Original article
Relationship between Perme ICU Mobility Score and length of stay in patients after cardiac surgery
Pacientes con cirugía cardiaca: Relación entre Perme ICU Mobility Score y la duración de la estancia en UCI
Relationship between Perme ICU Mobility Score and length of stay in patients after cardiac surgery
Colombia Medica, vol. 53, no. 3, pp. 1-14, 2022
Universidad del Valle
Received: 03 February 2022
Revised document received: 20 April 2022
Accepted: 12 July 2022
Abstract
Background: Patients undergoing cardiac surgery can experience functional impairment.
Objective: Assess the influence of Perme Score on the intensive care unit (ICU) length of stay in patients after cardiac surgery. As a secondary objective, investigate if preoperative variables can predict the patient's mobility status after surgery.
Methods: A prospective observational study was conducted in ICU in a university hospital. The mobility status (Perme Score) was collected from the first postoperative day until ICU discharge. The preoperative assessment of respiratory muscle strength, pulmonary function, and handgrip strength were collected.
Results: A total of 44 patients, mean age of 62.3 years, 28 men were included in the study. A high Perme Score on the second postoperative day among patients who underwent Coronary artery bypass grafting and the third postoperative day on three types of intervention (Coronary artery bypass grafting, valve replacement, or both simultaneously) was associated with shorter ICU length of stay). The preoperative pulmonary function was one of the main independent predictors of mobility status on the first three days of ICU stay, in addition to left ventricular ejection fraction and cardiopulmonary bypass time on the first day, age, and left ventricular ejection fraction on the second day and maximum expiratory pressure on third day
Conclusion: An increase in mobility status (Perme Score), mainly on the third postoperative day, reduced the ICU stay, mainly influenced by preoperative pulmonary function.
Keywords: Rehabilitation+ cardiac rehabilitation+ physical function performance+ muscle strength.
Resumen
Antecedentes: Los pacientes sometidos a cirugía cardiaca pueden experimentar deterioro funcional.
Objectivo: Evaluar la influencia del Perme Score en la estancia hospitalaria en la unidad de cuidados intensivos (UCI) en pacientes postoperados de cirugía cardiaca. Como objetivo secundario fue investigar si las variables preoperatorias pueden predecir el estado de movilidad del paciente después de la cirugía.
Métodos: Se realizó un estudio observacional prospectivo en la UCI de un hospital universitario. El estado de movilidad (Perme Score) se monitoreó desde el primer día postoperatorio, hasta el alta de la UCI. Se recolectó la evaluación preoperatoria de la fuerza de los músculos respiratorios, la función pulmonar y la fuerza de agarre.
Resultados: Fueron incluidos en el estudio 44 pacientes, con edad media de 62.3 años y 28 hombres. Se obruvo una puntuación alta de Perme entre los pacientes que se sometieron a un injerto de derivación de la arteria coronaria a partir del segundo día posoperatorio y al tercer día posoperatorio en tres tipos de intervención (injerto de derivación de la arteria coronaria, reemplazo de válvula o ambos simultáneamente), se asoció con una estancia más corta en la UCI. La función pulmonar preoperatoria fue uno de los principales predictores independientes del estado de movilidad en los tres primeros días de estancia en la UCI, además de la fracción de eyección del ventrículo izquierdo y el tiempo de circulación extracorpórea al primer día, la edad y la fracción de eyección del ventrículo izquierdo al segundo día y presión espiratoria máxima al tercer día.
Conclusión: Un aumento en el estado de movilidad (Perme Score), principalmente en el tercer día postoperatorio, redujo la estancia en la UCI, influenciado principalmente por la función pulmonar preoperatoria.
palabras clave: Rehabilitación, rehabilitación cardiaca, rendimiento de la función fisica, fortaleza muscular.
Remark

Introduction
Coronary artery bypass grafting (CABG) is still the most common cardiac surgery worldwide and is associated with valve replacement; it stands out for its significant economic and social impact 1,2. Several studies have demonstrated that CABG induced lean tissue mass reduction, loss of handgrip strength, and pulmonary complications 3,4. In addition, during the first three days after CABG surgery, a significant inflammatory reaction and insulin resistance occurred, and during the first week after CABG, slight vital capacity decreased by 30-60% 5,6. Previous studies have also described significant muscle mass loss early after CABG 7,8. Considering these early consequences on respiratory, metabolic, and musculoskeletal systems due to surgical procedures and prolonged immobility have been supporting the growing interest in measures of physical function for critically ill adults.
In this context, physical function assessment is relevant to evaluate ICU recovery and assess the effectiveness of a structured early mobilization protocol on the mobility status of patients admitted to the ICU 9,10. Recently, new measures have been specifically developed to evaluate functional outcomes in the ICU setting 11. Parry et al. conducted a systematic review, presenting 26 measurement instruments of functional impairment that had established clinimetric properties designed for use in critically ill patients 12. The Perme Intensive Care Unit Mobility Score (Perme Score) is listed as one. The Perme Score was developed to measure patients' mobility status, starting with the ability to follow commands and culminating in the distance walked in two minutes 13. It indicates functional performance, particularly the patients' walking capacity, in the ICU at a specific time 14. Most previous studies have used Perme Score at a specific moment in time and specific patient populations 15-17. However, it is still unclear whether the Perme Score predicts the length of stay in the cardiovascular ICU and the possible influence of respiratory muscle strength, pulmonary function, and handgrip strength during the preoperative period on the mobility status of patients undergoing CABG and valve replacement. Several studies have demonstrated that the ICU length of stay (LOS) is a significant predictor of physical status, functional disability, nosocomial infections, and increased hospital costs. In the same way that the ICU LOS is a predictor of physical status after ICU discharge 18-21, we hypothesized that the physical function during ICU hospitalization might influence the ICU LOS. In addition, it remains unclear whether early mobility status, through Perme Score, is associated with reduced ICU LOS.
Therefore, this prospective study aims to assess the influence of Perme Score on ICU length of stay in patients after coronary artery bypass grafting (CABG) or valve replacement surgery. As a secondary objective, we aimed to investigate whether respiratory muscle strength, pulmonary function, and handgrip strength during the preoperative period were predictors of mobility status.
Materials and Methods
Study design and participants
This prospective, single-center, observational study was conducted in an 8-bed ICU in a university hospital in Santa Maria - Rio Grande do Sul state, Brazil. The ethics committee approved the study (process no.1.461.674). In addition, all subjects provided a written informed consent form before enrollment in the study. This study is reported by the Strengthening the Reporting of Observational Studies in Epidemiology (STROBE) statement 22.
Patients admitted to the hospital for elective cardiac surgeries, age ≥18 years, referred to physical therapy assessment, were initially considered eligible for the study. The following inclusion criteria were used: 1) on-pump CABG and valve replacement surgery, and 2) admission to the cardiovascular ICU after surgery. In addition, we excluded patients diagnosed with chronic obstructive pulmonary disease (COPD), unstable angina, hemodynamic instability, signs of respiratory distress, and death.
Data collection and study variables
All study data were retrieved from the medical record. Collected variables included demographics, comorbidities, surgical procedures, medications, ICU and hospital stay, respiratory muscle strength, pulmonary function, handgrip strength, and mobility status. Respiratory muscle strength, pulmonary function, and handgrip strength were assessed one day before surgery.
Respiratory muscle strength
The maximum inspiratory pressure and maximum expiratory pressure (MEP) were evaluated with an MVD-300 digital manometer (MDI®, Rio Grande do Sul, Brazil). According to the American Thoracic Society and European Respiratory Society (2002) recommendations, all measurements were performed 24. The highest measured value was considered for analysis and compared to predicted values 23.
Pulmonary function
The assessment of the pulmonary function was performed according to American Thoracic Society and European Respiratory Society guidelines 24 with a portable digital spirometer (One Flow FVC KIT, Clement Clarke International, United Kingdom). The following measures were collected: 1) peak expiratory flow, 2) forced vital capacity (FVC), 3) forced expiratory volume in one second (FEV1), and 4) forced expiratory volume in one second divided by the forced vital capacity ratio (FEV1/FVC). The results obtained were compared with the predicted values 25,26.
Handgrip strength
The handgrip strength was measured according to the protocol recommendations 27 using a portable dynamometer (TKK 5401 GRIP-D; Takei Scientific Instruments Co. Ltd., Tokyo, Japan). The grip strength was defined as the highest value measured on the dominant hand compared to predicted values 28.
Mobility status assessment
The mobility status was assessed by the Perme Intensive Care Unit Mobility Score (Perme Score) 13, and was collected by a single rater previously trained in evaluating the patient using the Perme ICU Mobility Score. The rater is a physical therapist, a member of a research team who was not part of the interdisciplinary team of the ICU, and has more than five years of clinical experience. The Perme Score was collected daily from the moment at ICU admission - within 24 hours until ICU discharge - performed in the same ICU discharge. Starting with the ability to follow commands and culminating with the distance walked in two minutes, the score objectively measures the mobility status of patients admitted in ICU. It consists of 15 items grouped into seven categories, as follows: 1) mental status, 2) potential mobility barriers, 3) functional strength, 4) bed mobility, 5) transfers, 6) gait, and 7) endurance. The total score ranges from 0 to 32 points, with higher scores indicating better mobility.
Physical rehabilitation intervention
The patients received general ward rehabilitation comprising chest physiotherapy and a progressive five steps of active-assistive exercises of lower/upper limbs. Each step corresponds to one day of postoperative intervention 29. The ICU physical therapists provided the interventions twice daily, for approximately 30 minutes, seven days per week. The rehabilitation started on the first postoperative day until discharge.
Sample size calculation
The sample size was calculated using the GPower (version 3.0), based on the data from a pilot study composed of the first ten patients included in the present study. To find a coefficient of determination (R2) of 0.185, with an effect size of (i2) 0.22, power of 80%, and α level of p: <0.05, having as an independent variable the Perme score on day 3 and the dependent variable the ICU length of stay, a total of 38 patients were required.
Statistical analysis
Continuous variables are reported as mean, standard deviation (SD) or median, interquartile range (IQR, 25-75th percentile) values, and categorical variables are presented in absolute and relative frequencies. The Shapiro-Wilk test assessed the normality of the variables.
To assess the influence of Perme Score on ICU length of stay, we performed a simple linear regression where the dependent variable was ICU length of stay. The independent variables we individually tested, the Perme Score obtained on the first three days of stay in the ICU (D1, D2, and D3), were the days that the entire sample (n= 44) was still hospitalized in the ICU. From the fourth day of hospitalization, the number of patients gradually reduced because patients began to be discharged from the ICU. The significance of the final model was assessed by the ANOVA F test and the quality of the adjustment by the adjusted determination coefficient (adjusted R2). In order to eliminate a possible bias that the type of surgery (CABG, valve replacement, or CABG and valve replacement) could cause on the variables analyzed, we used the regression model. The residues were evaluated according to the assumptions of normality, constant variance, and independence. To compare the behavior of the Perme score on the first three days of ICU stay and the types of surgery, we performed a 2-way ANOVA followed by Bonferroni's posthoc. The effect size for simple linear regression was calculated using R-squared (ρ), with values interpreted as “very high” (0.90 to 1.00); “high” (0.70 to 0.90); “moderate” (0.50 to 0.70); “low” (0.30 to 0.50); “small” (0.10 to 0.30) 30.
We also performed a regression analysis, where initially, a pre-selection of the variables was performed through simple linear regression analysis. Then, a multiple linear regression model was performed to assess the effect of preoperative independent variables (pulmonary function, respiratory muscle strength, and handgrip strength), age, left ventricular ejection fraction (LVEF), and cardiopulmonary bypass time (CPBT) on mobility status [Perme Score at day 1 (D1), day 2 (D2), and day 3 (D3)]. All analyses were conducted in IBM SPSS Statistics for Windows (version 26.0), and the significance level was set at p: <0.05.
Results
Participants
A total of 68 patients were screened, and 47 patients met the inclusion criteria. Three patients were excluded due to death. Of the 44 patients studied, the mean (SD) age was 62.3 (10.8) years, and 28 (%) were enrolled in the study (Figure 1). Baseline characteristics and clinical outcomes of polled patients are shown in Table 1. The median [IQR] of the mobility status at ICU admission and ICU discharge to 6 [3-7] points and 27 [23-30] points, respectively (p < 0.001) (Figure 2).



Influence of Perme score on ICU length stay
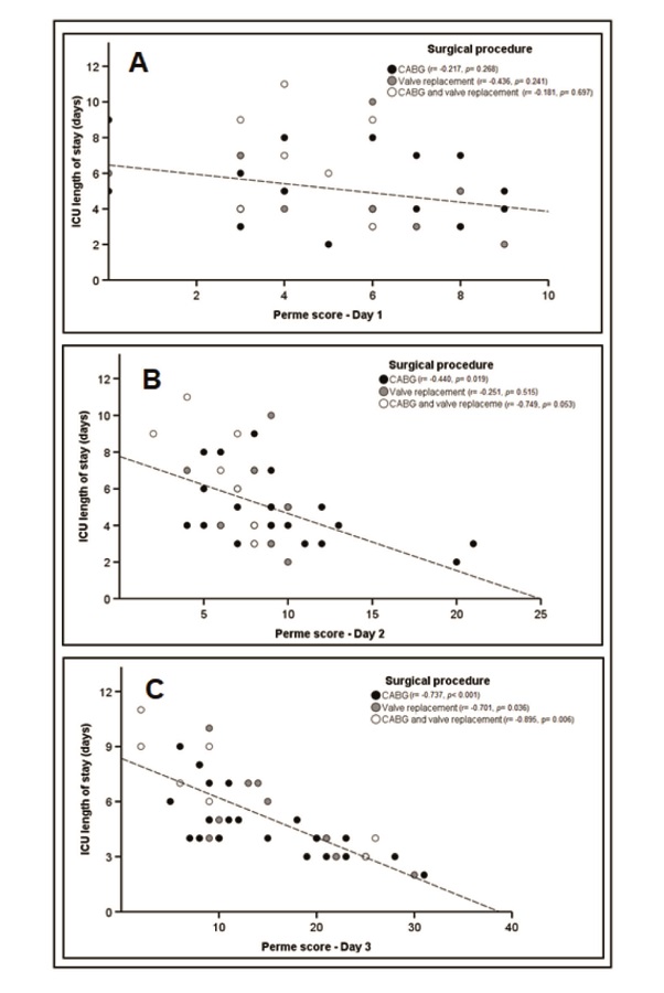
In the simple linear regression, no significant association was observed between the Perme Score on D1 with ICU length of stay [β = -0.30; (95% CI, -0.62 to 0.01); p = 0.064], even when the different surgical procedures were evaluated (Figure 3-A). However, in these different procedures, the effect size was larger in valve replacement, followed by the combination of CABG and valve replacement and CABG alone (ρ = 0.660; ρ = 0.421; and ρ = 0.216, respectively). Regarding D2, the Perme Score was associated with ICU length of stay [β = -0.76; (95% CI, -1.19 to -0.33); p = 0.001], explaining 22% of the variance, and when analyzing the three types of surgical procedure, only CABG showed a significant correlation (Figure 3-B). The effect size showed the following coefficients: CABG and valve replacement, ρ = 0.865; CABG, ρ = 0.663; valve replacement, ρ= 0.463.

In D3, as in D2, the Perme Score was associated with ICU length of stay [β= -2.67; (95% CI, -3.38 to -1.95); p < 0.001], explaining 57% of the variance and a 4.6-point increase in the Perme Score reduces ICU length of stay by one day, independent of surgical procedures. The effect size presented the following coefficients: CABG and valve replacement, ρ = 0.946; CABG, ρ = 0.858; valve replacement, ρ = 0.837 (Figure 3-C).
Influence of preoperative variables on the Perme Score
The multiple linear regression analysis identified that LVEF, CPBT, preoperative predicted peak expiratory flow and FEV1 values explained 51% (p= 0.006) of mobility status on D1. On the other hand, the variables age, LVEF and preoperative predicted values of FEV1/FVC and maximum expiratory pressure explained 71% (p= 0.002) of mobility status on D2. Likewise, only the preoperative predicted values of FEV1/FVC and maximum expiratory pressure explained 51% (p < 0.001) of the mobility status on D3 (Table 2).

Discussion
This is the first study to demonstrate that the Perme Score is associated with the ICU length of stay in patients after CABG with or without valve replacement and an increase in the mobility status reduced the ICU length of stay. Additionally, our findings showed that the preoperative pulmonary function (D1, D2 and D3); LVEF and CPBT (D1); age and LVEF (D2) and maximum expiratory pressure (D3) were independent predictors of mobility status. It is known that physical function may decrease immediately after surgery, especially in elderly patients, and impairment of functional status is associated with prolonged ICU stay in patients after cardiovascular surgery 31. Different methods and instruments have been used to evaluate physical functioning in the critical care setting 12. Itagaki et al. used the gait speed test and identified age, estimated glomerular filtration rate, preoperative gait speed, and the postoperative day patients regained independent walking as predictors of a postoperative decline in gait speed 32. Thus, it is essential to emphasize that to identify physical function impairments, the use of physical functioning tools developed for the ICU stay is recommended 12. We used the Perme ICU Mobility Score to measure the mobility status. Due to the reason that this is the only instrument to consider in assessment, potential barriers to mobility may affect patients' performance in mobility activities 14,33. In the context of cardiovascular surgery, pain in the sternotomy area and chest tube site was one of the main obstacles to implementing mobility activities as part of routine clinical practice 34. The low mobility status observed on the first postoperative day can be associated with barriers (i.e., pain, catheters, drains, and tubes) after surgery rather than a functional decline, considering the patient's previous function before surgery. However, this is different when we consider the second day for CABG and valve replacement procedures. Recently Wu et al. 35, demonstrated that a combination of CABG and valve replacement was associated with worse in-hospital outcomes, including high in-hospital mortality and increased costs.
The time at which ambulation is first initiated in postoperative patients directly affects outcomes, which may enhance functional independence 34. The findings of our study demonstrated that patients with better mobility status on the second (only CABG alone) and third postoperative days (three types of intervention) presented a shorter ICU stay. This result agrees with the effect size analysis, where CABG alone on D2 and the three types of surgical procedures on D3 showed a moderate and high to very high effect size, respectively. It reinforces the importance of delivering mobility interventions and enhances patients' knowledge regarding the benefits of mobility activities to provide clinical improvements in physical function after cardiac surgery, reducing complications and ICU stay 36,37.
The minimal detectable change (MDC) of the Perme Score of 1.36 points was established, presenting evidence to be sensitive to detecting changes on patients' mobility levels over time 38. Furthermore, our study showed that an increase of 4.6 points on the Perme Score on D3 reduces ICU stay by one day, regardless of the type of surgery. This finding is clinically relevant since previous studies have reported that reducing ICU LOS significantly impacts the cost savings of all hospital expenditures 39-41. Besides this, the incidence of healthcare-associated infections remains frequent among cardiac surgery patients with prolonged ICU stay and are associated with high mortality 42.
Few earlier studies assess physical function early and longitudinally in the surgical ICU as a predictor for ICU LOS. Kasotakis and colleagues have described a model for predicting surgical ICU LOS and mortality based on the Surgical Intensive Care Unit Optimal Mobility Score (SOMS) 43. The authors conclude that in surgical ICU patients, the SOMS is a reliable and valid tool to predict hospital mortality and length of stay. Physical function monitoring in ICU is relevant to determine patients' risk for poor physical outcomes, intervention efficacy, and recovery trajectories 44-46.
A study conducted with patients undergoing cardiac surgeries determined the incidence and risk factors associated with mobility impairments in the postoperative period. The authors identified that age as a predictor of postoperative mobility impairment 47. The same pattern was observed in our study when we evaluated the predictors for mobility status on the first three days of ICU admission. In addition to age, preoperative pulmonary function, LVEF, CPBT, and maximum expiratory pressure were independent predictors of mobility status. Preoperative pulmonary dysfunction has been associated with increased operative mortality and morbidity after cardiac surgery 48. A study on patients undergoing elective cardiac surgery identified a significant number presenting preoperative respiratory muscle weakness 49. However, we did not observe respiratory muscle weakness in our study's sample. Different prediction equations likely explain a possible reason for these divergent findings 50. In a recent prospective cohort study conducted in patients undergoing elective cardiac surgery, Risom et al. found that the reduced preoperative FEV1 was a strong and independent predictor of postoperative complications, including the risk of death 51. In this context, our findings highlight the importance of preoperative pulmonary evaluation as a routine examination to provide important prognostic information in patients undergoing elective cardiac surgery.
In addition, the early consequences of cardiac surgeries on the respiratory system is a musculoskeletal system impairment due to surgical stress and a severe systemic inflammatory response 52-54. Furthermore, it causes dysregulation of protein synthesis and consequently loss of muscle mass, which is responsible for functional decline 53,54.
Our findings showed that the CBPT was an independent predictor of mobility status. In a study that examined the impact of CPB on postoperative outcomes, Madhavan et al. demonstrated that prolonged CBPT (>56 minutes) showed an indirect effect on mortality could be manifested through enhanced risks of complications, prolonged ICU stays (>48 hours), and prolonged mechanical ventilation (>24 hours) 55. In our study, the median CBPT was 94 minutes. Similar to our results, in a recent observational study that included 60 patients who underwent cardiac surgery, Sumin et al. demonstrated that CBPT was an independent predictor of functional state in patients with a complicated postoperative period upon discharge from the hospital 56.
Handgrip strength is considered a reliable measure to assess muscle strength, an indicator of overall muscle strength and function, and has recently been identified as an independent predictor of overall survival and cardiovascular events in patients with coronary artery disease 57,58. However, a study by Perry and colleagues presented that preoperative handgrip strength values for elective cardiac surgery patients were below predicted reference values 59. In our study, we did not observe abnormal values of preoperative handgrip strength measures. These conflicting findings are likely because, in the present study, we used a reference for predicted values consistent with the age group of the subjects included in our study, which is different from the previous study that used a reference value for healthy individuals over 20 years old.
Strengths and limitations
The results of our study also highlight the importance of daily assessment of the Perme Score in the postoperative period of cardiac surgery, allowing physiotherapists to assess changes in the ICU patients' mobility status over time. In addition, it is essential to note that preoperative assessment can provide additional clinical practice information for physiotherapists to identify patients at high risk for functional decline.
Although, the results of this study should be interpreted considering some limitations. First, the sudden variation of the score in such a few days may have occurred due to the few multidimensional barriers to mobilizing patients during the postoperative period. Second, we did not consider the preexisting impairment of functional mobility that could impact the mobility status during ICU stay. It is important to note that for patients with previous mobility impairment, the assessment by the Perme Score should be reconsidered since the patient would not be able to show the progression of the mobility status during the hospital stay. Finally, the Perme Score has a limitation in clinical practice when used to assess patients with preexisting total dependence for activities of daily living, which was not observed in our study.
Conclusion
Our findings indicated that the Perme Score influenced the ICU length of stay in patients after CABG and valve replacement, and an increase of 4.6 points in the Perme Score reduced the ICU length of stay by one day. In addition, preoperative pulmonary function (D1, D2, D3), LVEF (D1 and D2) and cardiopulmonary bypass time (D1), age (D2) and maximum expiratory pressure (D3) were independent predictors of mobility status. Further studies are needed to provide additional information regarding the impact of daily assessment of mobility status during ICU and hospital stays and its long-term outcomes.
References
Melly L, Torregrossa G, Lee T, Jansens JL, Puskas JD. Fifty years of coronary artery bypass grafting. J Thorac Dis. 2018; 10(3): 1960-7. Doi: 10.21037/jtd.2018.02.43
Silva GS da, Colósimo FC, Sousa AG de, Piotto RF, Castilho V. Coronary artery bypass graft surgery cost coverage by the brazilian unified health system (SUS). Braz J Cardiovasc Surg. 2017; 32(4): 253-9. Doi: 10.21470/1678-9741-2016-0069
Boujemaa H, Verboven K, Hendrikx M, Rummens JL, Frederix I, Eijnde BO, et al. Muscle wasting after coronary artery bypass graft surgery: impact on postoperative clinical status and effect of exercise-based rehabilitation. Acta Cardiol. 2020; 75(5): 406-10. Doi: 10.1080/00015385.2019.1598035
Calles AC do N, Lira JLF, Granja KSB, Medeiro JD de, Farias AR, Cavalcanti RC. Pulmonary complications in patients undergoing coronary artery bypass grafting at a hospital in Maceio, Brazil. Fisioter Mov. 2016; 29(4): 661-7. Doi: 10.1590/1980-5918.029.004.AO01
Roncada G, Dendale P, Linsen L, Hendrikx M, Hansen D. Reduction in pulmonary function after CABG surgery is related to postoperative inflammation and hypercortisolemia. Int J Clin Exp Med. 2015; 8(7): 10938-46.
Mgbemena N, Jones A, Saxena P, Ang N, Senthuran S, Leicht A. Acute changes in handgrip strength, lung function and health-related quality of life following cardiac surgery. PLoS One. 2022; 17(2): e0263683. Doi: 10.1371/journal.pone.0263683
Hansen D, Linsen L, Verboven K, Hendrikx M, Rummens JL, van Erum M, et al. Magnitude of muscle wasting early after on-pump coronary artery bypass graft surgery and exploration of aetiology. Exp Physiol. 2015; 100(7): 818-28. Doi: 10.1113/EP085053
Dimopoulos S, Raidou V, Elaiopoulos D, Chatzivasiloglou F, Markantonaki D, Lyberopoulou E, et al. Sonographic muscle mass assessment in patients after cardiac surgery. World J Cardiol. 2020; 12(7): 351-61. Doi: 10.4330/wjc.v12.i7.351
Parry SM, Nydahl P, Needham DM. Implementing early physical rehabilitation and mobilisation in the ICU: institutional, clinician, and patient considerations. Intensive Care Med. 2018; 44(4): 470-3. Doi: 10.1007/s00134-017-4908-8
10. Gatty A, Samuel SR, Alaparthi GK, Prabhu D, Upadya M, Krishnan S, et al. effectiveness of structured early mobilization protocol on mobility status of patients in medical intensive care unit. Physiother Theory Pract. 2020; 1-13. Doi: 10.1080/09593985.2020.1840683
Parry SM, Denehy L, Beach LJ, Berney S, Williamson HC, Granger CL. Functional outcomes in ICU - what should we be using? - an observational study. Crit Care. 2015; 19(1): 127. Doi: 10.1186/s13054-015-0829-5
Parry SM, Granger CL, Berney S, Jones J, Beach L, El-Ansary D, et al. Assessment of impairment and activity limitations in the critically ill: a systematic review of measurement instruments and their clinimetric properties. Intensive Care Med. 2015; 41(5):744-62. Doi: 10.1007/s00134-015-3672-x
Perme C, Nawa RK, Winkelman C, Masud F. A tool to assess mobility status in critically ill patients: the Perme Intensive Care Unit Mobility Score. Methodist Debakey Cardiovasc J. 2014;10(1):41-9. Doi: 10.14797/mdcj-10-1-41
Nawa RK, Lettvin C, Winkelman C, Evora PRB, Perme C. Initial interrater reliability for a novel measure of patient mobility in a cardiovascular intensive care unit. J Crit Care. 2014;29(3):475.e1-5. Doi: 10.1016/j.jcrc.2014.01.019
Pereira CS, Carvalho AT de, Bosco AD, Forgiarini Júnior LA. The Perme scale score as a predictor of functional status and complications after discharge from the intensive care unit in patients undergoing liver transplantation. Rev Bras Ter Intensiva. 2019;31(1):57-62. Doi: 10.5935/0103-507X.20190016
Ceron C, Otto D, Signorini AV, Beck MC, Camilis M, Sganzerla D, et al. The Effect of Speaking Valves on ICU Mobility of Individuals With Tracheostomy. Respir Care. 2020;65(2):144-9. Doi: 10.4187/respcare.06768
Timenetsky KT, Serpa Neto A, Lazarin AC, Pardini A, Moreira CRS, Corrêa TD, et al. The Perme Mobility Index: A new concept to assess mobility level in patients with coronavirus (COVID-19) infection. PLoS One. 2021;16(4):e0250180. Doi: 10.1371/journal.pone.0250180
Milton A, Schandl A, Soliman I, Joelsson-Alm E, van den Boogaard M, Wallin E, et al. ICU discharge screening for prediction of new-onset physical disability-A multinational cohort study. Acta Anaesthesiol Scand. 2020;64(6):789-97. Doi: 10.1111/aas.13563
Riegel B, Huang L, Mikkelsen ME, Kutney-Lee A, Hanlon AL, Murtaugh CM, et al. Early Post-Intensive Care Syndrome among Older Adult Sepsis Survivors Receiving Home Care. J Am Geriatr Soc. 2019;67(3):520-6. Doi: 10.1111/jgs.15691
Wong WT, Lai VK, Chee YE, Lee A. Fast-track cardiac care for adult cardiac surgical patients. Cochrane Database Syst Rev. 2016;9:CD003587. Doi: 10.1002/14651858.CD003587.pub3
Guest JF, Keating T, Gould D, Wigglesworth N. Modelling the annual NHS costs and outcomes attributable to healthcare-associated infections in England. BMJ Open. 2020;10(1):e033367. Doi: 10.1136/bmjopen-2019-033367
von Elm E, Altman DG, Egger M, Pocock SJ, Gøtzsche PC, Vandenbroucke JP, et al. The Strengthening the Reporting of Observational Studies in Epidemiology (STROBE) statement: guidelines for reporting observational studies. PLoS Med. 2007;4(10):e296. Doi: 10.1371/journal.pmed.0040296
American Thoracic Society/European Respiratory Society. ATS/ERS Statement on respiratory muscle testing. Am J Respir Crit Care Med. 2002;166(4):518-624. Doi: 10.1164/rccm.166.4.518
Pessoa IMBS, Houri Neto M, Montemezzo D, Silva LAM, Andrade ADD, Parreira VF. Predictive equations for respiratory muscle strength according to international and Brazilian guidelines. Braz J Phys Ther. 2014;18(5):410-8. Doi: 10.1590/bjpt-rbf.2014.0044
Miller MR, Hankinson J, Brusasco V, Burgos F, Casaburi R, Coates A, et al. Standardisation of spirometry. Eur Respir J. 2005;26(2):319-38. Doi: 10.1183/09031936.05.00034805
Pereira CA de C, Sato T, Rodrigues SC. New reference values for forced spirometry in white adults in Brazil. J Bras Pneumol. 2007;33(4):397-406. Doi: 10.1590/s1806-37132007000400008
Richards LG, Olson B, Palmiter-Thomas P. How forearm position affects grip strength. Am J Occup Ther. 1996;50(2):133-8. Doi: 10.5014/ajot.50.2.133
Novaes RD, de Miranda AS, de Oliveira Silva J, Tavares BVF, Dourado VZ. Equações de referência para a predição da força de preensão manual em brasileiros de meia idade e idosos. Fisioterapia e Pesquisa. 2009; 16: 217-22. Doi: 10.1590/s1809-29502009000300005
Winkelmann ER, Dallazen F, Bronzatti ABS, Lorenzoni JCW, Windmöller P. Analysis of steps adapted protocol in cardiac rehabilitation in the hospital phase. Rev Bras Cir Cardiovasc. 2015; 30(1):40-8. Doi: 10.5935/1678-9741.20140048
Witz K, Hinkle DE, Wiersma W, Jurs SG. Applied statistics for the behavioral sciences. J Educ Stat. 1990;15(1):84. Doi: 10.2307/1164825
Morimoto Y, Matsuo T, Yano Y, Fukushima T, Eishi K, Kozu R. Impact of sarcopenia on the progress of cardiac rehabilitation and discharge destination after cardiovascular surgery. J Phys Therapy Sci. 2021;33(3):213-21. Doi: 10.1589/jpts.33.213
Itagaki A, Saitoh M, Okamura D, Kawamura T, Otsuka S, Tahara M, et al. Factors related to physical functioning decline after cardiac surgery in older patients: A multicenter retrospective study. J Cardiol. 2019;74(3):279-83. Doi: 10.1016/j.jjcc.2019.02.020
Parry SM, Huang M, Needham DM. Evaluating physical functioning in critical care: considerations for clinical practice and research. Crit Care. 2017;21(1):249. Doi: 10.1186/s13054-017-1827-6
Jacob P, Gupta P, Shiju S, Omar AS, Ansari S, Mathew G, et al. Multidisciplinary, early mobility approach to enhance functional independence in patients admitted to a cardiothoracic intensive care unit: a quality improvement programme. BMJ Open Qual. 2021;10(3). Doi: 10.1136/bmjoq-2020-001256
Wu J, Cong X, Lou Z, Zhang M. Trend and Impact of Concomitant CABG and Multiple-Valve Procedure on In-hospital Outcomes of SAVR Patients. Front Cardiovasc Med. 2021;8:740084. Doi: 10.3389/fcvm.2021.740084
Kanejima Y, Shimogai T, Kitamura M, Ishihara K, Izawa KP. Effect of Early Mobilization on Physical Function in Patients after Cardiac Surgery: A Systematic Review and Meta-Analysis. Int J Environ Res Public Health. 2020;17(19). Doi: 10.3390/ijerph17197091
Zang K, Chen B, Wang M, Chen D, Hui L, Guo S, et al. The effect of early mobilization in critically ill patients: A meta-analysis. Nurs Crit Care. 2020;25(6):360-7. Doi: 10.1111/nicc.1245537
Wilches Luna EC, de Oliveira AS, Perme C, Gastaldi AC. Spanish version of the Perme Intensive Care Unit Mobility Score: Minimal detectable change and responsiveness. Physiother Res Int. 2021;26(1):e1875. Doi: 10.1002/pri.1875.
Evans J, Kobewka D, Thavorn K, D’Egidio G, Rosenberg E, Kyeremanteng K. The impact of reducing intensive care unit length of stay on hospital costs: evidence from a tertiary care hospital in Canada. Can J Anaesth. 2018;65(6):627-35. Doi: 10.1007/s12630-018-1087-1.
Kahn JM, Rubenfeld GD, Rohrbach J, Fuchs BD. Cost savings attributable to reductions in intensive care unit length of stay for mechanically ventilated patients. Med Care. 2008;46(12):1226-33. Doi: 10.1097/MLR.0b013e31817d9342.
Ferreira GB, Donadello JCS, Mulinari LA. Healthcare-Associated Infections in a Cardiac Surgery Service in Brazil. Braz J Cardiovasc Surg. 2020;35(5):614-8. Doi: 10.21470/1678-9741-2019-0284.
Mazzeffi M, Gammie J, Taylor B, Cardillo S, Haldane-Lutterodt N, Amoroso A, et al. Healthcare-Associated Infections in Cardiac Surgery Patients With Prolonged Intensive Care Unit Stay. Ann Thorac Surg. 2017;103(4):1165-70. Doi: 10.1016/j.athoracsur.2016.12.041.
Kasotakis G, Schmidt U, Perry D, Grosse-Sundrup M, Benjamin J, Ryan C, et al. The surgical intensive care unit optimal mobility score predicts mortality and length of stay. Crit Care Med. 2012;40(4):1122-8. Doi: 10.1097/CCM.0b013e3182376e6d.
Herridge MS, Chu LM, Matte A, Tomlinson G, Chan L, Thomas C, et al. The RECOVER Program: Disability Risk Groups and 1-Year Outcome after 7 or More Days of Mechanical Ventilation. Am J Respir Crit Care Med. 2016;194(7):831-44. Doi: 10.1164/rccm.201512-2343OC.
Iwashyna TJ. Trajectories of recovery and dysfunction after acute illness, with implications for clinical trial design. Am J Respir Crit Care Med. 2012;186(4):302-4. Doi: 10.1164/rccm.201206-1138ED.
Iwashyna TJ, Hodgson CL, Pilcher D, Bailey M, van Lint A, Chavan S, et al. Timing of onset and burden of persistent critical illness in Australia and New Zealand: a retrospective, population-based, observational study. Lancet Respir Med. 2016;4(7):566-73. Doi: 10.1016/S2213-2600(16)30098-4.
Tse L, Bowering JB, Schwarz SKW, Moore RL, Sztramko R, Barr AM. Incidence and risk factors for impaired mobility in older cardiac surgery patients during the early postoperative period. Geriatr Gerontol Int. 2015;15(3):276-81. Doi: 10.1111/ggi.12269.
Kuwata T, Shibasaki I, Ogata K, Ogawa H, Takei Y, Seki M, et al. Lung-diffusing capacity for carbon monoxide predicts early complications after cardiac surgery. Surg Today. 2019;49(7):571-9. Doi: 10.1007/s00595-019-1770-z.
Winkelmann ER, Steffens É, Windmöller P, Fontela PC, da Cruz DT, Battisti IDE. Preoperative expiratory and inspiratory muscle weakness to predict postoperative outcomes in patients undergoing elective cardiac surgery. J Card Surg. 2020;35(1):128-34. Doi: 10.1111/jocs.14355.
Rodrigues A, Da Silva ML, Berton DC, Cipriano G Jr, Pitta F, O'Donnell DE, et al. Maximal Inspiratory Pressure: Does the Choice of Reference Values Actually Matter? Chest. 2017;152(1):32-9. Doi: 10.1016/j.chest.2016.11.045.
Risom EC, Buggeskov KB, Mogensen UB, Sundskard M, Mortensen J, Ravn HB. Preoperative pulmonary function in all comers for cardiac surgery predicts mortality. Interact Cardiovasc Thorac Surg. 2019; Doi: 10.1093/icvts/ivz049.
Şimşek T, Şimşek HU, Cantürk NZ. Response to trauma and metabolic changes: posttraumatic metabolism. Ulus Cerrahi Derg. 2014;30(3):153-9. Doi: 10.5152/UCD.2014.2653.
Santos KMS, Cerqueira NML, Carvalho VO, Santana FVJ, Silva J WM, Araújo FAA, et al. Evaluation of peripheral muscle strength of patients undergoing elective cardiac surgery: a longitudinal study. Rev Bras Cir Cardiovasc. 2014;29(3):355-9. Doi: 10.5935/1678-9741.20140043.
Iida Y, Yamazaki T, Arima H, Kawabe T, Yamada S. Predictors of surgery-induced muscle proteolysis in patients undergoing cardiac surgery. J Cardiol. 2016;68(6):536-41. Doi: 10.1016/j.jjcc.2015.11.011.
Madhavan S, Chan SP, Tan WC, Eng J, Li B, Luo HD, et al. Cardiopulmonary bypass time: every minute counts. J Cardiovasc Surg. 2018;59(2):274-81. Doi: 10.23736/S0021-9509.17.09864-0.
Sumin AN, Oleinik PA, Bezdenezhnykh AV, Bezdenezhnykh NA. Factors Determining the Functional State of Cardiac Surgery Patients with Complicated Postoperative Period. Int J Environ Res Public Health. 2022;19(7). Doi: 10.3390/ijerph19074329.
Kim GR, Sun J, Han M, Park S, Nam CM. Impact of handgrip strength on cardiovascular, cancer and all-cause mortality in the Korean longitudinal study of ageing. BMJ Open. 2019;9(5):e027019. Doi: 10.1136/bmjopen-2018-027019.
Larcher B, Zanolin-Purin D, Vonbank A, Heinzle CF, Mader A, Sternbauer S, et al. Usefulness of Handgrip Strength to Predict Mortality in Patients With Coronary Artery Disease. Am J Cardiol. 2020;129:5-9. Doi: 10.1016/j.amjcard.2020.05.006.
Perry IS, Pinto LC, da Silva TK, Vieira SRR, Souza GC. Handgrip Strength in Preoperative Elective Cardiac Surgery Patients and Association With Body Composition and Surgical Risk. Nutr Clin Pract. 2019;34(5):760-6. Doi: 10.1002/ncp.10267.
Author notes
Corresponding author: Isabella Martins de Albuquerque. Department of Physiotherapy and Rehabilitation. Avenida Roraima, 1000, Cidade Universitária. Bairro Camobi, Santa Maria, RS, Brazil. ZIP: 97105-900 | + 55 (55) 3220-8234. Email: albuisa@gmail.com
Conflict of interest declaration