Artículos

CAMBIANDO DE PERSPECTIVA EN LA ECONOMÍA DE LA MITIGACIÓN DEL CAMBIO CLIMÁTICO *

Changing of perspective in the economics of climate change mitigation

Changement de perspective dans l’économie de la mitigation du changement climatique.

Mudando de perspectiva na economia da mitigação da mudança climática

Alejandro Mora-Motta a
Universidad de Bonn, Alemania
Nohra León Rodríguez b
Universidad Nacional de Colombia, Colombia

CAMBIANDO DE PERSPECTIVA EN LA ECONOMÍA DE LA MITIGACIÓN DEL CAMBIO CLIMÁTICO *

Cuadernos de Economía, vol. XXXVI, núm. 70, pp. 169-195, 2017

Universidad Nacional de Colombia

Recepción: 15 Marzo 2015

Corregido: 09 Septiembre 2015

Aprobación: 24 Septiembre 2015

Resumen: Este artículo plantea una discusión de las corrientes de la economía que han abordado la relación entre el cambio climático (CC) con el sistema económico. Se realiza un análisis crítico de la economía del bienestar, que ve el CC como una externalidad y se enfoca en el valor presente el bienestar futuro por medio de la tasa social de descuento, y se plantea un giro hacia la economía ecológica, fundamentada en la sostenibilidad fuerte, la incertidumbre irreductible y una base normativa diferente. Con esto, se cuestiona la relevancia del crecimiento del consumo como fundamento del desarrollo. Al final del artículo, se enfatiza sobre la importancia de este giro para la investigación y la evaluación de la política climática.

JEL: Q01, Q54, Q56, Q57.

Palabras clave: cambio climático, inequidad intergeneracional, tasa de descuento, incertidumbre, sustituibilidad.

Abstract: This paper presents a discussion of the economic theories that have addressed the relationship between climate change (CC) and the economic system. The document critically analyses the welfare economics viewpoint, which sees CC as an externality and focuses on the present value of future welfare by using a social discount rate. We propose a shift towards ecological economics, which is founded on strong sustainability, the irreducibility of uncertainty, and a different normative basis. As such, we discuss the relevancy of growth consumption as a fundament for development. The paper concludes by emphasizing the relevance of this shift for climate research and policy evaluation.

JEL: Q01, Q54, Q56, Q57.

Keywords: Climate change, intergenerational inequality, discount rate, uncertainty, sustituibility.

Résumé: Cet article propose une discussion sur les courants de l’économie qui ont traité de la relation entre le changement climatique (CC) et le système économique. Il est procédé à une analyse critique de l’économie du bien-être qui voit le CC comme une externalité et pointe la valeur actuelle du bien-être futur au moyen du taux social de décompte, et envisage un virage vers l’économie écologique fondée sur la forte soutenabilité, l’incertitude irréductible et une base normative différente, ce qui remet en question la pertinence de la croissance de la consommation comme base du développement. Pour finir, l’article souligne l’importance de ce virage pour la recherche et l’évaluation de la politique climatique.

JEL : Q01, Q54, Q56, Q57.

Mots clés: Changement climatique, inégalité intergénérationnelle, taux de décompte, incertitude, soutenabilité.

Resumo: Este artigo propõe um debate sobre as correntes da economia que têm abordado a relação entre a mudança climática (MC) com o sistema econômico. É feita uma análise crítica da economia do bem-estar, que vê essa mudança como uma externalidade e se centra no valor presente ou bem-estar futuro mediante a taxa social de desconto e é proposta uma virada para a economia ecológica, fundamentada na sustentabilidade forte, a incerteza irredutível e uma base normativa diferente. Com isto, é contestada a relevância do crescimento do consumo como fundamento do desenvolvimento. No final do artigo, dá-se ênfase à importância desta virada para a pesquisa e a avaliação da política climática.

JEL: Q01, Q54, Q56, Q57.

Palavras-chave: Mudança climática, desigualdade intergeracional, taxa de desconto, incerteza, sustentabilidade.

INTRODUCCIÓN

El cambio climático (CC) es reconocido hoy como uno de los principales problemas del desarrollo, pues no hay duda respecto a que las emisiones de gases efecto invernadero (GEI) provenientes de los diferentes sistemas económicos son la causa principal del aumento generalizado de las temperaturas (calentamiento global). La variación de las temperaturas incide sobre la variabilidad de los regímenes de lluvias, el derretimiento de los glaciares, acidificación de océanos y alteración en frecuencia de eventos climáticos de gran magnitud, que han venido en aumento; asimismo, estos procesos afectan cada vez más el bienestar de los diferentes grupos sociales alrededor del mundo (Banco Mundial, 2010; Fleurbaey et al., 2014; IPCC, 2007, 2013; PNUD, 2007; Schneider y Mastrandrea, 2010).

El CC es un fenómeno de largo plazo atribuido principalmente a los sistemas económicos, tanto en la generación de emisiones de GEI como en el deterioro de los ecosistemas, con los cuales el sistema climático interactúa. El sistema climático es altamente complejo, con ciertas características caóticas gobernadas por retroalimentaciones que impiden su total predictibilidad. Sus múltiples componentes en interacción pueden llevar a cambios drásticos al traspasar umbrales críticos, llevando incluso a generar cambios abruptos, como ha ocurrido en la historia climática (Alley et al., 2003; Rial et al., 2004;Rind, 1999). El sistema climático tiene puntos de inflexión (tipping-points), que ante una leve perturbación llevan a alterar seriamente el estado o desarrollo del sistema (Lenton et al., 2008). Cuenta, además, con la propiedad de ser altamente irreversible, pues al acumularse el calor en la atmósfera y los océanos se genera una inercia de muy largo plazo, incluso 1.000 años (Solomon, Plattner, Knutti y Friedlingstein, 2009). Pero aunque exista esta inercia, la modelación del CC tiene aún incertidumbres porque no ha podido incluir la ignorancia irreductible asociada a complejidad (Curry, 2011).

Los procesos de desarrollo económico, después de la revolución industrial, han representado un deterioro generalizado tanto del sistema climático como de las funciones ecosistémicas relacionadas. Lo anterior, sumado a la transformación en cuanto a la extracción de recursos y la generación de residuos en una escala continuamente creciente (Krausmann et al., 2013), ha llevado a la presente crisis en la cual el CC es la manifestación de la transgresión de varios límites sistémicos, tanto así, como para considerar que la especie humana se ha convertido en una fuerza capaz de incidir sobre los procesos geológicos (Steffen et al., 2011).

Pese a estas interacciones de muy largo plazo entre el CC y el proceso de desarrollo económico, las preocupaciones teóricas desde la economía se remontan a la década de los ochenta; pero solo hasta después de la Cumbre de Rio 92 y la creación de la Convención Marco de las Naciones Unidas para el Cambio Climático a inicios de los años noventa, la economía abre las puertas a los análisis integrados con la intención de guiar las políticas de mitigación del CC, para alcanzar los objetivos de reducir y limitar la cantidad de GEI que son emitidos anualmente a la atmósfera, procurando que la capacidad de asimilación del sistema climático y los sistemas relacionados absorba dichas emisiones, y así progresivamente se reduzca su saturación en la atmósfera, disminuyendo el efecto invernadero (Spash, 2002). Con la publicación del Informe Stern (Stern, 2006), el debate que suscitó y la adjudicación del Nobel de Paz para el estudio del Panel Intergubernamental sobre el Cambio Climático (IPCC, 2007), así como la proliferación de estudios y modelos para analizar esta temática, se consolidó el estudio del CC como un problema económico ya entrado el siglo xxi.

Existen dos alternativas teóricas para analizar la relación del sistema económico con el CC. Por una parte, está la economía ambiental, que deriva de la economía neoclásica al analizar el problema desde la perspectiva de las externalidades y sugerir una política óptima. Por otra, la economía ecológica, que aborda el CC como un resultado del funcionamiento normal del sistema económico, y sugiere que no es suficiente con un reordenamiento del sistema de precios para enfrentar este problema, sino que además se requiere de un reordenamiento del sistema de valores e instituciones.

El presente artículo plantea una discusión de estas dos corrientes teóricas, analizando los aportes de cada una y finalizando con un balance de ellas. Analiza los aportes de la economía ambiental y resalta que dentro de esta perspectiva, aun con modelos similares, las sugerencias de política pueden ser opuestas, particularmente en torno a las divergencias éticas de la elección de una tasa pura de descuento. Propone una crítica fundamentada en la economía ecológica, dando un giro en la discusión hacia la sustituibilidad de los factores, la irreversibilidad de los procesos y la incertidumbre fuerte1. Al contrastar las perspectivas, el artículo resalta que la diferencia entre las dos corrientes se encuentra en la noción de desarrollo: mientras la economía ambiental busca mitigar el CC para que no afecte el crecimiento del consumo —proceso que se percibe como aumento de bienestar—, la economía ecológica argumenta que se debe replantear o incluso abandonar el concepto de desarrollo, pues el crecimiento del consumo, en últimas, es la causa del CC.

El documento está compuesto por cuatro secciones después de esta sección introductoria. La segunda expone la aproximación de la economía ambiental al CC. La tercera presenta la aproximación de la economía ecológica al CC. La cuarta sección plantea la discusión en torno al crecimiento del consumo como pilar del desarrollo. Finalmente, se entrega una conclusión.

Referencias

Ackerman, F., DeCanio, S., Howarth, R., & Sheeran, K. (2009). Limitations of integrated assessment models of climate change. Climatic Change, 95(3-4), 297-315. doi: 10.1007/s10584-009-9570-x.

Alley, R. B., Marotzke, J., Nordhaus, W. D., Overpeck, J. T., Peteet, D. M., Pielke, R. A.,…, & Wallace, J. M. (2003). Abrupt climate change. Science, 299(5615), 2005-2010. doi: 10.1126/science.1081056.

Arrow, K. (2007). Global climate change: A challenge to policy. The Economists’ Voice, 4(3), artículo 2. doi: 10.2202/1553-3832.1270.

Arrow, J. K., Cropper, M. L., Gollier, C., Groom, B., Heal, G. M., Newell, R. G.,…, & Weitzman, M. L. (2012). How should benefits and costs be discounted in an intergenerational context?: The views of an expert panel (Discussion Paper RFF-DP 12-53). Recuperado del sitio web de Resourcesfor the Future: http://www.rff.org/RFF/Documents/RFF-DP-12-53.pdf.

Ayres, R. U., & Kneese, A. V. (1969). Production, consumption, and externalities. American Economic Review, 59(3), 282-297. Recuperado de http://www.jstor.org/stable/1808958.

Banco Mundial. (2010). Informe sobre el desarrollo mundial 2010: desarrollo y cambio climático. Colombia: Banco Mundial, Mundi Prensa y Mayol Eds.

Botzen, W. J., & Van den Bergh, J. C. (2014). Specifications of social welfare in economic studies of climate policy: Overview of criteria and related policy insights. Environmental and Resource Economics, 58(1), 1-33. doi: 10.1007/s10640-013-9738-8.

Boulding, K. (1966). The economics of the coming spaceship earth. En H. Jarret (ed.), Environmental quality in a growing economy (pp. 3-14). Baltimore, MD: Resources for the future by Johns Hopkins University Press. Recuperado de http://arachnid.biosci.utexas.edu/courses/THOC/Readings/Boulding_SpaceshipEarth.pdf.

Cline, W. (2007, February). Chapter 6. En Yale symposium on the Stern Review. Simposio realizado por el Yale Center for the Study of Globalization. Recuperado de http://piketty.pse.ens.fr/files/SternReviewYaleSymposium2007.pdf.

Curry, J. (2011). Reasoning about climate uncertainty. Climatic Change, 108(4), 723-732. doi: 10.1007/s10584-011-0180-z.

Daly, H. E. (1974). The economics of the steady state. The American Economic Review, 64(2), 15-21. Recuperado de: http://www.jstor.org/stable/1816010.

Daly, H. E. (2007). Ecological economics and sustainable development: Selected essays of Herman Daly. Cheltenham, UK and Northampton, MA, USA: Edward Elgar Publishing Ltd.

Daly, H. E., & Cobb, J. B. (1997). Para el bien común: reorientando la economía hacia la comunidad, el ambiente y el futuro sostenible. Bogotá: Fondo de Cultura Económica.

Dasgupta, P. (2008). Discounting climate change. Journal of Risk and Uncertainty, 37(2-3), 141-169. doi: 10.1007/s11166-008-9049-6.

Easterlin, R. A. (2003). Explaining happiness. PNAS, 100(19), 11176-11183. doi: 10.1073/pnas.1633144100.

Easterlin, R. A., Angelescu, L., Switek, M., Sawangfa, O., & Smith, J. (2010). The happiness-income paradox revisited. PNAS, 107(52), 22463-22468. doi:10.1073/pnas.1015962107.

Fleurbaey, M., Kartha, S., Bolwig, S., Chee, Y. L., Chen, Y., Corbera, E.,…, & Sagar, A. D. (2014). Sustainable development and equity. En O. Edenhofer, R. Pichs-Madruga, Y. Sokona, E. Farahani, S. Kadner, K. Seyboth & J. C. Minx (eds.), Climate change 2014: Mitigation of climate change. Contribution of Working Group III to the Fifth Assessment Report of the Intergovernmental Panel on Climate Change. Cambridge, UK y Nueva York, USA: Cambridge University Press.

Foster, J. B., Clark, B., & York, R. (2009). The Midas effect: A critique of climate change economics. Development and Change, 40(6), 1085-1097. doi: 10.1111/j.1467-7660.2009.01613.x.

Funtowicz, S. O., & Ravetz, J. R. (1993). Science for the post-normal age. Futures, 25(7), 739-755. doi: http://dx.doi.org/10.1016/0016-3287 (93)90022-L.

Funtowicz, S. O., & Ravetz, J. R. (1994). The worth of a songbird: Ecological economics as a post-normal science. Ecological Economics, 10(3), 197-207. doi: http://dx.doi.org/10.1016/0921-8009(94)90108-2.

Gadrey, J., Marcellesi, F., & Barragué, B. (2013). Adiós al crecimiento: vivir en un mundo solidario y sostenible. Madrid: El Viejo Topo.

Gavrilova, O., Jonas, M., Erb, K., & Haberl, H. (2010). International trade and Austria’s livestock system: Direct and hidden carbon emission flows associated with production and consumption of products. Ecological Economics, 69(4), 920-929. doi: 10.1016/j.ecolecon.2009.11.015.

Georgescu-Roegen, N. (1975). Energy and economic myths. Southern Economic Journal, 41(3), 347-381. doi: 10.2307/1056148.

Georgescu-Roegen, N. (1977). What thermodynamics and biology can teach economists. Atlantic Economic Journal, 5(1), 13-21. doi: 10.1007/BF02315384.

Georgescu-Roegen, N. (1996). La ley de la entropía y el proceso económico. Madrid: Fundación Argentaria y Visor Distribuciones.

Gollier, C., & Weitzman, M. (2010). How should the distant future be discounted when discount rates are uncertain? Economics Letters, 107(3), 350-353. doi: http://dx.doi.org/10.1016/j.econlet.2010.03.001.

Gorz, A. (2011). Ecológica. Buenos Aires: Capital Intelectual.

Haberl, H., Wackernagel, M., Krausmann, F., Erb, K., & Monfreda, C. (2004). Ecological footprints and human appropriation of net primary production: A comparison. Land Use Policy, 21(3), 279-288. doi:10.1016/j.landusepol.2003.10.008.

Heal, G. (2007). Discounting: A review of basic economics. The University of Chicago Law Review, 74(1), 59-77. Recuperado de https://lawreview.uchicago.edu/sites/lawreview.uchicago.edu/files/uploads/74.1/74_1_Heal.pdf.

Hertwich, E. G., & Peters, G. (2009). Carbon footprint of nations: A global, trade-linked analysis. Environmental Science and Technology, 43(16), 6414-6420. doi: 10.1021/es803496a.

Hope, C. (2007, February). Chapter 2: PAGE modelling system. En Yale symposium on the Stern Review. Simposio realizado por el Yale Center for the Study of Globalization. Recuperado de http://piketty.pse.ens.fr/files/SternReviewYaleSymposium2007.pdf.

Howarth, R. B. (1997). Sustainability as opportunity. Land Economics, 73(4), 569-579. doi: 10.2307/3147246.

Hulm, M. (2009). Why we disagree about climate change: Understanding controversy, inaction and opportunity. Cambridge, UK: Cambridge University Press.

Jackson, T. (2008). Where is the “wellbeing dividend”? Nature, structure and consumption inequalities. Local Environment: The International Journal of Justice and Sustainability, 13(8), 703-723. doi: 10.10 80/13549830802475625.

Jackson, T. (2009). Prosperity without growth: Economics for a finite planet. Londres, UK: Earthscan.

Kallis, G., Demaria, F., & D’Alisa, G. (2015). Decrecimiento. En G. D’Alisa, F. Demaria & G. Kallis (eds.), Decrecimiento: un vocabulario para una nueva era (pp. 35-58). Barcelona: Ícara.

Kapp, K. W. (1974). Environmental disruption: Challenge to social science. En K. W. Kapp, Environmental policies and development planning in contemporary China and other essays (pp. 57-75). París: Mouton.

Kapp, K. W. (1978). The social costs of bussines enterprice. Nottingham, UK: Russel Press Ltd.

Krausmann, F., Erb, K.-H., Gingrich, S., Haberl, H., Bondeau, A., Gaube, V., & Searchinger, T. D. (2013). Global human appropriation of net primary production doubled in the 20th century. PNAS, 110(25), 10324-10329. doi: 10.1073/pnas.1211349110.

Latouche, S. (2010). Editorial: Degrowth. Journal of Cleaner Production, 18(6), 519-522. doi: 10.1016/j.jclepro.2010.02.003.

Lenton, T. M., Held, H., Kriegler, E., Hall, J. W., Lucht, W., Rahmstorf, S., & Schellnhuber, H. J. (2008). Tipping elements in the Earth’s climate system. PNAS, 105(6), 1787-1793. doi:10.1073/pnas.0705414105.

Martínez-Alier, J. (2010). El ecologismo de los pobres: conflictos ambientales y lenguajes de valoración. Lima: Espiritrompa Ediciones.

Max-Neef, M. (1995). Economic growth and quality of life: A threshold hypothesis. Ecological Economics, 15(2), 115-118. doi: 10.1016/0921-8009(95)00064-X.

Max-Neef, M. (2010). The world on a collision course and the need for a new economy. AMBIO: A Journal of the Human Environment, 39(3), 200-210. doi: 10.1007/s13280-010-0028-1.

Mendelsohn, R. (2007). A critique of the Stern Report. Regulation Magazine, 29(4), 42-46. Recuperado de https://environment.yale.edu/files/biblio/YaleFES-00000260.pdf

Mora-Motta, A. (2014). El cambio climático y la inequidad en Colombia: tendencias recientes y perspectivas futuras (Tesis de Maestría). Recuperado del repositorio institucional de la Universidad Nacional de Colombia, http://www.bdigital.unal.edu.co/40026/1/905203.2014.pdf.

Neumayer, E. (1999). Global warming: Discounting is not the issue, but substitutability is. Energy Policy, 27(1), 33-43. doi: 10.1016/S0301-4215 (98)00063-9.

Neumayer, E. (2007). A missed opportunity: The Stern Review on climate change fails to tackle the issue of non-substitutable loss of natural capital. Global Environmental Change, 17(3-4), 297-301. doi: 10.1016/j.gloenvcha.2007.04.001.

Nordhaus, W. (1991). To slow or not to slow: The economics of the greenhouse effect. The Economic Journal, 101(407), 920-937. doi: 10.230 7/2233864.

Nordhaus, W. (2007). The challenge of global warming: Economic models and environmental policy (200 pp.). New Haven, Connecticut USA: Yale University. Recuperado de http://aida.econ.yale.edu/~nordhaus/homepage/dice_mss_091107_public.pdf

Norgaard, R., & Baer, P. (2005). Collectively seeing climate change: The limits of formal models. BioScience, 55(11), 961-966. doi: 10.1641/0006-3568(2005)055[0961:CSCCTL]2.0.CO;2.

Norgaard, R. B. (2011). Wheighing climate futures: A critical review of the evaluation of economic evaluation. En J. S. Dryzek, R. B. Norgaard & D. Scholsberg (eds.), The Oxford Handbook of Climate Change and Society (pp. 190-204). Oxford, UK: Oxford University Press.

O’Hara, P. A. (2009). Political economy of climate change, ecological destruction and uneven development. Ecological Economics, 69(2), 223-234. doi: 10.1016/j.ecolecon.2009.09.015.

O’Neill, D. W. (2012). Measuring progress in the degrowth transition to a steady state economy. Ecological Economics, 84, 221-231. doi: 10.1016/j.ecolecon.2011.05.020.

O’Neill, D. W. (2015). The proximity of nations to a socially sustainable steady-state economy. Journal of Cleaner Production, 108, Part A, 1213-1231. doi: 10.1016/j.jclepro.2015.07.116.

Panel intergubernamental de expertos sobre el cambio climático (IPCC) (2007). Cambio climático 2007: informe de síntesis. Contribución de los grupos de trabajo I, II y III al Cuarto informe de evaluación del Grupo Intergubernamental de Expertos sobre el Cambio Climático [R. K. Pachauri, & A. Reisinger (dirs.)]. IPCC, Ginebra, Suiza, 104 pp.

Panel intergubernamental de expertos sobre el cambio climático (IPCC) (2013). Summary for policymakers. En T. F. Stocker, D. Qin, G.-K. Plattner, M. Tignor, S. K. Allen, J. Boschung, A. Nauels & P. M. Midgley (eds.), Climate change 2013: The physical science basis. Contribution of Working Group I to the Fifth Assessment Report of the Intergovernmental Panel on Climate Change. Cambridge, Reino Unido y Nueva York, NY, USA: Cambridge University Press.

Programa de las Naciones Unidas para el Desarrollo (PNUD). (2007). Informe de desarrollo humano 2007-2008. La lucha contra el cambio climático: solidaridad frente a un mundo dividido. Nueva York, USA: PNUD.

Ramsey, F. R. (1928). A mathematical theory of savings. The Economic Journal, 38(152), 543-559. doi: 10.2307/2224098.

Rial, J., Pielke Sr, R., Beniston, M., Claussen, M., Canadell, J., Cox, P., & Salas, J. D. (2004). Nonlinearities, feedbacks and critical thresholds within the earth’s climate system. Climate Change, 65(1-2), 11-38. doi: 10.1023/B:CLIM.0000037493.89489.3f.

Rind, D. (1999). Complexity and climate. Science, 284(5411), 105-107. doi: 10.1126/science.284.5411.105.

Roemer, J. E. (2011). The ethics of intertemporal distribution in a warming planet. Environmental and Resource Economics, 48(3), 363-390. doi: 10.1007/s10640-010-9414-1.

Schneider, S., & Mastrandrea, M. D. (2010). Risk, uncertainty, and assessing dangerous climate change. En S. H. Schneider, A. Rosencranz, J. O. Niles, M. Mastrandrea & K. Kuntz-Duriseti (eds.). Climate change science and policy (pp. 162-174). Washington, Covelo & Londres: Island Press.

Sen, A. (2004). Why we should preserve the spotted owl. London Review of Books, 26(3), 10-11.

Sen, A. (2013). The ends and means of sustainability. Journal of Human Development and Capabilities: A Multi-Disciplinary Journal for People-Centered Development, 14(1), 6-20. doi: 10.1080/19452829.2012.747492.

Solomon, S., Plattner, G-K., Knutti, R., & Friedlingstein, P. (2009). Irreversible climate change due to dioxide emissions. PNAS, 106(6), 1704-1709. doi: 10.1073/pnas.0812721106.

Spash, C. (2002). Greenhouse economics: Value and ethics. Londres, UK: Routledge.

Spash, C. (2007). Climate change: Need for new economic thought. Economic and Political Weekly, Feb 10, 483-490.

Stanton, E. A., & Ackerman, F. (2009). Climate and development economics: Balancing science, politics and equity. Natural Resources Forum, 33(4), 262-273. doi: 10.1111/j.1477-8947.2009.01251.x.

Steffen, W., Persson, A., Deutsch, L., Zalasiewicz, J., Williams, M., Richardson, K., Crumley, C., & Svedin, U. (2011). The anthropocene: From global change to planetary stewardship. AMBIO, 40, 739-761. doi: 10.1007/s13280-011-0185-x.

Stern, N. (2006). Stern Review: The economics of climate change. Londres, UK: HM Treasury-Cabinet Office. Recuperado de http://mudancasclimaticas.cptec.inpe.br/~rmclima/pdfs/destaques/sternreview_report_complete.pdf.

Stern, N. (2008). The economics of climate change. American Economic Review: Papers & Proceedings, 98(2), 1-37. doi: 10.1257/aer.98.2.1.

Stern, N. (2013a). Ethics, equity and the economics of climate change: Paper 1: Science and philosophy (Grantham Research Institute on Climate Change and the Environment Working Paper 84a). Recuperado de http://www.cccep.ac.uk/publications/ethics-equity-and-the-economics-of-climate-change-paper-1-science-and-philosophy

Stern, N. (2013b). Ethics, equity and the economics of climate change: Paper 2: Science and philosophy (Grantham Research Institute on Climate Change and the Environment Working Paper 84b). Recuperado de http://www.lse.ac.uk/GranthamInstitute/wp-content/uploads/2012/06/WP84b-Ethics-equity-and-the-economics-of-climate-change.-Paper-2.pdf.

Van den Bergh, J. C. J. M. (2004). Optimal climate policy is a utopia: From quantitative to qualitative cost-benefit analysis. Ecological Economics, 48(4), 385-393. doi: http://dx.doi.org/10.1016/j.ecolecon.2003.10.011.

Van den Bergh, J. C. J. M., & Kallis, G. (2012). Growth, a-growth or degrowth to stay within planetary boundaries. Journal of Economic Issues, XLVI(4), 909-920. doi: 10.2753/JEI0021-3624460404.

Vatn, A., & Bromely, D. (1997). Externalities – A market model failure. Environmental and Resource Economics, 9(2), 135-151. doi: 10.1023/A: 1026438001650.

Victor, P. A. (2012). Growth, degrowth and climate change: A scenario analysis. Ecological Economics, 84, 206-212. doi: http://dx.doi.org/10. 1016/j.ecolecon.2011.04.013.

Weitzman, M. (2007). A review of the Stern Review on the economics of climate change. Journal of Economic Literature, 45(3), 703-724. doi: 10.1257/jel.45.3.703.

Weitzman, M. (2011). Fat-tailed uncertainty in the economics of catastrophic climate change. Review of Environmental Economics and Policy, 5(2), 275-292. doi:10.1093/reep/rer006.

Yohe, G., & Tol, R. (2008). The Stern Review and the economics of climate change: An editorial essay. Climatic Change, 89(3-4), 231-240. doi: 10.1007/s10584-008-9431-z.

ANEXO

Este anexo deriva de la tasa social de descuento con un fin ilustrativo, partiendo del modelo presentado en la ecuación (1) y siguiendo a Stern (2008). Si tomamos el valor social del consumo (VSC) de un período específico t de (1), se tiene:

(A-2)

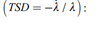
Donde N es la población, C el consumo agregado y c = C/N el consumo per cápita. El factor social de descuento (λ), entendido como la utilidad marginal del consumo (C) en el tiempo t = 0, es:

(A-3)

Así, la tasa social de descuento (TSD) es la tasa de decaimiento de l; es decir, la disminución marginal respecto al tiempo de la utilidad marginal del consumo con respecto a su propio valor :

(A-4)

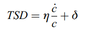
Al desarrollar la parte derecha de (A-4) se llega a:

(A-5)

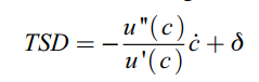
Donde y si llamamos η a la elasticidad de la utilidad marginal del consumo con respecto al consumo (η = –c·(u’’(c)/u’(c))), puede mostrarse que la TSD es:

(A-6)

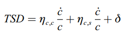
Donde δ es la tasa pura de descuento. Los parámetros δ y η son los denominados paramentos éticos. La elección de δ tiene que ver con qué tanto valor se le asigna a los flujos futuros de bienestar, o más coloquialmente, el valor de las generaciones futuras. La elección de η tiene varios sentidos, uno muy importante es su interpretación como la aversión a la inequidad. El modelo que se presentó es un modelo muy básico. Por ejemplo, Heal (2007) incluye en la función de utilidad u(c, s) una variable estado s que puede interpretarse como un bien ambiental agotable, y en consecuencia llega a una TSD con un parámetro adicional (A-7):

(A-7)

En este caso, ηc,c es la elasticidad de la utilidad marginal del consumo con respecto al consumo y ηc,s es la elasticidad de la utilidad marginal del consumo en cuanto a la variable estado (s). Lo que muestra este nuevo parámetro es la sensibilidad de la tasa al deterioro de s.

Notas

2 Traducción personal (TP).
3 Esta es la noción de incertidumbre que plantearan Knight y Keynes.
4 En el sentido de Schumpeter.
* El presente trabajo deriva de la tesis de maestría de Alejandro Mora-Motta (2014), bajo la dirección de Nohra León Rodríguez. Los autores agradecen a Jairo Sánchez, Andrea Lampis, Carmenza Castiblanco y Carlos Díaz por sus comentarios a este documento.

Notas de autor

a Economista, magíster en Medio Ambiente y Desarrollo, candidato a PhD, Centro de Estudios para el Desarrollo, Universidad de Bonn, Alemania. Correo electrónico: amoramo@unal.edu.co
b PhD en Ciencias Económicas, directora del Departamento de Geografía, Facultad de Ciencias Humanas, Universidad Nacional de Colombia. Correo electrónico: nleonr@unal.edu.co

Información adicional

Sugerencia de citación: Mora-Motta, A., & León Rodríguez, N. (2017). Cambiando de perspectiva en la economía de la mitigación del cambio climático. Cuadernos de Economía, 36(70), 169-195. doi: 10.15446/cuad.econ.v36n70.49726.

HTML generado a partir de XML-JATS4R por