Artículos
Crisis, Employment and Inequality in Latin America: A National and Regional Analysis between Mexico, Brazil and Ecuador
Crisis, empleo y desigualdad en América Latina: Una comparación entre México, Brasil y Ecuador
Crisis, Employment and Inequality in Latin America: A National and Regional Analysis between Mexico, Brazil and Ecuador
Investigaciones Regionales - Journal of Regional Research, no. 43, pp. 129-147, 2019
Asociación Española de Ciencia Regional

Received: 24 April 2018
Accepted: 13 February 2019
Abstract: The global economic crisis in 2008 impacts Latin America in a context in which a group of progressive governments had succeeded in managing the destiny of their countries. This paper analyses, at subnational level, the experiences of three countries, in the areas of employment and income inequality: Brazil and Ecuador, in which economic policies were reoriented towards a strong social approach, and which are compared with Mexico, a nation in which the Neo-liberal model was reinforced. The results enable to highlight that while inequality in wage income has been reduced in all those countries as a whole, that has not been the case for specific regions of those nations.
Keywords: Crisis, Wages, Polarization, Regional Inequality.
Resumen: La crisis económica en 2008 se presenta en América Latina en un contexto en el cual un grupo de gobiernos progresistas han logrado el manejo del destino de sus países. En este trabajo se analizan a nivel subnacional las experiencias de tres países en el área de empleo y desigualdad del ingreso; Brasil y el Ecuador en los cuales se reorientó la política económica dándole un contenido social y son comparados con México, nación en la cual se reforzó el modelo neoliberal. Los resultados permiten señalar que, si bien la desigualdad en el ingreso salarial se ha reducido, no es así para regiones específicas de dichas naciones.
Palabras clave: Crisis, Salarios, Polarización, Desigualdad Regional.
1. Introduction
The economic crisis in Latin America, triggered by the effects of the 2007 burst of the speculative bubble in the United States, should be seen as another chapter of the 1990s crisis that led to stagnation, increased poverty and precarious work in the region (Green, 2003). The recent crisis differs from that of the 90s because the region, traditionally dominated by neo-liberal conservative governments, was in a context in which leftist and/or progressive governments (with active social policies) had assumed power in several countries of the area. This development had completely changed the political landscape of Latin America (Rosnick and Weisbrot, 2014). It has been widely documented that this political transformation resulted in previously unseen levels of growth and above all, in the reduction of poverty in the area (Cornia: 2010, 2012). The mechanisms operating to reduce inequality in any economy are commonly known: the Welfare State, expansion of transfers, increasing wage share, reduction of wealth concentration and the creation of strong institutions of labour and social protection (Piketty, 2015; Atkinson, 2016).
The most profound political changes occurred with the electoral victories of the following presidents: Hugo Chávez in Venezuela, on February 2, 1999; Lula da Silva in Brazil, on January 1, 2003; Néstor Kirchner in Argentina, on May 25, 2003; Tabaré Vázquez in Uruguay, on March 1, 2005; Evo Morales in Bolivia, January 22, 2006; and Rafael Correa of Ecuador, on January 15, 2007.
While it is documented that countries in which social policies have been implemented have succeeded in reducing inequality, most of that evidence has a macroeconomic dimension (Huber & Stephens, 2012). There has not been an analysis of what has happened in the internal regions of these economies. Therefore, this work performs a subnational examination of the processes of regional inequality.
The discussion on inequality in its territorial or regional dimension has been theoretically dominated by the neoclassical growth model (Solow, 1956). According to this model, regions with different levels of development will tend, over time, to converge in their income levels (Barro, 1991; Sala-i-Martin, 1996; Rosende, 2000; Sánchez, 2009; Maier and Trippl, 2009;). The aim of several works was to test the convergence hypothesis; (Garnick, 1990), (Blanchard and Katz, 1992), (Carlino, 1992), (Mallick, 1993), (Crihfield and Panggabean, 1995), (Glaeser, Scheinkman and Shleifer, 1995), (Drennan, 1996), (Vohra, 1996) and (Drennan and Lobo, 1999). Nevertheless, one of the main critical contributions to the study of territorial inequality processes postulates the existence of convergence clubs, that is, clustering of inequality reduction processes in specific ´poles of concentration` (Ben-David, 1994), (Quah, 1996) and (Galor, 1996).
In this paper, the approach of “Poles of Concentration” is followed. Wage income at subnational level is analysed, contrasting the Brazilian and Ecuadorian experience, which are two countries considered to be the most significant examples of the turn to progressive policies, and the Mexican case which stands out as the strongest market-oriented economy in the region. For both groups of countries, the objective is to analyse what happened to inequality in the period following the 2008 crisis and to show its expression in the internal regions of those countries, as an initial step to understand the economic and institutional mechanisms that lie behind the inequality trajectories of each country.
The perspective of analysis in the paper is subnational, based on the idea that the crisis is a phenomenon that, albeit generalized, expresses itself heterogeneously within each nation. According to (Harvey, 2007), economic crises have a fundamental spatial expression, which translates into a reconfiguration of the economic geography of countries and regions.
The first section analyses the economic evolution of the three countries in the Latin American context. The second section presents the indices to be used in the empirical analysis and the third section discusses the results obtained. The paper ends with some concluding remarks and points out several questions that need to be responded by future research.
2. Recent economic performance
Table 1 shows the economic performance of the main Latin American countries. In the first period of the 1990s crisis, nearly all countries, most notably Uruguay, Venezuela and Argentina showed a dynamics of relatively slow growth. However, after 2003 there was a rapid recovery for nearly all countries in the region, reaching growth rates higher than those of the previous period, except for Chile and Mexico whose economic performance was lower than that of the previous period.
| Country | 1991-2001 | 2003-2014 | 2003-2008 | 2008-2014 |
| Argentina | 1,30 | 5,36 | 4,63 | 3,60 |
| Brazil | 2,67 | 3,59 | 2,95 | 2,62 |
| Chile | 5,59 | 4,22 | 3,03 | 3,66 |
| Colombia | 2,63 | 4,80 | 3,36 | 4,28 |
| Ecuador | 2,19 | 4,73 | 3,26 | 4,28 |
| Mexico | 2,83 | 2,59 | 2,09 | 1,95 |
| Peru | 3,91 | 6,03 | 4,49 | 5,01 |
| Uruguay | 1,02 | 5,92 | 4,46 | 4,84 |
| Venezuela | 0,50 | 4,81 | 6,39 | 0,34 |
The foundation of the economic recovery since 2003, has been mainly attributed to a revival of consumption and investment which occurred due to changes in the political scenario of most of these countries as well as the rise to power of progressive governments that started to drive active countercyclical policies and to promote job creation and wage recovery (Salas and Santos, 2011) (Weisbrot, 2015) and (Bertola and Ocampo, 2010). Exceptions were nations in which a neo-liberal market-oriented vision predominated such as Chile, Colombia, Mexico and Peru.
It is also possible to observe from table 1, the GDP performance in the periods before and after the crisis. The results reveal that again, after the crisis, most of the countries of the region tended to recover quickly, except for Mexico, Venezuela and Brazil. The acute loss of dynamism of the Mexican case is related to the importance of its export sector and its strong reliance on the growth cycle of the U.S. economy, to which it directs more than 80% of its foreign sales. Economic stagnation in Venezuela has more to do with the country’s lack of diversification of production and its dependence on oil exports, which suffered a severe setback due to the sharp drop in oil prices in the period. The Peruvian evolution of GDP is the result of a boom in the international mineral markets.
When considering the evolution of GDP per capita, we can get a first approximation of the welfare of the countries considered. Figure 1 shows that in all cases, these indices revealed a positive performance, with the incomes per capita of Chile, Peru and Uruguay doubling in the period.
The reinforcement of investment processes is the basis for better development of Latin American economies. Table 2 clearly shows that until 2008, investment in the region had accelerated, again with the clear exception of Mexico. After the 2008 crisis, investment recovered its share of the GDP, specifically in the cases of Ecuador, Colombia, Peru and Venezuela, where it achieved more than 25% of the GDP share. This, according to CEPAL, is the threshold needed to guarantee growth rates above 3% in production.
In general, the main macroeconomic indices show favourable results for the growth dynamics of the main economies in Latin America with improvements in their welfare levels. However, we know that GDP per capita is a limited index insofar as it does not reflect the distribution of income or the evolution of inequality within economies. Therefore, the following section will present indices that give a better perspective of what has happened in the region1. We take as representative cases, those of the two largest economies in Latin America, Brazil and Mexico, where contrasting economic and social policy measures were taken (Salas and Santos, 2011). The case of Ecuador is also included, which is a small country, but in which heterodox policies were applied with a greater centrality of state action. In this way, the study of these three economies allows us to examine a representative mosaic of regional inequality in Latin America.

| Country | 2000 | 2003 | 2008 | 2010 | 2011 | 2012 | 2013 | 2014 |
| Argentina | 16,9 | 13,6 | 21,0 | 19,1 | 19,7 | 17,0 | 18,5 | 19,5 |
| Brazil | 18,9 | 16,9 | 21,6 | 21,8 | 21,8 | 21,4 | 21,7 | 20,1 |
| Chile | 19,8 | 20,2 | 24,7 | 21,0 | 22,4 | 24,1 | 23,8 | 22,0 |
| Colombia | 14,1 | 18,1 | 23,1 | 21,9 | 23,6 | 23,7 | 24,1 | 25,5 |
| Mexico | 23,3 | 20,6 | 23,1 | 21,2 | 21,8 | 22,4 | 21,2 | 21,0 |
| Peru | 19,7 | 16,9 | 23,4 | 23,5 | 23,3 | 25,0 | 25,5 | 24,6 |
| Uruguay | 17,4 | 12,5 | 20,6 | 19,1 | 19,1 | 22,2 | 21,8 | 21,4 |
| Venezuela | 21,0 | 15,5 | 22,1 | 18,7 | 17,7 | 20,3 | 20,0 | 25,0 |
| Ecuador | 21,3 | 19,6 | 26,4 | 28,0 | 28,1 | 27,8 | 28,8 | 28,6 |
3. Indices for measuring income inequality and polarization
Quintana-Romero and Asuad-Sanén (2012) and Quintana, Prudencio and Salas (2015) broadly discuss two groups of inequality measures which were based on the results of Ezcurra and Rodríguez-Pose (2009). The difference between these indices, from the traditional way of measuring them, lies in the fact that the region’s share is incorporated in the total population () to assess the heterogeneity across regions. Here we refer to the explanation already made of these measures in the above-mentioned works.
The first group considers point measures of inequality: coefficient of variation (, Gini index (), Entropy (()), Atkinson’s indices ().
Their different expressions are shown below.
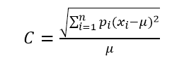
The coefficient of variation () is defined as follows:
(1)where:
= share of population of the region i in a given year
= income measure used.
The Gini index () is the ratio of the area under Lorenz curve and the line of equality:
(2)Equation (3) shows the generalized entropy index, :
(3)Equation (4) shows the Atkinson indices, A(ε):
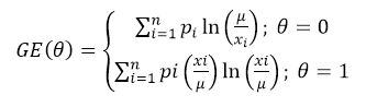
(4)The second group accounts for polarization and basically uses Esteban and Ray (1994)’s index to estimate a polarization measure across groups. The degree of polarization of a distribution f for a certain number of groups is:
(5)where:
= average income per capita of group j standardized by the sample mean
= share of population of group j in total sample
parameter reflecting sensibility to polarization.
The groups are obtained through the algorithm proposed by Davies and Shorrocks (1989) which allows to find the optimal partition of the series (p*) that minimizes the Gini index within groups so that the Esteban and Ray index in its generalized form becomes
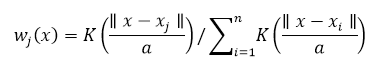
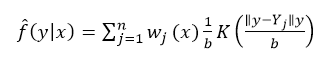
(6)As mentioned in this paper’s introductory section, the criticism made by Quah (1996) of the methods used in the validation of the hypothesis of regional economic convergence lies in the emphasis made on focusing only on the mean data and standard deviation, so one cannot identify the polarization, persistence and stratification processes. The alternative proposed by the author consists of analysing data distribution. For this reason, in this paper the indices of inequality and polarization will be complemented with a non-parametric analysis of the inequality based on Quah studies. For this purpose, the study will use the kernel estimator of conditional distribution proposed by Hyndman (1996 and 2015) and Hyndman et al. (1996), described as follows:
(7)is the kernel estimator of the conditional density
is the average income of the last year of each country, conditional to the initial year
is the kernel function
is a metric distance
b controls the smoothness of each conditional density in the y direction
is estimated from:

where controls the smoothness between conditional densities in the direction.
4. Labour, income, and inequality: some stylized facts
In the group of countries analysed, differentiated GDP growth has also been expressed in different rates of job creation. Table 3 shows that Brazil is the country with the highest growth in total employment levels and has a sectoral structure like that of Mexico in which 63% of employment is concentrated in the service sector. This contrasts with Ecuador, where there is still a significant presence of the primary sector which absorbs a quarter of the labour force. Despite the similarities noted, the differences between these economies occur in the mechanisms by which new jobs are generated. For Mexico and Ecuador, self-employment is one of the main mechanisms. In both countries, unpaid work and/or self-employment has increased, and their participation is greater than 50% of the labour force.
| Country | Year | Total Employment | Agriculture | Industry | Services |
| Brazil | 2001 | 75.458 | 15.534 | 15.066 | 44.858 |
| 2007 | 90.786 | 16.579 | 19.954 | 54.043 | |
| 2013 | 96.659 | 13.982 | 21.830 | 60.783 | |
| Ecuador | 2001 | 6.007 | 1.885 | 1.183 | 2.912 |
| 2007 | 6.221 | 1.842 | 1.138 | 3.240 | |
| 2013 | 6.736 | 1.705 | 1.375 | 3.656 | |
| Mexico | 2001 | 39.386 | 7.066 | 10.212 | 22.106 |
| 2007 | 42.907 | 5.772 | 11.033 | 25.789 | |
| 2013 | 49.296 | 6.594 | 11.637 | 30.768 |
In the countries of the region where economic policy has had a social reorientation, wage recovery has been sought with the aim of boosting the internal market and reducing poverty levels. Minimum wage appreciation policies have been a key element in this sense, as they impact both low paid workers and the income of non-wage workers, leading to a relative improvement of low income sectors. Table 4 shows the evolution of the minimum wage in the three countries considered. In both Brazil and Ecuador, the real wage level has doubled in relation to wages in 2000. This contrasts drastically with the Mexican case, where wages in 2014 are four percentage points lower than those in 2000.
| Country | 2002 | 2008 | 2009 | 2011 | 2012 | 2013 | 2014 |
| Brazil | 114,3 | 160,8 | 172,7 | 182,1 | 197,5 | 202,7 | 203,6 |
| Mexico | 101,2 | 96,2 | 94,8 | 95,9 | 95,4 | 95,8 | 95,7 |
| Ecuador | 112,5 | 146,7 | 152,0 | 170,2 | 179,1 | 190,0 | 196,1 |
It is evident from table 4 data that real minimum wages follow a countercyclical pattern in Brazil and Ecuador, especially after the crisis, whereas in Mexico they are absolutely procyclical. For this reason, it is worth to examining in more detail the wage policies of these countries, since they are one of the key factors responsible for inequality reduction.
The fact that wages in Ecuador had not declined in the face of the global economic crisis is due to public policies applied in recent years by the government. Since the beginning of the crisis in September 2008, President Correa’s government policies have focused on short-term policies to deal with the crisis and medium and long-term policies to promote a different wealth generation process from a post-neo-liberal point of view (SENPLADES, 2009). There has also been a clear countercyclical connotation that includes job creation and incentives to production through substantial public investment, followed by a progressive rise in salaried wages. The Ecuadorian government decreed three increases of basic income of workers between 2009 and 2011 (Ramírez, 2012). Thus, in the middle of the economic crisis, the real wage was compensated by 3.6%, that is, similar to the annual inflation. In the meantime, the average annual wage growth was 6% in the period 2012-2016, above the inflation shown for each one of the years of the mentioned period.
Regarding laws and regulations, since 2008 the Ecuadorian government has used minimum wages as a tool to improve wages. In fact, the 2008 Constitution states that, each year, the government must review the Unified Basic Salary (Salario Básico Unificado, SBU) established by law (Wong, 2015). The elimination of outsourcing and precariousness of labour relations are also an important part of the changes in labour issues that are specified in the Magna Carta, promoting an increase in wages in the Ecuadorian labour market.
In 2010, Ecuador established a new policy where the basic salary would increase significantly – the so-called “decent salary” – which consists of equating the SBU with the value of the basic household consumption basket. People related to domestic services, artisans, workers in small industries and agriculture were set to benefit most from this decision. The new National Plan for Good Living 2013-2017, continues with the emphasis and boost that ought to be given to fair wages and a decent salary, through the establishment of a set of policies and guidelines that allow for the fulfilment of national objectives in this area.
In the case of Brazil, the rise of Lula to power in 2003 meant the beginning of, or rather, the intensification of a set of social policies to firstly fight poverty, and further of a policy for the appreciation in real terms of the minimum wage (Salas and Santos, 2011; Salas and Manzano, 2016). Coupled with the recovery of growth and job creation, the mean wage grew significantly.
The increase in the value of the minimum wage, to which various social benefits of importance for the poorest areas of Brazil (North and Northeast regions) are linked, helped to stimulate local economies and therefore, national consumption. On the other hand, the increase in agricultural production and exports also stimulated the growth of wages in agricultural regions.
Another important element was the creation of mechanisms to increase social protection through the registeration of small businesses (the so-called “national simplified tax system”), which also improved the living and consumption conditions of millions of workers (Salas and Manzano, 2016).
In the Mexican case, the doctrine that limited wage growth to control inflation meant an average wage restraint and more strictly, the minimum wage. These facts, together with a weak growth of registered labour and a regular increase in the proportion of autonomous or employment in very small units, have impacted both poverty and inequality levels. Another additional fact that aggravated the precarious conditions of several workers was the reform of the Federal Law of Labour in 2012. Such reform legitimized the flexibilization of contracts and labour legislation in Mexico, which, coupled with the low growth of registered employment and reforms of the energy sector (total opening of the oil and electricity market to private initiative) led to a significant increase in job insecurity (Quintana-Romero, 2014).
The most conspicuous expression of the distinct wage policies conducted by this group of countries is what occurs with the income distribution as captured by the Gini index. Table 5 outlines what has happened with the three countries by comparing their Gini indexes with those of the main countries of the region. The decrease in income inequality in Argentina is noteworthy, being significant also for Brazil and Ecuador, where the index fell 11.1, 6.5, and 6.2 points, respectively. Once again, the Mexican case differs from the others, since despite the set of social policies implemented to fight poverty, the reduction in the levels of income inequality is the smallest in the region.
Inequality reduction has allowed the region to counteract the acute poverty levels that existed at the beginning of the present century. Regardless of how poverty is measured in each country, which makes it difficult to compare the data in absolute values, it is possible to identify some trends. Figure 2 indicates the percentage of population living in poverty by country. The data suggest a remarkable trend towards its reduction, especially in Argentina, Brazil, and Chile, where its fall has been drastic. Likewise, the reduction trend in Colombia and Ecuador is similar in both countries and again, Mexico appears as a contrasting case where poverty levels have fallen slowly and have rather tended to increase in the last year registered in the data.
| Countries | 2001 | 2002 | 2003 | 2006 | 2012 | 2013 | Variation between the first and last year available |
| Argentina | 53,3 | 53,8 | 53,5 | 48,3 | 42,5 | 42,3 | 11,1 |
| Brazil | 59,3 | 58,6 | 58 | 55,9 | 52,7 | 52,9 | 6,5 |
| Chile | .. | .. | 54,7 | 51,8 | .. | 50,5 | 4,3 |
| Colombia | 57,8 | 58,3 | 54,4 | 60,1 | 53,5 | 53,5 | 4,3 |
| Mexico | .. | 49,5 | .. | 48 | 48,1 | .. | 1,5 |
| Uruguay | 46,2 | 46,7 | 46,2 | 47,2 | 41,3 | 41,9 | 4,3 |
| Ecuador | 53,9 | .. | .. | 52,7 | .. | 47,7 | 6,2 |
Undoubtedly, behind the wage recovery and improvement of the income distribution observed in countries such as Brazil and Ecuador, lie institutional factors linked to the reorientation of the economic and social policies carried out by the more progressive governments that took office in these nations.

5. A regional dimension of inequality in Brazil, Mexico and Ecuador
The data shown above accounts for the existence of lower inequality levels in those countries that followed alternative policies to orthodoxy. Nevertheless, the subnational dimension of inequality has not been sufficiently studied, as already mentioned at the beginning of the paper.
In order to assess the spatial patterns of inequality, the fundamental indices will be the average wage income and the common regional divisions used in each of the analysed countries.
In the Mexican case, we will use the regional divisions proposed by Rey and Sastré (2010), since in contrast with another existing regional division2, the authors show that their division captures the economic processes that are developed in the country´s area better (see figure 3). For Brazil and Ecuador, we will use the officially accepted regional divisions for these countries in their planning systems (see figures 4 and 5).



Data on wage income and paid population was based on information from the National Occupation and Employment Survey (Encuesta Nacional de Ocupación y Empleo, ENOE) by the federative unit for Mexico, from province data of the Urban Employment and Unemployment Survey (Encuesta Urbana de Empleo y Desempleo, ENEMDU) of Ecuador, and from public data of the Annual Report of Social Information (Relação Anual de Informações Sociais, RAIS) for Brazil (data can be consulted in Annex 1).
The calculation results of the different indices presented in section 2 are shown in table 6. The most general result is that in different periods, wage inequality tended to decrease regardless of the index considered. Furthermore, inequality reductions are compatible with a decrease in polarization. Nevertheless, the indexes perform differently across regions within the different countries.
In the Mexican case, inequality has increased in regions 4 and 5 – northern and central parts of the country – where economic dynamics has been more favourable than in the rest of the country. Simultaneously, in region 3, where the poorest Mexican states are located, inequality remains constant.
In the Brazilian case, only in region 3, where the northern states are located, has inequality increased. Finally, in the Ecuadorian case, regions 2 and 6 show a growing trend in wage inequality.
If we examine the conditional distributions data, it is possible to identify a set of peculiarities of the average wages, polarization and convergence processes across different regions within countries.
In the Brazilian and Ecuadorian cases, figures 6 and 7 show an extreme polarization in a group of regions in the HDR graph, which clearly separate themselves from the others in the higher part of the regional income distribution. Meanwhile, in the Mexican case polarization is weaker (figure 8).
It is important to distinguish the inequality reduction experienced in Brazilian and Ecuadorian regions from what has happened in Mexico. In the first two countries, as already stated, there has been a very significant process of wage recovery, whereas in Mexico the opposite has occurred. This suggests that wage inequality in Mexico operates in a different way, in which workers’ incomes have fallen generally, albeit strongly in the case of higher incomes, resulting in a kind of regressive convergence of wage income.




6. Concluding remarks
Unlike the crises that plagued Latin America during the 1990s, the global economic crisis of 2008 found the region in a very different context. Since the beginning of the present century, political changes in Venezuela, Brazil, Ecuador, Uruguay, Argentina, and Bolivia caused a drastic turn in the economic policies followed in the region, which moved them away from the dictates of the so-called Washington Consensus and led to more dynamic economies, with significant job creation and improvement of income levels and labour protection.
In the cases of Brazil and Ecuador, the social policies adjustments led to an unprecedented wage recovery, which strengthened their domestic markets and enabled them to cope with the more negative consequences of the crisis better. The comparison of these countries with the Mexican case – one of the economies that most persisted with neo-liberal policies – shows that Mexico’s economic performance was weaker, and that inequality has been slightly reduced through regressive mechanisms, in which real wage reduction plays a fundamental role.
Although Latin America observed a reduction trend in wage inequality over the period 2000-2015, the exploratory analysis carried out in this paper reveals that there were still setbacks and inequalities, even in the cases of countries like Brazil and Ecuador, in which wage recovery policies have been emphasized. Government action in terms of social policies proved to be important in reducing inequality in Brazil and Ecuador, a contrasting fact with the results shown by Mexico in the same period analysed in this paper.
From these initial results, a group of questions arises, whose responses demand further research. The first questions deal with the role of social and labour market institutions in the evolution of inequality. The second set of questions deals with the kind of jobs created throughout this period. A most pressing question is the quality of jobs created. And the third group is about the role played by gender issues in the evolution of wages and inequality, as well as in the kind of jobs created during the period studied.
Unfortunately, Latin America now faces fewer encouraging conditions for its future development. In two of its strongest economies, social-oriented governments were removed, either by a political coup d’état, followed by elections – as in the Brazilian case, or directly by the ballot as is the case of Argentina. The immediate consequence of this new scenario is that the mechanisms that allowed to mitigated the negative effects of the recent crisis are being cancelled by the new neo-liberal governments, which will surely jeopardize the achievements to date in inequality and poverty reduction. In these circumstances, the historical memory that is possible to accomplish progressive social policies must be an incentive to halt and reverse the negative impacts of the return to the neo-liberal model that threatens the continent.
References
Abdelkrim, A., & Duclos, J. (2007). DASP: Distributive Analysis Stata Package. PEP, World Bank, UNDP y Université Laval.
Atkinson, A. B. (2016). Desigualdad, ¿Qué podemos hacer? México: Fondo de Cultura Económica.
Barro, R. (1991). Economic Growth in a Cross-Section of Countries. Quarterly Journal of Economics, 106, 407-43.
Ben-David, D. (1994). Income Disparity Among Countries and the Effects of Free Trade. En Pasinetti & Solow (Ed.), Economic Growth and the Structure of Long Run Development, (p.45-64). London: Macmillan.
Bértola, L., & Ocampo, J. (2010). Desarrollo, vaivenes y desigualdad: Una historia económica de América Latina desde la independencia. Madrid: SEGIB.
Blanchard, O., & Lawrence, K. (1992). Regional Evolutions. Brookings Papers on Economics Activity, 23, 1-76.
Carlino, G.A. (1992). Are regional per capita earnings diverging? Business Review, March/April, 3-12.
Cornia, G. A. (2010). Income Distribution under Latin America’s New Left Regimes. Journal of Human Development and Capabilities, 11(1), 85–114.
Cornia, G. A. (2012). Inequality Trends and their Determinants: Latin America over 1990-2010 (Documento de trabajo 2012/09). Finlandia: The World Institute for Development Economics Research.
Crihfield, J.B., & Panggabean, M. (1995). Growth and Convergence in U.S. Cities. Journal of Urban Economics, 38, 138–65.
Davis, J., & Shrrocks, A. (1989). Optimal grouping of income and wealth data. Journal of Econometrics, 42, 97-108.
Drennan, M.P., & Lobo, J. (1999). A Simple Test for Convergence of Metropolitan Income in the United States. Journal of Urban Economics, (46), 350-359.
Drennan, M.P. (1996). The interruption of income convergence and income growth in large cities in the 1980s. Urban Studies, 33(1), 63-71.
Esteban, J., & Ray, D. (1994). On the measurement of polarization. Econometrica, 62, 819-852.
Ezcurra, R., Rodríguez-Pose, A. (2009). Measuring the regional divide. En Capello & Nijkamp (Ed.), Handbook of regional growth and development theories (pp. 329-353). United Kingdom: Chaltenham.
Galor, O. (1996). "Convergence? Inferences from Theoretical Models," Economic Journal, Royal Economic Society, vol. 106(437), pages 1056-1069.
Garnick, D.H. (1990). Accounting for regional differences in per capita personal income growth: an update and extension. Survey of Current Business, 70, 29-40.
Glaeser, E.L., Scheinkman, J.A., & Shleifer, A. (1995). Economic Growth in a Cross-Section of Cities. Journal of Monetary Economics 36:117–143.
Green, D. (2003). Silent Revolution: The Rise and Crisis of Market Economics in Latin America, New York: Monthly Review Press.
Harvey, D. (2007). Espacios del capital. Hacia una geografía crítica. Madrid: Akal.
Huber, E., & Stephens, J. D. (2012). Democracy and the Left: Social Policy and Inequality in Latin America. http://doi.org/10.1017/S0022216X13000965.
Hyndman, R. (1996), Computing and Graphing Highest Density Regions. The American Statistician 50: 120-126.
Hyndman, R., Bashtannyk, D., & Grunwald, G. (1996). Estimating and visualizing conditional densities. Journal of Computational and Graphical Statistics 5: 315-336.
Hyndman, R. (2015). Package highest density regions and conditional density estimation ‘hdrcde’, http://www.robjhyndman.com/software/hdrcde.
Instituto Brasileiro de Geografia e Estatistica (2017). https://www.ibge.gov.br/
Maier, G., & Trippl, M. (2009). Location/allocation of regional growth. En Capello y Nijkamp (Ed.), Handbook of regional growth and development theories (pp. 53-65). Reino Unido: Chaltenham.
Mallick, R. (1993). Convergence of State Per Capita Incomes: An Examination of Its Sources. Growth and Change, Summer, 321-40.
Montecino, J. A. (2012). Decreasing Inequality under Latin America’s “Social Democratic” and “Populist” Governments: Is the Difference Real? International Journal of Health Services, 42(2), 257–275.
Piketty, T. (2015). El capital en el siglo XXI. México: Fondo de Cultura Económica.
Quah, D. T. (1996). Regional Convergence Clusters Across Europe. European Economic Review, 40(3–5), 951-958.
Quintana-Romero, L., & Asuad-Sanén, N. (2013). Growth, concentration, inequality and regional policy in Mexico. En Cuadrado & Aroca (Ed.), Regional Problems and Policies in Latin America (pp. 165-195). Berlin: Springer.
Quintana-Romero, L. (2014). Reforma económica y desempeño regional en México. En Montes (Ed.), Nueva reforma del Estado. Los retos en México 2013-2018 (pp. 157-180). México: UNAM-FES Acatlán.
Ramírez, F. (2012). El estado en disputa. En UNICEF (Ed.), Estado de los Derechos de la Niñez y la Adolescencia en el Ecuador 1990-2011 (pp. 52-69). Plan Internacional-Save the children, Quito, Ecuador: UNICEF.
Rey, S.J., & Sastré-Gutiérrez, M. (2010). Interregional Inequality Dynamics in Mexico. Spatial Economic Analysis, 5(3), 277-298.
Rosende, F. (2000). Teoría de Crecimiento Económico: Un debate inconcluso. Estudios de Economía, 27(1), 95-122.
Rosnick, B. D., & Weisbrot, M. (2014). Latin American Growth in the 21st Century : The “ Commodities Boom ” That Wasn ’ t. Washington: Center for Economic and Policy Research.
Sala-i-Martin, X. (1996). Regional cohesion: evidence and theories of regional growth and convergence. European Economic Review, 40(6), 1325-1352.
Salas, C., & Manzano (2016). Desarrollo al filo de la navaja: economía y trabajo en Brasil: 1995-2014. Revista de Economía Crítica, 21, 3-20.
Salas, C., & Santos, A. (2011). Diverging paths in development: Brazil and Mexico. International Journal of Labour Research, 3(1), 115–133.
Sánchez, I. (2009). Teorías del crecimiento económico y divergencia regional en México. Entelequia, 9, 129-149.
SENPLADES (2009). Plan Nacional del Buen Vivir, 2009-2013. Quito: Secretaría Nacional de Planificación y Desarrollo.
Solow, R. M. (1956). A Contribution to the Theory of Economic Growth. The Quarterly Journal of Economics, 70(1), 65-94.
UNCTAD. (2015). UNCTAD Handbook of Statistics 2015. Geneva: UNCTAD.
Vohra, R. (1996). How fast do we grow? Growth and Change, 27, 47-54.
Weisbrot, M. (2015). Failed, What the “experts” got wrong about the global economy. New York: Oxford University Press.
Wong, S. (2015). La política de salarios mínimos. Diario El Universo, 27 de diciembre de 2015, Quito, Ecuador.
Annex
| State | Employed population 2005 | Average monthly wage 2005* | Employed population 2014 | Average monthly wage 2014* | Region |
| Aguascalientes | 401.449 | 4.382 | 502.772 | 5.194 | 4 |
| Baja California | 1.185.299 | 6.004 | 1.472.314 | 6.182 | 2 |
| Baja California Sur | 232.004 | 5.809 | 342.865 | 7.207 | 2 |
| Campeche | 324.439 | 3.997 | 387.941 | 5.736 | 1 |
| Coahuila | 979.206 | 4.850 | 1.237.306 | 5.882 | 4 |
| Colima | 260.326 | 4.437 | 334.841 | 5.895 | 4 |
| Chiapas | 1.623.271 | 2.325 | 1.832.592 | 3.379 | 3 |
| Chihuahua | 1.290.697 | 5.017 | 1.489.550 | 5.993 | 2 |
| Distrito Federal | 3.914.688 | 5.381 | 4.041.197 | 6.343 | 5 |
| Durango | 564.285 | 3.669 | 683.469 | 4.549 | 4 |
| Guanajuato | 1.941.249 | 3.772 | 2.359.219 | 4.674 | 5 |
| Guerrero | 1.163.006 | 3.531 | 1.400.623 | 4.184 | 3 |
| Hidalgo | 979.534 | 3.394 | 1.151.365 | 4.592 | 3 |
| Jalisco | 2.864.556 | 4.483 | 3.311.008 | 5.628 | 4 |
| Mexico | 5.509.809 | 4.067 | 6.879.404 | 4.864 | 5 |
| Michoacan | 1.620.802 | 3.543 | 1.841.321 | 4.745 | 3 |
| Morelos | 675.889 | 3.723 | 780.527 | 4.204 | 5 |
| Nayarit | 416.498 | 3.688 | 525.565 | 5.138 | 1 |
| Nuevo Leon | 1.837.778 | 5.684 | 2.161.241 | 6.502 | 4 |
| Oaxaca | 1.459.202 | 2.920 | 1.617.650 | 3.946 | 3 |
| Puebla | 2.166.073 | 3.253 | 2.524.448 | 4.333 | 3 |
| Queretaro | 656.298 | 4.499 | 723.292 | 5.799 | 5 |
| Quintana Roo | 512.691 | 5.408 | 702.474 | 5.919 | 1 |
| San Luis Potosi | 937.899 | 3.901 | 1.087.453 | 4.745 | 1 |
| Sinaloa | 1.136.183 | 4.440 | 1.248.361 | 5.789 | 2 |
| Sonora | 985.774 | 4.891 | 1.286.226 | 6.255 | 2 |
| Tabasco | 759.150 | 3.998 | 909.862 | 5.378 | 4 |
| Tamaulipas | 1.254.400 | 5.008 | 1.466.862 | 5.227 | 4 |
| Tlaxcala | 420.797 | 3.126 | 513.541 | 4.038 | 2 |
| Veracruz | 2.703.325 | 3.560 | 3.056.993 | 4.520 | 1 |
| Yucatan | 787.029 | 3.440 | 956.918 | 4.525 | 1 |
| Zacatecas | 515.532 | 3.528 | 586.212 | 4.476 | 1 |
* Pesos in constant prices.
Source: Author´s calculations based on data from “Secretaría del Trabajo y Previsión Social. Estadísticas del Sector”.
| State | Employed population 2003 | Average income 2003* | Employed population 2013 | Average income 2013* | Region |
| Rondônia | 254.089 | 1.299,4 | 564.426 | 1.729,0 | 3 |
| Acre | 86.077 | 1.405,0 | 181.849 | 1.832,0 | 3 |
| Amazonas | 429.337 | 1.585,7 | 954.426 | 1.843,5 | 3 |
| Roraima | 37.684 | 1.610,2 | 130.761 | 1.882,9 | 3 |
| Pará | 786.747 | 1.192,9 | 1.628.230 | 1.761,4 | 3 |
| Amapa | 80.984 | 1.729,9 | 178.097 | 2.154,4 | 3 |
| Tocantins | 196.871 | 1.186,4 | 384.573 | 1.725,4 | 3 |
| Maranhão | 446.768 | 1.102,8 | 1.012.735 | 1.561,9 | 2 |
| Piaui | 307.768 | 971,6 | 588.703 | 1.496,4 | 2 |
| Ceará | 1.103.640 | 992,5 | 2.218.048 | 1.428,5 | 2 |
| Rio Grande do Norte | 515.038 | 1.012,8 | 873.690 | 1.576,9 | 2 |
| Paraíba | 475.665 | 994,2 | 873.985 | 1.409,5 | 2 |
| Pernambuco | 1.301.251 | 1.100,6 | 2.571.543 | 1.583,5 | 2 |
| Alagoas | 421.595 | 946,3 | 717.055 | 1.420,7 | 2 |
| Sergipe | 319.162 | 1.114,1 | 557.161 | 1.714,0 | 2 |
| Bahia | 1.880.149 | 1.191,2 | 3.398.103 | 1.612,5 | 2 |
| Minas Gerais | 4.711.508 | 1.164,4 | 8.097.445 | 1.586,7 | 4 |
| Espírito Santo | 869.083 | 1.220,0 | 1.550.742 | 1.675,0 | 4 |
| Rio de Janeiro | 4.029.962 | 1.725,4 | 6.858.825 | 2.214,2 | 4 |
| São Paulo | 12.585.031 | 1.803,0 | 21.926.332 | 2.092,6 | 4 |
| Paraná | 2.739.355 | 1.266,6 | 4.987.596 | 1.705,6 | 5 |
| Santa Catarina | 1.961.097 | 1.236,5 | 3.615.909 | 1.654,9 | 5 |
| Rio Grande do Sul | 2.999.188 | 1.429,8 | 4.814.271 | 1.764,8 | 5 |
| Mato Grosso do Sul | 548.259 | 1.141,3 | 1.049.223 | 1.687,8 | 1 |
| Mato Grosso | 663.969 | 1.173,5 | 1.407.556 | 1.656,0 | 1 |
| Goiás | 1.203.350 | 1.149,5 | 2.445.481 | 1.607,1 | 1 |
| Distrito Federal | 1.015.535 | 2.700,0 | 1.813.745 | 3.210,7 | 1 |
*Reais in constant prices
Source: Author´s calculations based on data from “Relação Anual de Informaciones Sociales (RAIS)”.
| Province | Employed population 2003 | Average wage income 2003* | Employed population 2015 | Average wage income 2015* | Region |
| Esmeraldas | 128.050 | 271,47 | 188.002 | 450,94 | 1 |
| Carchi | 65.641 | 249,24 | 64.932 | 392,31 | 1 |
| Imbabura | 136.257 | 356,43 | 162.898 | 459,68 | 1 |
| Sucumbíos | 41.180 | 304,05 | 65.503 | 441,33 | 1 |
| Pichincha | 1.045.181 | 495,58 | 1.190.897 | 639,60 | 2 |
| Napo | 23.100 | 304,05 | 36.744 | 457,95 | 2 |
| Orellana | 27.934 | 304,05 | 44.434 | 460,36 | 2 |
| Chimborazo | 135.803 | 223,51 | 172.437 | 378,09 | 3 |
| Cotopaxi | 124.786 | 253,81 | 172.798 | 436,04 | 3 |
| Pastaza | 19.171 | 304,05 | 30.495 | 470,74 | 3 |
| Tungurahua | 200.141 | 270,40 | 238.214 | 447,00 | 3 |
| Manabí | 394.345 | 241,02 | 534.149 | 437,96 | 4 |
| Guayas | 1.294.133 | 347,90 | 1.656.961 | 483,42 | 5 |
| Los Rios | 244.217 | 254,11 | 312.643 | 438,54 | 5 |
| Bolívar | 55.488 | 202,80 | 69.432 | 407,88 | 5 |
| Morona Santiago | 34.552 | 304,05 | 54.960 | 395,77 | 6 |
| Azuay | 319.980 | 276,95 | 334.414 | 472,47 | 6 |
| Cañar | 75.354 | 268,12 | 97.729 | 449,11 | 6 |
| Loja | 133.056 | 265,68 | 181.875 | 490,82 | 7 |
| El Oro | 211.554 | 334,65 | 271.057 | 449,21 | 7 |
| Zamora Chinchipe | 24.893 | 304,05 | 39.596 | 413,94 | 7 |
* Dollars in constant prices
Source: Author´s calculations based on data from “Encuesta Urbana de Empleo y Desempleo – INEC”.Notes
Additional information
Keywords: Crisis; Wages; Polarization; Regional Inequality.
Corresponding author: rfcorrea@utpl.edu.ec