Artículos
The Cobb-Douglas function for a continuum model
La función Cobb-Douglas para un modelo continuo
La fonction Cobb-Douglas pour un modèle continu
A função Cobb-Douglas para um modelo contínuo
The Cobb-Douglas function for a continuum model
Cuadernos de Economía, vol. XXXVI, no. 70, pp. 1-18, 2017
Universidad Nacional de Colombia
Received: 12 February 2015
Revised document received: 11 August 2015
Accepted: 26 August 2015
Abstract:
This paper introduces two formal equivalent definitions of the Cobb-Douglas function for a continuum model based on a generalization of the Constant Elasticity of Substitution (CES) function for a continuum under not necessarily constant returns to scale and based on principles of product calculus. New properties are developed, and to illustrate the potential of using the product integral and its functional derivative, it is shown how the profit maximization problem of a single competitive firm using a continuum of factors of production can be solved in a manner that is completely analogous to the one used in the discrete case. JEL : D11, D21.
Keywords: CES function, Cobb-Douglas function, continuum, product integral, functional derivative.
Resumen: Este artículo introduce dos definiciones formales equivalentes de la función Cobb-Douglas para un modelo continuo basadas en una generalización de la función de elasticidad de sustitución constante (CES) para un continuo bajo rendimientos a escala no necesariamente constantes y con base en principios del cálculo de producto. Se desarrollan propiedades nuevas; y para ilustrar el potencial de usar la integral producto y su derivada funcional, se muestra cómo el problema de maximización de beneficios de una única empresa competitiva que usa un continuo de factores de producción se puede solucionar de una manera completamente análoga a la utilizada en el caso discreto.
Palabras clave: función CES, función Cobb-Douglas, continuo, integral producto, derivada funcional.
Résumé: Cet article introduit deux définitions formelles équivalentes de la fonction Cobb-Douglas pour un modèle continu basées sur une généralisation de la fonction d’élasticité de substitution constante (CES) pour un suivi sous l’effet de rendements à échelle pas nécessairement constants et sur la base des principes du calcul du produit. De nouvelles propriétés sont développées et pour illustrer le potentiel de l’utilisation de l’intégrale produit et son dérivé fonctionnel il est montré comment le problème de maximisation de bénéfices d’une unique entreprise compétitive qui utilise une succession de facteurs de production peut se résoudre d’une manière totalement analogue à celle qui est utilisée dans le cas discret.
Mots clés: Fonction CES, fonction Cobb-Douglas, suite, intégrale produit, dérivé fonctionnel.
Resumo: Este artigo introduz duas definições formais equivalentes da função Cobb-Douglas para um modelo contínuo baseadas em uma generalização da função de elasticidade de substituição constante (CES) para um contínuo baixo rendimento a escala não necessariamente constante e com base em princípios do cálculo de produto. São desenvolvidas propriedades novas e, para ilustrar o potencial de usar a integral produto e sua derivada funcional, mostra-se como o problema de maximização de benefícios de uma única empresa competitiva que utiliza um contínuo de fatores de produção pode ser solucionado de maneira completamente análoga à utilizada no caso discreto.
Palavras-chave: Função CES, função Cobb-Douglas, contínuo, integral produto, derivada funcional.
INTRODUCTION
One of the most famous two-factor production functions is the Cobb-Douglas production function, named after C. W. Cobb and P. H. Douglas. In 1928 they used one of these functions to describe the level of physical output in the US manufacturing sector. The Cobb-Douglas function was further generalized by Arrow, Chenery, Minhas, and Solow (1961), who introduced the Constant Elasticity of Substitution (CES) production function. This function was later studied with n factors by Uzawa (1962) and McFadden (1963). Some recent results concerning Cobb-Douglas (and CES) production functions have been obtained by, for example, Vîlcu (2011), Vîlcu and Vîlcu (2011), Wang and Fu (2013), Cheng and Han (2014), and Ilca and Popa (2014). We refer the reader to Mishra (2007) for a historical introduction to the Cobb-Douglas function and to Saito (2012) for a mathematical introduction.
The purpose of this paper is to formally define a Cobb-Douglas function for a continuum model. A continuum in relation to this function is often used because of its tractability in several fields of economics, such as in international trade (seminal papers using a continuum are Dixit & Stiglitz, 2004, and Dornbusch, Fischer, & Samuelson, 1977). The author is well aware that criticisms exist of both the use of continuum models (cf. Jablecki, 2007) and the use of Cobb-Douglas functions (Felipe & McCombie, 2005; Fioretti, 2007; Mimkes, Fruend, & Willis, 2002; Mishra, 2007; Shigemoto, 2003). This paper does not attempt to explore such criticisms or to justify the use of Cobb-Douglass functions for a continuum; it merely attempts to explore the mathematics of such functions and to provide related mathematical tools so that authors who use these functions in their models are well aware of their assumptions and implications and become better judges of their suitability.
The paper commences by showing how one of the standard CES functions for discrete models under not necessarily constant returns to scale, as found in Jehle and Reny (2011, pp. 151, 156), has a logically inappropriate limiting behaviour in the continuum, and it generalizes the CES function to provide a more proper definition. The Cobb-Douglas function is then defined as a limiting case of this new CES function. Afterwards, the Cobb-Douglas function is defined constructively from basic principles using product integration, and it is demonstrated that such a function is the same as the one defined in the previous section. Later, several properties of the Cobb-Douglas function for a continuum are presented, and a suitable functional derivative is defined. At the end, the paper presents a simple applied example under not necessarily constant returns to scale that shows how the first-order condition in the profit maximization problem of a single competitive firm using a continuum of factors of production can be solved in a manner which is completely analogous to that commonly used in the discrete case.
FROM THE CES FUNCTION TO THE COBB-DOUGLAS FUNCTION
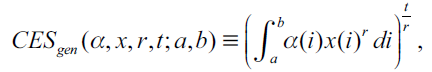
The generalization of the CES function for not necessarily constant returns to scale has been traditionally undertaken by raising a CES function for constant returns to scale to a power t that is equal to the elasticity of scale. For example, a standard textbook such as that written by Jehle and Reny (2011, pp. 151, 156) provides a generalization of the form
(1)which is a homogeneous function of degree t. The αi’s values are non-negative constants, which depend on technology (for a production function) or preference (for a utility function). The (possibly negative) parameter r is a technological (or preference) constant related to the elasticity of substitution (cf. Saito, 2012). The xi variables are factors of production (for a production function) or quantities of goods (for a utility function). In the following, we will always consider A = 1.
The apparent generalization of the former expression in the continuum is
(2)which is a homogeneous functional of degree t under similar assumptions as in the discrete case.1 As expected, under constant returns to scale t = 1, and CESgen provides the CES for a continuum model for constant returns to scale that is commonly used in the literature, namely 
In other words,
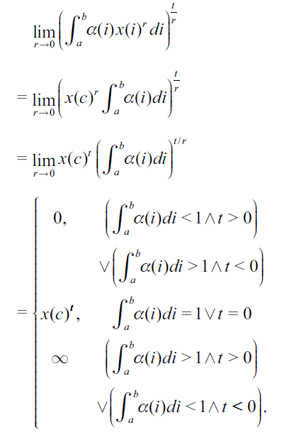
(3)However, despite such a nice property, the generalization CESgen exhibits generally inappropriate limiting behaviour in the continuum. In fact, one would expect CESgen to converge to a Cobb-Douglas function when r → 0 (cf. Jehle & Reny, 2011, p. 131). However, in general, CESgen does not properly converge to a well-defined Cobb-Douglas function that represents a finite non-null quantity, as Lemma 1 will demonstrate.
Lemma 1 . Let
, be a positive continuous function, and
be a Riemann-integrable non-negative and not everywhere null function. If this is the case, then there is a number such that
(4)
Proof . Since x(i)r is also continuous on [a,b], the first mean value theorem for integration (cf. Bartle, 2001, p. 193)2 applied
to implies the second line. Given that the function x(i)r is positive on [ a,b ], x(c)ris positive, and, therefore, the third line logically follows. The final line computes the limit using the fact that
is positive.
Lemma 1 motivates the creation of a new definition (Definition 2) for the generalized CES function in a continuum. Under constant returns to scale, the new definition must coincide with the standard version CESst that can be found in the literature (Theorem 3). It must also properly converge to a well-defined Cobb-Douglas function with non-null finite values. Lemma 4 will clarify that the new definition introduced here properly converges to a finite non-null quantity.
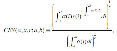
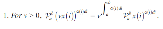
Definition 2. A CES function for a continuum, with not necessarily constant returns to scale, can be defined as
(5)where x(i): [a,b] → R is a continuous positive function α (i):[a,b] → R, is a continuous non-negative and not everywhere null function,
.
Theorem 3.The elasticity of scale of a CES function for a continuum is given by
. Moreover, under constant returns to scale,
.
Proof . By direct calculation v>0, for any we have
(6)Therefore, there is homogeneity of degree
, which is equal to the elasticity of scale of the functional. Under constant returns to scale, the integral
=1, and the second part of the statement follows by using Definition 2.
Lemma 4.There is a number
such that
(7)
Proof. The proof is analogous with that of Lemma 1, noting that
is a continuous function on [a,b] and using the first mean value theorem of integration on
(8)Now, an appropriate definition of the Cobb-Douglas function for a continuum can be developed as a limiting case of the CES function. This is because Lemma 4 assures us that, in general, it is a finite non-null quantity. Furthermore, the Cobb-Douglas function so defined inherits the elasticity property of Theorem 3 from the CES function. In other words, the new Cobb-Douglas definition will be a well-behaved functional.
Definition 5. A type 1 Cobb-Douglas function for a continuum, with not necessarily constant returns to scale, can be defined by
(9)Surprisingly, while the CES function under not necessarily constant returns to scale is different from the standard generalization for the CES function, the type 1 Cobb-Douglas function is consistent with the Cobb-Douglas function commonly found in the literature, namely
. This is shown by the following theorem.
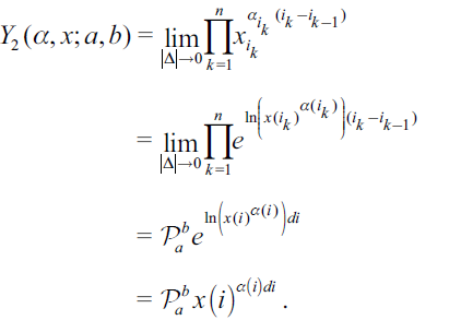
Theorem 6 . A type 1 Cobb-Douglas function for a continuum can be written as
(10)Proof. See Appendix.
A CONSTRUCTIVE DEFINITION FOR THE COBB-DOUGLAS FUNCTION UNDER NOT NECESSARILY CONSTANT RETURNS TO SCALE
In the previous section, the Cobb-Douglas function was defined as a limiting case of a proper CES function. This section provides a new definition based on constructive principles that use the product integral. Product calculus is a multiplicative generalization of standard (additive) infinitesimal calculus, which has been around since the 19th century when Volterra used it to resolve certain ordinary differential equations. The concept of product integral naturally arises in various areas of mathematics and physics (Manturov, 1991), but its application to the Cobb-Douglas function for a continuum model has, until now, been overlooked.
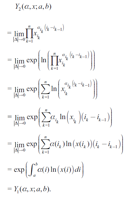
Definition 7. Given any partition Δ of [a,b] by points
with diameter
and a function g continuous on [a,b], the (geometric) product integral (cf. Krein, 2011) is defined by
(11)Inspired by the same constructive principles of the product integral, a sensible definition of the Cobb-Douglas function is the following:
Definition 8. Let
be a continuous positive function,
be a continuous non-negative and not everywhere null function, and
. Given any partition Δ of [a,b] by points
with diameter
, a type 2 Cobb-Douglas function for a continuum with not necessarily constant returns to scale is defined by
(12)where
.
From these two definitions, the type 2 Cobb-Douglas function can be written using the Riemann product integral.
Theorem 9. The type 2 Cobb-Douglas function for a continuum can be written by using a product integral as
(13)
Proof . Using the assumptions in Definition 8,
(and therefore
) is positive, independent of k, and the function
is well-defined, continuous, and bounded. We therefore have
(14)The following theorem establishes the equivalence between the type 1 and the type 2 Cobb-Douglas definitions.
Theorem 10 . The type 2 and the type 1 Cobb-Douglas functions are equal, i.e. 
Proof . From Definition 8 and its assumptions, we obtain the result in Theorem 6:
(15)It can be noted that
, and therefore
, is always positive, independent of k, in lines 3, 4, and 5. In line 6, since the function
is continuous and therefore bounded, it is Riemann-integrable. The sum in this line is a Riemann sum; therefore, the limit is its Riemann integral.
Based on Theorem 10, let us from now on call the type 2 and the type 1 Cobb-Douglas functions simply the Cobb-Douglas function (for a continuum and under not necessarily constant returns to scale).
SOME PROPERTIES OF THE COBB-DOUGLAS FUNCTION FOR A CONTINUUM
This section illustrates some properties of the Cobb-Douglas function (Theorems 11 and 12) using the product integral notation.
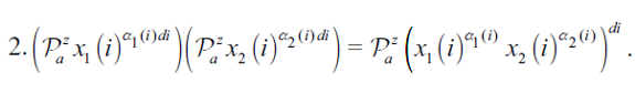
Theorem 11 . Let
be a continuous positive function for all non-negative integer n (for the subscript is omitted), be a continuous non-negative and not everywhere null function for all non-negative integer n (for n = 0 the subscript is omitted),
and let and
. The following properties for the Cobb-Douglas function hold :
(16)
(17)
(18)
(19)
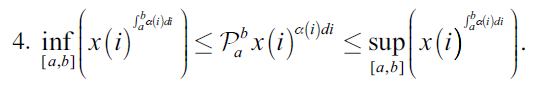
(20)
Proof . Using the assumptions of Theorem 11, Properties 1, 2, 3, and 5 are evident by direct calculation writing the Cobb-Douglas functions in the form of Theorem 6. Property 4 can be shown to be a special case of Theorem 2.4 regarding generalized weighted mean values in Qi (1998) by realizing that
using Qi’s notation.
An economic interpretation of Property 1 is that
is equal to the elasticity of scale of the functional
. In production theory, Property 2 implies, among other things, that the output of a firm using a product of two inputs (x1(i) and x2(i) ) and the same technology for each input (i.e.
) is as big as the product of the outputs of two firms, the first producing with the input x1(i) and the second producing with the input x2(i) (both under the same technology, i.e.
). In turn, this implies Property 3 (for h integer), which asserts that the output of a firm using a product of h equal individual inputs under the same technology is as big as the output to the power of h of a single firm with that individual input and technology. Property 4 provides a lower and an upper limit for a firm’s production based on the form of its production factor and the technology it uses. Property 5 extends the
definition to an infinite interval of production factors.
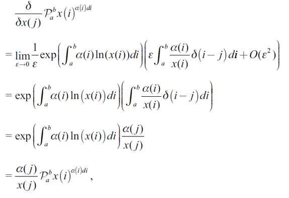
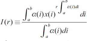
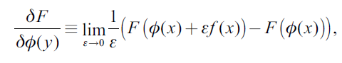
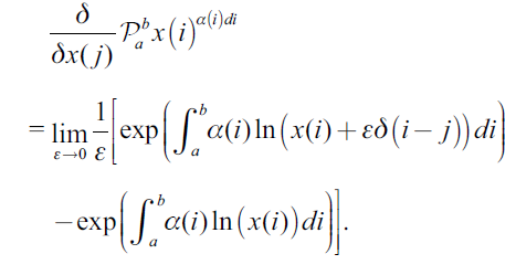
Theorem 12. Let the (Fréchet) functional derivative of a functional F of one variable
be expressed as
(21)where for the test function f(x) the Dirac delta function
is used, (Greiner & Reinhardt, 1996). Then, with a<j<b,
(22)Proof. See Appendix.
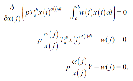
APPLICATION: A SIMPLE EXAMPLE OF PROFIT MAXIMIZATION
In this section, we solve the necessary first-order condition in the profit maximization problem of a single competitive firm using a continuum of inputs. The purpose of this example is not to analyse the complicated variational problem in all its depth, (this would require steps such as proving that
has the properties of a production function, showing that an extremum exists for the isoperimetric problem, and formally developing and solving the necessary first-order condition (Gelfand & Fomin, 1963)). The purpose is, instead, to use the intuition derived from the discrete case and the formalism of the functional derivative with the Dirac delta function (a formalism which comes from physics) in order to illustrate how actual calculations of the kind that would appeal economists could be performed.
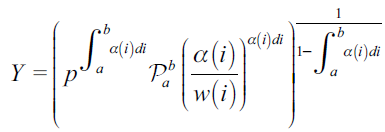
Example 13. In this example, we solve the necessary first-order condition to maximize the profit of a single competitive firm using a continuum of inputs under decreasing returns to scale, i.e. we find the factor demand functions x(i) that maximize
. Here, p is the market price of output, and w(i), the price of factor i.
Use the same assumptions as in Definition 8, assume that all prices are positive (i. e.
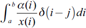
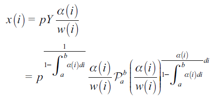
is a positive function), and also assume that Y>0.The first-order condition is given by the functional derivative being equal to zero for a < j < b :
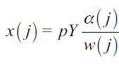
(23)where Theorem 12 is used to differentiate the product integral.3 Therefore
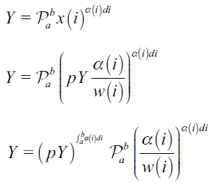
(24)Replacing the previous result in the constraint, we have the following:
(25)where a property similar to Property 1 in Theorem 11 is used. (Note that the resulting product integral is only well-defined under additional assumptions on α(i), such as it being zero only on a set of measure zero). Hence, solving for Y gives
(26)The factor demand functions are thus as follows:
(27)where a property similar to Property 3 in Theorem 11 is used.
The economic interpretation of this example is that the continuous case of profit maximization can now be solved in a manner that is completely analogous to the one commonly used in the discrete case with the help of the notation and definitions introduced in this paper (Mas-Colell, Whinston, & Green, 1995).
DISCUSSION
This paper has developed a formal definition of the Cobb-Douglas function for a continuum model. Two definitions have been provided, one as a limiting case of a CES function under not necessarily constant returns to scale, and the other using principles from product calculus constructively. Both these definitions agree with each other and with the formula commonly used by economists. To illustrate the potential of the product integral and its functional derivative, this paper showed how a first-order condition problem under not necessarily constant returns to scale could be solved in a continuum in a completely analogous manner to the one used in the discrete case. The relationship of the Cobb-Douglas function for a continuum with the product integral that was highlighted in the paper may hold promise for future generalizations. For example, one foreseeable and entirely non-trivial generalization of the Cobb-Douglas function for a continuum based on product calculus is defining it as essentially noncommutative, i.e. as depending fundamentally on the “index i ”-ordered structure of its constituents.
Acknowledgement
I wish to thank Carlos Córdoba and Edinson Caicedo for their suggestions as well as Leonardo Raffo for making me aware of the relevance of this subject. I also thank one of the anonymous referees for suggesting several additional references that greatly improved the introduction.
References
Arrow, K. J., Chenery, H. B., Minhas, B. S., & Solow, R. M. (1961). Capital-Labor substitution and economic efficiency. The Review of Economics and Statistics, 43(3), 225-250.
Bartle, R. G. (2001). A modern theory of integration (Vol. 32). Providence, R. I.: American Mathematical Society.
Cheng, M. L., & Han, Y. (2014). A modified Cobb-Douglas production function model and its application. IMA Journal of Management Mathematics, 25(3), 353-365.
Cobb, C. W., & Douglas, P. H. (1928). A theory of production. The American Economic Review, 18(1), 139-165.
Dixit, A. K., & Stiglitz, J. E. (2004). Monopolistic competition and optimum product diversity (May 1974). In S. Brakman & B. J. Heijdra (Eds.), The monopolistic competition revolution in retrospect (pp. 70-88). New York: Cambridge University Press.
Dornbusch, R., Fischer, S., & Samuelson, P. A. (1977). Comparative advantage, trade, and payments in a Ricardian model with a continuum of goods. The American Economic Review, 67(5), 823-839.
Felipe, J., & McCombie, J. S. L. (2005). How sound are the foundations of the aggregate production function? Eastern Economic Journal, 31(3), 467-488.
Fioretti, G. (2007). The production function. Physica A: Statistical Mechanics and its Applications, 374(2), 707-714.
Gelfand, I. M., & Fomin, S. V. (1963). Calculus of variations. Englewood Cliffs, N. J.: Prentice-Hall, Inc.
Greiner,W., & Reinhardt, J. (1996). Field quantization. Berlin: Springer-Verlag.
Ilca, M., & Popa, D. (2014). On approximate Cobb-Douglas production functions. Carpathian Journal of Mathematics, 30(1), 87-92.
Jablecki, J. (2007, August 23). How many traders can you fit into a model? [Online article]. Retrieved from https://mises.org/library/how-many-traders-can-you-fit-model.
Jehle, G. A., & Reny, P. J. (2011). Advanced microeconomic theory (3rd ed.). Harlow, England: Financial Times Prentice Hall.
Krein, S. G. (2011). Product integral. In Encyclopedia of mathematics. Retrieved from http://www.encyclopediaofmath.org/index.php?title=Product_integral&oldid=17399.
Manturov, O. V. (1991). The product integral. Journal of Soviet Mathematics, 55(5), 2042-2076.
Mas-Colell, A., Whinston, M. D., & Green, J. R. (1995). Microeconomic theory. New York: Oxford University Press.
McFadden, D. (1963). Constant elasticity of substitution production functions. The Review of Economic Studies, 30(2), 73-83.
Mimkes, J., Fruend, T., & Willis, G. (2002). Lagrange statistics in systems (markets) with price constraints: Analysis of property, car sales, marriage and job markets by the Boltzmann function and the Pareto distribution. Preprint. (arXiv:cond-mat/0204234v1 [cond-mat.stat-mech]).
Mishra, S. K. (2007). A brief history of production functions (MPRA Paper 5254). Munich: Munich University Library.
Nironi, F. (2011). Taylor series and polynomials [Lecture notes]. Retrieved from http://www.math.columbia.edu/~nironi/taylor2.pdf.
Qi, F. (1998). Generalized weighted mean values with two parameters. Proceedings: Mathematical, Physical and Engineering Sciences, 454(1978), 2723-2732.
Saito, T. (2012). How do we get Cobb-Douglas and Leontief functions from CES function: A lecture note on discrete and continuum differentiated object models. Journal of Industrial Organization Education, 6(1), 1-12.
Shigemoto, K. (2003). Weber-Fechner’s law and demand function. Preprint. (arXiv:physics/0303118v2 [physics.gen-ph]).
Thomson, B. S., Bruckner, J. B., & Bruckner, A. M. (2008). Elementary real analysis (2nd ed.). Retrieved from http://www.classicalrealanalysis.com.
Uzawa, H. (1962). Production functions with constant elasticities of substitution. The Review of Economic Studies, 29(4), 291-299.
Vîlcu, A. D., & Vîlcu, G. E. (2011). On some geometric properties of the generalized CES production functions. Applied Mathematics and Computation, 218(1), 124-129.
Vîlcu, G. E. (2011). A geometric perspective on the generalized Cobb-Douglas production functions. Applied Mathematics Letters, 24(5), 777-783.
Wang, X., & Fu, Y. (2013). Some characterizations of the Cobb-Douglas and CES production functions in microeconomics. Abstract and Applied Analysis, 2013, Article ID 761832, 1-6.
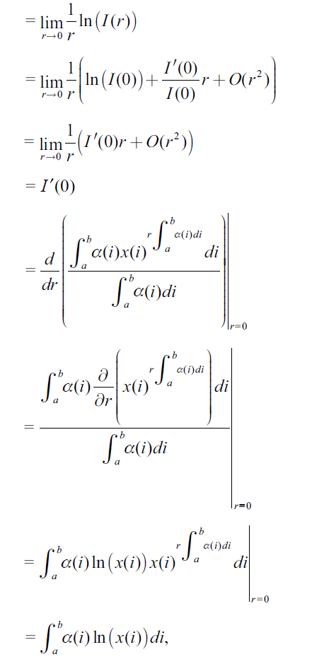
APPENDIX
Proof of Theorem 6 . Given the positivity of the function x,
can be shown to be positive by Lemma 4. From Definition 2 we can then obtain
(28)

where the positivity of
and is used in lines 3 and 4,
is used in line 4, an expansion of around based on Taylor’s theorem and using big O notation is used in line 5, is used in line 6, and the Leibniz integral rule is used in line 9.
In order to apply Taylor’s theorem using big O notation, it can be noted that is at least twice differentiable. This can be shown by using Leibniz integral rule twice. The assumptions required for Leibniz integral rule to be applied (twice) are satisfied (cf. Thomson, Bruckner, & Bruckner, 2008) since
(29)is continuous [a,b]x[-L,L] on for n = 0,1 and 2 and 0 < L < 1 given the assumptions in Definition 2.
Hence, from (23) we have
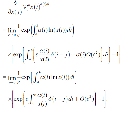
(30)
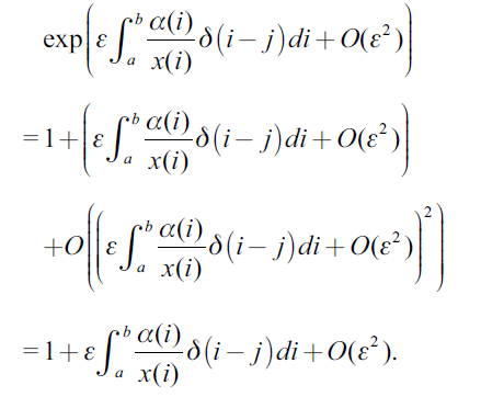
Proof of Theorem 12 . When computing the functional derivative in Theorem 12, the use of the test function
works if can be expanded at least up to first order in
, as it is the case here. The derivative can be written in terms of an exponential expression using Theorem 6 to represent the Cobb-Douglas function:
(31)An expansion of the logarithmic function around
= 0 based on Taylor’s theorem gives
(32)Consequently, we obtain
(33)It should be noted that in line 2 of the above expression the terms of order two or greater in
include powers of Dirac delta functions of i – j; however, this is not a problem as the general rule for these kinds of calculations is that the limit
- 0 has to be taken before integration (Greiner & Reinhardt, 1996). This justifies the result in line 3.
Since
using an expansion of the exponential function around x = 0 based on Taylor’s theorem, we obtain
(34)(See, for example, Nironi (2011) for these types of calculations with big O notation.)
Accordingly,
(35)where the assumption a < j < b is used when computing the integral
, and the final exponential expression is written in terms of a Cobb-Douglas function using product integral notation.
Notes
, so the functional derivative is automatically zero for these values.
Additional information
Sugerencia de citación: Ospina-Holguín, J. H. (2017). The Cobb-Douglas function for a continuum model. Cuadernos de Economía, 36(70), 1-18. doi: 10.15446/cuad.econ.v36n70.49052.