Articles
Measuring the economic impact of immigrant workers exit from Madrid region labor market
Medida del impacto económico de la salida del mercado laboral de trabajadores inmigrantes en la Comunidad de Madrid
Measuring the economic impact of immigrant workers exit from Madrid region labor market
Investigaciones Regionales - Journal of Regional Research, no. 49, pp. 65-88, 2021
Asociación Española de Ciencia Regional

Received: 08 March 2020
Accepted: 26 October 2020
Abstract: This paper analyses the economic impact of the loss of employment suffered by the immigrant population in Madrid’s regional economy during the years of the latest economic crisis, specifically during the period 2010-2016. First, it examines the labour characteristics of the immigrant population, a community mainly employed in unstable and low-skilled jobs and overrepresented in economic sectors that are sensitive to fluctuations in the labour market. Financial crisis forced these workers exiting labour market and the present work focuses on the modelling of this phenomenon by means of the construction of a multisectoral model of the supply-side type, also known as Ghosh model. This analytic approach provides estimates of the direct impacts of the immigrant working population leaving the labour market, and of its indirect and induced impacts on the greater economy.
Keywords: Economic integration of immigrants, multisectoral model, economic impact.
Resumen: Este trabajo analiza el coste para la economía madrileña de la pérdida de empleos que ha sufrido la población activa extranjera en los años de la crisis, en concreto en el período 2010-2016. En primer lugar, se analizan las características laborales de la población inmigrante, población que en su mayoría cubre puestos de trabajo inestables y de baja cualificación, estando sobrerrepresentada en sectores económicos que son muy sensibles a las fluctuaciones del mercado laboral. La crisis financiera obligó a estos trabajadores a abandonar el mercado laboral y el presente trabajo se centra en la modelización de este fenómeno mediante la construcción de un modelo multisectorial de oferta, también conocido como modelo Ghosh. Este enfoque analítico proporciona estimaciones de los impactos directos en la población trabajadora inmigrante que abandona el mercado laboral, y de los impactos indirectos e inducidos en la economía en general.
Palabras clave: Integración económica de inmigrantes, modelo multisectorial, impacto económico.
1. Introduction
Spanish economy experienced an increase of immigrant population, on a national scale, during the decade 2001-2010 and it seems relevant to conduct a regional analysis of the course of these worker´s development through the later economic crisis which severely shook them. Foreign residents are mainly concentrated in certain areas of the Spanish geography, predominantly on the Mediterranean coast, the islands and large cities such as Madrid and Barcelona. This geographical concentration has had obvious political, economic and social consequences.
Immigrant population living in Madrid region and other autonomous regions share similar characteristics. These communities are mainly composed by working-age adults, they register a limited number of people over the age of 64 and the majority of them come from non-EU countries. When analysing their place of origin in detail, South America is the main source of immigration, providing one in every two immigrants, followed by non-EU countries, Africa, the European Union, Asia and Central America. The countries with the highest presence of immigrants are Ecuador, Romania, Colombia, Morocco, Peru, Bolivia and China. It is worth noting that foreign residents from the European Union have a relatively low weight, representing only 9.2% of the overall immigrant population in the Autonomous Community of Madrid (Chamber of Commerce, 2009).
Data from the Labour Force Survey of the National Statistics Institute provides information on the main sectors employing immigrant labour force in the Madrid region, as follows: Agriculture (0.40%), Industry (9.20%), Construction (4.80%) and Services (85.60%), with a predominant presence in the restaurant and hotel industry. Therefore, the economy of the region has a great link with the services oriented sectors of activity.
Madrid region experienced a change in the trend regarding the number of foreign incoming residents in the year 2010, presenting a negative balance of -3.6% in contrast with the previous year, which meant a loss of 31,526 residents (Carrasco & García, 2012).
The phenomenon related to the loss of employment suffered by the immigrant population in Madrid region is analysed within the context of the severe economic crisis and subsequent destruction of work experienced over the first half of the last decade. The analysis is based on the assumption that this exit from the labour market has a direct and harmful effect on individuals themselves, on both professional and personal aspects, and a negative impact on society as a whole. The mathematic model used in the analysis (Miller & Blair, 2009, Guerra & Sancho, 2011) allows establishing these effects, indirect and induced, on the overall economy of the region.
In line with this approach, the present work aims to measure and analyse the impact that the loss of employment, suffered by the immigrant population, has had on the economy of the region during the period 2010-2016. The first section of the paper provides a review of specialised literature on the subject, followed by the empirical application of the Ghosh model. This multisectoral supply-side model rests on similar principles and relationships as the demand-driven Leontief model, although it develops an alternative approach that incorporates the introduction of changes in the primary inputs rather than in the final demand. The following section deals with a description and an outline of the diversity of situations of the immigrant population within the labour market. The main source of information has been the Labour Force Survey, which allows obtaining detailed and statistically significant results. Finally, the paper presents the results derived from the modelling and concludes with a reflection on the main findings of the work. It is felt that this perspective will help inform on the ways which markets and activity sectors are connected within the network of Madrid´s regional economy, where the transmission mechanisms channel every shock, in this case a labour shock, through the complex web of interactions that reflect this specific economy.
2. Literature review
The participation of immigrant population in the labour market and its macroeconomic impacts have been the subject of many recent studies and a lengthy set of literature. Although published literature on the topic offers relevant information to the present work, most research has been developed following a national approach, highlighting the clear need for studies on a regional level.
Elias (2011) focuses on the impact of immigration on the labour market and concludes that the influx of foreigners helped to reinforce the expansive cycle of the Spanish economy during the second half of the 1990s, although at the expense of a slowdown in inapparent labour productivity growth. Additionally, this author indicates that, despite its scale, the phenomenon did not change the parameters of the labour market. However, one of the consequences of the economic recession was a high unemployment rate among the immigrant population. In this regard, Medina et al. (2010) observed that, after the beginning of the economic crisis, the increase in the probability of job loss was higher for foreign population; in fact, their estimation results suggested that although being foreign did not in itself explain the probability of employment loss in statistically significant terms, it was significant during the economic crisis period. This result indicates that after considering the personal and labour variables that should explain the probability of job loss, this probability is higher among foreign population during the crisis period. This situation is analysed by Cámara and Medina (2017) who quantify the impact of immigrants’ employment loss on the Spanish economy during the crisis years, estimating the effects on the labour market as well as on the main macroeconomic magnitudes.
At international level, Bonifazi and Marini (2014) evaluated the effects of the economic crisis on foreign workers in Italy to conclude that the recession has mainly affected male, foreign workers. Their work shows that if the situation of foreign workers did not drastically change during the crisis, this was due to the specific situation of the Italian economy as well as to the structural role of immigrant workers in the labour market. In line with this approach but focusing on the Spanish economy, Gil-Alonso and Vidal-Coso (2015) observed that immigrants were more resilient during the first half of the crisis, but then suffered the effects of the recession more than the rest of the population, from mid-2011 and specially from the beginning of 2013.
Also focusing on Spain, Izquierdo et al. (2010) establish different scenarios and explore the possible effects on the main economic aggregates, to conclude that it is necessary to strengthen the qualifications and skills of foreign workers in order to counterbalance the negative effects of immigration on productivity. On the other hand, Carrasco and García (2012) conduct a comprehensive analysis of the labour market status of the immigrant population in Spain. They first analyse the situation of immigrants in the Spanish labour market, as well as the evolution of migration flows and stocks; their employment status and evolution compared with that of Spanish people; their sectoral and occupational distribution, professional situation and contribution schemes; the unemployment rate of workers and internal and external territorial mobility. Then, they analyse labour mobility and use data from the Labour Force Survey to study changes in the sectoral and occupational composition of employment for Spanish and foreign workers. Izquierdo et al (2015) document the characteristics of recent migration flows to Spain and compares how foreign and Spanish nationals are moving abroad and across Spanish regions in response to the unemployment crisis. Building on this comparison, they shed some light on the selection of migrants by educational level and offer conjecture as to the implications of the migration outflows observed in recent years.
Finally, Motellón and López-Bazo, E. (2015) claim that, compared to natives, immigrant workers have experienced higher rates of job loss. Against this backdrop, this paper examines the differences between immigrants and natives (distinguished by gender) in terms of their probability of suffering job loss in the downturn of late 2008 and 2009.
Generally, immigrant workers tend to settle in urban areas, where there are greater employment opportunities, so it is necessary to study effects of immigration at the regional level in regions, such as Madrid, with large number of urban areas.
We consider should be carried out regional studies in Spain, due to the great difference between regions in the arrival of immigrants. Specifically, Madrid is one of the Spanish regions with highest percentage of immigrant population. The interest in studying impact of immigration in this region is due to high population density, generates a high percentage of national GDP and has a high per capita income. Furthermore, the inflow of immigrant workers has been one of the highest in Spain. In this context, we consider of interest focus on this region.
Arce and Mahia (2010) work on a regional level and analyse the positive impact derived from the increase of immigrants in the labour market of Madrid region, obtaining the indirect and induced effects of migration flows on the region’s GDP. Also in Madrid, Doncel et al (2014) analyze how immigration helps to ease tension in relation to financing public services and other benefits to the Madrid region’s general welfare using a generational accounting method, which is applied to different productivity, interest rate and growth scenarios. Their results show that the fiscal balance of immigration tends to be neutral. Cebrián et al (2016), in order to appreciate the significant impact of the crisis, selected six urban axes of the city of Madrid that have a significant presence of foreign-owned shops and services, which were studied by the authors in 2009 and again in 2015. Immigrant entrepreneurs have had to adapt or even abandon their businesses due to the impact of the economic crisis that affected consumption especially and, therefore, business activity in general.
Also at regional level, Michelangeli et al. (2019) assess the contribution of ethnic minorities to the (total and sectoral) productivity of Italian provinces, considering the first ten nationalities by numbers of legal immigrants at the provincial level (NUTS 3) 2003–2011. They estimate a spatial panel model to capture both direct and indirect effects of foreign communities on local productivity at the province level.
Pouliakas et al. (2014) also analyse the effects of immigration on the economic activity of three EU regions located in Scotland, Greece and Latvia. They evaluate two scenarios; the first models an increase or reduction of 10% in the total quantity of labour force supplied by immigration to an area; the second analyses the importance of migration flows and the different labour skills. The results indicated significant differences in the extent to which regional economies are affected by immigration.
The migration phenomenon and its effects on the economy generate a demand for information and analysis tools. In our country, the National Statistics Institute conducted the National Immigration Survey (INE, 2008) which provides detailed and descriptive information on labour conditions in Spain. Additionally, the Immigration Observatory of Madrid region provides valuable information and data through the publication of annual reports, indicators and surveys on immigration and the foreign community.
A significant contribution of this work is the use of a non-traditional version of an input-output table (the Ghosh model) which is modified to make gross value added and consumption endogenous. This methodology is able to estimate a more complete set of effects than others, because it can simulate indirect and induced benefits from expanding employment.
3. Methodological approach
a. The Gosh Model
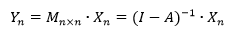
In order to adapt the present analysis to the characteristics of the phenomenon under study and considering the nature of the aggregated statistical information used, input-output tables (IOTs) have been chosen as the best tool to conduct the work, due to their capacity to explain the pursued objectives. The construction of input-output tables with equal amounts of sums in rows and columns allows to set an alternative model to Leontief’s demand-driven model (Lahr & Dietzanbacher, 2001; Miller & Blair, 2009), where coefficients are determined horizontally (distribution coefficients) rather than vertically (technical coefficients). In this alternative model the exogenous variable is the value added rather than the final demand. This supply-side or Ghosh model (Ghosh, 1958) is obtained from a new matrix, knows as distribution matrix, calculated by using the relationships of the IOT’s columns.
Its matrix expression is:
[1]where 𝑥𝑡 is the total output obtained in the vertical of dimension 1×𝑛, 𝐵 is the distribution coefficients matrix of dimension 𝑛×𝑛 and 𝑤 are the primary inputs of dimension 1×𝑛.
The distribution coefficients 𝑏ijare calculated as follows:
, where 𝑋𝑖 represents the output of the 𝑖th branch.
Each coefficient shows the proportion of resources, in monetary terms, that each branch of the 𝑖th row employs and which is destined to each of the other branches or to the final demand.
In this way, the value obtained from adding the rows of the inverse distribution coefficients matrix will show the contribution of each branch so that the primary inputs increase by a unit, which is why it is known as supply multiplier.
Thus, adding the columns of the distribution coefficients indicates the change in production when there is a variation of one unit in the supply (primary inputs) of each branch of the IOT.
In this model, the primary inputs (work or capital used in the production of the 𝑗th branch) are the exogenous variables rather than the final demand, as is the case in the technical coefficients matrix.
This model, known as Ghosh model, does not totally capture the effects of the primary input changes on the Gross Value Added (GVA), so it is necessary to close the model (Guerra & Sancho, 2011). Private consumption and GVA are endogenised so that increases in production also translate into increases in GVA. In this way, increases in household consumption due to a rise in the compensation of employees are also taken into account.
The endogenisation is as follows:
Coefficient 𝜆𝑖 is defined as the value added per unit of aggregate consumption. This coefficient expresses, in standardised terms, the necessary contribution of the value added in each 𝑖 sector per private consumption unit.
where 𝑣𝑖 is the value added of the 𝑖 branch and C is the total consumption of private agents.
Coefficient 𝑑𝑗 is defined as the distribution coefficient of the consumption of good 𝑗 by private agents.
, where 𝑐𝑗 is the private consumption of branch 𝑗 and 𝑥𝑗 is the production of branch 𝑗.
If 𝜆𝑡=(𝜆1 𝜆2 ⋯ 𝜆𝑛) and 𝑑𝑡=(𝑑1 𝑑2 ⋯ 𝑑𝑛), matrix 𝜆⋅𝑑𝑡 reflects the distribution coefficients of the value added derived from private consumption. Including this matrix in the model results in the following equation:
[2]This inverse matrix incorporates the distribution coefficients of material flows (𝐵) and of value added flows (𝑑⋅𝜆𝑡) and allows the obtention of the induced effects of changes in the primary inputs.
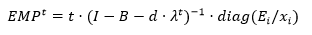
Once the impact on the total output (𝑥𝑡) derived from the modifications in the primary inputs has been obtained, this impact on production will provoke in turn an impact on the employment of all branches of activity. In order to obtain the impact on employment (EMP), the vector of employment coefficients by branch (employment per production unit) is calculated and diagonalized in the matrix equation of the model:
[3]provides the indirect impact on employment.
[4]provides the induced impact on employment.
In the same way, impacts on the production provoke impacts on the Gross Value Added (GVA) of the different activity branches, which are calculated in the same way, using the GVA coefficients (GVA per production unit):
[5]provides the indirect impact on GVA.
[6]provides the induced impact on GVA.
b. Key Sector identification methodology
The so-called key sectors, following the Rasmusen-Hirschman term (Sonis et al, 1995), are sometimes referred to as pôles de croissance under the Perroux denomination. Traditional key sector techniques complement the IOT based Gosh model analysis carried out in this work and lead to a deeper understanding about the structure and transformation processes in economies. The methodology for finding the key sectors is based on the Leontief and Ghosh models (Schultz, 1977; Dietzenbacher,1992). This methodology, based on the calculus of certain multipliers, has been broadly applied in the specialized literature and it allows to evaluate the extent to which the effects on economic macromagnitudes associated to endogenous accounts (production, income, employment ...) are due to changes in exogenous accounts. Moreover, these multipliers allow us, in turn, to know the capacity of an economic sector to lead to an increase in demand (Leontief model) or to a cost increase (Ghosh model).
We understand by key sectors those productive sectors that have a greater multiplier effect on the supply and demand of an economy, and, therefore, are those sectors that are considered as engines of economic growth. Identifying these key sectors for the regional economy will allow us to detect if any of these sectors are included among the sectors that have been most affected by the phenomenon studied.
Therefore, two types of intersectoral links are calculated, Backward Linkages (BL) or backward links, and Forward Linkages (FL) or forward links. The BL measure the effect of a change in the final demand of a given sector on the economy, and the FL measures the effect of a change in the primary inputs of a given sector on the economy.
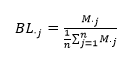
BLs are obtained from the matrix of multipliers M of the Leontief model:
[7]where n is the number of endogenous accounts.
The sum of the 𝑗th column of Leontief's inverse (𝑀 . 𝑗 ) indicates the total income generated in each of the endogenous accounts, when there is a unit flow of income from the exogenous accounts to the endogenous account 𝑗 . Thus, the BLs are defined as follows:
[8]On the other hand, the FL are obtained from the matrix of multipliers 𝑀 of the Ghosh model:
[9]The sum of the 𝑖𝑖th row of the inverse of Ghosh (𝑀𝑖∙) indicates the changes in the value of the outputof all sectors, when there is a unitary variation in the added value of sector 𝑖. Thus, the FLs are defined asfollows:
[10]Once both links are obtained, we will say that the sectors with BL greater than one have a high dispersion power, a variation in their production influences the system more than the average. And we will say that the sectors with FL greater than one are sectors with greater capacity for cost dispersion, that is, changes in their added value affect the system more than the average.
Obtaining both links allows us to determine which are the key sectors of an economy. They will bethose sectors that have both dispersion power of variations in demand (BL > 1) and dispersion power ofvariations in costs (FL> 1). These sectors have a high influence on the evolution of the economic activityof the region.
4. Labour situation of the immigrant population in Madrid region
The immigrant working population in Madrid region decreased between the years 2010 (reference year of the model’s data) and 2016 (last year with available official data). The following table shows this decrease compared with the decrease in national working population.

The following graph (Graph 1) shows the evolution of the foreign working population during the period 2010-2016:

The Chamber of Commerce report (2009) provides information on immigration and the labour market in Madrid region. The employment rate of the immigrant population reaches 82.3%, 20 points above the rate of the overall population in Madrid. There are two main reasons to explain that immigrants’ activity rate significantly exceeds that of nationals: firstly, foreign immigration in Spain is basically nurtured by young people, younger than natives; secondly, the main reason why immigrants choose Spain as their destination is an economic one and specifically of a working and economic nature, this is to get a job and a salary that they cannot obtain in their country (Pérez, 2008).
Data from the Regional Immigration Survey (2017), published by the Department of Social Policy and Family Affairs of Madrid region, has provided more information on the economic sectors that employ the immigrant population. Comparing these data with the data obtained from the Statistics Institute shows the weight of immigrant population in the different economic sectors of the region (Table 2):

* Employment data are incorporated to the model as Full Time Equivalent (FTE) employment.
Source: Prepared by the authors.It is worth noting that the immigrant population, compared with the native population, has a strong weight in the catering and personal services sectors, with over 43 %. This is due to the large number of immigrants working as waiters/waitresses and as domestic and household staff.
The data from the mentioned survey has been disaggregated to obtain the distribution of the immigrant working population by branch of activity of Madrid’s economy, for the years under study, as shown in Table 3.
The Regional Immigration Survey does not provide information to allocate 19.91% of the foreign working population in 2010 and 5.19% in 2016, so this share of the population is not included in the modelling.

It should be noted that there has been an increase of foreign working population in the branches related to catering and professional services. Data from the labour force survey referred to year 2016 shows that the activity branches in which the number of employed people has increased the most (both native and foreign) are: hospitality, programming, consulting and other activities related to computers, services to buildings and gardening activities.
The previous circumstance belongs to an analysis related to the performance of immigration and the tourism sector and it seems to indicate that this specific sector of activity may have absorbed a number of foreign workers from other sectors, which would have otherwise been unemployed due to the economic crisis. On the other hand, the increase of immigrant workers in professional services may be due to the professionalization of part of the foreign population. In the last years of the period studied there has been a circumstantial emigration phenomenon of young professionals from qualified sectors. Qualified immigration workforce contributed to fill the needs of workforce in such activities, in addition to the traditional sectors related to hospitality and tourism.
The modelling uses macroeconomic data of the Input-Output Framework 2010 of Madrid region. Since the period studied begins in 2010, we consider appropriate to work using data from Madrid economy for that year. Although the National Statistics Institute provides more up to date tables, specifically for 2015, we have considered more appropriate to use the 2010 table, because it still does not reflect the effects of the crisis on immigrant workers. Based on the economic data of the region in 2010, the model allows detecting the economic downturn in the region, due to the loss of jobs suffered by the immigrant population. Since our analysis covers the period 2010-2016, we added to the model workers who lost their jobs during the period 2010-2016.
The variation in foreign working population shown in Table 3 is expressed in terms of variation in the compensation of employees of Madrid’s economy during the period 2010-2016 (Table 4).

This table contains the data that used in the simulation carried out in this work by means of the Gosh model. Dated 2010 the number of immigrants registered in Madrid amounted to 569,200, while in 2016 this figure would have decreased to the figure of 465,612 workers.
The following section develops the results obtained from modelling this variation in the compensation of employees of Madrid’s economy, considering only the variations experienced by the immigrant population.
5. Estimation of cost of immigrant population existing the labour market
In order to estimate the socioeconomic impact of the employment loss reflected in the previous section, a multisectoral modelling is developed using the last symmetric input-output table (IOT) published by the Statistics Institute of Madrid region for the year 2010. As the shock is established as a reduction in the number of immigrants in the labour market, a decrease is carried out in the values for compensation of employees reflected in the used IOT, corresponding to the immigrant population which has experienced loss of employment during the years 2010-2016.
As explained in the methodology section, the macroeconomic impact has been obtained through the aggregation of three types of effects or impacts:
Direct impact: Is the effect generated by the immigrant population exiting the labour market on the compensation of employees of each activity branch of the Spanish economy (Table 4).
Indirect impact: Is the effect provoked by a drop in intermediate demand, i.e. the loss of demand in sectors (suppliers) from other sectors which have experienced employment loss as a result of direct impact. This is also known as “industrial effect”.
Induced impact: Is the effect on the economy of a decrease in consumption due to the reduction in household available income, in turn derived from loss of employment. This is also known as “consumption effect”.
To compile these effects, the IOT 2010 has been aggregated to a table of 30 activity branches which coincide with the classification used in the previous section. An analysis is developed of the impact (on production, GVA and employment) of a decrease in the compensation of employees in all branches directly affected by the employment loss of the immigrant population.
The impact on production (see Table 5 in Annexes) involves a loss of 2,229 million euros (0.44% of total production), and the loss is higher in the branches of health and social services, trade, administrative services and construction. There is an increase of production in the sectors of catering and professional services due to direct effect, and in financial services and membership services due to indirect effect.
The following graph (Graph 2) shows the most important variations.

As well as the impact caused by the drop in intermediate demand, an impact is produced due to the decrease in household consumption provoked by the reduction in available income. This impact is known as induced impact and is quantified with the following figures.
Induced impact involves a loss in production (see Table 6 in Annexes) of 1,535 million euros (0.30% of total production), and the most important losses are found in the branches of administrative services, construction, trade and health and social services. The only sector that continues to have a positive induced impact is the catering sector, due to the boost experienced by the tourist industry in Madrid over recent years. The latter is derived from the data of the Survey of Active Population (National Institute of Statistics) of Turespaña.
The following graph (Graph 3) shows the most relevant variations in production, derived from the induced effect of employment loss suffered by the immigrant population in Madrid region.

Impacts on production entail effects on other macroeconomic magnitudes such as GVA (see Tables 7 and 8 in Annexes) and employment (see Tables 9 and 10 in Annexes). The work has obtained the following results.
The drop in GVA is quantified at 966 million euros (0.52% of total GVA) in an indirect way (Table 7). It is worth noting that the branches with the highest negative impacts, due to variation in intermediate demand, are health and social services, trade, construction and administrative services. On the other hand, GVA has experienced a positive impact in the branches of catering, professional services, membership services and financial services.

The induced impact on GVA is quantified at a loss of 592 million euros (0.32% of total GVA) and involves all economic sectors (Table 8), although it is more pronounced in administrative services, trade, health and social services and construction. Catering is the only sector which shows an increase in GVA due to the induced effect.
Finally, the impacts on employment, both indirect and induced (see Table 9 and 10 in Annexes) have been calculated. The detailed results shown in the annexed tables have been summarised in the graphs below.
The impact on employment, due to changes in intermediary demand, involves the loss of 34,246 jobs (1.11% of total employment), and the effect (Table 9) is more pronounced in the branches of health and social services, repair services, trade and administrative services. On the other hand, there is an increase of employment in catering, professional services, membership services and financial services.
The induced impact on employment entails the loss of more than 12,696 jobs (0.41% of total employment), and involves all sectors of the economy (Table 10) with the exception of catering, where employment increases. The loss is more pronounced in administrative services, repair services, trade and health and social services.
Finally, we identify the key sectors of the regional economy. These productive sectors have a greater multiplier effect on the supply and demand of an economy, and, therefore, are the sectors that are considered as engines of economic growth. Identifying these key sectors for the regional economy will allow us to detect if any of these sectors are included among the sectors that have been most affected by the phenomenon studied.



Branches of activity with BL > 1 and branches of activity with FL > 1 are the followings ones:

Therefore, the key sectors (BL > 1 and FL > 1) of the regional economy are the following ones:

Within these key sectors are the Construction, Transportation and Business Services sectors (which include Administrative Services), which are sectors that have been particularly affected by the phenomenon studied, and that have a high influence on the evolution of the economic activity of the region.
6. Conclusions
The analysis conducted in this work has provided an aggregated view of the representation and economic impact of immigrant workforce in Madrid region. This type of research is important for planners and economic analysts on two levels: it approaches and examines the statistical figures involved, and also reveals the implicit interactions within the structural relationships of the economic and social fabric. These interactions are inherent to a productive system whose basic structure is reflected in the input-output tables. The information contained in these tables has enabled an in-depth analysis which quantifies the weight and economic impact, at an aggregated level, of the immigrant population exiting the labour market on the regional economy of Madrid as a consequence of the recent economic crisis.
The migration phenomenon and its effects on the regional economy generate a demand for information and analysis tools. Certain public bodies such as the National Statistics Institute which conducted the National Immigration Survey (INE, 2008) and, on a regional level, the Department of Social Policy and Family Affairs of Madrid region which conducted the Regional Immigration Survey (2017) provide valuable information on the labour market in Spain. Both these surveys offer information and data on the economic sectors that employ the immigrant population. However, after examining the information contained in most specialised studies, it can be observed that, although the economic cost derived from the immigrant population exiting the labour market is a matter of interest on a national and international level, there is a lack of macroeconomic estimates. The present research contributes to counterbalance this lack of information by offering global figures for the regional economy of Madrid, complementing the information provided by official organisations.
The modelling conducted is statistically based on an input-output framework and therefore provides a wider description of the actual cost derived from employment loss, since it quantifies the direct effect on the immigrant population while also incorporating the indirect and induced effects. The results obtained from the modelling can be summarised in terms of direct effect measured in terms of the reduction in the compensation of employees and broken down by activity branch, as previously mentioned in the paper. The decrease in production, GVA and employment has also been measured, disaggregated into direct, indirect and induced effects.
After identifying the eight sectors which concentrate the highest volume of foreign workforce, the direct loss in terms of compensation of employees has been calculated, including the positive variations associated to the tourist industry and service sector and specific to Madrid region, quantified at -1,142.58 million euros. The results obtained regarding the indirect effect show a decrease in production of 2,229 million euros, while the induced effect involves a decrease of 1,535 million euros. The impact on GVA is determined by an indirect drop of 966 million euros and an induced drop of 592 million euros. Finally, the impact on employment has implied the direct loss of 103,588 jobs, the indirect loss of 34,246 jobs and the induced loss of 12,696 jobs.
Although there is a similar work at national level (Camara and Medina, 2017), who analyse the cost of the labour market exit of the immigrant population, there are particularities in the immigrant participation in the Madrid region's labour market which justify the analysis of regional impact. Madrid is a region whose economy is highly focused on services sector, we find a high participation of immigrant workers in sectors such as Hospitality (43% compared to 14% at national level), Health and Social Services (38 % versus 5%) and Commerce (26% versus 13%).
This work has, therefore, translated into figures a phenomenon which has had serious effects on the economy of Madrid region in the context of a global crisis. Although the exit from the labour market of the immigrant population has mainly affected the people directly involved, the economic flows between the different sectors of society entail a substantial loss of revenue for the overall economy of the region (in terms of consumption and social contributions) with a subsequent slowdown in growth and development.
References
de Arce, R., & Mahia, R. (2010). An estimation of the economic impact of migrant access on GDP: the case of the Madrid region. International Migration, 51(1), 169-185. https://doi.org/10.1111/j.1468-2435.2010.00641.x
Bonifazi, C., & Marini, C. (2014). The impact of the economic crisis on foreigners in the Italian labour market. Journal of Ethnic and Migration Studies, 40(3), 493-511. https://doi.org/10.1080/1369183X.2013.829710
Cámara, A., & Medina, A. (2017). Un modelo multisectorial para medir el coste de la salida del mercado laboral de la población inmigrante es España. Información Comercial Española, 899, 97-108. https://doi.org/10.32796/ice.2017.899
Chamber of Commerce (2009). La Inmigración en España. Análisis por Comunidades Autónomas. Disponible en www.camaragranada.org.
Carrasco, C., & García, C. (2012). Inmigración y mercado de trabajo. Informe 2011. Documentos del Observatorio Permanente de la Inmigración, nº 28. Ministerio de Empleo y Seguridad Social.
Cebrián, J. A., Jiménez, B. C., & Resino, R. M. (2016). Inmigrantes emprendedores durante la crisis económica. Estudio de casos en la ciudad de Madrid. Migraciones. Publicación del Instituto Universitario de Estudios sobre Migraciones, 40, 63-92. https://doi.org/10.14422/mig.i40.y2016.010
Dietzenbacher, E. (1992). The measurement of interindustry linkages: key sectors in the Netherlands. Economic Modelling, 9(4), 419-437. https://doi.org/10.1016/0264-9993(92)90022-T
Doncel, L. M., Durá, P., Grau, P., & Sainz, J. (2014). Fiscal Sustainability and Immigration in the Madrid Region. International Migration, 52(6), 180-196. https://doi.org/10.1111/imig.12004
Elias, J. (2011). Inmigración y mercado laboral: antes y después de la recesión. "La Caixa", Servicio de Estudios.
Gil-Alonso, F., & Vidal-Coso, E. (2015). Inmigrantes Extranjeros en el mercado de trabajo español: ¿más resilientes o más vulnerables al impacto de la crisis?. Migraciones. Publicación del Instituto Universitario de Estudios sobre Migraciones, 37, 97-123. https://doi.org/10.14422/mig.i37.y2015.005
Guerra, A. I., & Sancho, F. (2011). Revisiting the original Ghosh model: can it be made more plausible?. Economic Systems Research, 23(3), 319-328. https://doi.org/10.1080/09535314.2011.566261
Ghosh, A. (1958). Input-output approach in an allocation system. Economica, 25(97), 58-64. https://doi.org/10.2307/2550694
INE (2008). National Immigration Survey. Documentos de trabajo 2/08.
Izquierdo, M., Jimeno, J. F., & Rojas, J. A. (2010). On the aggregate effects of immigration in Spain. SERIEs: Journal of the Spanish Economic Association, 1(4), 409-432. https://doi.org/10.1007/s13209-010-0021-8
Izquierdo, M., Jimeno, J. F., & Lacuesta, A. (2015). Spain: from immigration to emigration?. Documentos de Trabajo N.º 1503. Banco de España. https://dx.doi.org/10.2139/ssrn.2566723
Lahr, M. L., & Dietzenbacher, E. (Eds.). (2001). Input-output analysis: frontiers and extensions. Palgrave.
Medina, E., Herrarte, A., & Vicéns, J. (2010). Inmigración y desempleo en España: impacto de la crisis económica. Información Comercial Española, 854, 37-48.
Michelangeli, A., Pontarollo, N., & Vittucci Marzetti, G. (2019). Ethnic minority concentration: A source of productivity growth for Italian provinces?. Papers in Regional Science, 98(1), 17-34. https://doi.org/10.1111/pirs.12327
Miller, R. E., & Blair, P. D. (2009). Input-output analysis: foundations and extensions. Cambridge University Press.
Motellón, E., & López-Bazo, E. (2015). Job loss among immigrant and native workers: evidence from Spain’s economic downturn. Social Indicators Research, 120(2), 345-371. https://doi.org/10.1007/s11205-014-0596-8
Pérez, J. I. (2008). El marco legal y la problemática del empleo de los extranjeros en España: una perspectiva económica. In J. García Roca & J. Lacomba (Eds.), La inmigración en la sociedad española: una radiografía multidisciplinar (pp. 113-156). Ediciones Bellaterrra.
Pouliakas, K., Roberts, D., Balamou, E., & Psaltopoulos, D. (2014). Modelling the Effects of Immigration on Regional Economic Performance and Wage Distribution: A Computable General Equilibrium (CGE) Analysis of Three European Union Regions. Regional Studies, 48(2), 318-338. https://doi.org/10.1080/00343404.2011.653332
Regional Immigration Survey (2017). Observatorio de Inmigración-Centro de Estudios y Datos. Consejería de Políticas Sociales y Familia. Comunidad de Madrid. http://www.madrid.org/
Schultz, S. (1977). Approaches to Identifying Key Sectors Empirically by Means of Input-Output Analysis. Journal of Development Studies, 14, 77-96. https://doi.org/10.1080/00220387708421663
Sonis, M., Guilhoto, J., Hewings, G. J., & Martins, E. (1995). Linkages, key sectors and structural change: some new perspectives. The Developing Economies, 32(3), 233-270. https://dx.doi.org/10.2139/ssrn.2420129
Annexes






Additional information
JEL classification:: C82; R11; J61.
Corresponding author: angeles.camara@urjc.es
Acknowledgments: The authors would like to thank project ECO2016-75204-P (AEI/FEDER, UE) for the support received.