, lo cual genera, al concretarse, un impacto en cuanto a la movilidad de las personas en ese espacio y en sus zonas aledañas. Esto da cuenta de la interacción de diferentes escalas (Pumain 2011).
La globalización, entendida como un proceso de restructuración productiva y territorial donde las empresas multinacionales juegan un rol determinante, parece reforzar y amplificar las relaciones sistémicas entre los centros urbanos. Lo anterior es facilitado por las nuevas tecnologías y organizaciones de carácter internacional y trasnacional (Rozenblat 2008).
En Chile, la aproximación al estudio de los sistemas de ciudades ha sido medianamente desarrollada. Es posible destacar el estudio de Rodríguez et ál. (2009), donde se lleva a cabo un completo análisis de la evolución del sistema urbano en el centro del país, enfocándose en la evolución jerárquica y distribución de la población. El estudio concluye que, pese a la relevancia presentada por las ciudades intermedias en el sistema urbano chileno, la capital, Santiago, sigue siendo el nodo principal captador de las migraciones. Los estudios de Maturana y Cornejo (2010) y Maturana, Vial y Poblete (2012) analizan la interacción y grados de dependencia que presentan los centros urbanos en el sur de Chile.Desde otra perspectiva, en Chile existen instrumentos territoriales que abordan conjuntos de centros urbanos. En primer lugar, el Plan Regional de Desarrollo Urbano —en adelante, PRDU— es el encargado de fijar “los roles de los centros urbanos, sus áreas de influencia recíproca, relaciones gravitacionales, metas de crecimiento, etc.” (Ministerio de Vivienda y Urbanismo s.f., art. 31). Sin embargo, su elaboración ha carecido de criterios metodológicos compartidos que garanticen un mejor diagnóstico, dificultando la elaboración de políticas públicas pertinentes.En segundo lugar, es posible considerar el componente urbano de los nuevos Planes Regionales de Ordenamiento Territorial —en adelante, PROT—, los cuales, a diferencia del instrumento anterior, cuentan con una guía metodológica para su elaboración. Por desgracia, estos todavía no han sido aprobados por ley y, actualmente, constituyen un material meramente referencial. Por otra parte, algunas contribuciones han sido las del Instituto Geográfico Militar de Chile —en adelante, IGM— en una serie de libros desarrollados entre 1980 y 1990, donde analizan la evolución de diferentes centros urbanos en las regiones de Chile1.
El sistema de ciudades en Chile ha estado marcado por una temprana macrocefalia, especialmente acentuada a partir de la década de los cuarenta por el proceso de industrialización y expansión del Estado central. En la actualidad, la capital del país ha polarizado el espacio nacional, en torno al 40% de la población total, ejerciendo una posición marcadamente dominante en el sistema urbano de ese país (Rojas, Maturana y Morales 2015). Esta dinámica de concentración también ha sido observada a escala regional, donde la capital regional ha tendido a polarizar sus espacios, concentrando las actividades financieras y productivas del territorio. Esto va en desmedro de las ciudades pequeñas, las cuales, en la práctica, tienen un rol menor con baja oferta de bienes y servicios.
Sin embargo, no existe claridad respecto a las interacciones que ocurren dentro de estos espacios. Considerando que la región del Bío–Bío es la segunda con mayor población del país y que en ella se encuentra Concepción, la segunda mayor ciudad y uno de los principales polos industriales del país, este artículo busca profundizar en los procesos que ocurren en el interior del espacio regional, clarificando el rol ejercido por la cabecera regional, su capacidad de polarizar el espacio y la estructura, así como el grado de integración de dicho subsistema en los centros poblados.
Así, este trabajo se propone analizar el sistema de ciudades de la región del Bio–Bío, Chile, territorio localizado aproximadamente a 400 km al sur de la capital de Santiago (figura 1).
A lo largo de este trabajo, se analizó la evolución y jerarquía en los centros urbanos, desde el punto de vista de su población, relacionando los principales procesos históricos que le incumbiesen y caracterizando sus actuales procesos de interacción espacial, a partir de elementos de la teoría de grafos en cuanto a: dispersión, concentración, homogenización y diferenciación. Se presenta un análisis de las características funcionales que estos centros generan en el espacio, para, finalmente, referirse a la pertinencia de los instrumentos de la planificación territorial vinculados al área de estudio.
Como hipótesis se plantea que la jerarquía de los centros urbanos ha permanecido estable en el tiempo y que, además, existe un fuerte desarrollo monocéntrico en el espacio regional, agudizado con una alta dependencia hacia la capital regional. Lo anterior se trabajó a partir de bases censales comparativas otorgadas por el Instituto Nacional de Estadísticas de Chile —en adelante, INE—.
Metodología
Para llevar a cabo esta investigación, se procedió, como primer punto, a delimitar las ciudades en estudio. Según el INE (2005), una ciudad es “una entidad urbana de más de 5.000 habitantes”2, definición que se adopta por la importancia de los datos entregados por el INE. A partir de ese criterio, se seleccionaron veintisiete ciudades representadas en la figura 1 . No se consideró agregar otras entidades menores debido a su bajo impacto en la compresión de los fenómenos y metodologías planteados (Camagni 2005). Además, para la ciudad de Concepción, se utilizó la definición y agrupación propuesta por el INE(2005)3, al igual que para los casos de Cabrero–Monte Águila, Laja–San Rosendo y Chillán–Chillán Viejo.
El siguiente paso fue establecer el contexto histórico de la formación del sistema de ciudades de la región del Bío–Bío, tomando en cuenta su génesis y los principales procesos económicos. Como tercer punto, se procedió a caracterizar la evolución en cantidad de población del conjunto de ciudades en la región del Bío–Bío, considerando el periodo 1907–20024. A partir de ello, se elaboraron curvas de la ley rango–tamaño y una figura que muestra la evolución jerárquica de los centros poblados.
Posteriormente, se procedió a caracterizar el comportamiento actual del sistema de ciudades. Para tal efecto, se analizaron los grados de asociatividad y dependencia de los centros urbanos a partir de metodologías de la teoría de grafos, esto último utilizando flujos de movilidad por motivos de trabajo o estudio entre ciudades. Los datos fueron obtenidos de INE (2002) y extraídos con el programa gratuito Redatam (Recuperación de datos para áreas pequeñas por microcomputador) de la Comisión Económica para América Latina y el Caribe (CEPAL), (ver matrices en anexo 1 y 2). Estos flujos permiten establecer un análisis del sistema urbano de manera coherente y comprender su estructura. Son fuentes confiables, ya que han sido utilizadas en diversos análisis (Green 2007; Hall, Pain y Green 2006; Hornis y Van Eck 2008), y muestran resultados coherentes en estudios realizados por Maturana y Cornejo (2010) y Maturana, Vial y Poblete (2012).
Con los flujos obtenidos, se procedió a realizar un análisis de equivalencia estructural que permite observar la similitud de los flujos de las ciudades, es decir, comprender qué ciudades se están comportando de manera similar en la matriz (De Nooy, Mrvar y Batagelj 2005; Maturana y Cornejo 2010; Maturana, Vial y Poblete 2012; Wasserman y Faust 1994). Los resultados fueron expresados en un dendograma (De Nooy, Mrvar y Batagelj 2005; Wasserman y Faust 1994, 366) y realizados con el programa gratuito para usos no comerciales Pajek. El método utilizado fue el índice Manhantan, propuesto por Mrvar y Batagelj (2013, 47), que considera tanto las conexiones entre nodos —ciudades—, como las magnitudes de los flujos. El anterior análisis fue complementado con las entradas y salidas de flujos de movilidad cotidiana y la atractividad migratoria desarrollada por los centros urbanos en el periodo 1997–2002. Este flujo también fue extraído de la base censal del 2002, mediante el software Redatam. El proceso se completó con el cálculo del índice de Davies, el cual permite observar una centralidad obtenida a partir del número de determinados tipos de establecimientos. En este caso se consideró analizar la presencia del número de bancos, empresas de seguros, cines, farmacias y supermercados en los centros urbanos5.
A continuación, se analizaron funcionalmente las ciudades a partir del método Clasificación Ascendente Jerárquica, mediante el software gratuito Philcarto, estableciendo una tipología de las especializaciones de los centros urbanos (Batardy et ál. 2008; Le Néchet 2011). Los datos para esta categorización funcional fueron extraídos con el programa gratuito Redatam de la base censal 2002. Se extrajo la variable giro6 y se agruparon variables según el trabajo realizado por Escolano Utrilla, Ortiz Véliz y Moreno Mora (2007), lo que permitió un mejor tratamiento de la información, al considerar categorías con las variables agrupadas. El análisis recién descrito se complementó mediante el cálculo de la desviación estándar relativa de las categorías presentes en la variable giro para cada ciudad, de forma que se obtuvo un valor de dispersión referente a la vocación funcional de cada centro urbano y, así, se comprendió el grado de especialización económico–productiva.
Resultados
Formación histórica de un sistema monocéntrico
El sistema de ciudades de la región del Bío–Bío ha estado caracterizado por su posición de frontera histórica y su exposición a reiterados desastres naturales, como los terremotos de 1570, 1657, 1730, 1751, 1835, 1868, 1939, 1960 y 2010, varios de estos acompañados de tsunamis. Esta constante necesidad de reconstrucción ha tenido varias consecuencias desde el punto de vista económico, político y social. Sin embargo, como se abordará, el sistema de ciudades de la región ha mostrado una capacidad de recomposición y de continuidad en la posición jerárquica de los centros urbanos. Su condición de frontera se transforma a partir de la llamada ‘Pacificación de La Araucanía’, avance militar del Estado chileno sobre los territorios mapuches, de la cual derivan algunas fundaciones menores, que la estabilizan como sistema urbano regional.
Desde el punto de vista económico, debe destacarse la importancia del ciclo triguero abierto a mediados del siglo XIX, jalonado por el incremento de la demanda externa, principalmente, de los países de Australia, del Estado de California y, posteriormente, de Inglaterra. Este hecho posibilitó un dinamismo considerable por un par de décadas. Además, dicho proceso permitió un eslabonamiento productivo con el florecimiento de una incipiente industria harinera de gran importancia a nivel nacional, que se sumó al desarrollo textil previo (Campos 1979; Pacheco 1997). Se debe considerar, además, el dinamismo derivado de la explotación carbonífera7, especialmente relevante en los territorios cercanos a la costa de la región (Sandoval 2011) y el rol neurálgico adquirido por el puerto de Talcahuano hasta la apertura del Canal de Panamá en 1914.
Posteriormente, tras un periodo de cierto estancamiento en la década de los treinta, derivado de la gran crisis mundial, la definición del eje Concepción–Talcahuano como un polo de desarrollo industrial y zona prioritaria para la inversión estatal en el marco del modelo de Industrialización por Sustitución de Importaciones —en adelante, ISI—, la convirtió en el segundo conglomerado industrial del país, dotando a la región de un importante núcleo de bienes y servicios. Sin embargo, el proceso de desindustrialización que ha vivido el país en las últimas décadas —especialmente en el sector textil, calzado e industrias metálicas básicas— ha significado, entre otros factores, un menoscabo en el dinamismo de la región y sus ciudades (Bravo, Maino y Marshall 2011). A su vez, la región ha sufrido un intenso proceso de reconversión productiva desde la actividad agrícola a la forestal, en especial bajo el influjo del decreto–ley 701 de 1974, en el cual se estableció un fuerte subsidio a la plantación forestal; visto en el largo plazo, este proceso ha tenido incidencias importantes en el mercado de trabajo regional, debido a los menores requerimientos de mano de obra (Aguayo 2009).
La estabilización del sistema parece haber marcado la jerarquía de las ciudades en términos demográficos hasta la actualidad. Así, Concepción y Chillán, ambas de antigua fundación (siglo XVI), pese a ser destruidas y reconstruidas de manera constante, se ubican en lo alto de la jerarquía actual. En efecto, el rol que ha cumplido Concepción desde su fundación parece haber incentivado la instalación de servicios públicos y privados, que le han permitido mantenerse como un centro de relevancia en el sur de Chile.
Si se observa la figura 1, que muestra la evolución del sistema de ciudades de la región del Bío–Bío en cuatro periodos (1907, 1930, 1970 y 2002), es posible concluir que la composición jerárquica de los centros urbanos ha permanecido estable, pese a los diversos procesos y transformaciones que afectaron a Chile durante el siglo XX. En efecto, al expresar la cantidad de población en círculos proporcionales para cada periodo, los resultados de su estabilidad son elocuentes. Al analizar las figuras 1 y 2, se aprecia que las ciudades de mayor y menor jerarquía han permanecido relativamente estables durante los últimos 100 años. Algunos ejemplos son: Concepción, Chillán, los Ángeles, Coronel, Lota, Coihueco, Santa Juana, Santa Bárbara y Huépil. Por otro lado, algunos centros intermediarios han variado su jerarquía a lo largo de los años, aunque no alteraron de manera significativa su rol en la composición del sistema. Se trata de centros que al 2002 presentaban aproximadamente una población entre 10.000 y 40.000 habitantes.

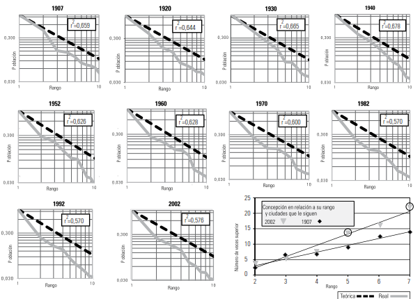
Otro modo relevante de observar la evolución jerárquica y el grado de disparidad entre los centros urbanos del sistema, es por medio de la ley rango–tamaño. En la figura 3 se presentan los resultados obtenidos en los diferentes censos realizados desde 1907 al 2002, donde es posible apreciar tres aspectos característicos de su evolución: el primer aspecto se refiere al periodo 1920–1940, siendo la menor disparidad espacial que existe en el sistema urbano. En efecto, si se observa la curva de 1907, se aprecia una fuerte disparidad entre la segunda y tercera ciudad, fenómeno que se va gradualmente atenuando durante los siguientes años (ver las curvas para los años 1920 y 1930) hasta llegar a 1940, donde se puede apreciar un sistema urbano más equilibrado, en el que no existe una macrocefalia que produzca fuertes disparidades y la curva real se ajusta bastante a la teórica construida. Este proceso se explica, en parte, por un crecimiento demográfico homogéneo en los diversos centros urbanos, donde las actuales capitales provinciales y Concepción no presentaron tasas importantes de crecimiento, más bien se localizaban en el promedio.

El segundo aspecto, a partir de mediados de siglo, se caracteriza por la migración campo–ciudad y el fomento a la industrialización descrito anteriormente (Boisier 2000). La tendencia cambiaría abruptamente, comenzando a gestarse el dominio de Concepción y su reforzamiento como nodo principal, generándose, a su vez, la macrocefalia que actualmente posee el sistema, cuya cúspide es posible apreciar en la curva del 2002 (últimos datos disponibles). Finalmente, es posible apreciar una tercera característica que también se desarrolla a partir de la década de los cincuenta. Esta corresponde al desarrollo de dos nodos concentradores de población (Los Ángeles y Chillán) que se distanciaron de la cuarta ciudad (Coronel, afectada por la crisis del carbón) y el resto de los centros urbanos, polarizando el espacio de manera creciente a lo largo de los años. Sin embargo, pese a lo anterior, en las últimas décadas —producto de su proximidad a Concepción y cierto potencial industrial—, Coronel ha desarrollado un fuerte dinamismo inmobiliario y comercial que se podrá dimensionar en la medida que se cuente con nuevos datos censales. No obstante, se puede precisar mucho a partir de la superficie autorizada para la construcción en esa ciudad. En el 2011, Coronel registró la mayor superficie total autorizada de edificación de la región (463.875 m2), lo cual significó un incremento de 330,3% respecto al 2010 (INE 2011). Aunque al siguiente año se produjo una disminución significativa de la superficie total autorizada para edificación (230.102 m2), solo fue superada por Concepción (INE 2012), lo que corrobora su gran dinamismo.
De manera complementaria, en la figura 3 se aprecia el comportamiento de Concepción en su trayectoria constitutiva de una macrocefalia. La figura expone cómo, en 1907, Concepción era 2,2 veces superior en población a la ciudad que le seguía en la jerarquía, 6,5 a la tercera, 7,1 a la cuarta, 9 veces superior a la quinta, 12, 3 veces a la sexta y 13,8 de la séptima. La situación, al 2002, aparece bastante acentuada al observar que Concepción era 4,0 veces superior en población a la segunda ciudad que le precedía y 22 veces de la séptima.
Es posible concluir, entonces, la notable estabilidad del sistema, en términos de jerarquía, a la vez que la agudización de las disparidades territoriales, al menos en términos de población, lo que se traduciría en diferencias en el acceso a servicios y otros. Esto último queda corroborado por el índice de Davies, el cual expresa que Concepción presenta un valor de 2,54, seguido de Chillán con 0,89 y Los Ángeles con 0,64. Posteriormente, el valor para el resto de las ciudades disminuye considerablemente; por ejemplo, Lota con 0,17 y Coronel con 0,14.
Los valores obtenidos dan cuenta que, para los servicios medianamente especializados (tales como seguros o servicios recreativos), es necesario trasladarse —en el mejor de los casos— a las capitales provinciales o bien directamente a la capital regional. Al realizar una correlación de Pearson entre la jerarquía obtenida por el índice de Davies al 2014 y la población del último periodo censal disponible (2002), es posible obtener una correlación de 0,89, lo que demuestra una fuerte correlación —esperable— entre la cantidad de población y los servicios disponibles.
En términos de interacción espacial entre los centros urbanos, se corrobora que esta se desarrolla principalmente por proximidad geográfica, cumpliéndose la regla que la interacción disminuye a medida que la distancia aumenta. En la figura 4 se representa el análisis de equivalencia estructural y dendograma construido, el cual —como ya se señaló— agrupa a ciudades que realizan un patrón de interacción similar. Una característica común para todas las ciudades es que las relaciones se desarrollan principalmente en una distancia inferior a los 60 km y bajo la limitante de una red de transporte poco eficiente, pues no existen trenes interurbanos u otros. Las interacciones entre los centros urbanos están expresadas en siete grupos.

La anterior figura permite identificar 4 tipos de interacciones al interior de la región del Bío–Bío. El primero, es el vinculado a grupos de ciudades cuya dinámica se desenvuelve en conexión con su capital provincial, principalmente por su proximidad, como por ejemplo los grupos MO4 y MO3, compuestos por ciudades que gravitan en torno a Chillán y Los Ángeles respectivamente. Un segundo tipo, es aquel conjunto más bien desconectado de una cabecera provincial o regional, como es el caso de MO2. Un tercer tipo, se compone de centros urbanos vinculados directamente a la capital regional, tanto por las conexiones como por las magnitudes de estas (grupo MO6). Al interior de estas, cabe destacar el triángulo de polarización que desarrollan las capitales regionales de Chillán, Los Ángeles y Concepción, esta última también cabecera regional. Finalmente, un cuarto tipo hace referencia a ciudades que interactúan de manera más bien cerrada en su entorno provincial. Esto se observa en las ciudades que componen el grupo MO5, todas las anteriores asociadas a la provincia de Arauco. Esto demuestra que existe un bajo grado de integración de esta última con el resto de la región.
Lo anteriormente expuesto puede resumirse en las figuras 5 y 6, que expresan las magnitudes de entradas y salidas por movilidad cotidiana de las ciudades, dejando en evidencia la existencia de centros expulsores de población y otros dominantes en el sistema. Estas figuras muestran dos fenómenos de interacción espacial a nivel regional: el primero es el desarrollado en la zona costera en torno a Concepción y, el segundo, la polarización del espacio ejercido por dos capitales provinciales (Chillán y Los Ángeles). Además, resulta interesante notar el rol gravitante de la ciudad de Cabrero que, pese a su tamaño (25.282 según el censo 2002), parece tener un rol estratégico por su ubicación central y en torno a la principal carretera del país (ruta 5).

* Coelemu y Quirihueno no presentan un perfil claro ni magnitudes significativas.
Datos: INE 2002.

Finalmente, al analizar las migraciones del periodo 1997–2002, es posible apreciar siete centros poblados que mostraron atractividad positiva (figura 7). Los más elevados fueron los centros de Hualqui y Coronel, ambos cercanos y, prácticamente, asociados desde su funcionalidad a Concepción. Se destacan además la fuerte atractividad de Chillán —vinculada a la ya mencionada polarización de su espacio— y Los Álamos —con una cantidad cercana a 14.000 habitantes—, asociada a la actividad forestal. Por último, deben mencionarse los centros poblados de Concepción, Los Ángeles y Cabrero. Este último también se encuentra relacionado con la fuerte presencia silvo–industrial y los servicios asociados al turismo (Saltos del Laja).

Desde un punto de vista funcional, resulta relevante determinar el grado de especialización de las ciudades, profundizando en el análisis de dependencia y caracterización del sistema. Para tal efecto, se aplicó la ‘Clasificación Ascendente Jerárquica’, la cual arrojó 4 tipologías de ciudades (figura 8).

Como se aprecia en la figura 8, la primera clase agrupa a quince ciudades, entre las que destacan los tres centros de mayor jerarquía y población de la región, más un conjunto de centros urbanos localizados en torno a ellos. Las variables mayormente representadas son: agricultura, silvicultura y las variables asociadas a los servicios (G, H, I, J, M, N, O y P) (ver detalle en anexo 2), es decir, presentan una estructura poco especializada. Una segunda clase, agrupa a cuatro centros urbanos localizados al sur–oeste de la región, pertenecientes a la provincia de Arauco, estos son: Arauco, Lebu, Curanilahue y Los Álamos, con una fuerte especialidad funcional en la variable C (actividad forestal y celulosa). Según el último censo agropecuario (2007), el 63% de dicha provincia corresponde a plantaciones forestales. Cabe destacar que corresponde a una de las zonas de mayor rezago de la región. En una tercera clase, se observa un grupo de ocho centros urbanos localizados en diferentes partes de la región, cuya variable industrial está fuertemente representada, como en el caso de Coronel. Finalmente, existe una cuarta categoría en que se encuentra presente un solo centro (Santa Bárbara), que presenta una especialización en servicios menores, probablemente por su dependencia frente a Los Ángeles.
De manera complementaria, se observó la dispersión funcional de los centros urbanos en términos de empleo de mano de obra. En la figura 9, se aprecian las ciudades que poseen una fuerte concentración funcional, es decir, que aglutinan parte importante de su población activa en una rama de la economía. Destacan los centros de Cabrero y Yungay (industria y fabricación) y Coihueco (agricultura y silvicultura). En menor medida, se encuentran el centro de Bulnes (servicios), Lota (industria y fabricación) y Mulchén (agricultura y silvicultura). El resto de los centros presenta una repartición homogénea en las diferentes actividades, con una importancia relativa mayor de la rama servicios.

Los resultados arrojan que las ciudades de mayor tamaño (Concepción, Los Ángeles y Chillán) están poco especializadas. Se trata de una característica compartida con otras grandes urbes en el mundo, en las que los servicios tienden a ocupar el rol principal. Esto queda de manifiesto en la figura 8 y la tabla detallada de la variable giro (ver anexo 2). Cabe señalar que, para el caso de Concepción, la distribución de la población en actividades económicas sería relativamente menos homogénea que los otros dos casos recién señalados, debido a su fuerte influencia industrial.
Además, fue posible distinguir tres tipos de relaciones funcionales entre centros urbanos, en línea con lo propuesto por Maturana, Vial y Poblete (2012). Un primer tipo que es posible denominar ‘fuerte dominación’, en el cual un centro urbano de gran talla domina a otro menor: en él, los flujos se dirigen desde este último hacia el centro mayor. Se encontraron ejemplos como Concepción–Lota, Concepción–Yumbel, Chillán–San Carlos, entre otros. También este tipo de fuerte dominación puede darse entre distancias mayores, como ocurre entre Concepción–Arauco o incluso Concepción–Lebu.
Un segundo tipo llamado ‘mediana dominación’, consiste en dos centros urbanos de tallas relativamente similares, donde uno de ellos ejerce una dominancia sobre el otro, determinada por su proximidad geográfica o, incluso, por una actividad funcional, como por ejemplo los casos de Curanilahue–Arauco y Curanilahue–Los Álamos. El tercer y último tipo de relación es la ‘relación de equivalencia’, donde se encuentran dos centros urbanos —pudiendo ser de tallas diferentes, próximas o no geográficamente—, de magnitud de flujos similares y posiblemente ambos son dominados por un tercer nodo de mayor jerarquía, como, por ejemplo, Coelemu y Quillón, ambos conectados, pero dependientes de Concepción.
Finalmente, resulta relevante observar el rol que cumplen los diversos Instrumentos de Planificación Territorial —en adelante, IPT— en relación con la comprensión del sistema de ciudades y las funciones que se le asignan a los centros que lo componen. En el área de estudio es posible encontrar dos instrumentos, la Estrategia Regional de Desarrollo —en adelante, ERD— y el PRDU. La ERD vigente fue elaborada para el periodo 2008–2015 y no plantea programas u otros asociados a elementos en cuanto al equilibrio espacial o dependencia que se generan entre centros urbanos. En cuanto al PRDU, este fue elaborado bajo los lineamientos de la anterior ERD realizada para el periodo 2000–2006. Su actualización no se consideró relevante, ya que se esperaba contar con la componente urbana del PROT. El Gobierno Regional del Bío–Bío —a cargo de su elaboración— presentó una exposición a fines del 2013 con resultados parciales, aunque no fue liberado.8
Bajo este contexto, ninguno de los IPT analizados estaría asumiendo las problemáticas de dependencia y macrocefalia descritas, ni han podido dar respuesta a las complejidades espaciales que presenta el sistema. Por ejemplo, no se observa una definición del rol que pequeñas y medianas ciudades podrían desarrollar, teniendo en cuenta los niveles de rezago y los elevados grados de dependencia hacia la capital regional y, en menor medida, de las provinciales.
Sumado a lo anterior, no queda claro en el prdu el rol que podrían cumplir Chillán y Los Ángeles para equilibrar el espacio regional, ni tampoco una estrategia basada en la prospectiva. Además, con respecto al análisis de los asentamientos urbanos, se remite a clasificarlos según centralidades determinadas en forma arbitraria, sin un sustento teórico o un elemento discriminador objetivo.
Conclusiones
El sistema de ciudades de la región del Bío–Bío responde, en buena parte, a las teorías planteadas por Pumain (2011), relacionadas con la estabilidad jerárquica que presentan las ciudades en el sistema, sumado a un reforzamiento a la macrocefalia existente. Esta concentración, encabezada por la ciudad de Concepción, no ha podido ser atenuada por los centros de Chillán y Los Ángeles, a pesar de la importancia que cada una desarrolla en su respectivo hinterland . Las ciudades medias y pequeñas, por su parte, presentan una decadencia notoria y con fuertes grados de dependencia, quedando rezagadas en la jerarquía urbana, salvo excepciones puntuales.
En términos funcionales, se observó que los centros urbanos de gran talla no son los más especializados, característica observada en otras ciudades en el mundo. No obstante lo anterior, resulta necesario profundizar en los procesos funcionales específicos que se desarrollan al interior de los centros de Concepción, Chillán y Los Ángeles, de manera que permitan observar si sus actividades están vinculadas con la generación de conocimiento, innovación u otras, o si, más bien, se trata de centros asociados a actividades de servicios corrientes que buscan satisfacer demandas básicas de la población de la región, pero con un impacto menor en la generación de valor e innovación.
Finalmente, los elementos acá analizados implican importantes desafíos en términos de planificación urbana, lo cual llama a una revisión de los IPT, sus metodologías de aplicación y alcances. De este modo, su finalidad debería estar asociada al diseño de políticas públicas territoriales, orientadas a potenciar centros de menor tamaño y clarificar el rol que estos pueden cumplir en el sistema de la región, de modo tal que puedan generar dinamismo y atracción para la población, mejorando su calidad de vida y atenuando la tendencia a la concentración en la región. Lo anterior, debería estar complementado con el diseño de políticas públicas que focalicen la inversión en términos de infraestructura y diversidad de servicios dirigidos a fomentar tanto la atracción hacia estos centros, como la permanencia de sus habitantes en ellos, especialmente en el área suroccidental de la región, donde el predominio de la actividad forestal y su bajo requerimiento de mano de obra han rezagado su desempeño económico.
Anexo 1: Matrices de movilidad y migraciones
Las matrices fueron elaboradas según supuestos presentados en Maturana y Arenas 2012; Maturana y Cornejo 2010; Maturana, Vial y Poblete 2012.
1 Arauco
4 Cañete
7 Coihueco
10 Curanilahue
13 Laja-San Rosendo
16 Los Ángeles
19 Nacimiento
22 San Bárbara
25 Tomé
2 Bulnes
5 Chillán-Chillan viejo
8 Gran Concepción
11 Hualqui
14 Lebu
17 Lota
20 Quilló
23 San Carlos
26 Yumbel
3 Cabrero-Monte Águila
6 Coelemu
9 Coronel
12 Huépil
15 Los Álamos
18 Mulchén
21 Quirihuen
24 Santa Juana
27 Yungay


Anexo 2: Variable giro utilizada y datos brutos
En este apartado se presenta un resumen de las variables utilizadas. Para observar el detalle de los 60 giros, es posible obtenerlos mediante el software Redatam o solicitarlas al INE de Chile o a los autores del presente artículo.
Agricultura, casa y silvicultura
Pesca
Minerales y extracción canteras
Industrias de la fabricación
Electricidad, gas y agua
Construcción
Comercio al por mayor y menor, de bienes personales y domésticos, así como reparación de vehículos y motocicletas
Hoteles y restaurantes (turismo)
Transporte, correos y agencias de viaje
Intermediación financiera
Actividades inmobiliarias, arriendo y servicios a empresas
Administración pública y defensa, régimen de seguridad social obligatoria
Enseñanza, investigación y desarrollo
Salud y servicios sociales
Otras actividades de servicios, servicios comunitarios, sociales, personales y organizaciones
Hogares privados con servicio doméstico

Referencias
Aguayo, Octavio. 2009. “Impactos socioeconómicos del desarrollo forestal en la comuna de Purén, 1975–2007.” Tesis de Licenciatura en Historia, Universidad de Chile, Santiago.
Badia, Marc. 2008. “La localización de la actividad económica en Chile, 1890–1973: su impacto de largo plazo.” Tesis de Doctorado en Historia Económica, Universidad de Barcelona, Barcelona.
Batardy, Christophe, Olivier Buchsenschutz, Katherine Gruel, y Marc Levéry. 2008. “Analyse spatiale et statistique de l’âge du Fer en France. L’exemple de la BaseFer.” Revue Archéologique du Centre de la France, 47:1–27. http://racf.revues.org/1159.
Batty, Michael. 2006. “Hierarchy in Cities and City Systems.” En Hierarchy in Natural and Social Sciences, editado por Denise Pumain, 143–168. Holanda: Springer.
Bettencourt, Luís, José Lobo, y Geoffrey West. 2009. “The SelfSimilarity of Human Social Organization and Dynamics in Cities.” En Complexity Perspectives in Innovation and Social Changes, editado por David Lane, Sander van derr Leeuw, Denise Pumain y Geoffrey West, 221–236. Holanda: Springer.
Boisier, Sergio. 2000. “Chile: la vocación regionalista del gobierno militar.” EURE: Revista Latinoamericana de Estudios Urbano–Regionales 26 (77): 81–107. doi: 10.4067/S0250–71612000007700004.
Bravo, Luis, María Luisa Maino, y Jorge Marshall. 2011. “Los desafios para el crecimiento del Bío–Bío.” Conferencia presentada en el Encuentro Regional de la Empresa (EREDE) 2011, Concepción, Chile, 2 de agosto.
Bretagnolle, Anne, y Denise Pumain. 2010. “Simulating Urban Networks Through Multiscalar Space–Time Dynamics: Europe and the United States, 17th–20th Centuries." Urban Studies 47 (13): 2819–2839. doi:10.1177/0042098010377366.
Castells, Manuel. 2010. “Globalisation, Networking, Urbanisation: Reflections on the Spatial Dynamics of the Information Age.” Urban Studies 47 (13): 2737–2745 doi: 10.1177/0042098010377365.
Camagni, Roberto. 2005. Economía urbana. España: Antoni Bosch.
Campos, Fernando. 1979. Historia de Concepción 1550–1970. Santiago: Universitaria.
Cattan, Nadine, Denise Pumain, Céline Rozenblat, y Thérèse Saint–Julien. 1994. Le Système des villes européennes. Paris: Anthropos.
Damette, Felix. 1994. La France en Villes. Paris: DATAR La Documentation Française.
De Nooy, Wouter, Andrej Mrvar, y Vladimir Batagelj. 2005. Exploratory Social Network Analysis with Pajek. New York: Cambridge University Press.
Escolano Utrilla, Severino, Jorge Ortiz Véliz, y Rodrigo Moreno Mora. 2007. “Globalización y cambios funcionales recientes en las ciudades del sistema urbano chileno.” Cuadernos Geográficos 41:33–60.
Green, Nick. 2007. “Functional Polycentricity: A Formal Definition in Terms of Social Network Analysis.” Urban Studies 44 (11): 2077–2103. doi: 10.1080/00420980701518941.
Hägerstrand, Torsten. 1967. Innovation Diffusion As a Spatial Process. Chicago: The University of Chicago Press.
Hall, Peter, y Kathryn Pain. 2006. The Polycentric Metropolis: Learning from Mega–city Regions in Europe. London: Earthscan Publications.
Hall, Peter, Kathy Pain, y Nick Green. 2006. “Anatomy of the Polycentric Metropolis: Eight Mega–City Regions in Overview.” En The Polycentric Metropolis: Learning from Megacity Regions in Europe, editado por Peter Hall y Kathy Pain, 19–52. London: Earthscan Publications.
Hornis, Willemieke, y Jan Ritsema Van Eck. 2008. “A Typology of Peri–urban Areas in the Netherlands.” Tijdschrift voor Economische em Sociale Geografie 99 (5): 619–628. doi: 10.1111/j.1467–9663.2008.00497.
INE (Instituto Nacional de Estadísticas de Chile). 1999. Población de los centros poblados de Chile: 1875–1992. Santiago: INE.
INE. 2002. Base censal digital censo 2002. Santiago: INE.
INE. 2005. Chile: Ciudades, pueblos, aldeas y caseríos. Santiago: INE.
INE. 2011. Anuario de edificación comunal región del Bío–Bío. Concepción: INE.
INE. 2012. Anuario de edificación comunal región del Bío–Bío. Concepción: INE.
Lane, David. 2006. “Hierarchy, Complexity, Society.” En Hierarchy in Natural and Social Sciences, editado por Denise Pumain, 81–120. Holanda: Springer.
Le Néchet, Florent. 2011. “Consommation d’énergie et mobilité quotidienne selon la configuration des densités dans 34 villes européennes.” Cybergeo: European Journal of Geography 529. doi: 10.4000/cybergeo.23634.
Maturana, Francisco, y Federico Arenas. 2012. “El policentrismo en Chile: medición exploratoria para el sistema de ciudades de las regiones de La Araucanía, de Los Ríos y de Los Lagos.” Revista de Geografía Norte Grande 52:37–56. doi: 10.4067/S0718–34022012000200003.
Maturana, Francisco, y Francisco Cornejo. 2010. “El estudio de sistemas de ciudades. Una aproximación desde métodos de análisis de redes sociales.” Revista Tiempo y Espacio 25:41– 57.
Maturana, Francisco, Camilo Vial, y David Poblete. 2012. “Las ciudades y la interacción espacial, análisis exploratorio para los centros urbanos del sur de Chile.” Nadir: Revista Electrónica Geografía Austral 4:1–18.
Ministerio de Vivienda y Urbanismo. s.f. “Contenido.” Mi ciudad. http://www.minvu.cl/aopensite_20070427120550.aspx.
Mrvar, Andrej, y Vladimir Batagelj. 2013. Pajek and Pajek XXI: Programs for Analysis and Visualization of Very Large Networks. http://it.kmutnb.ac.th/teacher/FileDL/DrSunantha1112255610050.pdf.
Pacheco, Arnoldo. 1997. Historia de Concepción: siglo XX. Concepción: Municipalidad de Concepción.
Pflieger, Geraldine, y Céline Rozenblat. 2010. “Introduction: Urban Networks and Network Theory; The City as the Connector of Multiple Networks.” Urban Studies 47 (13): 2723–2735. doi: 10.1177/0042098010377368.
Pred, Allan. 1977. City–Systems in Advanced Economies: Past Growth, Present Processes, and Future Development Options. London: Hutchinson.
Pumain, Denise. 2006. Hierarchy in Natural and Social Sciences. Netherland: Springer. doi: 10.1007/1–4020–4127–6.
Pumain, Denise. 2011. “Une théorie géographique des villes.” Bulletin de la Société Géographique de Liège 55:5–15.
Rodríguez, Jorge, Daniela González, Miguel Ojeda, Maren Jiménez, y Fernanda Stang. 2009. “El sistema de ciudades chileno en la segunda mitad del siglo XX: entre la suburbanización y la desconcentración.” Estudios Demográficos y Urbanos 24 (1): 7–48.
Rojas, Andrés, Francisco Maturana, y Mauricio Morales. 2015. “Evolución histórica de las ciudades intermedias en el siglo xx: crecimiento, jerarquía y funcionalidad.” En Ciudades intermedias en Chile: territorios olvidados, editado por Francisco Maturana y Andrés Rojas, 43–74. Santiago: RIL.
Rozenblat, Céline. 2008. “Les réseaux d’entreprises multinationales et l’atractivité des villes d’Europe centrale.” Annales de Géographie 6 (664): 70–84. doi: 10.3917/ag.664.0070.
Saint–Julien, Thérèse. 1985. La diffusion spatiale des innovations. Montpellier: RECLUS.
Sandoval, Carlos. 2011. De subterra a subsole: el fin de un ciclo. Santiago: Quimantú.
Veltz, Pierre. 1996. Mondialisation, villes et territoires: l’économie d’archipel. Paris: Presses Universitaires de France.
Wasserman, Stanley, y Katherine Faust. 1994. Social Network Analysis: Methods and Applications; Structural Analysis in the Social Sciences. New York: Cambridge University Press.
Lecturas recomendadas
Aylwin, José. 2002. Tierra y Territorio Mapuche: un análisis desde una perspectiva histórico jurídica. Chile: Universidad de La Frontera.
Barnett, George. 2010. “A Measure of Centrality for Dense Networks with Valued Ties.” Connections 30 (1): 11–20.
DATAR (Délégation à l’aménagement du territoire et à l’action régionale). 2010. La cohésion territoriale en Europe. Paris: La Documentation Française.
Fernández, José. 2006. Planificación estratégica de ciudades: nuevos instrumentos y procesos. Barcelona: Reverte.
Gómez Quinteros, Luis. 2012. Los terremotos en Concepción y su región. Concepción: Instituto Profesional Diego Portales.
Halbert, Ludovic, Kathy Pain, y Alain Thierstein. 2006. “European Polycentricity and emerging Mega City–Regions, ’Onesize Fits All’ policy?” Built Environment 32 (2): 194–218.
IGM (Instituto Geográfico Militar). 1985. Atlas geográfico de Chile. Santiago: IGM.
Mellafe, Rolando. 1986. Historia social de Chile y América. Santiago: Universitaria.
SUBDERE (Subsecretaría de Desarrollo Regional y Administrativo). 2013. Análisis del sistema urbano regional para el ordenamiento territorial (versión borrador). Santiago: División de Políticas y Estudios–Gobierno de Chile.
Notas
Notas de autor