ESTIMACIÓN DE LA PROBABILIDAD DE INCUMPLIMIENTO PARA LAS FIRMAS DEL SECTOR ECONÓMICO INDUSTRIAL Y COMERCIAL EN UNA ENTIDAD FINANCIERA COLOMBIANA ENTRE LOS AÑOS 2009 Y 2014
Estimation of the probability of non-compliance with a Colombian financial company by enterprises in the economic, industrial, and commercial sectors between 2009 and 2014
Estimation de la probabilité d’inaccomplissement pour les entreprises du secteur économique industriel et commercial dans un organisme financier colombien entre les années 2009 et 2014
Estimado da probabilidade de inadimplência para as firmas do setor econômico industrial e comercial em uma entidade financeira colombiana entre os anos 2009 e 2014
ESTIMACIÓN DE LA PROBABILIDAD DE INCUMPLIMIENTO PARA LAS FIRMAS DEL SECTOR ECONÓMICO INDUSTRIAL Y COMERCIAL EN UNA ENTIDAD FINANCIERA COLOMBIANA ENTRE LOS AÑOS 2009 Y 2014
Cuadernos de Economía, vol. 36, núm. 71, pp. 293-319, 2017
Universidad Nacional de Colombia

Recepción: 21 Enero 2016
Aprobación: 27 Mayo 2016
Resumen:
En este artículo se estima la probabilidad de incumplimiento para las firmas que tienen obligaciones contractuales con una entidad financiera colombiana entre 2009 y 2014. A través de un modelo logístico ordinal generalizado se encontró que la probabilidad de incumplimiento está asociada a las variables financieras liquidez, endeudamiento, rentabilidad y eficiencia. También se incorporó una variable de comportamiento, dos dicotómicas asociadas al tamaño de las firmas y una para el crecimiento económico del país. Además, se verificó el supuesto de líneas paralelas. Los resultados son previsibles y acordes con la teoría económica de riesgo. JEL: C35, D21, G21.
Palabras clave: riesgo de crédito, logit ordenado generalizado, probabilidad de incumplimiento, crecimiento económico.
Abstract:
In this paper, we estimated the probability of non-compliance for enterprises that have contractual obligations with a Colombian financial company between 2009 and 2014. Using a generalized logistical ordinal model, we found that the probability of non-compliance is related to financial variables such as: liquidity, indebtedness, profitability, and efficacy. We also included a behavioural variable, two dichotomous variables associated with the size of the companies, and another variable for Colombia’s economic growth. We verify the premise of parallel lines. The results are predictable and correspond to the economic theory of risk. JEL: C35, D21, G21.
Keywords: Credit risk, generalized ordered logit, non-compliance probability, economic growth.
Résumé:
Dans cet article nous évaluons la probabilité d’inaccomplissement pour les entreprises qui ont des obligations contractuelles avec un organisme financier colombien entre 2009 et 2014. A travers un modèle logistique ordinal généralisé nous trouvons que la probabilité d’inaccomplissement est associée aux variables financières de liquidité, rentabilité et efficience. A également été incorporée une variable de comportement, deux points dichotomiques associés à la taille des entreprises et une pour la croissance économique du pays. En outre, nous avons vérifié le budget des lignes parallèles. Les résultats sont prévisibles et en accord avec la théorie économique de risque. JEL : C35, D21, G21.
Mots clés: Risque de crédit, logit ordonné généralisé, probabilité d’inaccomplissement, croissance économique.
Resumo:
Neste artigo estima- se a probabilidade de inadimplência para as firmas que têm obrigações contratuais com uma entidade financeira colombiana entre 2009 e 2014. Através de um modelo logístico ordinal generalizado, encontrou-se que a probabilidade de inadimplência está associada às variáveis financeiras liquidez, endividamento, rentabilidade e eficiência. Também, foi incorporada uma variável de comportamento, duas dicotômicas associadas ao tamanho das firmas e uma para o crescimento econômico do país. Além do mais, foi verificado o suposto de linhas paralelas. Os resultados são previsíveis e consoantes com a teoria econômica de risco. JEL: C35, D21, G21
Palavras-chave: Risco de crédito, logit ordenado generalizado, probabilidade de inadimplência, crescimento econômico.
INTRODUCCIÓN
El análisis de los diferentes tipos de riesgo que afronta el sistema financiero (SF) colombiano es de vital importancia para la sostenibilidad del mismo y para el desarrollo de una economía. En el caso del riesgo de crédito, es de vital importancia estimar la probabilidad de que las empresas que tienen obligaciones contractuales con los bancos incumplan con los pagos durante un determinado período. Según la Circular Externa 011 de 2002 de la Superintendencia Financiera de Colombia (SFC), está definido como “la posibilidad de que una entidad incurra en pérdidas y se disminuya el valor de sus activos, como consecuencia de que sus deudores fallen en el cumplimiento oportuno o cumplan imperfectamente los contratos de crédito” (p. 1).
El SF desempeña un papel clave y opera como un intermediario entre las personas naturales e instituciones que disponen de suficiente dinero y aquellas que requieren de recursos monetarios suficientes para ejecutar proyectos de inversión en el mercado y así impulsar la actividad económica. Además, el SF se puede considerar como tradicional al focalizar sus funciones de intermediación en cartera e inversiones; esto hace que el riesgo de crédito sea muy importante, especialmente para la cartera comercial, puesto que la institución financiera analizada en la presente investigación tiene en el SF el 53% en 2014 del total de la cartera de créditos comerciales.
Una de las funciones de intermediación que cumple el sistema monetario en una economía, es recibir los excedentes de liquidez de los agentes superavitarios y que los coloca en forma de contratos de crédito a los agentes deficitarios, lo cual involucra riesgos, en especial el riesgo crediticio. Si este tipo de riesgo se llega a materializar, puede ser resultado de una crisis financiera, que deriva en pérdidas económicas. El papel de los agentes intermediarios es importante en economías como la colombiana, en el que el mercado financiero depende principalmente del bancario, tal como lo señala un estudio realizado por el Banco Interamericano de Desarrollo (BID, 2005), en el que sostiene: “(…) los países desarrollados cuentan con los mercados financieros más desarrollados en todas sus dimensiones y poseen mercados de capital que pueden complementar y en algunos casos sustituir al crédito bancario” (p. 4); mientras que los países en vías de desarrollo se han caracterizado por no tener un nivel de actividad económica lo suficientemente alto. La mayoría de los activos colocados en el SF colombiano, se debe, principalmente, a los establecimientos de crédito; esto hace que las firmas recurran a este tipo de instituciones para obtener recursos monetarios y así poder desarrollar proyectos de inversión en el mercado.
Por lo descrito anteriormente, el riesgo crediticio es uno de los más importantes que enfrenta el SF colombiano, por lo que debe medirse de manera eficiente, monitoreado y de acuerdo con las características actuales de la economía. En este sentido, el objetivo general es proponer una metodología para estimar el riesgo de incumplimiento de las firmas industriales y comerciales que tienen obligaciones contractuales con una entidad financiera colombiana. El desarrollo del proyecto de investigación está enfocado hacia tres objetivos: primero identificar las variables que son determinantes en la estimación de la probabilidad de default1, puesto que estas variables pueden operar como indicadores de alerta temprana ante cambios en la situación financiera de las firmas y ante variaciones de indicadores de crecimiento económico del país, obteniendo así una herramienta fundamental en el análisis de políticas de crédito. Como segundo objetivo, estimar la probabilidad de que una firma sea calificada en cada una de las categorías de riesgo de incumplimiento establecidas por la SFC, y tercero, estimar el efecto marginal de cada una de las variables del modelo.
Para la estimación de los modelos de riesgo de crédito, se utiliza como técnica de contraste los modelos logísticos ordenados generalizados con variables explicativas que contienen información de indicadores financieros de liquidez, endeudamiento, rentabilidad, eficiencia, comportamiento de pago, dos variables dicotómicas asociadas al tamaño de la empresa y una variable macroeconómica que permita capturar los efectos que tiene la dinámica de la economía colombiana sobre la probabilidad de incumplimiento de las empresas.
En la metodología se emplean los modelos logísticos ordinales generalizados con el propósito de ser más rigurosos con la estimación de la probabilidad de incumplimiento, pues no solo estima la probabilidad de que la contraparte incumpla, sino también la probabilidad de pertenecer a cada una de las categorías de riesgo que establece el ente regulador colombiano (A, B, C, D y E). Además, las metodologías tradicionales de regresión lineal no son adecuadas en estos casos, especialmente porque las estimaciones podrían estar por fuera de los parámetros de la variable y los modelos logísticos binarios solo permiten estimar la probabilidad de incumplimiento. Como la variable dependiente toma más de dos valores y su escala es ordinal, deben emplearse los modelos logísticos ordinales que se adaptan a estas condiciones. Posterior a la estimación del modelo econométrico en cada sector, se procedió al análisis de la probabilidad de default a partir del efecto marginal de cada una de las variables regresoras, permaneciendo las demás variables en ceteris paribus.
El trabajo consta de cinco secciones adicionales a la presente introducción. En la primera sección se presenta una revisión de antecedentes concernientes al riesgo de crédito desde el primer estudio realizado hasta los trabajos académicos para Colombia. En la siguiente se lleva a cabo la descripción del marco teórico referente al riesgo crediticio. En la tercera sección se presenta la metodología empleada para dar cumplimiento a los objetivos de la investigación. En la cuarta se estima el modelo de riesgo para cada sector económico, se analiza a su vez los efectos marginales y la importancia de cada una de las variables en la estimación de la probabilidad de default de las firmas. En la quinta sección se aprecian las conclusiones.
REVISIÓN DE ANTECEDENTES
El modelo pionero en riesgo crédito comercial lo hizo Altman (1968), en el que analiza el riesgo crediticio de las firmas a partir de los determinantes de la probabilidad de quiebra de las mismas. Las variables regresoras que estudia son las razones microeconómicas de liquidez, rentabilidad, actividad y apalancamiento de cada una de las empresas del sector manufacturero, las cuales se encontraban ubicadas en los Estados Unidos. En este estudio, el autor introduce la técnica de análisis discriminante paramétrico como herramienta para el análisis de riesgo y encuentra que la rentabilidad del activo, el endeudamiento y el flujo de efectivo son significativos a la hora de explicar la quiebra de las compañías, en el que tiene en cuenta la composición del balance general.
Posteriormente, Altman, Haldeman y Narayanan (1977) establecieron la necesidad de realizar un nuevo estudio, construyendo un modelo con algunas modificaciones al modelo original propuesto en 1968. Su propósito es clasificar las empresas en bancarrota, e incluyeron en el análisis firmas medianas y grandes, compañías del sector no manufacturero y las razones financieras propias de cada compañía. Para ello, emplearon la información financiera más reciente entre 1969 a 1975.
Desde esta misma perspectiva, Lennox (1999) estima la probabilidad de incumplimiento de las empresas por medio de los modelos logit y probit y, posteriormente, compara esta técnica econométrica con el análisis discriminante paramétrico, con una base financiera en la que analizan 949 firmas del Reino Unido, para el período comprendido entre 1987 y 1994. La probabilidad de default de las firmas se estima en función del flujo de caja, el endeudamiento, el tamaño de empresa, la rentabilidad, razón corriente y el sector económico de la compañía. Concluye que los modelos de elección discreta correctamente especificados, tienen una mejor capacidad de predicción que los modelos de análisis discriminante.
Desde el enfoque del riesgo crediticio, Gurný y Gurný (2013) realizan un trabajo de investigación similar al de Lennox (1999), dedicado a la estimación de la probabilidad de incumplimiento como parámetro crucial en la gestión de riesgos financieros. Los autores estiman la probabilidad de que las firmas incumplan con los contratos de créditos establecidos con los bancos de los Estados Unidos, empleando los modelos de elección discreta logit y probit. Consideran una muestra de 298 empresas a partir de la información histórica entre 2007 y 2010. Las variables más importantes en la predicción del incumplimiento de las empresas son la rentabilidad, el nivel de endeudamiento, el flujo de caja, el tamaño de la empresa y el sector de la industria. Incluyen probar la significancia estadística de los parámetros estimados por el método de máxima verosimilitud y, a su vez, analizan el sentido económico de cada una de las variables.
En esta misma área, Nguyen (2015), a diferencia de Lennox (1999) y Gurný y Gurný (2013), proporciona una descripción detallada del proceso de construcción de los modelos de riesgo crediticio y utiliza una serie de criterios cuantitativos para identificar el modelo más adecuado, empleando datos de préstamos para automóviles establecidos en una de las mayores instituciones financieras multinacionales con sede en Francia. Emplea un modelo de regresión logística binaria con el propósito de estimar la probabilidad de incumplimiento y así obtener una puntuación de crédito para cada una de las empresas.
Siguiendo el análisis del riesgo crediticio, varios trabajos para Colombia han empleado modelos de variable discreta con el propósito de estimar la probabilidad de incumplimiento de las firmas. Martínez (2003) estima los determinantes de la fragilidad de las empresas colombianas, en la que considera la información de los estados financieros de las compañías del 2001. El autor encontró que los indicadores microeconómicos de las firmas como rentabilidad, liquidez y endeudamiento son importantes para explicar esta fragilidad. La gran desventaja del estudio realizado por este autor, es que se estima el modelo para un solo período de tiempo, por lo que no permite la inclusión de los efectos de las variables macroeconómicas ni la manera cómo varían a través del tiempo.
Con el propósito de corregir el problema del tiempo analizado, Arango, Zamudio y Orozco (2005) estiman un modelo de riesgo crediticio para las firmas, teniendo en cuenta la información del sector corporativo colombiano entre 1994 y 2004. Incorporan como variable explicativa la variación anual del producto interno bruto (PIB) a precios constantes, y encuentran una relación negativa entre este indicador y la probabilidad de incumplimiento. Los autores estiman la probabilidad de quiebra de las empresas colombianas, como una parte crucial en la evaluación de los riesgos que enfrenta el SF. A partir de las probabilidades generadas y el nivel de deuda interna de cada una de las firmas, identifican dónde se encuentran los mayores riesgos.
Zamudio (2007) propone la estimación de un modelo logístico ordinal, con el propósito de obtener la probabilidad de default de las firmas que tienen obligaciones financieras con las entidades que conforman el SF colombiano. El autor identifica los determinantes de incumplimiento de las empresas colombianas con las entidades financieras prestatarias. El estudio considera el endeudamiento del sector corporativo privado con el SF durante el período 1998-2005. En cuanto a la estimación de la probabilidad de default de las firmas, la variable dependiente está dada por la calificación de los créditos otorgados. Encuentra que la liquidez, el tipo de entidad que otorgó el préstamo, la variación anual del PIB y el sector económico al que pertenece la firma, son importantes en la estimación de la probabilidad.
Las investigaciones mencionadas, han utilizado la información financiera de las firmas colombianas, sin analizar a fondo el impacto que pueden tener indicadores macroeconómicos, como la variación anual del PIB sobre la probabilidad de incumplimiento de las firmas que tienen obligaciones contractuales con los establecimientos de crédito y en particular para una entidad financiera colombiana. Las variables macroeconómicas permiten capturar los efectos de la dinámica de la economía, lo que significa una contribución adicional para predecir la probabilidad de que una empresa incumpla con las obligaciones financieras, durante un período de doce meses. Este documento involucra los estudios realizados para Colombia, incorporando un conjunto de variables microeconómicas, un indicador de comportamiento de pago, una variable de crecimiento económico y el tamaño de empresa.
MARCO TEÓRICO
La teoría económica ha analizado la importancia de los agentes intermediarios en el desarrollo económico de un país. El trabajo de Gurley y Shaw (1955) abarca este tema y considera a los bancos como agentes intermediarios del SF. La función de estas entidades, es captar los depósitos de los ahorradores o prestamistas y posteriormente canalizarlos hacia los agentes deficitarios, con el propósito de financiar proyectos de inversión en el mercado financiero. Los bancos han diversificado los canales de intermediación, haciendo que los recursos monetarios fluyan entre los agentes; esto generará la posibilidad de financiar un mayor número de proyectos de inversión y, a la vez, se multiplicarán las variedades de los créditos otorgados.
En este contexto, Gorton y Winton (2002) explican por qué deben existir los intermediarios financieros. Estas entidades surgen debido a las asimetrías en la información que se presentan en el mercado entre los agentes prestamistas y prestatarios. Estos últimos agentes, por lo general, poseen información en beneficio propio; por ello la importancia de los bancos para lidiar con el problema de información asimétrica. Estas entidades son las encargadas de generar confianza a los depositantes, para que estos últimos entreguen a los intermediarios sus depósitos y así los bancos dispongan de los mismos para financiar proyectos. Los dos tipos de información asimétrica que deben abordarse son la selección adversa y el riesgo moral. De hecho, uno de los modelos económicos que introduce el problema de riesgo moral en un mercado con información asimétrica, es el trabajo de Holsmtrom y Tirole (1997), en el que desarrollan un modelo en donde las firmas y los intermediarios son de capital restringido. En este modelo, la banca privada debe inspeccionar a las empresas antes de desembolsar el dinero y luego deberá realizarles un seguimiento, de tal manera que el problema de riesgo moral disminuya.
Holsmtrom y Tirole (1997) asumen que los agentes prestatarios son neutrales al riesgo, por lo que pueden elegir proyectos de inversión que presenten un mayor rendimiento, siendo estos, en general, más riesgosos. En el modelo, las firmas no pueden ser monitoreadas por otras firmas, puesto que no tienen suficientes recursos para invertir en un sistema de monitoreo o no tienen suficiente experiencia en el sector y la única entidad que lo puede hacer es el banco. Aparte del riesgo moral, también es necesario tener en cuenta el riesgo de selección adversa al que deben enfrentarse los intermediarios financieros cuando otorgan créditos a las empresas; problema que abordan Stiglitz y Weiss (1981) y Bester (1985) en sus trabajos de investigación.
Stiglitz y Weiss (1981) y Bester (1985) coinciden en que el problema de selección adversa se presenta cuando los agentes intermediarios en su afán por incrementar las utilidades, otorgan préstamos a las empresas más riesgosas. Stiglitz y Weiss (1981) proponen un modelo de racionamiento de crédito, en el que los bancos en el intento de disminuir el riesgo de que los agentes prestatarios no cumplan con el pago de las obligaciones contractuales, se ven en la necesidad de reducir el número de créditos que conceden en el mercado financiero, incluso cuando los intermediarios tienen suficiente capital destinado a los contratos. En el escenario de que no existan mecanismos de control para monitorear a las empresas, llevaría a que el flujo de fondos prestables en el mercado sea más difícil y, a la vez, se impediría la ejecución de proyectos de inversión económicamente viables.
En Bester (1985), el financiamiento o no de los proyectos de inversión que los empresarios están dispuestos a llevar a cabo, depende necesariamente de los contratos de crédito que ofrecen los intermediarios financieros. Por lo anterior, es necesario que este grupo de entidades diversifiquen su portafolio de créditos. En este sentido, Bester (1985) argumenta que las garantías colaterales son una opción que los bancos deben tener en cuenta a la hora de otorgar créditos a los empresarios, de tal manera que puedan generar una gran variedad de préstamos en el mercado. Dichas garantías son necesarias en el análisis del riesgo de incumplimiento de los créditos, puesto que respaldan los préstamos.
Otro de los trabajos que trata de resolver el problema de selección adversa, es el de Leland y Pyle (1977), en el que desarrollan un modelo de señalización, para analizar la transferencia de la información de los proyectos de inversión. En el caso que los empresarios invierten capital en su propio proyecto, esta información les servirá a los intermediarios financieros como una señal de la calidad del proyecto. El precio que deben asumir los bancos por dicha información, está relacionado con la credibilidad de la misma y reflejará la calidad media del proyecto en el mercado.
Posteriormente, Diamond (1984) extiende la idea de Leland y Pyle (1977), en la que introduce los costos de información en mercados con asimetrías en la información. Diamond (1984) analiza los determinantes de los costos que surgen en la supervisión de los proyectos de inversión, que se llevan a cabo en el mercado, y desarrolla un modelo económico en el que un intermediario financiero tiene un menor costo en la inspección de los proyectos de inversión con relación a los préstamos que realizan directamente los agentes prestamistas con los prestatarios. En el modelo se parte del supuesto de que la información que es monitoreada o inspeccionada por un agente, no puede ser observada por otro agente sin incurrir en un costo.
En Diamond (1984), a medida que el número de préstamos que otorgan los bancos a los agentes deficitarios tiende a infinito y, a su vez, los rendimientos de los proyectos financiados no se encuentren correlacionados entre sí, el costo de monitoreo que deben asumir los intermediarios financieros se aproximará a cero. En este caso, el riesgo moral en el que incurren los bancos disminuirá. En su modelo, cuando los costos de monitoreo que deben asumir los bancos se aproxima a cero, implica que ninguna otra estructura de monitoreo delegada por otro agente, tendrá menores costos de supervisión. Diamond (1991) sigue esta misma línea de investigación y añade la reputación que adquieren las firmas a partir de la intensidad de monitoreo. Dicha reputación se logra pagando de manera cumplida los préstamos a los bancos a través del tiempo.
Los intermediarios no solo deben lidiar con el problema de selección adversa y riesgo moral, sino que también son vulnerables a las corridas bancarias, lo que hace importante analizar la provisión de liquidez de los bancos y que comienza con el modelo clásico de Diamond y Dybvig (1983). En esta investigación, una de las hipótesis establece que cuando los depositantes entran en pánico por desconfianza de una economía, se apresuran a retirar sus depósitos, incluso esta misma decisión la toman aquellos depositantes que no estaban preocupados por el fracaso de los bancos.
Autores como Jacklin y Bhattacharya (1988), Cooper y Ross (1998) y Ennis y Keister (2010) comparten la misma hipótesis de Diamond y Dybvig (1983) y coinciden en que una economía se presentan agentes pacientes e impacientes. Los agentes pacientes son capaces de consumir luego que el proyecto de inversión ha madurado en un determinado período, mientras que los agentes impacientes deciden retirar prematuramente sus depósitos. Este grupo de autores asumen que la función de utilidad de los agentes es continua, creciente y estrictamente cóncava. Diamond y Dybvig (1983) argumentan que las corridas bancarias se deben al mismo comportamiento de los depositantes, que son suficientemente adversos al riesgo. En Jacklin y Bhattacharya (1988), las corridas bancarias pueden surgir de manera aleatoria o debido al problema de información asimétrica. Por su parte, Ennis y Keister (2010) añaden que la innovación tecnológica puede tener implicaciones en la fragilidad financiera de los bancos en el futuro. Cooper y Ross (1998) argumentan que las corridas bancarias se producen cuando los costos de liquidación son suficientemente grandes.
Otras investigaciones como las de Farhi, Golosov y Tsyvinski (2009) y Farhi y Tirole (2012) amplían la regulación bancaria por parte del Gobierno. Por ejemplo, Farhi et al. (2009) se enfocan en desarrollar un modelo de intermediación financiera, en el que los bancos deben proporcionar un seguro contra los choques de liquidez. Dichas entidades deben realizar una provisión relacionada con la proporción de activos que tienen destinados a invertir en el corto plazo. Como regulación bancaria, los autores señalan que deben disminuirse las tasas de interés en un período de largo plazo, de tal manera que se pueda restaurar la eficiencia en el mercado. Estas tasas solo pueden ser modificadas por el Gobierno; entidad que solo puede actuar como intermediador de último recurso para satisfacer necesidades de liquidez en períodos de crisis financieras.
En este sentido, Farhi y Tirole (2012) argumentan que el Gobierno es de suma importancia en la regulación óptima de las tasas de interés, puesto que ayuda a controlar la oferta del crédito de los bancos, dependiendo de las características de la economía. Cuando el Banco Central interviene a las instituciones financieras en períodos de crisis, hay diversas formas para disminuir los costos de los préstamos que conceden a los bancos de manera efectiva, como, por ejemplo, reducir las tasas de interés de los fondos federales; tasa que solo aplica en el momento que el Banco Central otorga préstamos a los intermediarios.
Adicional a estos trabajos, Gorton y Huang (2004) señalan que el Gobierno es el encargado de rescatar a los bancos en una crisis financiera, mas no un agente privado, puesto que es muy costoso para los agentes comprar una gran parte del nivel de activos del sistema bancario. Los rescates financieros es un claro ejemplo de la provisión de liquidez pública que proporciona el Estado. Una de sus funciones primordiales es suministrar liquidez mediante la emisión de títulos públicos, respaldados por los recursos monetarios que recibe la misma entidad, fundamentalmente por el cobro de impuestos. Dichos rescates se producen mediante la compra de préstamos bancarios a precios favorables o por medio de la compra de acciones.
Allen y Gale (2000) y Gorton y Huang (2004) coinciden en que la mayoría de las crisis financieras se deben por un choque negativo que afecta la estabilidad del sistema monetario y a una gran cantidad de instituciones financieras. Allen y Gale (2000) añaden que las crisis se pueden producir por un efecto de contagio financiero, debido, precisamente, por la estructura financiera de los bancos. El impacto inicial de un choque negativo en algunos bancos, se verá reflejado posteriormente en el resto de las instituciones, afectando a toda la economía. En esta estructura, cada uno de los bancos tiene vínculos con algunos bancos, mas no con todos los bancos que conforman el SF.
Las investigaciones de Allen y Gale (2000) y Gorton y Huang (2004), coinciden que en caso que se presente una crisis financiera, es necesaria la intervención del Gobierno. En los dos últimos se analiza el problema de liquidez causado principalmente por los contratos de deuda que emiten los bancos. Allen y Gale (2004), aunque siguen la misma línea de investigación de Gorton y Huang (2004), proponen un modelo económico que analiza los fallos en el mercado financiero y distinguen a los agentes intermediarios en función de si emiten contratos completos o contratos incompletos. El primero hace referencia a los contratos que los bancos proporcionan, por ejemplo, a las entidades del Estado. Dichas entidades siempre cumplirán con el pago de las obligaciones contractuales, puesto que tienen el respaldo del Gobierno, por lo que no se presentan asimetrías en la información. Mientras que en el segundo tipo de contrato, existe la posibilidad de que los bancos incurran en pérdidas monetarias, que surgen de aquellos deudores que no cumplen con sus pagos.
En este último tipo de contrato, los intermediarios financieros deben estimar la probabilidad de incumplimiento de los préstamos que conceden, por medio de los modelos de riesgo de crédito que tengan internamente estas entidades; además de ello, tendrán que imponer sanciones no pecuniarias a las empresas, en caso que no cumplan con el pago de las obligaciones financieras. Dichos modelos son necesarios para tratar de descartar a las empresas que son realmente riesgosas y así el problema de selección adversa en el que incurren los bancos disminuya.
METODOLOGÍA
Fuente de información y variables
Se considera la información financiera de 11.441 firmas, de las cuales el 40,88% corresponden a empresas industriales y el 59,12% restante a comerciales. La información es proporcionada por la entidad financiera a través del Sistema Administrativo de Riesgo de Crédito (SARC), en el que se consideró el balance general de las compañías, durante el período 2009 a 2014. En la Tabla 1 se aprecian los diferentes tipos de variables.

Categoría A: los créditos calificados en esta categoría reflejan una estructuración y atención excelente. Los estados financieros de los deudores o los flujos de caja, así como la demás información crediticia, indican una capacidad de pago óptima, en términos del monto y origen de los ingresos con que cuentan los deudores para atender los pagos requeridos.
Categoría B: se refleja una estructuración y atención apropiada. Los estados financieros de los deudores o los flujos de caja, así como la demás información crediticia, indican una capacidad al menos aceptable, en términos del monto y origen de los ingresos con que cuentan los deudores para atender los pagos requeridos.
Categoría C: se califican aquellos créditos que presentan en la capacidad de pago del deudor o en los flujos de caja un riesgo apreciable, que comprometan el normal recaudo de la obligación en los términos convenidos.
Categoría D: se califican aquellos créditos o contratos que presentan insuficiencias en la capacidad de pago del deudor o en los flujos de caja del proyecto. Los bancos deben clasificar en esta categoría, a deudores que independientemente de que no cumplan con las condiciones anteriores presenten mayor riesgo por otros factores.
Categoría E: se tiene un riesgo de incobrabilidad, que es aquel que se estima incobrable. La SFC establece las calificaciones D y E como las categorías de incumplimiento.
Endeudamiento: uno de los tipos de variables financieras que mayor impacto tiene para que una firma no cumpla con sus obligaciones financieras, es el nivel de endeudamiento de las mismas. Si estas presentan un mayor endeudamiento, pueden tener más dificultades para hacer frente a sus compromisos crediticios, ya que deben enfrentar un nivel de deuda mayor con los establecimientos de crédito. En consecuencia, cuando las entidades se encuentran más endeudadas en el sistema, debería esperarse un nivel de morosidad mayor en el pago de las obligaciones.
Liquidez: con el objetivo de capturar la capacidad que tiene la empresa de convertir sus activos más líquidos en efectivo, para poder responder por sus pasivos de corto plazo, se puede considerar la medida tradicional de liquidez, calculada como la relación entre los activos corrientes y los pasivos corrientes. Se espera que el efecto de este indicador sea negativo sobre la probabilidad de default.
Rentabilidad: como medida de rentabilidad de las firmas, se puede emplear el cociente entre la utilidad neta y el patrimonio de la empresa, conocido comúnmente como ROE. Se espera que entre mayor sea la rentabilidad de la firma, menor sea la probabilidad de incumplimiento, en consecuencia el efecto debe ser negativo.
Eficiencia: con el propósito de capturar qué tan eficiente es la empresa en recuperar su cartera, es necesario analizar el ciclo operacional de las firmas. Se espera que entre mayor sea este indicador, el efecto que tendrá sobre la probabilidad de incumplimiento sea positivo; es decir, a mayor actividad de la firma, se espera que la probabilidad de entrar en default se incremente.
Comportamiento: se espera que el efecto que tenga la máxima mora anual en la estimación del modelo de riesgo de crédito sea positivo; es decir, entre mayor sea el número de días de mora que tengan las firmas por no pagar sus obligaciones contractuales, se espera que la probabilidad de que una empresa incumpla con los contratos de crédito durante un horizonte de doce meses aumente2.
Tamaño de empresa: para analizar el impacto del tamaño sobre la probabilidad de incumplimiento, se construyeron dos variables dicotómicas. La primera de ellas tomará el valor unitario, si la empresa analizada es mediana, en caso contrario será cero. Mientras que a la segunda variable dicotómica se le asignará el valor unitario, siempre y cuando la firma sea de menor tamaño. El objetivo es probar si la probabilidad de default está asociada con el tamaño de empresas y si las hay, saber cuál de los grupos es más riesgoso. El tamaño, definido por el artículo 2 de la Ley 590 de 2000, se encuentra contemplado en el capítulo ii de la gestión del riesgo de crédito de la SFC. Si el nivel de activos es menor a 5.000 salarios mínimos legales vigentes (smlv), el tamaño es pequeño, mientras que si se encuentra entre 5.000 y 15.000 smlv, la empresa será mediana. Si superan los 15.000 smlv, la empresa es grande.
Variable macroeconómica: con el propósito de capturar en el modelo las dinámicas macroeconómicas sobre la probabilidad de default, se emplea la variación del PIB a precios constantes a escala nacional. Se espera que a medida que este indicador aumente, la probabilidad de incumplimiento disminuya.
Modelo econométrico
Los modelos de riesgo de crédito, por lo general, se especifican de forma reducida con el propósito de estimar la probabilidad de incumplimiento, teniendo en cuenta la información de los balances generales de las compañías. La variable dependiente son las calificaciones de riesgo de crédito otorgadas a las empresas, por lo que es necesario emplear modelos econométricos que se ajusten a esta condición.
Modelos logísticos ordinales
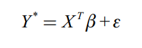
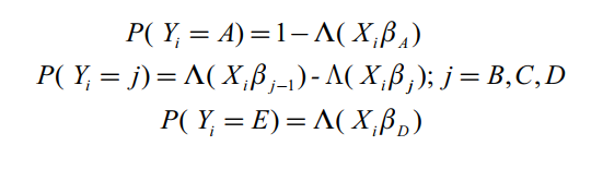
Se pueden presentar casos en los que la variable dependiente es discreta y toma al menos tres categorías. Si entre estos hay un orden natural o jerárquico de la variable dependiente, tal como el caso de las calificaciones que se le asignan a las firmas que tienen algún crédito con la entidad financiera, deben emplearse modelos que capturen esta característica, denominados “modelos logísticos ordenados”. La estructura matemática del modelo se basó en el trabajo académico de González (2010) y la formulación del modelo en forma reducida viene dada por:
(1)Se tiene:
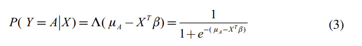
(2)donde ε es el error del modelo y sigue una distribución de probabilidad logística. Por su parte, μA, μB, μC,μD, μE son parámetros que representan los valores de los umbrales y se estiman a la vez que β. La probabilidad de pertenecer a cada una de las categorías de riesgo es:
(3)
(4)...
(5)En los modelos estadísticos o econométricos, generalmente el símbolo
representa la función logística3. Para que todas las probabilidades estimadas por el modelo econométrico sean positivas, se debe cumplir que μA<μB<μC<μD<μE .
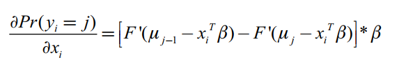
En este tipo de modelos, los coeficientes estimados en cada una de las ecuaciones de regresiones correspondientes a cada modalidad de la variable dependiente son iguales. Tal como se aprecia en cada una de las categorías, los únicos parámetros que son diferentes son los umbrales. Igualmente, el efecto marginal expresa el cambio de la variable dependiente provocado por un cambio unitario en una de las variables independientes, manteniendo constantes el resto de las variables. En caso de que se quiera expresar el cambio por cada 10 unidades, es necesario multiplicar el efecto marginal por 10, de tal manera que la interpretación sea adecuada. El cálculo de los efectos marginales permite conocer la dinámica de cada una de las variables explicativas sobre las diferentes categorías. Los efectos de las variablesxisobre la probabilidad están definidos como:
(6)En el documento se estiman los efectos marginales para cada una de las categorías de la variable dependiente, cuando una de las variables regresoras cambia, permaneciendo las demás variables en ceteris paribus. Williams (2006), en su trabajo de investigación, señala que es necesario validar el supuesto de líneas paralelas o proportional odds que implica un único coeficiente en cada una de las variables regresoras, en las diferentes modalidades de la variable dependiente, donde cada uno de los pares ordenados que se pueden formar entre categorías adyacentes de las calificaciones de riesgo debe ser la misma; para ello es necesario emplear la prueba de Brant. Si no fuera así, se necesitaría un modelo distinto para cada una de las categorías, con diferentes coeficientes estimados para las variables regresoras. Williams (2009) señala que si el supuesto de regresiones paralelas no se cumple estadísticamente, los estimadores serán sesgados e ineficientes.
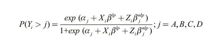
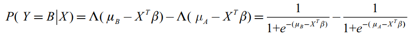
Para determinar si todas las variables regresoras consideradas en el modelo cumplen con el supuesto de líneas, se considera la distribución chi-cuadrado como distribución de referencia. En caso de que al menos uno de los parámetros asociados a una de las variables no cumpla con el supuesto mencionado, se hace necesaria la estimación de los modelos logísticos ordenados generalizados. Se propusieron nuevas metodologías para estimar los parámetros βi del modelo, bajo la hipótesis alternativa de que todos o algunos de los coeficientes son diferentes para cada una de las categorías de la variable dependiente. Basándose en el trabajo de Williams (2006), la estructura matemática del modelo es:
(7)En la estructura matemática de este modelo, se deben estimar cuatro ecuaciones de regresión logística. De la ecuación (7) se puede estimar la probabilidad de pertenecer a cada una de las categorías de riesgo, a partir de la siguiente expresión:
(8)El modelo es equivalente a una serie de regresiones logísticas binarias donde las categorías de la variable dependiente están combinadas según el orden intrínseco que esta tenga y en la que se deben estimar cuatro ecuaciones de regresión logística. En la primera ecuación, la categoría de riesgo de crédito A se compara con una que reúne el resto de las categorías. En esta ecuación, la variable dependiente toma el valor unitario si la calificación de la firma es A y tomará el valor cero en otro caso. En la segunda ecuación de regresión que se estima, la variable dependiente tomará el valor unitario si la calificación asignada al cliente es A o B, y tomará el valor cero si la calificación crediticia de la empresa es C, D o E. Igualmente, en la tercera ecuación de regresión logística, la variable dependiente tomará el valor unitario si la calificación de la firma es A, B o C y se le asignará el valor cero si su calificación es D o E. Finalmente, en la cuarta ecuación, la variable dependiente toma el valor unitario si la calificación del cliente es A, B, C o D y será cero si la calificación es E.
El modelo descrito anteriormente se utiliza cuando el supuesto de líneas paralelas no se cumple para todos los coeficientes del modelo. Sin embargo, es común que se presenten casos en los que el supuesto se cumple solo para algunas de las variables, por lo que debe hacerse una modificación para que los parámetros sean iguales a cero, en caso de ser necesario; es decir, debe estimarse un modelo que cumpla el supuesto de líneas paralelas de manera parcial, donde su estructura matemática viene dada por:
(9)donde X corresponde a la matriz de las variables explicativas que cumplen estadísticamente el supuesto de líneas paralelas y βlp es el vector de parámetros respectivos, mientras que Z incluye las variables que no cumplen con este supuesto y el vector de coeficientes correspondientes está representado por βlnp. Este modelo relaja el supuesto de líneas paralelas con el propósito de que los efectos de las variables regresoras puedan variar entre las categorías, para aquellas donde el supuesto se viole.
ANÁLISIS DE RESULTADOS
El primer paso para la estimación del modelo fue la de un logit ordenado por el método de máxima verosimilitud, con el objetivo de determinar cuáles coeficientes estimados cumplían con el supuesto de líneas paralelas y en cuáles se violaba estadísticamente. La validación del supuesto se presenta en la Tabla 2. Asimismo, la estimación de los parámetros del modelo logístico ordinal generalizado y el

error estándar se presentan en la Tabla 3, mientras que los efectos marginales en la Tabla 4. En tanto que en el primero se muestra la dirección del efecto de las variables sobre la probabilidad de incumplimiento, es necesaria la estimación de los efectos marginales para poder cuantificarlo en cada una de las categorías.
En la Tabla 2 se aprecia que el supuesto de líneas paralelas se rechaza para el modelo en conjunto y de manera individual para el indicador de endeudamiento, liquidez, rentabilidad, actividad y tamaño de la empresa. La variable de comportamiento de pago y la macroeconómica son las únicas que cumplen con el supuesto, a un α del 1%. De esta manera, los coeficientes asociados a la variable de comportamiento y la macroeconómica son los únicos que son iguales en cada una de las calificaciones.
En la Tabla 3 se aprecia que los indicadores financieros de las firmas, la variable de comportamiento y la de crecimiento económico son significativas al 10% en la

primera modalidad, a excepción del indicador de rentabilidad. En las demás categorías de riesgo, las variables cuantitativas son significativas en la estimación de la probabilidad de default. En cuanto al tamaño de las firmas, se aprecia que la mediana empresa es significativa en las dos primeras calificaciones, mientras que la pequeña empresa es significativa en la primera y última categoría.
En la Tabla 4 se observa que los indicadores financieros tienen un sentido acorde con la teoría económica; además, la mayoría de ellos aporta en la estimación de la probabilidad de default. En la primera columna se aprecian los efectos de las variables explicativas sobre la probabilidad de permanecer en A, por lo que los signos positivos reflejan un efecto de permanencia en esta categoría y los signos negativos uno de cambio hacia las demás calificaciones. En las demás columnas, un signo negativo refleja una disminución en la probabilidad de que se encuentre en esa categoría o en una de mayor incumplimiento. Mientras que si su signo es positivo, tendrá una mayor probabilidad de permanencia en esa calificación o en una de menor riesgo.

El signo positivo en la variable de eficiencia y en la de comportamiento de pago en todas las categorías de la Tabla 3, muestra que entre mayor sean estos indicadores de las firmas, mayor será la probabilidad de incumplimiento. No obstante, al apreciar la Tabla 4 de los efectos marginales, se puede observar que a medida que la calificación de las empresas se va deteriorando, el impacto de la variable de comportamiento pierde relevancia, debido a que el peso del efecto marginal va disminuyendo. Para la calificación A, ante un aumento de 54,79 puntos porcentuales (pp) en el indicador de eficiencia de la firma, la probabilidad de permanecer en esta categoría disminuirá en 1,753%; mientras que en el caso de la calificación E, la probabilidad de incumplimiento aumentará 0,38%. Si la variable de comportamiento de pago para una firma en particular se incrementa en 8,22 pp, la probabilidad de permanecer en la categoría A disminuirá en 17,07%; en cambio, para la calificaciónE aumentará la probabilidad de default en 1,68%.
En la Tabla 4 se aprecia que el signo negativo del efecto marginal en la variable de liquidez y en la de rentabilidad a partir de la categoría B, muestra que entre mayores sean estos dos indicadores financieros de las firmas, menor será la probabilidad de ser incumplido. Si el indicador de liquidez aumenta en una unidad, la probabilidad de permanecer en la calificación A se incrementa en 1,624%; mientras que para la última calificación de riesgo (E) se contrae en 0,47%. Ante un aumento de 10 pp en el indicador de rentabilidad, la probabilidad de estar en la mejor calificación de crédito (A) crece en 0,44%; mientras que si este indicador aumenta en 50 pp, la probabilidad de que la firma sea calificada en la última categoría de riesgo disminuye en 1,55%.
En la Tabla 3 se aprecia que el signo de los coeficientes en el indicador de endeudamiento de las firmas es positivo a partir de la categoría B, lo que indica que entre mayor sea el nivel de endeudamiento de las firmas, mayor será la probabilidad de incumplimiento. Al observar la Tabla 4 de los efectos marginales, el impacto de un aumento del indicador de endeudamiento en 30 pp, reduce la probabilidad de permanecer en la categoría A en 5,85%. En las tres últimas categorías de riesgo de crédito, aunque se tienen efectos marginales menores a las dos primeras calificaciones, el aumento de 30 pp en este indicador, incrementará la probabilidad en 1,41%, 1,20% y 1,20% para las calificaciones C, D y E, respectivamente.
Al analizar las dos variables dicotómicas asociadas al tamaño de las empresas, se encuentra que el signo de los efectos marginales es significativo al 5% en las tres primeras modalidades de riesgo. La probabilidad de que una firma permanezca en la categoría A para una empresa mediana aumentará en 8,29%, mientras que para el caso de la categoría de riesgo E, la probabilidad de incumplimiento tan solo aumentará en 0,148%, siendo este último efecto marginal no significativo. Para el caso de una firma pequeña sucede lo contrario; es decir, la probabilidad de estar en la categoría A disminuirá en 4,75%, y para la calificación E, se tiene que la probabilidad de incumplimiento aumentará en 1,104%. Con lo dicho anteriormente, las firmas de menor tamaño presentan la mayor probabilidad de incumplimiento.
Con respecto a la variable macroeconómica, los resultados son los esperados; pues ante aumentos en la variación del PIB, tiene como implicación una reducción en la probabilidad de incumplimiento de las firmas. Además, al observar los efectos marginales sobre cada una de las categorías de la variable dependiente, se puede ver que a medida que el PIB aumenta en 1 pp, la probabilidad de pertenecer a la categoría A aumentará en 3,672%; mientras que para las categorías D y E se contraerá en 0,487% y 0,36%, respectivamente.
En cuanto al modelo de riesgo de crédito para las empresas comerciales, en la Tabla 5 se observa que el supuesto de líneas paralelas no es válido estadísticamente para el modelo en conjunto. De manera individual, se rechaza el supuesto en los indicadores de endeudamiento, rentabilidad, actividad y tamaño de las firmas. La variable asociada al indicador de liquidez y macroeconómica, cumplen con el supuesto de líneas paralelas bajo un α del 1%, por lo que serán las variables con los mismos coeficientes estimados en cada una de las categorías.

En la Tabla 6 se presenta la estimación de los parámetros del modelo logístico ordinal generalizado para las firmas comerciales. Se observa que cada uno de los indicadores financieros de las firmas, al igual que la variable macroeconómica y el indicador de comportamiento de pago, son significativos al 5% en la estimación de la probabilidad de incumplimiento, a excepción del indicador de rentabilidad en la categoría de incumplimiento D. En cuanto a las dos variables dicotómicas, se aprecia que el tamaño de la empresa es importante en la estimación del modelo, teniendo en cuenta un α del 5%, a excepción de la pequeña y mediana empresa en la calificación A y D, respectivamente.

En la Tabla 7 se observa que el efecto marginal asociado al indicador de endeudamiento es acorde con la teoría económica en cada una de las calificaciones de crédito, puesto que a mayor endeudamiento de las firmas, la estimación de la probabilidad de default se incrementará. Nótese que si el endeudamiento de las firmas aumenta 50 pp, la probabilidad de incumplimiento aumentará en 6,70% y 1% para las calificaciones de crédito D y E, respectivamente, teniendo en cuenta las demás variables en ceteris paribus. De esta manera, si el indicador de endeudamiento de las firmas aumenta, tendrá como efecto un incremento en la probabilidad de estar calificado en las categorías D y E. En cuanto a la primera calificación, se aprecia que si el indicador de endeudamiento aumenta en 20 pp, se espera que la probabilidad de que la empresa permanezca en la calificación disminuya en 11,14%.

Con respecto a las empresas medianas, se aprecia que la probabilidad de permanecer en la mejor categoría de riesgo de crédito (A) aumenta en 15,27% con relación a las firmas medianas, permaneciendo las demás variables en ceteris paribus; mientras que si la firma analizada es de menor tamaño, la probabilidad de estar calificada en A aumentará tan solo 3,158%, siendo este último efecto marginal no significativo. Si la empresa considerada en la estimación de la probabilidad de incumplimiento es pequeña, la probabilidad de estar calificada en la peor categoría de riesgo de crédito (E) aumentará en 0,733%; mientras que para las firmas medianas dicho efecto se incrementará 0,106%, aproximadamente, siendo este último efecto no significativo. Por lo descrito anteriormente, se aprecia que las empresas pequeñas son las más riesgosas, puesto que el efecto marginal en la última modalidad de crédito es mayor en relación con las empresas medianas. Incluso, para la calificación D, la probabilidad de incumplimiento en este grupo de empresa se contraerá en 1,293%; en cambio, para las empresas pequeñas sucede lo contrario; es decir, la estimación de la probabilidad de default aumentará en 1,701%.
El signo positivo en el efecto marginal de la variable de comportamiento a partir de la categoría B, indica que a medida que la calificación de las firmas se va degradando, la probabilidad de ser incumplido con las obligaciones va aumentando. En cuanto a la calificación de riesgo A, un aumento de 5,48 pp, tendrá un efecto de disminución en la probabilidad de pertenecer a esta categoría en 9,732%; mientras que la probabilidad de incumplimiento en la calificación D y E aumentará 1,151% y 0,186%, respectivamente.
Al analizar los efectos marginales en el indicador de liquidez y rentabilidad en la Tabla 7, se aprecia que la probabilidad de que una firma del sector económico comercial sea calificada en A aumentará, si estos dos indicadores se incrementan; mientras que para las demás calificaciones de crédito, la estimación de la probabilidad disminuirá, lo que tiene sentido económicamente. En cuanto al indicador de eficiencia, sucede lo contrario; es decir, si el indicador de eficiencia de la firma se incrementa, tendrá como impacto una disminución en la probabilidad de estar calificado en A; en cambio, para las demás calificaciones de riesgo, la estimación de la probabilidad aumentará.
Al observar la variable macroeconómica, los resultados son los esperados con la teoría económica, debido a que el signo de los parámetros estimados por el modelo, en cada una de las modalidades de crédito, es negativo. De esta manera, a medida que el indicador macroeconómico aumente, tendrá como impacto una reducción en la probabilidad de incumplimiento. En caso de que la variable de crecimiento económico aumente en 1 pp, la probabilidad de estar calificado en la categoría de crédito A aumentará en 1,287%. En cuanto a las calificaciones D y E, el efecto de un incremento de 1 pp en esta variable, la probabilidad de incumplimiento se contraerá en 0,185% y 0,022%, respectivamente.
CONCLUSIONES
La estimación de cada uno de los modelos trata de lidiar con el problema de selección adversa. Cuando una firma industrial o comercial solicite un crédito, se estima la probabilidad de que incumpla con el pago de las obligaciones durante un período de un año, y en caso de que su probabilidad sea alta, el intermediario financiero negará el crédito y así el banco estará disminuyendo el problema de selección adversa. Para la entidad, es muy difícil que los intermediarios inspeccionen a cada una de las empresas antes de desembolsar el dinero y realizar un seguimiento a las mismas, de tal manera que el riesgo moral disminuya, por ello no se pudo incluir este problema en la estimación de los modelos.
Los efectos de las variables cuantitativas y el tamaño de las firmas son previsibles y acordes con la teoría económica. Además, se presenta heterogeneidad de acuerdo con el sector y al tipo de calificación de riesgo. Las empresas pequeñas son las más riesgosas entre los grupos analizados y, entre sectores económicos, las firmas comerciales tienen una mayor probabilidad de incumplir con las obligaciones contractuales. En general, el efecto marginal de mayor magnitud en los indicadores financieros se presenta en la primera calificación tanto en el sector económico industrial y comercial, siendo significativos a excepción del indicador de rentabilidad en su primera y última modalidad de crédito, respectivamente.
En la estimación del modelo de riesgo crediticio en el sector económico industrial y comercial, en general se observa que los efectos marginales tienden a reducirse a medida que la calificación de riesgo otorgada a las firmas se va degradando para cada una de las variables regresoras. La primera categoría es más sensible ante cambios en las variables explicativas, que las demás calificaciones. Se encuentra que el efecto marginal en las últimas dos modalidades de crédito es bajo, pues ante cambios en las variables, tendrá como impacto una variación menor en la probabilidad de default en las calificaciones de crédito D y E; en otros términos, una vez que la firma ha sido calificada en alguna de las dos peores calificaciones, es muy poco probable que pase a categorías de menor riesgo.
Los resultados, en términos generales, muestran que hay discrepancias entre categorías tanto en la estimación de los coeficientes, como en los efectos marginales; además, por más que se incrementen indicadores financieros como la variable de comportamiento de pago de las firmas y la variable macroeconómica, el impacto en la calificación E es mucho menor que en las demás calificaciones de crédito, en especial para el modelo asociado a las empresas comerciales.
En este documento se utiliza la información de los balances de las firmas industriales y comerciales que tienen obligaciones contractuales con un banco, con el propósito de estimar las probabilidades de incumplimiento, de tal manera que los resultados puedan ser utilizados como indicadores de alerta temprana ante cambios en la situación financiera de las empresas.
Referencias
Allen, F., & Gale, D. (2000). Financial contagion. Journal of Political Economy, 108(1), 1-33.
Allen, F., & Gale, D. (2004). Financial intermediaries and markets. Econometrica, 72(4), 1023-1061.
Altman, E. (1968). Financial ratios, discriminant analysis and the prediction of corporate bankrupty. Journal of Finance, 23(4), 589-609.
Altman, E., Haldeman, R., & Narayanan, P. (1977). ZETA analysis: A new model to identify banrupty risk of corporations. Journal of Banking and Finance, 1(1), 29-54.
Arango, J., Zamudio, N., & Orozco, I. (2005). Riesgo de crédito: un análisis de las firmas. Tema 2 del reporte de estabilidad financiera. Bogotá: Banco de la República, 79-87.
Banco Interamericano de Desarrollo (BID). (2005). Hechos más relevantes y síntesis. Capítulo 1. Desencadenar el crédito. Cómo ampliar y estabilizar la banca. Washington, D. C.
Bester, H. (1985). Screening vs. rationing in credit markets with imperfect information. The American Economic Review, 75(4), 850-855.
Cooper, R., & Ross, T. (1998). Bank runs: Liquidity costs and investment distortions. Journal of Monetary Economics, 41(1), 27-38.
Diamond, D. (1984). Financial intermediation and delegated monitoring. Review of Economic Studies, 51(3), 393-414.
Diamond, D. (1991). Monitoring and reputation: The choice between bank loans and directly placed debt. Journal of Political Economy, 99(4), 689-721.
Diamond, D., & Dybvig, P. (1983). Banks runs, deposit insurance, and liquidity. Journal of Political Economy, 91(3), 401-419.
Ennis, H., & Keister, T. (2010). On the fundamental reasons for bank fragility. Economic Quarterly, 96(1), 33-58.
Farhi, E., Golosov, M., & Tsyvinski, A. (2009). A theory of liquidity and regulation of financial intermediation. Review of Economic Studies, 76(3), 973-992.
Farhi, E., & Tirole, J. (2012). Collective moral hazard, maturity mismatch, and systemic bailouts. The American Economic Review, 102(1), 60-93.
González, A. (2010). Determinantes del riesgo de crédito comercial en Colombia (Borradores de Economía, 45, 1-39). Banco de la República.
Gorton, G., & Huang, L. (2004). Liquidity, efficiency and bank bailouts. The American Economic Review, 94(3), 445-483.
Gorton, G., & Winton, A. (2002). Financial intermediation (Working Paper Series 8928, 1-140). NBER.
Gurley, J., & Shaw, E. (1955). Financial aspects of economic development. The American Economic Review, 45(4), 515-538.
Gurný, P., & Gurný, M. (2013). Comparison of credit scoring models on probability of default estimation for us banks. Prague Economic Papers, 2, 163-181.
Holmstrom, B., & Tirole, J. (1997). Financial intermediation, loanable funds, and the real sector. The Quarterly Journal of Economics, 112(3), 663-691.
Jacklin, C., & Bhattacharya, S. (1988). Distinguishing panics and information-based bank runs: Welfare and policy implications. Journal of Political Economy, 96(3), 568-592.
Leland, H., & Pyle, D. (1977). Informational asymmetries, financial structure, and financial intermediation. Journal of Finance, 32(2), 371-387.
Lennox, C. (1999). Identifying failing companies: A re-valuation of the logit, probit and DA approaches. Journal of Economics and Bussines, 51, 347-364.
Martínez, O. (2003). Determinantes de fragilidad en las empresas colombianas (Tema 1 del reporte de estabilidad financiera, 64-74). Banco de la República.
Nguyen, H. (2015). Default predictors in credit scoring: Evidence from France’s retail banking institution. The Journal of Credit Risk, 11(2), 41-66.
Stiglitz, J., & Weiss, A. (1981). Credit rationing in markets with imperfect information. The American Economic Review, 71(3), 393-410.
Superintendencia Financiera de Colombia (SFC). (1995). Capítulo II. Reglas relativas a la gestión del riesgo crediticio. Anexo 3: Modelo de referencia de la cartera comercial (Circular 100 básica contable y financiera).
Superintendencia Financiera de Colombia (SFC). (2002). Capítulo II. Gestión del riesgo de crédito (Circular externa 011).
Williams, R. (2006). Generalized ordered logit/partial proportional odds models for ordinal dependent variables. The Stata Journal, 6(1), 58-82.
Williams, R. (2009). Using heterogeneous choice models to compare logit and probit coeficients across groups. Sociological Methods and Research, 37(4), 531-559.
Zamudio, N. (2007). Determinantes de la probabilidad de incumplimiento de las empresas colombianas (Borradores de Economía 466, 1-58). Banco de la República.
Notas
Información adicional
Sugerencia de citación:: Castro, D. A., & Pérez y Soto, A. (2017). Estimación de la probabilidad de incumplimiento para las firmas del sector económico industrial y comercial en una entidad financiera colombiana entre los años 2009 y 2014. Cuadernos de Economía, 36(71), 293-319. doi: 10.15446/cuad.econ.v36n71.55273.