Artículos
La ineficiencia tributaria en las provincias argentinas: el impuesto sobre los ingresos brutos*
Tax inefficiency in Argentine provinces: The turnover tax
L’inefficacité fiscale dans les provinces argentines. L’impôt sur les revenus bruts
A ineficiência tributária nas províncias argentinas: O imposto sobre a renda bruta
La ineficiencia tributaria en las provincias argentinas: el impuesto sobre los ingresos brutos*
Cuadernos de Economía, vol. XXXVI, núm. 70, pp. 95-135, 2017
Universidad Nacional de Colombia
Recepción: 05 Enero 2016
Recibido del documento revisado: 29 Abril 2016
Aprobación: 10 Mayo 2016
Resumen:
La organización tributaria federal de la Argentina prevé concurrencia en las fuentes de imposición para la imposición indirecta. En este trabajo se hará referencia al impuesto sobre los ingresos brutos, principal fuente de recaudación provincial. En consonancia con el IVA nacional, ambos son tributos generales sobre los consumos, adicionándole al tributo provincial la característica de afectar la producción por ser un tributo en cascada. El propósito es el de intentar identificar si una provincia se encuentra limitada en la recaudación impositiva por una baja capacidad de generar recursos o por un bajo esfuerzo en la explotación de la capacidad tributaria existente para financiar el gasto público. JEL: H3, H2, H7, D2.
Palabras clave: ineficiencia tributaria, impuestos subnacionales, prociclicidad recaudatoria.
Abstract:
Federal tax organization in Argentina can be defined by concurrent taxation from indirect taxes. In this paper, we refer to the provincial Turnover Tax, which is the main revenue source for the provinces and the national VAT. Both are consumption taxes and, in terms of provincial taxes, as they are cascade taxes, they are also taxing production. The aim of this paper is to identify if a province is limited in its tax collection because of a low capacity for generating revenue or due to a lack of effort in exploiting its existing tax capacity in order to finance public expenditure. JEL: H3, H2, H7, D2
Keywords: Tax inefficiency, subnational taxes, revenue prociclicality.
Résumé:
L’organisation fiscale fédérale argentine prévoit la concurrence des sources fiscales d’imposition pour les impôts indirects. Dans cet article, il sera fait référence à l’impôt sur les revenus bruts, principale source de recette provinciale. Avec la TVA nationale (IVA), tous deux sont des perceptions générales sur les biens de consommation ajoutant à l'impôt provincial la caractéristique d’affecter la production pour être un impôt en cascade. L’idée consiste à tenter de déterminer si une province est limitée dans l’exploitation de la capacité fiscale existante pour financer la dépense publique. JEL: H3, H2, H7, D2.
Mots clés: Inefficacité fiscale, impôts subnationaux, procyclicité de recouvrement.
Resumo:
A organização tributária federal da Argentina prevê concorrência nas fontes de imposição para os impostos indiretos. Neste artigo far-se-á referência ao imposto sobre a renda bruta, principal fonte da arrecadação provincial. Em harmonia com o IVA nacional, ambos são tributos gerais sobre os consumos, adicionando ao tributo provincial a característica de afetar a produção por ser um tributo em cascata. O propósito é o de tentar identificar se uma província se encontra limitada na arrecadação impositiva por uma baixa capacidade de gerar recursos ou por um baixo esforço na exploração da capacidade tributária existente para financiar o gasto público. JEL: H3, H2, H7, D2.
Palavras-chave: Ineficiência tributária, impostos subnacionais, prociclicidade de arrecadação.
INTRODUCCIÓN
A partir del análisis de la política tributaria llevada a cabo por el gobierno federal y las provincias, en Argentina puede apreciarse un incremento constante de la presión tributaria en general, y de los impuestos sobre los consumos, en particular, en los últimos 20 años. Esto es relevante para el caso de las provincias, las cuales, después de haber estado inmersas en un proceso de disminución de alícuotas del impuesto sobre los ingresos brutos acordada en el Pacto Fiscal de principios de la década de 1990, comenzaron a embarcarse en una reversión ligera de ese proceso a partir de principios de la década de 2000, para luego, hacia finales de esa década, intensificar los incrementos de alícuotas del impuesto.
Sin embargo, resulta de interés analizar, en términos comparativos, la recaudación tributaria efectiva de las provincias en relación con alguna medida de su capacidad tributaria. Mientras que la capacidad tributaria representa la máxima recaudación que un país puede generar, dadas sus características económicas, sociales, institucionales y demográficas, el esfuerzo tributario es una relación entre la recaudación efectiva y la capacidad tributaria. Los resultados permitirían determinar qué provincias están cerca de su potencial y cuáles están lejos del mismo y, consecuentemente, podrían incrementar su recaudación tributaria (Pessino y Fenocchietto, 2010,2013).
Esto es particularmente relevante para el caso de Argentina, dado que la descentralización de gastos públicos a las provincias realizada durante los últimos años por el gobierno federal, y las crecientes demandas por servicios públicos por parte de los habitantes de cada jurisdicción, requieren determinar la capacidad tributaria de las provincias para financiarlos.
En este trabajo se realiza una estimación del grado de aprovechamiento del impuesto potencial para el caso del impuesto sobre los ingresos brutos en las provincias de Argentina, mediante el método de frontera estocástica de producción aplicado sobre datos de panel, basado en antecedentes de la literatura (por ejemplo: Pessino y Fenocchieto, 2010,2013). A diferencia de otros trabajos existentes para el caso argentino (Di Gresia, 2004), en este caso se modelan los componentes de ineficiencia y se presentan especificaciones alternativas sobre la variable de política tributaria (tasas efectivas y productividad del impuesto).
El método de frontera estocástica empleado en este trabajo, provee estimadores de los parámetros de un modelo lineal con residuos generados por una combinación de dos componentes: un componente que tiene una distribución estrictamente no negativa y otro componente con una distribución simétrica.
Los estimadores así obtenidos son usados para calcular una frontera estocástica de producción, siendo el componente no negativo del término de error interpretado como la medida de ineficiencia (en este caso, es la diferencia a un grado máximo de aprovechamiento del impuesto potencial) para cada observación.
Existen tres factores que pueden generar una diferencia con el grado de aprovechamiento máximo del impuesto: el nivel de alícuota, la definición de la base imponible y el grado de cobrabilidad. Además, el concepto de aprovechamiento aquí empleado se refiere a un criterio relativo entre las jurisdicciones. El grado de “desaprovechamiento” se determina como la distancia entre la recaudación efectiva y la determinada por la frontera de acuerdo con las variables explicativas seleccionadas para el análisis en cada jurisdicción. Tal como se ha definido, la frontera, en este caso el desaprovechamiento, es relativa al panel de muestra que se dispone (Di Gresia, 2004).
En consecuencia, este trabajo presenta un modelo para construir una frontera estocástica impositiva para determinar el esfuerzo tributario de las provincias. Este modelo resulta también útil para medir las variables principales de las cuales dependen la capacidad tributaria y el esfuerzo tributario. Los resultados señalan que existe un desaprovechamiento del potencial tributario, que es mayor para las provincias de menor recaudación.
El presente trabajo se configura así: en la siguiente sección se resumen algunos de los antecedentes de la literatura sobre la temática; luego se plantean los aspectos normativos referidos al régimen rentístico argentino en función del establecimiento de potestades tributarias, y un somero análisis normativo y cuantitativo del impuesto sobre los ingresos brutos y a fines comparativos, del impuesto al valor agregado.
Después se especifican los aspectos teóricos de las estimaciones de frontera estocástica; a continuación se especifica la metodología de estimación; y, por último, se presentan los resultados y se exponen las conclusiones.
Es importante destacar que tanto las estimaciones como los resultados deben ser tomados con sumo cuidado, como magnitudes orientativas y cualitativas y no como un objetivo de política. Las deficiencias de la información existente en Argentina, que contienen inconsistencias en algunos casos y falta de datos en otros, llevaron a establecer supuestos para proyectar la información faltante, lo que puede implicar que los resultados no coincidan necesariamente con las realidades efectivas de cada una de las jurisdicciones.
ANTECEDENTES DE ESTUDIOS SOBRE LA TEMÁTICA
En esta sección se hará referencia a algunos de los antecedentes en la temática de referencia. Existen pocos trabajos que se focalizan en particular en el análisis de la tributación a escala subnacional, sino que realizan sus estimaciones para el sistema tributario en general.
Stotsky y WoldeMariam (1997) aproximan a la medición de la capacidad tributaria a partir de estimar mediante un modelo lineal de datos de panel. Utilizando una muestra de 46 países del África subsahariana, investigan los determinantes del esfuerzo tributario a partir de regresar el ratio de recaudación tributaria a producto interior bruto (PIB); empleando como variables explicativas la participación del sector agropecuario, del sector minero y del sector industrial en el PIB, el ingreso per cápita, el ratio de exportaciones y el ratio de importaciones a PIB. Incorporan, además, como una variable dummy la existencia de programas de asistencia financiera del Fondo Monetario Internacional.
El estudio arroja como resultado el hecho de que la participación de la agricultura y de la minería en el PIB resultan ser variables negativas y significativas en la determinación de la capacidad tributaria, mientras que tanto el grado de exportaciones a PIB como el ingreso per cápita, son también significativos, pero afectan de manera positiva la capacidad tributaria.
El índice de esfuerzo tributario, medido a partir del cociente entre la recaudación actual y la predicha, arroja como resultado que la mayoría de los países del sur de África presenta una relación superior a 1, indicando así exceso de tributación, debido, según los autores, a la influencia de la South African Customs Union. Para los países con índices bajos, deberían enfatizar el incremento en la recaudación antes que una reducción de los gastos ante la eventualidad de un desequilibrio presupuestario.
Gupta (2007) utiliza un panel de 105 países en desarrollo por un período de 25 años. La variable de interés es el cociente entre la recaudación del gobierno central y el PIB, utilizando como variables explicativas la participación de la agricultura, de la industria, importaciones en el PIB y deuda a PIB. Davoodi y Grigorian (2007) analizan el caso de Armenia de una manera similar al trabajo comentado de Stotsky y WoldeMariam (1997), enfatizando el tratamiento de la variable de moral tributaria.
En un modelo de panel dinámico, Gupta (2007) encuentra que el coeficiente del logaritmo del ingreso per cápita es positivo y significativo en todas las regresiones de efectos aleatorios y en la mayoría de las especificaciones de efectos fijos. Existe, además, una relación negativa y significativa entre la participación de la agricultura y la recaudación, la que es positiva en relación con la apertura económica; al contrario de lo que ocurre con el ratio de deuda a PIB y con los factores institucionales, en los que no se encuentran relaciones significativas.
Cuando se compara el valor predicho con la recaudación actual, un valor superior a 1 implica que el país está realizando un esfuerzo tributario superior al potencial; entre los países que tienen un desempeño inferior al potencial, se encuentran: Argentina, Costa Rica, Letonia, Lituania y Eslovaquia.
Gómez Sabaini, Jiménez y Rossignolo (2011) llevan a cabo una estimación mediante un modelo lineal de datos de panel dinámico para América Latina para el período 1990-2008, para predecir el “esfuerzo tributario” de los diferentes países en relación con el impuesto a la renta total y del impuesto a la renta de personas físicas (IRPF), utilizando una muestra de 15 países. De acuerdo con los antecedentes en la materia, se realizaron estimaciones de recaudación potencial mediante la metodología de “esfuerzo tributario”. Los resultados arrojados por las mismas están de acuerdo con la literatura: relación positiva de la recaudación tanto del impuesto a la renta como del IRPF con el nivel de desarrollo, como también la recaudación crece a mayor desigualdad en la distribución del ingreso, educación y grado de institucionalidad.
Al momento de llevar a cabo la comparación de la recaudación determinada en los modelos con la efectiva, se revela la importancia de las heterogeneidades entre los distintos países. Existen países con elevada presión tributaria, como es el caso de Brasil, México y Perú, en donde se está muy cerca o, incluso, superando el nivel de recaudación potencial.
Sin embargo, en otros países (Argentina, Chile), en donde, si bien en el caso del total del impuesto se está próximo al potencial, para el caso del impuesto a la renta de personas físicas o naturales aún puede incrementarse la recaudación efectiva, lo cual implica un claro ejemplo de desbalance en la composición del impuesto. Puede observarse claramente que existe mayor margen para aumentar la recaudación del impuesto a la renta de personas físicas, dado que se aprecia, a partir de las estimaciones realizadas, que este tributo se encuentra recaudando por debajo de su potencial en mayor medida que el total del impuesto a la renta.
Pessino y Fenocchietto (2010,2013) utilizan un modelo de frontera impositiva, en analogía a una función de producción estocástica, a diferencia de una regresión convencional, dado que representa el máximo nivel de imposición alcanzable considerando un set de variables explicativas. En este modelo, un esfuerzo tributario bajo implica que el esfuerzo es reducido con relación al de otros países; no implica necesariamente que el país sea ineficiente en recaudar impuestos.
Con un modelo de datos en panel, se intenta explicar la recaudación tributaria a PIB (en logaritmos) en el grado de desarrollo económico, el grado de apertura económica (importaciones y exportaciones a PIB), el valor agregado de la agricultura al PIB, el nivel de educación, la desigualdad en la distribución del ingreso medida por el Gini, inflación, e ineficiencias en la recaudación (índice de transparencia).
Los autores corroboran la relación positiva y significativa entre la presión tributaria y el grado de desarrollo económico, apertura económica y educación, mientras que es negativa para la participación de la agricultura, la desigualdad en la distribución del ingreso y la ineficiencia en la recaudación. Los países europeos de elevado ingreso per cápita, abiertos al comercio internacional, baja inflación y elevado nivel de educación, se encuentran cerca de su potencial tributario.
Garg, Goyal y Pal (2014) realizan una estimación reciente para el caso de los estados subnacionales en la India, en donde enfatizan la función de las instituciones políticas y la economía política de las transferencias a los niveles subnacionales de gobierno.
Para el caso argentino, Di Gresia (2004) hace una estimación del esfuerzo tributario de las provincias en relación con el impuesto a los ingresos brutos, aunque solo utiliza, como variable de control, el producto geográfico bruto (PGB) y sin modelar la ineficiencia. Las provincias de Chubut, La Rioja, Catamarca y Neuquén son, según sus estimaciones, las provincias con mayor desaprovechamiento de su respectiva capacidad tributaria.
En consecuencia, dada la heterogeneidad observada entre distintos países o regiones, la determinación sobre la capacidad tributaria depende de las particularidades de cada economía.
MARCO NORMATIVO Y CUANTITATIVO
Si bien el objetivo de este trabajo es el análisis del impuesto sobre los ingresos brutos, principal fuente de recaudación provincial, y dado que en Argentina la concurrencia en las fuentes de imposición está definida para los tributos indirectos, se presentará en forma comparativa un sucinto análisis del impuesto al valor agregado (IVA), de jurisdicción nacional. Ambos son tributos generales sobre los consumos, y al segundo se le adiciona la característica de afectar la producción por ser un tributo en cascada.
Síntesis normativa y evolución histórica
El IVA es un impuesto nacional, recaudado en cada jurisdicción provincial; su recaudación es transferida a la nación. El impuesto grava el consumo como resultado de un mecanismo de imposición que actúa en todas las etapas de producción y distribución de bienes y servicios. No es acumulativo y adopta el sistema llamado “impuesto contra impuesto”, en que se confrontan débitos fiscales (por las ventas) y créditos fiscales (por las compras), pagándose mensualmente los saldos entre ambos. Este procedimiento equivale a aplicar el impuesto sobre el valor agregado en cada etapa de elaboración. Grava las importaciones en la misma forma que la producción interna y, en cambio, exime a las exportaciones. La importancia cuantitativa de las exenciones se ha reducido en el tiempo; el consumo exento de los hogares había caído de alrededor del 43% del total del consumo en 2000 a alrededor del 25% en 2007.
Dentro de los hechos gravados, prevalece la tasa general de 21%. Las excepciones están constituidas por los casos gravados con tasas del 27%, 31,5% y 10,5%. El 27% corresponde esencialmente a la facturación de servicios públicos prestados a empresas que son responsables del impuesto (no así las prestaciones domiciliarias a no responsables del impuesto, que pagan la tasa general). La evolución de la tasa general es creciente, al pasar de 15,6% en 1991 al 21% en 1995, quedando fija en ese valor desde entonces.
El impuesto sobre los ingresos brutos provinciales es un impuesto de gran importancia dentro de la recaudación, que hoy aplican las veinticuatro provincias. Sus características económicas son conocidas: es plurietápico, por cuanto recae en todas las etapas de producción y distribución de bienes y servicios. Pertenece al tipo de tributos en cascada, en tanto grava el ingreso bruto sin deducción del impuesto ya pagado y acumulado sobre las compras.
Formalmente, los códigos fiscales de cada provincia consagran los principios básicos del impuesto, pero sus alícuotas son fijadas por la ley impositiva anual. El impuesto grava el ejercicio habitual de toda actividad a título oneroso. La base imponible es la suma de ingresos brutos generados durante el período fiscal. En casos especiales se grava el ingreso neto (la diferencia entre compra y venta), cuando el margen de comercialización es muy pequeño; tal es el caso de los cigarrillos; otra excepción es la imposición de sumas fijas en función de unidades físicas u otra base. Para determinar el monto imponible, se excluye del precio el débito fiscal del IVA y los impuestos internos que gravan la actividad o producto; las normas prevén exenciones subjetivas y objetivas.
A finales de la década de 1970 y principios de 1980, se procuró llevar a cabo modificaciones que redujeran los efectos negativos del impuesto en cascada, lográndose una mayor homogeneidad interprovincial en la definición de hechos y bases imponibles, asegurando mayor uniformidad entre jurisdicciones en función de las alícuotas y aliviando el efecto cascada mediante la reducción de las alícuotas sobre sectores primarios.
Gracias al relativo éxito alcanzado en las primeras cuestiones, y la falta del mismo en la última, los pactos fiscales de la década de los noventa contenían el propósito de la reformulación del impuesto: procuran convertirlo en forma progresiva en uno que gravara las ventas finales y pretenden que la imposición del impuesto a los ingresos brutos, sea sustituida por un impuesto general al consumo.
Las tasas del impuesto siguen pautas similares en todo el país, a pesar de lo cual se percibe una variabilidad sensible de porcentajes como resultado de la cantidad de actividades y de jurisdicciones. En principio, las alícuotas se alineaban de mayor a menor en comercio y servicios, industria y sector primario. Por medio de los pactos fiscales firmados entre la nación y la provincia durante la década de 1990, la actividad agropecuaria primero y la industria posteriormente, quedaron desgravadas en casi su totalidad. En 1997, por ejemplo, el comercio mayorista y minorista pagaba entre 2,5% y 3%; en los servicios predominaba la tasa de 3,5%; y en las escasas ramas gravadas en la actividad agropecuaria y extractiva, regía el 1%, así como en los casos también excepcionales de la industria y la construcción se tributaba el 1,5%.
Sin embargo, a partir de principios de la década de 2000, comienza a verificarse en algunas provincias una reversión de este proceso, particularmente evidenciado en la limitación de las exenciones a los contribuyentes con sede en la provincia respectiva, o eliminándolas a la construcción o a las industrias o actividades agropecuarias que vendieran sus productos al consumo final. A partir de 2006, se advierte una reestructuración en este impuesto, comenzando a gravarse actividades que estaban desgravadas, lo que es más marcado hacia finales de la mencionada década.
Respecto a la recaudación total, resalta la importancia de la provincia de Buenos Aires, con más de un tercio del total producido por el impuesto; le sigue la Ciudad de Buenos Aires, y, muy distanciadas, el resto de las provincias.
Con relación a los sectores fuente del tributo, se verifica una marcada importancia del “comercio, restaurantes y hoteles”, por estar gravados con una tasa relativamente alta, ya que la materia imponible es el total de sus ventas y no el valor agregado o sus ingresos netos, y porque muchos bienes transitan por dos etapas de distribución: mayorista y minorista. Los sectores primarios están apenas incididos por el impuesto, debido a las exenciones que aún lo amparan progresivamente desde hace años. Las actividades manufactureras conservan algún peso; no obstante, las sucesivas desgravaciones están dispuestas por los pactos fiscales. Finalmente, debe destacarse el aporte de los servicios financieros a la recaudación, sobre todo en la Ciudad de Buenos Aires, donde se concentra la mayor parte de las operaciones de esta índole.
En cuanto a la evolución de la tasa impositiva nominal, para el caso de ingresos brutos, a partir del momento en que las provincias comienzan a alejarse de los compromisos del Pacto Fiscal, la tasa promedio también vuelve a crecer, desde el 2,2% de 1991 al 2,5% del promedio simple o del promedio ponderado en 2012.
En la Gráfica 1 se aprecia la evolución de las alícuotas del impuesto, en promedios totales para todas las provincias. Para hacer esta gráfica, se relevaron las tasas vigentes para un grupo de 11 actividades económicas1, 2, para cada una de las 24 provincias en el período 1991-2012 y se elaboró un promedio ponderado de las mismas con relación a la participación de cada grupo de actividad económica en el PGB de cada provincia.
Cabe consignar que para lo anterior se elaboró una serie de PGB para cada provincia, para todo el período 1991-2012, con agregación en las actividades económicas mencionadas3. Las tasas ponderadas fueron las que se tomaron en cuenta para las estimaciones, dado que se considera que aproximan de mejor manera a la evolución de la recaudación, por la importancia de cada sector en el total de las economías provinciales.

a) IVA en promedios anuales

b) Ingresos brutos promedio simple y ponderado por actividad económica
Fuente: elaboración propia con base en datos de legislaciones y direcciones de estadística provinciales e INDECAnálisis cuantitativo
El IVA es el impuesto de mayor recaudación a nivel nacional. Los ingresos generados por el tributo se fueron incrementando paulatinamente desde el 3,5% del PIB en 1979 hasta el 6,5% en 1993, al 8,4% de 2012.
Mientras tanto, en cuanto a la importancia cuantitativa del impuesto a los ingresos brutos en las finanzas públicas provinciales, a lo largo del período analizado, ha representado una proporción nunca inferior al 53% del total de recursos tributarios de las provincias, alcanzando un nivel de 61% en 2003, con un máximo, para 2012, de 75%, y siendo, en promedio, de alrededor del 61% en todo el tramo bajo estudio.
En la Gráfica 2 pueden analizarse las cifras de la recaudación del impuesto al valor agregado nacional y el impuesto a los ingresos brutos provinciales. En el primero puede verse la evolución de ambos tributos en términos de presión tributaria por período de análisis; hasta principios de los años noventa, la presión tributaria del IVA fluctúa entre el 2% y el 3% del PIB, para crecer a valores de alrededor del 7% del PIB a partir de 1993, para luego caer a valores próximos al 5% y volver a crecer hasta niveles superiores al 8% del PIB. Entretanto, los ingresos brutos provinciales varían entre el 1% y el 3% del PIB total, aproximándose al 4% del PIB hacia 2012.
Hacia mediados de la década de 1990, la recaudación por estos impuestos alcanzaba alrededor del 45% del total de los ingresos tributarios, mientras que hacia 2010-2012 ambos impuestos concentraban el 35% del total de recaudación nacional y provincial.

a) En porcentajes del PIB
Fuente: elaboración propia con base en datos del Ministerio de Hacienda y Finanzas de Argentina.

b) Participación en el total de recaudación
Fuente: elaboración propia con base en datos del Ministerio de Hacienda y Finanzas de Argentina.En la Gráfica 3 puede apreciarse la presión tributaria de ingresos brutos como porcentaje del respectivo PGB de cada provincia, como promedio para todo el período. Las provincias de Neuquén, Río Negro, Salta, Tucumán, Ciudad de Buenos Aires, muestran un coeficiente de presión tributaria superior al promedio, del 2,5% del PIB para el período 1991-2012.
A partir del análisis del comportamiento de la recaudación del impuesto sobre ingresos brutos y del IVA, resulta interesante analizar el carácter procíclico de los mismos en relación con la evolución del producto bruto. En consecuencia, se relacionaron los componentes cíclicos de los ingresos provenientes del impuesto sobre ingresos brutos con los correspondientes productos brutos geográficos, por un lado, para cada provincia, y con el PIB, para el total país, y del IVA, también con el PIB, por el otro.
La obtención de una estimación del comportamiento procíclico de la recaudación y del producto se realiza del siguiente modo: se define el ciclo para una variable económica ajustando una tendencia a la evolución de la variable bajo análisis. La diferencia entre el logaritmo de los valores observados y la tendencia estimada permite obtener el componente cíclico de la serie. Para obtener la tendencia de una serie de tiempo, se utiliza frecuentemente el filtro de Hodrick-Prescott (1997)4. Calculando la diferencia entre los valores originales de la variable en logaritmo y la tendencia estimada por el filtro de Hodrick-Prescott, se obtiene el componente cíclico. Luego, para determinar el comportamiento procíclico, se calcula el coeficiente de correlación entre los ciclos de los ingresos tributarios y el PGB.

En porcentajes del PGB de cada provincia. Promedio 1991-2012
Fuente: elaboración propia con base en datos del Ministerio de Hacienda y Finanzas de Argentina.Como puede apreciarse en la Gráfica 4, tanto la recaudación de ingresos brutos provincial como la del IVA nacional, se han aproximado hacia el final del período analizado a su tendencia, habiendo existido períodos, como 2001-2002, en los cuales se han experimentado valores inferiores a la tendencia, siguiendo la evolución del PIB nacional.

a) Ingresos brutos, serie y tendencia
Fuente: elaboración propia a partir de datos del Ministerio de Hacienda y Finanzas de Argentina.

b) Ingresos brutos, componente cíclico
Fuente: elaboración propia a partir de datos del Ministerio de Hacienda y Finanzas de Argentina.

c) Ingreso real per cápita, serie y tendencia
Fuente: elaboración propia a partir de datos del Ministerio de Hacienda y Finanzas de Argentina.

d) Ingreso real per cápita, componente cíclico
Fuente: elaboración propia a partir de datos del Ministerio de Hacienda y Finanzas de Argentina.

e) IVA, serie y tendencia
Fuente: elaboración propia a partir de datos del Ministerio de Hacienda y Finanzas de Argentina.

f) IVA, componente cíclico
Fuente: elaboración propia a partir de datos del Ministerio de Hacienda y Finanzas de Argentina.En relación con el comportamiento cíclico, puede advertirse que existen jurisdicciones que han experimentado evoluciones significativas y procíclicas, como la Ciudad de Buenos Aires, Formosa, La Rioja o Mendoza, y otras han sido significativas pero en contra del ciclo, como Catamarca, Corrientes o La Pampa5. En el agregado del total país, sin embargo, la correlación entre los componentes cíclicos es del 0,60 y significativa, siendo inferior a la del IVA, de 0,64 (consistente con los resultados de Di Gresia, 2004). La correlación entre los componentes cíclicos del IVA e ingresos brutos, para el total país, es de 0,85, la que resulta también significativa (véase Tabla 1).

ASPECTOS TEÓRICOS
En esta sección se presentan los fundamentos teóricos para el análisis de frontera estocástica. Los modelos de frontera estocástica de producción (SFA) constituyen una extensión del análisis de regresión. En forma análoga a una función de producción, la frontera estocástica impositiva mide el máximo nivel de recaudación que una unidad de gobierno (país, estado, provincia) puede alcanzar, dado un conjunto de determinantes de la recaudación. La diferencia entre la recaudación observada y la máxima alcanzable, indica tanto la ineficiencia técnica como cuestiones de economía política asociadas a la función de recaudación. A diferencia de las funciones de producción, en donde los insumos que contribuyen a la misma son claros, el caso de las fronteras tributarias es menos evidente, porque si bien el producto per cápita o el nivel de educación pueden ser determinantes de la recaudación, en el caso de otros factores, como la desigualdad o la inflación, el efecto no es claro (Pessino y Fenocchietto, 2010,2013).
Las fronteras de producción estocásticas fueron propuestas originalmente por Aigner, Lovell y Schmidt (1977). La especificación original es una función de producción para análisis cross-section; el término de error tiene dos componentes: random y eficiencia técnica (Coelli, 1996; Pessino y Fenocchietto, 2010), estimados por el método de máxima verosimilitud:
(1)donde: Yi es producción (o el log) de la iésima unidad; xi es un vector k × 1 de cantidades de insumos; b es un vector de parámetros desconocidos; Vi son variables aleatorias
, e independientes de los Ui que son variables aleatorias no negativas que se supone registran la ineficiencia técnica y son
.
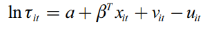
Variantes de este modelo se han aplicado en la literatura con diferentes estructuras del término de error y supuestos sobre las distribuciones. Battese y Coelli (1992) presentan un modelo de frontera estocástica para datos de panel (el panel no necesita estar completo) con efectos por firma que se suponen distribuidos como variables normales truncadas, y que pueden variar sistemáticamente en el tiempo.
(2)Las variables se definen igual que en (1) adicionando la variabilidad en t. Las Vit son aleatorias iid N(0, σV2), independientes de los Uit = (Ui exp(-η(t - T))). Los Ui son no negativos y reflejan la ineficiencia técnica en la producción y se suponen iid como realizaciones truncadas en cero de una distribución N(μ, σU2), y η es un parámetro a estimar. Si η es cero, entonces la ineficiencia es invariante en el tiempo; si es positivo, las ineficiencias decrecen en el tiempo, mientras que si T = 1 es el modelo original cross-section, seminormal de Aigner, Lovell y Schmidt (1977).
Battese y Corra (1977) muestran que es posible reemplazar σV2 y σU2 por σ2 = σV2 + σU2 y γ = σU2/(σV2 + σU2) (debe estar entre 0 y 1) y λ = σU /σV (puede adoptar cualquier valor no negativo). Cuando γ tiende a cero, σV2 tiende a infinito o σU2 tiende a cero, con lo cual el modelo se puede estimar por OLS; si γ tiende a 1, el modelo arroja una frontera determinística sin ruido aleatorio.
Es interesante analizar, sin embargo, si, además de la estimación de la frontera, existen factores que afecten la propia eficiencia. Algunos estudios empíricos estimaron fronteras estocásticas de producción (o su inversa, de costos) y luego regresaron a las predicciones de los niveles de eficiencia contra variables específicas de las firmas con el fin de identificar factores que afectan la eficiencia. Estos procedimientos de dos etapas no proporcionan, sin embargo, estimadores eficientes. Battese y Coelli (1995) proponen el siguiente modelo para estimar en una sola etapa:
(3)donde las Vit son iid N(0, σV2), e independientes de los Uit que son no negativos distribuidos como una normal truncada en cero N(mit, σU2) donde:
(4)En este caso, zites un vector p × 1 de variables que pueden afectar la eficiencia, y δ es un vector 1 × p de parámetros a estimar. La especificación del modelo abarca a un conjunto de otras especificaciones como casos especiales. Si se define T = 1 y zit contuviera el valor 1 y ninguna otra variable (solo una constante), el modelo se reduce a la especificación normal truncada en Stevenson (1980), donde δ0 (el único elemento en δ) tiene la misma interpretación que el parámetro m en Stevenson (1980).
Los modelos definidos en (3) y en (4) no tienen al modelo definido en (2) como un caso especial, y a la inversa tampoco. Estas especificaciones son non-nested, con lo cual no puede definirse un set de restricciones que permita testear entre los modelos alternativos. Lo anterior implica que resulta dificultoso evaluar estadísticamente si es más apropiado, una especificación que intente estimar una frontera estocástica u otro que además intente modelar la ineficiencia para alcanzar la misma, porque los modelos no están contenidos entre sí.
Dada la especificación del modelo, y en función de los valores de los parámetros, se testean las hipótesis de:
a) La ineficiencia técnica no es afectada por las variables explicativas (δ= 0);
b) El término de ineficiencia técnica no es estocástico, con lo cual λ= 0, estando λ expresado como el ratio de la desviación estándar del término de ineficiencia con relación a la desviación estándar del término de error y provee información sobre la contribución relativa de ambos componentes de error sobre el error total.
La construcción del término de error es la diferencia conceptual entre las estimaciones de los modelos de regresión y los modelos SFA. En los modelos de regresión, el término de error, que representa la ineficiencia, puede ser positivo o negativo, indicando que una jurisdicción puede desviarse de su recaudación predicha promedio, generando ingresos superiores o inferiores a los actuales. Por el contrario, en los modelos SFA, el componente no negativo del término de error asegura que una jurisdicción puede alcanzar la recaudación óptima en su máximo, es decir, que la recaudación observada nunca puede exceder a la óptima (Cyan, Martínez-Vázquez y Vulovic, 2013; Garg et al. 2014; Pessino y Fenochietto, 2010, 2013).
En términos formales, los modelos serían los siguientes:
(5)
(6)
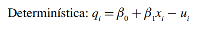
(7)donde: qi = vector de outputs (logaritmo de la recaudación tributaria); xi = valor de los inputs (logaritmo del PIB, entre otros); vi = “ruido” término de error simétrico (e. g., distribución normal), ui = “término de error de ineficiencia” - no negativo (e. g., half-normal distribution), siendo β1 los valores de los parámetros a estimar.
En consecuencia, a partir de la ecuación (7), el modelo a estimar es el siguiente:
(8)El objetivo del análisis es predecir y medir efectos de ineficiencia. Para ello, se define el “esfuerzo tributario” (denominado TEi en la ecuación 9), como el cociente entre la recaudación tributaria actual y la correspondiente frontera recaudatoria estocástica (capacidad recaudatoria), con valor entre 0 y 1. La diferencia entre la recaudación observada y la frontera puede ser interpretada como el impuesto no recaudado, lo que no necesariamente puede ser causado por ineficiencias en la función de recaudación, sino también porque las sociedades hayan decidido que la recaudación sea baja por preferencias por provisión de bienes públicos también reducida (Pessino y Fenocchietto, 2010). La fórmula es:
(9)METODOLOGÍA EMPLEADA PARA EL ANÁLISIS
El propósito de esta sección es el de establecer los lineamientos utilizados para el análisis empírico. El objetivo es estimar el esfuerzo tributario de cada jurisdicción en relación con el impuesto a los ingresos brutos para el período 1991-2012, mediante la estimación por máxima verosimilitud de los parámetros de un modelo de frontera estocástica, como fuera explicitado en la sección anterior. La ecuación a estimar es la explicitada en (9).
La variable dependiente es, en consecuencia, el cociente de la recaudación del impuesto sobre el PGB de cada jurisdicción6, la denominada presión tributaria, cuyo comportamiento ya fuera expuesto en la sección anterior. A lo largo de todo el período analizado, puede apreciarse un crecimiento importante en la recaudación tributaria, medida a partir de la presión tributaria. Las estimaciones a realizar consideran las variables dependientes que se explicitan a continuación.
Se incluyen, como variables de control, variables económicas provinciales (ingreso per cápita, desocupación, proporción del gasto educativo provincial, porcentaje del PGB agropecuario); transferencias federales en función de regalías en porcentaje del PGB, el gasto público nacional en cada jurisdicción en porcentaje del PIB, y variables de índole política (coincidencia de signo político entre el presidente y la mayoría de los diputados nacionales por el distrito) (en la Tabla 2 se presentan las estadísticas básicas y las fuentes de información).
Las provincias con mayor nivel de ingreso tenderán a demandar mayores bienes públicos y tolerarán mayores impuestos; por otro lado, dado que ante un aumento del ingreso, el mismo nivel de recaudación puede alcanzarse con una alícuota menor, el efecto del nivel de renta sobre la alícuota es incierto.
Del mismo modo, las transferencias que perciben los gobiernos subnacionales por parte del gobierno central, pueden tener alguna influencia sobre el nivel de los impuestos provinciales; se incluyen los fondos enviados por la nación a las provincias en concepto de regalías en términos de porcentaje del PGB.
Se incluyen, como variable de costos, las proporciones de población que utilizan los servicios públicos en forma más intensiva, en este caso, la tasa de desocupación por provincia7, 8.

Resulta dificultoso definir una variable de decisión a partir de la cual pueda testearse la “política tributaria” de cada gobierno. Los estudios sobre estas temáticas utilizan, como variable relevante para analizar la política impositiva de cada nivel de gobierno, las alícuotas nominales, deflactadas por algún índice de precios que se juzgue como apropiado. Sin embargo, la recaudación impositiva puede aumentar aunque los gobiernos no incrementen las tasas: una eliminación de una exención implicaría mayores ingresos para el fisco, lo que no estaría contemplado en la alícuota nominal. Este trabajo procurará medir distintas variables que aproximen a la política impositiva de los gobiernos, como sugieren Fenocchietto y Pessino (2013).
Las variables explicativas adicionales empleadas involucran a la evolución de las variables de productividad y tasa efectiva del impuesto sobre los ingresos brutos. Se insiste en que, si bien este trabajo analiza el impuesto sobre los ingresos brutos, se presentará la evolución de las variables asimilables para el caso del IVA, a título comparativo.
Tasas efectivas. La existencia de exenciones y alícuotas diferenciales, las que, en el caso del IVA, por ejemplo, interrumpen la cadena de créditos y débitos, hace que la alícuota nominal difiera de la tasa efectiva, la que se calcula como el cociente del impuesto pagado sobre la base imponible. De nuevo, sin exenciones ni tasas diferenciales, un IVA del 21% nominal sobre el consumo generaría una tasa efectiva del mismo valor.
En la Gráfica 6 se muestran las tasas efectivas, calculadas para cada período y cada provincia. En el caso del IVA, el cálculo partió de la información de la matriz insumo producto, a la cual se le aplicaron las tasas vigentes por período para los sectores gravados, configurando el impuesto teórico pagado. La tasa efectiva surge de dividir el mismo por el consumo privado.
Para ingresos brutos, entretanto, para cada provincia se expandió el valor del PGB a precios básicos calculado como fuera explicitado anteriormente, por el coeficiente de valor bruto de producción (VBP) a valor agregado bruto (VAB) de la matriz insumo producto para cada actividad económica. A estos valores, se le aplicaron las tasas por actividad económica relevadas (ya mencionadas), considerando el encadenamiento productivo que implica que la tasa nominal de una actividad debe aplicarse sobre el VBP de sector al que este le compra, más el impuesto pagado por el sector (impuesto en cascada)9, 10.
En la Gráfica 5a puede apreciarse la caída a principios de la década de 2000 de la tasa efectiva del IVA, debido a la introducción de la alícuota nominal del 10,5%; en 1997, solo pagaba esa tasa la venta de viviendas residenciales nuevas, mientras que en 2004 se habían incluido, entre otros, los consumos de carne vacuna, frutas y verduras frescas, medicina prepagada y el transporte de pasajeros, para luego evidenciar una leve alza hacia finales de la década.
Productividad. Una de las formas de calcular el rendimiento de un impuesto es el denominado coeficiente de productividad, que se define como el ratio de la recaudación del impuesto en porcentaje del PIB (presión tributaria), dividida por la tasa impositiva nominal. Un impuesto con alícuota uniforme, sin exenciones, sobre el valor agregado, debería, sin evasión, acercarse a un valor de 1.
La idea básica es que si la recaudación es el resultado de aplicar una alícuota a una determinada base imponible, la relación entre la misma (medida como porcentaje de un agregado macroeconómico que mejor represente la base imponible del impuesto) debe ser de 1 o muy cercana a 1, por cada punto de alícuota. Esto no debe necesariamente esperarse como una regla, dado que el agregado macroeconómico elegido puede no representar íntegramente la base imponible, o hacerlo en forma parcial (Pecho, Peláez y Sánchez, 2011)11.
En la Gráfica 5b se muestra la evolución de la productividad del IVA e ingresos brutos. Allí puede verse que la productividad del IVA es creciente y oscila entre 0,2 y 0,4 puntos, mientras que la de ingresos brutos (IIBB) es superior a la unidad, dado que la base imponible apropiada sería en este caso el valor bruto de producción, mientras que el denominador de la expresión utilizado aquí es el PGB de cada provincia; al ser un impuesto en cascada, se está tributando varias veces sobre el mismo valor.
Con el fin de testear la robustez de los resultados alcanzados y analizar de manera separada la contribución de cada variable de política tributaria al esfuerzo tributario, se presentarán dos estimaciones separadas, considerando, de forma alternativa, como variable explicativa a la tasa efectiva o a la productividad del impuesto.
Para poder captar efectos sobre la eficiencia recaudatoria, sería interesante poder adicionar variables relacionadas con incumplimiento tributario, institucionalidad o grado de corrupción por provincia. Sin embargo, estos datos pudieron relevarse solo a nivel federal, con lo cual se adicionó, como proxy, el gasto en justicia realizado por cada jurisdicción, asumiendo una relación positiva entre la corrupción y el gasto mencionado (es decir, negativa con la eficiencia).
Como variables explicativas de la eficiencia, se adicionaron el crecimiento poblacional12 y la informalidad, las que se relacionarían teóricamente en forma negativa con la eficiencia; en el primer caso, por mayores costos de administración tributaria, mientras que en el segundo, como proxy de moral tributaria baja13.

Además, se incluye una variable dummy de índole política. Esta hace alusión a la representatividad de las provincias en el Gobierno Nacional: cuando el presidente concuerda con el partido político de los diputados nacionales elegidos por su provincia, el valor de la variable presydip es igual a 1, y 0 en caso contrario14.
PRESENTACIÓN DE LOS RESULTADOS
En la presente sección se exponen los resultados del modelo para las variables explicativas ya explicitadas, que intentan determinar la política tributaria de las provincias en relación con el impuesto a los ingresos brutos: la tasa efectiva total y la productividad en forma separada.
Se realizaron tres estimaciones para cada uno de los modelos: el modelo de Battese y Coelli (1992) en donde se asume que la ineficiencia decae a una tasa constante, y las especificaciones de Battese y Coelli (1995), en un caso, con una distribución normal truncada para la ineficiencia, y en el segundo caso, especificando variables que afectan a la eficiencia (environmental variables), de acuerdo con la literatura. A diferencia de los modelos anteriores, y como se sugiere en Pessino y Fenocchietto (2013), se incorporan como variables explicativas las tasas efectivas y la productividad del impuesto, para considerarlas como variables de política y, por consiguiente, bajo el control de las autoridades
Como fuera especificado con anterioridad, existe consenso en la literatura sobre el esfuerzo tributario, en considerar al nivel de ingreso per cápita u otros indicadores económicos, como el nivel de educación, como insumos de la recaudación tributaria. Sin embargo, el consenso es mucho menor al evaluar los insumos de la ecuación de ineficiencia como variables que afectan a todos los estados en general; la inflación y el índice de Gini, por ejemplo, se han utilizado en ambas estimaciones. La incorporación, como variable de control, de las tasas efectivas y de la productividad, procura abarcar conjuntamente el comportamiento de tasas y bases, junto con la ausencia de información consistente sobre precios provinciales, han llevado a que en este trabajo, como environmental variables, se considere al índice de coincidencia política (presidente y gobernador, o presidente y diputados, se espera que un signo positivo incremente la ineficiencia, y el gasto en justicia, asumiendo correlación negativa con la corrupción; es decir, a mayor gasto en justicia menor corrupción, lo cual disminuiría la ineficiencia), que ha sido empleado en la estimación sobre ineficiencia. La tasa de crecimiento poblacional está asociada con una mayor ineficiencia, porque es más dificultoso administrar poblaciones rápidamente crecientes de contribuyentes. La informalidad también afecta de manera positiva la ineficiencia. Pessino y Fenocchietto (2010, 2013) incluyen entre las environmental variables a la inflación y al índice de Gini15.
En la Tabla 3 se presentan los resultados de las estimaciones por máxima verosimilitud de los parámetros de la frontera estocástica recaudatoria para las tres especificaciones del modelo, que considera como variable explicativa a la tasa efectiva del impuesto. La primera asume una especificación en donde la ineficiencia decae a tasa constante, mientras que en la segunda y tercera se plantea una distribución normal truncada para la ineficiencia; en la tercera, la ineficiencia es función de las environmental variables.
El ingreso per cápita afecta de manera positiva la recaudación tributaria en las tres especificaciones, mientras que el gasto en educación, indicador de una mayor moral tributaria, también afecta de forma positiva. A diferencia de los modelos de esfuerzo tributario, en donde la participación de la agricultura impacta en forma negativa (sector más propenso a evadir impuestos), en este caso la relación es positiva, debido probablemente al hecho de que las tasas de la agricultura fueron incrementadas a lo largo del período bajo análisis, como fuera explicitado. La tasa efectiva, entretanto, afecta positiva y significativamente.
Para la primera de las especificaciones, el parámetro eta (η) resulta positivo y significativo, con lo cual no se rechaza la hipótesis de que la ineficiencia no sea constante. Al adicionar variables explicativas para el componente de ineficiencia, además de mejorar la verosimilitud y la significatividad de los estimadores de los parámetros, se encuentra que el parámetro de gasto en justicia es significativo y coincide con los valores esperados; si puede asociarse un mayor gasto en justicia con una menor corrupción por la necesidad de controlarla, el mismo se asocia de manera negativa con la ineficiencia y de forma positiva con la eficiencia. Entretanto, el parámetro de coincidencia política entre presidente y diputados es positivo, implicando que esta influye de manera positiva sobre la ineficiencia aunque no es significativo, al igual del crecimiento poblacional. Los valores de lambda (λ) son significativos; refleja la importancia de la ineficiencia en el término de error.
En la Tabla 4 se muestran los resultados de las especificaciones para el modelo que considera la productividad del impuesto como variable explicativa. De nuevo, el ingreso per cápita afecta de manera positiva la recaudación, mientras que la productividad también impacta positivamente y en forma significativa. La ineficiencia, modelada mediante la informalidad y el gasto en justicia, es significativa y mantiene los signos esperados.




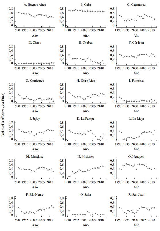
En la Tabla 5 se muestran los resultados de los cálculos de ineficiencia para el modelo I. Las provincias de Santiago del Estero y Catamarca presentan un componente de ineficiencia de alrededor del 100% de la recaudación actual, mientras que el desaprovechamiento potencial de Salta es el más reducido. En la Gráfica 6 puede apreciarse la evolución en el tiempo del desaprovechamiento del impuesto potencial; la ineficiencia es, para la mayoría de las provincias, decreciente.



Los resultados de los cálculos de ineficiencia para el modelo II se muestran en la Tabla 6. Las provincias de Santiago del Estero y La Rioja presentan un componente de ineficiencia cercano o superior al 100% de la recaudación actual, mientras que el desaprovechamiento potencial de Salta es, de nuevo, el más reducido. En promedio, la ineficiencia es ligeramente inferior que en la primera de las estimaciones. En la Gráfica 7 puede apreciarse la evolución en el tiempo del desaprovechamiento del impuesto potencial; si bien es mucho más oscilante que en el caso anterior, la ineficiencia sigue siendo, para la mayoría de las provincias, decreciente.



Los coeficientes de correlación de la ineficiencia técnica se muestran en la Tabla 7, tanto para el modelo I como para el modelo II. Allí puede verse que, en promedio para todo el país, la correlación es de 0,68, evidenciándose correlaciones significativas en la mayoría de las provincias. La correlación es mayor al considerar los ordenamientos en términos de ineficiencia que arrojan las estimaciones, la que representa un valor de 0,90.

CONCLUSIONES
Con el objetivo de analizar la sustentabilidad de financiamiento de los gastos públicos, una herramienta de utilidad para las diferentes jurisdicciones resulta ser la evaluación sobre el potencial recaudatorio; dado que, si su recaudación actual está cercana al mismo, la expansión del gasto deberá ser financiada con otra fuente de ingresos no tributaria (deuda pública, entre otros).
Este trabajo presenta una estimación orientativa, adaptando la metodología de esfuerzo tributario, que puede contribuir a determinar la capacidad tributaria de una jurisdicción en términos relativos a los de otras provincias, a partir de determinadas características. La diferencia entre la recaudación potencial y la observada encierra tanto ineficiencias técnicas, como variables de política discrecionales (tasas, bases imponibles, exenciones), pero también decisiones sobre el nivel de provisión de bienes públicos por parte de las comunidades y su financiamiento.
En el caso de la Argentina, la principal fuente de recaudación de impuestos propios resulta ser el impuesto sobre los ingresos brutos. En este trabajo se procuran establecer algunos lineamientos orientativos para el análisis del esfuerzo tributario de las provincias en relación con este impuesto, presentando dos indicadores diferentes a fines de intentar aproximar de la manera más precisa a la determinación del esfuerzo, al estipular como variables explicativas la productividad de ingresos brutos (cociente entre presión tributaria y tasa) y los tipos “efectivos” de ingresos brutos.
Como otras variables explicativas del esfuerzo tributario, se incorporaron: ingreso per cápita, transferencias de nación a provincias por regalías, tasa de desocupación, además del gasto en educación, porcentaje de agricultura en el producto, y el gasto público nacional en las provincias.
Se incorporan como controles a variables de índole política (coincidencia en el signo político entre presidente y diputados), la proporción del gasto en justicia para aproximar a la evolución de la corrupción, y alternativamente a la informalidad y al crecimiento poblacional, con el objetivo de modelar la ineficiencia.
La evidencia encontrada sugiere que existe una brecha entre la recaudación efectiva y la potencial, con lo que el grado de desaprovechamiento del potencial tributario es mayor para las provincias de menor recaudación. Esto es aproximadamente coincidente para ambos modelos y para los promedios de presión tributaria expuestos en la Gráfica 3, en donde se aprecia que las provincias de menor recaudación son las que se encuentran más lejos de su potencial, con lo cual la ineficiencia es mayor.
Estos resultados están, sin embargo, sujetos a la disponibilidad y calidad de la información existente, como variables a nivel de provincia (precios, cuestiones institucionales, informalidad, desigualdad, etc.), estructuras productivas, datos sobre gastos e ingresos, etc.; además de mejor información sobre el ingreso por provincia, podrían ayudar a aportar mayor evidencia al respecto. Cabe destacar que, con el cambio del año base a 2004, los valores que arrojan las estimaciones serían menores; la presión tributaria en porcentaje del PIB disminuye en más de seis puntos del PIB con la nueva estimación (alrededor de un punto porcentual para 2012 en el caso de ingresos brutos), aunque, sin embargo, no se posee una serie completa que abarque la década de 1990.
Referencias
Agbeyegbe, T., Stotsky, J., & WoldeMariam, A. (2004). Trade liberalization, exchange rate changes, and tax revenue in Sub-Saharan Africa (Working Paper WP/04/178). IMF.
Aigner, D., Lovell, C. A. K., & Schmidt, P. J. (1977). Formulation and estimation of stochastic frontier production function models. Journal of Econometrics, 6, 21-37.
Alfirman, L. (2003). Estimating stochastic frontier tax potential: Can Indonesian local governments increase tax revenues under decentralization? (Working Paper 03-19). University of Colorado at Boulder.
Battese, G., & Corra, G. (1977). Estimation of a production frontier model: With application to the pastoral zone of Eastern Australia. Australian Journal of Agricultural Economics, 21, 169-179.
Battese, G., & Coelli, T. (1988). Prediction of firm level technical efficiencies with generalized frontier production function and panel data. Journal of Econometrics, 38, 387-399.
Battese, G., & Coelli, T. (1992). Frontier production functions, technical efficiency and panel data: With application to paddy farmers in India. Journal of Productivity Analysis, 3, 153-169.
Battese, G., & Coelli, T. (1995). A model for technical inefficiency effects in a stochastic frontier production function for panel data. Empirical Economics, 20, 325-332.
Bird, R., Martínez-Vázquez, J., & Torgler, B. (2004). Societal institutions and tax effort in developing countries (Working Paper 04-06). International Studies Program, Andrew Young School of Policy Studies, Georgia State University.
Bird, R., Martínez-Vázquez, J., & Torgler, B. (2008). Tax effort in developing countries and high income countries: The impact of corruption, voice and accountability. Economic Analysis & Policy, 38(1), March.
Coelli, T. (1996). A guide to FRONTIER version 4.1: A computer program for stochastic frontier production and cost function estimation (Working Paper 96/07). CEPA.
Cyan, M., Martínez-Vázquez, J., & Vulovic, V. (2013). Measuring tax effort: Does the estimation approach matter and should effort be linked to expenditure goals? (Working Paper 13-08). International Center for Public Policy.
Daude, C., Perret, S., & Brys, B. (2015). Making Colombia’s tax policy more efficient, fair and green. Economics Department Working Papers No. 1234, OECD.
Davoodi, H., & Grigorian, G. (2007). Tax potential vs. tax effort: A cross-country analysis of Armenia’s stubbornly low tax collection (Working Paper 106). IMF.
Di Gresia, L. (2004). Desempeño comparado impuesto al valor agregado e impuesto sobre los ingresos brutos. En A. Porto (ed.), Disparidades regionales y federalismo fiscal. Editorial Universitaria de La Plata.
Fenocchietto, R., & Pessino, C. (2013). Understanding countries’ tax effort (Working Paper WP/13/244). IMF.
Garg, S., Goyal, A., & Pal, R. (2014). Why tax effort falls short of capacity in Indian states: A stochastic frontier approach (Working Paper WP-2014-032). Indira Gandhi Institute of Development Research, Mumbai.
Gómez Sabaini, J. C., Jiménez, J. P., & Rossignolo, D. (2011). Imposición a la renta personal y equidad en América Latina (Serie Macroeconomía del Desarrollo, 119). Cepal.
Gómez Sabaini, J., & Rossignolo, D. (2009). Argentina. Análisis de la situación tributaria y propuestas de reformas impositivas destinadas a mejorar la distribución del ingreso. En S. Keifman, Reflexiones y propuestas para mejorar la distribución del ingreso en Argentina. Buenos Aires: Oficina de la Organización Internacional del Trabajo.
Gupta, A. (2007). Determinants of tax revenue efforts in developing countries (Working Paper WP/07/184). IMF.
Hodrick, R. J., & Prescott, E. C. (1997). Postwar U. S. business cycles: An empirical investigation. Journal of Money, Credit, and Banking, 29(1), 1-16
Le, T., Moreno-Dodson, B., & Rojchaichaninthorn, J. (2008). Expanding taxable capacity and reaching revenue potential: Cross-country analysis (Policy Research Working Paper 4559). World Bank.
Le, T., Moreno-Dodson, B., & Bayraktarc, N. (2012). Tax capacity and tax effort: Extended cross-country analysis from 1994 to 2009 (Policy Research Working Paper 6252). World Bank.
OECD. (2015). Economic surveys: Colombia. OECD Publications.
Pecho, M., Peláez, F., & Sánchez, J. (2012). Estimación del incumplimiento tributario en América Latina 2000-2010 (Documento de Trabajo 3). Dirección de Estudios e Investigaciones Tributarias, Centro Interamericano de Administraciones Tributarias.
Pessino, C., & Fenocchietto, R. (2010). Determining countries’ tax effort. Revista de Economía Pública, 195-4, 65-87.
Stevenson, R. E. (1980). Likelihood functions for generalised stochastic frontier estimation. Journal of Econometrics, 13, 57-66.
Stotsky, J., & WoldeMariam, A. (1997). Tax effort in the Sub-Saharan Africa (Working Paper WP/97/107). International Monetary Fund.
Notas
Información adicional
Sugerencia de citación: Rossignolo, D. (2017). La ineficiencia tributaria en las provincias argentinas: el impuesto sobre los ingresos brutos. Cuadernos de Economía, 36(70), 95-135. doi: 10.15446/cuad.econ.v36n70.55025