Location Decisions and Agglomeration Economies: Domestic and Foreign Companies
Decisiones de localización y economías de aglomeración: empresas domésticas y extranjeras
Location Decisions and Agglomeration Economies: Domestic and Foreign Companies
Investigaciones Regionales - Journal of Regional Research, no. 39, pp. 99-135, 2017
Asociación Española de Ciencia Regional

Received: 30 May 2017
Accepted: 25 September 2017
Abstract:
The international expansion of multinational enterprises (MNEs) is one of the topics most frequently discussed amongst international business scholars. In particular, decisions regarding firm location and its effects on performance have received great attention. The results obtained in the study about this relationship are inconclusive, though, since a large number of studies have been conducted from very different perspectives. One of these perspectives suggests that the location in agglomerations allows MNEs to benefit from potential knowledge spillovers en- couraging innovation and local adaptation. However, this co-location increases the risk of imitation by domestic companies as well. Furthermore, the acquisition by each firm of the external knowledge generated by means of concentration depends on its internal capabilities, and especially on its absorptive capacity. The aim sought with this work consists in analyzing the location decisions adopted by MNEs in an attempt to clarify the following issues: Are MNEs more likely to be established in agglomerations? Which companies benefit the most from geographical proximity in terms of innovation, domestic or foreign ones? What is the role of absorptive capacity? The results obtained in the analysis, carried out with a sample of firms and using data from a survey conducted in 2013 by PITEC, reveal the differences between foreign and local companies when it comes to using external knowledge.
JEL classification: D83; F23; L25; M16; R30.
Keywords: location choice, multinational enterprise, innovation, agglomeration, knowledge, absorptive capacity.
Resumen:
La expansión internacional de las empresas multinacionales (EMNs) constituye uno de los tópicos más analizados por los académicos e investigadores. En particular, una línea de investigación que ha recibido gran atención es la ecision a las ecisions sobre localización y sus efectos sobre la rentabilidad empresarial A pesar de este interés y como consecuencia de la diversidad de perspectivas adoptadas, los resultados sobre la relación entre localización y rentabilidad no son concluyentes. Una de estas perspectivas sugiere que la localización en aglomeraciones permite a la EMN beneficiarse de los flujos de conocimiento que allí se generan, lo cual facilita la innovación y la adaptación local. Sin embargo, la co-localización también aumenta el riesgo para las EMNs de ser imitadas por las empresas domésticas. Además, para cada compañía la adquisición del conocimiento externo generado con la concentra- eci empresarial depende de sus capacidades internas, especialmente su capacidad de absorción. En este ecisio, el objetivo de este trabajo consiste en analizar las ecisions de localización adoptadas por EMNs con la intención de clarificar los siguientes aspectos: ¿Tienden las EMNs a localizarse en aglomeraciones empresa- riales? ¿Qué empresas se benefician más de la proximidad geográfica en términos de innovación, las domésticas o las multinacionales extranjeras? ¿Qué papel juega la capacidad de absorción? Los resultados obtenidos en el análisis, el cual ha sido realizado con una muestra de empresas a partir de la base de datos del PITEC 2013, revelan las diferencias existentes entre las empresas multinacionales y locales en lo que se refiere al uso del conocimiento externo generado con las aglomeraciones.
Clasificación JEL: D83; F23; L25; M16; R30.
Palabras clave: localización, empresa multinacional, innovación, aglomeración, conocimiento, capacidad de absorción.
1 Introduction
The study about multinational enterprises (MNEs) and, particularly, about their foreign direct investment (FDI) activities has aroused great interest within academia (Dunning, 2001). In parallel, great attention has also been paid to the possible existence of positive and/or negative effects on innovation derived from location and, more specifically, from the concentration of firms within a single geographical space (Marshall, 1920; Jacobs, 1969; Jaffe et al. 1993; Almeida, 1996, Audretsch & Feld- man, 1996; Eaton & Kortum 1999; Bottazzi & Peri, 2002; Verspagen & Schoenmak- ers, 2004).
Being able to access potentially useful knowledge, sometimes of a tacit nature (Malmberg & Maskell, 2002) is one of the arguments justifying the establishment of subsidiaries or affiliates in external markets by multinationals. Nevertheless, because each geographical context has its own idiosyncrasy, the interaction model prevail- ing in each region will be different, and their lack of familiarity with the specific conditions of the local environment (e.g. institutional and cultural aspects) places MNEs in a disadvantaged position with respect to local firms in terms of access to external knowledge. Furthermore, it can also be stated from the dynamic capabilities approach that co-location neither necessarily ensures access to external knowledge nor its exploitation, which will ultimately depend on each firm’s absorptive capacity.
This paper has a twofold aim: firstly, to help reduce the extensive «dissocia- tion» that exists between the literature on agglomerations and that focused on MNEs (Hervás et al., 2015); and secondly, to analyze the decisions about the location of Spanish subsidiaries of MNEs, trying to shed light on the following issues: Does the agglomeration level characteristic of an area or region influence the innovation of the firms based there? If that is the case, which firms are benefited or damaged to a greater extent by physical proximity in terms of innovation: local firms or foreign ones? What role does absorptive capacity play in this context?
The development of these ideas has its starting point in the establishment of several hypotheses based on the literature review offered in the next section. These hypotheses will be the subject of a contrast with a sample in Section 3, where a de- scription of the methodological aspects is provided as well. Section 4 brings together our findings, which show the differences found between autochthonous and foreign companies, their discussion being reserved for Section 5.
2 Literature review
The innovative activity undertaken by MNEs has experienced significant trans- formations in recent times: along with the classical function of technology transfer from the parent company to its subsidiaries, other functions have become consoli- dated which refer to the search for technological assets at an international level and the creation of new technological capabilities on those bases. This new dynamic has been favored by an increase in the complexity that characterizes innovative processes, which require a combination of internal and external knowledge (Ches- brough, 2003).
Some of the first works to focus on the analysis of foreign direct investment (FDI) highlighted the advantages enjoyed by investing companies as opposed to firms which operated exclusively in their national environment when it comes to as- pects such as product differentiation (Caves, 1971), size and scale (Hirsch, 1976), or the public nature both of knowledge and of exploitable technology inside the actual firm (Horst, 1972).
However, Buckley and Casson (1976) were the earliest to apply the transaction cost theory of the firm (Coase, 1937) in the explanation of direct investment and the behavior of multinational enterprises1. According to this approach, a firm that wishes to carry out activities abroad can choose between a variety of modalities, including foreign direct investment, exportation from the country of origin, or the formalization of contracts such as licenses or franchises2. Faced with this situation, foreign direct investment takes place when international markets are characterized by having failures, linked to the existence of high transaction costs, such a situation being more likely when the transaction includes knowledge (Arrow, 1962).
In turn, one of the most important references for the study about foreign direct investment can be found in the eclectic or OLI paradigm (Dunning, 1977 and its subsequent developments by the same author), according to which the implementation of value-generating activities abroad by domestic firms depends on the availability of ownership advantages over third parties in the development of that activity, of internalization advantages brought by such undertakings, and of advantages related to their operation in the selected location compared to other alternatives. This approach suggests that, when MNEs adopt the decision to carry out FDI activi- ties, the specific choice of a location for those activities depends on the goal sought by the corporation. Dunning (1993) proposes a typology of FDI activities, drawing a distinction between those which are performed seeking resources, markets, effi- ciency, and strategic assets, which will depend on the sort of activity that they must develop.
This search for new markets to commercialize the firm’s products responds to different pressures such as the continuous escalation of certain costs required for innovation or the reduction in the lifecycles of products and processes. As regards the search for efficiency, when it comes to lower-added-value activities, MNEs tend to opt for their outsourcing and relocation to low-cost places; instead, higher- added-value activities are usually located in more advanced economies (Mudam- bi, 2008).
Concerning the search for strategic assets, a first aspect worthy of consideration is the fact that the greater complexity of innovative activities necessarily entails the incorporation of new knowledge from highly diverse origins. Therefore, however technologically advanced the country of origin may be, the MNE needs to open to other possible collaborators from various environments so that access can be gained to new knowledge. As a large proportion of the potentially valuable knowledge has a tacit nature, an inescapable need seems to exist to invest in different countries, as a means to pursue the physical proximity that can favor the acquisition of that knowl- edge, as well as its integration into the enterprise.
In addition to the transaction cost theory of the firm and the OLI approach, there are also other contributions originated from the innovation theory which help explain the international deployment carried out as a consequence of the firm’s innovative approach (Casson, 1991; Pearce and Singh, 1991; Cantwell and Molero, 2003).
With regard to co-location advantages, these can also be exploited by local companies. That is why the following subsections will try: firstly, to describe how agglomeration generates advantages for innovation in co-located firms, regardless of whether they are local firms or MNE subsidiaries; secondly, to as- certain the role played by AC in the acquisition of knowledge by both types of enterprises; and thirdly, to identify the differences existing between local and foreign firms.
2.1 Advantages derived from the location in agglomerations for local firms and MNEs
One of the essential ideas within the research focused on agglomeration is that the concentration of economic activity generates different types of externalities (An- selin et al., 1997; Audretsch, 2003). These external economies, also known as ag- glomeration economies, imply that the benefits which a firm can obtain from being located near others increase with the number of firms based on the same location (Appold, 1995; Knoben et al., 2008).
A number of works show that MNEs have a preference for areas or regions characterized by agglomeration in their location decision (Gong, 1995; Head et al., 1999; Wheeler and Mody, 1992) because that type of location brings them certain advantages. Examples of these advantages would be lower costs and better chances for the availability of specific and highly-qualified labor (Makino et al., 2002; Sethi et al., 2003), those derived from the negotiations with local governments that pro- vide incentives for the establishment of R&D activities in their territories (Meyer and Nguyen, 2005; Mudambi, 1998), or the access to a specific range of scientific- technological resources thanks to the concentration of innovative activity (Pelegrin and Bolance, 2008).
Nonetheless, this agglomeration may also result in negative effects on business results, since firm concentration generates congested places (Swann et al., 1998) with a higher degree of competition for the various factors (land, workers...) (Glaesmeier, 1991; Pouder and StJohn, 1996; Prevezer, 1997; Flyer and Shaver, 2003; Folta et al., 2006; Arikan and Schilling, 2010).
From the knowledge-based firm view (Kogut and Zander, 1992; Grant, 1996; Malmberg and Maskell, 2002), the best location for the subsidiaries of an MNE will be the one which, depending in its greater or lesser level of agglomeration, grants better chances of access to the external knowledge generated in that location. As a matter of fact, when the external knowledge which constitutes the source of competi- tive advantage has a tacit nature, this decision comes to acquire special relevance for the MNE (Chung and Alcacer, 2002; Nachum and Keeble, 2003).
In an attempt to clarify this controversy around the effect that the agglomeration level has on innovation, we will follow Rosenthal and Strange (2004), according to whom agglomeration is an attribute of each location which depends not only on the number but also on the industrial, geographical, and time-related variety of the co- existing firms3. These characteristics additionally fix limits regarding the knowledge that circulates between neighboring enterprises.
Along these lines, several papers suggest that the «effect caused by the level of agglomeration» largely depends on the existence, as well as on the importance acquired by the urbanization economies, specialization economies, and knowledge intensity economies that characterize each place (Knoben et al., 2016; Claver-Cortés et al., 2016).
Urbanization economies (Jacobs, 1969) are those resulting from the concentra- tion of firms which develop various economic activities within a particular area or region. This concentration gives rise to a number of advantages or «fixed effects» of location (e.g. transport connections, climate, time zone, or cultural capital) which do not directly depend on the co-location of related enterprises or institutions (Swann et al., 1998).
However, and most interestingly, environments like these house a plurality of technological and commercial realities, with the resulting multiplicity of knowledge types, the exchange, complementariness, and combination of which may give a boost to innovation (Frenken et al., 2007). The lack of technological and competitive con- nection is likely to raise barriers to interaction between firms, the existence of a wide range of specialized services and agents that can act as conductors and intermediaries for these encounters acquiring special relevance. This infrastructure must recreate an atmosphere where cooperation between enterprises —from very different origins and between which no direct rivalry exists— is feasible and permits to generate new knowledge.
A first hypothesis can be posed from these ideas:
Hypothesis 1a: The existence of urbanization economies favors innovation in local firms and MNEs.
Specialization economies (Marshall, 1920; Glaeser et al., 1992) are the ones which derive from the specialization of economic activity in an industry within a spe- cific area or region. Inside that location, firms will be able to enjoy advantages such as an increased specialization of workers or supplies.
This spatial concentration of enterprises belonging to the same industry also gen- erates externalities by the possibilities for companies to learn from one another. In this case, the mastery of a common language and knowledge base makes it possible to achieve a higher degree of interaction between firms, and as a result, a higher likelihood of generating new knowledge. Hence why the following hypothesis is for- mulated:
Hypothesis 1b: The existence of specialization economies favors innovation in local firms and MNEs.
Finally, knowledge intensity economies (Knoben et al., 2016) stem from the lo- cation close to knowledge-producing agents and/or firms, whose coexistence creates an environment where knowledge is valued, transferred, and generated. This higher knowledge intensity is the one which defines those areas or regions which, despite lacking in industrial specialization, manage to bring together agents characterized by their orientation towards knowledge and their innovative potential, creating an atmosphere that encourages the coordination of collective effort, and it is often driven by the role performed by certain local institutions (McEvily and Zaheer, 1999).
Based on the above, our third hypothesis can be stated as follows:
Hypothesis 1c: The existence of knowledge intensity economies favors innovation in local firms and MNEs.
2.2 The role played by absorptive capacity
The expertise of these subsidiaries to innovate and, ultimately, to survive, de- pends on their receptivity before changes in the environment, on their own skill to form part of external knowledge networks with other firms and institutions inside their own local environment, and on their ability to make the most of knowledge.
It can be stated in this respect that many firms are exposed to identical envi- ronmental conditions, but not all of them are able to turn external knowledge into results with the same level of success, because they differ in their ability to utilize these knowledge sources (Rothaermel and Hess, 2007). By way of example, using a sample of MNEs with subsidiaries in Sweden, Persson (2006) highlights the fact that nearly 60 per cent of the latter do not take advantage of local knowledge to innovate.
In fact, as firms gain access to more and more sources of potentially useful ex- ternal knowledge, the possible combinations of that knowledge increase too and so does accordingly the complexity of its management. Therefore, if a firm is unable to manage and exploit such knowledge, that will most probably limit its possibilities to innovate (Henderson and Clark, 1990; Laursen and Salter, 2006), it being nec- essary to highlight the role of absorptive capacity —hereinafter AC— (Cohen and Levinthal, 1990). This capacity directly associated with the firm’s ability to learn is a multidimensional construct which allows for knowledge acquisition, assimilation, transformation, and exploitation.
In tune with the definition offered by Cohen and Levinthal (1990), some models identify three dimensions (Szulanski, 1996; Lane and Lubatkin, 1998; Todorova and Durisin, 2007) or components of the learning process (Lane et al., 2006; Lichten- thaler, 2009; Volberda et al., 2010; Fernández-Mesa et al., 2014) to characterize AC development level. In other words, AC will depend on the organizational capacity:
— To explore and show receptiveness before any knowledge coming from out- side, locating, identifying, and assessing the one which is considered valuable.
— To transform/assimilate and manage to understand and internalize new knowledge, integrating it into the already existing knowledge, which will suffer a transformation after the combination.
— To exploit and find the way to apply new knowledge, from the existing knowledge base and the investment made in its generation and updating.
AC level will thus be determined by the development achieved in its exploratory, transformative, and exploitative dimensions.
Concerning the relationship between AC and innovation, it has become clear that AC positively affects the possibilities of innovation, understanding the latter in terms of technological innovation (Cepeda-Carrión et al., 2012), process and organization- al innovation (Murovec and Prodan, 2009), product innovation (George et al., 2001), patent generation innovation (Sørensen and Stuart, 2000), etc. This allows us to put forward the following work hypotheses:
Hypothesis 2a: A greater development in the exploratory dimension of AC has a positive effect on innovation in local firms and MNEs.
Hypothesis 2b: A greater development in the transformative dimension of AC has a positive effect on innovation in local firms and MNEs.
Hypothesis 2c: A greater development in the exploitative dimension of AC has a positive effect on innovation in local firms and MNEs.
2.3 Differences between local and foreign firms
The position of multinational enterprises regarding knowledge management is peculiar because, unlike what happens with other types of firms, the external knowl- edge potentially accessible for them may come from the global environment or from the local environments of each one of its subsidiaries (Zhang and Cantwell, 2013). Nevertheless, local firms find themselves in a better position than foreign ones when it comes to accessing and exploiting local external knowledge due to their degree of integration into local networks. Without interactions and the existence of insertions in those local networks, the subsidiary will not be able to access and exploit non-formal information flows, territorial resources and, particularly, potentially useful external knowledge, normally of a tacit nature (Tallman and Chacar, 2011; Giuliani et al., 2014).
Marioti et al. (2010) actually found that MNEs prefer not to be located next to domestic firms because they have the impression that the possible gain of external knowledge that they might obtain is smaller than the one which those autochthonous rivals can achieve.
Consequently, referring to the possibilities offered by environments character- ized by a concentration of firms, it is necessary for us to bear in mind that:
— Geographical proximity between agents becomes necessary to promote so- cial learning processes by means of knowledge sharing and creation. This co- location does not suffice to generate the interaction between agents needed to produce that learning, though.
— The interaction which arises through the location near other firms need not always be necessarily fruitful. In this case, it may happen that external knowledge is not sought to innovate, which would mean that the role assigned by the parent company to the subsidiary does not consist in exploring and absorbing that knowledge. Veugelers and Cassiman (2004) argue that MNE subsidiaries are not interested in the knowledge exchanges which usually take place in R&D-centered alliances. Instead, having that network of international collaborators which favors access to the most advanced knowledge and technologies seems to be more important for local firms, even though the knowledge flows coming MNEs which have established themselves next to them are not always positively taken advantage by those local firms.
In other words, inter-firm learning within a local environment needs an interac- tion which is not always guaranteed by the proximity of facilities. There must be a desire and a capacity to participate in local knowledge networks, domestic companies being better positioned in this respect, since they have fewer alternatives and share more features with one another. Taking these reflections into account, the hypothesis below is proposed from a clearly exploratory approach:
Hypothesis 3: Innovation in local firms is more sensitive to agglomeration (in its urbanization, specialization, and knowledge intensity dimensions) than that under- taken in MNEs.
3 Research methodology
Eight logistic regression or logit models were suggested to test the hypothesis posed, one for each type of innovation (product/service, processes, organizational practices, commercialization) in each one of the two groups of firms examined (do- mestic firms and MNE subsidiaries).
Logistic regression is generally used to model the behavior of a non-continuous, categorical, and specifically binomial response variable (). In our case,
(1)being = product/service, processes, organizational practices, commercialization.
Each one of the logistic regression models proposed has as its aim to find out which factors contributed to determine each type of innovation (). More precisely, the specification of the logit model to estimate would be as follows:
(2)For simplification purposes, we can define:
(3)
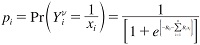
(4)Where
B0 = constant of the estimated model.
Bi= coefficient of the i-th predicting variable (xi).
xi= i-th predicting variable, i = 1, ...n.
= exponential function.
and piis the likelihood of the response variable assuming the value of 1, given the values of the xivariables.
The specific equation which summarizes the established relationships and, there- fore, the one which must be estimated within an iterative process to test the proposed hypotheses, would look like this:
(5)The three agglomeration level indicators —AGGLURB, AGGLSPE, and AG- GLKNO— represent agglomeration in terms of urbanization, specialization, and knowledge intensity, respectively. In turn, ACXPR, ACTRN, and ACXPT respec- tively provide an approximation to the three dimensions of AC: exploration; transfor- mation; and exploitation.
To these explanatory variables are added a number of control variables which stand for years of operation (AGE), membership in a business group (GROUP), size (SIZE), activity sector (SECTHTM for high technology manufacture, SECTMHTM for medium-high technology manufacture, and SECTHTS for high- or cutting-edge technology services)4, and geographical markets that it serves (REGISCO if it is a local or regional market, NATISCO for national markets, EUSCO for European mar- kets, and OTHESCO for other markets).
SPSS version 23 was used as a statistical package.
3.1 Description of the population
The definition of the population under study must take into consideration that the technological dynamism or turbulence typical of each industry is a variable that can significantly influence not only the greater or lesser propensity to innovate (Patel and Pavitt, 1995; Cohen, 1995) but also other relevant variables for this study, as is the case of AC (Martínez-Senra et al., 2013). Hence why it seems advisable to focus the analysis in sectorial terms.
As for the selection of the sector (or sectors), a literature review permits to conclude that numerous works base their search for evidence about the link between agglomeration and innovation on knowledge-intensive or high-technology industries, such as biotechnology, pharmaceutical research, nanotechnology, to quote but a few (Saxenian, 1996; Porter and Stern, 2001; Stuart and Sorenson, 2003; Cook, 2004; Owen-Smith and Powell, 2004; McCann and Folta, 2011; Varga et al., 2014, amongst others).
In these types of industries, when firms focus on obtaining complex products, they need a broad skill or knowledge diversity corresponding to multiple techno- logical disciplines, which must be permanently updated in order to respond to the ever-changing market conditions. By way of example, in certain industries, like that of biotechnology, where the knowledge base is scattered due to its actual complex- ity, the generation of new knowledge applicable to new products seems more likely to happen through a group of firms rather than on an individual basis (Powell et al., 1996). A need arises to resort to external knowledge in this context (Chesbrough, 2003), and agglomerations are required where not only the learning of knowledge from others but also the creation of new valuable knowledge through interaction be- comes more likely.
In view of all the above, a decision was made to confine the analysis to firms based in Spain and belonging to high and medium-high technology sectors which, according to the classification used by the National Statistics Institute (hereinafter, INE, for its initials in Spanish), may be both manufacturing or service sectors. Even though it is true that these sectors do not have a high representation in Spain (66,224) compared to the total number of firms (3,146,489), when it comes to employment, they account for 7.0% of the total number of employed persons, and their turnover represents more than 20% of GDP.
However, as it happens in any other sector, not all the enterprises operating in it necessarily have to show an interest in accessible external knowledge. Hence why our research exclusively focuses on firms for which it can indeed be important to complete their knowledge base with external knowledge, thus reducing the study population to those High and Medium-High Technology firms that carry out5 R&D (hereinafter, AM- ATID, for its initials in Spanish).
Table 1 summarizes —without drawing a distinction between sectors— how all the firms and subsidiaries of foreign companies in Spain are distributed across the different autonomous regions. According to that information, Madrid and Catalonia are the two autonomous regions with a higher business population density in absolute as well as relative terms, regarding both the total number of firms and the number of MNE subsidiaries. The third and fourth positions correspond to the Valencian Region and Andalusia if only the population of subsidiaries is considered (almost 5 out of each 100 subsidiaries of foreign companies in Spain choose one of these regions). Nevertheless, from the perspective of the weight that the population of MNE subsidiaries has in the total proportion of businesses located in each autonomous region, Navarre and the Basque Country (3 out of each one thousand firms are foreign) are the regions which comparatively attract the most foreign investment in the form of subsidiaries, after Madrid and Catalonia.

Furthermore, following a sectorial criterion, the location patterns of high and me- dium-high technology (manufacturing and service) firms which engage in R&D once again suggest that Catalonia, with 1,242 firms, and Madrid, with 948 firms —18.45% and 15.76%, respectively— are situated above the national average. Nonetheless, the ranking of territories varies to a large extent if the total number of firms located in each region are taken into consideration, Basque Country, Navarre, and Aragon (in this order) standing out as the regions with the highest relative representation of such firms (fourth column in Table 2).

* AMATID: High and Medium-High Technology firms which carry out R&D.
Source: Statistics for R&D (INE).The observation of these data allows us to argue that Spanish regions are not equally attractive as business locations, neither for Spanish firms nor for the MNEs which decide to carry out FDI activities in Spain, neither in the specific case of high and medium-high technology companies nor in the business fabric as a whole. In this regard, it seems interesting to reflect on whether these differences are due to some kind of reason associated with the existence of innovation networks specific to each region that attract investments.
Spain has a nationwide network of Technological Centers and Technological Innovation Support Centers (hereinafter CTCAITs, for its initials in Spanish), which are non-profit private entities created for the purpose of making a contribution to the overall benefit of society and improving the competitiveness level of firms through the generation of technological knowledge, carrying out R&D&I activities and developing their application, and providing innovation support services as well6. The success achieved by these Centers, closely linked to the business environment, is measured according to the competitive improvement of firms and to their contribution to the economic development of the region where they are located. It thus seems interesting, insofar as they can drive and develop the promotion of innovation, to know how they are geographically distributed across the country.
Table 3 shows the number of CTCAITs listed on the Directory of Technological Centers and Technological Innovation Support Centers located in each autonomous region, both in absolute terms and in relative terms for each 1,000 firms. According to this indicator, the first positions are occupied by Navarre and the Basque Country, whereas Catalonia and Madrid rank 14th and 16th, respectively.
3.2 Sample description
The selected sample was obtained from the PITEC (Spanish abbreviation for Technological Innovation Panel) database, elaborated on the basis of the Survey about Innovation in Firms. This database makes it possible to monitor the techno- logical innovation activities undertaken by Spanish companies and has been prepared since 2004, thanks to the collaboration between the National Statistics Institute (INE) and the Spanish Foundation for Science and Technology. PITEC included the re- sponse of 10,074 firms in 2013, 2,096 of which belonged to high and medium-high technology sectors.
Not all the firms included in this group necessarily engage in R&D, though, this being a first requirement imposed for the survey to be representative of the population. To which must be added that this panel comprises cases of firms which perform their R&D activities in several autonomous regions. Seeking to be able to detect and isolate a location effect on innovation, if it exists, a decision was made to select only those enterprises which develop this function in a single autonomous region. With the aim of identifying this location, and bearing in mind that it is ultimately the employees that serve as conductors of tacit knowledge, it seemed reasonable for us to conclude that this place coincides with the physical location of internal R&D employees.

Based on these markers, there are 1,610 firms which concentrate R&D imple- mentation in a single autonomous region and consequently shape the sample utilized here. Table 4 provides a breakdown of the number of local firms and subsidiaries of MNEs whose R&D activity is centralized in each region.

In turn, Table 5 shows the distribution of the firms shaping our sample by activity sector, drawing a distinction between local firms and MNE subsidiaries.

3.3 Coding of variables
Table 6 summarizes the relevant information concerning the variables defined to perform the analysis, subsequently providing specific details about the decisions and measures adopted for their definition.

NOTE: the geographical reference unit in AGGSPE and AGGKNO is the Autonomous Region.
Source: Elaborated by the authors.

NOTE: the geographical reference unit in AGGSPE and AGGKNO is the Autonomous Region.
Source: Elaborated by the authors.Dependent variable
INNOVATION
One of the measures commonly utilized to estimate innovation refers to the number of patents (Henderson and Cockburn, 1994; Dutta and Weiss, 1997; Squicciarini, 2008; 2009; Vásquez-Urriago et al., 2014). This indicator has some disadvantages, though. On the one hand, not all sectors are in a position to patent their innovations. For instance, only that which is susceptible of having an industrial application —expressed differently, when it is physically possible to manufacture the invention (Spanish Patent and Trade- mark Office)— can be patented in Spain. On the other hand, should it be considered that the application for a patent may result in imitators copying or absorbing the knowledge that is meant to be protected, firms can directly choose not to register these innovations.
In the light of all the above, and trying to capture a broad meaning of innovation in keeping with the recommendations made in the Oslo Manual (OCDE, 2005)11, a decision was adopted to consider whether or not the firm has undertaken some type of innovation in products (goods and/or services), processes (manufacturing or production methods, logistic systems, and/or support activities for its processes), organizational practices (work organization or business procedures, responsibility distribution and de- cision making, and/or management of external relationships with other enterprises or public institutions) or in commercialization (product design or packaging of goods or services, techniques or channels for product promotion, methods for product position- ing in the market or sales channels, or methods for the pricing of goods and services).
For this purpose, twelve dichotomous PITEC variables that assess the extent to which those types of innovation have taken place served as the basis to build four di- chotomous variables which indicate whether the enterprise innovated or not in prod- ucts (INNPRD), processes (INNPRC), organizational practices (INNORG), and/or commercialization (INNCOM) between 2011 and 2013 (Montoro-Sánchez et al., 2012). Table 7 shows the number of local firms and MNE subsidiaries which carry out each type of innovation.

Independent variables
AGGLOMERATION
The level of agglomeration will be determined by the existence of urbanization economies, specialization economies, and economies derived from knowledge intensity.
Urbanization economies are usually generated in cities or urban nuclei. The prob- lem raised by our database lies in the fact that the specific city where the enterprise develops its R&D activity is unknown. Hence our decision to use a proxy indicator to try and test this effect, which assesses whether the firm is located in a Scientific- Technological Park (hereinafter STP) or not.
An STP contains the breeding ground typical of business agglomerations which helps generate positive externalities because firms operating in different industries lie near to one another. STPs additionally have a management body which strives to improve business results through the use of strategies such as the promotion and creation of technology-based companies, the transfer of research to commercial ap- plications, the attraction of firms with cutting-edge technology, or the boost to stra- tegic networks and alliances, amongst others (Siegel et al., 2003; Felsenstein, 1994; Colombo and Delmastro, 2002).
Consequently, it can be concluded that these parks are locations characterized by the agglomeration of firms and other organizations in which innovation is favored through the encouragement of cooperation and placing a physical and social infra- structure at the disposal of agents that stimulates external knowledge creation, access, and acquisition (Squicciarini, 2008; 2009). Therefore, taking these arguments into ac- count, the location in an STP can actually be said to allow for the exploitation of urban- ization economies which will not be accessible for firms located outside these parks.
A dichotomous variable (AGGURB) which checks whether the firm is located in a scientific-technological park or not served to measure it.
Specialization economies arise when a geographical concentration of similar firms takes place in a specific area. Since a variety of regional features (export in- tensity of the business population, orientation to knowledge...) may help predict the innovative behavior of the enterprises located in those areas (Anderson and Johans- son, 2008), the autonomous region was selected as our geographical unit of analysis.
This approach proves useful to verify the existence of specialization economies depending on the relative importance of the high and medium-high enterprises car- rying out R&D over the total number of firms located in each autonomous region, and on whether that importance is comparatively higher or lower than the national average, with the data corresponding to 2013.
As can be seen in Table 2, the data available allow us to conclude that the regions with a higher relative specialization in these types of firms are, in alphabetical order: Aragón, Asturias, Cantabria, Catalonia, Valencian Region, Madrid, Navarre, Basque Country, and La Rioja.
From such data can be built the dichotomous variable AGGSPE, which takes the value of 1 if the autonomous region has an above-average proportion of high and medium-high technology firms that invest in R&D, and 0 otherwise12.
Knowledge intensity economies highlight the importance that the orientation to innovation in an area or region is likely to have for the results in terms of innovation obtained by the enterprises located in it. Expressed differently, not only is it important that public or private agents exist with resources allocated to innovation as «neighbors» but also that they have the ability to shape a network which comprises them and which can be placed at the disposal of the other agents’ technological and economic development.
This is the philosophy behind the national network of Technological Centers, and the number of Technological Centers per 1,000 firms was adopted as the cri- terion to determine the existence of economies derived from knowledge intensity. Table 3 shows an uneven distribution between autonomous regions, and being above or below the national average will be the feature determining the existence of such economies. More precisely, above-average values would be obtained by these autonomous regions (in alphabetical order): Asturias, Cantabria, Castile and León, Valencian Region, Extremadura, Galicia, Murcia, Navarre, Basque Country, and La Rioja.
These data permit to build the dichotomous variable AGGKNO, whose value will be 1 or 0, depending on whether the autonomous region has an above-average proportion of technological centers per 1,000 enterprises or not.
Table 8 collects the number of local firms and MNE subsidiaries established in each type of agglomeration.

ABSORPTIVE CAPACITY
AC is a function of the knowledge to which access can be gained and of the means used to exploit it. The greater or lesser degree of perfection achieved by this construct will thus depend on the extent to which its exploration, transformation, and exploitation capacity is developed.
In order to approach this exploratory dimension of AC, directly associated with the value that the firm attributes to a variety of knowledge sources and with its skill to establish fruitful contacts with external agents, an adaptation was made of the information coming from 10 PITEC variables which describe the importance (high, medium, low, and irrelevant) that the enterprise allocates to each type of agent (equipment suppliers, customers, competitors, consultants, private laborato- ries or institutes, universities, public research bodies, technological centers, con- ferences, fairs or exhibitions, scientific journals or technical publications, profes- sional or industrial associations) as a source of information. The variable ACXPR was specifically built counting the number of external sources to which the firm grants «high» importance as an information source, its possible values ranging from 0 to 10.
To this must be added that the chances to access valuable external knowledge will be limited by the stock of internal knowledge mastered by the firm, which in turn will ultimately depend on its human resources and the knowledge owned by its employees (Mangematin and Nesta, 1999). Hence, a decision was made to deal with the transforming dimension of AC using the information directly provided by PITEC and reflected in the variable ACTRN, which measures the percentage of firm staff with higher education.
Valuing and/or understanding knowledge does not suffice to exploit it success- fully, though. The exploitative dimension of AC is the one which makes it possible to apply the new knowledge; the representation of this dimension was carried out by means of the variable ACXPT, which includes information about the total expenses on innovation incurred by the enterprise (Cohen and Levinthal, 1990; Murovec and Prodan, 2009) from PITEC information.
Table 9 summarizes the main descriptive statistics corresponding to the three variables related to AC.

CONTROL VARIABLES
The age (years of operation) of a firm may influence innovation both positively and negatively: on the one hand, having more experience is likely to permit a greater accumulation of knowledge, but it can also become an inertia generation source that will hinder adaptation as well as the introduction of novelties in products and processes. Seeking to control possible effects, it was decided to include the variable AGE, which indicates the number of years during which the firm has been operating since its foundation —obtained from PITEC—. The most important descriptive statistics corresponding to this variable can be found in Table 10.

The need for any company to capture external knowledge or the support to this absorption also depends on its membership in a group of firms (Barge-Gil et al., 2011). This effect is included with the dichotomous variable GROUP, whose values can be 1 and 0, depending on whether the firm belongs to a group or not. Neverthe- less, it must be borne in mind that, while nearly 35% of local enterprises form part of a group, this percentage reaches 100% amongst subsidiaries of MNEs.
Furthermore, previous works suggest that size correlates to a significant extent with innovation. However, no consensus has been reached on the sense of causality or the sign of this relationship. The largest firms are more innovative because of their greater finan- cial possibilities, but the smallest ones show more flexibility (Damanpour and Gopal- akrishnan, 1998). The dichotomous variable SIZE, which specifies if the firm has a large size and employs over 200 workers (PITEC) was included to take account of this effect.
The expectations to make the most of innovation and the opportunities offered by the technological and competitive environment when it comes to introducing im- provements in products and processes differ across sectors. Hence why, although the population was defined in a more or less homogeneous manner trying to reduce this effect, sector identification came to form part of the analysis, thus ensuring that the possible differences existing between the various competitive environments were not disregarded a priori. More precisely, there will be three dichotomous variables which tell us if the industry to which the firm belongs is a high-technology manufactur- ing sector (SECTHTM), a medium-high technology manufacturing sector (SECT- MHTM) or a high or cutting-edge technology service sector (SECTHTS). These variables were built from the information supplied by PITEC about firm activities according to CNAE09 [2009 National Classification of Economic Activities].
The greater or lesser predisposition to innovate may also be influenced by sales expectations, which in turn will depend on the breadth of the geographical markets to which the product or service can be addressed (Löfsten and Lindelöf, 2003). In this sense, sales dispersion is also likely to mean a stimulus for innovation due to the need to adapt the products both to the local demand and to the regulations of foreign markets (Vernon, 1966). For all these reasons, and following other studies such as the one carried out by Urgal et al. (2011), four dichotomous variables were incorpo- rated that indicate if the enterprise operates in a local/regional market (REGISCO), in a national market (NATISCO), in a European (EUSCO), or in other different ones (OTHESCO), from PITEC information.
Table 11 shows the number of firms —the total, local firms, and MNE subsidiar- ies— for which the corresponding dichotomous variable takes value 1.

4 Results summary
Table 12 provides the results obtained in the regressions performed which, broadly speaking, suggest that the effect on innovation associated with the presence of agglomeration economies varies depending on the type of agglomeration, the type of innovation, and the type of firm (local or foreign).
The most important results according to whether the enterprise is a local one or an MNE subsidiary can be found below.
Spanish firms
Based on the agglomeration effect in the case of Spanish firms, the chances to innovate in processes (INNPRC) and in organizational practices (INNORG) increase when they are located in a park (AGGURB).
Nevertheless, innovation in commercialization (INNCOM) becomes less likely when the enterprise is established in a region which has a comparatively broader network of technological centers (AGGKNO) than the one existing in other Span- ish regions. This finding a priori contradicts Hypothesis 1c and makes us wonder whether it is the firms committing themselves to commercial innovation that choose locations in less equipped regions in terms of «scientific-technological» knowledge, or it is the firms choosing regions more focused on the creation and dissemination of such knowledge that show less interest for innovation in commercialization. The lat- ter is precisely what happens when the competitive conditions of the market in which a firm operates do not demand that from it.

* p < 0,1; ** p < 0,05; *** p < 0,01.
Source: Elaborated by the authors. N Ref.: Reference category.Furthermore, despite the lack of statistical significance, it is worth mentioning the different sign shown by the location effect in areas with a higher relative specializa- tion in firms AMATID (AGGSPE): positive in technological innovation —product/ service (INNPRD) and processes (INNPRC)— and negative in non-technological innovation —organizational practices (INNORG) and commercialization practices (INNCOM)—. It can be understood in this respect that the location in regions with more similar agents puts firms under more competitive pressure for the access to resources (e.g. lands, workers, financing...), this location being only profitable for those firms able to take more advantage of the knowledge which is circulating and which will be more easily applied to innovations of a technological nature. On the contrary, for firms involved in non-technological innovation activities, the value of potentially accessible external knowledge does not compensate for the cost overrun in the rest of factors.
From another point of view, it also becomes visible that product/service inno- vation (INNPRD) is not significantly conditioned by the agglomeration measures considered, unlike what happens with other internal variables. It follows from this that, when it comes to innovating in products/services, Spanish firms of this sort are essentially influenced by their internal resources and, particularly, by the knowledge owned by their workers, as will be commented upon below.
With regard to AC, although it has a different magnitude and significance in each type of innovation, it has the expected effect. The effect of the exploratory dimen- sion (ACXPR) can be felt on all four sorts of innovation, that of the exploitative dimension (ACXPT) arises in processes (INNPRC) and organizational practices (IN- NORG) —even though its magnitude is almost negligible— and, finally, the effect of the transformative dimension (ACTRN) can only be seen in product/service innova- tions (INNPRD).
Therefore, when it comes to the level of compliance corresponding to the hy- potheses proposed for our sample of Spanish enterprises, hypothesis 1a, as well as hypotheses 2a, 2b, and 2c, were confirmed.
As for control variables, it can be said that, in this sample, age (AGE) increas- es the likelihood of innovating in organizational practices (INNORG). This should come as no surprise, considering that firms with more years of operation are the ones which need to update those practices to a greater extent.
In turn, membership in a group (GROUP) only increases the possibilities to in- novate in processes (INNPRC), whereas size (SIZE) positively affects both process innovations (INNPRC) and organizational ones (INNORG).
According to the sectorial criterion, high and medium-high technology manu- factures (SECTHTM and SECTMHTM) are more likely to innovate in products/ services (INNPRD) —and only high-technology ones (SECTHTM) when it comes to innovating in commercialization (INNCOM)— than service firms. Nevertheless, this result must bear in mind that the approach to innovation in services differs from that of manufactures (OECD, 2005): with a more continuous and incremental nature, it makes the identification of innovations as individual events more difficult.
Finally, in relation to the market that encourages innovation to a greater extent, serving the European market (EUSCO) increases the chances to launch new prod- ucts/services (INNPRD), whereas operating in the national market (NATIOSCO) improves this type of innovation, as well as the one related to commercialization (INNCOM).
Subsidiaries of MNEs
As for the agglomeration level in the areas where MNEs subsidiaries are located, only a higher relative dimension of the business fabric AMATID (AGGSPE) has a significant effect on product/service innovation (INNPRD), though with a sign oppo- site to that expected. Therefore, the location in areas with more similar firms makes it less likely for the firm to innovate in products/services, or alternatively, subsidiaries innovating in products/services choose areas with a lower relative sectorial special- ization.
Concerning the role of AC, the influence exerted by its exploratory dimension (ACXPR) —representative of the opening to new ideas— can be observed in techno- logical innovations, i.e. product/service (INNPRD) and process (INNPRC), while the transformative dimension (ACTRN), measured through human factor qualification, increases the chances to innovate in commercialization (INNCOM). The third dimen- sion (the exploitative one) (ACXPT) apparently influences innovation in commercial practices (INNCOM); the magnitude of this effect is low, though.
Consequently, empirical evidence is only obtained for hypotheses 2a and 2b in the sample of MNE subsidiaries.
When it comes to control variables, the same as in the case of local enterprises, age (AGE) and size (SIZE) positively affect the introduction of novelties of an or- ganizational nature (INNORG), even though this time a greater size is also associ- ated with the implementation of fewer innovations in commercialization (INNCOM), contrary to what had been predicted. It can be assumed that, in this case, a larger size has to do with commercial practices more standardized at a global level which the MNE prioritizes for the purpose of maintaining a certain level of international homogeneity.
In sectorial terms, a positive effect can only be observed in the process innovation (INNPRC) of belonging to medium-high technology manufacturing industries (SECT- MHTM) as opposed to service ones and, from the perspective of geographical market breadth, innovation in MNE subsidiaries only feels the effect of serving markets other than the European one (OTHESCO), a duality existing based on the type of innovation: unlike technological innovation (INNPRD and INNPRC), which is favored, innovation in organizational practices (INNORG) experiences the opposite effect.
To conclude this description of the results obtained, and concerning model fit and explanatory capacity, it still remains for us to highlight that, although the number of coefficients turns out to be significant in all 4 regressions, on the whole, it is higher for Spanish firms than for MNE subsidiaries (19 and 12, respectively), goodness-of- fit statistics (Nagelkerke’s R2) are better in the case of foreign enterprises.
5 Results discussion and conclusions
The international expansion of MNEs stands out for being one of the topics which has received most attention in the research about firm management and international strategy, which has shown a strong interest in aspects such as the factors driving international processes, the selection of a target country as well as the strategy to enter that specific market, or the competitive strategy followed by firms at an international level. To which must be added that another part of the literature stresses the existence of agglomeration economies or benefits derived from the proximity of firms, special attention having to be paid to the important role that such a special atmosphere or context created thanks to the physical proximity between firms plays in knowledge generation and transfer. Despite the extensive study that researchers have made about both literature strands, the truth is that a clear «dissociation» can currently be said to exist between the literature on agglomerations and that focused on MNEs (Hervás et al., 2015).
Faced with this context, the empirical evidence available about the relationship between these two sides of the business reality (innovation by MNEs and location in agglomerations), does not provide conclusive results with regard to the effect that agglomeration has on innovation, which may be positive (Mariotti et al., 2014) or negative (Cook et al., 2013). It could thus be argued, on the one hand, that the loca- tion in business agglomerations favors innovation and the local adaptation of these MNEs, since it permits to access external knowledge of a tacit nature linked to the regional context. On the other hand, though, an increased competition for factors as well as a higher exposure to competitive rivalry exist in such locations (Alcacer and Chung, 2014). Taking all the ideas above into account, this paper has suggested as one of its main hypotheses that the existence of agglomeration economies favors innovation processes both in domestic firms and in MNEs with subsidiaries located in these types of environments. It all bearing in mind that innovation goes beyond the purely technological aspect (product/service and processes), and also includes non-technological sorts of innovation (in commercial practices and organizational processes) which are likely to favor a higher degree of adaptation to the local context.
Furthermore, Alcacer et al. (2013) highlight the need to consider the specific resources and capabilities of each firm when the time comes to assess the benefits which can be obtained through the establishment of a subsidiary within a business agglomeration. It needs to be remembered in this regard that the use of external knowledge made by each firm and, ultimately, its innovative potential, depends on its absorptive capacity. For this reason, and with the support of arguments coming from the dynamic capabilities approach, the present paper has also proposed hypotheses which refer to the influence on innovation exerted by the capacity to access, assimi- late, and exploit knowledge, also known as AC.
Finally, all the above considerations confirm the hypothesis according to which agglomeration does not have the same effects on innovation in local firms and in foreign ones, the former being more sensitive to those effects.
The empirical contrasts carried out from a sample of 1,610 high and medium- high technology enterprises which engage in R&D obtained from PITEC (2013), partially corroborate hypothesis 1a, but not hypotheses 1b and 1c.
Our findings reveal that the effect exerted by agglomeration economies on in- novation does vary from foreign to domestic firms, and it changes depending on the type of agglomeration and innovation as well. The tests performed highlight that, in general, process and non-technological innovations are the only ones showing sen- sitivity to the location in a park and in areas characterized by a higher relative con- centration of technological centers when it comes to Spanish firms. Instead, only the innovation undertaken by foreign firms in products and/or services is sensitive to a higher relative sectorial specialization.
Nevertheless, the signs for some of these relationships is the opposite to that expected. In the case of the negative influence that economies derived from knowledge intensity have on commercial innovation, a plausible explanation can be found in the fact that firms which choose locations with a more intensive knowledge circulation would be the ones which value the scientific-technological knowledge that they can absorb, but, by choice or due to an imposition stemming from the conditions existing in their markets, innovate to a lesser extent in com- mercialization.
The second case, which affects subsidiaries of MNEs, matches what was previously observed by other authors: subsidiaries located in areas more specialized in AMATID have fewer chances to innovate in products/services. By way of example, Cantwell and Mudambi (2005), using data for MNEs which had established their subsidiaries in the United Kingdom, verified that the location of subsidiaries in hy- per-competitive environments characterized by a high concentration of firms which are «potential» rivals does not represent a priority for these firms which have no exclusive dependence on local external knowledge.
To this must be added that the best equipped enterprises in terms of knowledge depend to a lesser extent on the advantages that the location in agglomerations can bring them and, instead, have a greater need for protection against the exposure and imitation of rival firms. This argument would be in keeping with that of other studies according to which co-location essentially favors those firms which are less equipped with resources and knowledge, being comparatively detrimental to the ones which have a more developed internal knowledge stock (Marco-Lajara et al., 2016; Melo et al., 2009; Shaver and Flyer, 2000).
In any case, this divergence of results between the two samples indirectly con- firms hypothesis 3, at least to a certain extent. Even though it is impossible for us to estimate the exact magnitude of this difference, the influence exerted by agglomera- tion economies on innovation is clearly not the same in local firms and in foreign ones.
Taking both groups of firms into account, when it comes to AC influence, even though it is true that the exploratory dimension of AC has proved to be the element showing a greater explanatory capacity in technological innovation, age and size arise as the key internal features for innovations in organizational practices. As for the transformative dimension of AC, it also increases the likelihood of innovating in products/services for Spanish enterprises, and in commercialization for foreign ones. Finally, the exploitative dimension of AC is the one that seems to be less essential for innovation in the samples examined since, despite the significance of relationships, its effects are almost negligible. It follows from all the above that hypothesis 2a, 2b, and 2c are partially confirmed.
To finish these conclusions section, beyond the possible contributions made with the present paper, it is also necessary to highlight some of the limitations faced, as well as a number of research lines for the future. Thus, by way of example, it would be especially interesting to develop the argument suggested by Alcacer et al. (2013), according to which, a priori, the location in a specific territory is not preferable per se. In fact, it will depend on the characteristics of the entering firm as well as on those of the other enterprises which specifically define the business agglomeration generated in each territory. In this regard, the research performed did not consider the fact that MNEs are quite likely to imitate the pattern followed by other MNEs when locating subsidiaries, often choosing to be established near other firms coming from their same country (Tan and Meyer, 2011; Chang and Park, 2005; Nachum and Wymbs, 2005; Chung and Alcacer, 2002; Shaver and Flyer, 2000; Head et al., 1995).
Neither did we pay attention to the fact that the location of subsidiaries may be determined, amongst other aspects, by the role assigned to them by the MNE as far as knowledge creation and exploitation are concerned. Cantwell and Mudambi (2005) draw a distinction between two types of subsidiaries, knowledge-creating and knowl- edge-exploiting ones, coming to the conclusion that the role played by each subsid- iary in the innovation process depends on the characteristics of the MNE, on those of the subsidiary itself, and on factors linked to location. Trying to relate this approach about the exploratory or exploitative nature of subsidiaries to the different types of innovation, the level of development reached in AC dimensions or the effect that the location in agglomerations has on it all, arises as a potential new line of research.
Finally, from a more methodological perspective, another possible line of research would refer to the limited extent to which the PITEC database has been used: a study of a transversal nature with data corresponding to 2013. An interesting line of work for fu- ture research could consist in taking full advantage of the potential offered by the whole panel, which covers the period 2004-2013, as this would permit to remove temporary effects or aspects related to endogeneity and causality from the estimates.
6 References
Alcácer, J. Deszo, C., and Zhao, M. (2013): «Firm rivalry, knowledge accumulation, and MNE location choices», Journal of International Business Studies, 44(5), pp. 504-520.
Alcácer, J., and Chung, W. (2014): «Location Strategies for Agglomeration Economies», Strategic Management Journal, 35(12), pp. 1749-1761.
Almeida, P. (1996): «Knowledge Sourcing by Foreign Multinationals: Patent Citation Analysis on The Semiconductor Industry», Strategic Management Journal, 17, pp. 155-165.
Anderson, E., and Gatignon, H. (1986): «Modes of Foreign Entry: A Transaction Cost Analysis and Propositions», Journal of International Business Studies, 17(3), pp. 1-26.
Anderson, M., and Johansson, B. (2008): «Innovation Ideas and Regional Characteristics- innovations and export entrepreneurship by firms in Swedish Regions», Growth and Change, 39, pp. 193-224.
Anselin, L., Varga, A., and Acs, Z. J. (1997): «Local Geographic Spillovers between University Research and High Technology Innovations», Journal of Urban Economics, 42(3), pp. 422-448.
Appold, S. J. (1995): «Agglomeration, Interorganizational Networks, and Competitive Performance in the US Metalworking Sector», Economic Geography, 71(1), pp. 27-54.
Arikan, A. T., and Schilling, M. A. (2010): «Structure and Governance in Industrial Districts: Implications for Competitive Advantage», Journal of Management Studies, 28(4), pp. 772- 803.
Arrow, K. (1962): «The Economic Implication of Learning by Doing», Review of Economic Studies, 29(3), pp. 153-173.
Audretsch, D. B. (2003): «Innovation and Spatial Externalities», International Regional Science Review, 26(2), pp. 167-174.
Audretsch, D. B., and Feldman, M. P. (1996): «R&D Spillovers and the Geography of Innovation and Production», American Economic Review, LXXXVI, pp. 237-254.
Barge-Gil, A., Vásquez, A., and Rico, M., (2011): «El impacto de los parques científicos y tecnológicos españoles sobre la innovación empresarial según distintos tipos de empresas. La innovación como factor de competitividad de la empresa española», ICE: Revista de economía, 860, pp. 73-88.
Bottazzi, L., and Peri, G. (2002): «Innovation and Spillovers in Regions: Evidence form European Patent Data», European Economic Review, 47, pp. 687-710.
Buckley, P. J., and Casson, M. (1976): The Future of the Multi-National Enterprise, New York, Holmes & Meier.
Cantwell, J., and Mudambi, R. (2005): «MNE competence-creating subsidiary mandates», Strategic Management Journal, 26(12), pp. 1109-1128.
Cantwell, J., and Molero, J. (2003): Multinational Enterprises, Innovative Strategies and Systems of Innovation, Cheltenham, Edward Elgar.
Casson, M. (ed.) (1991): Global Research Strategy and International Competitiveness, Oxford, Basil Blackwell.
Caves, R. (1971): «International corporations: the industrial economics of foreign investment», Economica, 38(149), pp. 1-27.
Cepeda-Carrión, G., Cegarra-Navarro, J. G., and Jiménez-Jiménez, D. (2012): «The effects of absorptive capacity on innovativeness: Context and Information systems capability as catalysts», British Journal of Management, 23(1), pp. 110-129.
Chang, S. J., and Park, S. (2005): «Types of firms generating network externalities and MNCs’ co-location decisions», Strategic Management Journal, 26(7), pp. 595-616.
Chesbrough, H. W. (2003): «The logic of open innovation: managing intellectual property», California Management Review, 45(3), pp. 33-58.
Chung, W., and Alcacer, J. (2002): «Knowledge Seeking and Location Choice of Foreign Direct Investment in the United States», Management Science, 48(12), pp. 1534-1554.
Claver-Cortés, E., Marco-Lajara, B., and Manresa-Marhuenda, E. (2016): «Types of Agglomeration Economies: Effects on Bussiness Innovation», Contemporary Economics 10(3), pp. 217-232.
Coase, R. H. (1937): «The nature of the firm», Economica, 4(16), pp. 386-405.
Cohen, W. (1995): «Empirical Studies in Innovative Activity», in Stoneman, P. (ed.), Handbook of the Economics of Innovation and Technological Change, pp. 182-264, Oxford, Blackwell.
Cohen, W., and Levinthal, D. (1990): «Absorptive capacity: a new perspective on learning and innovation», Administrative Science Quarterly, 35, pp. 128-152.
Colombo, M. G., and Delmastro, M. (2002): «How effective are technology incubators? Evidence from Italy», Research Policy, 31, pp. 1103-1122.
Cook, P. (2004): «Evolution of regional innovation systems: emergence, theory, and challenge for action», in Cooke, P., Heidenreich, M., and Braczyk, H. J. (eds.), Regional Innovation Systems, pp. 1-18. London, Routledge.
Cook, G., Pandit, N., Loof, H., and Johansson, B. (2013): «Clustering, Mnes and Innovation: Who Benefits, and How?», International Journal for the Economics of Business, 20(2), pp. 203-227.
Damanpour, F., and Gopalakrishnan, S. (1998): «Theories of organizational structure and innovation adoption: the role of environmental change», Journal of Engineering and Technology Management, 15, pp. 1-24.
Dunning, J. H. (1977): «Trade, Location of Economic Activity and the MNE: A Search for an Eclectic Approach», in Ohlin, B. G., Hesselborn, P. O. & Wijkman, P. M. (eds.), The International Allocation of Economic Activity, London, Macmillan.
— (1993): Multinational Enterprises and the Global Economy, Wokingham, England, Addison-Wesley, Elron.
— (2001): «The key literature on IB activities: 1960-2000», in Rugman, A. M., & Brewer, T. L. (eds.), The Oxford Handbook of International Business, pp. 36-68. Oxford, Oxford University Press.
Dutta, S., and Weiss, A. M. (1997): «The Relationship Between a Firm’s Level of Technological Innovativeness and Its Pattern of Partnership Agreements», Management Science, 43(3), pp. 343-56.
Eaton, J., and Kortum, S. (1999): «International technology diffusion: Theory and measurement», International Economic Review, 40(3), pp. 537-70.
Felsenstein, D. (1994): «University-related science parks - “seedbeds” or “enclaves” of innovation?», Technovation, 14(2), pp. 93-110.
Fernández-Mesa, A., Alegre, J., and García-Granero, A. (2014): «Capacidades organizativas e innovación: ¿Qué ocurre en la industria española del juguete?», Economía Industrial, 391, pp. 49-58.
Flyer, F., and Shaver, J. M. (2003): «Location Choices under Agglomeration Externalities and Strategic Interaction», in Baum, J. A. C., & Sorenson, O. (eds.), Advances in Strategic Management: Geography and Strategy, vol. 20, pp. 193-214, Amsterdam, Elsevier JAI.
Folta, T. B., Cooper, A. C., and Baik, Y. (2006): «Geographic Cluster Size and Firm Performance», Journal of Business Venturing, 21(2), pp. 217-242.
Frenken, K., Van Oort, F., and Verburg, T. (2007): «Relate Variety, Unrelated Variety and Regional Economic Growth», Regional Studies, 41(5), pp. 685-697.
George, G., Zahra, S. A., Wheatley, K., and Khan, R. (2001): «The effects of alliance portfolio characteristics and absorptive capacity on performance: a study of biotechnology firms», Journal of High Technology Management Research, 12(2), pp. 205-227.
Giuliani, E., Gorgoni, S., Günther, C., and Rabelloti, R. (2014): «Emerging versus advanced country MNEs investing in Europe: A typology of subsidiary global-local connections», International Business Review, 23(4), pp. 680-691.
Glaeser, E. L., Kallal, H. D., Scheinkman, J. A., and Shleifer, A. (1992): «Growth in Cities», The Journal of Political Economy, 100(6), pp. 1126-1152.
Glasmeier, A. K. (1991): «Technological Discontinuities and Flexible Production Networks: The Case of Switzerland and the World Watch Industry», Research Policy, 20(5), pp. 469- 485.
Gong, H. (1995): «Spatial Patterns of Foreign Investment in China’s Cities, 1980-1989», Urban Geography, XVI, pp. 198-209.
Grant, R. M (1996): «Toward a knowledge-based theory of the firm», Strategic Management Journal, 17, pp. 109-122.
Head, K., Ries, J., and Swenson, D. (1995): «Agglomeration benefits and location choice: Evidence from Japanese manufacturing investments in the United States», Journal of International Economics, 38(3-4), pp. 223-247.
— (1999): «Attracting foreign manufacturing: Investment promotion and agglomeration», Regional Science and Urban Economics, 29(2), pp. 197-218.
Henderson, R., and Clark, K. (1990): «Architectural Innovation: The Reconfiguration of Existing Product Technologies and the Failure of Established Firms», Administrative Science Quarterly, 35(1), pp. 81-112.
Henderson, R., and Cockburn, I. (1994): «Measuring competence? Exploring firm effects in pharmaceutical research», Strategic Management Journal, 15(Special Issue), pp. 63-84.
Hennart, J. F. (1991a): «The transaction costs theory of joint ventures: an empirical study of Japanese subsidiaries in the United States», Management Science, 34(4), pp. 483-497.
— (1991b): «Control in multi-national firms: the role of prices and hierarchy», Management International Review, 31, pp. 71-96.
Hervás, J. L., González, G., and Sempere, F. (2015): «Clusters, Multinacionales y Procesos de Multi-localización: Una Introducción Necesaria», Economía Industrial, 397, pp. 11-20.
Hill, C. W. L., Hwang, P., and Kim, W. C. (1990): «An Eclectic Theory of the Choice on International Entry Mode», Strategic Management Journal, 11, pp. 117-128.
Hirsch, S. (1976): «An International trade and investment theory of the firm», Oxford Economic Papers, 28, pp. 258-270.
Horst, T. (1972): «Firm and industry determinants of the decision to investment abroad: an empirical study», The review of economics and statistics, 54(3), pp. 258-266.
Jacobs, J. (1969): The Economy of Cities, New York, Random House.
Jaffe, A., Trajtenberg, M., and Henderson, R. (1993): «Geographic localization of knowledge spillovers as evidenced by patent citation», The Quarterly Journal of Economics, 108(3), pp. 577-598.
Knoben, J., Oerlemans, L. A. G., and Rutten, R. P. J. H. (2008): «The Effects of Spatial Mobility on the Performance of Firms», Economic Geography, 84(2), pp. 157-183.
Knoben, J., Arikan, A. T., Oort, F., and Raspe, O. (2016): «Agglomeration and firm performance: One firm’s medicine is another firm’s poison», Environment and Planning A, 48(1), pp. 132-153.
Kogut, B. (1988): «Joint Ventures: Theoretical and Empirical Perspectives», Strategic Management Journal, 9, pp. 319-332.
Kogut, B., and Zander, U. (1992): «Knowledge of the Firm, Combinative Capabilities, and the Replication of Technology», Organization Science, 3, pp. 383-397.
Lane, P. J., and Lubatkin, M. (1998): «Relative absorptive capacity and interorganizational learning», Strategic Management Journal, 19, pp. 461-477.
Lane, P. J., Koka, B. R., and Pathak, S. (2006): «The Reification of Absorptive Capacity: A Critical Review and Rejuvenation of the Construct», Academy of Management Review, 31(4), pp. 833-863.
Laursen, K., and Salter, A. (2006): «Open for Innovation: The Role of Openness in Explaining innovation performance among U.K. Manufacturing Firms», Strategic Management Journal, 27, pp. 131-150.
Lichtenthaler, U. (2009): «Absorptive capacity, environmental turbulence, and the complementarity of organizational learning processes», Academy of Management Journal, 52(4), pp. 822-846.
Löfsten, H., and Lindelöf, P. (2003): «Determinants for an Entrepreneurial Milieu: Science Parks and Business Policy in Growing Firms», Technovation, 23, pp. 51-64.
Makino, S., Lau, C., and Yeh, R. (2002): «Asset-exploitation versus asset-seeking: Implications for location choice of foreign direct investment from newly industrialized economies», Journal of International Business Studies, 33, pp. 403-421.
Malmberg, A., and Maskell, P. (2002): «The elusive concept of localization economies: towards a knowledge-based theory of spatial clustering», Environment and Planning, 34, pp. 429-449.
Mangematin, V., and Nesta, L. (1999): «What kind of knowledge can a firm absorb?», International Journal of Technology Management, 18(3/4), pp. 149-172.
Marco-Lajara, B., Claver-Cortés, E., Úbeda-García, M., and Zaragoza-Sáez, P. C. (2016): «Hotel Performance and Agglomeration of Tourist Districts», Regional Studies, 50(6), pp. 1016-1035.
Mariotti, S., Piscitello, L., and Elia, S. (2010): «Spatial agglomeration of multinational enterprises: the role of information externalities and knowledge spillovers», Journal of Economic Geography, 10, pp. 519-538.
— (2014): «Local externalities and ownership choices in foreign acquisitions by multinational enterprises», Economic Geography, 90(2), pp. 187-211.
Marshall, A. (1890/1920): Principles of Economics, London, MacMillan.
Martínez-Senra, A. I., Quintás, M. A., Sartal, A., and Vázquez, X. H. (2013): «¿Es rentable “pensar por pensar”? Evidencia sobre innovación en España», Cuadernos de Economía y Dirección de la Empresa, 16, pp. 142-153.
McCann, B. T., and Folta, T. B. (2011): «Performance differentials within geographic clusters», Journal of Business Venturing, 26, pp. 104-123.
Mcevily, B., and Zaheer, A. (1999): «Bridging ties: A source of firm heterogeneity in competitive capabilities», Strategic Management Journal, 20(12), pp. 1133-1156.
Melo, P. C., Graham, D. J., and Noland, R. B. (2009): «A Meta-Analysis of Estimates of Ur- ban Agglomeration Economies», Regional Science and Urban Economics, 39(3), pp. 332- 342.
Meyer, K. E., and Nguyen, H. V. (2005): «Foreign Investment Strategies and sub-national institutions in emerging markets: evidence from Vietnam», Journal of Management Studies, 42, pp. 63-93.
Montoro-Sánchez, M. A., Mora-Valentín, E. M., and Ortiz-de-Urbina-Criado, M. (2012): «Localización en parques científicos y tecnológicos y cooperación en I+D+i como factores determinantes de la innovación», Revista Europea de Dirección y Economía de la Empresa, 21(2), pp. 182-190.
Mudambi, R. (1998): «The Role of duration in Multinational Investment Strategies», Journal of International Business Studies, 29, pp. 239-262.
— (2008): «Location, Control and Innovation in Knowledge-Intensive Industries», Journal of Economic Geography, VIII, pp. 699-725.
Murovec, N., and Prodan, I. (2009): «Absorptive capacity, its determinants, and influence on innovation output: Cross-cultural validation of the structural model», Technovation, 29(12), pp. 859-872.
Nachum, L., and Keeble, D. (2003): «Neo-Marshallian Clusters and Global Networks: The Linkages of Media Firms in Central London», Long Range Planning, 36(5), pp. 459-480.
Nachum, L., and Wymbs, C. (2005): «Product differentiation, external economies and MNE location choices: M&As in Global Cities», Journal of International Business Studies, 36(4), pp. 415-434.
OCDE (2005): Manual de Oslo: The Measurement of Scientific and Technological Activities. Guidelines for Collecting and Interpreting Innovation Data, París, OCDE and Eurostat, 3a. edition.
Owen-Smith, J., and Powell, W. W. (2004): «Knowledge networks as channels and conduits: The effects of spillovers in the Boston biotechnology community», Organization Science, 15(1), pp. 5-21.
Patel, P., and Pavitt, K. (1995): «Patterns of Technological Activity: Their Measurement and Interpretation», in Stoneman, P. (ed.), Handbook of the Economics of Innovation and Technological Change, pp. 14-52, Oxford, Blackwell.
Pearce, R. D., and Singh, S. (1991): Globalizing Research and Development, London, Macmillan.
Pelegrin, A., and Bolance, C. (2008): «Regional Foreign Direct Investment in Manufacturing. Do Agglomeration Economies Matter?», Regional Studies, XLII, pp. 505-522.
Persson, M. (2006): Unpacking the Flow, Knowledge Transfer in the MNCs. PhD-dissertation, Uppsala University.
Porter, M. E., and Stern, S. (2001): «Innovation. Location matter», MIT Sloan Management Review, 42(4), pp. 28-36.
Pouder, R., and StJohn, C. H. (1996): «Hot Spots and Blind Spots: Geographical Clusters of Firms and Innovation», Academy of Management Review, 21(4), pp. 1192-1225.
Powell, W., Koput, K., and Smith-Doerr, L. (1996): «Inter-organizational collaboration and the locus of innovation: networks of learning in biotechnology», Administrative Science Quarterly, 41, pp. 116-145.
Prevezer, M. (1997): «The Dynamics of Industrial Clustering in Biotechnology», Small Business Economics, 9(3), pp. 255-271.
Rosenthal, S. S., and Strange, W. C. (2004): «Evidence on the nature and sources of agglomeration economies», in Henderson, J. V., & Thisse, J. F. (ed.), Handbook of urban and regional economics, vol. 4, pp. 2119-2172, Amsterdam, Elsevier.
Rothaemel, F. T., and Hess, A. M. (2007): «Building Dynamic Capabilities: Innovation Driven by Individual-, Firm-, and Network-Level Effects», Organization Science, 18(6), pp. 898- 921.
Saxenian, A. (1996): Regional Advantage: Culture and Competition in Silicon Valley and Route 128, Cambridge, MA, Harvard University Press.
Sethi, D., Guisinger, S. E., Phelan, S. E., and Berg, M. D. (2003): «Trends in Foreign Direct Investment Flows: A Theoretical and Empirical Analysis», Journal of International Busi- ness Studies, XXXIV, pp. 315-326.
Shaver, J. M., and Flyer, F. (2000): «Agglomeration economies, firm heterogeneity and foreign direct investment in the United States», Strategic Management Journal, 21, pp. 1175-1193.
Siegel, D. S., Westhead, P., and Wright, M. (2003): «Assessing the Impact of Science Parks on Research Productivity: Exploratory Firm-level Evidence from the United Kingdom», International Journal of Industrial Organization, 21, pp. 1357-1369.
Sørensen, J., and Stuart, T. (2000): «Aging and organizational innovation», Administrative Science Quarterly, 45, pp. 81-112.
Squicciarini, M. (2008): «Science Parks’ Tenants versus out-of-Park Firms: Who Innovates more? A Duration Model», Journal of Technology Transfer, 33(1), pp. 45-71.
— (2009): «Science Parks: Seedbeds of Innovation? A Duration Analysis of Firms’ Patenting Activity», Small Business Economics, 32(2), pp. 169-190.
Stuart, T., and Sorenson, O. (2003): «The geography of opportunity: spatial heterogeneity in founding rates and the performance of biotechnology firms», Research Policy, 32, pp. 229-253.
Swann, G. M. P., Prevezer. M., and Stout, D. (eds.) (1998): The Dynamics of Industrial Clustering: International Comparisons in Computing and Biotechnology, Oxford, Oxford University Press.
Szulanski, G. (1996): «Exploring Internal Stickness: Impediments to the Transfer of Best Practice within the Firm», Strategic Management Journal, 17, pp. 27-44.
Tallman, S., and Chacar, A. (2011): «Communities, alliances, networks and knowledge in multinational firms: a micro-analytic framework», Journal of International Management, 17(3), pp. 201-210.
Tan, D. C., and Meyer, K. E. (2011): «Country-of-origin and industry FDI agglomeration of foreign investors in an emerging economy», Journal of International Business Studies, 42(4), pp. 504-520.
Teece, D. J. (1986): «Profiting from technological innovation: Implications for integration, collaboration, licensing and public policy», Research Policy, 15(6), pp. 285-305.
Todorova, G., and Durisin, B. (2007): «Absorptive Capacity: Valuing a reconceptualization», Academic Management Review, 32, pp. 774-786.
Urgal, B., Quintás, M. A., and Arévalo-Tomé, R. (2011): «Conocimiento tecnológico, capacidad de innovación y desempeño innovador: el rol moderador del ambiente interno de la empresa», Cuadernos de Economía y Dirección de la Empresa, 14, pp. 53-66.
Varga, A., Dimitrios, P., and Chorafakis, G. (2014): «Metropolitan Edison and cosmopolitan Pasteur? Agglomeration and interregional research network effects on European R&D productivity», Journal of Economic Geography, 14, pp. 229-263.
Vásquez-Urriago, A. R., Barge-Gil, A., Modrego-Rico, A., and Paraskevopoulou, E. (2014): «The impact of science and technology parks on firms’ product innovation: empirical evidence from Spain», Journal of Evolutionary Economics, 24(4), pp. 835-873.
Vernon, R. (1966): «International Investment and International Trade in the Product Cycle», Quarterly Journal of Economics, 80, pp. 190-207.
Verspagen, B., and Schoenmakers, W. (2004): «The spatial dimension of patenting by multinational firms in Europe», Journal of Economic Geography, 4, pp. 23-42.
Veugelers, R., and Cassiman, B. (2004): «Foreign Subsidiaries as a Channel of International Technology Diffusion, Some Direct Firm Level Evidence from Belgium», European Economic Review, 48(2), pp. 455-476.
Volberda, H. W., Foss, N. J., and Lyles, M. A. (2010): «Absorbing the concept of absorptive capacity: how to realize its potential in the organization field», Organization Science, 21, pp. 931-951.
Wheeler, D., and Mody, A. (1992): «International Investment Location Decisions: The Case of U.S. firms», Journal of International Economics, 33(1-2), pp. 57-76.
Zhang, F., and Cantwell, J. A. (2013): «Regional and Global Technological Knowledge. Search Strategies and the Innovative Performance of Large Multinational Corporations», Industry and Innovation, 20(7), pp. 637-660.
Notes