Artículos
Análisis insumo-producto y la inversión pública: una aplicación para el Caribe colombiano
Input-Output Analysis and public investment: A case study in the Colombian Caribbean region
Analyse fourniture-produit et l’investissement public : une application pour les Caraïbes colombiennes
Análise insumo-produto e o investimento público: Uma aplicação para o Caribe colombiano
Análisis insumo-producto y la inversión pública: una aplicación para el Caribe colombiano
Cuadernos de Economía, vol. XXXVI, núm. 70, pp. 137-167, 2017
Universidad Nacional de Colombia
Recepción: 10 Marzo 2016
Recibido del documento revisado: 24 Mayo 2016
Aprobación: 27 Mayo 2016
Resumen: Este artículo busca identificar los sectores con mayor impacto intersectorial en la economía de los departamentos del Caribe colombiano, con el objetivo de ubicar actividades estratégicas para orientar la toma de decisiones de inversión pública. A través del análisis insumo-producto regional, usando los coeficientes de localización FLQ en su versión modificada y un método de extracción hipotética, se encuentra que la industria es el sector con mayor efecto multiplicador sobre el producto, empleo e ingreso. A pesar de ello, se evidencia una baja interconexión entre la mayoría de los sectores, en especial en los departamentos periféricos de la región.
Palabras clave: inversión pública, análisis insumo-producto, coeficientes de localización, multiplicadores.
Abstract: This paper tries to identify sectors that have a greater multiplier effect on the economy in the departments located on the Caribbean region of Colombia. The purpose of this is to locate strategic sectors that can guide territorial governments’ investment-making decisions. Through regional input-output analysis, and by using the modified FLQ formula and the hypothetical extraction method, we identify that industry has the greatest impact on output, employment, and household income. However, we found low interconnection between most sectors, especially in peripheral areas of the region.
Keywords: Public investment, input-ouput analysis, location quotients, multiplier.
Résumé: Cet article cherche à identifier les secteurs de plus fort impact intersectoriel des départements des Caraïbes colombiennes pour situer des activités stratégiques en vue d’orienter la prise de décisions d’investissement public. Par l’analyse des facteurs de fourniture-produit régional, en utilisant les coefficients de localisation FLQ dans leur version modifiée et une méthode d’extraction hypothétique, on trouve que l’industrie est le secteur avec le plus grand effet multiplicateur sur le produit, l’emploi et le revenu. Malgré cela, apparaît une faible interconnexion entre la plupart des secteurs, en particulier dans les départements périphériques de la région.
Mots clés: Investissement public, analyse fourniture-produit, coefficients de localisation, multiplicateurs.
Resumo: Este artigo busca identificar os setores com maior impacto intersetorial na economia das províncias do Caribe colombiano, com o objetivo de localizar atividades estratégicas para orientar a tomada de decisões de investimento público. Através da análise insumo-produto regional, utilizando os coeficientes de localização FLQ na sua versão modificada e um método de extração hipotética, pode-se ver que a indústria é o setor com maior efeito multiplicador sobre o produto, emprego e renda. Apesar disso, é possível perceber uma baixa interconexão entre a maioria dos setores, especialmente nas províncias periféricas da região.
Palavras-chave: Investimento público, análise insumo-produto, coeficientes de localização, multiplicadores.
INTRODUCCIÓN
Los proponentes de grandes proyectos de inversión pública apuntan a los amplios beneficios potenciales asociados a estos para soportar su implementación. Dado que estas iniciativas resultan costosas y requieren recursos públicos para su ejecución, la estimación de sus impactos resulta trascendental para que la sociedad determine su deseabilidad.
Investigar cuáles son las actividades económicas que generan mayores efectos en cadena a partir de la inversión pública territorial y establecer un criterio que permita medir dicho efecto multiplicador, constituye un ejercicio ampliamente constructivo, en la medida que complementa análisis como el costo-efectividad y el costo-beneficio en la tarea de orientar la inversión, y dota de mayores elementos a quienes se encargan de formular políticas públicas, que muchas veces carecen de toda la información y herramientas necesarias para llevar a cabo su tarea.
Esta necesidad es evidente en el contexto regional, donde la competencia por recursos escasos por parte de proyectos alternativos demanda el uso eficiente de los mismos, con el fin que se direccionen hacia sectores con mayor efecto multiplicador sobre la economía, permitiendo así el crecimiento económico y la generación de empleo en los territorios. Es aquí donde cobra valor el uso de modelos regionales insumo-producto, los cuales permiten estudiar las relaciones entre diferentes industrias de una economía, por medio de representaciones matriciales, y calcular multiplicadores que pueden ser utilizados para estimar los efectos que el cambio inicial en un sector productivo provoca sobre la economía de una región. Dichos cambios iniciales están relacionados con las variaciones en los componentes de la demanda final, como el incremento del gasto gubernamental, un aumento de la inversión o de las exportaciones.
En línea con lo hasta ahora expuesto, este artículo tiene como objetivo estimar los multiplicadores de producto, empleo e ingreso para los departamentos del Caribe colombiano, en aras de identificar aquellos sectores con mayor potencial de maximizar las inversiones en estos departamentos, entendiendo que este ejercicio contribuirá a un análisis más profundo de la estructura económica de la región y redundará en identificar políticas públicas que fomenten el desarrollo de la misma.
El Caribe colombiano es una región estratégica para Colombia, con siete departamentos que conforman un conjunto relacionado e integrado por su ubicación geográfica y varias de las actividades económicas principales que allí se realizan. Con cerca del 21,5% de la población nacional asentada en su territorio y sus departamentos representando el 15% del producto interno bruto (PIB), la costa Caribe recibe el 20% del presupuesto de inversión de la nación1, y ha destinado en los últimos años grandes recursos a proyectos en sectores como transporte, infraestructura, educación y agricultura. En este sentido, y dada la inexistencia de matrices subnacionales oficiales en Colombia, este trabajo se justifica en la medida que brinda información relevante para la evaluación del desempeño de las inversiones adelantadas y la planificación por las autoridades locales, al tiempo que se convierte en un esfuerzo replicable para las demás subregiones del país.
Para cumplir con el objetivo trazado, se usa la metodología propuesta por Eurostat (2008) en la configuración de una matriz insumo-producto (en adelante MIP) simétrica a escala nacional para 33 ramas de actividad y el método indirecto de regionalización de los coeficientes de localización de Flegg en su versión modificada, para la obtención de matrices de coeficientes técnicos locales, de las que se derivan los multiplicadores mencionados.
Además, se complementa y refuerza este análisis con el estudio de los sectores clave, derivados de los eslabonamientos hacia adelante y atrás, identificados a partir del método de extracción hipotética propuesto por Sonis, Guilhoto, Hewings y Martins (1995).
Este documento se desarrolla en seis secciones, constituyéndose esta introducción en la primera. En la segunda, se realiza una revisión de literatura que presenta estudios que implementan matrices y multiplicadores a escala regional. Luego se explica la motivación teórica que soporta los elementos básicos de la metodología insumo-producto y la base conceptual tras la idea del multiplicador y las ventajas y limitaciones de su utilización. La descripción de los datos y las metodologías adoptadas se encuentra en la cuarta sección. Posteriormente, se presentan los resultados de las estimaciones y la discusión correspondiente; finalmente, se concluye sobre la importancia de este ejercicio para la medición del impacto de la inversión pública en los territorios subnacionales.
REVISIÓN DE LITERATURA
La literatura sobre el cálculo de multiplicadores regionales es densa y ligada a los adelantos teóricos en el análisis insumo-producto y las técnicas de regionalización. Según Richardson (1985), la historia de los estudios regionales insumo-producto tiene tres etapas. La primera, en la década de 1950, vinculada al desarrollo intelectual de los primeros modelos para transitar de una MIP nacional a tablas que pudieran aplicarse en el entorno regional. Los trabajos pioneros corresponden a Isard (1951), quien propuso un modelo interregional para desagregar el comercio entre diferentes regiones, y Leontief (1953), quien concibió un modelo intranacional que muestra cómo medir el impacto de políticas nacionales sobre economías locales. De forma paralela, Isard y Kuenne (1953) y luego Miller (1957) progresan en técnicas para medir el impacto de la expansión de un sector industrial sobre una región particular. La segunda etapa, en la década de 1960, está marcada por el uso de métodos directos, basados en cuestionarios aplicados en las regiones, que permitieran deducir las MIP regionales. Es así como Bourque et al. (1967) esquematizan la estructura interindustrial para Washington; Emerson (1969) para Kansas y Miernyk et al. (1970) para West Virginia. Los altos costos de estos métodos provocaron que desde 1970 aparecieran múltiples enfoques alternativos e indirectos para elaborar tablas insumo-producto regionales, impulsando la tercera etapa que se mantiene hasta hoy, caracterizada por procedimientos que ajustan coeficientes nacionales para derivar coeficientes regionales.
Shen (1960) fue el primero en corregir las diferencias entre la estructura industrial regional y nacional. Usando como ponderador el valor agregado industrial regional, agrupó sectores desde una MIP nacional ampliamente desagregada hasta una matriz local compacta. Tras los trabajos de Czamanski y Malizia (1969), quienes desarrollaron la técnica de ajuste biproporcional (RAS), y especialmente, los adelantos propuestos por Schaffer y Chu (1969), Morrison y Smith (1974) y Round (1978) con relación al método de coeficientes de localización, la producción de investigaciones orientadas a la aplicación empírica se incrementó.
Kubursi, Williams y George (1975) estimaron para diez subprovincias de Ontario multiplicadores de ingreso para 48 actividades productivas, con el objetivo de verificar la factibilidad de reducir las disparidades regionales por medio de una expansión selectiva de grupos industriales particulares. Por su parte, McNicoll y Baird (1980) diseñaron la MIP de las Islas Shetland para 1971 y 1976, proponiendo su uso para derivar multiplicadores de producto, ingreso y empleo de las actividades petroleras para medir su impacto sobre la economía local. Los entes gubernamentales tomaron las aplicaciones empíricas derivadas para evaluar el desempeño económico y plantear estrategias de inversión. Con una intención similar, Fuentes y Cárdenas (2010) estiman multiplicadores para la economía mexicana, a fin de hacer recomendaciones y proponer reglas de inversión sobre la destinación de los ingresos adicionales en el presupuesto público nacional, resultado de excedentes petroleros.
La proyección de tablas insumo-producto regionales a partir de las nacionales, empleando como técnica de regionalización los coeficientes de localización, y en especial el coeficiente de Flegg original o su versión modificada, domina la literatura reciente. Entre otros, están los trabajos de Koschel et al. (2006) para Hessen en Alemania, Stoeckl (2012) para el norte de Australia, Flegg y Tohmo (2013) para 20 regiones de Finlandia, Romero y Mastronardi (2012) para Buenos Aires y Morrisey (2014) para diez sectores relacionados con las actividades marinas en Irlanda.
En Colombia, los estudios que aplican la metodología insumo-producto se enfocan a escala nacional. Dentro de ellos, están la MIP de las cuentas nacionales del Departamento Administrativo Nacional de Estadística (DANE), la matriz de contabilidad social de la misma institución y el trabajo de Hernández (2012), quien construyó los coeficientes de la tabla insumo-producto del país, teniendo en cuenta la existencia de producción secundaria de los sectores, y realizó un análisis tradicional de multiplicadores.
En el contexto regional, se destacan las investigaciones de Bonet (2000), Banguero, Duque, Garizado y Parra (2006) y Villa y Giraldo (2014). En el primer caso, Bonet propone un modelo econométrico integrando todos los departamentos de la región Caribe y estima los multiplicadores de producto, ingreso y empleo, concluyendo que el mayor efecto proviene de la agricultura, industria y el sector terciario, respectivamente. El segundo trabajo analiza la interdependencia sectorial del Valle del Cauca mediante la técnica de Rasmussen. El último estudio se enfoca en examinar los encadenamientos intersectoriales y multiplicadores de producto, empleo e ingreso en la economía de Medellín.
MODELO INSUMO-PRODUCTO, REGIONALIZACIÓN Y MULTIPLICADORES
Modelo insumo-producto
La MIP se compone de tres submatrices principales. La primera, es la matriz de consumos intermedios, que muestra el flujo de compras y ventas entre los sectores económicos. La segunda, es la submatriz de demandas finales, compuesta de las ventas de la producción de cada sector al mercado final, conformado por el consumo de los hogares y gobierno, la inversión y exportaciones netas. La última submatriz, es la de valor agregado, con información sobre pagos sectoriales a trabajo y capital, ingreso mixto y la diferencia entre el total de impuestos y subvenciones.
La construcción de la MIP depende de la adopción de varios supuestos. En principio, debe asumirse la hipótesis de homogeneidad sectorial; es decir, que los establecimientos clasificados dentro de un mismo sector deben producir un solo producto con igual estructura de insumos (Lora, 2008). El segundo es la hipótesis de invarianza de precios relativos, que para insumos o productos iguales exige precios de valoración idénticos para todos los productores (Schuschny, 2005). Por último, se requiere el cumplimiento de la hipótesis de proporcionalidad estricta, que establece que la cantidad de insumos es proporcional al nivel de producción de cada producto o sector.
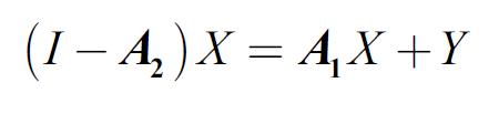
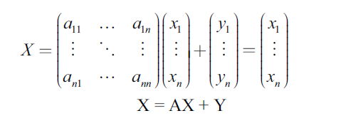
Formalmente2, la expresión matricial para la utilización del total de la producción en la MIP es:
(1)Aquí, X es un vector n × 1, que recoge en cada elemento xi la producción bruta de cada uno de los n sectores económicos. Y es un vector n × 1, con los componentes de la demanda final. Finalmente, A es una matriz n × n, denominada de requerimientos técnicos y conformada por los coeficientes aij, que indican cuáles son las necesidades del insumo i por unidad de producción bruta del sector j. Cada coeficiente es fijo para el período de construcción de la MIP, suponiendo retornos constantes a escala.
Dado que el incremento de los requerimientos directos de un sector demanda la producción de otros consumos intermedios para su producción, se provoca una cadena de producciones indirectas que se calculan despejando X en (1):
(2)Donde I es la matriz identidad. La matriz (I-A) se conoce como matriz de Leontief, mientras que la matriz (I-A)-1 se denomina matriz inversa de Leontief y cada una de sus celdas denota los requerimientos totales (directos e indirectos) en la obtención de la producción de cada sector. Entonces, (I-A)-1 recoge el efecto multiplicador de un cambio exógeno en la demanda final, lo que puede expresarse como:
(3)Multiplicadores insumo-producto
Un uso común del modelo insumo-producto es el análisis del impacto sobre la economía que tienen cambios en los componentes de la demanda agregada. Las investigaciones realizadas usan los multiplicadores insumo-producto para determinar el impacto económico que genera una actividad en la producción de un sector específico; en las demandas intersectoriales, y el aumento en el consumo de los hogares. En este sentido, el análisis de impacto usa tres multiplicadores: producto, empleo e ingreso. A su vez, los multiplicadores de ingreso y empleo se subdividen en los que captan efectos directos e indirectos de los cambios en los componentes de la demanda final (tipo I), y los que incluyen además efectos inducidos (tipo II).
Un multiplicador de producto indica cuanta será la producción necesaria para satisfacer los incrementos en la demanda, por parte de cualquier industria en la MIP. Entretanto, un multiplicador de empleo expresa los cambios iniciales en producto en términos de modificaciones en el empleo. Por último, un multiplicador de ingreso refleja el impacto de un cambio en la demanda final sobre el ingreso recibido por los hogares.
Pese a la utilidad de su construcción y aplicación, existen varias limitantes de los multiplicadores que merecen ser mencionadas. En efecto, los multiplicadores estiman cambios económicos de corto plazo, dejando por fuera ajustes de largo plazo; por tanto, los impactos identificados son probablemente transitorios. De forma similar, su derivación se basa en tablas insumo-producto generadas sobre transacciones interindustriales que ocurren cuatro o más años previos; por lo que si las relaciones estructurales indicadas por la matriz se modifican, en respuesta, por ejemplo, a cambios tecnológicos o a la aparición de nuevos productos, la fiabilidad del análisis de impacto empleando los multiplicadores iniciales se ve disminuida. Por último, un multiplicador existe debido a que la expansión de la producción de un sector dentro de la región provoca que otros sectores también se expandan, lo que a su vez, puede inducir futuros incrementos en el primer sector. Este efecto no solo opera entre sectores de una misma economía, sino también entre las economías de regiones individuales, pero el multiplicador derivado de modelos para regiones particulares no lo capta. La evidencia empírica en trabajos como el de Miller y Blair (1985), muestra que ignorar este efecto no incide sustancialmente sobre los valores obtenidos en los multiplicadores tradicionales.
METODOLOGÍA Y DATOS
El cálculo de los multiplicadores se realiza a partir de la matriz de coeficientes técnicos. Puesto que el dominio geográfico del análisis propuesto corresponde a los departamentos de la región Caribe, lo apropiado es usar la MIP para cada uno de los departamentos. Es así como se procede en tres etapas: a) construir la MIP y derivar la tabla de coeficientes técnicos a escala nacional, b) regionalizar dicha matriz y c) estimar los multiplicadores.
Construcción matriz insumo-producto
Para el interés del estudio, se requiere que la MIP sea simétrica tipo actividad-actividad. Para ello, se emplea la metodología sugerida por el Sistema Europeo de Cuentas Económicas Integradas (Eurostat, 2008), basada en el supuesto que cada producto tiene su propia estructura de ventas, independientemente del sector que lo produzca. Este método cumple con los axiomas de invariabilidad de precios, balance de materiales3 y, además, no produce coeficientes técnicos negativos.
En esencia, la metodología transforma las matrices oferta (V) y utilización (U) de las cuentas nacionales en una MIP sector-sector.
La primera decisión en la construcción de la MIP es considerar el número de sectores a trabajar. Para este caso, se seleccionaron 33 ramas de actividad económica definidas por el DANE para la presentación de las cuentas departamentales4. Con este criterio, se ajustaron las matrices de oferta y utilización de 2011 suministradas por el DANE a este tamaño, mediante la agregación de subsectores en las actividades consideradas.
Una vez realizado dicho ajuste, se procedió a crear una matriz transformación (T) a partir de la matriz oferta:
(4)Donde Vt corresponde a la transpuesta de la matriz oferta y q a un vector columna de dimensiones n × 1 que se deriva de la misma matriz. Cada fila de este vector contiene el total de la oferta de cada producto.
La matriz transformación muestra la contribución de cada industria para la producción de un bien específico y a partir de ella se construye la matriz de consumo intermedio (D):
(5)Cada número de esta matriz muestra la suma del consumo de cada industria de cada uno de los productos, ponderada por la participación de cada industria en la producción del total de cada producto.
De manera similar, se construye la matriz de demanda final (Y) que cruza la información de industria por cada componente de la demanda. Para ello, se multiplica la matriz transformación por una matriz de demanda final que cruza la información de producto por cada componente (Y'). Esta última matriz se arma a partir de la información de consumo, inversión, gasto de gobierno y exportaciones de la matriz de utilización y los datos sobre importaciones de la matriz de oferta. De esta forma:
(6)Teniendo los consumos intermedios, la demanda final que cruza la información de industria por industria y el valor agregado, extraído de la matriz de utilización, se agrupa la información y se construye la MIP sector por sector. Esta matriz simétrica es de variante B, y registra las importaciones realizadas por cada industria para su uso final. A partir de esta matriz, se calcula la matriz de coeficientes técnicos, conformada por cada uno de los coeficientes aij, definidos en la sección anterior.
Regionalización de la matriz de coeficientes técnicos
Las relaciones comerciales intrarregiones es uno de los factores que distingue a las economías regionales de las nacionales. La compra de insumos a otras regiones del país, representa una salida de la economía doméstica; es decir, que no es una demanda satisfecha con producción local. Por ello, para el análisis insumo-producto regional, es necesario hacer ajustes a la información nacional mediante métodos de estimación indirectos. En este caso, se recurre a los coeficientes de localización (LQ). Esta propuesta metodológica parte del hecho que los coeficientes técnicos regionales (aijR) derivan de los nacionales (aijN) a partir de un efecto multiplicativo, surgido de un factor de participación dentro del comercio regional (Jensen, Mandeveille y Karunarate, 1979). De esta forma se tiene:
(7)El subíndice i denota a la industria que vende el insumo y j la industria que lo compra. Si la región es exportadora y autosuficiente en la producción de un bien, se acepta que el coeficiente no cambia en la MIP regional, suponiendo que la tecnología usada por la industria es la misma en los ámbitos regional y nacional. De lo contrario, el coeficiente técnico nacional se modifica proporcionalmente hacia abajo, reflejando que la región es importadora del bien.
La elección de LQ debe atender tres criterios: a) el tamaño relativo del sector i, b) el tamaño relativo del sector j y c) el tamaño relativo de la región. En este sentido, la versión ajustada del coeficiente FLQ de Flegg y Webber (1997) es el único que cumple con estos criterios. Estudios recientes revelan que este método supera a otros como el ajuste RAS y el de balanzas comerciales, a la hora de estimar coeficientes técnicos y multiplicadores regionales insumo-producto (Bonfiglio, 2009; Bonfiglio y Chelli, 2008; Tohmo, 2004).
Los criterios sobre los tamaños relativos se estiman usando datos de producción o empleo; en este caso, se usaron datos de producción, derivados de las cuentas departamentales del DANE de 2011 para los departamentos en cuestión. El primer criterio se captura con (xiR) / (xiN), el segundo con (xjR) / (xjN) y el tercero con xR / xN. xiR es la producción regional, xiN la nacional, para el sector i; xjR es la producción regional, xjR la nacional, para el sector j, y xR y xN denotan la producción regional total y la producción nacional total.
Con base en ello, se definen el coeficiente de localización simple (SLQi) y el coeficiente de localización interindustrial (CILQij).
(8)
(9)Los coeficientes de localización simple verifican el aporte de la industria de una región con la contribución de la misma industria al total del país, y los coeficientes de localización interindustrial miden, para la región, la importancia relativa de la industria oferente respecto a la industria compradora. A partir de estos, se define el FLQij ajustado como:
(10)
(11)Donde:
(12)El parámetro λ es un corrector de ajuste que busca evitar que el peso de la producción regional de algunas industrias sea sobrestimado.
Como es usual en la literatura, se usa un valor de 0,3 para en las estimaciones5.
Construcción de multiplicadores
Multiplicador de producción
El multiplicador de producto (MP) para cada sector se computa sumando sobre las columnas de la matriz inversa de Leontief:
(13)Este multiplicador es un buen indicador del grado de interdependencia estructural entre cada sector con el resto de actividades económicas, pero cuando se analizan los impactos, los multiplicadores de ingreso y de empleo son más útiles.
Multiplicador de empleo
El multiplicador tipo I se estima excluyendo el sector de consumo de los hogares de la matriz y se define como el cociente del coeficiente de requisitos de empleos directos e indirectos sobre el coeficiente de requisitos de empleos directos para cada sector.
El vector de coeficientes de requisitos de empleos directos (E) corresponde a un vector 1 × n, donde cada elemento eiindica los trabajadores requeridos por unidad de valor bruto de producción del sector i. Los datos sobre trabajadores por sector para cada departamento se extrajeron del número de ocupados de la Gran Encuesta Integrada de Hogares (GEIH) del DANE para 2011.
El vector de coeficientes de requisitos de empleos directos e indirectos (L1) resulta de premultiplicar el vector E por la matriz inversa de Leontief:
(14)Cada elemento del vector resultante se divide por el coeficiente correspondiente en el vector E para obtener el multiplicador tipo I de empleo para cada industria.
La ampliación al multiplicador tipo II surge al considerar un modelo extendido de insumo-producto, incluyendo el consumo de las familias dentro de la matriz de coeficientes técnicos. Considerando que el consumo agregado sigue el comportamiento descrito en la versión más simple del modelo keynesiano, en función del ingreso disponible y el consumo autónomo, es posible expresar (2) como:
(15)Donde (I–N)-1 se denomina matriz inversa de Leontief ampliada, siendo N una matriz de dimensiones n × n, e igual a A + αεγ. α6 es un escalar que denota la propensión marginal a consumir, ε es un vector n × 1 que representa la participación del consumo en el sector i dentro del consumo total y γ un vector 1 × n que determina la proporción del ingreso disponible de los hogares en el sector i con relación al valor bruto de producción del sector (también se conoce como coeficiente directo de ingreso). El vector ε se premultiplicó por un vector que recoge el peso del sector i dentro del PIB departamental, con el fin de captar mejor las dinámicas de consumo de cada territorio.
El multiplicador tipo II se define como el cociente del coeficiente de requisitos de empleos directos, indirectos e inducidos sobre el coeficiente de requisitos de empleos directos. El vector de coeficientes de requisitos de empleos directos, indirectos e inducidos (L2) resulta de premultiplicar el vector E por la matriz inversa de Leontief ampliada:
(16)Cada elemento del vector resultante se divide por el coeficiente correspondiente en el vector E para obtener el multiplicador tipo II de empleo para cada industria.
Multiplicador de ingreso
El multiplicador de ingreso se estima de igual forma que el de empleo, solo que en este caso se sustituyen los coeficientes de empleo por coeficientes directos de ingreso.
El multiplicador tipo I se halla premultiplicando el vector por la matriz inversa de Leontief, resultando el vector de coeficientes directos e indirectos de ingreso (P1):
(17)Posteriormente, cada elemento del vector resultante se divide por el coeficiente correspondiente en el vector γ para obtener el multiplicador tipo I de ingreso para cada industria.
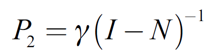
Para estimar el multiplicador tipo II, se aumenta la matriz inversa de Leontief de la forma como se hizo para el multiplicador de empleo tipo II. Una vez invertida la matriz ampliada, se calcula el vector de coeficientes directos, indirectos e inducidos de ingreso (P2):
(18)El cociente entre los coeficientes directos, indirectos e inducidos y los coeficientes directos de ingreso otorga el multiplicador tipo II.
Eslabonamientos
Uno de los análisis que permite el contexto input-output es la determinación de los sectores clave de una economía, a partir de la noción de encadenamientos hacia atrás (BL) y hacia delante (FL). Por tal motivo, se complementa la exposición de multiplicadores con la identificación de actividades clave dentro del Caribe colombiano, haciendo uso del método de extracción hipotética propuesto por Sonis et al. (1995). Esta metodología considera apropiado separar una rama, antes que extraerla, para analizar qué sucedería en la economía ante la ausencia de dicho sector.
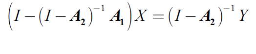
Partiendo de (1), se tiene que:
(19)Donde A1 representa las relaciones de la rama separada y A2 al resto de la economía. De (19) se desprende:
(20)De allí se derivan dos expresiones:
(21)
(22)Siendo K1 = (I – A2)-1, K2 = (I – K1A1)-1 y K3 = (I – A1K1)-1 las ecuaciones (21) y (22) pueden presentarse como:
(23)
(24)En tal caso, los productos K2K1 y K1K3 constituyen descomposiciones de la matriz inversa de Leontief, de tal manera que pueden denotarse como:
(25)
(26)Por tanto, (25) y (26) llevan a determinar el valor del vínculo hacia atrás y hacia adelante, respectivamente, de cada rama productiva. Con esta información, es posible clasificar a los sectores como lo propone la Tabla 1.

Clasificación de sectores según eslabonamientos
Chenery y Watanabe (1958).Un sector base se caracteriza por servir de input a otras industrias, mientras que una rama impulsora arrastra grandes demandas de insumos intermedios incidiendo en mayor cuantía sobre el crecimiento económico. Por su parte, los sectores clave destacan por estar presentes en todo el flujo económico soportados por la amplia demanda y oferta que hacen de insumos intermedios.
RESULTADOS Y DISCUSIÓN
Los multiplicadores y la identificación de sectores clave de los departamentos del Caribe se presentan en los Anexos 2 y 3, respectivamente. Para el Atlántico, la industria manufacturera resulta un sector clave con amplios multiplicadores. En términos monetarios, por cada peso de incremento de la demanda final de esa rama se genera una producción con valor total de $ 1,33 en toda la economía. De manera concreta, el impacto de la elaboración de alimentos y bebidas sobre el producto es de $ 1,28. Tampoco resulta despreciable el efecto de la producción agrícola, donde cada peso de demanda adicional se traduce en $ 1,30. Este resultado es particular si se considera que el peso de la agricultura y la ganadería ha representado, en promedio, el 2,2% del PIB departamental en los últimos cinco años y no es un sector con altos niveles de productividad; pero no cuando se reconoce que la mayor parte de los municipios que conforman el Atlántico soportan su estructura productiva sobre el sector primario. También son altos los multiplicadores de los servicios de transporte por vía acuática y la construcción, ambos son sectores clasificados como impulsores.
Entretanto, la construcción, con una alta absorción de mano de obra no calificada, es capaz de crear 5,78 trabajos por cada empleo directo generado a causa de una mayor demanda final de su producción, siendo la rama con mayor multiplicador de empleo. Otro renglón de alto impacto en la generación de puestos de trabajo y considerado impulsor del crecimiento económico departamental como el comercio, genera por cada empleo directo aproximadamente 3,62 trabajos.
Con relación al multiplicador de ingreso, los hogares vinculados con los servicios de transporte acuático, la industria y la construcción de obras civiles experimentan los mayores impactos ante cada peso de aumento en la demanda final.
En el caso de Bolívar, con un multiplicador de producto de 1,93, el transporte por vía acuática se convierte en el sector con mayor impacto, en suma a ser una rama impulsora. Le siguen la fabricación de alimentos y bebidas y el resto de la industria manufacturera con multiplicadores de 1,77 y 1,65, respectivamente. La industria es el sector más importante dentro de la estructura productiva departamental; representando en promedio, el 20% del PIB en los últimos cinco años, soportado en la refinación de petróleo y la fabricación de sustancias químicas.
La importancia de la industria se corrobora en la significancia del multiplicador de empleo. Si la demanda final de la industria se eleva, generando un empleo directo, el multiplicador tipo II indica que aproximadamente 2,25 puestos de trabajo se crean en toda la economía, 1,12 de ellos vía efectos indirectos. De manera especial, el efecto es de 2,50 en la producción de alimentos y bebidas. Asimismo, este sector tiene el mayor impacto sobre los ingresos de los hogares.
El transporte, en todas sus modalidades, la hotelería y el comercio ampliamente vinculados con la actividad turística de la ciudad capital, Cartagena, y municipios cercanos, también poseen grandes efectos multiplicadores, en especial sobre empleo e ingresos. Algunas actividades como la explotación minera y de crudo, pese a su efecto sobre el trabajo, no tienen mucha relevancia en el PIB (cerca del 2,7% e identificadas como actividades independientes) ni en los recursos naturales departamentales, por lo que no parece realista proponerlo como un eje para desarrollar la economía bolivarense.
A pesar de que la industria del Magdalena no es tan sólida como la de Atlántico y Bolívar y su peso dentro de la estructura del PIB no es muy grande (alrededor del 5,73%), en comparación con otras actividades como la agricultura (14,8%), el comercio y los hoteles (14,5%), resulta ser un sector clave. Concentrada en el procesamiento de alimentos y bebidas, esta rama manufacturera convierte cada peso invertido aproximadamente en $ 1,37 en el valor del producto total y por cada empleo directo generado crea alrededor de 3,23 puestos de trabajo en toda la economía. A esto se suma el impacto sobre el ingreso de los hogares, con un incremento de $ 2,28 por cada peso adicional de demanda final.
Al igual que en los departamentos anteriores, destaca el transporte, en especial el realizado por vía aérea, el cual es identificado como un sector impulsor y con un gran efecto multiplicador en el empleo. Sobre este también tiene un impacto considerable el suministro de energía eléctrica y la construcción de obras civiles, actividades clasificadas como clave e impulsora, respectivamente.
En oposición, sectores base con gran participación en la estructura económica departamental y vocación exportadora, como el agropecuario, tienen pobres resultados. Este hecho habla de un sector primario poco integrado al resto de las actividades económicas y con una producción grande pero con poco valor agregado, incapaz de incidir de manera importante con sus vínculos intersectoriales sobre el entorno económico departamental.
Para Córdoba, la producción de alimentos y bebidas es un sector clave, que ofrece los mayores multiplicadores en todas las variables analizadas. Un aumento de un peso en la demanda final de esta rama se corresponde con un incremento de $ 1,48 en la producción total y de $ 2,75 en los ingresos de los hogares. Mientras que por cada sitio de trabajo directo se generan 1,88 en toda la economía.
Tal como en los otros departamentos, el suministro de energía eléctrica es un sector clave con alto impacto en el empleo. Mientras que el suministro de gas a pesar de ser una rama independiente, también afecta significativamente este renglón. Sectores impulsores como el suministro de agua, transporte aéreo y servicios auxiliares al transporte, junto con actividades clave como el transporte acuático, inciden en el ingreso de los hogares.
La situación del Cesar es parecida, caracterizada por la producción de alimentos y bebidas como sector clave con los multiplicadores más altos. La actividad minera desencadena sustanciales efectos sobre el trabajo, resultado en línea con la dotación de recursos naturales que premia la extracción de minerales como el carbón en el departamento, actividad que jalona tanto personal especializado como sin cualificación.
El empleo también se ve impulsado por actividades clave como los servicios financieros y el suministro de energía, e impulsoras como la construcción de obras civiles. Por su parte, resultan destacables los multiplicadores de ingreso asociados al transporte por vía acuática y aérea, ambos definidos como sectores impulsores.
Finalmente, en general, los multiplicadores de La Guajira y Sucre resultan los más bajos entre todos los departamentos de la región, en una muestra de la poca diversificación de sus economías, lo que trasciende a estructuras que favorecen fuertes conexiones entre los sectores predominantes y el resto del aparato productivo, pero vínculos débiles entre los sectores menos representativos. Concentrada en actividades mineras, La Guajira tiene en las actividades de extracción y explotación de carbón el mayor efecto sobre el producto, indicando que por cada peso de demanda final se generan, aproximadamente, $ 1,37. Sin embargo, se categoriza como un sector independiente con encadenamientos por debajo del promedio. Por el contrario, la incipiente industria de transformación de alimentos de La Guajira cuenta con multiplicadores más importantes en empleo e ingreso.
En el caso de Sucre, además del sector industrial, la construcción, el transporte y el suministro de energía, reportan los multiplicadores más significativos.
Del análisis anterior, se extraen algunas consideraciones que sirven para formular recomendaciones a los gobiernos locales. La primera de ellas, es la poca integración que existe entre las actividades económicas de los departamentos, reflejada en los pocos sectores clave. En general, la industria cuenta con los mayores encadenamientos, favoreciendo preferiblemente el empleo e ingreso de los hogares vinculados con este sector. Esta característica se extiende a las actividades de suministro de energía, transporte acuático, construcción y algunos servicios.
No obstante, los multiplicadores para las demás actividades no resultan, en promedio, muy altos y su clasificación, según sus encadenamientos, varía de acuerdo con las características productivas de cada departamento, lo cual demuestra que el Caribe colombiano es una región con una estructura económica heterogénea y con poca interdependencia.
En este sentido, se recomiendan algunas pautas de acción en torno a la inversión pública, de forma tal que se optimice la destinación de los recursos gubernamentales y se solventen problemas estructurales de la economía regional. Como primera medida, el efecto multiplicador debe maximizarse a través de inversiones en aquellos sectores con mayor impacto. Del análisis presentado, se desprende la necesidad de direccionar recursos al sector manufacturero, en aras, principalmente, de diversificarlo y crear mayor interrelación con sectores que pueden servir de proveedores de insumos o potenciales clientes. Asimismo, se requiere que la inversión productiva que va hacia las ramas agrícolas genere mayor valor agregado, para que fomente vínculos fuertes con el resto de los renglones económicos y no exclusivamente entre ellas.
Las decisiones de política también deben incluir inversiones en sectores transversales, como el suministro de servicios públicos y construcción, capaces de jalonar vínculos con el transporte y la minería, de alta importancia económica para el Caribe y su cohesión social.
En segundo lugar, y en línea con la propuesta de Fuentes y Cárdenas (2010), una vez identificados los sectores con mayores encadenamientos, debe tratarse de garantizar que las inversiones se realicen en proyectos con rentabilidades superiores al promedio de cada rama, a fin de garantizar sinergia entre los análisis insumo-producto y las medidas tradicionales de rentabilidad.
Por último, debe crearse un marco de corto y mediano plazo a nivel regional, que fortalezca las iniciativas de inversión enfocadas a mejorar la infraestructura de transporte y las comunicaciones, a fin de superar la falta de vínculos espaciales en los departamentos y la región en general. De especial interés serán las inversiones en transporte fluvial y marítimo que, como se presentó, tienen grandes eslabonamientos. Fundamentalmente, el desarrollo alrededor del río Magdalena y la interconexión con sistemas multimodales.
CONCLUSIONES
Para cubrir las deficiencias existentes en Colombia en la identificación de sectores que a nivel regional tengan los impactos más significativos ante movimientos de los componentes de la demanda final, se han estimado los multiplicadores insumo-producto de producción, empleo e ingreso para 33 ramas de los departamentos de la región Caribe, al tiempo que se han identificado los sectores clave a partir de sus encadenamientos hacia atrás y adelante. Los resultados muestran al sector industrial como la actividad con mayor impacto sobre las variables seleccionadas, hecho que pone de relieve los efectos positivos de impulsar a la industria del Caribe colombiano, en momentos en que pierde competitividad y dinamismo, como uno de los ejes del crecimiento económico regional. Para ello, las inversiones en el fortalecimiento del capital humano, la adquisición de tecnología e innovación son de vital importancia.
También son representativos los multiplicadores de sectores, como el suministro de electricidad, construcción y transporte acuático, sobre todo en empleo e ingreso, y para departamentos ricos en recursos del suelo, las actividades de extracción minera.
Sin embargo, la región Caribe presenta una débil interrelación intersectorial, reflejada en los bajos multiplicadores de varios de los sectores considerados y en la heterogeneidad de la estructura productiva.
Estos hechos sugieren la necesidad de maximizar el efecto multiplicador mediante la orientación de las inversiones hacia aquellas actividades con mayor impacto y que resulten transversales al resto de sectores. Esto debe complementarse con planes estratégicos de corto y mediano plazo, que rompan las falencias estructurales en términos espaciales que dificultan las conexiones económicas de la región.
Referencias
Banguero, H., Duque, H., Garizado, P., & Parra, D. (2006). Estimación de la matriz insumo-producto simétrica para el Valle del Cauca: año 1994. Cali: Universidad Autónoma de Occidente.
Bonet, J. A. (2000). La matriz insumo-producto del Caribe colombiano (Documento de Economía Regional, 15). Banco de la República de Colombia.
Bonfiglio, A., & Chelli, F. (2008). Assessing the behaviour of non-survey methods for constructing regional input-output tables through a Monte-Carlo simulation. Economic Systems Research, 20(3), 243-258.
Bonfiglio, A. (2009). On the parameterization of techniques for representing regional economic structures. Economic Systems Research, 21(2), 115-127.
Bourque, P. J., Chambers, E. J., Chiu, J. S., Denhan, F., Dowdle, B., Gordow, G., Thomas, H., Tiebout, C. H., & Weekes, E. (1967). The Washington economy: An input-output study. Graduate School of Business Administration, University of Washington.
Czamanski, S., & Malizia, E. E. (1969). Applicability and limitations in the use of national input-output tables for regional studies. Papers of the Regional Science Association, 23(1), 65-77.
Chenery, H. B., & Watanabe, T. (1958). International comparisons of the structure of production. Econometrica, 26(4), 487-521.
Emerson, M. J. (1969). The interindustry structure of the Kansas economy (No. 21). Office of Economic Analysis.
Eurostat. (2008). Eurostat Manual of supply, use and input-output tables. Luxemburgo, Comisión Europea.
Flegg, A. T., & Tohmo, T. (2013). Regional input-output tables and the FLQ formula: A case study of Finland. Regional Studies, 47(5), 703-721.
Flegg, A. T., & Webber, D. (1997). On the appropriate use of location quotients in generating regional input-output tables: Reply. Regional Studies, 31(8), 795-805.
Fuentes, N. A., & Cárdenas, A. (2010). Evaluación del impacto de alternativas de utilización de los excedentes petroleros sobre la economía mexicana. Una aplicación del modelo insumo-producto. Economía Mexicana. Nueva Época, 19(2), 379-399.
Hernández, G. (2012). Matrices insumo-producto y análisis de multiplicadores: una aplicación para Colombia. Revista de Economía Institucional, 14(26), 203-221.
Isard, W., & Kuenne, R. E. (1953). The impact of steel upon the Greater New York-Philadelphia urban industrial region. The Review of Economics and Statistics, 35(4), 289-301.
Isard, W. (1951). Interregional and regional input-output analysis: A model of a space economy. The Review of Economics and Statistics, 33(4), 318-328.
Jensen, R. C., Mandeveille, T. D., & Karunarate, N. D. (1979). Regional economic planning: Generation of regional input-output. Londres: Croom Helm.
Koschel, H., Moslener, U., Sturm, B., Fahl, U., Ruehle, B., & Wolf, H. (2006). Integriertes Klimaschutzprogramm Hessen InKlim 2012. Endbericht. Wiesbaden.
Kubursi, A. A., Williams, J. R., & George, P. J. (1975). Sub-provincial regional income multipliers in the Ontario economy: An input-output approach. Canadian Journal of Economics, 8(1), 67-92.
Leontief, W. (1953). Interregional theory. En W. W. Leontief et al. (eds.), Studies in the structure of the American Economy (pp. 93-115). Nueva York: Oxford University Press.
Lora, E. (2008). Técnicas de medición económica. Metodología y aplicaciones en Colombia (4a edición). Bogotá: Alfaomega.
McNicoll, I. H., & Baird, R. G. (1980). Empirical applications of regional input-output analysis: A case study of Shetland. Journal of the Operational Research Society, 31(11), 983-991.
Miernyk, W. H., Shellhammer, K. L., Brown, D. M., Coccari, R. L., Gallagher, C. J., & Wineman, W. H. (1970). Simulating regional economic development: An interindutry analysis of the West Virginia economy. Lexington: Lexington books.
Miller, R. E., & Blair, P. D. (1985). Input-output analysis: Foundations and extensions. Nueva Jersey: Prentice-Hall, Inc.
Miller, R. E. (1957). The impact of the aluminum industry on the Pacific Northwest: A regional input-output analysis. The Review of Economics and Statistics, 39(2), 200-209.
Morrison, W. I., & Smith, P. (1974). Nonsurvey input-output techniques at the small area level: An evaluation. Journal of Regional Sciences, 14(1), 1-14.
Morrissey, K. (2014). Producing regional production multipliers for Irish marine sector policy: A location quotient approach. Ocean y Coastal Management, 91, 58-64.
Richardson, H. (1985). Input-output and economic base multipliers: Looking backward and forward. Journal of Regional Sciences, 25(4), 607-661.
Romero, C. A., & Mastronardi, L. J. (2012). Estimación de matrices de insumo producto regionales mediante métodos indirectos. Una aplicación para la ciudad de Buenos Aires (MPRA Paper, 37006). University Library of Munich.
Round, J. I. (1978). An interregional input-output approach to the evaluation of nonsurvey methods. Journal of Regional Science, 18(2), 179-194.
Schaffer, W. A., & Chu, K. (1969). Nonsurvey techniques for constructing interindustry models. Papers in Regional Science, 23(1), 83-104.
Schuschny, A. (2005). Tópicos sobre el modelo de insumo-producto: teoría y aplicaciones. United Nations Publications.
Shen, T. Y. (1960). An input-output table with regional weights. Papers in Regional Science, 6(1), 113-119.
Sonis, M., Guilhoto, J. J., Hewings, G. J., & Martins, E. B. (1995). Linkages, key sectors, and structural change: Some new perspectives. The Developing Economies, 33(3), 243-246.
Stoeckl, N. (2012). Comparing multipliers from survey and non-survey based IO models: An empirical investigation from Northern Australia. International Regional Science Review, 35(4), 367-388.
Tohmo, T. (2004). New developments in the use of location quotients to estimate regional input-output coefficients and multipliers. Regional Studies, 38(1), 43-54.
Villa, G., & Giraldo, S. (2014). La economía de Medellín vista desde sus indicadores económicos intersectoriales (Ensayos sobre Economía Regional, 60). Banco de la República de Colombia.
ANEXOS
Anexo 1.

Anexo 2.




Anexo 2.

Anexo 3.

I: sector independiente; IM: sector impulsor; B: sector base; C: sector clave




Notas
Información adicional
Sugerencia de citación: Ramos Ruiz, J. L., Polo Otero, J. L., & Arrieta Barcasnegras, A. (2017). Análisis insumo-producto y la inversión pública: una aplicación para el Caribe colombiano. Cuadernos de Economía, 36(70), 137-167. doi: 10.15446/cuad.econ.v36n70.58796.
JEL: R53, D57, R11, R15