DETERMINANTES DE LAS RELACIONES REALES DE INTERCAMBIO DE ESPAÑA CON ALEMANIA (1970-2010). UN ANÁLISIS ECONOMÉTRICO DE LA VENTAJA ABSOLUTA DE COSTO INTRASECTORIAL
Determinants of the real terms of trade between Spain and Germany (1970-2010). An econometric analysis of absolute cost advantage
Facteurs déterminants des relations réelles d’échange de l’Espagne avec l’Allemagne (1970-2010). Une analyse économétrique de l’avantage absolu du coût intrasectoriel
Determinantes das relações reais de troca da Espanha com a Alemanha (1970-2010). Uma análise econométrica da vantagem absoluta de custo intra-setorial
DETERMINANTES DE LAS RELACIONES REALES DE INTERCAMBIO DE ESPAÑA CON ALEMANIA (1970-2010). UN ANÁLISIS ECONOMÉTRICO DE LA VENTAJA ABSOLUTA DE COSTO INTRASECTORIAL
Cuadernos de Economía, vol. 36, núm. 71, pp. 489-520, 2017
Universidad Nacional de Colombia

Recepción: 27 Enero 2015
Aprobación: 22 Diciembre 2015
Resumen:
El presente trabajo tiene como objeto analizar los determinantes de las relaciones reales de intercambio de España con Alemania, tomando como período 1970-2010. Para tal propósito, se lleva a cabo un análisis de series temporales aplicando pruebas de raíces unitarias y un test de cointegración, siendo el marco teórico de referencia el enfoque de Anwar Shaikh de la ventaja absoluta de costo intrasectorial. Finalmente, el análisis econométrico constata que el tipo de cambio real efectivo entre España y Alemania se encuentra sujeto en el largo plazo a los costos laborales unitarios reales relativos de la industria manufacturera de ambos países. JEL: B51, C01, F10, F20.
Palabras clave: ventaja absoluta de costo, relaciones reales de intercambio, costos laborales unitarios reales relativos, raíces unitarias, cointegración.
Abstract:
The main aim of this paper is to analyse the determinants of the real terms of trade between Spain and Germany during the 1970-2010 period. In order to do so, we have used unit root and cointegration tests, in which our theoretical framework is the absolute cost advantage that was developed by Anwar Shaikh. Finally, our econometric analysis discovered that the real effective rate exchange between Spain and Germany is, in the long term, subject to the real unit labour costs of manufacturing sectors. JEL: B51, C01, F10, F20
Keywords: Absolute cost advantage, real terms of trade, relative unit labour cost, unit root test, cointegration.
Résumé:
Ce travail a pour objectif d’analyser les facteurs déterminants des relations réelles d’échange de l’Espagne avec l’Allemagne en considérant la période 1970-2010. Pour cela nous faisons une analyse de séries temporelles en appliquant des exemples de racines unitaires et un test de cointégration, le cadre théorique de référence étant l’optique d’Anwar Shaik de l’avantage absolu de coût intrasectoriel. Enfin, l’analyse économétrique constate que le type de changement réel effectif entre l’Espagne et l’Allemagne est soumis à long terme aux coûts de travail unitaires réels relatifs de l’industrie manufacturière des deux pays. JEL : B51, C01, F10, F20.
Mots clés: Avantage absolu de coût, relations réelles de change, coûts de travail unitaires réels relatifs, racines unitaires, cointégration.
Resumo:
Este trabalho tem a finalidade de analisar os determinantes das relações reais de troca da Espanha com a Alemanha, tomando o período 1970-2010. Para tal propósito, faz-se uma análise de séries temporárias, aplicando testes de raízes unitárias e um teste de cointegração, sendo o marco teórico de referência o enfoque de Anwar Shaikh da vantagem absoluta de custo intra-setorial. Finalmente, a análise econométrica constata que a taxa de câmbio real efetiva entre a Espanha e a Alemanha está sujeita, no longo prazo, aos custos trabalhistas unitários reais relativos da indústria manufatureira de ambos os países. JEL: B51, C01, F10, F20.
Palavras-chave: Vantagem absoluta de custo, relações reais de troca, custos trabalhistas unitários reais relativos, raízes unitárias, cointegração.
INTRODUCCIÓN
De ordinario, en la literatura económica convencional se establece que el comercio internacional se rige por la ventaja comparativa intersectorial, por cuanto el libre intercambio de mercancías garantiza para todos los participantes alcanzar la ansiada meta del desarrollo económico (Hesckher, 1919; Krugman y Obstfeld, 2009; Ohlin, 1933; Ricardo, 1973; Stolper y Samuelson, 1941).
O, dicho en otros términos: el comercio entre naciones, cual deus ex machina, procura un beneficio mutuo, pues en el largo plazo las balanzas comerciales han de tender a equilibrarse (Bajona y Kehoe, 2010; Chen, 1992). Nada más lejos de la realidad. La evidencia empírica nos demuestra que en el concierto del comercio internacional lo que prevalecen en el largo plazo son los desequilibrios de las balanzas comerciales; unas naciones gozan de saldos positivos, en tanto que otras padecen de déficit comercial.
En Europa esta cuestión se hace tanto más relevante cuanto que Alemania, como primera economía de la región, ha visto incrementar en los últimos años (2001-2007) su superávit de la balanza por cuenta corriente (Schwab, 2014). Mientras que en otras economías de la Unión Europea, como la española, ha ocurrido todo lo contrario.
Aquello nos obliga a preguntarnos: ¿por qué unas naciones son más competitivas que otras? O, en nuestro caso: ¿por qué la industria manufacturera alemana es más competitiva que la española? Más aún: ¿cuáles son los factores que explican la mayor capacidad exportadora de Alemania en los últimos años? La motivación, pues, del presente trabajo no puede ser otra que dar respuesta a estas cuestiones, siendo el objetivo central dilucidar cuáles son los determinantes de las relaciones reales de intercambio entre España y Alemania.
Para tal propósito, se parte de la teoría de la ventaja absoluta de costo intrasectorial de Shaikh (2000, 2006, 2009), la cual se nos presenta como la antítesis de las teorías clásicas basadas en la ley ricardiana de los costos comparativos y la paridad del poder adquisitivo (PPA). Asimismo, el período de análisis corresponde a los años entre 1970 y 2010, siendo las razones por las que se ha seleccionado este lapso las siguientes:
2) En este período se dan importantes cambios estructurales en las economías española y alemana, tales como la reconversión industrial de España de la década de los ochenta, la unificación de Alemania en 1989 o la adopción del euro en 2001, entre otros.
Por otro lado, cabe reseñar que la estructura del trabajo consta de cuatro apartados. El primero, en cuanto apartado de fundamentos teóricos, se divide en dos partes: a) en la primera se examina la teoría clásico-marxiana de los precios y la competencia intrasectorial; b) en la segunda se aborda la teoría de la ventaja absoluta de Shaikh y la crítica de la teoría ricardiana del comercio internacional.
Por su parte, el segundo apartado se reserva para los aspectos metodológicos, en donde se exponen las hipótesis de trabajo, el modelo econométrico estimado por mínimos cuadrados ordinarios (MCO) y las pruebas para el contraste de raíces unitarias y el test de cointegración. En la tercera parte de la investigación se analiza la evidencia empírica y los resultados de las pruebas de raíces unitarias y del test de cointegración. En el cuarto y último apartado, se extraen las conclusiones más relevantes.
FUNDAMENTOS TEÓRICOS
Teoría clásico-marxiana de la determinaciónde los precios y la competencia real
La teoría clásico-marxiana de la formación de precios y la competencia intrasectorial se nos descubre como uno de los pilares fundamentales para la comprensión de la teoría de la ventaja absoluta de costo de Shaikh. Por esta razón, merece reservar este primer apartado del marco teórico a la teoría de precios y la teoría de la competencia de Smith (1958), Ricardo (1973) y Marx (1978, 2006a, 2006b).
Como es bien sabido, tanto Smith como Ricardo centraron sus esfuerzos en comprender la relación existente entre los precios de mercado y los de producción de las mercancías. Baste decir que Ricardo en su obra cumbre, Principios de economía política y tributación, dedica en exclusiva el capítulo 30 a este menester, donde arguye que los costos de producción son los reguladores directos de los precios y, en consecuencia, estos últimos se hallan determinados por las condiciones técnicas de producción.
Mas, por otra parte, Ricardo fue consciente, al igual que Smith, de la distinción entre los precios de mercado y los precios de producción, por cuanto los primeros están sujetos a la interacción de la oferta y la demanda.
O, dicho de otro modo, los precios de mercado representan una constelación de precios constantemente cambiantes y regulados, en primera instancia, por las fuerzas de la oferta y la demanda (Shaikh, 2009). Empero, cabe destacar que las fluctuaciones de la oferta y la demanda en modo alguno pueden ser resultado del azar, pues se encuentran sujetas a un principio fundamental: la igualación de las tasas de ganancia entre sectores.
En el modo capitalista de producción, la movilidad intersectorial de capitales implica que los flujos de capital se ven atraídos por aquellos sectores cuyas tasas de ganancia están por encima de la tasa media de rentabilidad. Por ende, la masiva entrada de los flujos de capital a los sectores con mayores tasas de ganancia llevará a que estos crezcan por encima de la demanda. Así, el exceso de oferta hará descender los precios de mercado hasta situarse en el nivel de la tasa media de ganancia (Rubin, 1974).
Según Shaikh (2009), este mecanismo de igualación permitió a los economistas clásicos demostrar que “detrás de una constelación de precios constantemente cambiantes, hay otro conjunto de precios más básicos, que operan como centros de gravedad de los precios de mercado e incorporan unas tasas de ganancia más o menos iguales” (p. 26). A estos precios básicos Smith y Ricardo los denominaron “precios naturales”.
Marx (1978, 2006b), por su parte, los designó “precios de producción”, pues aseguran una rentabilidad media para cada una de las ramas de la producción. Por tanto, como dice Rubin (1974): “El precio de producción corresponde al equilibrio del capital invertido en las diferentes esferas” (p. 283). Puesto que los precios de producción actúan como un centro de gravedad en el que orbitan los precios de mercado, los clásicos y Marx infirieron que, tendencialmente, los precios de mercado habrán de converger a los precios de producción. O, de una forma más exacta, las mercancías tenderán a venderse por sus precios de producción (Marx, 2006b).
De ello se desprende que el equilibrio que alcanzan la oferta y la demanda no es el resultado de las fuerzas del azar, en la medida en que el precio de producción “condiciona la oferta, la reproducción de las mercancías de toda esfera de producción” (Marx, 2006b, p. 200). Por otra parte, cabe destacar que la relación entre los costos de producción y la determinación de los precios llevó tanto a Ricardo como a Marx a rechazar el postulado que gobernaba a los economistas de su época, a saber: los precios se hallan determinados por los salarios. Para ambos economistas, los salarios, en cuanto a los precios-valores, no afectan a los precios de producción, ya que estos últimos variarán conforme a los cambios en la productividad y las modificaciones en el valor trabajo (Boundi, 2014b; Rubin, 1974).
En vista de todo lo anterior, la noción de competencia real de la teoría marxiana se nos devela como uno de los pilares fundamentales para comprender la relación entre salarios, precios de producción y competitividad intrasectorial. A diferencia de los enfoques convencionales de la competencia, a saber, el modelo de competencia perfecta (precio-aceptante) y el modelo de competencia imperfecta (precio-determinante), el modelo de competencia marxiana es dinámico (Guerrero, 1994, 1995).
Esto quiere decir que en la teoría marxiana el cambio técnico desempeña un papel primordial1, por cuanto la competencia entre capitales es una guerra sin cuartel, es decir, se trata de “un proceso destructivo y antagónico, no una fantasía de equilibrio” (Shaikh, 2006, p. 105).
Según Weeks (2009), el proceso dinámico que representa la competencia capitalista
exige aplicar tres principios básicos: primero, definir la competencia como movimiento del capital; segundo, integrar el cambio técnico en el movimiento del capital; y tercero, reconocer que, en el interior de cada industria, la eficiencia productiva se desarrolla de forma desigual (p. 36).
Asimismo, este proceso dinámico y destructivo implica que, en forma alguna, los capitales individuales tienen garantizada la obtención de ganancias sin tomar en cuenta la tasa media de ganancia, si bien esta no se encuentra dada ex ante, en tanto que la tasa de interés sí (Shaikh, 2006).
Por tanto, es condición sine qua non que la tasa de ganancia esté en un nivel superior a la tasa de interés en pos de que los capitalistas inviertan productivamente.
A este respecto, la diferencia entre la tasa de ganancia y la tasa de interés corresponde a la tasa de ganancia empresarial, lo cual significa que cuanto mayor sea esta última tanto mayor será la inversión de ampliación en maquinaria, equipos y plantas (Boundi, 2014c).
Hay que hacer notar, sin embargo, que en una industria conviven técnicas y métodos de producción con diferentes grados de sofisticación y edad. En consecuencia, se generan disparidades en las tasas de rentabilidad o, más exactamente, existe una constelación intraindustrial de tasas de ganancia.
Un conjunto de estas tasas de ganancia corresponde a los capitales que poseen mejores técnicas y métodos de producción; esto es, se trata de los capitales reguladores, los cuales tienen la capacidad de reproducir mercancías más baratas que sus competidores2. De igual modo, los precios de producción de los capitales reguladores de una industria actúan como centros de gravedad sobre los que orbitan los precios de mercado.
Por consiguiente, los capitalistas han de desarrollar las fuerzas productivas para sobrevivir a los embates de la competencia y así afrontar el cambio técnico. A propósito de esto, Weeks (2009, p. 52) arguye que “la interacción de los capitales fuerza a cada capital a reducir el tiempo de trabajo incorporado en las mercancías, lo que aumenta la productividad del trabajo”.
Se producen, pues, rendimientos crecientes a escala, por cuanto se eleva la cantidad de mercancías producidas por cada trabajador, lo que da lugar a una caída tendencial de los precios de producción.
De ello se desprende que, en el largo plazo, los salarios tienden a reducir su participación en la creación del valor nuevo o, lo que es lo mismo, en el producto total. En otras palabras: la tasa salarial ha de intercambiarse a un nivel inferior a la productividad del trabajo, a fin de que los capitalistas puedan obtener beneficios positivos.
No es de extrañar, pues, que Ricardo considerase el valor real de los salarios como la proporción de los salarios en el producto total. Categoría, dicho sea de paso, rebautizada por Marx como salario relativo y que, en esencia, se trata de otra forma de denominar la teoría real de la explotación (Guerrero, 2008). Relación esta, baste decir, clave para comprender la teoría de la ventaja absoluta de Shaikh, pues como se verá en el siguiente apartado, los determinantes de las relaciones reales de intercambio son los costos laborales unitarios reales relativos e integrados verticalmente.
El modelo de la ventaja absoluta de Shaikh: crítica de la teoría de Ricardo y determinación de las relaciones reales de intercambio
Como se vio en el anterior apartado, la teoría clásico-marxiana establece como principios básicos los siguientes: a) los precios de las mercancías están determinados por los costos de producción, b) los costos de producción, a su vez, se ven modificados por los cambios en la productividad y el valor trabajo, c) la competencia capitalista es un proceso dinámico y destructivo, donde los capitales más eficientes obligan a los competidores a afrontar el cambio técnico y, por tanto, las condiciones técnicas de producción más baratas desplazan a las más caras, d) los rendimientos a escala son crecientes, lo cual conduce a una caída tendencial de la participación de los salarios en el producto total, e) la movilidad intersectorial de capitales conduce tendencialmente a la igualación de las tasas de ganancia y f) los precios de producción de los capitales reguladores actúan como centros de gravedad de los precios de mercado.
Cabe decir, sin embargo, que en la tradición ricardiana del comercio internacional se abandonan estos axiomas (Carchedi, 1991). Como lo señala Robinson (1985), Ricardo analiza el comercio entre naciones con los siguientes supuestos:
2) Los rendimientos a escala son constantes hasta alcanzar el pleno empleo.
3) Los precios relativos de las mercancías deben ser proporcionales al costo con respecto al trabajo.
4) La movilidad internacional de fuerza de trabajo y capital es, prácticamente, inexistente.
A partir de estos supuestos, Ricardo (1973) nos presenta su famoso ejemplo, donde Inglaterra y Portugal comercian entre sí vino y telas. Ambos países poseen, en términos neoclásicos, dos funciones de producción diferentes, siendo Portugal el país que, inicialmente, tiene ventaja en la producción de los dos tipos de productos.
En vista de ello, es razonable suponer que, siempre y cuando los costos de transporte lo permitan, los capitalistas portugueses exportarán ambas mercancías a Inglaterra, lo que tendrá consecuencias para este último. La superioridad productiva de las industrias de tela y vino portuguesas hará que las mismas mercancías inglesas no puedan competir en precios.
De ello resultará, pues, un déficit comercial para Inglaterra, mientras que Portugal gozará de un superávit creciente. Empero, esta situación no es impermutable, puesto que Ricardo infiere la existencia de un mecanismo equilibrador de las balanzas comerciales: la teoría cuantitativa del dinero de David Hume.
En efecto, Ricardo abandona su teoría de los precios basada en los costos de producción, para establecer que en el comercio internacional la cantidad de dinero regula los precios internacionales. O, para ser más precisos: el descenso de la cantidad de oro en circulación en Inglaterra resultará en el descenso proporcional de los precios de todas sus mercancías.
Como es de esperar, en Portugal ocurrirá todo lo contrario, lo que erosionará la ventaja competitiva de su industria, aun cuando la eficiencia productiva siga siendo superior. De esta forma, el mecanismo regulador de la teoría cuantitativa permite que las mercancías inglesas se vuelvan más competitivas. En el ejemplo de Ricardo, esta mercancía es la tela, por cuanto tiene una menor desventaja relativa que el vino.
Por consiguiente, Portugal comienza a importar telas inglesas y se especializa en aquella mercancía donde tiene mayor ventaja comparativa, esto es, el vino. Finalmente, las balanzas comerciales de ambos países se equilibrarán. Cabe subrayar, por otra parte, que el equilibrio se garantiza por otro de los supuestos de Ricardo: la inmovilidad de capital.
En este respecto, es de resaltar que en el hipotético caso de que Inglaterra y Portugal hubieran sido dos regiones diferentes de un mismo país, la ventaja portuguesa en eficiencia productiva hubiera supuesto la salida de capitales de Inglaterra y el consiguiente abandono de la producción de telas y vinos. No en vano, Ricardo entiende que aquello no es un escenario posible en el comercio internacional, en la medida en que existen barreras que dificultan la movilidad de capital entre ambas naciones.
Empero, la existencia de movimientos de capital entre países, tal como ocurre en el mundo real, tiene connotaciones que el modelo ricardiano no alcanza a explicar. Baste decir que este punto es clave en la crítica de Shaikh (2000, 2006, 2009), puesto que los cambios en la cantidad de dinero tienen efectos en la tasa de interés y, por consiguiente, en los movimientos de capital entre naciones.
Siguiendo el ejemplo de Ricardo, el aumento de la cantidad de dinero en Portugal tendría como resultado el incremento de la liquidez y, por tanto, los tipos de interés descenderían. Aquello daría lugar a una salida de capitales financieros que se dirigirían a Inglaterra, por cuanto el descenso de la cantidad de dinero habría elevado los tipos de interés.
A propósito de esta relación, Shaikh (2009) aduce que el país menos competitivo, Inglaterra en nuestro ejemplo, terminará: “Con un déficit comercial crónico[3] que tendrá que cubrir de forma persistente obteniendo préstamos del extranjero” (p. 10).
Por otro lado, debe señalarse que la crítica de Shaikh se extiende a los enfoques modernos del comercio internacional, en la medida en que el análisis ricardiano subyace en cualquier teoría convencional moderna de las relaciones reales de intercambio, especialmente en el modelo de Hesckher, Ohlin y Samuelson (Hesckher, 1919; Ohlin, 1933; Stolper y Samuelson, 1941). No obstante, este último vincula las diferencias de costo a las dotaciones factoriales de cada nación: capital y trabajo.
De acuerdo con dicho modelo, los países con una alta relación capital/trabajo habrán de especializarse en bienes intensivos en capital, mientras que aquellos que son abundantes en trabajo lo harán en bienes intensivos en fuerza de trabajo. No obstante, Leontief (1988) puso en tela de juicio el mecanismo del comercio internacional regido por la dotación factorial de cada nación.
Leontief (1988), al analizar la tabla insumo-producto de Estados Unidos, observó que el patrón de especialización de esta economía se movía en dirección a “ahorrar capital y poder encontrar empleo para sus excedentes relativos de mano de obra” (p. 150), lo cual era a todas luces contradictorio con los postulados del modelo de Hesckher, Ohlin y Samuelson.
La conclusión a la que llegó Leontief fue que la teoría convencional del comercio internacional pasaba por alto que Estados Unidos, en términos relativos, era pobre en capital y abundante en fuerza de trabajo, aun cuando en términos absolutos gozaba de la relación capital/trabajo más elevada del mundo.
La que hoy es conocida como la paradoja de Leontief, llevó, según Shaikh, a una explicación basada en la ventaja absoluta, puesto que el propio Leontief destacó el hecho de que los trabajadores estadounidenses eran tres veces más productivos que sus competidores extranjeros.
Shaikh, al igual que Leontief, presta especial atención a la importancia de la productividad relativa en la determinación de las relaciones reales de intercambio, si bien, como subraya Guerrero (1995), “es un error identificar la ventaja absoluta con una ventaja en productividad, y ningún teórico de la ventaja absoluta lo ha hecho nunca” (p. 15).
Más aún: “La ventaja absoluta (coste inferior) vendría determinada conjuntamente por la productividad y el nivel de salario (el precio de los factores si estuviéramos hablando de costes totales y no solo salariales)” (Guerrero, 1995, p. 15).
Es decir, la teoría de Shaikh aduce que la ventaja absoluta es una ventaja de costo intrasectorial, lo cual significa que el costo unitario depende de dos factores: el costo salarial y los requerimientos de trabajo. Por consiguiente, los determinantes de los términos reales de intercambio son los costos laborales unitarios reales e integrados verticalmente4, siendo estos el sumatorio de los costos laborales unitarios reales directos e indirectos.
Ahora bien, como lo señala Ruiz-Nápoles (2010), los costos laborales unitarios, en cuanto tales, no son precios, sino que actúan como centros de gravedad sobre los que orbitan estos últimos. Esto quiere decir que no se puede soslayar la influencia que ejercen factores como la tasa de ganancia, el precio de las importaciones, los impuestos indirectos y los costos del capital fijo en los precios y sus variaciones en el corto y medio plazo.
En consecuencia, hemos de diferenciar el tipo de cambio real efectivo, determinado por los costos laborales unitarios reales, del tipo de cambio real del mercado, que es la tasa de paridad de precios internos y externos de mercado.
Al llegar a este punto, y con el objeto de comprender el enfoque de comercio internacional de Shaikh, en el presente trabajo se adoptará la modelización teórica que llevan a cabo Ruiz-Nápoles (1996), Antonopoulos (1997), Martínez-Hernández (2010) y Shaikh y Antonopoulos (2013).
Partiendo del supuesto de una economía cerrada, el modelo de Shaikh establece que los precios relativos de dos mercancías cualesquiera, i y j, están regidos por los precios relativos de los capitales reguladores, P*iy P*j, respectivamente.
Asimismo, los precios relativos se encuentran sujetos a los costos laborales unitarios reales relativos e integrados verticalmente de los capitales reguladores, los cuales se denotan como v*i y v*j, respectivamente. Por tanto, se tiene:
(1)Como se indicó en el apartado anterior, el precio de mercado de una mercancía, p*, se halla regulado por los costos de producción de los capitales reguladores, pudiendo expresarse estos últimos como el producto entre el salario nominal integrado verticalmente de los capitales reguladores, w*, y los requerimientos de trabajo para la producción e integrados verticalmente, λ*, sujetos a las condiciones técnicas de producción de los capitales reguladores.
Para obtener el salario real, wr, se deflacta el salario nominal por el índice de precios del consumidor, IPC, con lo que se obtiene el costo laboral unitario real e integrado verticalmente, vr:
(2)Como se indicó, la competencia real, en cuanto guerra de capitales y precios, implica que los capitales reguladores gozan de condiciones técnicas de producción más baratas, por lo que sus costos laborales unitarios reales relativos son menores que los del resto de competidores. Consecuentemente, un descenso de los costos reales de los capitales reguladores presionará a la baja los precios relativos del sector.
Stricto sensu, la ecuación (2) corresponde a las relaciones de intercambio entre sectores dentro de una nación y, por ende, cuando mejora la posición competitiva de alguno de ellos, la ratio de costos laborales unitarios reales relativos se depreciará.
Si se traduce aquello con respecto al comercio internacional, se infiere que cuando decrecen los costos laborales unitarios reales de alguna de las mercancías transables, i y j, la posición competitiva intrasectorial de la nación habrá de mejorar. Por consiguiente, se produce una depreciación real de la moneda nacional.
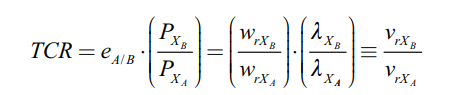
A fin de comprender esta relación, se define el tipo de cambio nominal efectivo como la cantidad de divisa del país A por unidad de divisas del país B, eA/B. Matemáticamente, se denota como:
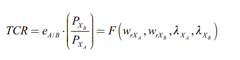
(3)De ello se sigue que los términos reales de intercambio, TCR, corresponden al cociente de los precios del país A y el país B para la mercancía X, multiplicado por el tipo de cambio nominal efectivo:
(4)En conformidad con la teoría de la ventaja absoluta de Shaikh (2000), las relaciones reales de intercambio han de estar determinadas por los salarios reales y las condiciones técnicas de producción de cada nación:
(5)O, en otros términos:
(6)Así pues, las mejoras competitivas intrasectoriales se basan en el cambio técnico y el desarrollo de métodos productivos más eficientes, en la medida en que tienen la capacidad de reducir los costos laborales unitarios reales de un sector.
No obstante, es imperativo no confundir la ventaja absoluta con una ventaja de productividad, puesto que la mayor productividad, dice Guerrero (1995), “no implica mayor capacidad de exportación si no va unida al disfrute de una ventaja absoluta, y esta la otorga, como se ha dicho, el menor costo unitario” (p. 17). Así, el país con salarios más altos producirá más barato, siempre y cuando la diferencia en productividad sea mayor que la diferencia en salarios.
En síntesis, la posición competitiva intrasectorial de una nación será tanto mejor cuanto menores sean los costos unitarios de producción o, dicho en otros términos, las relaciones reales de intercambio estarán sujetas en el largo plazo a los salarios reales y las condiciones técnicas de producción de cada nación.
ASPECTOS METODOLÓGICOS
Hipótesis de trabajo, pruebas de raícesunitarias y test de cointegración
El objetivo aquí es identificar la variable endógena, o dependiente, y las variables exógenas, o independientes, para construir el modelo econométrico que contraste las hipótesis de trabajo. Estas, a su vez, son:
2) Las relaciones reales de intercambio de España con Alemania están determinadas por los costos laborales unitarios reales relativos de la industria manufacturera (Ale./Esp.), la inversión neta productiva real de la industria manufacturera española y la renta nacional real de España.
3) Existe cointegración entre las variables del modelo y, por ende, en el largo plazo constará una relación entre ellas.
Las variables a considerar son las siguientes:
2) Costos laborales unitarios reales relativos de la industria manufacturera de España y Alemania.
3) Inversión productiva neta real de la industria manufacturera de España.
4) Ingreso nacional real de España.
Por otra parte, es oportuno enumerar las bases estadísticas utilizadas:
2) En segundo término, los datos concernientes a la industria manufacturera de España y Alemania se tomaron de la base EU KLEMS, fundamentada en la metodología ISIC rev. 4. Los datos del valor añadido bruto, la remuneración total de asalariados y el número total de horas trabajadas de la industria manufacturera son el agregado de los sectores que se compendian en la Tabla 1.
3) En tercer término, los datos de la inversión productiva neta real5 de la industria manufacturera de España, en cuanto sumatorio de la formación neta de capital fijo no residencial y la variación de existencias6, también han sido proporcionados por la base de datos EU KLEMS con metodología ISIC rev. 4.
4) Por último, los datos del ingreso nacional neto real de España fueron recogidos de la base de datos de AMECO-Eurostat. Vale la pena señalar que el ingreso nacional neto corresponde al producto nacional neto real medido a costo de factores.
De igual modo, las bases estadísticas nos han proporcionado datos para el período seleccionado, 1970-2010. Cabe reseñar que todas las variables están medidas a precios constantes, las cuales están deflactadas por sus respectivos índices de precios. Empero, estos presentaban años base diferentes, por lo que se procedió a la transformación de las cuatro variables en números índices seleccionando como año base 1990.

Hecha la aclaración, ahora se identifican la variable endógena y las variables exógenas. En conformidad con la teoría de Shaikh, se considera como variable endógena el índice del tipo de cambio real efectivo (Esp./Ale.), ITCR, mientras que las variables exógenas del modelo son:
2) El índice de inversión neta productiva real de la industria manufacturera española, IIPR.
3) El ingreso nacional neto real de España, IPNNR.
Por tanto, las relaciones reales de intercambio de España con Alemania estarán determinadas en el largo plazo por ICLURR, IIPR e IPNNR:
(7)Antes de continuar, se indica cómo se calculan el tipo de cambio real efectivo y los costos laborales unitarios reales relativos de la industria manufacturera de España y Alemania. En primer término, el tipo de cambio real efectivo (Esp./Ale.) expresa la relación entre el índice del tipo de cambio nominal efectivo (Esp./Ale.)7 y los índices de precios de consumo relativos:
(8)Nótese que en la ecuación (8), un incremento del ITCR supone una depreciación del tipo de cambio real efectivo y, por ende, se trataría de una mejora de las relaciones de intercambio reales a favor de España. En caso contrario, esto es, un descenso del ITCR, se trataría de un deterioro de las relaciones reales de intercambio para España.
Por otro lado, el tipo de cambio nominal efectivo (Esp./Ale.) antes de la adopción del euro en 2001 estuvo regido por la relación cantidad de pesetas/cantidad de marcos alemanes. A partir de la adopción del euro como moneda común, el tipo de cambio nominal pasa a ser uno.
En cuanto a los costos laborales unitarios reales relativos, es conveniente mencionar que debido a las limitaciones impuestas por nuestras bases de datos solo ha sido posible calcular los directos. Hecha esta aclaración, los costos laborales unitarios reales directos fueron calculados del siguiente modo:
1) El costo laboral nominal por hora, CLN, de las industrias manufactureras de Alemania y España se calculó como el cociente entre la remuneración total de asalariados, RA, y el número total de horas trabajadas, LH:
(9)2) Posteriormente, se halla el costo laboral por hora real, CLR, como el cociente entre el costo laboral por hora nominal y el índice de precios al consumidor de cada país, IPC:
(10)3) En el caso de la productividad real, primero se deflactó el valor añadido bruto nominal de la industria manufacturera, VABN, por su respectivo índice de precios, IPM:
(11)4) De este modo, la productividad hora-trabajador real,(Y/L)R, se calculó como el cociente entre el valor añadido bruto real, VABR, y el número total de horas trabajadas en la industria manufacturera:
(12)Por consiguiente, el costo laboral unitario real directo de la industria manufacturera, CLUR, representa el cociente entre el costo laboral-hora real y la productividad hora-trabajador real:
(13)Posteriormente, se transforma la ecuación (13) en número índice pasando a definirse en adelante como ICLUR. El índice de costos laborales unitarios reales relativos directos, ICLURR, se denota, pues, como:
(14)De acuerdo con la teoría de Shaikh, la relación entre los términos reales de intercambio y los costos laborales unitarios reales relativos es:
(15)En consecuencia, una disminución de la ratio (14) supone el deterioro de las relaciones reales de intercambio para España, y viceversa.
En cuanto a las variables explicativas IIPR e IPNNR, estas se justifican en el presente modelo por las siguientes razones:
2) El incremento del ingreso nacional, al igual que con la inversión productiva, tiene consecuencias en la balanza comercial dependiendo de la elasticidad del ingreso relativa y la elasticidad precio-cantidad de las importaciones. En la fase de expansión del ciclo, una alta elasticidad del ingreso y una baja elasticidad precio-cantidad de las importaciones de bienes de consumo implicarían, como en el caso anterior, un deterioro de las relaciones reales de intercambio.
Finalmente, el modelo de regresión múltiple estimado por MCO se expresa como:
(16)En el modelo de regresión múltiple, α representa los coeficientes múltiples de determinación, los cuales serán positivos o negativos dependiendo de la relación que exista entre las variables exógenas y la variable endógena del modelo. Por su parte, μt es una variable aleatoria que simboliza el término error, siendo este el componente del ITCR que no puede explicar el modelo; es deseable que este término error sea lo más pequeño posible (Novales, 2000).
No obstante, en el análisis de series temporales, Nelson y Plosser (1982) arguyen que un gran número de variables económicas son no estacionarias y, en consecuencia, la aplicación de MCO puede llevarnos a la aceptación de relaciones espurias. Dicho en otros términos: se puede incurrir en la aceptación de relaciones de casualidad y no de causalidad (Nelson y Plosser).
No en vano, como indican Granger (1981) y Engle y Granger (1987), un conjunto de variables no estacionarias e integradas del mismo orden pueden constituir una combinación lineal de equilibrio a largo plazo y, por ende, estar cointegradas.
Por esta razón, en el siguiente apartado se realizarán los contrastes de raíces unitarias y la prueba de cointegración, ya que en presencia de variables no estacionarias e integradas del mismo orden es factible aplicar MCO (Novales, 2000).
Para ello, y con el objeto de comprobar que las variables son series no estacionarias de orden I(1), se aplican las pruebas de raíces unitarias de Dickey y Fuller aumentadas (ADF, por sus siglas en inglés) y de Kwiatkowski, Phillips, Smichdt y Shin (KPSS).
En cuanto al nivel de significación de los contrastes, el valor α escogido es el 5%. Se ha seleccionada este nivel por lo frecuente de su uso en el análisis econométrico, si bien no existe razón alguna de peso que justifique este nivel de significación en vez de otros (Novales, 2000).
Por último, la prueba de cointegración a aplicar será el procedimiento multivariado de Johansen (1988, 1991). Este procedimiento consiste en:
2) Construcción de un vector autorregresivo (VAR), utilizando las series temporales no estacionarias de orden I(1).
3) Determinación del rango (r) de cointegración, aplicando las pruebas de la traza y del máximo valor propio (test de máxima verosimilitud).
4) Estimación del modelo de vector de corrección de errores (MVEC).
En suma, hechas las oportunas aclaraciones concernientes a los aspectos metodológicos, en el siguiente apartado se contrasta empíricamente la teoría de la ventaja absoluta de Shaikh.
EVIDENCIA EMPÍRICA, ANÁLISIS DE RAÍCES UNITARIAS Y COINTEGRACIÓN
En este apartado, último de nuestra investigación, se procede al análisis empírico con el objeto de contrastar las hipótesis. El apartado se divide en tres secciones: a) en la primera se analiza la tendencia del tipo cambio real efectivo y la ratio de costos laborales unitarios reales, b) en la segunda se realizan las pruebas de raíces unitarias y c) finalmente, en la tercera se lleva a cabo el análisis de cointegración.
Tendencia del tipo de cambio real efectivo y la ratio de costos laborales unitarios reales
En el marco teórico, se incidió en el hecho de que la teoría de la ventaja absoluta de Shaikh establece una relación de largo plazo entre el tipo de cambio real efectivo y los costos laborales unitarios reales relativos.
Así pues, analizando la evolución del ITCR (Esp./Ale.) y el ICLURR (Ale./Esp.) para el período 1970-2010, se observa que, en efecto, ambas variables presentan tendencias similares (véase Gráfica 1).
Es de destacar, asimismo, que la gráfica muestra un importante descenso del índice de costos laborales unitarios reales (Ale./Esp.) a partir de 2002, justo un año después de la entrada en vigor del euro como moneda común.
Este hecho es harto significativo, en la medida en que, de acuerdo con los datos de AMECO-Eurostat, el superávit de la balanza comercial de bienes de Alemania pasó de 95.000 millones de euros corrientes en 2001, a 135.000 millones de euros corrientes en 2002. Más aún, entre 2001 y 2007, el superávit comercial creció a una tasa media anual acumulativa del 10,7%.

Esto revela, por tanto, que los costos unitarios de la industria manufacturera alemana descendieron más que los de la española en el subperíodo 2002-20078. En vista de ello, resulta pertinente analizar la evolución de la productividad real9.
Tomando como indicador la ratio de la productividad-hora trabajador real (Ale./Esp.), se aprecia que la tendencia de esta es creciente (véase Gráfica 2). Al igual que con los costos laborales unitarios reales relativos, es de destacar el subperíodo 2002-2007, pues la ratio pasa del 6,11 en 2002 a 6,83 en 2007.
Se infiere, pues, que en este subperíodo la productividad real de la industria manufacturera alemana creció a mayor ritmo que la productividad real de la industria manufacturera española, lo cual exterioriza que los métodos de producción aplicados y diseñados en Alemania fueron más eficientes que en España (véase Gráfica 2). En este sentido, es de destacar que el número de horas de utilización del capital instalado en la industria alemana fue mayor que en la española durante el subperíodo 2000-2007 (Muñoz de Bustillo y Fernández, 2007).

Empero, cabe precisar que en el subperíodo 2000-2007, el aumento del costo laboral-hora real de la industria manufacturera alemana fue significativamente menor que el de la industria manufacturera española.
En la Tabla 2, se puede observar que en el subperíodo 2000-2007 las tasas medias acumulativas del costo laboral-hora real de las industrias manufactureras alemana y española fueron el 0,3% y el 1,3%, respectivamente. Por el contrario, las tasas medias acumulativas de la productividad hora-trabajador real de Alemania y España para el mismo subperíodo fueron el 4,2% y el 2%, respectivamente.
Grosso modo, el mayor descenso de los costos laborales unitarios reales de la industria manufacturera alemana entre 2002 y 2007 es resultado de la combinación de una mayor contención salarial y un incremento superior de la productividad hora-trabajador real.
En conformidad con el marco teórico, esto ha de interpretarse como un aumento de la tasa de explotación de la fuerza de trabajo, siendo esta mayor en Alemania que en España (Boundi, 2014a; Guerrero, 1995).
No obstante, hay que hacer nota que el costo laboral-hora real de la industria manufacturera alemana siguió siendo mayor que en la industria manufacturera española; en 2007, este se sitúa en 21,91 euros constantes-hora para Alemania y 12,58 euros constantes-hora para España.

A la luz de estos resultados, se concluye que la mejor posición competitiva de la industria manufacturera alemana deriva de la mayor diferencia en productividad que en salarios con respecto a la industria manufacturera española, lo cual significa una ventaja absoluta de costo unitario. A continuación se procede al contraste de raíces unitarias, en cuanto paso previo al análisis de cointegración.
Contrastes de raíces unitarias: pruebas ADF y KPSS
Como se indicó anteriormente, las pruebas para el contraste de raíces unitarias son ADF y KPSS. Debe mencionarse, en primer lugar, que para la prueba ADF se escogieron cuatro rezagos (ADF(4)), a fin de evitar problemas de autocorrelación y heterocedasticidad.
En segundo lugar, se realizó la prueba ADF(4) por tres métodos, a saber: a) sin constante ni tendencia, b) con constante y sin tendencia y c) con constante y tendencia. Los resultados se compendian en la Tabla 3, donde el símbolo Δ representa la primera diferencia de las variables del modelo.
Como se puede apreciar, las cuatro variables en nivel son no estacionarias e integradas de orden I(1), en la medida en que los estadísticos del ADF(4) no permiten rechazar la hipótesis nula de raíz unitaria al 5%. Por el contrario, los estadísticos de las primeras diferencias de las variables permiten rechazar la hipótesis nula de no estacionariedad, lo cual indica que son estacionarias e integradas de orden I(0).

Posteriormente, se aplica el test de KPSS, siendo la hipótesis nula, en este caso, la de estacionariedad. Asimismo, la prueba se realizó por dos métodos: a) sin tendencia y b) con tendencia. En la Tabla 4 se recogen los resultados del test.

De acuerdo con la Tabla 4, se rechaza la hipótesis nula de estacionariedad y, por ende, las variables en nivel son no estacionarias e integradas de orden I(1). Se concluye, pues, que los contrastes aplicados evidencian que las series del modelo son integradas de orden I(1) y no estacionarias en nivel, lo cual lleva a realizar el análisis de cointegración por medio del procedimiento de Johansen.
Análisis de cointegración de Johansen
En esta última etapa de nuestra investigación, se contrasta la existencia de cointegración entre las series modelo por medio del procedimiento de Johansen. De confirmarse que las variables constituyen una combinación lineal de equilibrio a largo plazo, el estimador de MCO de los coeficientes de integración será consistente.
Antes de continuar, vale la pena añadir que en 1977, 1982, 1992, 1993 y 1995 hubo importantes devaluaciones de la peseta (Nieto, 2001, 2005). Con el objeto de que el test de Johansen capte los efectos de estas devaluaciones, se ha procedido a la selección de variables dummy, siendo estas: 1977 = 1, 1982 = 1, 1992 = 1, 1993 = 1, 1995 = 1.
Hecha esta aclaración, y comprobado que las series en nivel son no estacionarias e integradas de orden I(1) en el anterior apartado, la primera etapa del procedimiento de Johansen consiste en calcular un modelo VAR. Siguiendo el criterio de Akaike (AIC, por sus siglas en inglés) y la prueba de error de predicción final (FPE, por sus siglas en inglés), se seleccionaron tres retardos como óptimos para la estimación del modelo VAR, siendo, por ende, de orden 3 (VAR(3)). Matemáticamente, el modelo VAR(3) se expresa como:
(17)donde Xt= [ITCR,ICLRR, IIPR, IPNNR]T es el vector (4x1) de variables endógenas integradas de orden I(1); A y B son matrices de coeficientes a estimar; ρ simboliza el número de retardos del VAR(3); y Xt es el vector de variables exógenas (constante y dummy). Luego se procedió al diagnóstico del modelo VAR(3), el cual nos confirma la ausencia de autocorrelación y heterocedasticidad, en tanto que los errores se distribuyen normalmente (véase Tabla 5).
Tras comprobarse que el modelo VAR(3) satisface los supuestos básicos, se realiza la prueba de la traza y el máximo valor propio con tres retardos e incluyendo la dummy como variable exógena. En primer término, los resultados de la prueba de la traza indican la existencia de un vector de cointegración (véase Tabla 6).


En segundo término, la prueba de máximo valor propio también determina la existencia de un vector de cointegración (véase Tabla 7).

Consecuentemente, el vector de cointegración normalizado estimado representa la siguiente función que denota una relación de largo plazo (entre paréntesis los errores estándar):
(18)Obsérvese que los valores de los coeficientes son los esperados con lo expuesto en el marco teórico, además de significativos y estadísticamente diferentes de cero. A este respecto, el valor positivo del coeficiente del ICLURR (Ale./Esp.) nos dice que un aumento de este derivará en el incremento del ITCR (depreciación real) y la consiguiente mejora de la competitividad intrasectorial de la industria manufacturera española con respecto a la alemana. Por el contrario, el signo de las variables IIPR e IPNNR es negativo.
Aquello puede interpretarse de dos maneras:
2) Una baja elasticidad precio de la demanda de importaciones de medios de producción y bienes salario.
Cabe subrayar, sin embargo, que la existencia de una relación en el largo plazo entre las variables del modelo no es óbice suficiente para que no surjan desequilibrios en el corto plazo. En este sentido, para que el análisis de cointegración sea completo, es necesario estimar un MVEC, el cual se emplea para la corrección de los desequilibrios que acontecen en el corto plazo y, en consecuencia, afectan la evolución en el largo plazo.
Para ello, se seleccionan tres retardados como número óptimo para el MVCE; por tanto, se tiene un MVEC de orden tres (MVEC(3)). En segundo término, se observa en la Tabla 8 que los coeficientes que representan la velocidad de ajuste de los modelos ΔITCR e ΔICLURR tienen como valor 0,620 y 0,311, respectivamente, siendo, además, significativos al 5% y estadísticamente diferentes de cero.
Esto quiere decir que el ITCR (Esp./Ale.) corrige el 62% del desequilibrio en cada período, mientras que el ICLURR (Ale./Esp.) lo hace en un 31,1%. Nótese, por otra parte, que el aumento del ICLURR en años precedentes impacta positivamente en la velocidad de los incrementos o decrementos del ITCR en el año presente.
Por otro lado, cabe reseñar que los resultados del análisis econométrico resultan similares a los obtenidos en otros trabajos, en los cuales se aplicaron pruebas para la detección de raíces unitarias y el procedimiento multivariado de Johansen para contrastar la relación que establece la teoría de la ventaja absoluta de Shaikh.
Así, por ejemplo, Ruiz-Nápoles (2001), quien analiza las relaciones reales de intercambio de México con Estados Unidos para el período 1973-1995, obtiene de las pruebas de la traza y el máximo valor propio un vector de cointegración cuya función constituye una relación de largo plazo entre el tipo de cambio real efectivo, los costos laborales unitarios reales relativos y el producto interno bruto (PIB) real de México10.
Martínez-Hernández (2010), extendiendo el estudio de las relaciones reales de intercambio de México con Estados Unidos al período 1970-2004, recoge en su trabajo que las pruebas de la traza y el máximo valor confirman la existencia de un vector de cointegración que representa una relación de largo plazo entre el tipo de cambio real efectivo, los costos laborales unitarios reales relativos, los flujos reales de capital netos y el PIB real de México11.
Por su parte, Góchez y Tablas (2013), al analizar los términos reales de intercambio de Guatemala con el resto del mundo, exponen en su investigación que las pruebas de la traza y el máximo valor propio determinan la existencia de un vector de cointegración, el cual establece la relación en el largo plazo entre el tipo de cambio real efectivo y los costos laborales unitarios reales relativos12.
Vale la pena destacar, por una parte, que tanto en el presente análisis como en los tres trabajos anteriormente citados, los costos laborales unitarios reales relativos se muestran como la variable principal en la determinación del tipo de cambio real relativo en el largo plazo. Por otra parte, un punto relevante de la presente investigación es que constata la relación que establece la teoría de Shaikh para el caso de la eurozona, lo cual supone un aporte a la literatura existente y arroja luz sobre el debate que gira en torno al euro y su posible influencia en el deterioro de la competitividad de España con respecto a Alemania.

En síntesis, el procedimiento de Johansen verifica la existencia de una relación estable de largo plazo entre el tipo de cambio real efectivo (Esp./Ale.), los costos laborales unitarios reales relativos (Ale./Esp.), la inversión productiva neta real de la industria manufacturera española y el ingreso nacional real de España.
CONCLUSIONES
A modo de conclusiones, se resaltan los siguientes puntos:
2) La ventaja absoluta de Shaikh ha de entenderse como una ventaja de costo intrasectorial, en la medida en que intervienen dos factores: el costo salarial unitario y los requerimientos unitarios del trabajo. Por esta razón, la ratio de costos laborales unitarios reales relativos se presenta como un potente indicador para analizar las relaciones reales de intercambio.
3) Los resultados del presente análisis empírico y econométrico demuestran una estrecha relación entre el tipo de cambio real y la ratio de costos laborales unitarios reales relativos en el largo plazo, con lo cual se verifica que las relaciones reales de intercambio de España con Alemania se rigen por la ventaja absoluta de costo intrasectorial.
4) La evidencia empírica demuestra que las disparidades en los niveles de productividad entre las industrias manufactureras alemana y española se acentúan a lo largo del período de análisis. Aún más, con la eliminación de los controles de circulación de mercancías y capitales y la entrada en vigor del euro, las diferencias en productividad se hacen más notorias, lo cual contradice los postulados convencionales de la convergencia en productividad y la igualación de los precios de los factores (Stolper y Samuelson, 1941).
5) A partir de 2002, el tipo de cambio real efectivo (Esp./Ale.) se aprecia como consecuencia del descenso de los costos laborales unitarios reales de la industria manufacturera alemana. La explicación de este hecho obedece a dos factores fundamentales:
5.2. el aumento de la productividad real de la industria manufacturera alemana, superior a la de la española.
6) De igual modo, las mejoras en la productividad de Alemania exteriorizan que las técnicas y métodos de producción son más eficientes que los de España, de lo que se desprende que la industria manufacturera alemana goza de condiciones técnicas de producción más baratas.
7) El mayor descenso de la participación de los salarios reales en el producto total en la industria alemana para el subperíodo 2002-2007 evidencia que el incremento de la tasa de explotación de la fuerza de trabajo fue mayor que en la industria manufacturera española. Por tanto, la ventaja absoluta de costo intrasectorial puede ser interpretada como una ventaja en la tasa de explotación (Guerrero, 1995).
8) El descenso de la ratio de la productividad hora-trabajador real (Ale./Esp.) y el aumento de la ratio de costos laborales unitarios reales (Ale./Esp.) en 2009 manifiestan que la industria manufacturera alemana es más sensible a las contracciones de la demanda mundial de bienes. En consecuencia, el crecimiento de la economía alemana es más dependiente de las exportaciones de bienes que el español.
Referencias
Antonopoulos, R. (1997). An alternative theory of real exchange rate determination for the Greek economy. Nueva York: New School for Social Research.
Astarita, R. (2013). Economía política de la dependencia y el subdesarrollo. Buenos Aires: Universidad Nacional de Quilmes.
Bahmani-Oskooee, M., Hegerty, S. W., & Hosny, A. (2015). Exchange-rate volatility and commodity trade between the EU and Egypt: Evidence from 59 industries. Empirica, 42(1), 109-129.
Bajona, C., & Kehoe, T. J. (2010). Trade, growth, and convergence in a dynamic Heckscher-Ohlin model. Review of Economic Dynamics, 13(3), 487-513.
Boundi, F. (2014a). Determinantes de la competitividad de la industria de bienes de equipo de España y Alemania. Ventaja absoluta de coste, salario y productividad. Papeles de Europa, 27(1), 137-164.
Boundi, F. (2014b). Relaciones de producción y conflicto capital-trabajo en la economía política. Barataria: Revista Castellano-Manchega de Ciencias Sociales, 18, 81-96.
Boundi, F. (2014c). Tasa de beneficio y distribución del ingreso en la economía española. Ensayos de Economía, 44(33), 76-99.
Carchedi, G. (1991). Frontiers of political economy. Londres: Verso.
Chen, Z. (1992). Long-run equilibria in a dynamic Heckscher-Ohlin model. Canadian Journal of Economics, 4(25), 923-943.
Engle, R. F., & Granger, C. W. J. (1987). Cointegration and error correction. Representation, estimation and testing. Econometrica, 55(2), 251-276.
Góchez, R., & Tablas, V. A. (2013). Tipo de cambio real y déficit comercial en Guatemala (1970-2007): un enfoque heterodoxo. México: CEPAL.
Granger, C. W. J. (1981). Some properties of times series data and their use in econometric model specification. Journal of Econometrics, 16(1), 121-130.
Guerrero, D. (1994). El enfoque dinámico en la teoría de la competencia. Cuadernos de Economía, 22(62), 97-118.
Guerrero, D. (1995). Competitividad. Teoría y política. Barcelona: Ariel.
Guerrero, D. (2008). Historia del pensamiento económico heterodoxo. Buenos Aires: RyR.
Hesckher, E. (1919). The effect of foreign trade on the distribution of income. Ekonomisk Tidskrift, 21, 497-512.
Johansen, S. (1988). Statistical analysis of cointegration vectors. Journal of Economic Dynamics and Control, 12(2), 231-254.
Johansen, S. (1991). The role of the constant term in cointegration analysis of non stationary variables. Copenhague: Institute of Mathematical Statistics.
Kalecki, M. (1976). Economía socialista y mixta. México, D. F.: FCE.
Krugman, P. R., & Obstfeld, M. (2009). Economía internacional. Teoría y política. Madrid: MacGraw-Hill.
Leontief, W. (1988). Análisis económico input-output. Barcelona: Orbis.
MacKinnon, J. G., Haug, A. A., & Michelis, L. (1999). Numerical distribution functions of likelihood ratio tests for cointegration. J. Appl. Econ., 14(5) 563–577. doi:10.1002/(SICI)1099-1255(199909/10)14:5<563::AID-JAE 530>3.0.CO;2-R
Martínez-Hernández, F. A. (2010). An alternative theory of real exchange rate determination: Theory and empirical evidence for the Mexican economy, 1970-2004. Investigación Económica, 69(273), 55-84.
Marx, K. (1978). Precios, salarios y ganancia. Madrid: FCE.
Marx, K. (2006a). El capital. Crítica de la economía política (vol. 1). México, D. F.: FCE.
Marx, K. (2006b). El capital. Crítica de la economía política (vol. 3). México, D. F.: FCE.
Muñoz de Bustillo, R., & Fernández, E. (2007). Producción y tiempo. Utilización de capacidad instalada en las empresas españolas. Estudios de Economía Aplicada, 25(1), 387-418.
Nelson, C., & Plosser, C. (1982). Trends and random walks in macroeconomic time series. Journal of Monetary Economics, 10, 139-162.
Nieto, J. A. (2001). La Unión Europea. Una nueva etapa en la integración económica de Europa. Madrid: Pirámide.
Nieto, J. A. (2005). Organización económica internacional y globalización. Los organismos internacionales en la economía mundial. Madrid: Siglo XXI.
Novales, A. (2000). Econometría. Madrid: MacGraw-Hill.
Ohlin, B. (1933). Interregional and international trade. Cambridge, MA: Harvard University Press.
Ricardo, D. (1973). Principios de economía política y tributación. Madrid: Hora H.
Robinson, J. (1985). Ensayos críticos. Barcelona: Orbis.
Rubin, I. I. (1974). Ensayos sobre la teoría marxista del valor. Buenos Aires: Cuadernos de Pasado y Presente.
Ruiz-Nápoles, P. (1996). Alternative theories of real exchange rate determination, a case study. The Mexican peso and the US dollar. Nueva York: New School for Social Research.
Ruiz-Nápoles, P. (2001). Exchange rate and competitiveness. En M. Puchet & L. Punzo (Eds.), Beyond Nafta. Perspective of the European debate (pp. 78-101). Londres: Routledge.
Ruiz-Nápoles, P. (2010). Costos unitarios laborales verticalmente integrados por rama en México y Estados Unidos, 1970-2000. Investigación Económica, 69(273), 15-54.
Schwab, K. (Ed.). (2014). The Global Competitiveness Report 2014-2015. Ginebra: World Economic Forum.
Shaikh, A. (2000). Los tipos de cambio reales y los movimientos internacionales de capital. En D. Guerrero (Ed.), Macroeconomía y crisis mundial (pp. 57-77). Madrid: Trotta.
Shaikh, A. (2006). Valor, acumulación y crisis. Buenos Aires: RyR.
Shaikh, A. (2009). Teoría del comercio internacional. Madrid: Maia.
Shaikh, A., & Antonopoulos, R. (2013). Explaining long term exchange rate behavior in The United States and Japan. En J. K. Moudud, C. Bina & P. L. Mason (Eds.), Alternative theories of competition: Challenges to the orthodoxy (pp. 201-228). Londres: Routledge.
Smith, A. (1958). Investigación sobre la naturaleza y causa de la riqueza de las naciones. México, D. F.: FCE.
Stolper, W., & Samuelson, P. (1941). Protection and real wages. Review of Economics Studies, 9(1), 58-73.
Weeks, J. (2009). Teoría de la competencia en los neoclásicos y en Marx. Madrid: Maia.
Notas
Información adicional
Sugerencia de citación: : Boundi Chraki, F. (2017). Determinantes de las relaciones reales de intercambio de España con Alemania (1970-2010). Un análisis econométrico de la ventaja absoluta de costo intrasectorial. Cuadernos de Economía, 36(71), 489-520. doi: 10.15446/cuad.econ.v36n71.48664.
Enlace alternativo
http://fce.unal.edu.co/media/files/cuadernos/71/finales/v36n71a09.pdf (pdf)