Resumen: Comparamos el efecto de obstáculos externos y capacidades internas de la firma sobre la innovación y la productividad, en la Patagonia versus resto del país para 2014-2016. Nuestra hipótesis es que el contexto regional incide en dichos efectos. Encontramos que en esa región los obstáculos externos afectan la decisión de inversión en innovación, como sucede a nivel nacional, pero además su intensidad. Las capacidades internas son más bajas que para el resto del país, pero tienen mayor incidencia para alentar la decisión de innovación. Estos hallazgos sugieren que la dimensión regional debe ser parte de la política de innovación.
Palabras clave:PatagoniaPatagonia,innovación regionalinnovación regional,obstáculos a la innovaciónobstáculos a la innovación,capacidades internascapacidades internas,productividadproductividad.
Abstract: We compare the effect of external obstacles and internal capabilities on firms’ innovation and productivity in Patagonia versus the rest of the country for 2014-2016. Our hypothesis is that the regional context influences those effects. We find that in that region external obstacles affect, not only the decisions to invest in innovation, as it happens nationally, but also its intensity. Internal capabilities are lower than in the rest of the country but have a greater impact to encourage innovation decisions. These findings suggest that the regional dimension should be considered in innovation policy.
Keywords: Patagonia, regional innovation, obstacles to innovation, internal capabilities, productivity.
Articles
Obstáculos y capacidades para la innovación desde una perspectiva regional: el caso de la Patagonia argentina
Obstacles and innovation capabilities from a regional perspective: the case of Patagonia in Argentina

Recepción: 13 Enero 2020
Aprobación: 14 Julio 2020
La Patagonia argentina posee características extremas: muy bajas temperaturas, muy baja densidad poblacional, estructura productiva muy poco diversificada y concentrada en la producción de hidrocarburos, altos salarios y costo de vida y muy baja inversión pública y privada en actividades de conocimiento. Es de esperar que estas particularidades devenguen en obstáculos a la innovación y a la productividad específicos a la región y además podrían incidir de manera diferencial en las capacidades de las firmas para superar dichos obstáculos. Si así fuera, convendría identificar los obstáculos y capacidades relevantes en dicho contexto para diseñar estrategias desde la política pública que remuevan o minimicen las asimetrías regionales, más aun teniendo en cuenta que la política pública en ciencia y tecnología en Argentina es fundamentalmente federal (Gonzalez, 2017).
En la literatura existe consenso acerca de la importancia de la innovación para la productividad (Griliches, 1979; Nelson y Winter, 1982; Romer, 1990) y de la existencia de fallas sistémicas que justifican la intervención de la política pública (Lundvall, 2010; Nelson, 1995) para que las firmas consigan superar barreras financieras, de conocimiento, de mercado y regulatorias que enfrentan para innovar (Blanchard, Huiban, Musolesi, y Sevestre, 2013; Pellegrino y Savona, 2017; Savignac, 2008). Cada vez más, asimismo, se señala al contexto productivo regional como aquél relevante para pensar las relaciones sistémicas que son importantes en términos de su incidencia en la productividad (Schwab, 2018, pag. 43). Sin embargo, hemos encontrado un solo trabajo que analiza diferentes obstáculos a la innovación desde una perspectiva regional, el de Iammarino, Sanna-Randaccio, y Savona (2009) para Italia.
El presente trabajo brinda evidencia de las asimetrías regionales en términos de obstáculos y capacidades y su importancia para explicar la productividad de las firmas. Se pregunta si entre la Patagonia y el resto del país:
Se utilizan los datos provenientes de la segunda onda de la Encuesta Nacional de Dinámica de la Innovación y el Empleo – Sector Manufacturero de la Secretaría de Gobierno de Ciencia, Tecnología e Innovación Productiva - Secretaría de Gobierno de Trabajo y Empleo que abarca el período 2014-2016 (de aquí en adelante ENDEI 2). La muestra de esta encuesta es representativa de las empresas del sector manufacturero argentino a nivel de sector, tamaño y, novedosamente, región, lo cual la convierte en un insumo ideal para el análisis que aquí se realizará, con foco en las particularidades patagónicas.12 Utilizamos estadística descriptiva para responder la primera de las preguntas señaladas, regresión lineal de panel para la segunda y modelos Tobit de tipo 2 para la tercera.
El resto del trabajo se estructura de la siguiente manera. En la sección 2 se realiza un breve repaso de la literatura de obstáculos a la innovación y de sistemas regionales. En la sección 3 se sitúa a la región patagónica en el contexto nacional en términos de algunas variables que resultan clave para la innovación y la productividad y de la política en ciencia y tecnología. En la sección 4 se presenta el diseño metodológico del análisis econométrico que se realiza y la sección 5 presenta los resultados obtenidos. Finalmente, la sección 6 concluye.
Existe un amplio consenso en la literatura económica desde los años ’80 acerca del rol que la innovación tiene como motor de la productividad y el crecimiento. Un punto de acuerdo de las contribuciones de la teoría neoclásica del crecimiento endógeno (Griliches, 1979; Romer, 1990) y los enfoques neo-schumpeterianos (Nelson y Winter, 1982) es la relevancia de la innovación y el cambio tecnológico como factor fundamental para sostener y potenciar el crecimiento económico en el tiempo.
Desde un punto de vista neo-schumpeteriano el rol de las firmas es central para pensar en el proceso de innovación: motivadas por incrementar sus beneficios llevan adelante actividades de búsqueda que involucran cambios en procesos productivos que les permitirían reducir costos o mejoras en la calidad, o introducir nuevos productos con objetivo de ampliar mercados o fidelizarlos. En este contexto es relevante entender cuáles son las barreras que afectan las posibilidades de innovar y/o de que los esfuerzos de innovación se traduzcan en aumento de la productividad y existe una literatura específica que ha caracterizado y clasificado los obstáculos a la innovación.
En el Manual de Oslo 1997, por ejemplo, la taxonomía se conforma con tres categorías de obstáculos: empresarial, económico y "otros" obstáculos (OECD/Eurostat, 1997). El Manual de Bogotá, que adaptó el Manual de Oslo al contexto de América Latina, tomó la misma taxonomía (Jaramillo, Lugones, y Salazar, 2001). La actualización de 2005 del Manual de Oslo los clasifica en cinco tipos: de costo, de conocimiento, de mercado, factores institucionales y otros tipos de obstáculos (OECD/Eurostat, 2005). Más recientemente, en la última versión del Manual de Oslo (OECD/Eurostat, 2019) se sugiere utilizar una lista de factores externos relacionados con el mercado (como competencia, financiamiento, cadenas de valor, etc.), con las políticas públicas (como regulaciones, infraestructura, estabilidad de la política pública) o con la sociedad (por ejemplo, reacciones de los consumidores frente a la innovación). A esta lista se puede agregar una segunda categoría para captar barreras o factores conducentes a la innovación que sean típicamente internos a las firmas (como falta de capacidades de los trabajadores), aunque tal lista no se presenta con el mismo nivel de detalle en el manual que la referida a los factores externos.
Existe también otra línea de investigación que, utilizando algunas de las taxonomías propuestas, intenta sistematizar el efecto que dichos obstáculos tienen sobre distintas variables de desempeño de la firma, en un intento por extraer implicaciones de política de ciencia y tecnología. Entre los diferentes tipos de obstáculos, aquellos asociados a los costos o financieros han sido los más investigados (Blanchard et al., 2013; Bond, Harhoff, y Van Reenen, 1999; Mancusi y Vezzulli, 2010; Savignac, 2008). Pero también hay estudios más abarcativos que analizan los distintos tipos de factores que dificultan la innovación. Por ejemplo, Pellegrino y Savona (2017) y Arza y López (2018) utilizan la taxonomía del manual de Oslo 2005 (obstáculos institucionales, de conocimiento, de mercado y de costo) utilizando información de Gran Bretaña y de Argentina, respectivamente3 y Maldonado-Guzmán, Garza-Reyes, Pinzón-Castro, y Kumar (2017) consideran barreras de recursos financieros, barreras del contexto y barreras de los recursos humanos y encuentran que las tres son perjudiciales para la innovación en México.4
El enfoque sistémico de la innovación (Lundvall, 2010; Nelson, 1995) señala que los procesos de innovación dependen de las características de las firmas, sus relaciones con otros actores en el entorno y las características acumulativas de la propia dinámica de los procesos de innovación y el cambio tecnológico. Si bien este enfoque se centró inicialmente en los Sistemas Nacionales de Innovación más tarde destacó el contexto regional como relevante (Cooke, Uranga, y Etxebarria,1997).
El perfil innovador de la firma dependerá en gran medida de los recursos físicos y humanos disponibles en la región (Crescenzi y Rodríguez‐Pose, 2013; Poonjan y Tanner, 2019) y de su patrón de especialización (Pavitt, 1984), que a su vez también se define endógenamente ya que se va modelando en base a recursos pre-existentes (Bosma, Schutjens, y Stam,2011). Por otro lado, los procesos de aprendizajes que surgen de las vinculaciones con terceros también dependen de la disponibilidad de opciones en el ámbito local (Etzkowitz y Zhou, 2018) y de los propios recursos de las empresas existentes que funcionan mejor o peor para atraer recursos materiales o cogntivos externos (Trippl, Grillitsch, y Isaksen,2018). La política pública tiene un rol clave en el comportamiento de las firmas y su relación con el entorno, y existen instituciones tanto nacionales como regionales capaces de generar esquemas de incentivos de relevancia para la región (Etzkowitz y Zhou, 2018). Por otro lado, también existen patrones culturales, que afectan el funcionamiento de los diferentes mecanismos señalados (Poonjan y Tanner, 2019).
Finalmente, todos estos mecanismos generarán procesos acumulativos y de retroalimentaciones, que abren oportunidades tanto como marcan límites. Entre las primeras se pueden mencionar la serie de externalidades asociadas a la existencia de economías de aglomeración (Audretsch, 1997); entre las segundas, se encuentra la propia matriz productiva y de políticas heredada. En el ámbito de la política pública, cualquier nueva construcción deberá empezar transformando o eliminando un set de instrumentos de política existentes e interactuar con una serie de actores tanto del ámbito regional como nacional relacionados en redes prexistentes que pueden contribuir con el fenómeno de policy lock-in (Moodysson, Trippl, y Zukauskaite,2017).
En suma, ni los factores que promueven la innovación ni las barreras que la frenan se distribuyen aleatoriamente en el territorio. Esto implica que existen potencialidades muy diferentes dentro de distintos sistemas regionales de innovación para crecer y desarrollarse y que las mismas suelen amplificarse por los mecanismos de retroalimentación señalados (Isaksen, Tödtling, y Trippl,2018). De esta manera, queda justificada la necesidad de tener la dimensión regional presente a la hora de diseñar políticas de ciencia, tecnología e innovación (CTI) (Tödtling y Trippl, 2005).
A pesar de la importancia que los factores de contexto regional tienen en definir el potencial innovador de las firmas de cada región, existen muy pocos antecedentes en la literatura de obstáculos a la innovación que aborden la problemática desde una perspectiva regional. Un ejemplo es Iammarino et al. (2009)5, que encuentran que en Italia las regiones del Sur suelen percibir mayor cantidad de obstáculos que en el resto del país, pero la muestra no es estratificada por región, por lo que los resultados deben tomarse con cautela.6Otro ejemplo es Alessandrini, Presbitero, y Zazzaro (2010) quienes analizaron las restricciones de acceso al financiamiento para la inversión en innovación de empresas pequeñas y medianas italianas, utilizando la región como unidad de análisis. Encontraron que las empresas ubicadas en regiones donde los bancos eran ‘funcionalmente distantes’, medido como una función de la cantidad de sucursales por región y la distancia de las mismas a casa matriz, tendían a ser menos innovadoras.
En suma, argumentamos que el contexto geográfico modera el rol que los obstáculos y las capacidades internas de las firmas tienen sobre la innovación. Los factores socioeconómicos presentes en el territorio, como la capacidad institucional, características demográficas, el tipo de formación del capital humano, el capital social, la disponibilidad de recursos externos, entre otros, definen sistemas regionales que generan condiciones particulares para las firmas que potencian o atenúan el rol de los obstáculos externos y las capacidades internas sobre la innovación. En este trabajo estudiamos esta hipótesis comparando la Patagonia con el resto de Argentina.
La Patagonia7 posee características que la diferencian del resto de las regiones del país. En términos geográficos y climatológicos, es la región con la mayor extensión de superficie, la que posee la temperatura promedio más baja y la que cuenta con el menor nivel de precipitaciones. En sus aspectos demográficos también presenta particularidades, resaltando una muy baja densidad poblacional8 y una activa movilidad migratoria.9 Entre sus aspectos económicos, la estructura productiva registra una elevada especialización en commodities intensivas en recursos naturales,10 al tiempo que los trabajadores de la región detentan los salarios promedio más elevados del país y, en particular, estos se registran en aquellos sectores más vinculados a la producción de recursos naturales.
El Gráfico 1 permite observar que las provincias patagónicas se agrupan mayormente en el cuadrante superior izquierdo en donde se conjugan los salarios relativos más elevados con los índices de diversidad productiva más baja. Estos altos salarios de la región, que se dan en el entorno de la más alta proporción de relaciones laborales formales entre las regiones del país, se enfrentan también a los niveles de precios más elevados del entorno nacional.11
La Patagonia tiene, a su vez, un carácter rezagado en una variedad de indicadores relacionados con la inversión y el desempeño científico y de conocimiento. En términos de inversión en Investigación y desarrollo (I+D) como porcentaje del Producto Bruto Geográfico la región resulta la más rezagada del país. Situación similar acontece con el número de egresados por cada mil habitantes y con la participación de egresados universitarios entre los ocupados (ver Gráfico 2 y Gráfico 3). El contexto de conocimiento parece ser más débil que en el resto del país y esto podría afectar las capacidades internas de las firmas y sus procesos de aprendizaje.
Por otro lado, según un estudio reciente en una de las regiones más prósperas de la Patagonia (Stubrin, Cretini, y Flores, 2020 (en prensa)), la región cuenta con una reducida masa crítica de empresas innovadoras y de capacidades emprendedoras, que a su vez enfrenta dificultades a la hora de atraer recursos externos y retener a personal calificado. Además, las vinculaciones con el sector de ciencia y tecnología son particularmente fragmentadas.
La literatura de sistemas regionales de innovación invoca la necesidad de articular diferentes niveles de gobernanza que importan a la hora de generar incentivos para la innovación (Fromhold-Eisebith, 2007). Esto no ha sucedido en el caso argentino (Niembro, 2018). En general, la literatura describe a las políticas de CTI en Argentina como un conjunto de instrumentos poco coordinados y heterogéneos (Arza, del Castillo, Aboal, Pereyra, y Rodríguez Cuniolo, 2018; Baruj, Kosacoff, y Ramos, 2009; Baruj y Porta, 2006; Lavarello y Sarabia, 2015).

Nota: el índice de diversidad productiva se calcula a partir de la llamada “diversidad de Shannon” para cada provincia argentina y para cada año entre 1996 y 2017 que se computa utilizando el empleo registrado de cada provincia en las distintas ramas de actividad a 4 dígitos de la CIIU. El eje vertical muestra el cociente para cada provincia y cada año entre el salario promedio provincial y el salario medio nacional. Las líneas punteadas reflejan los promedios nacionales de salarios y de diversidad productiva. El país se divide en cinco regiones: región Pampeana (al centro del país), región Patagónica (al sur del país), región de Cuyo (al centro-oeste del país), Nordeste Argentino (NEA) y Noroeste Argentino (NOA).
Fuente: Elaboración propia sobre la base de OEDE – Ministerio de Producción y Trabajo.

Nota: el último dato oficial recuperable es el de 2005 debido a la inexistencia de información de PBG más reciente.
Fuente: Elaboración propia sobre la base de SIDEP – MECON e INDEC.

En el plano regional, si bien la Ley 25.467 de CTI del 2001 establece como mandato la necesidad de elaborar un Plan de CTI que tenga en cuenta las prioridades regionales y sectoriales (artículo 9) organizando una estructura de funcionamiento de red, coordinado y flexible, fomentando la pluralidad y el surgimiento de espacios propios (artículo 7), en la práctica no se ha logrado la articulación provista (Gonzalez, 2017). Además, los programas provinciales de promoción de actividades de CTI han sido marginales (Niembro, 2018).12
En la Tabla 1 presentamos el gasto en Ciencia y Técnica presupuestado para organismos nacionales para el 2020, desagregando la porción que se ejecutaría en territorio patagónico. Las 24 provincias en conjunto explican el 68% de ejecución planificada en el presupuesto en esta área, siendo el resto de ejecución nacional. La región Pampeana (Buenos Aires, Córdoba, Santa Fe y La Pampa) absorbe la mayor porción de la ejecución regional (82% de ése 68%), siguiéndole la región patagónica en importancia (7,5% de la porción regionalizada o 5% del presupuesto nacional total de Ciencia y Técnica).
A su vez, el 95% de la porción del presupuesto nacional en Ciencia y Técnica localizado en la Patagonia se concentra en solo tres organismos: la Comisión Nacional de Energía Atómica (48%), la Comisión Nacional de Actividades Espaciales (28%) y el Instituto Nacional de Tecnología Agropecuaria (21%). Los primeros dos organismos tienen una incidencia importante en el dinamismo innovador de las empresas manufactureras y de servicios en sus regiones de influencia, ubicadas fundamentalmente en la provincia de Río Negro. Ambos organismos, además, se han vinculado fuertemente a lo largo de su historia aprovechando las sinergias existentes entre los desarrollos de la industria nuclear y la satelital, brindando desarrollos importantes para el país como la serie de misiones espaciales con satélites producidos por la empresa estatal INVAP (cuya sede central se ubica en la provincia de Río Negro), poniendo a la Argentina en la lista de los únicos 8 países que han producido sus propios satélites de telecomunicaciones (López, Ramos, y Pascuini,2019).

En términos de instrumentos política pública para promover la actividad industrial, un programa específico para la región, también de origen federal, es el “Régimen Especial Fiscal y Aduanero de Tierra del Fuego”, que brinda exenciones a diferentes impuestos, incluidos los derechos de importación y los reintegros a las exportaciones desde Puertos Patagónicos, cuyos orígenes se remontan a 1972. El objetivo de esa política de promoción estuvo y está asociado a mantener e incentivar el poblamiento de la región y a promover la actividad industrial con vistas a diversificar la estructura productiva nacional. Sin embargo, sus resultados han mostrado ser acotados, desarrollándose de manera predominante una industria de bienes de electrónica de consumo de carácter ensamblador y con un fuerte sesgo hacia el mercado interno, con escasa inserción en las cadenas globales de valor (Santarcángelo y Perrone, 2015; Schorr y Porcelli, 2014).
En suma, las condiciones particulares implican obstáculos y oportunidades diferenciales para las firmas de la Patagonia en relación con el resto del país. Por ejemplo, la distancia geográfica a los centros urbanos más importantes del país incide en los costos de transporte y logística, así como las condiciones climáticas extremas determinan cuestiones regulatorias asociadas a los diferenciales salariales que también afectan los costos. La especialización productiva en combustible facilita la generación de enclaves de alta productividad laboral, pero bajos encadenamientos hacia adelante y hacia atrás, limitando la generación de derrames de conocimiento. Asimismo, como toda producción de commodities, está sujeta a los vaivenes de los precios internacionales, contribuyendo a una mayor incertidumbre. Además, tanto los precios, los salarios, como la rentabilidad de la explotación de hidrocarburos son particularmente altos, atentando contra las posibilidades de diversificación. Toda esta situación se retroalimenta con el presupuesto escaso de ciencia y técnica para la región, aunque como vimos, existen algunos nichos dinámicos en la región asociados a tecnologías espaciales y de energía nuclear fuertemente promovidos por organismos públicos.
La fuente principal de datos para realizar los diversos análisis es la ENDEI 2, representativa del sector manufacturero argentino para firmas de 10 o más empleados13.
Primero analizamos las diferencias en la relevancia de los factores productivos entre la región Patagónica y el resto del país. Para ello estimamos una función de producción, ampliada para incluir dentro de los factores productivos una medida del stock de conocimiento de las firmas. Específicamente, estimamos la ecuación (1):
[1]Donde la variable dependiente representa el logaritmo natural del valor agregado por trabajador para la firma 𝑖 en el año 𝑡. Entre las variables independientes se incluyen los factores productivos tradicionales, capital (𝐶) y trabajo (𝐿), y una variable que aproxima el stock de conocimiento de la firma (𝐼).
Realizamos estimaciones de mínimos cuadrados ordinarios (MCO) y también aprovechamos la estructura de panel incorporando efectos fijos (EF) por firma (𝑢𝑖) y por año (𝜏𝑡 ). A continuación, esta función de producción se estimó incluyendo interacciones entre los factores productivos y una variable dummy indicativa de si la firma pertenece a la región patagónica, lo que permite observar si la Patagonia registra una productividad factorial diferencial con respecto al resto del país. En la ecuación (2) se presenta la especificación con interacciones.
[2]La significatividad estadística y el signo de las estimaciones de los parámetros 𝛽2, 𝛾2 y 𝛿2 brindarían evidencia sobre la existencia de una productividad diferencial en la Patagonia de los factores trabajo, capital y stock de conocimiento, respectivamente.
Inspirados en la propuesta presentada en el Manual de Oslo (OECD/Eurostat, 2019) que sugería ver factores externos e internos a la firma que podrían ser obstáculos o facilitadores de la innovación, construimos dos variables explicativas:14
Analizamos su efecto sobre tres medidas de desempeño de la firma: 1- la decisión de la firma de realizar diversas actividades de innovación; 2- el grado de intensidad con que la firma invierte en actividades de innovación; 3- la productividad laboral de la firma. Adicionalmente, se añadió un conjunto de variables de control para tener en cuenta la heterogeneidad entre firmas.
Un tema que ha resultado central en literatura de obstáculos de innovación es definir la "muestra relevante" e incluir solo a aquellas empresas interesadas en la innovación, para evitar sesgos, ya que las que no están interesadas suelen no identificar obstáculos y por lo tanto la relación empírica entre obstáculos e innovación se vuelve positiva (Blanchard et al., 2013; Mancusi y Vezzulli, 2010). Siguiendo la línea de Savignac (2008), Blanchard et al. (2013), Pellegrino y Savona (2017) y Arza y López (2018) se realiza un recorte en la muestra que se emplea en las estimaciones, de manera tal de evitar dicho el sesgo de selección. Específicamente, la muestra relevante a ser utilizada se compone de todas las firmas que: 1- registran actividad innovadora de algún tipo (realizan gastos en al menos un tipo de actividades de innovación o tienen resultados de innovación), y/o 2- manifiestan haber percibido algún obstáculo para la innovación.
Dos modelos base guiarán las diferentes estimaciones:
a. Modelo para la decisión de realizar AI y su intensidad: modelo Tobit tipo 2 con datos de corte transversal compuesto de dos ecuaciones, una para la decisión de realizar AI y otra para su intensidad (ecuación 3).
[3]b. Modelo para la productividad laboral: modelo con datos de corte transversal que se estimará a través de mínimos cuadrados ordinarios (ecuación 4).
[4]Ambos modelos se estiman con errores robustos clusterizados a nivel de rama de actividad y tamaño. Las variables involucradas en los modelos se definen de forma sintética a continuación y con más detalle en Tabla A.1. del Anexo.
: logaritmo natural del valor agregado por trabajador de la firma i-ésima. Promedio anual período 2014-2016 a pesos de 2014.
: variable dummy indicadora de la presencia de obstáculos externos para a la innovación asociados con características del mercado, regulatorias y de incertidumbre macroeconómica.
: variables dummy que toman el valor 1 en caso de que las firmas posean alta, media o baja diversidad, respectivamente, de capacidades15.
𝑋𝑖: variables de control que incluyen el tamaño de la firma ( ; medido como la cantidad promedio de empleados en el período) y una medida de “proactividad tecnológica” ( )construida a partir de las respuestas acerca de la capacidad organizativa y la estrategia empresarial de lafirma16 .
: variable latente inobservable que define que la firma realizará AI cuando su valor supera el umbral 𝑘1.
: variable dummy que toma el valor 1 cuando la firma realiza AI y cero en caso contrario.
: variable que captura la proporción de fuentes externas de información o inspiración a las que la firma recurre para llevar adelante sus actividades de innovación de un total de nueve posibilidades.
: logaritmo natural del valor promedio de gastos en AI para el período 2014-2016 (a preciosde 2014) dividido por la cantidad de trabajadores de la firma.
: variable dummy que toma el valor 1 si la firma pertenece a la región patagónica (provinciasde Chubut, Neuquén, Río Negro, Santa Cruz y Tierra del Fuego).
Con el objetivo de analizar las particularidades de la región patagónica se realizan estimaciones de los modelos (3) y (4) introduciendo alternativamente interacciones entre las variables de obstáculos externos y las medidas de diversidad de capacidades con la variable dummy que expresa si la firma pertenece a la región patagónica. De esta manera, la significatividad estadística, el signo y la magnitud de la estimación del parámetro relacionado con la mencionada interacción permitirán evidenciar la relevancia, dirección y la importancia económica del cada factor particular para la Patagonia.
Adicionalmente, dada la importancia de las barreras de costo en la literatura y el hecho de que la Patagonia posea efectivamente costos más altos que el resto del país, se realizó una variación a las estimaciones con el fin de analizar el rol que poseen específicamente las barreras de costos, reemplazando la variable de obstáculos externos enfrentados por la firma por una dummy que considera exclusivamente si las firmas enfrentaron “altos costos para el desarrollo de productos, procesos y/o cambios en la gestión”(). De esta manera podremos observar si este tipo de obstáculos se muestra particularmentenocivo para la productividad y/o las AI en la región patagónica.
En la sección 5.1 se realiza la lectura comparativa entre la Patagonia y el resto de país a partir de la estadística descriptiva de las variables más relevantes. Luego, en la sección 5.2, pasamos a los ejercicios econométricos sobre la función de producción agregada y los determinantes de obstáculos externos y capacidades internas de la innovación.
La Tabla 2 presenta las dimensiones más salientes que caracterizan a las firmas. Como primer elemento a resaltar, se observa que la productividad laboral (VA_l_avg_r) es significativamente más alta en la Patagonia que en el resto del país. Concomitantemente, los salarios son más altos en la Patagonia para todos los niveles jerárquicos (variables wr_nj_prom, wr_js_prom y wr_dg_prom, para el personal no jerárquico, las jerarquías medias y las jerarquías altas, respectivamente).


En la Tabla 3 se presentan una serie de variables que dan cuenta de las capacidades de las firmas. En primer lugar, la proporción de profesionales en la plantilla de ocupados (cap_h_prom) es menor en promedio en la Patagonia que en resto del país. Y, considerando a los profesionales, no hay diferencias en términos de la proporción de ingenieros. En segundo lugar, analizando los indicadores construidos para dar cuenta de las capacidades de conocimiento, organizativas y de producción de las firmas (capac_conoc, capac_organiz y capac_prod, respectivamente), solo en el caso de las capacidades organizativas las firmas de la Patagonia muestran estar rezagadas, mientras que no hay diferencias estadísticamente significativas con el resto del país para las capacidades de conocimiento y productivas. Las variables que miden diversidad de capacidades por su parte (DivCapALTA, DivCapMEDIA, DivCapBAJA, para diversidad alta, media y baja, respectivamente), muestran que efectivamente en la Patagonia hay una menor proporción de firmas que tienen capacidades altas en todos los aspectos evaluados, lo cual es significativo en tanto los tres tipos de capacidades son necesarios para impulsar la competitividad. Finalmente, si bien no pareciera haber diferencias significativas en términos de cómo las empresas de la Patagonia se vinculan con Universidades o Institutos Públicos de Investigación para realizar actividades de investigación, desarrollo y diseño (variables link_dis, link_id, link_idd), sí hay evidencia de que se nutren de una variedad menor de fuentes de información para la innovación (variable AmplFuentes), es decir, en términos de información relevante parecieran estar más aisladas.

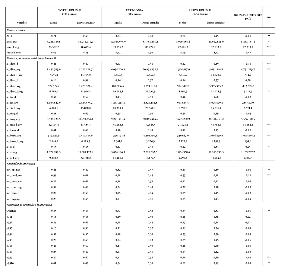
En la Tabla 4 se analizan variables que caracterizan el perfil innovador de las firmas. En primer lugar, en términos de esfuerzos, vemos que mientras un 71% de las firmas a nivel nacional declaró realizar alguna actividad de innovación (AI_d), en la Patagonia la proporción es de 64% y la diferencia es significativa. Una de las razones que explica este rezago de la Patagonia con respecto al resto del país se encuentra en la proporción de firmas que emprenden actividades de I+D internas (ai_idint_d) siendo de tan solo un 27% en la Patagonia versus un 42% en el resto del país. Las firmas que aprovechan Transferencia Tecnológica (ai_tt_d), sin embargo, son más preponderantes en la Patagonia, aunque este tipo de actividades sea uno de los menos realizados (17% en la Patagonia versus 12% en el resto del país). En el resto de las actividades de innovación la Patagonia muestra en general menores tasas de participación, pero las diferencias no resultan estadísticamente significativas.
En lo que respecta a montos invertidos en actividades de innovación, los gastos por trabajador (iaint_l_avg) resultan ser más altos en el caso de la Patagonia: se invierte en promedio 39,9 mil pesos anuales por trabajador frente a 22,7 mil en promedio para el resto del país (expresado a precios de 2014). Esta diferencia se explica fundamentalmente por la inversión en maquinaria y equipo para la innovación (variable ai_maq_l_avg; 36,9 mil pesos en la Patagonia, 21,7 mil pesos en el resto del país). En los otros rubros de esfuerzos, incluida la I+D, no se registran diferencias significativas entre la Patagonia y el resto del país, con la sola excepción de la I+D externa (ai_idext_l_avg), en la cual la Patagonia cuenta unos 10 mil pesos promedio al año por trabajador y el resto del país tan solo 4,5 mil pesos. Resulta interesante que estos valores para la I+D externa por trabajador son 1,28 veces más elevados que los de la I+D interna en la Patagonia, pero son sólo un 0,6 del valor registrado en el resto del país, sugiriendo que la región patagónica es una fuerte demandante de I+D que seguramente contrata en otras regiones o países.
En segundo lugar, en términos de resultados innovadores, el desempeño de las firmas de la Patagonia es peor que el de las firmas del resto del país. Mientras un 41% de las firmas del resto del país logró innovaciones de productos o procesos que resultaron novedosas a nivel nacional (inn_pp_nac), solo un 32% de las patagónicas alcanzó es objetivo. Si bien tanto en productos como en procesos la Patagonia muestra peor rendimiento, es en innovaciones en producto (inn_prod_nac) donde las diferencias son significativas. En cambio, no pareciera haber diferencias en los logros relativos a innovaciones blandas (i.e. organizacionales o comerciales).
Finalmente, en términos de la percepción de barreras a la innovación, las firmas de la Patagonia perciben menos obstáculos externos (ObstExt) que sus pares del resto del país. Mientras que en la Patagonia un 77% de las firmas registró alguno de estos obstáculos, un 83% lo hizo en resto del país.17 Entre los obstáculos específicamente registrados en la encuesta, encontramos que las diferencias significativas se dan para los ítems: dificultades para la importación de bienes claves para la innovación, por un lado, e incertidumbre económica y financiera, por otro (variables p739 y p7310, respectivamente). En ambos casos las firmas de las Patagonia perciben menos de estos obstáculos (11% vs 20 % de las firmas identifican dificultadas para importar en la Patagonia y el Resto del País y 54% vs 62% de las firmas, respectivamente, identifican dificultades asociadas a la incertidumbre).
La Tabla 5 muestra los resultados para las estimaciones de las ecuaciones (1) y (2), estimadas mediante MCO en las columnas [1] y [2] e incluyendo EF por firmas en las columnas [3] y [4].18
De los resultados resalta que en ningún caso resultan significativas las interacciones entre las variables de factores productivos con la dummy de Patagonia, es decir, no parece existir una función de producción con rasgos particulares para la Patagonia y los factores productivos son tan eficientes allí como en el resto del país.
En la Tabla 6 se presentan los resultados relacionados con la ecuación (3) cuando las variables dependientes son la decisión de realizar actividades de innovación (columnas pares) y la intensidad del gasto (columnas impares). Las dos primeras columnas presentan los resultados para la muestra completa sin considerar las particularidades regionales; en las columnas [3] y [4] incluyendo la interacción con la variable dummy de Patagonia para los obstáculos externos y en las columnas [5] y [6] para la diversidad de capacidades.
En la columna [2] se ve que efectivamente los obstáculos externos impactan negativamente sobre la decisión de invertir en actividades de innovación (las firmas que perciben obstáculos externos tienen en promedio 8,5 puntos porcentuales menos de probabilidad de realizar AI) y el hecho de ser una firma patagónica no modifica este resultado (columna [4]). En cambio, mientras que a nivel del total país pareciera que los obstáculos no reducen la intensidad de la inversión entre las firmas que ya realizan esfuerzos (columna [1]), en la Patagonia sí lo hacen (columna [3]).19

*** p<0,01, ** p<0,05, * p<0,1. Errores estándar robustos entre paréntesis.
"Missing dummy" indica que en todas las regresiones se incluyó una variable dummy indicadora de la presencia de al menos un tipo de gasto de innovación perdido, lo que implica que el valor de la variable que capta el stock de conocimiento se encuentra subestimada.
Fuente: Elaboración propia sobre la base de la ENDEI 2.

*** p<0,01, ** p<0,05, * p<0,1
Los valores reportados en la columna de "Decisión de realizar AI" se corresponden con el efecto marginal asociado al coeficiente del modelo probit estimado, con excepción de las celdas sombreadas, que muestran los coeficientes originales del modelo probit. Se incluyen dummies por rama de actividad (no reportadas). Errores estándar clusterizados a nivel rama-tamaño.
Fuente: Elaboración propia sobre la base de la ENDEI 2.

Con relación a las capacidades se hallan resultados interesantes. Las firmas que tienen mayores niveles de diversidad de capacidades son las que suelen invertir en actividades de innovación (columna [4]) y en la columna [6] vemos que en la Patagonia esto es todavía más cierto, la existencia de una variedad alta de capacidades influye todavía más en el perfil innovador de las firmas. Sin embargo, entre las que invierten, las firmas que tienen diversidad alta de capacidades invierten con menor intensidad en actividades de innovación por trabajador20 y esta característica no registra un patrón diferencial significativo para la Patagonia. Finalmente, las variables de control tienen el signo y la significatividad esperada.
La Tabla 7 muestra los resultados para la ecuación (3) cuando la variable dependiente es valor agregado por trabajador. Las columnas [1] a [3] replican los ejercicios discutidos para innovación en la Tabla 6. Los obstáculos externos afectan negativamente la productividad (las firmas que los perciben tienen un 19,7% menos productividad laboral21 que las que no) y no se registran diferencias significativas para la Patagonia. Con relación a las capacidades, como es de esperar, aquellas firmas que registran mayor diversidad de las mismas son las que alcanzan mayores niveles de productividad, pero a diferencia de lo que sucedía para la innovación, no hay un efecto diferencial en la Patagonia. Las columnas [4] y [5] focalizan en obstáculos de costos22. El grupo de firmas que identificó esta opción entre sus obstáculos tiene una productividad laboral 10% menor, es decir que captura una importante parte del efecto observado al considerar todos los obstáculos en conjunto, pero no encontramos un impacto diferencial para la Patagonia.
En este trabajo combinamos los aportes de la literatura sobre obstáculos a la innovación con la literatura de sistemas regionales de innovación argumentando que es esperable que los obstáculos que la firma enfrenta y sus capacidades internas están condicionadas por características del contexto regional, Empíricamente utilizamos el caso de la Patagonia, que es una región de Argentina que presenta marcadas asimetrías respecto de otras regiones con relación a cuestiones geográficas, demográficas, de conocimiento y socioeconómicas.
Utilizando datos de la encuesta de innovación de Argentina (ENDEI 2) para el sector manufacturero en el período 2014-2016, analizamos si las características propias del contexto de la Patagonia imprimen un sesgo diferencial a cómo los factores productivos, los obstáculos externos y las capacidades de las firmas se relacionan con medidas de productividad laboral y de innovación.
La literatura de obstáculos de innovación ha sugerido el uso de distintas taxonomías para clasificarlos. Luego de revisar diferentes estudios y taxonomías de barreras a la innovación y de analizar las posibilidades de nuestra fuente de datos, decidimos en este trabajo enfocar los determinantes de la innovación y la productividad a partir de una dimensión de obstáculos externos y otra de capacidades internas. Los obstáculos externos están asociados a factores de mercado, regulatorios y de incertidumbre macroeconómica, mientas que aprovechamos la riqueza de la ENDEI en la evaluación de diferentes aspectos de las capacidades de las firmas: organizacionales, productivas y de conocimiento y creamos un indicador de diversidad de las mismas. Se esperaría que las firmas que poseen niveles altos en distintas capacidades se encuentren mejor preparadas para afrontar distintos tipos de obstáculos.
Realizamos un análisis descriptivo de las diferencias entre las firmas patagónicas y las del resto del país en términos de productividad laboral, salarios, capacidades internas, esfuerzos, resultados y obstáculos a la innovación. En términos de innovación, aunque perciben menos obstáculos, las empresas patagónicas tienen peor desempeño en innovación de producto y en la proporción de firmas que deciden realizar inversiones en actividades de innovación. Considerando los factores que motorizan la innovación también están más rezagadas: muestran tener menores capacidades organizativas, una menor proporción de firmas con alta diversidad de capacidades (o sea menor proporción de firmas con niveles altos en los tres aspectos de capacidades que analizamos) y una menor proporción de profesionales en su plantilla. Así y todo, la productividad laboral de las firmas y consecuentemente los salarios son más altos en la Patagonia que en el resto del país. Es probable que esta diferencia esté escondiendo una diferencia de precios relativos más que una diferencia en el desempeño, ya que tanto los salarios como el costo de vida son particularmente altos en la Patagonia.
El análisis econométrico tuvo dos partes. Por un lado, al estimar una función de producción encontramos que el retorno de los factores productivos (capital, trabajo y conocimiento) sobre el valor agregado por trabajador es similar para firmas de la Patagonia que del resto del país. Es decir, dada la estructura productiva actual ningún factor es particularmente menos o más productivo en la Patagonia. La pregunta sería por qué a la región le cuesta diversificar la estructura productiva hacia otras actividades fuera de las pocas en las que se especializa. Es aquí donde cobra importancia pensar en los determinantes de la innovación, en los obstáculos y capacidades de las firmas para hacer cosas nuevas.
Al analizar los efectos diferenciales para la Patagonia en este sentido, encontramos dos resultados clave. Primero, los obstáculos externos no solamente afectan la decisión de inversión en innovación como sucede a nivel nacional, sino también su intensidad. Aunque en la sección descriptiva vimos que las firmas de la región perciben en promedio menos obstáculos externos, en la sección econométrica encontramos que el efecto sobre la innovación de aquellas que sí los perciben son más perniciosos. Si se piensa que los proyectos más ambiciosos y los que pueden tener mayor impacto socioeconómico son los que demandan más inversión, el hecho de que en la Patagonia los obstáculos externos no sólo interfieran en la generación de nuevos proyectos sino también en el tipo de proyectos que se encara, es un tema que merece particular atención desde la política pública. Segundo, las capacidades internas, que en la Patagonia son más bajas que para el resto del país, tienen mayor incidencia para alentar la decisión de innovación. El desarrollo de capacidades, de conocimiento, organizativas y productivas, debería ser por tanto también una prioridad en las políticas de desarrollo productivo para la región.
En suma, nuestro trabajo hace una contribución tanto a literatura de obstáculos a la innovación como a la de sistemas regionales de innovación. La implicancia de política directa es que las estrategias para actuar sobre los obstáculos que interfieren en la capacidad de innovar o de generar retornos socioeconómicos a la innovación deben realizarse teniendo en cuenta las dimensiones regionales. El impacto de los factores de contexto señalados en la literatura de sistemas regionales de innovación sugiere la importancia de contar con políticas flexibles de ciencia, tecnología e innovación que se adapten a las necesidades del sistema regional de innovación. Las estrategias que se desarrollan desde el centro con poca adaptación probablemente fracasarán en abordar fallas críticas que surgen de factores de cada entorno productivo. Esto podría lograrse aumentando el rol que los actores territoriales tienen en el diseño y la implementación de ciertas políticas de innovación. En algunos casos esto podría implicar una mayor transferencia de responsabilidades a ministerios provinciales, si se detectara que existen buenas capacidades de gestión, pero sobre todo mejorando las condiciones de interacción entre actores con presencia en los territorios regionales, como son empresas, organizaciones de investigación que tienen sede regional, universidades regionales y organizaciones de la sociedad civil con los responsables de la política pública.

Clasificación JEL: O3; R1.
Autor responsable de la correspondencia: varza@unsam.edu.ar
Agradecimientos: Agradecemos a la Dirección Nacional de Información Científica (DNIC) y la Subsecretaria de Estudios y Prospectiva (SsEyP) por brindarnos acceso a la Encuesta Nacional de Dinámica del Empleo e Innovación (2014-2016) – Sector Manufacturero (Secretaría de Gobierno de Ciencia, Tecnología e Innovación Productiva - Secretaría de Gobierno de Trabajo y Empleo) desde una computadora segura para el procesamiento de una base de datos anonimizada bajo su estricta supervisión. El trabajo forma parte del proyecto “Estudio de Fuentes de Competitividad de la Región Patagónica Argentina” de Jefatura de Ministros. Contó con el apoyo del Banco Interamericano de Desarrollo (BID) y del Fondo para la Investigación Científica y Tecnológica (FONCYT), proyecto PICT 2017-1331. Agradecemos también a Wendy Brau por su colaboración y comentarios, a Claudia Vázquez por sugerencias realizadas a versiones anteriores del presente trabajo y a un/a referee anónimo/a por comentarios que mejoraron la presente versión. Los errores y omisiones son solo nuestros.

Nota: el índice de diversidad productiva se calcula a partir de la llamada “diversidad de Shannon” para cada provincia argentina y para cada año entre 1996 y 2017 que se computa utilizando el empleo registrado de cada provincia en las distintas ramas de actividad a 4 dígitos de la CIIU. El eje vertical muestra el cociente para cada provincia y cada año entre el salario promedio provincial y el salario medio nacional. Las líneas punteadas reflejan los promedios nacionales de salarios y de diversidad productiva. El país se divide en cinco regiones: región Pampeana (al centro del país), región Patagónica (al sur del país), región de Cuyo (al centro-oeste del país), Nordeste Argentino (NEA) y Noroeste Argentino (NOA).
Fuente: Elaboración propia sobre la base de OEDE – Ministerio de Producción y Trabajo.
Nota: el último dato oficial recuperable es el de 2005 debido a la inexistencia de información de PBG más reciente.
Fuente: Elaboración propia sobre la base de SIDEP – MECON e INDEC.





*** p<0,01, ** p<0,05, * p<0,1. Errores estándar robustos entre paréntesis.
"Missing dummy" indica que en todas las regresiones se incluyó una variable dummy indicadora de la presencia de al menos un tipo de gasto de innovación perdido, lo que implica que el valor de la variable que capta el stock de conocimiento se encuentra subestimada.
Fuente: Elaboración propia sobre la base de la ENDEI 2.
*** p<0,01, ** p<0,05, * p<0,1
Los valores reportados en la columna de "Decisión de realizar AI" se corresponden con el efecto marginal asociado al coeficiente del modelo probit estimado, con excepción de las celdas sombreadas, que muestran los coeficientes originales del modelo probit. Se incluyen dummies por rama de actividad (no reportadas). Errores estándar clusterizados a nivel rama-tamaño.
Fuente: Elaboración propia sobre la base de la ENDEI 2.
