Medición económica del capital y depreciación endógena: una aplicación a la economía española y sus regiones
Economic Measurement of Endogenous Capital and Depreciation: an Application to the Spanish Economy and its Regions
Medición económica del capital y depreciación endógena: una aplicación a la economía española y sus regiones
Investigaciones Regionales - Journal of Regional Research, núm. 38, pp. 153-180, 2017
Asociación Española de Ciencia Regional

Recepción: 11 Abril 2017
Aprobación: 18 Mayo 2017
Resumen:
En la literatura económica cuantitativa y aplicada es frecuente encontrar referencias a la medición estadística del capital y la depreciación. En este trabajo presentamos una forma diferente de estimar el stock de capital y la tasa de depreciación. Las ecuaciones que resuelven el problema de optimización de la empresa también permiten calcular endógenamente las variables tasa de depreciación y stock de capital, obteniendo una estimación económica de ambas. Nuestro método de cálculo usa los valores bursátiles de la ratio . de Tobin, y genera unos resultados que difieren de los obtenidos al aplicar el método del inventario permanente para el conjunto de la economía española y sus regiones durante el periodo 1964-2011. La tasa de depreciación económica fluctúa alrededor de la tasa estadística. El stock de capital económico ofrece un perfil temporal diferente del que muestra la medida estadística, y esto se visualiza en unas diferencias claras en sus correspondientes tasas de crecimiento. Los shocks económicos desvían la tasa de depreciación económica de la tasa estadística con diferente intensidad en las regiones españolas. Ello permite aproximar la resiliencia regional relativa centrada en el comportamiento de la depreciación y establecer tres grupos de regiones en función de su capacidad de absorción y adaptación ante los diferentes shocks.
Clasificación JEL: E22; D92; R34.
Palabras clave: capital, depreciación, resiliencia, regiones.
Abstract:
In the quantitative and applied economic literature it is frequent to find references to the statistical measurement of capital and depreciation. In this paper we present an alternative method of estimating the capital stock and the depreciation rate. The equations that solve the dynamic optimization problem of the neoclassical firm also enable us to endogenously calculate the rate of depreciation and capital stock variables, yielding an economic estimate of both. Our calculation method uses profitability indicators such as distributed profits and Tobin’s . ratio. Our results differ from those obtained by applying the permanent inventory method for Spanish economy and its regions during the period 1964-2011. The economic depreciation rate fluctuates around the statistical rate. Two time profiles for the economic and statistical capital are markedly different, as attested to by the disparity of their growth rates. The paper also shows that economic shocks turn aside the economic depreciation rate of the statistical rate with different intensity in the Spanish regions. This allows us to approximate the relative regional resilience based on the behaviour of depreciation and to establish three groups of regions according to their capacity of absorption and adaptation to the different shocks.
JEL classification: E22; D92; R34.
Keywords: capital, depreciation, resilience, regions.
1. Introducción
En este trabajo estimamos los servicios del capital en términos de su valor económico desde un enfoque macroeconómico para las regiones españolas durante el periodo 1964-2011 y lo comparamos con las series de la BD.MORES 1. Capital, inversión y depreciación son tres conceptos fundamentales en el análisis económico más general, y en los estudios sobre el desarrollo y el crecimiento de los países y regiones, en particular. Estos tres conceptos encuentran su más estrecha interrelación en la medición del capital. En efecto, el procedimiento generalmente utilizado para medir el stock de capital ha sido el del Inventario Permanente, en el que se obtienen las series de stock de capital a coste de reposición a partir de los flujos positivos de inversión y los negativos de depreciación.
Las mediciones del stock de capital han pasado por varias etapas y por importantes cambios metodológicos a partir del trabajo clásico de Ward (1976), que se han intensificado desde principios de este siglo: OCDE (2001, 2009), EU-KLEMS (desde 2007), y Katz (2015) para las metodologías del BEA y BLS. Esta misma evolución metodológica ha tenido también su reflejo en la medición del stock de capital de España y sus regiones 2. Diferentes conceptos de capital y sus servicios: bruto, neto y productivo; la desagregación en diferentes tipos de activos; el uso de vidas útiles medias específicas para cada activo y el double declining balance rate; así como la agregación de los distintos activos valorados al coste de uso, constituyen los elementos centrales de las estimaciones más actuales.
Todas estas metodologías son herederas de los trabajos de Jorgenson y del supuesto de que los activos se deprecian a una tasa proporcional constante. Como consecuencia, la tasa agregada de depreciación únicamente varía debido a los cambios en la composición de sus activos. Las vidas útiles medias de los diferentes activos tienen una naturaleza tecnológica que nos permite establecer vínculos con el concepto de equilibrio de largo plazo, pues se supone que no varían como consecuencia de los shocks económicos que caracterizan el corto plazo. Para largos periodos de tiempo, cuando las economías han sido capaces de volver al equilibrio de largo plazo, la estimación estadística del stock de capital es una medida realista y fiable. No obstante, a lo largo del ciclo económico, la tasa de depreciación es endógena —determinada por variables económicas— al igual que la inversión, y fluctúa contracíclicamente alrededor de la tasa de equilibrio. Por tanto, la medición económica del capital, aunque es menos estable, es la adecuada para el estudio de los fenómenos económicos en periodos cortos de tiempo.
Desde principios de la década de 1970 ya se comenzó a cuestionar los fundamentos teóricos y empíricos sobre los cuales se sustentaba la teoría de la proporcionalidad, en trabajos como los de Feldstein y Rothchild (1974), Eisner (1972), Bitros y Kelejian (1974) y Cowing y Smith (1977). Estos trabajos mostraron que la depreciación variaba considerablemente bajo la influencia de las fuerzas económicas convencionales. Así, a pesar de que Jorgenson (1974) defendió con fuerza la hipótesis de la proporcionalidad, desde entonces se ha desarrollado un conjunto de análisis que plantean la depreciación como una variable endógena [Lioukas (1980 y 1982), Bosshardt y Mairesse (1980), Wadhwani y Wall (1986), Escribá y Ruiz (1995a; 1996), Caballero y Hammour (1996) y Licandro, Puch y Ruiz (2001)]. En la actualidad, este cuestionamiento de la teoría de la proporcionalidad toma un nuevo impulso con las aportaciones de Kalyvitis (2006), Bitros y Flytzanis (2007; 2016), Mukoyama (2008), Fujisaki y Mino (2010) o Albonico, Kalyvitis y Pappa (2014). La endogeneidad y variabilidad de la tasa de depreciación tiene implicaciones evidentes sobre la dimensión de la inversión neta, la medición del capital, la contabilidad del crecimiento y la productividad 3.
Las causas de la depreciación se pueden agrupar en torno a dos categorías fundamentales: el deterioro y la obsolescencia. Mientras que el deterioro es una característica inherente a los bienes de equipo, y en general a todos los bienes duraderos, vinculada al envejecimiento y desgaste de los equipos, la obsolescencia sobreviene como consecuencia de circunstancias ajenas a los propios equipos productivos que la experimentan. El deterioro puede presentarse bajo dos formas distintas: output decay(deterioro estrictamente físico) e input decay (deterioro económico). En este último la depreciación pasa a determinarse como una decisión económica más, conectada con los costes de mantenimiento de los equipos. En cuanto a la obsolescencia, el progreso técnico incorporado en la nueva inversión contribuye a generar depreciación por medio de la obsolescencia tecnológica. Pero además, los cambios estructurales y en precios relativos que experimentan las economías con diferente intensidad a lo largo del tiempo, generan también obsolescencia de carácter más estructural 4.
Desde el momento en que se considera la depreciación como una variable de decisión empresarial, el problema se traslada a concretar cuáles son las posibilidades reales de obtener una medición económica de la misma, si lo que se pretende es medir el valor económico de los servicios del capital. En esta línea, la literatura de los años ochenta ha sido el punto de partida de dos vías alternativas de estudio, una desarrollada a nivel microeconómico y otra fundamentada en el análisis agregado.
En la primera de ellas, Hulten y Wykoff (1980; 1981), Wykoff (1989) y Jorgenson (1989) entre otros, estimaron la depreciación económica a partir de los precios de los distintos activos en los mercados de segunda mano. De acuerdo con las definiciones de Feldstein y Rothschild (1974), a medida que los activos envejecen, su valor corregido por la inflación disminuye como consecuencia del deterioro y la obsolescencia. Así pues, si se toma en un corte transversal la relación precio-edad de los distintos bienes de equipo, es posible ajustar una función, generalmente no lineal, y estimar la depreciación económica como la tasa de variación del precio del activo con respecto a la edad, en un periodo determinado. La lógica es muy sencilla, y como resultado se obtienen unas tasas de depreciación por tipos de activo que deberían aproximar, en principio, los efectos conjuntos del deterioro físico, el deterioro económico y la obsolescencia tecnológica. Sin embargo, resulta curioso que en la mayor parte de las estimaciones y trabajos empíricos que se han llevado a cabo usando precios de segunda mano de los equipos de capital, el esquema de depreciación que se obtiene no permite rechazar el supuesto de las tasas de depreciación constantes 5.
La segunda vía tiene como precedente los trabajos de Baily (1981a; 1981b; 1982). El objetivo se establece en la obtención de una valoración económica agregada del stock de capital neto, los «servicios del capital» en términos de valor, a partir de las medidas preexistentes del capital valorado al coste de reposición. Este autor introduce el ratio q de valoración empresarial, derivado de los trabajos de Tobin y que tan extendido está en la literatura sobre la inversión, el cual se define como el cociente entre el valor de la empresa y el coste de reposición del capital. Por tanto, se pueden aproximar los servicios del capital por el valor de la empresa, multiplicando los valores del ratio q por la medida del capital al coste de reposición. Evidentemente, en situaciones de equilibrio caracterizadas porque el ratio q toma el valor unidad, ambas medidas coincidirán. La principal aportación de este autor a la discusión en torno a la depreciación consiste en la lectura particular que hace del esquema propuesto en Feldstein y Rothschild (1974), al cual añade una nueva variable, la obsolescencia estructural, como causa de la depreciación económica 6.
En este trabajo nos separamos del enfoque de Baily al explicitar el proceso dinámico de creación y destrucción de capital. En efecto, la ratio q de Tobin no permite obtener directamente la dinámica temporal del valor económico del capital al no tener en cuenta su naturaleza acumulativa. Nosotros incorporamos la tasa de depreciación al conjunto de variables de decisión planteando un marco teórico que permite el cálculo endógeno simultáneo de la inversión, la depreciación económica y del stock de capital. Escribá y Ruiz (1996), Boucekkine y Ruiz (2003), Kalyvitis (2006) y Albonico, Kalyvitis y Pappa (2014), son una muestra de trabajos que vinculan, a un mismo tiempo, la depreciación con los costes de mantenimiento, y la inversión con los costes de ajuste.
A partir del modelo de Hayashi (1982) ampliado con la depreciación como variable de decisión, se obtiene una expresión que relaciona el precio sombra del capital con el ratio q, lo que permite obtener las correspondientes series de depreciación y stock de capital en términos económicos para las distintas Comunidades Autónomas españolas en el periodo 1964-2011. A continuación se comparan las tasas de depreciación estadísticas regionales de la BD.MORES, en las que se utilizan las vidas útiles medias de los diferentes activos de Hulten y Wykoff (1980; 1981) y de Fraumeni (1997)7, con las económicas obtenidas en este trabajo. También se realiza un estudio comparativo del stock de capital regional de la BD.MORES con los servicios del capital en términos de valor económico que se obtienen con nuestro método.
En este trabajo también nos hacemos eco del reciente interés por la resiliencia en el análisis regional, incorporando un indicador de sensibilidad que utiliza la diferencia entre las tasas de depreciación económica y estadística entre la nación y cada región. Nuestro estudio de la resiliencia se basa en la depreciación, una variable novedosa diferente a las habituales en esta literatura (producción y empleo), analizando el grado de vulnerabilidad regional a los shocks económicos entre 1964 y 2011. Para ello nos fijamos en los sucesivos periodos de crisis y expansión económica, durante los cuales los sistemas económicos regionales muestran su particular capacidad de absorción y adaptación ante los distintos shocks, sin que se llegue a mudar la naturaleza del propio sistema. Nuestros resultados ofrecen una imagen del comportamiento de las regiones ante las crisis diferente a la que se ofrece en otros estudios.
Finalmente, aunque no se explota en este trabajo, observamos que al trabajar con nuestra estimación del valor económico del capital, puede que los periodos de crecimiento y/o estancamiento de la PTF no se correspondan con los que indican las medidas basadas en la medición estadística del capital. Esta reflexión se hace extensiva a la evolución de la relación capital/trabajo y al proceso de sustitución de factores, y tiene implicaciones para la explicación del comportamiento de las economías regionales en el periodo considerado.
El trabajo se organiza de la siguiente manera. En sección 2 planteamos la discusión teórica que acompaña al cálculo estadístico de la depreciación y el stock de capital e introducimos los conceptos de depreciación y stock de capital económicos. Estos últimos deben su razón de ser a toda una literatura de modelos de optimización intertemporal en los que se determinan endógenamente la inversión, la depreciación y el stock de capital. En la sección 3 se presentan los resultados para la economía española a lo largo del periodo 1964-2011, comparando las mediciones económica y estadística, tanto de la tasa de depreciación como del stock de capital. En la sección 4 se realiza la misma comparación para las regiones y se estudia la resiliencia regional, estableciéndose tres grupos de regiones. Finalmente, en la sección 5 se recogen las principales conclusiones.
2. Stock de capital y depreciación: medición estadística y medición económica
A partir del trabajo pionero de Jorgenson (1963) se considera que existe un modelo interpretativo, conocido como hipótesis de la proporcionalidad, que establece que la depreciación y reemplazo de los bienes de capital se realiza a una tasa constante, proporcional al correspondiente stockde capital. El dominio de este paradigma convirtió en secundario el problema que había ocupado a los investigadores en las décadas anteriores: la determinación endógena de la vida útil óptima de las distintas generaciones y tipos de bienes de equipo. Según el nuevo enfoque la tasa de depreciación constante conectaba mejor con un supuesto periodo (medio) de vida útil predeterminado exógenamente. Este supuesto convierte a la depreciación en una mera necesidad técnica y, a partir de ese momento, se empezó a considerar que una buena aproximación al stockde capital agregado se podía obtener sumando las cantidades todavía no depreciadas de toda la inversión realizada en el pasado,
(1)Este procedimiento conocido como el Método del Inventario Permanente nos da, en términos variacionales, la correspondiente ecuación de acumulación
(2)No obstante, esta forma de interpretar el fenómeno de la depreciación fue puesta en entredicho porque se basaba en unos supuestos muy restrictivos. El principal problema del teorema de Jorgenson que ya apuntaban entre otros Feldstein y Foot (1971), Feldstein y Rothschild (1974), Bitros y Kelejian (1974), Nickell (1975), es que se centra en la edad e ignora el papel que juegan variables económicas como la utilización, el mantenimiento, la obsolescencia provocada por el progreso técnico incorporado, la incertidumbre o la propia coyuntura macroeconómica en la determinación de la depreciación de los bienes de capital. Según esta literatura la ecuación de acumulación del stockde capital debería representarse de la siguiente manera:
(3)La depreciación Dt puede variar considerablemente debido no solo a la variabilidad inherente al movimiento del stockde capital sino también a la influencia de factores económicos más generales. En consecuencia, deberíamos dejar de considerar el supuesto estricto de una tasa de depreciación única y constante para el stock de capital agregado, y definir implícitamente una tasa de depreciación variable de la siguiente manera:
(4)Esta tasa de depreciación implícita refleja la variabilidad de numerador y denominador. Sin embargo, puede ocurrir también que muestre variabilidad simplemente por el hecho de que esté variando la composición del stock de capital. Esto es lo que nos encontramos cuando sustituimos la tasa constante única por una multiplicidad de tasas constantes, cada una de ellas asociada a un tipo de activo de capital diferente.
La aplicación concreta de estas cuestiones al cálculo efectivo de la depreciación y del stock de capital se ha llevado a cabo en el marco de las propuestas metodológicas emanadas de organismos internacionales como la OECD, con el objetivo de armonizar los usos y criterios de las distintas oficinas estadísticas nacionales, y alcanzar el mayor grado posible de homogeneidad entre los indicadores calculados para los distintos países. La cuantificación del flujo de inversión bruta se realiza directamente con las adquisiciones de nuevos bienes de capital según las transacciones explícitas que se llevan a cabo en el mercado. Sin embargo, no existen datos registrados fiables de la depreciación. En este caso se realiza una imputación de valores contables adoptando supuestos estadístico-matemáticos sobre la supervivencia, la eficiencia según la edad y la vida útil de los distintos activos. Los supuestos adoptados para el cálculo de la depreciación han variado entre OECD (2001) y OECD (2009). En cualquier caso, ya sea determinada con complejas funciones estadísticas de supervivencia-retiro y de edad-eficiencia elegidas ad hoc, o bien sea consecuencia de un supuesto más sencillo como el de la función estadística que expresa el double declining balance rate, podemos acabar expresando la depreciación como en (4) y la dinámica del stockde capital con la siguiente ecuación que expresa de forma generalizada el método del inventario permanente,
(5)Como alternativa a todo el planteamiento anterior que permite alcanzar una medida estadística de la depreciación δt y del stock de capital Kt, nosotros proponemos la metodología expuesta en Escribá y Ruiz (1995a) como forma de obtener una medida económica de la depreciación δt* y del stock de capital Kt*. Según el plantea miento de estos autores, que entronca con la modelización inicial de Hayashi (1982) y encuentra su continuación en los modelos de Escribá y Ruiz (1996) y Boucekkine y Ruiz (2003), la incorporación de la tasa de depreciación al conjunto de las variables de decisión endógenas es posible gracias a su conexión con los gastos de mantenimiento de los activos de capital 8. La resolución del modelo ofrece la expresión que nos relaciona el precio sombra del capital con la definición del ratio q de Tobin marginal. Esto es, el valor presente del flujo futuro de la productividad marginal neta del capital. Por otra parte, las propiedades de homogeneidad que se les suponen a las funciones de producción y de costes permiten establecer la igualdad de los ratios q marginal y medio. En consecuencia, podemos expresar el valor de q como el cociente entre el valor de la empresa Vt* y el valor corriente del stock de capital medido en términos nominales:
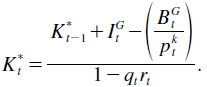
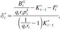
(6)Por otro lado, el stock de capital se determina en cada momento según la ecuación:
(7)Dado el stock de capital del periodo anterior, adicionando el flujo de inversión bruta ItG y restando el flujo de depreciación δt*K*t - 1, obtenemos el stock de capital del periodo corriente. Además, bajo el supuesto de que los mercados financieros funcionan competitivamente, podemos especificar el valor económico de la empresa Vt* como el valor presente descontado con el tipo de interés nominal, Rt, del flujo infinito de beneficios distribuidos, Bt* . Si además suponemos que los agentes económicos tienen expectativas estáticas, lo cual implica que, [t,∞], Bs* = Bt* (1+πks )s - t y Rs = Rt, siendo πsk = πtkla tasa de inflación que se desprende del índice de precios de los bienes de capital pk. Definimos el tipo de interés real rt = Rt - πtk> 0 y aproximamos el término
suponiendo despreciable el producto rt Rt. Entonces, podemos escribir
(8)Sustituyendo este resultado en (6) obtenemos
(9)Las ecuaciones (9) y (7) nos dan una idea de cómo se define el proceso de acumulación del capital y también de su relación con la valoración que realiza el mercado de dicho proceso. En estas ecuaciones estamos considerando los valores económicos o de mercado de cada una de las variables, ya sean las variables cantidad: beneficios distribuidos, los flujos de inversión bruta y de depreciación, y el propio stock de capital; o las variables precio: ratio q, tipo de interés y precio de los bienes de inversión.
Por otra parte, en el marco de las rentas de los factores generadas y distribuidas mediante los mecanismos de mercado, resulta obvio que el valor económico de los beneficios distribuidos netos, Bt*, más el valor nominal del flujo de depreciación económica se corresponde con los beneficios distribuidos brutos, BtG = Bt* + δt*ptkK*t- 1. Sustituyendo en (9) obtenemos
(10)En consecuencia, si conocemos tanto los valores de las variables precio como los de los flujos económico-contables de inversión bruta y beneficios distribuidos brutos, podemos usar las ecuaciones (7) y (10) para obtener los valores de las variables endógenas Kt* y δt*, en función de las variables exógenas qt, rt, ptk, BtG y ItG, dado el valor predeterminado de K*t-1. Esto es,
(11)
(12)Así pues, a partir de un valor K0* conocido podemos usar las dos ecuaciones anteriores de manera secuencial para obtener las correspondientes series del stock de capital y de la tasa de depreciación.
Recapitulando, tenemos las ecuaciones (4) y (5) que nos permiten realizar una medición estadística de la depreciación y del capital. Y tenemos las ecuaciones (11) y (12) que nos permiten alcanzar una medición económica de dichas variables. Tenemos pues dos procesos dinámicos de acumulación de capital y consideramos que es necesario establecer conexiones entre ellos. Aunque es cierto que difieren en la medida de la depreciación, y el flujo de depreciación estadística define implícitamente una tasa δtque no tiene por qué coincidir con la tasa de depreciación económica δt* ambos coinciden en la medida de la inversión ItG. Por otra parte, nos encontramos con la necesidad de particularizar mediante la especificación de una condición frontera, y en este caso elegimos la condición inicial. Con el fin de poder establecer una comparación razonable entre las dos series de capital, estadística y económica, adoptamos el supuesto de que en el periodo inicial ambas medidas del stock de capital coinciden, K0* = K0.
3. Depreciación y capital en la economía española
La solución al sistema de ecuaciones (11) y (12) del apartado anterior nos permite obtener las series de Kt* y δt* para el sector privado productivo no financiero de la economía española. Las series de las variables consideradas exógenas en el cálculo anterior provienen en su mayoría de la base de datos BD.MORES base 2008. Este es el caso del precio de los bienes de inversión y la inversión bruta. El valor predeterminado del capital inicial se obtiene también de esta base de datos BD.MORES. La serie de tipos de interés se ha tomado de Escribá y Ruiz (1995a) y AMECO. La ratio q y los beneficios distribuidos brutos se elaboran como se detalla en el Apéndice 1.
En el Gráfico 1 se muestra la evolución de la ratio q para la economía española durante el periodo estudiado 1964-2011. En el Gráfico 2 se muestra la tasa de depreciación económica en comparación con la tasa de depreciación estadística para el periodo 1965-2011. En el Gráfico 3 se presenta la evolución de los valores económico y estadístico del stock de capital para el sector productivo privado no financiero durante el periodo 1964-2011.


Como se puede apreciar, los valores económicos calculados de las variables stockde capital y depreciación arrojan mucha más luz sobre los acontecimientos económicos de las cinco últimas décadas que la que ofrecen las mediciones estadísticas. El stock de capital económico experimenta un importante crecimiento durante el periodo anterior a 1974 como puede observarse en el gráfico 3. Al mismo tiempo, la tasa de depreciación económica es mucho más reducida que la tasa estadística, la cual se sitúa en torno al 6% durante ese periodo. La ratio q siempre está por encima de la unidad.
En el periodo de crisis desde mediados de los setenta, y prácticamente durante una década hasta mediados de los años ochenta, el stock de capital económico se estanca de una manera muy acusada. Este estancamiento es fruto de la enorme depreciación que experimentan los equipos productivos, consecuencia directa de la propia crisis energética. El deterioro económico, pero sobre todo la obsolescencia de tipo estructural, se sitúan en la base de este incremento significativo de la depreciación en este periodo de reconversión industrial. Es esta una depreciación que no puede ser explicada por el simple deterioro físico de los equipos, tal y como nos muestra la tasa de depreciación estadística elaborada en base al método del inventario permanente. La disparidad de valores que se observa al comparar nuestras series del valor económico del stock de capital con la valoración estadística del mismo, pone de manifiesto lo inapropiado del método del MIP para el cálculo del stockde capital en periodos de gran agitación económica. De hecho en este periodo la evolución de la ratio q, marca una tendencia decreciente, llegando a caer hasta valores alrededor de 0,4.

Desde mitad de los años ochenta hasta los primeros años 2000, el stock de capital económico crece a una tasa mayor que el estadístico. Únicamente en la recesión 1991-1993 y su entorno inmediato se observa un frenazo a la tendencia general de ese largo periodo. Asociado a este movimiento de recuperación general, el ratio q mantiene valores superiores a la unidad (excepto los años 1991-1993) y alcanza su cota máxima en el año 2000.
A partir del año 2002 se ralentiza la tasa de crecimiento del stock de capital económico separándose de la evolución del capital estadístico. La tasa de depreciación endógena sube por encima de la tasa estadística, reflejando la fuerte caída que se produce también en el ratio q. El último año de la muestra, el 2011, anuncia el inicio de la recuperación con una mayor tasa de crecimiento del capital económico que el estadístico. Puede resultar extraño que se observe el inicio de la recesión ya en el año 2002, con tanta antelación a la fecha más generalmente aceptada de finales de 2007. Sin embargo, como muestran las estadísticas oficiales, la caída de la tasa de inversión productiva privada no financiera (FBCF/VAB) se produce a principios de los 2000 en la mayoría de países europeos.
En general, de la observación de los gráficos anteriores, se desprende que la tasa de depreciación estadística y el stock de capital correspondiente, obtenidos con la metodología MIP, resultan ser unas mediciones apropiadas a largo plazo, cuando las economías han tenido tiempo para ajustarse a los shocks. En ese caso, las vidas medias útiles de los distintos activos que aproximan el deterioro físico, nos proporcionan unas tasas de depreciación fijas que aproximan bastante bien la «verdadera» depreciación. De hecho, la tasa de depreciación económica calculada de manera endógena en este trabajo oscila alrededor de la tasa estadística, así como el valor económico del capital oscila alrededor del stock de capital estadístico y la ratio q de Tobin alrededor de la unidad.
La depreciación es por naturaleza una variable de control endógena y esto debe tenerse en cuenta cuando se realizan argumentaciones económicas para periodos cortos de tiempo. Como, por ejemplo, cuando se afirma que en el periodo 1994-2007 se produjo una importante caída del crecimiento de la PTF en Europa y especialmente en España. En nuestra opinión, el uso de los stocks de capital estadístico-contables debe reservarse para analizar periodos de tiempo muy largos, evitando usarlos en los estudios sobre la evolución cíclica de las economías.
4. Resultados para las regiones españolas: un análisis de resiliencia
Más allá de los resultados obtenidos para el conjunto de la economía española, la aplicación de nuestro método de cálculo basado en las ecuaciones (11) y (12) permite obtener las series de Kt * y δt* para el sector productivo privado no financiero de cada una de las regiones españolas. En este caso, los valores utilizados para las variables exógenas correspondientes al precio de los bienes de inversión y la inversión bruta, así como el stock de capital inicial para cada región provienen de la base de datos regional BD.MORES. Los valores del tipo de interés y el ratio . de Tobin usados en cada región son los correspondientes a las series del agregado nacional. Respecto a los beneficios distribuidos brutos no existen series a nivel regional, por lo que se ha distribuido por regiones la serie nacional elaborada a partir de los datos de Contabilidad Nacional de España (véase Apéndice 1).
El perfil de las series que muestran la evolución de las tasas de depreciación económica de las regiones es muy similar al que veíamos en el Gráfico 2 para la economía española. La razón descansa en que se ha utilizado el ratio . nacional y aunque los dividendos agregados se han distribuido entre las regiones, estos mantienen su misma evolución. Sin embargo, la intensidad y la magnitud de esta evolución son distintas por regiones, y ello nos permite agruparlas identificando algunas características de las mismas relacionadas con la resiliencia regional. Aquí proponemos una forma de aproximar la resiliencia relativa de las distintas regiones, centrándonos en la medida de la depreciación. Para ello nos fijamos en los sucesivos periodos de crisis y expansión económica, durante los cuales los sistemas económicos muestran su capacidad de absorción y adaptación ante los diferentes shocks, sin que se llegue a mudar la naturaleza del propio sistema. En particular, estudiamos la diferente capacidad de las regiones españolas en los periodos de crisis para minimizar la separación de la tasa de depreciación económica respecto a la tasa estadística de equilibrio de largo plazo. En los periodos de crisis, en los que la tasa de depreciación económica es superior a la tasa estadística, una región será más resiliente si se desvía menos de la tasa estadística que la nación y minimiza los retiros. En los periodos de recuperación en los que la tasa de depreciación económica es menor que la estadística, una mayor adaptabilidad a la expansión vendrá acompañada de un mayor mantenimiento de los equipos productivos y también de una menor tasa de depreciación económica en relación a la estadística, lo cual implica una separación entre ambas mayor que la separación observada a nivel nacional.
En consonancia con este enfoque de la resiliencia, el indicador de sensibilidad elegido que se propone lo definimos como ρR,t= (δ*E,t – δE,t) – (δ*R,t – δR,t) donde δ* y δ son las tasas de depreciación económica y estadística respectivamente, E representa a la nación y R a la región. Si el índice es positivo la región presenta una diferencia entre sus tasas de depreciación económica y estadística menor que la diferencia que se observa a nivel nacional. Entonces podemos afirmar que la región reacciona mejor que la nación a los shocks adversos de naturaleza económica y se adapta mejor en los periodos de expansión 9.
En el Cuadro 1 se recoge la información referente al índice de sensibilidad mencionado, tanto en las fases de crisis como de recuperación para el sector privado productivo de cada una de las regiones españolas. Se distinguen, al igual que en el apartado anterior, tres periodos de crisis: 1975-1985, 1991-1993, y el último se considera tanto desde 2002 (año en que ya empieza a disminuir la inversión en el sector productivo privado no financiero), como desde 2007; dos periodos de recuperación: 1986-1990 y el segundo que se considera tanto 1994-2001 como 1994-2006 en concordancia con el periodo de crisis considerado; y el periodo completo. La resiliencia regional a las crisis puede variar y cambiar con el tiempo, no solo por las diferencias en las causas y la naturaleza de los shocks,sino porque los factores y mecanismos que modelan la resiliencia económica pueden evolucionar y cambiar. La resiliencia no es una característica estática de una economía, sino un proceso dinámico, influido tanto por el tipo de perturbación como por el incesante proceso de adaptación (Martin, 2012).

Según nuestros resultados, cuatro regiones mitigan mejor los efectos de las crisis y se sobreponen siempre mejor que la nación: Cataluña, Madrid, Navarra y País Vasco, independientemente de si la crisis impactó especialmente al sector industrial o tuvo un carácter financiero. Estos resultados no coinciden totalmente con los obtenidos utilizando el empleo por Sánchez (2014) y Reig (2017)10. Por el contrario, son especialmente vulnerables a las crisis y reaccionan peor en las expansiones Extremadura, Galicia, las regiones del Mediterráneo excepto Cataluña (Andalucía, Comunidad Valenciana, Murcia y Baleares) y Canarias. Este grupo de regiones muestra un resultado negativo para el periodo completo. Regiones de la Cornisa Cantábrica (Asturias y Cantabria) y del interior (Aragón, La Rioja y las dos Castillas) se han defendido mejor en dos de las crisis y en sus correspondientes recuperaciones 11. Especialmente positiva es la evolución hacia una mejor adaptación que muestran Aragón, Asturias, Castilla León y La Rioja. En los Gráficos 4 a 6 se representan las diferencias entre δt* y δt y para cada una de las regiones y para la economía española.
Las series de la tasa de depreciación económica obtenidas las hemos presentado comparándolas con las tasas de depreciación estadística, que son diferentes por regiones debido a su propia estructura productiva. En el Gráfico 4 se presentan las regiones que han resultado más vulnerables en el periodo 1965-2011 (Andalucía, las Islas, Comunidad Valenciana, Extremadura, Galicia y Murcia). La diferencia entre la tasa de depreciación económica y estadística es casi siempre mayor en estas regiones que en la nación en este periodo. En el Gráfico 5, se presentan las diferencias en las tasas de depreciación para las regiones de Aragón, Asturias, Cantabria, las dos Castillas y La Rioja. Muchas de estas regiones mejoran su adaptación después de la primera crisis, y la diferencia entre la tasa de depreciación económica y estadística pasa de ser mayor que en la nación a ser menor después de la primera crisis. El resto de regiones, es decir, Cataluña, Madrid, País Vasco y Navarra, soportan y afrontan mejor las perturbaciones 12 y la diferencia entre la tasa de depreciación económica y estadística es siempre menor en estas regiones que en la nación, como puede observarse en el Gráfico 6.
Diferentes factores han sido considerados como determinantes de la resiliencia regional ante shocks económicos. En algunos trabajos se recogen atributos e indicadores de forma exhaustiva [Cutter et al., 2010; Sherrieb et al., 2010 o Ifejika et al., 2014]. En el Cuadro 2 se presentan algunos de los indicadores más habituales en esta literatura que pueden ilustrar las posibles explicaciones de los resultados obtenidos en nuestro trabajo, especialmente los relativos al grupo de regiones que muestran una resiliencia más permanente. En concreto se presentan indicadores regionales sobre diversificación regional en el tamaño empresarial, especialización en sectores manufactureros de demanda fuerte y en agricultura, el nivel educativo de los trabajadores ocupados, la dotación regional de capital en I+D y el mayor tamaño empresarial. Nuestro objetivo en este punto no es analizar la causalidad entre estos indicadores y el índice de resiliencia calculado (ρ), sino señalar una serie de observaciones sobre las características de las regiones con mayor resiliencia obtenida con nuestro índice de sensibilidad.

La observación del Cuadro 2 sugiere que las regiones en las que la tasa de depreciación económica se separa menos de la estadística respecto a la nación son aquellas cuyo tamaño de empresa está muy diversificado, que aprovechan la flexibilidad de las pequeñas y medianas empresas a la vez que están especializadas en empresas de gran tamaño que en general son más productivas (Christopherson et al., 2010 y Sherrieb, et al., 2010), que no están especializadas en agricultura y sí en ramas manufactureras de demanda fuerte (excepto Navarra) (Martin y Sunley, 2015), que están especializadas en capital en I+D y sus ocupados tienen una alta formación que les hace más versátiles y con mayor nivel de competencias y capacidad de aprendizaje y adaptación (Davies, 2011).
La evolución temporal de los stocks de capital regionales depende de la tasa de depreciación utilizada pero también de la inversión bruta. La cuantificación del flujo de inversión bruta, a diferencia de la depreciación, se contabiliza directamente con las adquisiciones de nuevos bienes de capital según las transacciones explícitas que se llevan a cabo en el mercado. En efecto, que la tasa de depreciación económica, aunque fluctúe alrededor de la tasa de depreciación estadística, tenga mayor sensibilidad o resiliencia, conduce a diferentes tasas de crecimiento en cada crisis y recuperación de los stocksde capital económico y estadístico. En el Cuadro 3 se comparan los capitales estadísticos obtenidos de la base de datos BD.MORES con los obtenidos en este trabajo.

En los periodos de crisis el stock de capital económico crece menos que el estadístico. Eso ocurre en todas las regiones durante las crisis de 1975-85 y 2002-2011, y en la mayoría de regiones en la más corta crisis de 1991-1993. En las dos recuperaciones que cubren nuestros datos, siempre la tasa de crecimiento del capital económico es mayor que la del estadístico en todas las regiones. Cuando consideramos ciclos completos en un periodo suficientemente largo, como puede ser el comprendido entre 1965 y 1994, las tasas de crecimiento promedio para el capital económico y el estadístico son muy similares en cada región. Al igual que en el apartado anterior puede concluirse que la tasa de depreciación estadística y el stockde capital correspondiente con la metodología MIP, resultan una buena aproximación a largo plazo cuando las economías han tenido tiempo para ajustarse a los shocks. Pero no para etapas cortas en que las economías sufren shocks económicos que afectan a las expectativas de los agentes económicos, que afectan en sus decisiones de inversión y depreciación y por tanto en el stock de capital. En el periodo completo 1965-2011 las tasas económicas son algo menores que las estadísticas, dado que el periodo de recuperación completo no lo abarcan nuestros datos.

4. Conclusiones
En la literatura económica cuantitativa y aplicada es frecuente encontrar referencias a las mediciones estadísticas del capital y la depreciación. En este trabajo presentamos una forma diferente de abordar la estimación del stockde capital y la tasa de depreciación. Basándonos en el planteamiento de los modelos de optimización intertemporal cuya estructura incorpora tanto los costes de ajuste como los costes de mantenimiento de los bienes de inversión, podemos concretar un sistema recursivo de dos ecuaciones con las variables tasa de depreciación y stockde capital como variables endógenas. Dado que el resto de variables del sistema son precios explícitos y variables económicas que expresan transacciones de mercado, lo que obtenemos al iterar nuestras ecuaciones es una valoración económica de la depreciación y del stockde capital.


Nuestro método de cálculo usa los valores bursátiles del ratio q de Tobin y genera unos resultados que difieren de los obtenidos al aplicar el método del inventario permanente. En la parte de los resultados ofrecemos las medidas estadística y económica de la tasa de depreciación y el stock de capital, obtenidas para el conjunto de la economía española y sus regiones durante el periodo 1964-2011.
La tasa de depreciación económica fluctúa alrededor de la tasa estadística, que se muestra mucho más estable a lo largo del tiempo. El stock de capital económico ofrece un perfil temporal claramente diferenciado del que muestra la medida estadística del capital, fruto de una mayor o menor destrucción de capital en diferentes periodos que no recogen las estadísticas oficiales. Sin embargo, las mayores diferencias se dan entre las correspondientes tasas de crecimiento del stock de capital. Los shocks económicos desvían la tasa de depreciación económica de la tasa estadística con diferente intensidad durante este periodo en las distintas regiones españolas.
En el trabajo se propone un análisis de la resiliencia regional centrada en las medidas de la depreciación. En los periodos de crisis, en los que la tasa de depreciación económica es superior a la tasa estadística, una región será más resiliente si se desvía menos de su tasa estadística que la nación. En los periodos de recuperación, en los que la tasa de depreciación económica es menor que la estadística, una mayor adaptabilidad a la expansión vendrá acompañada de un mayor mantenimiento de los equipos productivos y también de una menor tasa de depreciación económica en relación a la estadística, lo cual implica una separación entre ambas mayor que la separación observada a nivel nacional. En el trabajo se establecen tres grupos de regiones: siete regiones son especialmente vulnerables a las crisis y reaccionan débilmente en las expansiones; otras seis van resistiendo y/o mejorando su adaptación a las crisis; cuatro regiones mitigan siempre con éxito las crisis y se recuperan mejor que la nación. Finalmente se apuntan algunos factores que explican los resultados obtenidos por este último grupo de regiones como son la mayor diversificación del tamaño empresarial, la no especialización en agricultura y la especialización en ramas manufactureras de demanda fuerte, la mayor especialización en I+D y la mejor formación de sus ocupados.
Bibliografía
Albonico, A., Kalyvitis, S., y Pappa, E. (2014): «Capital Maintenance and Depreciation over the Business Cycle», Journal of Economic Dynamics and Control, 39, 273-286.
Alonso, C., y Bentolila, S. (1992): «La relación entre la inversion y la “q de Tobin” en las empresas industrials españolas», D.T.,núm. 9.203, Servicio de Estudios del B.E.
AMECO. Annual macro-economic database of the European Commission’s Directorate General for Economic and Financial Affairs (DG ECFIN).
Baily, N. M. (1981a): «The Productivity Growth Slowdown and Capital Accumulation», AEA Papers and Proceedings, 71 (2), 326-331.
— (1981b): «Productivity and the Services of Capital and Labor», Brookings Papers on Economic Activity, 1, 1-65.
— (1982): «The Productivity Growth Slowdown by Industry», Brookings Papers on Economic Activity, 2, 423-459.
Bureau of Economic Analysis (BEA) U.S. Department of Commerce (2008): «BEA Rates of Depreciation, Service Lives, Declining-Balance Rates, and Hulten-Wykoff categories», Working Paper 11, http://www.bea.gov/national/FA2004/Tablecandtext.pdf.
BEA (2009): «BEA’S measures of capital: A brief overview», UNECE/OCDE/Eurostat Task Force for Measuring Sustainable Development. First Meeting, Geneva, 23-24 September.
Bitros, G. C. (2010): «The theorem of proportionality in contemporary capital theory: An assessment of its conceptual foundations», The Review of Austrian Economics, 23 (4), 367-401.
Bitros, G. C., y Flytzanis, E. (2007): «Utilization and Maintenance in a Model with Scrapping», European Journal of Operational Research, 194, 551-573.
— (2016): «On the Optimal Lifetime of Real Assets», MPRA D.P., No. 70818, 1-19.
Bitros, G. C., y Kelejian, H. H. (1974): «On the Variability of the Replacement Investment Capital Stock Ratio: some Evidence from Capital Scrappage», The Review of Economics and Statistics, 56, 270-278.
BLS (Bureau of Labor Statistics) U.S. Department of Labor (2006): «Overview of Capital Inputs for the BLS Multifactor Productivity Measures», http://www.bls.gov/mfp/mprcaptl.pdf.
Bosshardt, M. O., y Mairesse, J. (1980): «Le comportement de déclassement des entreprises: Quelques estimations», Annales de l’INSEE,38/39, 207-235.
Boucekkine, R., y Ruiz-Tamarit, J. R. (2003): «Capital maintenance and investment: Complements or substitutes?», Journal of Economics, 78 (1), 1-28.
Caballero, R. J., y Hammour, M. L. (1996): «On the timing and efficiency of creative destruction», Quarterly Journal of Economics, 446, 805-852.
Christopherson, S., Michie, J., y Tyler, P. (2010): «Regional resilience: theoretical and empirical perspectives?», Cambridge Journal of Regions, Economy and Society, 3, 3-10.
Cowing, T. G., Smith, V. K. (1977): «A note on the variability of the replacement investment capital stock ratio», The Review of Economics and Statistics, 59, 238-243.
Cuadrado-Roura J. R., y Maroto, A. (2016): «Unbalanced regional resilience to the economic crisis in Spain: a tale of specialisation and productivity», Cambridge Journal of Regions, Economy and Society,9, 153-178.
Cutter, S., Burton, C., y Emrich, C. (2010): «Disater Resilience Indicators for Benchmarking Baseline Conditions», Journal of Homeland Security and Emergency, 1-22.
Davies, S. (2011): «Regional resilience in the 2008-2010 downturn: comparative evidence from European countries», Cambridge Journal of Regions, Economy and Society, 4, 369-382.
De Bustos, A., Cutanda, A., Díaz, A., Escribá, F. J., Murgui M. J., y Sanz, M. J. (2008): «La BD.MORES en base 2000: nuevas estimaciones y variables», Ministerio de Hacienda. SEPG Documentos de Trabajo Number: D-2008-02.
Dekle, R. (1994): «Technological progress and endogenous capital depreciation: evidence from the US and Japan», Board of Governors of the Federal Reserve System, D. P. 485, 1-33.
Eisner, R. (1972): «Components of capital expenditures replacement and modernization versus expansion», The Review of Economics and Statistics, 54, 297-305.
Escribá-Pérez, F. J., y Ruiz-Tamarit, J. R. (1995a): «Economic measurement of capital and profitability», Recherches Économiques de Louvain,61(2), 433-459.
— (1995b): «La depreciación del capital productivo en España (1964-1990)», Revista de Economía Aplicada, 3 (9), 21-40.
— (1996): «Maintenance costs and endogenous depreciation», Revista Española de Economía, 13 (2), 261-277.
Espitia, M. (1987): «Rentabilidad y coste del capital de la empresa española no financiera 1962-1984», Situación, 1 (4), Banco de Bilbao, 62-83.
Feldstein, M. S., y Foot, D. K. (1971): «The other half of gross investment: replacement and modernization expenditures», The Review of Economics and Statistics, 53, 49-58.
Feldstein, M. S., y Rothschild, M. (1974): «Towards an economic theory of replacement investment», Econometrica, 42 (3), 393-423.
Found Monetary International (2015): «Crecimiento dispar. Factores a corto y largo plazo», Perspectivas de la Economía Mundial, cap. 4.
Fraumeni, B. M. (1997): «The measurement of depreciation in the U.S. national income and product accounts», Survey of Current Business July.
Fraumeni, B. M., Harper, M. J., Powers, S. G., y Yuskavage, R. E. (2006): «An integrated BEA/ BLS production account: a first step and theoretical considerations», en Jorgenson, D. W., Landefeld, J. S., y Nordhaus, W. D. (eds.), A New Architecture for the U.S. National Accounts, 355-435. Chicago and London, University of Chicago Press.
Fujisaki, S., Mino, K. (2010): «Long-run impacts of inflation tax with endogenous capital depreciation», Economics Bulletin, 30 (1), 808-816.
Hayashi, F. (1982): «Tobin’s marginal . and average .: a neoclassical interpretation», Econometrica, 50 (1), 213-224.
Hulten, C. R., y Wykoff, F. C. (1980): «Economic depreciation and the taxation of structures in United States manufacturing industries: An empirical analysis», en Usher, D. (ed.), The Measurement of Capital, Chicago and London, The University of Chicago Press, 83-119.
— (1981): «The estimation of economic depreciation using vintage asset prices: An application of the Box-Cox power transformation», Journal of Econometrics, 15 (3), 367-396.
Ifejika, C., Wiesmann, U., y Rist, S. (2014): «An indicator framework for assessing livelihood resilience in the context of social-ecological dynamics», Global Environmental Change, 109-119.
Jorgenson, D. W. (1963): «Capital theory and investment behavior», American Economic Review, 53 (2), 247-259.
— (1974): «The economic theory of replacement and depreciation», en Jorgenson, D. W., Econometrics and Economic Theory, Palgrave Macmillan UK, 189-221.
— (1989): «Capital as a factor of production», en Jorgenson, D. W., y Landau, R. (eds.), Technology and Capital Formation, Massachusets, The MIT Press, 1-35.
Kalyvitis, S. (2006): «Another look at the linear . model: an empirical analysis of aggregate business capital spending with maintenance expenditures», Canadian Journal of Economics/Revue Canadienne d’Economique,39 (4), 1282-1315.
Katz, A. J. (2015): «A primer on the measurement of the net sotcks, depreciation, capital services, and their integration», Bureau of Economic Analysis, 123, 1-49.
Licandro, O., Puch, L. A., y Ruiz-Tamarit, J. R. (2001): «Optimal growth under endogenous depreciation, capital utilization and maintenance costs», Investigaciones Económicas, 25, 543-559.
Lioukas, S. K. (1980): «Factors affecting capital retirement: evidence from capacity decommissioning plans in a publicly owned corporation», The Journal of Industrial Economics, 28 (3), 241-254.
— (1982): «The cyclical behaviour of capital retirement: some new evidence», Applied Economics, 14 (1), 73-79.
Martin, R. (2012): «Regional economic resilience, hysteresis and recessionary shocks», Journal of Economic Geography, 12 (1), 1-32.
Martin, R., y Sunley, P. (2015): «On the notion of regional economic resilience: conceptualisation and explanation», Journal of Economic Geography,15 (1), 1-42.
Mukoyama, T. (2008): «Endogenous depreciation, mismeasurement of aggregate capital, and the productivity slowdown», Journal of Macroeconomics, 30 (1), 513-522.
Nickell, S. (1975): «A closer look at replacement investment», Journal of Economic Theory 10 (1), 54-88.
OECD (2001): Measuring Capital OECD Manual, Paris.
— (2009): Measuring Capital OECD Manual, Paris.
Ramírez, M., Rosell, J., Salas, V. (2003): «Evolución de la empresa española no financiera», Economía Industrial, 349-350, 203-214.
Reig, E. (2017): La competitividad de las regiones españolas ante la economía del conocimiento, Fundación BBVA.
Sánchez, J. L. (2014): «Pautas regionales de las crisis económicas en España (1976-2012): ¿necesitamos un nuevo vocabulario?», en Albertos, J. M., y Sánchez, J. L. (coords.), Geografía de la crisis económica en España, Publicacions de la Universitat de València, 173-200.
Serrano L., y Soler, A. (2013): Metodología para la estimación de las series de capital humano (1964-2013), Series de Capital Humano de la Fundación Bancaja-IVIE.
Sherrieb, K., Norris, F., y Galea, S. (2010): «Measuring Capacities for Community Resilience», Social Indicators Research, 227-247.
Wadhawani, S., y Wall, M. (1986): «The UK capital stock New estimates of premature scrapping», Oxford Review of Economic Policy, 2 (3), 44-55.
Ward, M. (1976): The measurement of capital: The methodology of capital stock estimates in OECD Countries, Paris, OECD.
Wykoff, F. C. (1989): «Economic depreciation and the user cost of business-leased automobiles», en Jorgenson, D. W., y Landau, R. (eds.), Technology and Capital Formation, Massachusets, The MIT Press, 259-292.
Apéndice I: Los datos
Series Nacionales
La base de datos de referencia para la mayoría de las series utilizadas en el trabajo es la base de datos regional BD.MORES. A continuación se detallan las variables y sus fuentes estadísticas, así como el proceso seguido para su elaboración cuando ha sido necesario.
ItG: Formación Bruta de Capital Fijo del sector productivo privado no financiero en euros constantes de 2008. BD.MORES b.2008.
ptk: Precio de los bienes de capital del sector productivo privado no financiero. BD.MORES b.2008.
K0: Stock de capital inicial productivo privado no financiero en euros constantes de 2008. BD.MORES b.2008.
Rt : Tipo de interés largo plazo. La serie nominal de Escribá y Ruiz (1995a) desde 1964 a 1977 y desde este año hasta 2011 de la base de datos AMECO.
qt : La ratio q de tobin. Se construye una serie de los valores de la ratio q a partir del trabajo de Espitia (1987), utilizando sus valores desde 1964 a 1982. También se utiliza para los años 1983 hasta 1987 el trabajo de Alonso y Bentolila (1992) que utilizan para su elaboración la información de la Central de Balances del Banco de España. Para el periodo 1988 hasta 2000 se utiliza la serie de la q de la empresa construida por Ramirez, Rosell y Salas (2003) y que nos han proporcionado los autores anualizada. Para alargar la serie hasta 2011, se han utilizado las tasas de crecimiento de los valores de la q del informe de FMI (2015) sobre perspectivas de la economía europea y mundial.
BtG: Beneficios distribuidos brutos en euros corrientes. Estos están compuestos por la suma de Dividendos, Intereses y Depreciación. Las series nacionales se han elaborado como se detalla a continuación:
— Dividendos: La serie de dividendos se ha construido a partir de las series que ofrece el INE en su publicación de la CNE base 2010 de las cuentas anuales no financieras de los sectores institucionales para Rentas de la Propiedad (D.4). Dentro de esta rúbrica se utiliza únicamente las partidas: Rentas distribuidas de las sociedades (D.42) y Beneficios reinvertidos (D.43). Estas series están disponibles para el periodo temporal 1999 a 2014. La CNE base 95 ofrece datos de las Rentas de la Propiedad pero sin desglosar por lo que no se han utilizado. Sin embargo, la CNE base 86 ofrece series desde 1985 a 1997 de Dividendos y otras rentas distribuidas por las sociedades (R.44) para las sociedades y cuasi-sociedades no financieras. A partir de esta información se construye una serie homogénea para el periodo 1985-2011 enlazando ambas series. Desde 1964 a 1985 se ha utilizado la serie de dividendos del trabajo de Escribá y Ruiz (1995a). Se respetan los valores iniciales de la serie (1964-1973) y se utilizan las tasas de crecimiento para los años 1974 a 1983 para retrotraer la serie sobre el valor de los dividendos en 1985.
— Intereses: La serie de intereses se construye de forma análoga a la serie de dividendos, ya que el INE en la CNE base 2010 y Base 86 ofrecen series de intereses (R.41). Desde 1964 a 1985 se utiliza la serie de Intereses del trabajo de Escribá y Ruiz (1995a).
— Depreciación: base de datos BD.MORES b.2008.
Series Regionales
A continuación se detallan las variables y sus fuentes estadísticas, así como el proceso seguido para su elaboración cuando ha sido necesario.
IGjt: Formación Bruta de Capital Fijo regional del sector productivo privado no financiero en euros constantes de 2008. BD.MORES b.2008.
pkjt : Precio de los bienes de capital del sector productivo privado no financiero para cada una de las regiones. BD.MORES b.2008.
Kj 0: Stock de capital inicial productivo privado no financiero de cada una de las regiones en euros constantes de 2008. BD.MORES b.2008.
Dada la inexistencia de series regionales de beneficios brutos distribuidos, se ha procedido a repartir la serie nacional de los dividendos más intereses. Para ello se construyen porcentajes de territorialización utilizando diferentes fuentes de información disponibles. Estas son: La Renta Nacional de España y su Distribución Provincial de la FBBVA desde 1963-1993 para las Rentas Netas del Capital en las CCAA y uno de sus componentes: Intereses y Dividendos cobrados por las familias e instituciones no lucrativas. Además, se han utilizado también las Rentas Netas del Capital obtenidas de la base de datos BD.MORES b.2008 para el sector privado productivo no financiero. Una vez construidos los porcentajes de reparto regionales se han utilizado los promedios de todas estas series desde 1964 a 1993. A partir de 1994 hasta 2011 se utiliza únicamente la información de la BD.MORES ya que ya no se realiza publicación de la FBBVA. Estos porcentajes de territorialización se han suavizado utilizando la información del porcentaje del capital productivo privado no financiero de cada región respecto de la nación. Una vez construidas las series para cada región se le suma la parte de la depreciación que se obtienen de la base de datos BD-MORES.
Apéndice II: Elaboración y fuentes de los factores explicativos de la resiliencia
A continuación se detalla cómo se aproximan los indicadores explicativos de la resiliencia regional utilizados en el Cuadro 2 del trabajo. Los indicadores utilizados y sus fuentes estadísticas son:
El coeficiente de diversificación. Se construye como la inversa del índice de Herfindahl y mide la diversificación en el tamaño de las empresas de cada una de las regiones. La elaboración se realiza a partir de una explotación de las empresas en las CCAA por sector de actividad y estrato de asalariados (de 1 a 10; de 11 a 50; de 51 a 100, de 101 a 250 y de 251 y más) proporcionada por el INE del Directorio Central de Empresas (DIRCE).
Los coeficientes de especialización. Se construyen como la proporción del VAB del sector en una región respecto al VAB de esa región. En el caso de la especialización en sectores manufactureros de demanda fuerte se construye el índice con la especialización en los sectores de industria química y de material eléctrico y electrónico. La fuente utilizada es la base de datos regional BD.MORES.
La formación de los ocupados. Se ha aproximado por el porcentaje de ocupados con estudios superiores en cada región a partir de las Series de Capital Humano de Fundación Bancaja-IVIE.
Las dotaciones de capital en I+D per cápita. Se calculan a partir de las series de capital en I+D privado y público (administraciones públicas y centros de enseñanza superior) y las series de población de la base de datos regional BD.MORES.
Notas
Notas de autor
Los autores agradecen la financiación del FEDER. Los autores reconocen el apoyo del Belgian research programmes ARC on Sustainability así como el apoyo financiero del Ministerio de Econo mía, Industria y Competitividad a los Proyectos ECO2013-48884-C3-1-P, ECO2016-76818-C3-3-P y ECO2015-65049-C2-1-P. Los autores también agradecen el apoyo financiero de la Generalitat Valenciana GVPROMETEO2016-097.