EL EFECTO DE LA POLÍTICA FISCAL EN EXPANSIÓN Y RECESIÓN PARA ECUADOR: UN MODELO MSVAR
The effect of fiscal policy on expansions and recessions in Ecuador: A MSVAR model
L’effet de la politique fiscale sur l’expansion et la récession en Équateur : Un modèle MSVAR
O efeito da política fiscal em expansão e recessão para o Equador: Um modelo MSVAR
EL EFECTO DE LA POLÍTICA FISCAL EN EXPANSIÓN Y RECESIÓN PARA ECUADOR: UN MODELO MSVAR
Cuadernos de Economía, vol. 36, núm. 71, pp. 405-439, 2017
Universidad Nacional de Colombia

Recepción: 14 Octubre 2015
Aprobación: 22 Febrero 2016
Resumen:
En este artículo se evidencia el efecto de la política fiscal en la economía de Ecuador, considerando la recesión y expansión entre 2003 y 2013. Para esto se utiliza un MSVAR con el gasto público, ingreso petrolero, impuestos e IAE-NP. Se muestra que el gasto tiene un impacto positivo en la actividad económica, con mayor efecto en tiempos de recesión que en bonanza. El aumento de los impuestos provoca un efecto negativo, con mayor impacto en crisis. El ingreso petrolero genera un efecto positivo permanente en la economía, con mayor efecto en expansión. Se debe considerar que solo el efecto del incremento de los impuestos tiene significancia estadística, resultado consistente con estudios previos de la economía ecuatoriana. JEL: E62, E32, C34, C32.
Palabras clave: política fiscal, PIB, ciclo económico, MSVAR, Ecuador.
Abstract:
This paper provides evidence of the effect of fiscal policy on the Ecuadorian economy in periods of recession and expansion between 2003-2013, using a MSVAR with government spending, oil income, taxes, and an IAE-NP. We show that government spending has a positive impact on economic activity, and there is a greater effect during recessions than there is during expansions. An increase in taxes has a negative effect, and there is a greater effect during times of crisis. Oil income generates a permanent positive impact on the economy, and it has a greater effect during periods of expansion. It should be noted that only the effect of the tax increase is statistically significant: a result that is consistent with previous studies of the Ecuadorian economy. JEL: E62, E32, C34, C32.
Keywords: Fiscal policy, GPD, business cycles, MSVAR, Ecuador.
Résumé:
Cet article montre l’effet de la politique fiscale sur l’économie de l’Équateur, en considérant la récession et l’expansion entre 2003 et 2013. Nous utilisons pour cela un modèle MSVAR avec la dépense publique, le revenu pétrolier, les impôts IAE-NP. Nous montrons que la dépense a un impact positif sur l’activité économique, avec un effet plus important en période de récession que de prospérité. L’augmentation des impôts entraîne un effet négatif dont l’impact est plus fort en période de crise. Le revenu pétrolier a un effet positif permanent sur l’économie, avec un plus grand effet en expansion. Il faut considérer que seul l’effet d’augmentation des impôts possède un effet statistique significatif, résultat basé sur des études préalables de l’économie équatorienne. JEL : E62, E32, C34, C32.
Mots clés: Política fiscal, PIB, ciclo econômico, MSVAR, Equador.
Resumo:
Neste artigo, pode-se ver o efeito da política fiscal na economia do Equador, considerando a recessão e a expansão entre 2003 e 2013. Para isto, é utilizado um MSVAR com o gasto público, renda petrolífera, impostos e IAE-NP. O artigo mostra que o gasto tem um impacto positivo na atividade econômica, com maior efeito em tempos de recessão do que na bonança. O aumento dos impostos provoca um efeito negativo, com maior impacto em épocas de crise. A renda petrolífera gera um efeito positivo permanente na economia, com maior efeito em expansão. Deve-se levar em conta que só o efeito do aumento dos impostos tem significância estatística, resultado consistente com estudos prévios da economia equatoriana. JEL: E62, E32, C34, C32.
Palavras-chave: Política fiscal, PIB, ciclo econômico, MSVAR, Equador.
INTRODUCCIÓN
En enero del 2000 Ecuador adoptó la dolarización en su sistema económico. Esto implicó dejar en desuso dos componentes de la política económica: la monetaria y la cambiaria, porque los hacedores de política (policymakers) no pueden tener control del flujo de moneda en la economía y tampoco modificar el tipo de cambio. Desde esta perspectiva, la política fiscal sería la única herramienta económica que le permitiría al Gobierno intervenir en la economía.
Algunos autores propusieron que, en dolarización, las finanzas públicas —instrumentos de la política fiscal— deberían tener una disciplina: sostenibilidad y liquidez fiscal (Romero, 2003; Schuler, 2002). Esto implicaría cubrir el gasto corriente con los ingresos permanentes para mantener un equilibrio en cada año. Además, se debería reducir la deuda pública y mantener un superávit primario para conservar la sostenibilidad fiscal (equilibrio fiscal dinámico). Según estos autores, este comportamiento conservador de las finanzas públicas generaría estabilidad en el sistema económico y confianza en el sector privado, aunque convertirían a la política fiscal en una camisa de fuerza para el Gobierno.
En los primeros años del nuevo régimen monetario se mantuvo dicha disciplina, con déficits globales menores a uno por ciento del producto interno bruto (PIB), resultados primarios siempre positivos y pagos cumplidos de sus obligaciones financieras. A partir del 2007 el resultado cambia porque los ingresos petroleros y tributarios aumentaron, por cuenta de la financiación de la expansión del gasto de capital y social. Los últimos cambios fueron posibles debido a reformas legales en el sistema tributario, la repartición de la renta petrolera y la composición del gasto del presupuesto general del Estado (Almeida, Carrasco, Oliva y Carrillo, 2012). Dado este comportamiento, es primordial evaluar el efecto macroeconómico de modificar la política fiscal (ingresos fiscales y gasto público) en el Ecuador, tras adoptar la dolarización, ya que permitiría conocer la efectividad de su intervención en el actual sistema económico.
En la literatura, la evaluación del efecto de la política fiscal en los indicadores macroeconómicos tomó mayor relevancia con el documento seminal de Blanchard y Perotti (2002). En esta investigación se utiliza un modelo de vectores autorregresivos estructurales (Structural Vector Autoregressive, SVAR) para conocer el efecto de los ingresos y gastos públicos en Estados Unidos después de la Segunda Guerra Mundial. Los autores proponen utilizar la forma de pago de los impuestos, de las transferencias y de los programas sociales para establecer la estructura en el modelo. Se evidencia que el gasto tiene impacto positivo en el PIB y los impuestos generan decrecimiento. Sin embargo, se abstienen de dar conclusiones sobre la magnitud y el tiempo de disolución de los multiplicadores fiscales porque las modificaciones en el modelo generaban impactos y efectos diferentes.
En este sentido, la macroeconomía teórica y empírica todavía no tiene un consenso con referencia al impacto y el canal de transmisión de la política fiscal en algunas variables económicas. La mayoría de las investigaciones muestran que una expansión del gasto público tiene un efecto positivo del producto y de las horas trabajadas, aunque tampoco se define la magnitud ni el tiempo de persistencia. Lo que sigue en el debate es el signo de la respuesta de variables como el consumo de hogares, la inversión privada, los salarios, entre otras (Melina, 2010). El enfoque teórico y la metodología de evaluación han sido algunos de los determinantes para obtener resultados diferentes (Beetsma, 2008). Un acuerdo de la literatura es que los hacedores de política utilizan los instrumentos de política fiscal para estabilizar la economía en el corto plazo y no en el largo plazo, como lo hace la política monetaria (Hernández de Cos, 2010).
En Ecuador, Pacheco (2006) y Carrillo (2015) utilizaron modelos VAR para explicar el efecto de los impuestos y el gasto sobre el PIB. Carrillo utiliza un modelo VAR estructural de largo plazo para evaluar los efectos de los impuestos en los componentes de demanda del PIB en el período 1993-2009. Este autor construye la estructura con las correlaciones temporales de los ciclos, de este modo llega a concluir que los impuestos indirectos tienen efectos negativos y temporales sobre el PIB y los tributos directos no tienen un efecto significativo. Pacheco presenta un VAR con el ciclo de las variables fiscales y el PIB entre 1989 y 2005. La autora muestra que el aumento del gasto público y de los impuestos tiene efectos negativos en el producto, aunque no son estadísticamente significativos.
En los últimos años el debate sobre el efecto de la política fiscal vuelve a tomar importancia ya que, tras la reciente crisis internacional, los Gobiernos de varios países —en especial, Estados Unidos y Europa— implementaron paquetes fiscales para estimular la demanda agregada y disminuir el impacto de la recesión (Sánchez y Galindo, 2013). La continuidad de dichos estímulos fiscales depende de la efectividad que tengan sobre los indicadores macroeconómicos (Hernández de Cos, 2010). Para evaluar estos paquetes se construyeron los modelos SVAR y de equilibrio lineales, que mostraron limitaciones para predecir los efectos en la economía real. Además, se concluyó que la respuesta de los agregados macroeconómicos depende del estado de la economía (Auerbach y Gorodnichenko, 2012).
Con este antecedente, la reciente literatura aplica modelos que aproximen los estados (crisis o expansión) para evidenciar las diferentes respuestas a los multiplicadores fiscales. Christiano, Eichenbaum y Rebelo (2011) y Woodford (2011) utilizan modelos de equilibrio general dinámico estocástico (Dynamic Stochastic General Equilibrium, DSGE) para conocer qué factores determinan la magnitud del multiplicador del gasto en tiempos de crisis y expansión. Mientras que otros autores, como Baum y Koester (2011) o Auerbach y Gorodnichenko (2011, 2012), utilizaron modelos de vectores autorregresivos no lineales, específicamente con umbrales o cadenas de Markov (Threshold VAR, TVAR, o Markov-Switching VAR, MSVAR) para evaluar la efectividad de los instrumentos de política fiscal en los estados de la economía. Estos modelos muestran que el PIB tiene una respuesta más efectiva ante estímulos fiscales en tiempos de crisis que en períodos de expansión. Además, se evidencia que las relaciones lineales de los modelos VAR y DSGE presentan resultados sesgados e incoherentes con la realidad, ya que su estructura no depende de los estados de la economía (Auerbach y Gorodnichenko, 2012).
El objetivo de la presente investigación es evaluar los efectos de la política fiscal en la actividad económica del Ecuador tras la adopción de la dolarización, debido a que desde el 2000 el Estado solo tenía los ingresos fiscales y el gasto para intervenir en la economía de manera tradicional. Con la dolarización, el Gobierno perdió el control en el flujo de la moneda, con lo que desapareció la política monetaria y la capacidad de devaluar la moneda, esto dejó en desuso la política cambiaria. Además, se escoge a la época de la dolarización ya que no se desea mezclar los estados de la economía con otros cambios estructurales. Pacheco (2006) y Carrillo (2015), por ejemplo, evalúan el efecto de la política fiscal sin considerar el cambio de moneda —de sucres a dólares—, hecho que habría podido disolver el impacto de los instrumentos fiscales en el modelo.
El aporte de esta investigación consiste en evidenciar los efectos en distintos estados de la economía, específicamente en expansión y recesión, con un modelo de vectores autorregresivos con cambios de régimen (MSVAR). En concordancia con lo anterior, se comparan los resultados de cada estado con un VAR tradicional para conocer la pertinencia de utilizar un MSVAR en estas evaluaciones macroeconómicas en el país. Para cumplir este propósito se toman los ingresos petroleros, los ingresos no petroleros, el gasto público y el Índice de Actividad Empresarial No Petrolera (IAE-NP), como proxy del PIB, entre enero del 2003 y noviembre del 2013, con frecuencia mensual.
El documento se encuentra estructurado de la siguiente forma: la segunda sección recoge los principales aportes teóricos y empíricos sobre los efectos de la política fiscal en la economía, divididos entre lineales y no lineales; en la tercera parte se presenta un análisis de la evolución de las finanzas públicas; la cuarta parte muestra los datos utilizados y el modelo estimado en la investigación; los resultados del modelo se ubican en la quinta sección; y en la última parte se exponen las conclusiones de la investigación.
LA POLÍTICA FISCAL Y SUS EFECTOS EN LA ECONOMÍA: UNA REVISIÓN DE LITERATURA
A pesar de que los efectos de la política fiscal son importantes en la macroeconomía, no existe un acuerdo sobre su impacto y los canales de transmisión en las diferentes variables. De manera teórica y empírica se ha podido demostrar que la expansión del gasto y la reducción de los impuestos tienen un efecto positivo en el PIB, pero todavía no se concluye el efecto en el consumo, la inversión y otras variables (Melina, 2010). La diferencia del impacto, su persistencia y magnitud dependen del enfoque teórico y metodológico que se utilice (Beetsma, 2008; Melina, 2010). Además, Batini, Callegari y Melina (2012) mencionan que las diferencias se deben al período de análisis, la técnica de estimación, la medición de estabilizadores automáticos, la fase del ciclo económico (expansión o recesión) y el control de las expectativas de la política fiscal. En esta sección se presenta una revisión de la literatura sobre los efectos de la política fiscal; en primera instancia se presenta una visión lineal del impacto del ingreso y el gasto de Gobierno en el PIB, dividiéndole entre la evidencia teórica y empírica; en la segunda parte se presenta la literatura no lineal de los instrumentos fiscales con la misma división de la primera parte.
Modelos iniciales: lineales
En la teoría keynesiana el Estado es el principal responsable del desempeño macroeconómico de un país. John Maynard Keynes rechazó la idea de que los mercados se ajustaban por sí solos y que encontraban un equilibrio con pleno empleo y bajas tasas de inflación. En resumen, Keynes aseveró que el Gobierno debía emplear política económica para mitigar los problemas económicos (Snowdon y Vane, 2005).
Los keynesianos mencionan que cuando existen altas tasas de desempleo el Estado debería expandir el gasto o reducir los impuestos para estimular la demanda y que la gente vuelva a trabajar. Además, en momentos inflacionarios se debería incrementar los impuestos o disminuir el gasto público para bajar la presión sobre los precios. Estas políticas tendrían implicaciones en el presupuesto estatal y la deuda nacional; en tiempos de crisis, la recaudación de impuestos se reduciría porque caerían los ingresos nacionales y aumentaría el gasto gubernamental en programas sociales (seguro de desempleo), lo que provocaría un déficit presupuestario cíclico (Holt y Pressman, 2001).
En los últimos años la política fiscal se ha utilizado para obtener estabilidad en el corto plazo. La expansión del gasto gubernamental o la reducción de tributos tienen un efecto positivo en el ingreso, pero su tamaño y permanencia dependen de la propensión al consumo y al ahorro futuro. Además, este impacto en el producto es positivo si los precios son fijos (Beetsma, 2008). Desde esta lógica se han realizado estudios teóricos y empíricos para evidenciar los efectos de la política fiscal en la economía. Dentro de los teóricos, la investigación de Baxter y King (1993) es la referente; mientras que el artículo de Blanchard y Perotti (2002) es el documento seminal en la literatura empírica.
Los modelos neoclásicos de ciclos económicos reales (Real Business Cycles, RBC) muestran una respuesta positiva del PIB, la inversión privada, el empleo, la productividad de los factores cuando se expande el gasto público; mientras que existen efectos negativos en los sueldos y el consumo de hogares. Además, si el presupuesto es financiado con impuestos distorsionadores el producto no crece tanto o decrece. Mientras que los impuestos no tienen un impacto significativo en la actividad económica si se mantiene constante el gasto (Baxter y King, 1993).
En el mismo enfoque de RBC, la modificación de funciones de utilidad o la introducción de fricciones de mercado, entre otros factores, cambian el tamaño y el signo del impacto de los instrumentos de política fiscal. Ingresar funciones de utilidad no separables de manera aditiva y una baja elasticidad de consumo intertemporal provocan que la expansión del gasto aumente el consumo y que disminuya la inversión. Además, la introducción de restricciones de crédito provoca que los impuestos tengan un efecto positivo (menor a 1). Además, si se incluyen retrasos en la construcción de obras públicas, el shock del gasto provoca que en el corto plazo el PIB tenga un bajo crecimiento o llegue a decrecer y que en el mediano plazo presente una recuperación (Batini et al., 2012).
Los modelos neokeynesianos procuran remediar el efecto negativo de las compras del Gobierno en el consumo privado, encontrado en el enfoque neoclásico. Para esto, algunos autores introducen rigideces nominales de los precios y los salarios en un entorno de competencia monopolística (precio mayor a costo marginal); estos supuestos fueron tomados de la literatura que analiza el impacto de la política monetaria en una economía. Esta propuesta muestra que el aumento del gasto también tiene un efecto ingreso negativo debido al aumento en el pago de impuestos, lo que provoca que disminuya el consumo y aumente la oferta laboral. Sin embargo, mantener los precios rígidos, bajo el esquema monopolístico, conlleva que la expansión del gasto aumente la oferta de producción, la demanda de trabajo y el salario real (Beetsma, 2008).
De manera empírica se puede destacar la utilización de modelos autorregresivos para la evaluación de la política fiscal. El principal problema de estos esquemas es la identificación de la exogeneidad de las variables y de los eventos fiscales. Blanchard y Perotti (2002) utilizan un SVAR para estudiar los efectos de la política fiscal en el PIB. Para determinar que una variable es exógena proponen utilizar información institucional del sistema tributario, de la respuesta tardía del gasto ante cambios en el producto y el ajuste cíclico de los impuestos y las transferencias a través de sus elasticidades. Ellos encuentran que un incremento del gasto tiene un efecto positivo en el PIB, mientras que los impuestos tienen el efecto contrario; la expansión de las compras gubernamentales tiene un efecto positivo en el consumo de hogares; el aumento conjunto del gasto y los tributos provocan que la inversión privada caiga; incluir la anticipación de los agentes ante la política fiscal no altera las conclusiones. Los autores no llegan a una conclusión acerca del tamaño y la persistencia de los instrumentos de Gobierno. Perotti (2002) replica la metodología para Alemania, Australia, Canadá, Estados Unidos e Inglaterra, y llega a las mismas conclusiones.
Ramey y Shapiro (1998) proponen estudiar la respuesta del PIB ante eventos externos como la guerra de Corea, la guerra entre Estados Unidos y Vietnam y la guerra Fría (Carter-Reagan buildup) con una regresión autorregresiva y variables dicotómicas (dummy). Los autores proponen este análisis univariado indicando que la estimación del impacto de los multiplicadores es similar al multivariado. Además, su objetivo no era la evaluación individual de los eventos —de cada variable dicotómica— sino el promedio de todos. Los resultados muestran que los shocks militares tienen efectos positivos temporales en el PIB total y el privado, y la inversión no residencial. Además, el impacto es negativo en el consumo e inversión residencial. Edelberg, Eichenbaum y Fisher (1999) extienden el estudio anterior con un modelo multivariado (VAR) llegando a las mismas conclusiones.
Perotti (2007) critica la metodología narrativa de Ramey y Shapiro (1998) así como sus extensiones en VAR. El primer cuestionamiento indica que se asume la misma dinámica en la respuesta de la variable macroeconómica para todos los episodios analizados. Además, se reprocha la utilización de rezagos de las variables dicotómicas para explicar las variables no fiscales, ya que existen otros eventos exógenos no considerados y que es apropiado solo incluir el acontecimiento fiscal contemporáneo. Esta metodología admite que las otras variables mantienen su dinamismo después del shock gubernamental. Una última crítica de Perotti es que la variable dummy comienza inmediatamente después de anunciar el evento fiscal y que el sector privado ya lo previene. Bajo estas críticas, Romer y Romer (2010) proponen modificar la misma metodología narrativa para evaluar los efectos de eventos tributarios. Los autores utilizan los registros oficiales de presidencia para construir la serie de cambios legislativos de los impuestos y su impacto medido en porcentaje del PIB. Esta modificación permite identificar los cambios legales y de otros acontecimientos. En conclusión, se encuentra que el crecimiento de tributos tiene efectos negativos en la inversión y consumo.
Alesina, Favero y Giavazzi (2015) plantean que la evaluación de la política fiscal se debería realizar de manera conjunta en un plan y no como cambios individuales de las variables fiscales. Para este objetivo, los autores utilizan el enfoque narrativo de Romer y Romer (2010) y una base de datos de Devries, Guajardo, Leigh y Pescatori (2011), que recoge los cambios discrecionales en los impuestos y el gasto gubernamental de diecisiete países de la Organización para la Cooperación y el Desarrollo Económicos (OCDE) entre 1978 y 2009. Los autores recogen en su análisis los cambios inesperados, anunciados y futuros de la política fiscal de dichos países, que están correlacionados, para evaluar sus efectos en el crecimiento del PIB per cápita, del consumo privado, de Formación Bruta de Capital Fijo (FBKF) privada, la tasa de interés de corto plazo, la inflación y la confianza de consumidores y empresas. En este trabajo se concluye que los efectos dependen de la composición de la medida, aumento de impuestos o reducción de gastos, o del tiempo de la medida, temporal o permanente; los ajustes basados en gastos están asociados con recesiones leves o de corta duración (en algunos casos no existe efecto recesivo), mientras que los ajustes basados en impuestos provocan recesiones profundas y prolongadas. Los autores sí aclaran que los resultados se evalúan en promedio ocultando fuertes recesiones con procesos expansivos.
Beetsma (2008) realiza una recolección de literatura de los efectos de la política fiscal en condiciones lineales. Este documento clasifica los estudios según el enfoque de análisis, tipo de apertura económica y metodología. Además, analiza los efectos encontrados cuando se combina la política monetaria con la fiscal. Otro aporte de este autor es la propuesta de investigaciones en otras áreas de la economía, un ejemplo de esto es la propuesta sobre analizar el efecto en los diferentes sectores económicos o de la población. Carrillo (2015) recoge la literatura de la política fiscal sobre Suramérica, mencionando trabajos para Brasil, Chile, Colombia, Ecuador, Perú y Uruguay.
Modelos contemporáneos: no lineales
Con la reciente crisis internacional, los Gobiernos implementaron paquetes fiscales (reducción de impuestos, aumento de gasto, entre otros) para estimular la demanda agregada, tratando de amortiguar o salir de este impasse (Sánchez y Galindo, 2013). Sin embargo, la permanencia de estos estímulos gubernamentales depende de su efecto positivo en el sistema económico (Hernández de Cos, 2010). Para la evaluación de dicha efectividad se utilizaron SVAR, DSGE y otros modelos macroeconométricos que evidenciaron que los dos primeros tienen limitaciones en la predicción de los efectos por su naturaleza lineal (Auerbach y Gorodnichenko, 2012). Dados estos inconvenientes, la literatura de política fiscal propone utilizar modelos no lineales que recojan los estados de la economía, en especial, crisis y expansión. De esta manera se podrá evaluar, con mayor consistencia y respondiendo a la realidad, los efectos del gasto público y los impuestos. Para esto, se han desarrollado DSGE donde los multiplicadores fiscales varían de acuerdo con la posición del ciclo (Christiano et al., 2011; Woodford, 2011). Además, hay diferentes propuestas de modelos VAR con cambios de régimen mostrando que la política fiscal es más efectiva en recesión que en expansión (Auerbach y Gorodnichenko, 2012; Baum y Koester, 2011; Bognanni, 2013; Ko y Morita, 2013).
Por separado, Christiano et al. (2011) y Woodford (2011) emplean modelos de equilibrio general dinámico estocástico para entender en qué circunstancias el multiplicador del gasto tiene diferentes magnitudes. En estas investigaciones se utiliza el enfoque neokeynesiano con salarios flexibles y precios ajustables para poder aislar el efecto de la política monetaria en la actividad económica. Además, suponen que la autoridad monetaria no modificará la tasa de interés ante impactos del crecimiento del gasto público. De esta manera, el Gobierno solo podrá afectar el producto con la política fiscal y su efectividad dependerá del estado de la economía. Por separado, los autores encuentran un multiplicador del gasto menor a 1 (pequeño) cuando la tasa de interés real aumenta como reacción al alza de precios o crecimiento de la economía; mientras que, si la tasa de interés nominal está cerca del cero, el multiplicador es mayor a 1 (grande), siendo esto posible en recesión.
Auerbach y Gorodnichenko (2012) analizan el tamaño de los multiplicadores fiscales en crisis y expansión mediante un modelo de cambio de régimen (TVAR) para los Estados Unidos entre 1947 y 2009. Los autores utilizan series trimestrales en logaritmos del gasto gubernamental, ingresos netos y PIB en dólares del 2000. Además, se emplea la descomposición de Cholesky con el orden mencionado de las variables para la generación de las funciones de impulso respuesta. Auerbach y Gorodnichenko proponen emplear un ajuste normalizado de medias móviles del crecimiento del PIB para la determinación de tiempos de recesión y bonanza. En esta investigación se encontró que la política fiscal es más eficiente en crisis que en expansión, con un multiplicador del gasto público creciente y mayor que 1, y un aumento de los ingresos públicos netos menos distorsionadores y hasta positivos. También muestran que el consumo y la inversión pública tienen efectos positivos sobre el producto con mayor eficiencia del consumo. Por último, si se consideran las expectativas, estos multiplicadores son más grandes. En el 2011 los mismos autores realizan este análisis para los países de la Organización para la Cooperación y el Desarrollo Económicos (OCDE) obteniendo las mismas conclusiones (Auerbach y Gorodnichenko, 2011).
Baum y Koester (2011) utilizan series trimestrales del gasto público, impuestos netos y producto de Alemania, entre 1976 y 2009, para evaluar la política fiscal. Las variables están en términos reales, desestacionalizadas y en diferencia del logaritmo. Los autores utilizan un modelo de vectores autorregresivos con umbral (TVAR) y utilizan el ciclo del PIB para indicar tiempos de recesión o expansión. Además, construyen un VAR lineal para comparar los resultados. En este documento se encuentra que, en linealidad, el gasto tiene un efecto positivo sobre el PIB y el de los impuestos es negativo. El modelo TVAR muestra que el impacto del gasto es mayor en malos tiempos y limitado en buenos, mientras que los tributos tienen un multiplicador pequeño.
Batini et al. (2012) estiman el impacto de la política fiscal en recesión y auge para Estados Unidos, Zona Euro, Francia, Italia y Japón. En la investigación se utiliza un modelo con umbral de vectores autorregresivos (TVAR) y se modela el cambio de régimen con el crecimiento del PIB real. Las variables que ingresan al TVAR son el gasto gubernamental, producto, impuestos netos y la tasa de interés real de corto plazo; todas estas variables están expresadas en términos reales per cápita, en logaritmos, excepto la tasa de interés, y con periodicidad trimestral. Los autores incluyen la tasa de interés para controlar la combinación de política fiscal con la monetaria. Para mostrar los resultados, Batini et al. construyen funciones de impulso respuesta no lineales siguiendo a Koop, Pesaran y Potter (1996), permitiendo introducir el cambio de régimen en cada función. Las conclusiones son: los multiplicadores fiscales tienen mayor tamaño en recesión que en expansión, el efecto del gasto es mayor que el de los impuestos y la tasa de interés no tiene un efecto significativo ante los estímulos fiscales.
Baum, Poplawski-Ribeiro y Weber (2012) analizan la relación entre los multiplicadores fiscales y el estado de la economía para Canadá, Francia, Alemania, Japón, Estados Unidos e Inglaterra. Las variables tienen una periodicidad trimestral desde 1965 hasta el 2011, están en términos reales, desestacionalizadas y en ciclo con el filtro de Hodrick-Prescott. Los autores encuentran los estados simultáneamente con un modelo TVAR, siguiendo de este modo a Tsay (1998). Los resultados encontrados muestran que el impacto de la política fiscal difiere entre los países; los multiplicadores del gasto (con significancia estadística) son mayores en recesión que expansión para Alemania, Japón y Estados Unidos, mientras Inglaterra presenta igual tamaño en los dos estados; y los shocks de impuestos son significativos para Canadá, Francia, Alemania y Japón, pero con un bajo impacto en el PIB.
Ko y Morita (2013) investigan los efectos del gasto y los impuestos en la dinámica del PIB, sus componentes y el tipo de cambio en el período 1965-2004 para Japón. Los autores utilizan un modelo autorregresivo con cadenas de Markov (MSVAR) porque la economía japonesa pasó por cuatro etapas: alto crecimiento, profundas crisis, prolongadas recesiones y modestas recuperaciones. Las series del MSVAR ingresan en términos reales, per cápita, crecimientos relativos y desestacionalizadas (la tasa de cambio no fue ajustada por estacionalidad). El modelo detecta que los períodos de cambio de estado son a mitad de los años setenta, inicios de los noventa y 1997. Ko y Morita (2013) encontraron que un gasto expansivo tiene un efecto positivo en todos los regímenes y un aumento de los tributos reduce el producto en los estados 1, 2 y 4 (en el tercero el resultado es positivo). Además, se tiene un impacto positivo del gasto gubernamental en el consumo privado en etapas 1, 2 y 4, y en la inversión solo en los primeros dos. En la balanza comercial se encuentra que el aumento del gasto provoca un déficit, lo que disminuye las exportaciones y aumenta las importaciones. En definitiva, se concluye que los paquetes fiscales implementados en el período mencionado tienen un alto impacto en la estabilidad de la economía asiática.
Sánchez y Galindo (2013) utilizan los modelos lineales (SVAR) y no lineales (TVAR) para evaluar los efectos simétricos y asimétricos de la política fiscal en Perú. Las variables endógenas que ingresan a los modelos son: PIB real no primario (excluye a los sectores de agricultura, pesca, etc.), ingresos tributarios, gasto público primario (gasto total menos intereses de deuda). Los autores además ingresan el índice de términos de intercambio, el grado de apertura comercial, la tasa de interés de la Reserva Federal de Estados Unidos, la oferta monetaria (M1), el ratio de deuda y PIB, y el coeficiente de dolarización del sistema financiero. Todas las series tienen una periodicidad trimestral y se desestacionalizaron. Para el SVAR el período comprende los años entre 1992 y 2011, mientras que en el TVAR comienza en 1980. En el modelo no lineal, Sánchez y Galindo ingresan la brecha del producto como variable de estado, la cual sigue una distribución logística. Los resultados de la investigación son: 1) en el modelo simétrico, el aumento del gasto público y una reducción de los impuestos tienen un efecto positivo sobre el PIB, 2) en condiciones normales el gasto tiene mayor efectividad que los tributos, 3) el TVAR estima que la política de gasto es más efectiva en tiempos de crisis que en los de expansión, mientras que los impuestos tienen impacto en tiempos de crisis mas no en expansión.
Bognanni (2013) evalúa los efectos de la política fiscal en los estados del PIB para Estados Unidos entre 1959 y 2011. El autor utiliza series trimestrales del gasto gubernamental, el producto, los impuestos netos, la tasa de interés nominal, la liquidez monetaria (M2), precios de commodities, deflactor del PIB y el déficit público. Todas las variables se encuentran en logaritmo, excepto la tasa de interés que está en su nivel (porcentajes) y los precios que solo se transformaron en logaritmo. Bognanni ingresa variables monetarias para controlar dicha política, permitiendo que los shocks de los instrumentos fiscales sean independientes. En la investigación se emplea un modelo con cadenas de Markov (MSVAR) para medir los efectos y comparar con los resultados de Auerbach y Gorodnichenko (2012). En los resultados se muestra que los multiplicadores del gasto y los impuestos son inferiores a los estimados por Auerbach y Gorodnichenko, lo que permite argumentar diferencias en los resultados por la identificación de las épocas de crisis y expansión.
Vargas, González y Lozano (2015) evalúan los efectos de la reducción del déficit fiscal estructural y la tendencia insostenible de la deuda pública en Colombia. Los autores también utilizan la metodología no lineal de Auerbach y Gorodnichenko (2012) para evaluar estos efectos de este plan de política fiscal. En el documento se demuestra que esta medida tuvo profundos efectos en la macroeconomía colombiana, ya que el PIB incrementó su nivel de reacción ante estos cambios inesperados de gasto público y probablemente pudieron fortalecer los efectos de la política monetaria en las tasas de interés de mercado.
En resumen, la política fiscal sí tiene un impacto sobre el sistema económico. En general, el gasto y los impuestos tienen un impacto positivo y negativo sobre el PIB, respectivamente. Siempre se debe considerar el período de análisis, la metodología utilizada, la inclusión de controles de política monetaria o de expectativas para estimar la persistencia y la magnitud de los multiplicadores fiscales. Además, si se consideran las condiciones de la economía (crisis y expansión, por ejemplo), la política fiscal es más efectiva (mayor multiplicador) en tiempos de recesión que en bonanza; es decir, que el gasto tiene un impacto mayor a uno por ciento del producto en crisis y menor a uno por ciento en expansión; los impuestos tienen una incidencia menor en recesión y mayor en la fase de crecimiento.
LAS FINANZAS PÚBLICAS DE ECUADOR EN DOLARIZACIÓN
El nuevo sistema monetario y financiero despertó algunos interrogantes en la ciudadanía sobre la competitividad, la estabilidad de precios, las mejoras salariales, etc. Algunas de estas dudas tenían que ver con la política fiscal, ya que antes del 2000 las finanzas públicas presentaban vulnerabilidad a factores externos y naturales: caída del precio de petróleo, fenómeno de El Niño, crisis internacionales (Almeida et al., 2012). Instituciones nacionales e internacionales se pronunciaron sobre la dirección que debería tomar la política económica una vez implementada la dolarización (véanse Berg y Borensztein, 2000; Romero, 2003; Schuler, 2002).
La recomendación de política fiscal de estas instituciones fue mantener una disciplina en sus cuentas, esto significaba mantener una liquidez fiscal para sostener el equilibrio en cada período, es decir, los ingresos permanentes deberían cubrir los gastos permanentes, en especial el pago de la deuda. Otro componente de esta disciplina era la sostenibilidad, que abarcaba el equilibrio intertemporal, esto implicaba reducir el stock de deuda externa del Gobierno y mantener el resultado primario (global menos pago de intereses) mayor o igual a cero
Resultado fiscal
El sector público no financiero (SPNF) mantuvo superávit en resultados global y primario entre 2000 y 2008 (véase Gráfica 1). El aumento del precio del petróleo, la mayor recaudación tributaria, entre otros factores colaboraron para mantener este escenario positivo (Almeida et al., 2012). Tras la crisis financiera internacional, las finanzas públicas mantuvieron déficits hasta 2013; tan solo en 2011 se obtuvo un resultado primario positivo de 0,5% del PIB (véase Gráfica 1).

Ingresos
Al inicio del 2000 la presión fiscal (ingresos fiscales/PIB) representaba 22,6%; este porcentaje fue el más alto hasta 2006. Los impuestos y los ingresos petroleros fueron los componentes de mayor representación en el total (37% y 35%); este comportamiento no cambió en los siguientes años hasta 2006 (véase Gráfica 2). Los principales sucesos que podrían explicar este comportamiento fueron las reformas tributarias: incremento de la tasa del IVA, de 10% a 12% en 1999 y de 12% a 14% en 2001; eliminación del impuesto a la circulación de capitales; y retorno del impuesto a la renta (Almeida et al., 2012; Chiliquinga, Carrasco y Ramírez, 2012).
A partir del 2007 el comportamiento de los ingresos se modificó ya que se realizaron reformas institucionales y legales; además existió un incremento del precio del petróleo en 2008. Se realizaron cambios normativos enfocados en la progresividad, equidad, reducción de la evasión y la reasignación de los ingresos petroleros; también se crearon el impuesto a la salida de divisas para mantener la liquidez interna del país y los impuestos verdes (contaminación vehicular y plásticos) para fomentar la conciencia ambiental (Chiliquinga et al., 2012). Entre las reformas institucionales se puede resaltar la reforma al reglamento orgánico funcional del Servicio de Rentas Internas (SRI) enfocado al control tributario, lo que representó más ingresos para el Estado por eficiencia administrativa (Ramírez y Carrillo, 2013).

En 2007 los ingresos fiscales alcanzaron 26,4% del PIB e incrementaron a 39% en el 2011. Tras la reforma de los ingresos petroleros la participación de esta cuenta con respecto al PIB cambió de 6,5% en 2007 a 16,3% en 2011. En el 2013 esta participación disminuyó a 12,1% por la caída de precio del petróleo. La parte tributaria también incrementó de 10,8% del PIB en 2007 a 12,7% en 20131. Además, se resalta el crecimiento de las contribuciones de la seguridad social del resultado operacional de las empresas públicas (básicamente petroleras) y de los otros ingresos (véase Gráfica 2).
La eliminación de las preasignaciones fue otro factor que influyó en el aumento de los ingresos fiscales en el Presupuesto General del Estado (PGE). Hasta 2006 estas cuentas representaban el 18% del PGE, dirigiéndose principalmente a las universidades y a los Gobiernos Autónomos Descentralizados (GAD). Con las reformas tributarias de 2007 y petroleras de 2008 se eliminaron las preasignaciones del impuesto a los consumos especiales, del impuesto a la renta y de los fondos petroleros (Cereps, Feiseh y FEP). Otro aporte fue el Código Orgánico de Ordenamiento Territorial, Autonomía y Descentralización (Cootad) de 2010, que mejoró el proceso de descentralización fiscal, eliminando cerca de diecinueve leyes que preasignaban recursos a los GAD. Esta nueva normativa creó un sistema de transferencias intergubernamentales vinculados a las competencias exclusivas, a la asunción de nuevas competencias y la explotación de recursos no renovables. Tan solo se mantuvo la preasignación del IVA para las universidades (Almeida et al., 2012).
Gasto
Las reformas petroleras y del presupuesto lograron un mayor financiamiento del gasto público, en especial el asociado a la inversión y el gasto social. Al inicio de la dolarización el gasto total del SPNF representó el 21,3% del PIB, el segundo valor más alto después de 2002 (21,6%). Esta participación del Estado en la economía estuvo marcada por el pago de intereses de deuda, de otros gastos corrientes, de FBKF pública y de sueldos: 27%, 23%, 20% y 20% con respecto al total, respectivamente. En el trascurso de los seis primeros años de dolarización, la cuenta de salarios y de otros corrientes tomaron mayor participación del gasto total llegando a porcentajes de 32% y 24% en 2006 (véase Gráfica 3).
A partir del 2008 se dieron cambios metodológicos en la publicación de las cuentas fiscales presentadas por el Banco Central, desde ese año se incluyó en el rubro de otros gasto corrientes la Cuenta de Financiamiento de Derivados Deficitarios (CFDD), la cual cubre el gasto en importaciones derivados por parte del Estado (Almeida et al., 2012). Además, el gasto del Gobierno Central corresponde a todo el PGE, que ahora incluye a las Entidades Autónomas. Se debe considerar también el cambio de política pública con enfoque en el gasto social y la inversión pública que trajo el nuevo Gobierno en el 2007.
Desde el 2008 el gasto público cambió su evolución y composición, ese año las cuentas de sueldos y pago de intereses bajaron la participación a 22% y 3%; mientras que el gasto en FBKF aumentó su porcentaje a 32% (véase Gráfica 3), dado por la inversión del Gobierno central en los proyectos estratégicos. En el mismo año se tuvo una mayor participación de otros gastos corrientes (33%) debido al crecimiento del precio del petróleo y sus derivados; sin embargo, este porcentaje disminuyó en 2009 por la crisis. A pesar de esta crisis financiera internacional la transformación en la política fiscal se mantuvo. En promedio, el gasto de capital representó en 30% entre 2008 y 2013, con una mayor participación por parte del Gobierno central y las empresas públicas (véase Gráfica 3). La participación de los intereses de la deuda pública cayó 2%, después de la recompra de la deuda externa, y la de los sueldos disminuyó a 25%, con la reducción del sueldo del presidente y de otras instituciones.

En porcentajes del PIB, el gasto público creció a 44% en 2013, con un promedio de 38% entre 2008 y 2013. En un solo año el Gobierno central aumentó su inversión pública de 3% a 7% del PIB, lo que llevó a que la FBKF se incrementara de 6% a 11%, entre 2007 y 2008 (véase Gráfica 3). El gasto en sueldos creció a 9,4% en 2013, con una mayor participación de los sectores de educación y salud, que representan el 60% de los funcionarios públicos (Almeida et al., 2012). El componente de otros gastos corrientes aumentó su participación en la economía significativamente: en 2013 este representó el 13% del PIB (véase Gráfica 3); este fenómeno se debe al incremento del precio del petróleo y de la demanda interna de los derivados.
Si se observa la composición del presupuesto entre 2000 y 2013 se nota el cambio de política económica. En el 2000 el gasto administrativo tenía una participación de 37%, respecto del total, lo que reflejaba el presupuesto de todas las funciones del Estado (ejecutiva, legislativa, judicial), la diplomacia internacional, pago de la deuda pública, entre otros. El gasto social representó el 29%, conformado por educación (18%), salud (6%), bienestar social (3%), desarrollo urbano y vivienda (2%) y trabajo (menos de 1%); en estas cuentas se encuentra el pago de sueldos a profesores, médicos, bono de desarrollo humano, inversión en escuelas, entre otros. El componente de defensa tenía un porcentaje de 25%, que representa el presupuesto dirigido a la policía nacional, fuerzas armadas y otros organismos que protegen y defienden al país. El gasto productivo representó el 9%, que se enfocaba a políticas agropecuarias, de generación de empleo, de fomento de comercio y productividad, medio ambiente, turismo, etcétera (véase Gráfica 4).

En 2013 se observa un cambio de estructura, liderado por el gasto social. La parte social representó el 46% del PGE, con una participación de 24% en educación, 10% en salud, 7% en programas sociales, 4% en desarrollo urbano y vivienda, y 1% en trabajo. El gasto productivo tiene una participación de 21%, enfocada principalmente al cambio de la matriz productiva del país. Los componentes de defensa y administrativos tuvieron una disminución a 20% y 13% del presupuesto total (véase Gráfica 4).
Deuda
El componente de deuda pública ha mantenido una tendencia decreciente de manera sistemática durante el período de dolarización. Hasta el 2006, la política de reducir el endeudamiento estuvo planteada por cartas de intención de los organismos internacionales, básicamente el Fondo Monetario Internacional (FMI); esta disminución se logró destinando más del 50% del presupuesto al pago de la deuda (Almeida et al., 2012; Kitidi y Chatzistefanou, 2011). En el 2000 la deuda pública representaba 76,7% del PIB, para 2006 este indicador se redujo a 28,8%, lo que significó una disminución en más del 200% (véase Gráfica 5).

Desde 2007 la política de endeudamiento público se modificó porque el presidente declaró que no pagaría esta obligación financiera si no se daba primero prioridad a los problemas sociales de ese período. Además, anunció que no pagaría esta deuda porque “era odiosa, ilegítima e inconstitucional”, hecho que llevó a los acreedores a vender sus bonos y demás papeles financieros a un precio menor: hasta el 20% de su valor. Esta estrategia del Gobierno logró la recompra de estas obligaciones, con esto se obtuvo un ahorro de 7.000 millones de dólares en el PGE (Kitidi y Chatzistefanou, 2011).
Este suceso se evidenció en el indicador de deuda, puesto que pasó de 27,2% en 2007 a 16,4% en el 2009; el último valor es el más bajo en toda la dolarización. Juntamente con esta disminución se modificó la composición entre el financiamiento interno y externo; en promedio, la parte externa e interna representaron el 77% y 23% del total entre 2000 y 2008, mientras que entre 2009 y 2013 las participaciones cambiaron a 64% y 36%. A partir del 2009 la deuda pública ha aumentado, pero a un menor ritmo que en otros períodos (Almeida et al., 2012). Entre 2009 y 2013 esta cuenta creció de 16,4% a 24,7% (7,8 puntos porcentuales), financiando los proyectos energéticos (Almeida et al., 2012).
DATOS Y MODELO
Datos
Para la estimación se utilizaron datos con frecuencia mensual entre enero del 2003 y noviembre del 2013. Las fuentes de información fueron el Banco Central del Ecuador (BCE) y el Servicio de Rentas Internas (SRI). Las series temporales fueron desestacionalizadas con el método TRAMO/SEATS. Además, todas las variables se transformaron a logaritmos. De acuerdo con la literatura, las variables que ingresaron al modelo fueron: ingresos petroleros (exportaciones y venta de derivados), no petroleros (impuestos, contribuciones a la seguridad social, superávit de empresas públicas y otros), gasto público e Índice de Actividad Empresarial No Petrolera (IAE-NP) como proxy del PIB a nivel mensual2. Las variables fiscales pertenecen al sector público no financiero. En la Gráfica 6 se puede observar la evolución de las variables del modelo, mientras que la composición y evolución respecto al PIB de las finanzas públicas se puede evidenciar en la sección: “Las finanzas públicas de Ecuador en dolarización”.
Para elegir la proxy del PIB fueron preseleccionados tres índices de actividad coyuntural. Estos son: el Índice de Nivel de Actividad Registrada (INA-R), el Índice de Actividad Económica Coyuntural (IDEAC) y el Índice de Actividad Empresarial no Petrolera. El INA-R utiliza las ventas mensuales de las empresas más representativas del país reportadas en la declaración del impuesto al valor agregado al SRI. Este índice pondera a las empresas según su peso en la rama de actividad económica, para ello toma la tercera revisión de la Clasificación Internacional Industrial Uniforme (CIIU rev. 3). El Instituto Nacional de Estadísticas y Censos (INEC) es la entidad pública que reporta este indicador. El IDEAC toma como insumo las variables físicas mensuales de producción del Sistema de Cuentas Nacionales (SCN) del Banco Central y toma el peso relativo de las industrias en el PIB para agregarlo. Ambos indicadores utilizan el crecimiento relativo acumulado (fórmula de Laspeyres) con respecto a un año base, para generar la evolución en puntos básicos, donde el INEC toma el 2003 como referencia y el BCE el año 1993 (INEC, S.A.; BCE, S.A.).

El SRI publica el IAE-NP con la metodología de índice compuesto de la National Bureau of Economic Research (NBER) y la Bureau of Economic Analysis (BEA), donde la fuente son las ventas, compras, exportaciones e importaciones de las empresas de los sectores de comercio, construcción, manufactura y servicio. Para los pesos de las variables se utiliza su volatilidad, dando mayor ponderación a las variables más estables y, para la participación de los sectores, se utiliza el método de componentes principales maximizando la variabilidad de estos. El período base está entre 2003 y 2008, y el año de referencia es el 2003 (Ramírez y Carrillo, 2012).
Se escogió al IAE-NP ya que el crecimiento anual de su valor trimestral evoluciona de manera similar con la tasa de variación anual del dato trimestral del agregado macroeconómico. Además, la correlación del índice es 0,6560. El Ideac e INA-R tienen coeficientes de Pearson de 0,1019 y 0,3354, índices con menor correlación que el IAE-NP (véase Gráfica 7). Además, estos dos últimos indicadores muestran un adelanto en la evolución —es decir, muestran la coyuntura económica antes de que suceda—, ya que su valor más alto de correlación cruzada se encuentra en períodos anteriores a la evolución del PIB; el INA-R tiene un adelanto de un trimestre con una correlación de 0,7357, mientras que el IDEAC se adelanta en tres períodos con un valor de 0,5035 (veáse Gráfica 8).



Modelo
Los modelos autorregresivos con umbrales (Threshold Autoregressive, TAR), propuestos por Howell Tong, tienen una gran influencia en la ciencia económica (Hansen, 2011). Este impacto en la literatura se debe que la teoría económica plantea modelos no lineales y que las series temporales observadas de las variables de interés tienen una evolución no lineal (Hubrich y Teräsvirta, 2013). La aplicación se extiende en el análisis de la evolución y en la predicción del crecimiento económico, la tasa de interés, los precios, entre otras variables. Además, se utilizan para la evaluación de la política monetaria, fiscal o cambiaria (Hamilton, 2008; Hansen, 2011).
La presentación formal de un modelo TAR puede variar de diferentes maneras, cada cual tiene su ventaja según el contexto y el propósito de utilización (Tong, 2011). La siguiente es una forma general del modelo:
(1)donde Xt es el vector de variables endógenas, p es el número de rezagos óptimos, A0 es el vector de constantes, Aies el vector de coeficientes en el retardo i, y et es el vector de errores que siguen una distribución . Jt es el indicador de estado, donde existen J regímenes. La idea de estos modelos es la linealización de J tramos (Tong, 2011). La variable de estado tiene un papel primordial ya que la determinación de esta implica la utilización de modelos, estrictamente, TAR (o Smooth TAR, STAR) frente a VAR con cadenas de Markov (MSVAR). Para los primeros, la variable Jt se identifica de manera exógena; mientras que para los segundos los estados se estiman endógenamente porque son inobservables.
La reciente literatura utiliza modelos con un indicador exógeno de regímenes para conocer el efecto de la política fiscal en los diferentes estados de la economía. Los autores justifican la estimación de los estados con los resultados de estudios previos —Estados Unidos, Alemania, Francia, etc.— o utilizan argumentos teóricos, siendo un supuesto restrictivo. Auerbach y Gorodnichenko (2012) y Batini et al. (2012) utilizan el crecimiento del PIB para identificar los estados de crisis y expansión en el tiempo. Baum et al. (2012) y Sánchez y Galindo (2013) utilizan el ciclo económico para determinar, de manera exógena, los diferentes regímenes de la economía. Bognanni (2013) y Ko y Morita (2013) plantean un modelo con cadenas de Markov para la evaluación, pero contrastan sus estimaciones con estudios previos para Japón y Estados Unidos.
Hasta el presente, en Ecuador la utilización de modelos con umbrales (TAR, STAR o MSVAR) es escaso3. En este sentido, plantear un modelo TAR o STAR tiene la restricción de una mala identificación de los estados de auge y crisis para el país. Por lo tanto, para conocer los efectos de la política fiscal en la actividad económica se estima un MSVAR, con la ventaja de que el mismo sistema de variables determina los estados de expansión y recesión.
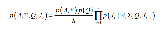
En el modelo, la variable de estado Jt sigue un proceso estocástico de Markov, es decir, , donde y y . Para determinar el número de estados se debe considerar que estos pueden influir sobre las matrices de coeficientes y varianza, ya que existen n variables con p rezagos y n constantes; esto implica la estimación de (np+1)nJ coeficientes y J matrices de varianza . Sims y Zha (2006) y Sims, Waggoner y Zha (2008) proponen algunas medidas para estimar el número óptimo de regímenes, por ejemplo, el logaritmo de la densidad marginal de los modelos. Sin embargo, en esta investigación no se utiliza este criterio para encontrar los estados porque el objetivo es conocer el efecto de la política fiscal en crisis y expansión; esto implica que el número ya se estableció y lo que se desea es evaluarlo sobre cada estado. En este sentido, la siguiente matriz Q indica las probabilidades de transición entre los estados de crisis y expansión:
(2)La estimación del modelo se realiza mediante el muestreo de Gibbs; la idea es obtener la densidad conjunta posterior de los coeficientes, la matriz de transición y la variable de los estados p(A,Σ,Q, Jt | X)4 a partir de unos valores preliminares (priors, como se menciona en la literatura). De manera inicial, se asume que la matriz P tiene una distribución de Dirichlet:
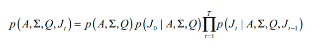
(3)donde Γ es la función estándar Gamma, αik es un parámetro positivo de la función. Con base en lo anterior, se asume una densidad conjunta preliminar de los parámetros (A,Σ), la matriz de transición (Q) y la variable de estado (Jt) :
(4)donde y . Además, se supone que la estimación preliminar de A y es independiente de la de Q, entonces:
(5)donde p(A,Σ) es la verosimilitud de un VAR lineal (o estimación por mínimos ordinarios) para cada estado. La ecuación puede evaluarse de manera recursiva considerando cada realización como los valores iniciales para la siguiente iteración. En este sentido, el algoritmo genera muestras aleatorias del conjunto p(Jt, A, Σ, Q | Y) de la siguiente manera:
Se establece valores iniciales para , A(m), Σ(m),Q(m), donde m=0.
Se genera J(m+1) de p(J | A(m), Σ(m), Q(m), Y).
Se genera Q(m+1) de p(P | A(m), Σ(m), J(m+1), Y).
Se genera A(m+1) de p(A | Σ)(m), J(m+1), Q(m+1),Y).
Se genera de Σ(m+1) de p(Σ | A(m+1), J(m+1), Q(m+1), Y).
El proceso se repite 1.000 veces del paso 2 al 5 utilizando J(m+1),A(m+1), Σ(m+1), Q(m+1)como valores iniciales para 1.000 muestras aleatorias.
Para la presentación de los resultados se utilizan las funciones de Impulso Respuesta (IR) en los estados (crisis y expansión) doce meses después del shock, y se ignora su retroalimentación pasada en la economía. En otras palabras, se asume que a partir del shock el sistema se mantiene en un solo régimen. La ventaja de este enfoque es que los IR no dependen de la historia (Auerbach y Gorodnichenko, 2012; Koop et al., 1996). De acuerdo con la estimación de Erráez (2014), en Ecuador, tanto los ciclos económicos como su cambio de estado son mayores a un año en el período de dolarización; en este sentido, el supuesto de mantenerse en el mismo estado se podría utilizar para evidenciar el efecto de la política fiscal con cambio de régimen, ya que el análisis se realiza en un año. Podrían utilizarse las funciones de IR generalizados para mayor robustez, pero la idea de presentar de esta manera los resultados también conlleva validar la necesidad de utilizar modelos no lineales para las evaluaciones macroeconómicas en Ecuador, por lo tanto, también se estimó un modelo lineal con las mismas variables del modelo no lineal, con la misma forma funcional de 1 con un solo estado.
Los valores de las funciones fueron normalizados con la variable del shock para que en el primer período los diferentes modelos inicien en el mismo valor. Además, se utilizó el criterio institucional de Blanchard y Perotti (2002) para ordenar las variables (ingreso petrolero, gasto, producto, ingreso no petrolero). Por último, se utilizaron los criterios de información de Akaike y Schwarz para determinar un rezago5 en el modelo, y se aplicó la técnica de bootstrap para la generación de los intervalos de confianza (95%) en las funciones de impulso respuesta.
RESULTADOS: EVIDENCIA EN ECUADOR
En esta sección se presentan los resultados del modelo lineal y no lineal para doce meses después del shock. La mayoría de estudios citados hasta ahora utilizan el multiplicador fiscal para exponer los resultados en dólares. Sin embargo, en esta investigación no se puede transformar a este indicador, ya que se utiliza un índice de actividad y no el PIB. Por lo tanto, las variaciones que se muestran se explican solo como cambios en la actividad económica6 y los valores se utilizarán para comparar entre modelos.
En primera instancia, se debe validar la estimación del MSVAR comparando la probabilidad de recesión con el ciclo económico. Esta comprobación es primordial, porque no se han calculado con anterioridad estos modelos de regímenes para el país. La mala identificación de los estados de la economía puede llevar a conclusiones erróneas en el análisis estructural. La Gráfica 9 muestra dicha verificación, de este modo se prueba que la posibilidad de crisis es alta en los valles del ciclo económico. En 2008 se evidencia el valor más bajo del ciclo del PIB con una probabilidad de recesión cercana a 1. Entre 2012 y 2013 también se observa que el indicador económico aumentó, mientras que la estimación del modelo mostró una caída en la probabilidad de crisis. Este comportamiento opuesto entre el ciclo y la probabilidad de recesión evidencia la consistencia del modelo estimado para el período en análisis.
Un aumento del gasto público tiene un efecto inicial positivo en la actividad económica (véase Gráfica 10). Se observa que la respuesta es similar en los tres primeros meses, mientras que en los siguientes meses el efecto cambia. Si solo se observa desde el cuarto mes, se evidencia que el efecto es negativo. En tiempos de crisis el gasto es más efectivo que en expansión, ya que su valor es mayor (menos negativo) que en crecimiento. Además, el modelo lineal, al parecer, es tan solo el promedio de los dos estados. Si solo se toman los intervalos de confianza (líneas cortadas) el gasto público no tiene un impacto con significancia estadística en el nivel de producción, ya que el cero es parte del rango de valores que puede tomar la función de IR. El ingreso petrolero no tiene un impacto inmediato, pero en los siguientes meses el efecto es positivo, disolviéndose hasta el final del año; los resultados entre los modelos no son tan diferentes, así se puede concluir con el modelo lineal. Los ingresos no petroleros tienen un efecto positivo hasta medio año, con mayor efectividad en tiempos de expansión que en crisis, puesto que su valor es mayor durante los doce meses; se resalta que esta variable es la única que tiene un efecto positivo significativo.

La política de incrementar los ingresos no petroleros, en especial tributarios (véase Gráfica 2), tiene un efecto negativo en la actividad económica, en concordancia con la literatura. Por lo general, el modelo lineal y no lineal muestran resultados similares, pero ninguno es significativo. Se resalta que el incremento de los impuestos tiene un efecto positivo inicial (hasta el segundo mes) en el régimen de bonanza, que se podría explicar por un efecto de precios. En este sentido, esta política es más efectiva en tiempos de bonanza que de recesión, ya que su magnitud es mayor en el primer estado y porque afecta en menor medida a la actividad económica. En el gasto se tiene un efecto positivo transitorio, después del choque, hasta el cuarto mes, ya que existen mayores ingresos que financian el presupuesto del Estado. Este financiamiento no se diferencia al momento de analizar los dos estados del ciclo porque sus valores son muy cercanos. En los ingresos petroleros el efecto es negativo, con mayor repercusión en tiempos de expansión, y resulta menos efectivo en esa época (véase Gráfica 11).

El incremento de los ingresos petroleros tiene una significancia estadística en la actividad económica hasta el quinto mes, así que el efecto es permanente durante todo el año. El modelo lineal muestra un resultado subestimado al modelo no lineal, ya que el valor es menor en los dos estados analizados. En el no lineal, se observa que este aumento de ingresos petroleros es más efectivo en expansión que en crisis; el efecto del incremento de los ingresos petroleros es permanente en ambos estados. En el gasto público, el impacto (efecto inicial) es negativo; mientras que en los demás meses el efecto es positivo y permanente; esto debido a que este rubro se destina exclusivamente al gasto de capital. En esta variable no se puede establecer efectividad, ya que sus valores son muy cercanos y se cruzan durante todo el año; además, solo se puede evidenciar un efecto estadístico entre el segundo y el octavo mes. En los ingresos no petroleros se observa mayor efectividad en la recesión que en la bonanza; sin embargo, a mitad de año este efecto es similar entre los dos estados (véase Gráfica 12).

Los resultados obtenidos de un shock del gasto son acordes con la literatura de los modelos no lineales, muestran mayor efectividad en crisis que en expansión, aunque su efecto en el año termina siendo negativo. El aumento de los tributos muestra resultados similares en las diferentes especificaciones en tendencia, pero no concuerda con los estudios mencionados. Los ingresos petroleros tienen un efecto positivo y permanente en la actividad económica con mayor efectividad en el régimen de expansión que en recesión. Sin embargo, los resultados no tienen una significancia estadística, algo que ya mencionaron Pacheco (2006) y Carrillo (2015) para Ecuador.

CONCLUSIONES
En esta investigación se analizó el efecto de la política fiscal en la actividad económica de Ecuador tras adoptar el régimen monetario de dolarización. De manera específica, se planteó identificar el resultado de esta política en tiempos de crisis y expansión del producto. Además, se propuso evaluar la necesidad de utilizar modelos no lineales para la evaluación macroeconómica del ingreso y el gasto público en el país.
La hipótesis del estudio se centró en que el gasto público y el ingreso fiscal tienen efectos positivo y negativo, respectivamente, en la actividad económica, sin importar los estados de la economía. Para demostrar la hipótesis y cumplir los objetivos se planteó un modelo de vectores autorregresivos con cambio de régimen, específico, un VAR con cadenas de Markov (MSVAR). Las variables que se incluyeron fueron el gasto público, los ingresos petroleros y no petroleros, y el IAE-NP como proxy del PIB. El período de análisis abarcó desde el primer mes del 2003 hasta noviembre del 2013.
En la literatura se menciona que el gasto público tiene un efecto positivo en el producto y el impacto del ingreso fiscal es negativo, y ambos son más efectivos (mayor valor) en recesión que en bonanza. Además, se menciona que la consideración de los estados muestra resultados más detallados para la generación o continuidad de la política fiscal. En este sentido, los resultados de la investigación muestran que el gasto y el ingreso tributario tienen el mismo impacto que el observado en los estudios anteriores, aunque no dan mayores señales que un modelo lineal. El ingreso petrolero tiene un efecto positivo y permanente en la actividad económica porque este rubro está destinado, especialmente, al financiamiento del gasto de capital.
En la especificación de los modelos se evidencia que los no lineales entregan resultados más específicos para la ejecución de política fiscal, ya que muestran resultados diferentes en la actividad, en especial en el gasto y el ingreso petrolero. El shock del gasto mostró, inicialmente, un comportamiento similar al del modelo lineal, pero en el tiempo esto cambia, lo que permitió identificar un efecto más fuerte en tiempo de bonanza que en tiempo de crisis al finalizar el año. En los ingresos petroleros se evidencia que el modelo lineal subestimó el resultado del shock en el producto, ya que el MSVAR muestra resultados de mayor magnitud en los dos regímenes. El incremento del ingreso no petrolero presenta resultados similares en los dos modelos, aunque el signo inicial es distinto.
Los resultados expuestos en el documento no tienen una significancia estadística clara, como en los estudios realizados para otras economías. Sin embargo, esta evidencia ya se menciona en Pacheco (2006) y Carrillo (2015). Esto podría deberse a que las tres investigaciones utilizan la misma técnica para la estimación de los intervalos de confianza para los impulsos respuesta. Por lo que se podría realizar un estudio sobre la pertinencia de calcular los intervalos o parámetros con otras técnicas (máxima verosimilitud, estado-espacio, entre otras).
Agradecimientos
El autor agradece los comentarios de Juan Rubio-Ramírez, Wilson Pérez, Gabriela Fernández, Katiuvshka Yánez, Andrew Blackman, Ana Lucía López, José Ramírez, Ana Rivadeneira y Miguel Acosta. Esta investigación ayuda al autor a obtener la Maestría en Economía en la FLACSO. Las opiniones, errores y omisiones son responsabilidad exclusiva del autor y no necesariamente reflejan la posición oficial del MCPE o FLACSO, ni de sus autoridades.
Referencias
Alesina, A., Favero, C., & Giavazzi, F. (2015). The output effect of fiscal consolidation plans. Journal of International Economics, 96, Supplement 1, S19-S42. doi: http://dx.doi.org/10.1016/j.jinteco.2014.11.003.
Almeida, M. D., Carrasco, C. M., Oliva, N., & Carrillo, P. A. (2012). Ingresos y gasto público en democracia: de la rigidez fiscal al pago de la deuda social. En Servicio de Rentas Internas (Ed.), Una nueva política fiscal para el buen vivir. La equidad como soporte del pacto fiscal (pp. 111-156). Quito: Ediciones Abya-Yala.
Amaya, A. S. (2014). La recaudación tributaria en el Ecuador: análisis de series de tiempo con cambios de régimen (1993-2011). Tesis de pregrado. Quito: Facultad de Ciencias, Escuela Politécnica Nacional.
Auerbach, A. J., & Gorodnichenko, Y. (2011). Fiscal multipliers in recession and expansion (Working Paper 17447). National Bureau of Economic Research. Recuperado de http://www.nber.org/papers/w17447.
Auerbach, A. J., & Gorodnichenko, Y. (2012). Measuring the output responses to fiscal policy. American Economic Journal: Economic Policy, 4(2), 1-27. doi: 10.1257/pol.4.2.1.
Batini, N., Callegari, G., & Melina, G. (2012). Successful austerity in the United States, Europe and Japan (IMF Working Papers 12/190). International Monetary Fund.
Baum, A., & Koester, G. B. (2011). The impact of fiscal policy on economic activity over the business cycle - evidence from a threshold Var analysis (Discussion Paper Series 1: Economic Studies 03/2011). Frankfurt: Deutsche Bundesbank.
Baum, A., Poplawski-Ribeiro, M., & Weber, A. (2012). Fiscal multipliers and the state of the economy (IMF Working Papers 12/286). International Monetary Fund.
Baxter, M., & King, R. G. (1993). Fiscal policy in general equilibrium. American Economic Review, 83(3), 315-34.
BCE. (s.f.). Índice de actividad económica coyuntural (Ideac). Banco Central del Ecuador.
Beetsma, R. (2008). A survey of the effects of discretionary fiscal policy (Rapport till Finanspolitiska rådet 2008/2). Stockholm: University of Amsterdam, CEPR and CESifo.
Berg, A., & Borensztein, E. (2000). Full dollarization (Economic Issues 24). Washington, EE. UU.: Fondo Monetario Internacional.
Blanchard, O., & Perotti, R. (2002). An empirical characterization of the dynamic effects of changes in government spending and taxes on output. The Quarterly Journal of Economics, 117(4), 1329-1368.
Bognanni, M. (2013). An empirical analysis of time-varying fiscal multipliers. Recuperado de http://markbognanni.com. (Federal Reserve Bank of Cleveland)
Carrillo, P. A. (2015). Efectos macroeconómicos de la política fiscal en Ecuador 1993-2009. Analítika, Revista de Análisis Estadístico, 9, 21-52.
Chiliquinga, D., Carrasco, C. M., & Ramírez, J. (2012). Historia de la tributación en Ecuador: cambios sociales y organizacionales. En Servicio de Rentas Internas (Ed.), Una nueva política fiscal para el buen vivir. La equidad como soporte del pacto fiscal (pp. 157-218). Quito: Ediciones Abya-Yala.
Christiano, L., Eichenbaum, M., & Rebelo, S. (2011). When is the government spending multiplier large? Journal of Political Economy, 119(1), 78-121. doi: http://dx.doi.org/10.1086/659312.
Devries, P., Guajardo, J., Leigh, D., & Pescatori, A. (2011). A new action-based dataset of fiscal consolidation (IMF Working Paper 11/128). International Monetary Fund.
Edelberg, W., Eichenbaum, M., & Fisher, J. D. (1999). Understanding the effects of a shock to government purchases. Review of Economic Dynamics, 2(1), 166-206.
Erráez, J. P. (2014). Sistema de indicadores del ciclo de crecimiento económico (Inf. Téc.). Banco Central del Ecuador.
Hamilton, J. D. (2008). Regime-switching models. En S. Durlauf & L. Blume (Eds.), New Palgrave dictionary of economics (2nd ed.). Palgrave McMillan Ltd.
Hansen, B. E. (2011). Threshold autoregression in economics. Statistics and Its Interface, 4(2), 123-127.
Hernández de Cos, P. (2010). El papel de la política fiscal en la crisis económica. Presupuesto y Gasto Público, 59/2010, 39-54.
Holt, R. P. F., & Pressman, S. (2001). A new guide to post Keynesian economics. Londres: Routledge.
Hubrich, K., & Teräsvirta, T. (2013). Thresholds and smooth transitions in vector autoregressive models (CREATES Research Papers 2013-18). School of Economics and Management, University of Aarhus.
INEC. (s.f.). Metodología del índice de nivel de actividad registrada (INA-R). Instituto Nacional de Estadísticas y Censos.
Kim, C.-J., & Nelson, C. R. (1999). State-Space models with regime switching: Classical and Gibbs-Sampling approaches with applications (vol. 1) (0262112388). Cambridge: The MIT Press.
Kitidi, K., & Chatzistefanou, A. (2011). Debtocracy. (Documental).
Ko, J.-H., & Morita, H. (2013). Regime switches in Japanese fiscal policy: Markov-Switching VAR approach (Global COE Hi-Stat Discussion Paper Series 270). Institute of Economic Research, Hitotsubashi University.
Koop, G., Pesaran, M. H., & Potter, S. M. (1996). Impulse response analysis in nonlinear multivariate models. Journal of Econometrics, 74(1), 119-147.
Krolzig, H. (1997). Markov-switching vector autoregressions: Modelling, statistical inference, and application to business cycle analysis. Berlín: Springer Berlin Heidelberg.
Melina, G. (2010). Macroeconomic implications of fiscal policy. Salerno: Dipartimento di Scienze Economiche e Statistiche, Universita’ Degli Studi di Salerno.
Pacheco, D. (2006). Ecuador: ciclo económico y política fiscal. Cuestiones Económicas, 22(3), 7-56.
Perotti, R. (2002). Estimating the effects of fiscal policy in OECD countries (Working Paper series 168). Alemania: European Central Bank.
Ramey, V. A., & Shapiro, M. D. (1998). Costly capital reallocation and the effects of government spending. Carnegie-Rochester Conference Series on Public Policy, 48(1), 145-194.
Ramírez, J., & Carrillo, P. A. (2012). Índice de actividad empresarial no petrolera (IAE-NP). Una propuesta metodológica de mejora (Nota Tributaria 2012-01). Quito: Centro de Estudios Fiscales, Servicio de Rentas Internas.
Ramírez, J., & Carrillo, P. A. (2013). Indicador de eficiencia de la recaudación del impuesto al valor agregado y del impuesto a la renta de Ecuador (Nota Tributaria). Quito: Centro de Estudios Fiscales, Servicio de Rentas Internas.
Ravnik, R., & Žilić, I. (2011). The use of SVAR analysis in determining the effects of fiscal shocks in Croatia. Financial Theory and Practice, 35(1), 25-58.
Romer, C. D., & Romer, D. H. (2010). The macroeconomic effects of tax changes: Estimates based on a new measure of fiscal shocks. American Economic Review, 100(3), 763-801. doi: 10.1257/aer.100.3.763.
Romero, P. (2003). ¿Es la dolarización una camisa de fuerza para el gasto fiscal? Guayaquil: Instituto Ecuatoriano de Economía Política.
Sánchez, W., & Galindo, H. (2013). Efectos simétricos y asimétricos de la política fiscal en el Perú (Informe final PB17-2011). Universidad Nacional de Ingeniería.
Schuler, K. (2002). El futuro de la dolarización en Ecuador. Guayaquil: Instituto Ecuatoriano de Economía Política.
Sims, C. A., Waggoner, D. F., & Zha, T. (2008). Methods for inference in large multipleequation Markov-switching models. Journal of Econometrics, 146(2), 255-274. doi: http://dx.doi.org/10.1016/j.jeconom.2008.08. 023.
Sims, C. A., & Zha, T. (2006). Were there regime switches in U.S. monetary policy? American Economic Review, 96(1), 54-81.
Snowdon, B., & Vane, H. R. (2005). Modern macroeconomics: Its origins, development and current state. Cheltenham: E. Elgar.
Tsay, R. S. (1998). Testing and modeling multivariate threshold models. Journal of the American Statistical Association, 93, 231-240.
Tong, H. (2011). Threshold models in time series analysis - 30 years on. Statistics & Its Interface, 4(2), 107-118.
Vargas, H., González, A., & Lozano, I. (2015). Macroeconomic gains from structural fiscal policy adjustments: The case of Colombia. Economia Journal of the Latin American and Caribbean Economic Association, 15 (Spring 20), 39-81.
Woodford, M. (2011). Simple analytics of the government expenditure multiplier. American Economic Journal: Macroeconomics, 3(1), 1-35. doi: 10. 1257/mac.3.1.125.
Notas
Información adicional
Sugerencia de citación: : Carrillo Maldonado, P. A. (2017). El efecto de la política fiscal en expansión y recesión para Ecuador: un modelo MSVAR. Cuadernos de Economía, 36(71), 405-439. doi: 10.15446/cuad.econ.v36vn72.53570.