Resumen:
Realizamos un examen a nivel firma de la inversión y, en especial, el resultado financiero neto del sector privado no financiero de la región. Documentamos un superávit financiero neto típico de períodos de crisis y mayoritariamente en ascenso en los últimos años. A partir de un análisis de estadística descriptiva delineamos las características más sobresalientes de este superávit y ofrecemos una primera explicación sobre la base de factores macro, microeconómicos y financieros, que es testeada con un modelo multinivel. JEL: E21, E22, G3, G11.
Palabras clave:corporaciones no financierascorporaciones no financieras,formación de capitalformación de capital,ahorroahorro,liquidezliquidez.
Abstract:
The literature shows a relatively weak performance of private investment in Latin America over the last decade. As a corollary, foreign assets formation remained at high levels throughout the same years. In this work, we begin an inquiry into the causes by undertaking a firm-level examination of the investment and, in particular, the net financial position of the private non-financial sector in the region. We document and explain the causes of a surplus financial position that is typical of periods of economic crisis, and which has mostly risen over recent years. JEL: E21, E22, G3, G11.
Keywords: Non-financial corporations, capital formation, saving, liquidity.
Résumé:
Nous procédons à un examen de l’investissement au niveau de la firme et, en particulier, du résultat financier net du secteur privé non financier de la région. Nous documentons un excédent financier net typique de périodes de crise et majoritairement en hausse ces dernières années. A partir d’une analyse de statistique descriptive, nous délinéons les caractéristiques les plus visibles de cet excédent et nous proposons une première explication sur la base de facteurs macro et microéconomiques, et financiers, qui est testée | avec un modèle multiniveau. JEL : E21, E22, G3, G11.
Mots clés: corporations non financières, formation de capital, épargne, liquidités.
Resumo:
Fizemos um exame a nível firma do investimento e, particularmente, o resultado financeiro líquido do setor privado não financeiro da região. Documentamos um superávit financeiro líquido, típico de períodos de crise e majoritariamente em ascensão nos últimos anos. A partir de uma análise de estatística descritiva, delineamos as características mais destacadas deste superávit e oferecemos uma primeira explicação com base em fatores macro, microeconômicos e financeiros, que é testada com um modelo multinível. JEL: E21, E22, G3, G11.
Palavras-chave: Corporações não financeiras, formação de capital, poupança, liquidez.
EL AHORRO Y LA INVERSIÓN CORPORATIVOS EN AMÉRICA LATINA. UNA INDAGACIÓN A NIVEL FIRMA
Saving and investment in Latin America. A firm-level exploration
L’épargne et l’investissement corporatifs en Amérique latine. Une investigation au niveau de la firme
A poupança e o investimento corporativos na América Latina. Uma indagação a nível firma

Recepción: 28 Diciembre 2015
Aprobación: 20 Abril 2016
Nuestro principal interés en este trabajo es la evolución del ahorro y la inversión corporativos en América Latina en los años posteriores a 2003. Desde entonces, las economías latinoamericanas mostraron un crecimiento acelerado, en particular impulsado por las auspiciosas condiciones internacionales en materia de volumen de comercio, precios de exportación e ingreso de capitales (Cepal, 2014; Fondo Monetario Internacional [FMI], 2014).
El singular dinamismo de la etapa en cuestión justifica preguntarse por el grado en que dicho contexto fue capitalizado por los países de la región para apuntalar las perspectivas de crecimiento en el largo plazo. Puntualmente, ¿cuántos recursos fueron orientados a la formación de capital y ampliación de la capacidad productiva? Tal pregunta adquiere más importancia hoy en la medida que, terminado el ciclo internacional favorable, se busca sostener la expansión económica en la región. En ese marco, el apuntalamiento de la inversión y la productividad son ejes que atraen una atención prioritaria (Cepal, 2014).
En efecto, dicho marco propició una expansión de las tasas de inversión privada, aunque en muchos países este aumento resultó ciertamente débil a la luz de varios indicadores: a) el dinamismo de la inversión en otras regiones periféricas (como el sudeste asiático), b) las mejoras en factores teóricamente determinantes de la inversión, como las ventas y la rentabilidad, las mejoras de las condiciones externas y c) el crecimiento del ahorro doméstico privado. Este último, en particular, creció a un ritmo superior al de la inversión originando una caída de la participación del ahorro externo en el financiamiento de la acumulación de capital1 (FMI, 2015; Manuelito y Jiménez, 2015).
En consonancia con el deterioro económico generalizado en la región en 2011, la trayectoria de la inversión privada desde entonces ha sido declinante, tornándose como la principal causante de revisiones a la baja en las expectativas de crecimiento macroeconómico (FMI, 2015).
Por cierto, la literatura ha documentado en general una tendencia contractiva de las tasas de inversión a precios constantes en la región desde 1980, que ocurrió pese a la caída sostenida del precio relativo de los bienes de capital en dicho periodo de largo plazo (Manuelito y Jiménez, 2015). La última década, entonces, no parece ofrecer una novedad en el tema del desempeño de la inversión agregada en la región, aunque acaso sí volvió más difícil su comprensión: la debilidad de la inversión se mantuvo pese a la sustancial mejora experimentada por varios de los factores que teóricamente la impulsan.
Así pues, la formación de activos externos (FAE) de residentes en la región, medida a través de los flujos de adquisición de activos de portafolio, salida de inversión extranjera directa y otras inversiones en el extranjero, mostró un gran dinamismo. Si consideramos un promedio simple del ratio de formación de activos externos al producto interno bruto (PBI) en dólares de cinco países (Argentina, Brasil, Chile, México y Perú), exhibido en la Gráfica 1, se advierte que la tasa de salida de capitales desde los países de la región pasó de 0,5% del PBI por trimestre en 2002, al 2% por trimestre a fines de 2007. La crisis internacional interrumpió brevemente la FAE pero desde finales del 2009 se estabilizó en valores superiores al 1,5% para volver a incrementarse hacia fines de 2014 al 2% trimestral.

En este trabajo pretendemos involucrarnos en el estudio de estos dos últimos fenómenos: la “debilidad relativa” de la inversión privada y la fuga de ahorros domésticos bajo la modalidad de formación de activos en el exterior, desde una perspectiva microeconómica en las firmas. Más concretamente, nos proponemos:
2) Identificar sus movimientos agregados en el tiempo, así como distintos patrones que surgen según el país, sector y momento del ciclo de negocios.
3) Explicar la evolución del resultado financiero neto (RFN).
En primer lugar, hacemos un análisis de estadística descriptiva para identificar patrones de evolución del RFN, sus posibles causas y aplicaciones. Encontramos que en una mayoría de sectores el RFN se encuentra en crecimiento desde 2011 e incluso, para ciertos sectores puntuales, desde 2009. Por último, implementamos un modelo econométrico multinivel para evaluar distintas explicaciones sobre las causas del exceso de ahorro o tendencia al superávit del RFN y la relativa debilidad de la inversión en la región.
En el siguiente apartado presentamos la base de datos y definimos las principales variables de interés. A continuación se describe la evolución de AB, FBC y PFN por país y sector de actividad. Una discusión teórica de los posibles factores causantes de la tendencia al superávit del RFN se presenta posteriormente. Luego, se presentan los resultados econométricos y se ofrece un resumen y discusión de todos los resultados en el apartado final.
El análisis de firma es efectuado a partir de datos contables de frecuencia trimestral, para un conjunto de firmas cotizadas de capital abierto de cinco grandes países de América Latina: Argentina, Brasil, Chile, México y Perú. Elegimos estos cinco porque conforman el conjunto de países de la región con mayor tamaño en sus mercados de capitales y mayor inserción financiera internacional2. Nos concentramos en el período III-2000/VI-2014. Los datos son obtenidos de la base Compustat Global, utilizando el módulo Fundamentals Quarterly. Excluimos de la muestra a las firmas financieras, que están comprendidas entre los códigos SIC a cuatro dígitos 6000 y 6799.
Se trata de datos de balances consolidados y comparables entre países. Todas las variables construidas y analizadas en el trabajo son ratios entre variables nominales, por lo que se eliminan los efectos de variaciones de precios y tasas de cambio. La Tabla 1 muestra la cantidad de firmas en cada uno de los países que tienen datos para nuestra principal variable de interés. Aunque la cantidad de empresas puede parecer escasa, la importancia de este grupo de firmas en la actividad económica de cada nación es muy significativa. González (2012) brinda una discusión de este punto comparando el tamaño de los activos de estas firmas con el PBI de cada país, mostrando valores que van desde el 18% hasta el 120% para los países comprendidos en nuestro trabajo. Este tipo de análisis permite afirmar que se trata en general de las firmas más grandes de cada país, que integran la cúpula de empresas con mayores volúmenes de ventas y cuyas acciones y títulos dominan las operaciones en los respectivos mercados de capitales (véanse también Manzanelli y Aspiazu, 2011).
Sobre la base de estos datos se construyen las variables que consideraremos en nuestro estudio de acuerdo con las definiciones de la Tabla 2. Nuestro principal interés se concentra en la evolución del RFN en la muestra de firmas, aunque también resulta pertinente considerar la evolución de otras posibles aplicaciones del ahorro corporativo: la acumulación de liquidez, las adquisiciones y el desendeudamiento.


El panel A de la Gráfica 2 retrata la evolución trimestral de la mediana del RFN correspondiente a cada uno de los cinco países entre los que realizamos el estudio. Allí se advierte un claro patrón cíclico en la evolución del RFN. Primero, se observa un aumento generalizado en las fases de crisis abarcadas por el período en cuestión: entre 1999 y 2003 el RFN de cada país experimentó un aumento, pero este tuvo intensidad y duración distinta según el caso; sin embargo, frente a la crisis internacional, en 2008-2009, el RFN trepó por igual en los cinco casos. Estas fases de aumento se intercalan con períodos de descenso del RFN hasta niveles negativos, que ocurren en momentos de crecimiento del nivel de actividad económica en los respectivos países: 2003-2007 y 2010-2014.


La trayectoria del RFN refleja la evolución conjunta de las dos variables que lo componen: el ahorro bruto (AB) y la formación bruta de capital (FBC). La evolución de la FBC se presenta en el panel B de la Gráfica 2. Atravesó un primer período de caídas generalizadas en 2000-2003, que variaron en duración e intensidad de país en país. Luego tuvo lugar un aumento sostenido entre mediados de 2003 y fines de 2008. Durante 2009 ocurrió una aguda caída de la FBC, pero desde comienzos de 2010 esta mostró una recuperación parcial hasta mediados de 2011. De allí en adelante, tuvo lugar un paulatino deterioro de la inversión, aunque en el caso argentino mantuvo su crecimiento.
El AB es presentado en el panel C de la Gráfica 2. Podemos encontrar allí tres grandes etapas. Una de caída generalizada en 2000-2002, otra de acelerado aumento hasta 2005 o 2008, según el caso (en Argentina y Brasil, este se multiplica por cuatro, mientras que en México se duplica) y, finalmente, una etapa de caída del AB hasta 2014.
Adicionalmente, no obstante la dinámica cíclica seguida por la FBC y el RFN, otros indicios revelan que las firmas en cuestión aplicaron sistemáticamente una porción de sus fondos invertibles a la acumulación de otros activos, diferentes de la formación de capital en su negocio central u original. En efecto, la Gráfica 4 muestra que la demanda de liquidez y los activos no operativos crecieron en forma sostenida a lo largo del período en cuestión, pasando la primera del 2,6% al 6,7% del activo total para la firma mediana de la muestra entre el inicio el final del período considerado, y los segundos del 10% al 17%.

Algunos resultados interesantes surgen al descomponer la evolución del RFN y la FBC por sectores de actividad en la muestra. Si bien las firmas de la muestra se encuentran identificadas por códigos SIC y GICS de actividad económica, a los fines de realizar una exposición inteligible de los distintos patrones de evolución del RFN, dividimos a la muestra en trece sectores, a saber: agropecuario, minería y petróleo, construcción, manufactureras alimentarias, otras manufacturas livianas (textiles, muebles, etc.), metalmecánica, otras ramas manufactureras pesadas (siderurgia, petroquímica, aluminio, celulosa), electrónica y bienes de consumo durable (electrodomésticos).
Si se toma como referencia la evolución de la mediana del RFN en cada sector es posible identificar un primer grupo de sectores que se caracteriza por seguir grosso modo el patrón de evolución del RFN agregada por país que exhibimos en la sección anterior. Desde 2011 en adelante, a diferencia del patrón identificado en el análisis de la categoría de país, estos sectores muestran un incremento del RFN hasta fines de 2014. Este grupo contiene las firmas mineras, los servicios básicos, el comercio, la construcción y las firmas manufactureras alimenticias y de ramas de la industria pesada (papel, siderurgia, química, petroquímica, aluminio, etc.), liviana y de consumo durable (véase Gráfica 4, panel A).
Otro grupo de sectores, exhibido en el panel B de la Gráfica 4 reúne a las firmas primarias agropecuarias, de transporte y otros servicios (como hotelería, turismo, etc.) y experimenta un marcado aumento del RFN incluso desde 2008, sin la caída en 2010-2011 que caracteriza al grupo anterior.
Un tercer grupo se diferencia por mostrar una tendencia a la caída del RFN en todo el período 2003-2014. Estos sectores son servicios básicos y comunicaciones, sector que, de todos modos, siempre mostró niveles positivos de RFN, como lo indica el panel C de la Gráfica 43.


Más allá de los patrones de evolución del RFN en el tiempo, merecen destacarse ciertos sectores donde el RFN mantuvo sostenidamente niveles superavitarios, llegando incluso a acumularse en el tiempo volúmenes significativos en relación con el activo total del sector. Para cuantificar este aspecto del RFN obtenemos una medida del RFN acumulado desde el momento inicial, I-1999. Este indicador aumenta en un período dado, t, cuando el RFN de dicho período sea positivo, y disminuye en caso contrario. El resultado para los tres sectores con mayor nivel de RFN acumulado se muestra en el panel A de la Gráfica 5. Sobresale el comportamiento de la minería y el petróleo, que llegó a acumular un superávit financiero neto del 148% del AT entre 2000 y 2011. Además de este caso extremo, otros dos sectores mostraron una sustancial acumulación de superávit financiero neto en el tiempo, estos son: comunicaciones, que alcanzó el 70% en 2011; y artículos de consumo durable, que hacia el final del período se encontraba en su máximo del 40% del AT.
Por lo demás, la distribución de dividendos tuvo un peso sustancial entre las aplicaciones del flujo de fondos. Las firmas mineras, electrónicas y de servicios básicos mostraron la mayor inclinación a distribuir dividendos; la firma minera mediana muestra un pago por este concepto de un valor equivalente al 220% del activo total a lo largo del período 2000-2014 (véase Gráfica 5, panel B).
En suma, el análisis descriptivo del RFN muestra en general un patrón coherente con el observado en la categoría de país, con algunas diferencias:
2) Tuvo lugar un incremento inequívoco de la demanda de liquidez y de la participación de activos no vinculados a la actividad principal de las firmas.
3) Minería y petróleo, comunicaciones y electrónicas fueron los sectores donde más RFN se acumuló a lo largo del período.
4) Las firmas mineras y petroleras, electrónicas y de servicios fueron aquellas con mayor ratio de distribución de dividendos.
5) Un grupo de apenas dos sectores experimentó desde 1999 una inclinación sostenida a contraer su RFN.

¿Cuáles son los factores que según la teoría económica determinan el crecimiento del RFN entre las firmas de América Latina? No existe en la literatura una explicación teórica establecida del RFN y esta laguna teórica se registra tanto en países periféricos como en países desarrollados. En lo que sigue revisaremos los factores utilizados en los estudios recientes sobre la inversión en la región, lo que nos permite identificar las variables macroeconómicas relevantes, asociadas en particular a la FBC. Posteriormente, recogiendo argumentos teóricos disponibles en la literatura financiera, desarrollamos tres hipótesis explicativas referidas a los efectos de las restricciones en el acceso al financiamiento externo a la firma, la volatilidad operativa y el ritmo de crecimiento sobre el RFN.
Quienes han abordado el estudio de la debilidad de la inversión privada en los años recientes en América Latina, muestran que ciertas variables macroeconómicas han tenido un impacto sustancial sobre ella. En efecto, Fornero, Kirchner y Yany (2014), el FMI (2015) y Magud y Sosa (2016), muestran que las favorables condiciones internacionales, tanto en comercio como en ingreso de capitales, y el crecimiento macroeconómico han repercutido positivamente sobre la inversión en el sector privado. Así, resulta de interés evaluar el modo en que han impactado estos factores macroeconómicos sobre nuestras variables de interés. Siguiendo a estos autores, esperamos que la tasa de crecimiento y los saldos de cuenta corriente y cuenta capital de la balanza de pagos, afecten positivamente la FBC. Por otro lado, nos interesa conocer el signo de la relación entre estas variables macroeconómicas y el RFN para determinar si la bonanza externa y macroeconómica experimentada por los países estudiados en el período en cuestión alentó el endeudamiento de las firmas para financiar su FBC (signo negativo) o si, al provocar también un crecimiento en la rentabilidad y el ahorro interno, tendió a producir un exceso de fondos internos sobre los gastos de inversión de las firmas (signo positivo).
Por otra parte, entre las variables macroeconómicas que tradicionalmente explican la evolución de la inversión, encontramos a la tasa de interés. Esta refleja el costo de acceder al financiamiento externo y afecta negativamente la inversión, razón por la cual esperamos que mantenga una relación negativa con la FBC.
Existe una amplia literatura que estudia las consecuencias que las restricciones en el acceso al financiamiento bancario o al mercado de capitales tienen sobre el desempeño real y financiero de las firmas. Por ejemplo, desde el trabajo seminal de Fazzari, Hubbard y Petersen (1988) un abundante número de estudios ha documentado que las firmas con acceso restringido al financiamiento externo ven condicionada su inversión y que esta solo puede crecer cuando aumenta la disponibilidad de fondos generados internamente.
En ese marco es lícito preguntarse si las firmas restringidas en su acceso a crédito tienen algún motivo particular para generar eventualmente un RFN mayor que sus pares no restringidas. Almeida, Campello y Weisbach (2004) procuran identificar la presencia de restricciones a partir del análisis de la demanda de efectivo. Su modelo postula que las firmas restringidas financieramente deberían atesorar sistemáticamente una porción del flujo de caja, mientras que por el contrario, las firmas no restringidas no se verían compelidas de este modo a acumular liquidez.
Por su parte, Acharya, Almeida y Campello (2007) ofrecen un nuevo avance en el estudio de la administración del flujo de caja que las firmas restringidas realizan para atenuar los efectos de las restricciones financieras. Sugieren dos formas de amortiguar tales restricciones: atesorar el flujo de caja y así aumentar la liquidez para afrontar inversiones futuras, o reducir el apalancamiento y guardar capacidad de endeudamiento para el futuro. También postulan que la elección entre una y otra estrategia depende de las necesidades de cobertura (hedging needs) de cada firma. Aquellas empresas cuyo flujo de caja se correlaciona positivamente con el surgimiento de oportunidades de inversión (baja necesidad de cobertura), pueden financiar las inversiones con dicho flujo y complementarlo con el financiamiento externo cuya magnitud depende del desendeudamiento consumado en períodos previos. Las firmas con baja correlación entre flujo de caja y oportunidades de inversión (alta necesidad de cobertura) preferirán utilizar el primero para acumular efectivo que pueda ser utilizado en momentos en que las oportunidades de inversión surjan y no se disponga de un flujo corriente para cubrir su financiamiento. Con todo, cualquiera que sea el caso en relación con las necesidades de cobertura, tanto la demanda de efectivo como el desendeudamiento (dos aplicaciones del ahorro corriente distintas de la formación de capital) implican que un mayor RFN tendrá lugar entre las firmas restringidas con respecto a aquellas no restringidas.
En resumen, según esta hipótesis resultaría esperable que el RFN sea mayor entre las empresas restringidas en su acceso a financiamiento, en comparación con aquellas otras empresas que, a una tasa de interés dada, disponen de un acceso fluido al financiamiento externo a la firma.
También abundan estudios sobre el efecto negativo de la volatilidad macroeconómica (financiera y cambiaria, en especial) sobre la inversión privada en estos países (Moguilansky, 2002; Serven, 2003). Si bien los principales modelos teóricos formulados desde 1970 no son conclusivos acerca del impacto de la volatilidad sobre la inversión4, una relación negativa entre la volatilidad idiosincrática (esto es, en la firma) y la inversión, y positiva entre la volatilidad y el RFN, resulta esperable a raíz de los hallazgos realizados en la literatura sobre la inversión y la demanda de liquidez.
Varios trabajos empíricos encuentran que el crecimiento de la volatilidad de variables financieras y operativas en la firma en países desarrollados reduce la inversión de las empresas (Guiso y Parigi, 1999; Leahy y Whited, 1996; Von Kalckreuth, 2000). Más aún, se observa que ante el incremento en la volatilidad, las firmas se ven inclinadas a acumular más liquidez como un mecanismo de cobertura (Bates, Kahlen y Stulz, 2009; Baum, Caglayan, Stephan y Talavera, 2008). De modo que resultaría esperable que los aumentos en la volatilidad conduzcan a las firmas que los enfrentan a generar un mayor RFN.
Algunos aportes clásicos de las finanzas corporativas también permiten presumir que, en ciertos negocios y empresas, el crecimiento del RFN constituye un resultado de la caída del ritmo de crecimiento o dinamismo de las actividades operativas.
En efecto, en un conocido trabajo, Jensen (1986) estudia las consecuencias de un fenómeno asimilable al RFN: el flujo de caja libre, entendido como aquella parte del flujo de caja sobrante, luego de cubrir la totalidad de gastos de capital requeridos por los proyectos de inversión con valor presente positivo al alcance de la firma. Según el autor, tal flujo de caja sobrante surgía en particular en sectores con altas rentas económicas pero maduros y con escasas oportunidades de crecimiento. Algunos ejemplos citados son los sectores petrolero, siderúrgico, químico, cervecero, tabacalero y productor de papel (Jensen, 1989).
De hecho, el efecto del escaso dinamismo de los negocios sobre la inversión y el RFN es explorado en los estudios sobre operaciones de fusión y adquisición, que a su vez pueden entenderse como aplicaciones del RFN. Por ejemplo, al buscar los determinantes de adquisiciones apalancadas, Opler y Titman (1991) encuentran que las firmas que inician estas operaciones combinan bajas oportunidades de inversión en sus negocios originales, altos flujos de efectivo y una mayor inclinación a la diversificación. Arikan y Stulz (2011), por su parte, encuentran evidencias coherentes con la idea de que las adquisiciones realizadas por firmas maduras son inducidas por el agotamiento de las oportunidades de crecimiento interno5.
En suma, se puede establecer como tercera hipótesis explicativa que la pérdida de dinamismo de ciertos negocios, la caída del crecimiento de las ventas y el debilitamiento de las oportunidades de inversión, impulsan a las firmas no solo a reducir su inversión, sino también a elevar su RFN.
Se tienen así tres hipótesis no excluyentes mutuamente acerca de los factores que ocasionan el surgimiento del superávit en el RFN en la muestra. A saber:
2) Es causado por un entorno operativo más volátil que afecta negativamente el atractivo de los proyectos de inversión de las firmas.
3) Es causado por un menor crecimiento y oportunidades de inversión.
Por otro lado, queda planteada una pregunta acerca del impacto de las variables macroeconómicas sobre el RFN. Aunque la literatura encuentra un efecto positivo del crecimiento macroeconómico y las condiciones favorables externas sobre la inversión (y su correlato negativo, cuando estas se deterioran), no es posible determinar teóricamente el efecto de estos factores sobre el RFN.
En lo que sigue, realizamos un análisis econométrico de los patrones de ahorro e inversión que surgen en la muestra de firmas analizada, procurando identificar el papel que desempeñan estos factores teóricamente relevantes entre segmentos de firmas con distintos niveles de RFN.
En esta sección evaluamos el poder explicativo de nuestras hipótesis a la hora de comprender la evolución del RFN y la FBC durante el período posterior a 2003 en las firmas comprendidas en la muestra. A tal fin, estimamos dos modelos econométricos, cada uno de los cuales tiene como variable endógena una de las variables a explicar: RFN y FBC.
Las principales variables exógenas son aquellas vinculadas a las tres hipótesis explicativas. A continuación presentamos las variables utilizadas en nuestro estudio para evaluar las hipótesis explicativas discutidas en la sección teórica: restricciones financieras, volatilidad operativa en la firma y ritmo de crecimiento. Asimismo, discutimos el signo esperado de cada variable.
Variables macroeconómicas. Utilizamos cuatro variables exógenas de naturaleza macroeconómica, con frecuencia trimestral, que son compartidas por las firmas de un mismo país, a saber: a) la tasa de crecimiento del producto interno bruto en dólares corrientes, para contar con una medida comparable de crecimiento en el nivel de actividad doméstica de cada país, b) el saldo de la cuenta corriente, c) el saldo de la cuenta capital de la balanza de pagos de cada país, normalizadas por el producto interno bruto en dólares corrientes y d) la tasa de interés del mercado de dinero doméstico. Todas las variables fueron obtenidas de las bases de datos International Financial Statistics y Balance of Payment Statistics, ambas del FMI.
Medida de restricciones financieras. La literatura sobre restricciones en el acceso al financiamiento utiliza una diversidad de medidas del grado de restricciones que enfrenta una firma dada (Kaplan y Zingales, 1997, índice Whited-Wu, 2006, etc.). Sin embargo, una medida sencilla y ampliamente utilizada en otros estudios es el tamaño de la firma aproximado a través del logaritmo del activo total. Se presume que las firmas pequeñas enfrentarán mayores restricciones en el financiamiento (ya sea porque son más jóvenes y riesgosas, porque tienen menos garantías que ofrecer en los contratos crediticios, etc.). De modo que, si esta hipótesis fuera cierta, resultaría esperable que exista un signo negativo entre el tamaño y el RFN.
Medida de volatilidad operativa. Las medidas de volatilidad utilizadas en las finanzas corporativas incluyen en la variabilidad de los precios de acciones y medidas de volatilidad de variables “fundamentales” (fundamentals) como la rentabilidad, las ventas, el flujo de caja, etc. (Irvine y Pontiff, 2008). En nuestro análisis empírico utilizamos como medida de volatilidad en la firma, el coeficiente de variación móvil del flujo de caja. En función de los argumentos teóricos planteados, esperamos que esta variable tenga un coeficiente negativo en el modelo de FBC y positivo cuando se trata de explicar el RFN.
Medidas de dinamismo. También son diversas las medidas de dinamismo y oportunidades de crecimiento usualmente utilizadas en la literatura. Se aproxima la disponibilidad de oportunidades de crecimiento o inversión por medio de la Q de Tobin (ratio entre valor de mercado y valor de libros del patrimonio neto), o mediante la tasa de crecimiento de las ventas. En nuestro caso, utilizaremos la tasa de crecimiento de las ventas, esperando encontrar una relación positiva entre esta y la FBC, y negativa con el RFN.
Además, incluimos en nuestro modelo econométrico un número de variables de control que representan las posibles aplicaciones o destinos alternativos del ahorro bruto: la acumulación de liquidez, el desendeudamiento y la acumulación de activos no operativos. La literatura financiera reseñada sugiere que estos factores pueden resultar condicionantes relevantes de la política financiera y de inversión de las firmas (Acharya et al., 2007; Bates et al., 2009). En la medida en que representan aplicaciones alternativas del ahorro, resultaría esperable que tanto la acumulación de liquidez como de activos no operativos reduzcan la FBC (signo negativo) y eleven el RFN (signo positivo de los coeficientes). Asimismo, esperamos que el apalancamiento mantenga una relación negativa con el RFN, dado que una caída del endeudamiento requiere de mayor disponibilidad del RFN (signo negativo).
La Tabla 3 presenta las variables que miden estos tres conceptos en nuestro ejercicio econométrico y su construcción a partir de datos contables.

En conclusión, los modelos a estimar son dos y difieren en su variable endógena:
2) FBC = fcn (log. Activo Total, Crecim. Ventas, Volat. Flujo de Caja, Apalancamiento, Demanda de Liquidez, Activo no Operativo, Tasa crecimiento, Saldo Cuenta Corriente, Saldo Cuenta Capital, Tasa de interés, Tendencia)
Por último, la Tabla 4 muestra un resumen de los estadísticos descriptivos más importantes de cada variable incluida en los modelos finales a estimar. La Tabla 5, por su parte, presenta la matriz de correlaciones entre cada una de ellas.
Si bien nuestra base de datos tiene una estructura de panel, la distribución de las variables no será la misma en grupos de firmas pertenecientes a distintos sectores o países que, como hemos visto en los apartados previos, han incidido sobre la evolución del RFN y FBC. En consecuencia, puede resultar inapropiado estimar un modelo de panel asumiendo que los efectos aleatorios sean iguales independientemente del grupo al que pertenezcan6. En tal caso, sería conveniente utilizar una estrategia de estimación que reconozca estas características de los efectos aleatorios. Concretamente, la estimación implementada en este trabajo constituye una combinación de efectos fijos y efectos aleatorios (multilevel linear mixed-effects).

Una regresión multinivel tiene en cuenta que las unidades muestrales están anidadas dentro de unidades más amplias y que no existe independencia de las observaciones dentro de cada grupo. Dada esta estructura de los datos, la estimación multinivel arroja estimadores más eficientes de los coeficientes de regresión y provee información más confiable a la hora de realizar test de hipótesis, en comparación con los modelos tradicionales (Hox, 2010; McCulloch, Searle y Neuhaus, 2008).
En términos matriciales:
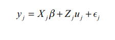
(1)En esta ecuación y es un vector n x 1, X es una matriz de n x p que interactúa con los efectos fijos β, Z es la matriz n x q para los efectos aleatorios u. Finalmente, ε es un vector n x 1 de errores normales con media cero y varianza σ2 . De esta manera, Xβ resulta igual que un modelo de mínimos cuadrados. Para la parte aleatoria, se supone la siguiente estructura:
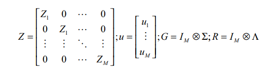
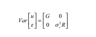
(2)La clave de la estimación reside en calcular los componentes de la varianza G. El método más utilizado es el de máxima verosimilitud. Otra manera de expresar la ecuación (1), consiste en considerar que el vector y está conformado por una serie de M grupos de observaciones, notados con un subíndice j, con j=1,...M.
(3)Quedando integrada la parte aleatoria de la siguiente manera:
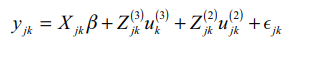
(4)En este sentido, puede considerarse la posibilidad de que exista más de un nivel de grupos de observaciones, donde los grupos de un nivel se encuentren anidados en grupos superiores (sectores económicos que se encuentran anidados en cada país). Así, por ejemplo, si se extiende a dos los niveles de clusters, se crea un modelo en tres niveles, que formalmente queda definido como:
(5)La lógica es la siguiente: las observaciones i=1, ...,njk de las firmas están anidadas en los k grupos del segundo nivel (en nuestro caso, sectores de actividad económica) , donde k = 13, los que a su vez están anidados dentro de los M grupos de tercer nivel (países) k=1,..., M, siendo en nuestro caso M = 5. Los supra índices (2) y (3) hacen referencia a los grupos de segundo y tercer nivel respectivamente. Se asume que uk(3), ujk(2) y εjk son independientes, con las siguientes distribuciones normales:
(6)Para la estimación del modelo recurrimos al paquete xtmixed, disponible en el software Stata 13.
La Tabla 6 muestra los estadísticos de contraste utilizados para comparar seis versiones del modelo estimadas sucesivamente. El primer paso, exhibido en la primera columna de la tabla, consistió en estimar un modelo nulo del mixed-effects y testearlo contra un modelo lineal conformado por las mismas variables, por medio de un test de restricciones (LR-test). El resultado del test confirma la existencia de una estructura de varianzas y covarianzas multinivel, considerando dos niveles por encima de la firma, el sector y el país. De esta forma, se confirma que es inconveniente utilizar una estrategia de estimación con técnicas de panel, puesto que se verían afectadas las propiedades de los estimadores.

Posteriormente, se estimaron otros modelos agregando en forma sucesiva bloques de variables a la especificación del modelado de la varianza, y testeando cada versión contra el modelo anterior, hasta alcanzar la especificación final, que es la que se muestra por último en la Tabla 7 (los coeficientes resultantes en los modelos intermedios no se presentan en el documento pero pueden ser solicitados a los autores).
En esta versión final, el RFN y la FBC son regresados respecto a las variables explicativas detalladas arriba. Los efectos aleatorios en la categoría país se modelan en función de las variables macroeconómicas y la heterocedasticidad en la firma se modela utilizando todas las variables explicativas correspondientes a dicho nivel. Se incluyó, por último, un término de media móvil del error con dos rezagos para capturar la inercia del error.
El análisis de los resultados econométricos puede resumirse en los siguientes cuatro puntos.
Primero, el efecto de las variables macroeconómicas sobre la FBC y el RFN resulta de gran interés. Por un lado, el crecimiento económico parece tener un impacto positivo y estadísticamente significativo sobre la acumulación de capital y reducir el RFN, como resulta esperable según los estudios de Fornero et al. (2014) y Magud y Sosa (2016). Pero un resultado más interesante surge en relación con el efecto de la balanza de pagos sobre el RFN de las firmas: el saldo de ambas cuentas de la balanza de pagos no parece agregar un estímulo adicional sobre la acumulación de capital, puesto que los coeficientes de la cuenta corriente y de capital no son estadísticamente significativos. Sin embargo, sí son positivos y significativos los coeficientes de ambas cuentas de la balanza de pagos en el modelo de RFN. Esto es, los saldos crecientes de ambas cuentas provocan un crecimiento del RFN. Así, estos resultados permiten sugerir que aunque la bonanza internacional, al incrementar la actividad económica, alentó la inversión, también se tradujo en un poderoso aumento del fondeo propio que excedió al requerido para financiar la formación de capital de las firmas beneficiadas. En efecto, estos resultados son consistentes con los que presentamos en el apartado descriptivo: los sectores relativamente más favorecidos por el ciclo internacional de alzas de precios (minería y petróleo) y otros especialmente beneficiados por el dinamismo de los mercados domésticos (consumo durable, por ejemplo) se encontraron entre los que más RFN acumularon.
Segundo, el tamaño y el dinamismo de las ventas muestran resultados estadísticamente significativos, y son los esperables de acuerdo con los argumentos que hemos discutido: las firmas más pequeñas (con mayores restricciones en su acceso a financiamiento externo) y de menor nivel de crecimiento de las ventas son aquellas con menor inversión. En ambos casos se trata de coeficientes estadísticamente significativos. Estos resultados son coherentes con otros trabajos que muestran el efecto de las restricciones financieras y la caída del dinamismo sobre la inversión (Almeida et al., 2004; Fazzari et al., 1988). Sin embargo, nuestro examen permite vislumbrar un aspecto no abordado directamente por estos autores: el impacto de estas variables sobre el RFN. La Tabla 7 muestra que las restricciones financieras y el dinamismo tuvieron el impacto esperado sobre el RFN, puesto que las firmas con más restricciones (más pequeñas) y las menos dinámicas (menor ritmo de crecimiento de ventas), tuvieron un RFN mayor.
En tercer lugar, tanto la tasa de interés como la volatilidad operativa afectan en forma negativa la FBC, tal como resultaba esperable teóricamente y ha sido documentado en la literatura examinada en la sección teórica. Sin embargo, no mantienen una relación estadísticamente significativa con el RFN. Esto parece indicar que la volatilidad del entorno operativo (a nivel firma o idiosincrático) no ha producido un efecto sustancial sobre el nivel del RFN, llevándonos a rechazar esta hipótesis para el conjunto de firmas que conforman nuestra muestra.


Por último, los coeficientes de la demanda de liquidez, apalancamiento y peso del activo no operativo son estadísticamente significativos y muestran los signos esperados: el RFN es utilizado para acumular liquidez, incrementar el peso de activos no vinculados a la actividad operativa principal (signo positivo, en ambos casos) y desendeudar a la firma (signo negativo). El coeficiente de la demanda de liquidez es, en relación con los dos destinos restantes, muy elevado. Ello sugiere que los fondos propios no aplicados a la expansión del capital fijo se destinan prioritariamente a la acumulación de liquidez. Este es otro resultado consistente con la descripción estadística presentada en la tercera sección, donde advertimos que la liquidez es la aplicación alternativa del RFN que aumentó más en términos proporcionales.
Algunos estudios han dirigido su atención a la inversión privada en América Latina durante la última década, atraídos en particular por su bajo nivel en relación con factores que deberían conferirle un mayor dinamismo, al menos durante el período que se extiende hasta el estallido de la crisis financiera internacional, de acelerado crecimiento y donde otros países emergentes mostraron un mejor desempeño en la formación de capital. En contrapartida, la formación de activos externos, una expresión de los fondos que no son aplicados a la formación de capital doméstica por parte de las firmas, ha tendido a crecer durante el mismo lapso.
Frente al nuevo contexto internacional, de deterioro del sector externo, demanda mundial deprimida e ingresos de capital inestables, la formación de activos externos se convierte en un factor crítico de empeoramiento para la balanza de pagos en la región.
Nuestro trabajo brinda un primer panorama del mapa del ahorro y la inversión en la firma en la región. En particular, nos detenemos en la dinámica que han seguido la formación de capital y el resultado financiero neto de las firmas en el tiempo, una medida que da cuenta de la disponibilidad de ahorros internos de las firmas, disponibles para el atesoramiento y la formación de activos externos, luego de cubrir los gastos de capital.
Documentamos la evolución de estas variables para una firma representativa en cada uno de los cinco países estudiados. Como resulta esperable, se observa que los incrementos del RFN ocurren mayoritariamente durante los períodos de recesión en la actividad económica, durante los cuales la inversión se contrae. Sin embargo, es importante resaltar que este RFN alcanza hoy valores positivos y se encuentra en crecimiento en una parte importante de las firmas analizadas. En especial, desde 2011 el RFN creció y la inversión se estancó o entró en una franca declinación en once de trece grandes sectores de actividad económica.
Más aún, al igual que ocurre en otras regiones de la economía mundial, se percibe un crecimiento de la demanda de activos líquidos y de los activos no operativos como proporción del total del activo. Mientras tanto, incluso a pesar de las generosas condiciones que el mercado de bonos corporativos proporcionó, no se percibió en general una tendencia al endeudamiento para financiar proyectos de inversión.
Las firmas del sector de minería y petróleo, que fueron las más beneficiadas por el ciclo de alza de precios internacionales y el acceso a financiamiento externo, resultaron también aquellas que mayores montos de RFN y distribución de dividendos acumularon. Le siguieron otras ramas de actividad, beneficiadas por el crecimiento de los mercados internos como las electrónicas o productoras de bienes de consumo durable y las firmas de comunicaciones y servicios básicos.
Entre los argumentos teóricos que permiten entender la evolución del RFN, discutimos cuatro grandes temas. En primer lugar, los efectos del contexto macroeconómico y el sector externo en particular que, según muestran algunos trabajos recientes, han estimulado la inversión privada en la última década. Segundo, las restricciones en el acceso al financiamiento que experimentan ciertas firmas, limitando su inversión y llevándolas a incrementar su RFN. Tercero, el efecto de la volatilidad operativa que reduce el atractivo de la formación de capital y estimula la demanda precautoria de liquidez, elevando el RFN. Cuarto, la pérdida de dinamismo de ciertos negocios, que lleva a dichas firmas a invertir menos y a aumentar su RFN.
El análisis econométrico con un modelo multinivel permite evaluar estas hipótesis y lograr resultados novedosos y poco discutidos en la literatura.
Primero, las firmas con mayores restricciones en su acceso al financiamiento externo y menor dinamismo o crecimiento, tienen una menor inversión y un RFN mayor, tal como postulamos en nuestra discusión teórica.
Segundo, si bien la volatilidad operativa tiende a reducir la inversión de las firmas, no se verifica un impacto positivo sobre la demanda de liquidez, lo que nos impide convalidar nuestra hipótesis acerca el efecto de la volatilidad sobre el RFN.
Tercero, aunque el auspicioso contexto macroeconómico favoreció el crecimiento de la inversión de las firmas, nuestros resultados indican que también tuvo un impacto positivo sobre el RFN. Esto puede sugerir que la bonanza internacional se tradujo al mismo tiempo en un poderoso aumento del fondeo propio que excedió al requerido para financiar la formación de capital de las firmas beneficiadas.
Este último resultado adquiere más sentido cuando se considera que los sectores más beneficiados por el contexto macroeconómico, tanto por la bonanza internacional como por el crecimiento de los mercados internos, fueron asimismo los sectores que más RFN generaron.
Consideradas conjuntamente, estas evidencias plantean la existencia de inconvenientes más o menos serios a la hora de capitalizar los beneficios del favorable marco económico internacional que se extendió desde 2003. Estos beneficios no se tradujeron por completo en un incremento de la capacidad e infraestructura productiva sino que, como hemos visto, produjeron ahorros excedentes que en esos sectores fueron destinados a acumular liquidez, incrementar el flujo de dividendos distribuidos por las firmas, etc.
Sugerencia de citación: : Pérez Artica, R., Delbianco, F., & Brufman, F. (2017). El ahorro y la inversión corporativos en América Latina. Una indagación en la firma. Cuadernos de Economía, 36(71), 571-600. doi: 10.15446/cuad.econ.v36n71.54259.
http://fce.unal.edu.co/media/files/cuadernos/71/finales/v36n71a12.pdf (pdf)













