Artículos
Recepción: 26 Junio 2020
Aprobación: 09 Octubre 2023
DOI: https://doi.org/10.30849/ripijp.v57i2.1360
Resumen: El suicidio es considerado un problema de salud donde los adolescentes presentan mayor riesgo. Este trabajo desarrolló un método de valoración y pronóstico para el diagnóstico temprano de la ideación suicida en adolescentes escolarizados a través de técnicas multivariadas análisis de clúster y redes neuronales artificiales. Se analizaron variables relacionadas con pensamientos, planes y manifestaciones suicidas en (n=638) adolescentes. El análisis de clúster permitió identificar el 73.2% de los adolescentes con ideación suicida baja, 18.5% ideación suicida media y 8,3% con alta ideación suicida. Se diseñó una red neuronal con capacidad de clasificación correcta del 95,5%. El método propuesto tiene capacidad de discriminar y diagnosticar la ideación suicida en adolescentes escolarizados. Estos resultados buscan aportar a la construcción y desarrollo de iniciativas enfocadas a la detección temprana e intervención desde la implementación de políticas educativas y públicas para la prevención del suicidio en la adolescencia.
Palabras clave: Ideación suicida, ideas suicidas, riesgo suicida, suicidio, adolescentes, análisis multivariado.
Abstract: Worldwide, suicide is considered a health problem where adolescents are most at risk. This work developed a method to assess and predict an early diagnosis of suicidal ideation among school adolescents through multivariate techniques: cluster analysis and artificial neural networks. Variables related to suicidal thoughts, plans and manifestation were analyzed in (n=638) adolescents. Cluster analysis identified 73.2% of adolescents with low suicidal ideation, 18.5% with medium suicidal ideation and 8.3% with high suicidal ideation. A neural network was designed with a correct classification capacity of 95.5%. The proposed method can discriminate and diagnose suicidal ideation in school adolescents. These results seek to create and develop initiatives focused on early detection and intervention to implementing educational and public policies preventing suicide among adolescents.
Keywords: Suicide ideation, suicide risk, suicide, adolescents, multivariate analysis.
Introducción
Mundialmente, el suicidio es la decimoquinta causa de muerte y es un importante problema de salud pública asociado con una carga social y económica significativa (World Health Organization, 2019). Cada año, 800,000 personas aproximadamente, mueren por suicidio en todo el mundo y hay muchas más que intentan suicidarse, representando una tasa de suicidio de 11.4 por 100,000 personas (World Health Organization, 2018). Este fenómeno tiene una ocurrencia a lo largo de la vida, constituyendose como una de las principales causas de muerte en la adolescencia, y la segunda más común entre los jóvenes de 15 a 29 años (Bilsen, 2018; Salvo, Ramírez, y Castro, 2019; Soares et al., 2020).
Cabe mencionar que, la adolescencia es un periodo de la vida marcado por una gran cantidad de cambios a nivel biopsicosocial (Silva et al., 2020), que suele estar cargado de conflictos y estrés (Lachal et al., 2015) por lo que el suicidio en esta población suele ser un problema importante de salud pública (Baiden et al., 2020). Actualmente el suicidio representa el 10,4 % de las muertes por causa externa, siendo mayor a la establecida para Suramérica (7,9 %) (Organización Panamericana de la Salud, 2014).
De acuerdo con los datos existentes de muertes por suicidio en Colombia registrados por el Sistema de Información Red de Desaparecidos y Cadáveres del Instituto Nacional de Medicina Legal y Ciencias Forenses (2019) desde el año 2009 al 2018 fallecieron por esta causa de muerte 20.832 personas, lo que corresponde a un promedio anual de 2.083 casos, con una tendencia al incremento, para el año 2009 la tasa fue de 4,53 suicidios por cada 100 mil habitantes y para 2018 la tasa se ha elevado a 5,93 suicidios por 100 mil habitantes. Los departamentos que presentaron el mayor número de casos fueron: Antioquia: 416, Bogotá: 387, y Valle del Cauca: 278, seguido de Cundinamarca 170, Santander 143, y Atlántico 107. A nivel municipal se presentó el mayor número de casos de suicidio en la ciudad de Bogotá: 387 casos, seguido de Medellín 172 casos, Cali 119 casos y Barranquilla 64 casos. Esta situación se convierte en un problema de salud pública que requiere de atención prioritaria y el cumplimiento de la Política Nacional de Salud Mental (Ministerio de Salud y protección social, 2018).
Leenaars et al., (2018), sugieren que el suicidio es una conducta multidimensional, producto de la interacción entre factores genéticos, biológicos, psiquiátricos, psicológicos, sociales y culturales. Empero, no hay definiciones consensuadas sobre el comportamiento suicida (Goldney, 2016). La ideación suicida, es definida como los pensamientos que pueden variar desde sentimientos de 'no vale la pena vivir' hasta planificación concreta de un acto suicida (Barbosa et al., 2014). Diversos autores conceptúan el factor desesperanza como la acumulación de expectativas negativas del futuro, las cuales vienen acompañadas de experiencias y eventos desalentadores (Kamath et al., 2007; Kuo et al., 2004; Runeson et al., 2010). En este sentido, la ideación suicida es uno de los principales factores de riesgo que predicen el suicidio (Chen et al., 2018), junto a los antecedentes de intentos de suicidio o trastornos psiquiátricos (Haukka et al., 2008), la edad (Tidemalm et al., 2008), género (de Sá Sousa et al., 2020; Hoertel et al., 2015). Otros factores incluyen el estado de salud (Crump et al., 2014), la desesperanza (Beck et al., 1993; Primananda y Keliat, 2019), problemas de salud mental en la infancia (Sánchez-Villegas et al., 2021).
De lo anterior, esta investigación tiene como objetivo desarrollar un método de valoración y pronóstico centrado en el diagnóstico del factor de ideación suicida en adolescentes escolarizados, de lo que se desprenden las siguientes preguntas problema: ¿Cómo valorar niveles de ideación suicida en adolescentes escolares?, ¿Cómo valorar la capacidad de las variables para identificar perfiles de ideación suicida en adolescentes escolares?, ¿Cómo pronosticar el nivel de ideación suicida?; Llegados a este punto, es necesario recalcar la importancia de pronosticar la conducta suicida a través de métodos multivariados, ya que, permitirá la creación de lineamientos desde la escuela y la sociedad en aras que los actores que conforman el sistema educativo, los clínicos y los profesionales de la salud mental tengan herramientas que se enfoquen a la detección temprana y den pautas para llevar a cabo intervenciones encaminadas a la prevención del suicidio en esta etapa de la vida particular.
Análisis de Conglomerado
Esta técnica, hace parte de los métodos de análisis multivariados, permite reconocer patrones en un conjunto de datos, con el fin de clasificarlos en grupos con características similares (Peña, 2002). Según Arroyo López y Borja Medina (2018), esta técnica puede utilizarse en investigaciones en los que necesiten definir taxonomías con las mismas características subyacentes, formulación de hipótesis que relaciones grupos de variables u observaciones y en análisis confirmatorios asociados a la agrupación teórica de observaciones.
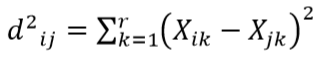
La técnica utiliza medidas de proximidad para determinar el nivel similaridad o disimilaridad de las unidades analizadas, así como criterios de eslabonamiento para la conformación de los grupos. Una medida de similaridad más utilizada es la distancia euclídea al cuadrado la cual puede ser calculada mediante la ecuación 1 con d2ij la distancia entre la muestra i y la muestra j, Xjk el valor de la muestra j en la variable k y r el número de variables y Xik el valor de la muestra i en la variable k (De la Garza García et al., 2013).
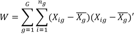
(1)Respecto a los criterios de agrupamiento, se destaca el método de Ward o método de la varianza mínima que se caracteriza por minimizar la variación de la varianza en la conformación de conglomerados, con buenos resultados en el nivel de homogeneidad de los grupos (Catena et al., 2003). El indicador W se mide mediante la suma de cuadrados de la ecuación 2, con Xig valor de la variable del individuo i en el grupo g,
el valor promedio del grupo g, ng el número de individuos del grupo g y G el número total de grupos.
(2)Redes Neuronales Artificiales
Esta técnica computacional se basa en el proceso de aprendizaje automático de un algoritmo basado en el proceso de aprendizaje de seres biológicos, con gran potencial de aplicación (Alaka et al., 2017). Por su parte, McMillan (2013) especifica la RNA como un sistema compuesto de nodos de cómputo no lineal que imitan el funcionamiento de las neuronas biológicas. En la Figura 1, se representa la estructura típica de una RNA.

En la Figura 1, la capa de entrada representa los nodos en los que ingresan datos de las variables independientes, en la capa oculta se procesan los datos de entrada y la capa de salida proporciona la salida de los resultados (variable dependiente). El algoritmo compara los resultados observados con los resultados esperados y dependiendo del nivel de error, se ajustan los pesos sinápticos para reducirlo (Caicedo y López, 2009, p.21).
Método
En este trabajo de investigación se desarrolla un método de valoración y pronóstico de niveles de ideación suicida en adolescentes escolarizados mediante técnicas de análisis multivariado. Para lo anterior, revisó la literatura y estado del arte relacionado a la ideación suicida, las técnicas de análisis de clúster y redes neuronales artificiales, para a partir de un análisis racional y empírico definir y estructurar las variables pensamientos, planes y manifestaciones suicidas asociadas al problema objeto de estudio, para lo cual se estructuró un método que integra un análisis de conglomerados para identificar los perfiles de ideación suicida, un análisis de puntuación acumulativa por perfil para definir los niveles de ideación y un modelo de Red Neuronal Artificial -RNA para pronosticar la pertenencia de individuos a niveles de ideación suicida con propósito de diagnóstico.
Participantes
La muestra estuvo constituida por 638 estudiantes (hombres y mujeres) entre los 13 y 17 años con una media de 15.2 (DE = 1.1) de edad que accedieron voluntariamente a participar del estudio, firmando su asentimiento y entregando a los investigadores el consentimiento informado de sus padres o quien hiciera las veces de su representante legal. El muestreo fue no probabilístico; el procedimiento para la detección de los participantes tuvo lugar en dos instituciones educativas públicas de la ciudad de Barranquilla y su área metropolitana, en el departamento del atlántico, Colombia. Se consideró como criterio de inclusión el ser colombiano, adolescente y estar escolarizado..
Instrumento: Escala para la evaluación del riesgo suicida (ERS)
Se trata de una escala tipo Likert, diseñada por Bahamón Muñetón y Alarcón-Vásquez, (2018) y compuesta por 20 ítems con seis opciones de respuesta donde 1 es totalmente en desacuerdo, 2 = en desacuerdo, 3 = parcialmente en desacuerdo, 4 = parcialmente de acuerdo, 5 = de acuerdo, 6 = totalmente de acuerdo. Los ítems se refieren a afirmaciones pensando en lo ocurrido en los últimos seis meses. Evalúa los siguientes factores: 1) Depresión y desesperanza, 2) Ideación, planeación y autolesión, 3) Aislamiento/Soporte social, 4) Falta de apoyo familiar. La consistencia interna total del instrumento fue de 0.934; las escalas mostraron alfa de Cronbach entre 0.71 y 0.929. Constituyendo una medida válida y confiable para la evaluación del riesgo suicida en adolescentes colombianos.
Aspectos éticos
Según la Resolución 8430 de 199329 (Ministerio de Salud, 1993), es una investigación con riesgo mínimo, ya que «se trataron aspectos sensibles del comportamiento, no representó un riesgo importante para la integridad de los participantes, en tanto no se realizó ninguna intervención física o psicológica». Además, se les indicó que la participación en el estudio no traería un beneficio directo. No obstante, tendrían información sobre los resultados del estudio.
Procedimiento
Como método de investigación en esta investigación, se siguieron las etapas indicadas en la Figura 1. Se tomó información registrada asociada a las variables objeto de esta investigación en una muestra de 638 estudiantes de secundaria en una institución educativa pública. Con los datos asociados a los factores pensamientos, planes y manifestaciones suicidas, se aplicó la técnica análisis de conglomerado utilizando el software Minitab 18 con el cual se ensayaron y analizaron diferentes criterios de medida de similitud o distancia (Euclidiano, euclidiano cuadrado, Pearson, Pearson cuadrado y Manhattan) y agrupamiento (Ward, promedio, completo, centroide e Individual) lo que permitió identificar 3 grupos o perfiles característicos en el de ideación suicida, seleccionando la combinación con mejor nivel de homogeneidad intragrupo y heterogeneidad entre grupos.

Seguidamente a partir de un análisis por perfil, se calcularon las puntuaciones acumulativas de valoración de las variables por individuo para a partir de estos resultados determinar su puntuación promedio acumulativo con lo cual se determinó los niveles bajo, medio y alto para el diagnóstico de ideación suicida en adolescentes escolares. Es importante anotar que la escala de los ítems asociados a las variables analizadas desarrolla el nivel de desacuerdo o acuerdo con el ítem o afirmación con 1 totalmente en desacuerdo y 6 totalmente de acuerdo. Se desarrolló un modelo de Red Neuronal Artificial-RNA utilizando el software IBM SPSS Statistics 25. En la estructuración de la red, se tomó como variables de entrada 6 ítems relacionados con los factores pensamientos, planes y manifestaciones suicidas, 2 capas ocultas, con función de activación tangente hiperbólica en las capas ocultas, función Sigmoide en la capa de salida y variable de salida o dependiente los niveles de riesgo de ideación suicida. En la figura 2, se muestra esquemáticamente el método para evaluar y pronosticar niveles de riesgo suicida en adolescentes escolarizados con fines diagnósticos.
Resultados
En el análisis de conglomerado, fueron evaluados diferentes criterios de agrupamiento y medidas de similaridad disponibles en el aplicativo de del software Minitab 18, observando los mejores resultados de niveles de homogeneidad intragrupo y heterogeneidad extragrupo con el criterio de agrupamiento Ward y medida de similitud la distancia euclidiana cuadrada con 3 conglomerados, como se puede observar en el dendograma de riesgo suicida en adolescentes escolarizados de la figura 3.

En la Tabla 1 se muestran los resultados de partición final del análisis de conglomerados con 467 observaciones que caracterizan el perfil 1, 118 observaciones en el perfil 2 y 53 observaciones en el perfil 3. La distancia promedio desde el centroide muestra un valor de 2,32 representativa del nivel de homogeneidad intragrupo.

En la Tabla 2 se presentan los resultados en el promedio de puntuación acumulada de las variables por perfil, así como el nivel varianza y resultados de las distancias entre centroides, con nivel de distancia promedio de 5,56 lo cual es representativo del nivel de heterogeneidad extragrupo de los perfiles. Lo anterior permitió clasificar la ideación suicida en nivel bajo, medio y alto en función de la puntuación promedio obtenida por los 3 perfiles, siendo mayor la ideación suicida tanto mayor sea su puntuación.

En la Tabla 3, se resumen las características de los perfiles riesgo suicida atendiendo a factores sociodemográficos.

Del análisis de los factores sociodemográficos, se concluye que existe prevalencia de ideación suicida en la población femenina, mientras que el riesgo bajo prevalece en la población masculina. En la tabla 4, se muestra la valoración promedio de las variables de ideación suicida, las cuales caracterizan los perfiles identificados en el análisis de clúster, y establecen niveles de riesgo de ideación suicida.

En la figura 4 es posible observar que: el Perfil 1: Se compone del 73,2% de los adolescentes, con valoración de las variables analizadas entre 1,1 y 1,2, lo que demuestra en general, estudiantes con síntomas nulos de ideación suicida, lo que se puede categorizar en un perfil sin riego; el Perfil 2: Este grupo se compone del 18,5% de la población objeto de estudio, con valoración promedio entre 1,8 y 3,0 de las variables asociadas a ideación suicida, lo que denota una población con ideación suicida, que se puede categorizar como perfil de riesgo bajo; el Perfil 3: Este grupo lo conforma el 8,3% de la población, con puntuación promedio de las variables de ideación suicida entre 3,9 y 4,7. Lo anterior se categoriza en un nivel de perfil de riesgo alto, en el que se manifiestan pensamientos y acciones asociados a la ideación suicida en adolescentes escolarizados.

Para pronosticar y diagnosticar el nivel de riesgo suicida en adolescentes escolarizados, se procedió a establecer una Red Neuronal Artificial - RNA. Lo anterior, implicó identificar una arquitectura de red y definir condiciones de entrenamiento y aprendizaje. A continuación, se detallan los pasos para el diseño de la RNA.
Paso 1. Selección de factores y variable dependiente
Con los resultados del análisis de conglomerados, se establecieron como predictores o variables independientes factores asociados a pensamientos, planes y manifestaciones suicidas que potencialmente pueden pronosticar la pertenencia de los individuos a niveles de la variable dependiente: perfil suicida identificados en el análisis de clúster.
En la RNA, se establecen capas de entrada (variable independiente) y capa de salida (variable dependiente) así:
Capa de salida: Yij: Perfil suicida.
Capa de entrada:
Fj: factores que determinan Ideación suicida j=1, …, 6.
V1: Ha pensado en quitarse la vida
V2: Ha pensado en la muerte como única manera de terminar con su sufrimiento
V3: Ha planeado como quitarse la vida
V4: Ha intentado quitarse la vida alguna vez
V5: Ha realizado acciones para no seguir viviendo
V6: Se ha lastimado o herido intencionalmente.
Paso 2. Codificación de variables
La variable dependiente Yij, (perfil suicida) se codificó por su naturaleza en nominal, con tres niveles de salida: Perfil 1, Perfil 2 y Perfil 3. Las variables independientes se codificaron de escala, compuestas por las variables V1, V2, V3, V4, V5 y V6 representados en una escala de 1 a 6 la cual va de totalmente en desacuerdo (1) a totalmente de acuerdo (6).
Paso 3. Diseño de la red
En el diseño de la red se adoptó una arquitectura de red RNA mediante un perceptrón multicapa con dos capas ocultas en la capa de entrada y función de activación Tangente Hiperbólica, una capa de salida con función de activación Sigmoide, función de error suma de cuadrados, tipo de entrenamiento por lote y algoritmo de optimización gradiente conjugado escalado. Para el proceso de entrenamiento, prueba y reserva asociado a una RNA, se asignó aleatoriamente las 638 observaciones, así: 60% a la muestra de prueba, 20% a la muestra de prueba y 20% a la muestra de reserva.
Paso 4. Clasificación del modelo
En el proceso de clasificación del modelo de red neuronal artificial de los 638 individuos que hicieron parte de la investigación, 375 individuos se seleccionaron al azar para la muestra de entrenamiento, siendo clasificados correctamente 269 en el perfil 1, 72 en el perfil 2 y 27 en el perfil 3, con lo que se alcanzó un 98,1% de clasificación correcta. Así mismo, 134 individuos formaron la muestra de prueba, siendo clasificados correctamente 100 en el perfil1,19 en el perfil 2 y 8 en el perfil3, con 94,8% de clasificación correcta. Por último, de los 129 individuos de la muestra de reserva, 92 se clasificaron en el perfil 1, 17 en el perfil 2, y 13 en el perfil 3, con un 94,6% de clasificación correcta. Lo anterior, demuestra la capacidad del modelo de RNA para clasificar la pertenencia de individuos en los grupos o perfiles característicos de ideación suicida a partir de las variables V1, V2, V3, V4, V5 V6, lo cual puede ser usado en la identificación y diagnóstico de pacientes con riesgo suicida. Los resultados anteriores se sintetizan en la Tabla 5.

Paso 5. Importancia de los predictores
Seguidamente se realizó un análisis de susceptibilidad, con el cual se establece la importancia de las variables predictoras (independiente) del modelo. El análisis de susceptibilidad permite establecer que tanto influye esta variable independiente en la clasificación correcta de una observación en la variable dependiente
La importancia normalizada es un indicador de la jerarquía de la influencia de las variables predictoras, se obtiene de dividir los valores de importancia por el mayor valor porcentaje de importancia. Lo anterior, también puede utilizarse para evaluar la permanencia de una variable en el modelo, y con esto mejorar su capacidad predictiva.
En la Tabla 6, se muestra la importancia normalizada de las variables independientes en el proceso de clasificación de la RNA. Identificándose como variables más importantes para clasificar en el modelo, las variables V5 (acciones suicidas) con 98,4% de importancia normalizada y V1 (pensamientos suicidas) con 77% de importancia normalizada.

Discusión
La ideación, el riesgo y el intento suicida en adolescentes incluye una combinación de factores como la vulnerabilidad genética, la presencia de trastornos psiquiátricos, adversidad en la vida, factores familiares, sociales y culturales (Hawton et al., 2012; Kann et al., 2018). Independientemente de la edad, identificar a los individuos que tendrán un intento de suicidio sigue siendo un desafío (Mayes et al., 2020). Así pues, son pocos los recursos con que se cuenta actualmente para la evaluación y detección temprana del riesgo suicida en población latina (Agerbo et al., 2002; Villacieros et al., 2016). Por lo tanto, la predicción del comportamiento suicida futuro sigue siendo problemática a lo largo de la vida, pero es particularmente relevante en los adolescentes, donde el suicidio es una de las principales causas de muerte.
Teniendo en cuenta lo mencionado, el presente estudio tuvo como objetivo desarrollar un método de valoración y pronóstico de niveles de ideación suicida en adolescentes escolarizados mediante técnicas de análisis multivariado. Como resultados, es necesario mencionar que, el método propuesto en esta investigación logró identificar tres niveles de ideación suicida en los que se observó la prevalencia de un nivel bajo de riesgo en los adolescentes participantes. Empero, existe mayor riesgo suicida en la población femenina, mientras que el riesgo bajo prevalece en la población masculina, lo cual es consistente con los resultados reportados en otros estudios (An et al., 2010; Baiden et al., 2017; Bakken et al., 2012; Chiu et al., 2017; Lee et al., 2019; Wang et al., 2011) y específicamente en la costa caribe colombiana por (Nuñez Ariza et al., 2020) quienes manifiestan que es mayor la prevalencia de ideación suicida en mujeres en comparación con los hombres. Sin embargo, cabe destacar que otros estudios han encontrado que los hombres tienen más probabilidades de intentar suicidarse (Bozzay et al., 2014; Courtet, 2016).
Conclusiones
El procedimiento propuesto en este trabajo de investigación se sustenta en el análisis y combinación sistemática de la técnica de análisis de conglomerados o clúster y las redes Neuronales Artificiales, el cual proporciona un nuevo campo de estudio de factores asociados al riesgo suicida que complementa a estudios tradicionales. Los resultados comprueban la relevancia que tiene el análisis de clúster para identificar grupos de adolescentes con ideación suicida, con lo cual se establecen criterios y métodos para identificar perfiles que caractericen y valoren este fenómeno en adolescentes escolarizados en Colombia. Así mismo, la técnica de Redes Neuronales Artificiales, mostró un alto nivel de diagnóstico correcto (94,6%) para identificar y clasificar individuos adolescentes en los perfiles de ideación suicida identificados en el análisis de conglomerados, con lo cual se proporciona una herramienta valiosa cuando se desea analizar grupos en riesgo latente de suicidio. Es importante anotar que con en este trabajo de investigación, se proporciona a la comunidad científica e instituciones de educación un método útil para evaluar y diagnosticar tempranamente la ideación suicida en adolescentes escolares, facilitando el diseño de programas diferenciados de atención y tratamiento de adolescentes, así como al desarrollo de políticas, planes y programas gubernamentales para su atención, teniendo en cuenta su prevalencia en jóvenes adolescentes, sus dificultades interpersonales y de comportamiento (Kyron et al., 2020). Los resultados de este trabajo complementan otras investigaciones como las de Navarro-Obeid, et al., (2021) que aplican estas técnicas multivariadas para analizar otros tipos de patologías y las de Reyes-Ruiz et al., (2019), Valdivia et al., (2015), Sánchez-Loyo et al., (2014) y Sánchez-Sosa et al., (2010) que analizan el riesgo de suicidio en adolescentes mediante otras metodologías.
Agradecimientos
Agradecimientos: el presente estudio contó con el apoyo técnico y financiero del Ministerio de Ciencia, Tecnología e Innovación – Colciencias y la Gobernación del Atlántico, desde la convocatoria 809: Formación de Capital Humano de Alto Nivel para las Regiones – Atlántico 2018 en la modalidad de Maestría Nacional, COLFUTURO y la Universidad Simón Bolívar en Barranquilla, Colombia.
Referencias
Agerbo, E., Nordentoft, M., y Mortensen, P. B. (2002). Familial, psychiatric, and socioeconomic risk factors for suicide in young people: Nested case-control study. British Medical Journal, (325), 1-5. https://doi.org/10.1136/bmj.325.7355.74
Alaka, H., Oyedele, H., Owolabi, A., Kumar, O., Akinade, y Bilal, M. (2017). Systematic Review of Bankruptcy Prediction Models: Towards a Framework for Tool Selection. Expert Systems with Applications, (94), 164-184.
An, H., Ahn, J. H., y Bhang, S. Y. (2010). The association of psychosocial and familial factors with adolescent suicidal ideation: A population-based study. Psychiatry Research, 177(3), 318–322. https://doi.org/10.1016/j.psychres.2010.03.007
Arroyo López, P. E., y Borja Medina, J. C. (2018). Análisis multivariante para la inteligencia de mercados (Editorial Digital, Ed.). Instituto Tecnológico y de Estudios Superiores de Monterrey.
Bahamón Muñetón, M. J., y Alarcón-Vásquez, Y. (2018). Diseño y validación de una escala para evaluar el Riesgo Suicida (ERS) en adolescentes colombianos. Universitas Psychologica, 17(1), 1-15. https://doi.org/10.11144/Javeriana.upsy17-4.dvee
Baiden, P., Stewart, S. L., y Fallon, B. (2017). The mediating effect of depressive symptoms on the relationship between bullying victimization and non-suicidal self-injury among adolescents: Findings from community and inpatient mental health settings in Ontario, Canada. Psychiatry research, 255, 238–247. https://doi.org/10.1016/j.psychres.2017.05.018
Baiden, P., Tadeo, S. K., Tonui, B. C., Seastrunk, J. D., y Boateng, G. O. (2020). Association between insufficient sleep and suicidal ideation among adolescents. Psychiatr research, 287, 112579. https://doi.org/10.1016/j.psychres.2019.112579
Bakken, N. W., y Gunter, W. D. (2012). Self-Cutting and Suicidal Ideation among Adolescents: Gender Differences in the Causes and Correlates of Self-Injury. Deviant Behavior, 33(5), 339-356. https://doi.org/10.1080/01639625.2011.584054
Barbosa, L. P., Quevedo, L., da Silva, G.delG., Jansen, K., Pinheiro, R. T., Branco, J., Lara, D., Oses, J., & da Silva, R. A. (2014). Childhood trauma and suicide risk in a sample of young individuals aged 14-35 years in southern Brazil. Child abuse & neglect, 38(7), 1191–1196. https://doi.org/10.1016/j.chiabu.2014.02.008
Beck, A. T., Steer, R. A., Beck, J. S., y Newman, C. F. (1993). Hopelessness, Depression, Suicidal Ideation, and Clinical Diagnosis of Depression. Suicide and Life‐Threatening Behavior, 23(2), 139–145. https://doi.org/10.1111/j.1943-278X.1993.tb00378.x
Bilsen J. (2018). Suicide and Youth: Risk Factors. Frontiers in psychiatry, 9, 540. https://doi.org/10.3389/fpsyt.2018.00540
Bozzay, M. L., Liu, R. T., & Kleiman, E. M. (2014). Gender and age differences in suicide mortality in the context of violent death: findings from a multi-state population-based surveillance system. Comprehensive psychiatry, 55(5), 1077–1084. https://doi.org/10.1016/j.comppsych.2014.03.017
Caicedo, E., y López, J. (2009). Una Aproximación Práctica a las Redes Neuronales Artificiales (Priera). Programa Editorial Universidad del Valle.
Catena, A., Ramos, M., y Trujillo, H. (2003). Análisis multivariado. Un manual para investigadores. Biblioteca Nueva, Ed.
Chen, R., An, J., & Ou, J. (2018). Suicidal behaviour among children and adolescents in China. The Lancet. Child & adolescent health, 2(8), 551–553. https://doi.org/10.1016/S2352-4642(18)30170-6
Chiu, Y. C., Tseng, C. Y., & Lin, F. G. (2017). Gender differences and stage-specific influence of parent-adolescent conflicts on adolescent suicidal ideation. Psychiatry research, 255, 424–431. https://doi.org/10.1016/j.psychres.2017.06.077
Courtet, P. (2016). Understanding Suicide: From Diagnosis to Personalized Treatment. Springer. https://doi.org/10.1007/978-3-319-26282-6
Crump, C., Sundquist, K., Sundquist, J., & Winkleby, M. A. (2014). Sociodemographic, psychiatric and somatic risk factors for suicide: a Swedish national cohort study. Psychological medicine, 44(2), 279–289. https://doi.org/10.1017/S0033291713000810
De la Garza García, J., Morales Serrano, B. N., González Cavazos, B. A., y León Cázares, F. (2013). Análisis estadístico multivariable: un enfoque teórico y práctico. McGraw Hill Education.
de Sá Sousa, C. M. S., Mascarenhas, M. D. M., Gomes, K. R. O., Rodrigues, M. T. P., Miranda, C. E. S., & Frota, K. M. G. (2020). Suicidal ideation and associated factors among high school adolescents. Revista de saude publica, 54, 33. https://doi.org/10.11606/s1518-8787.2020054001637
Goldney R. D. (2016). Suicide prevention: The role of the psychiatrist. The Australian and New Zealand journal of psychiatry, 50(1), 95–96. https://doi.org/10.1177/0004867415595718
Haukka, J., Suominen, K., Partonen, T., & Lönnqvist, J. (2008). Determinants and outcomes of serious attempted suicide: a nationwide study in Finland, 1996-2003. American journal of epidemiology, 167(10), 1155–1163. https://doi.org/10.1093/aje/kwn017
Hawton, K., Saunders, K. E., & O'Connor, R. C. (2012). Self-harm and suicide in adolescents. Lancet (London, England), 379(9834), 2373–2382. https://doi.org/10.1016/S0140-6736(12)60322-5
Hoertel, N., Franco, S., Wall, M. M., Oquendo, M. A., Kerridge, B. T., Limosin, F., & Blanco, C. (2015). Mental disorders and risk of suicide attempt: a national prospective study. Molecular psychiatry, 20(6), 718–726. https://doi.org/10.1038/mp.2015.19
Instituto Nacional de Medicina Legal y Ciencias Forenses. (2019). FORENSIS 2018 datos para la vida. Grupo Centro de Referencia Nacional sobre Violencia. https://www.medicinalegal.gov.co/documents/20143/386932/Forensis+2018.pdf
Kamath, P., Reddy, Y. C., & Kandavel, T. (2007). Suicidal behavior in obsessive-compulsive disorder. The Journal of clinical psychiatry, 68(11), 1741–1750. https://doi.org/10.4088/jcp.v68n1114
Kuo, W. H., Gallo, J. J., & Eaton, W. W. (2004). Hopelessness, depression, substance disorder, and suicidality--a 13-year community-based study. Social psychiatry and psychiatric epidemiology, 39(6), 497–501. https://doi.org/10.1007/s00127-004-0775-z
Kyron, M. J., Carrington-Jones, P., Page, A. C., Bartlett, J., y Lawrence, D. (2020). Factors differentiating adolescents who consider suicide and those who attempt: Results from a National Survey of Australian Adolescents. Australian Journal of Psychology, 72(2), 145-155. https://doi.org/10.1111/ajpy.12267
Lachal, J., Orri, M., Sibeoni, J., Moro, M. R., & Revah-Levy, A. (2015). Metasynthesis of youth suicidal behaviours: perspectives of youth, parents, and health care professionals. PloS one, 10(5), e0127359. https://doi.org/10.1371/journal.pone.0127359
Lee, Y. J., Lee, S. I., & Han, K. (2019). Influence of parental stress, depressed mood, and suicidal ideation on adolescents' suicidal ideation : The 2008-2013 Korean National Health and Nutrition Examination Survey. Journal of affective disorders, 246, 571–577. https://doi.org/10.1016/j.jad.2018.12.097
Leenaars, A. A., Dieserud, G., Wenckstern, S., Dyregrov, K., Lester, D., y Lyke, J. (2018). A Multidimensional Theory of Suicide: A Psychological Autopsy Corroborative Study. Crisis, 39, 416-427. https://doi.org/10.1027/0227-5910/a000508
Mayes, T. L., Killian, M., Rush, A. J., Emslie, G. J., Carmody, T., Kennard, B. D., Jha, M. K., King, J., Hughes, J. L., & Trivedi, M. H. (2020). Predicting future suicidal events in adolescents using the Concise Health Risk Tracking Self-Report (CHRT-SR). Journal of psychiatric research, 126, 19–25. https://doi.org/10.1016/j.jpsychires.2020.04.008
McMillan, G. (2013). Process/Industrial Instruments and Controls Handbook. Mc.Graw Hill.
Ministerio de Salud y Protección Social. (1993). Resolución 8430 de 1993. República de Colombia. https://www.minsalud.gov.co/sites/rid/lists/bibliotecadigital/ride/de/dij/resolucion-8430-de-1993.pdf
Ministerio de Salud y Protección Social. (2018). Resolución 4886 de 2018. Política Nacional de Salud Mental. República de Colombia. https://www.alcaldiabogota.gov.co/sisjur/normas/Norma1.jsp?i=93348
Navarro-Obeid, J., De la hoz-Granadillo, E., y Vergara-Álvarez, M. (2021). Assessment and classification of positive mental health profiles in confinement by COVID-19. Revista Habanera de Ciencias Médicas, 20(1), 1-19. http://www.revhabanera.sld.cu/index.php/rhab/article/view/3441
Nuñez Ariza, A., Reyes-Ruiz, L., Sánchez-Villegas, M., Carmona Alvarado, F., Acosta-López, J., y Moya-De Las Salas, E. (2020). Ideación suicida y funcionalidad familiar en adolescentes del Caribe Colombiano. AVFT Archivos Venezolanos de Farmacología y Terapéutica, 39(1), 109–116.
Organización Panamericana de la Salud. (2014). Mortalidad por suicidio en la Región de las Américas. Informe regional 2010-2014. Organización Mundial de la Salud y Organización Panamericana de la Salud. http://www.paho.org/hq/index.php?option=com_contentyview=articleyid=10114%3Anew-paho-report-more-than-7-suicides-per-hour-in-the-americasyItemid=1926ylang=es
Peña, D. (2002). Análisis de datos multivariantes. Mcgraw-Hill/Interamericana de España.
Primananda, M., y Keliat, B. A. (2019). Risk and Protective Factors of Suicidal Ideation in Adolescents. Comprehensive Child and Adolescent Nursing, 4(1), 179-188. https://doi.org/10.1080/24694193.2019.1578439
Reyes-Ruiz, L., De La Hoz Granadillo, E., y Carmona Alvarado, F. (2019). Método para identificar y pronosticar riesgo suicida perfiles de en adolescentes mediante técnicas de análisis de conglomerado y red neuronal artificial. AVFT – Archivos Venezolanos de Farmacología y Terapéutica, 38(2), 115-120.
Runeson, B., Tidemalm, D., Dahlin, M., Lichtenstein, P., & Långström, N. (2010). Method of attempted suicide as predictor of subsequent successful suicide: national long term cohort study. BMJ (Clinical research ed.), 341, c3222. https://doi.org/10.1136/bmj.c3222
Sánchez-Loyo, L., Morfín, T., García, J., Quintanilla, R., Hernández, H., Contreras, E., y Cruz, J. (2014). Intento de suicidio en adolescentes mexicanos: perspectiva desde el consenso cultural. Acta de Investigación Psicológica, 4(1), 1446-1458. https://doi.org/10.1016/S2007-4719(14)70386-2
Sánchez-Sosa, J. C., Villarreal-González, M. E., Musitu, G., y Martinez Ferrer, B. (2010). Ideación Suicida en Adolescentes: Un Análisis Psicosocial. Psychosocial Intervention, 19(3), 279-287. https://doi.org/10.5093/in2010v19n3a8
Sánchez-Villegas, M., Reyes-Ruiz, L., Taylor, L.K., Pérez-Ruíz, N.A. and Carmona-Alvarado, F.A. (2021). Mental health problems, family functioning and social support among children survivors of Colombia’s armed conflict. Journal of Aggression, Conflict and Peace Research, (13),1, 61-72. https://doi.org/10.1108/JACPR-08-2020-0535
Silva, A. R., Relva, I. C., & Simões, A. M. (2020). Impact of attachment and traits of psychopathy on addictive behaviors of adolescents. Revista Interamericana De Psicología/Interamerican Journal of Psychology, 54(1), e1161. https://doi.org/10.30849/ripijp.v54i1.1161
Soares, F. C., Hardman, C. M., Rangel Junior, J. F. B., Bezerra, J., Petribú, K., Mota, J., de Barros, M. V. G., & Lima, R. A. (2020). Secular trends in suicidal ideation and associated factors among adolescents. Revista brasileira de psiquiatria (Sao Paulo, Brazil : 1999), 42(5), 475–480. https://doi.org/10.1590/1516-4446-2019-0783
Tidemalm, D., Långström, N., Lichtenstein, P., & Runeson, B. (2008). Risk of suicide after suicide attempt according to coexisting psychiatric disorder: Swedish cohort study with long term follow-up. BMJ (Clinical research ed.), 337, a2205. https://doi.org/10.1136/bmj.a2205
Valdivia, M., Silva, D., Sanhueza, F., Cova, F., y Melipillán, R. (2015). Prevalencia de intento de suicidio adolescente y factores de riesgo asociados en una comuna rural de la provincia de Concepción. Rev Med Chile, (143), 320-328.
Villacieros, M., Bermejo, J. C., Magaña, M., & Fernández-Quijano, I. (2016). Psychometric Properties of the Attitudinal Beliefs Questionnaire about Suicidal Behavior (CCCS-18). The Spanish journal of psychology, 19, E68. https://doi.org/10.1017/sjp.2016.68
Wang, R. H., Lai, H. J., Hsu, H. Y., & Hsu, M. T. (2011). Risk and protective factors for suicidal ideation among Taiwanese adolescents. Nursing research, 60(6), 413–421. https://doi.org/10.1097/NNR.0b013e3182337d83
World Health Organization. (2018). Preventing suicide: a community engagement toolkit. World Health Organization. https://iris.who.int/handle/10665/272860.
World Health Organization. (2019). Suicide data: Key facts. World Health Organization. https://www.who.int/news-room/fact-sheets/detail/suicide
Notas de autor
1 Correspondence about this article should be addressed Milgen Sanchez-Villegas:milgen.sanchez@unisimon.edu.co
Declaración de intereses