Articles

Recepción: 12 Octubre 2019
Aprobación: 03 Mayo 2021
DOI: https://doi.org/10.38191/iirr-jorr.21.013
Resumen: En esta investigación se analiza la relación de la apertura comercial con las condiciones en que choques productivos provocan externalidades con ciclos espacio-tiempo en el crecimiento económico por entidad federativa de México. Para tal objetivo se utiliza la metodología de modelos STARMA en el crecimiento económico por entidad federativa que se explica por el comportamiento de las regiones de influencia de acuerdo con los vecinos territoriales de primer y segundo orden. Con simulaciones de los modelos se comprueba que choques productivos múltiples provocan externalidades con ciclos espacio-tiempo en todas las entidades federativas. En tanto, los choques productivos individuales, como los casos de la Ciudad de México y Estado de México, muestran que las mayores externalidades se observan en los vecinos territoriales de segundo orden.
Palabras clave: Apertura comercial, crecimiento económico regional, externalidades espaciales, ciclos espacio-tiempo, modelos STARMA, México.
1. Introducción
Esta investigación tiene su motivación en las discusiones de los ciclos y crecimiento económico regional en México. Una parte de la discusión se ha dirigido en explicar las razones de por qué el crecimiento económico de las entidades federativas[1] sigue la dinámica de otras entidades y/o la nacional (Mejía-Reyes y Erquizio-Espinal 2012; Mejía-Reyes y Mejía-Reyes 2007) y otra a explicar por qué otras entidades federativas, ante la apertura comercial, sincronizaron sus ciclos económicos con los Estados Unidos (Chiquiar y Ramos-Francia 2005; Rodríguez-Benavides, Lima-Santiago, y Ortiz 2015; Chiquiar 2008). En algunos de estos estudios se aplicaron modelos con dependencia espacial (Aroca, Bosch, y Maloney 2005; Mejía-Reyes et al. 2018; Baylis, Garduño-Rivera, y Piras 2012) pero los resultados no se utilizaron para inferir y analizar la relación del crecimiento económico de las entidades federativas y sus vecinos territoriales.
El objetivo de la investigación consiste en analizar si la apertura comercial afectó las vinculaciones entre el crecimiento económico de las entidades federativas con sus regiones de influencia que definimos como las entidades que son vecinos territoriales de primer y segundo orden en México. Debido a que las relaciones no siempre son positivas, las mediciones de las externalidades de crecimiento económico entre las entidades federativas y sus vecinos de primer y segundo orden se comportan en forma de ciclos en espacio-tiempo en el periodo de apertura comercial en México (1995-2018). Para probar esta hipótesis se utiliza la metodología de espacio-tiempo STARMA (Pfeifer y Deutsch 1980; LeSage 2009; Yang y Zhang 2019; Safikhani et al. 2018) que tiene la ventaja de incluir al mismo tiempo más de una matriz de ponderaciones espaciales en los modelos de crecimiento económico por entidad federativa para México. Este artículo se conforma además de esta introducción por una sección con la revisión de la literatura relevante referente a la apertura comercial y externalidades espaciales en México; en la tercera sección se plantea la metodología STARMA para los modelos de crecimiento económico por entidad federativa; los resultados de las estimaciones y simulaciones con modelos por entidad federativa espacio-tiempo se analizan en la cuarta sección; al final del trabajo se platean las conclusiones y las consideraciones para futuras investigaciones y la bibliografía.
2. Literatura relevante sobre la apertura comercial y externalidades espaciales en México
Algunas investigaciones sobre la economía mexicana se han concentrado en mostrar como el proceso de apertura comercial desde 1995 afectó al crecimiento, a la convergencia y su vinculación con las relaciones interregionales. Con un análisis general Chiquiar y Ramos-Francia (2005) establecen que el Tratado de Libre Comercio de América del Norte (TLCAN) fortaleció la sincronización de los ciclos entre las industrias manufactureras de México y Estados Unidos por la complementariedad de la cadena productiva. Pero los enlaces productivos parecen ser cada vez más débiles debido a que algunas actividades se transfirieron fuera de la región de América del Norte. La identificación de un ciclo económico común a partir del TLCAN no necesariamente ha sido buena para la economía mexicana. Shepherd, Muñoz, y Mendoza (2014) concluyen que existen similitudes entre la dinámica del PIB entre las entidades federativas de las regiones norte y centro, pero diferencias con las entidades federativas de la región sur de México. Rodríguez-Benavides, Lima-Santiago, y Ortiz (2015) indican que la sincronización de los ciclos económicos se caracterizó por crecimiento lento y la tendencia decreciente de los flujos comerciales hacia Estados Unidos desde 2000.
Con respecto a los procesos de convergencia y crecimiento económico de las entidades federativas en México, Mendoza y Valdivia (2016) estudian el impacto de las remesas en el crecimiento regional con diferentes modelos de panel espacial y concluyen que bajo ciertas condiciones puede existir convergencia con dependencia espacial. Aroca, Bosch, y Maloney (2005) encuentran que el proceso de divergencia económica del Producto Interno Bruto (PIB) por habitante del periodo 1985-2002 se combina con una mayor dependencia espacial. Ellos concluyen que el crecimiento económico regional de México coincide con la reducción de las correlaciones espaciales y, al mismo tiempo, el crecimiento económico más alto de las entidades del norte y la consolidación de un club de convergencia en el centro del país. El planteamiento de posibles clubs de convergencia entre las entidades federativas de México con un enfoque espacial fue analizado por Asuad y Quintana (2010). En su investigación Valdez (2019) analiza la difusión espacial por municipios y encuentra la existencia de externalidades positivas en el crecimiento y con un modelo para Zona Metropolitanas del Valle de México Mendoza, Valdivia, y Quintana (2016) encuentran externalidades positivas en el crecimiento económico. Con la metodología de Phillips y Sul (2007) para probar clubs de convergencia en las entidades federativas Rodríguez, López, y Mendoza (2016) identifican seis grupos o clubes de convergencia y Mendoza et al. (2020) encuentran clubes de convergencia en indicadores de desigualdad regional y PIB por habitante.
Mejía-Reyes et al. (2018) demuestran que el grado de sincronización de los ciclos de producción de las entidades federativas con respecto al ciclo de los Estados Unidos se explica por la mayor la inversión extranjera directa, por las estructuras productivas similares entre las entidades federativas y se relaciona negativamente con las remesas. En las estimaciones de los modelos panel espaciales encuentran que el parámetro de rezago espacial es positivo, lo cual implica que al aumentar el grado de sincronización se provocan externalidades espaciales positivas en las entidades que comparten frontera territorial. Baylis, Garduño-Rivera, y Piras (2012) analizaron los efectos del TLCAN en la distribución del ingreso de los municipios de México donde mencionan que la apertura comercial provocó más crecimiento económico en aquellas regiones con restricciones de infraestructura.
En está investigación se plantea que uno de los efectos de la apertura comercial en México fue la conformación de redes económicas complejas entre cada entidad y sus regiones de influencia definidas por las entidades federativas que son vecinas territoriales de primer y segundo orden. Para ello se propone la aplicación de la metodología STARMA (LeSage 2009; Pfeifer y Deutsch 1980) donde se incluyen más de un rezago espacio-tiempo con coeficientes rho positivos y negativos que generan externalidades con ciclos espacio-tiempo hacia el equilibrio de largo plazo. Así como el diseño de ejercicios de simulaciones con choques productivos generalizados, para la Ciudad de México y el Estado de México usando los modelos STARMA estimados para el crecimiento económico por entidad federativa.
3. Metodología para externalidades con ciclos espacio-tiempo
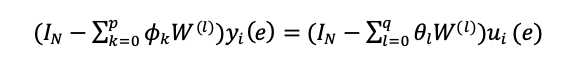
La metodología que se utiliza para identificar externalidades con ciclos espacio-tiempo en el crecimiento económico por entidad federativa de México es una variante de los modelos espacio-tiempo STARMA propuestos por LeSage 2009; Pfeifer y Deutsch (1980). La ecuación establece que el crecimiento económico entre entidades federativas se obtiene por rezago temporal no-espacial se incluye en
y la combinación espacio-tiempo condicionado a los vecinos y rezago temporal de primer orden
y de acuerdo los vecinos y rezago temporal de segundo orden
. Con esta especificación se identifican los procesos de difusión de los choques productivos con ciclos en las externalidades espacio-tiempo en el crecimiento económico por entidad federativa de México.
3.1. Diferencias entre modelos espaciales y el modelo espacio-tiempo STARMA
En la mayoría de los modelos de crecimiento económico regional para México se han utilizado especificaciones con procesos espaciales autorregresivos (SAR) o Durbin espacial que tienen en común parámetros del rezago espacial positivos que implican comportamientos monótonos y asintóticos hacia el equilibrio espacial (Fischer 2018). En la teoría como en los modelos empíricos de crecimiento económico regional con externalidades espaciales lineales (SAR y Durbin), son pocos los casos donde el parámetro del rezago espacial presenta un signo negativo pero la posibilidad existe como parte de la especificación general de los modelos espaciales (LeSage 2009; Elhorst 2014). El supuesto de externalidades en el crecimiento económico con parámetros del rezago espacial con signo negativo indica que las regiones y sus vecinos cercanos se pueden comportar de forma contraria o, en términos de los ciclos económicos, contra-cíclica (Nurhayati, Pasaribu, y Neswan 2012).
Para incorporar externalidades no-lineales se han propuestos modelos de transición suave en el rezago espacial (Smooth Transition Spatial Autoregressive Models, ST-SAR por su siglas en inglés), con parámetros positivos entre cero y uno (Andree, Blasques, y Koomen 2017) y heterogeneidad espacial (Pede, Florax, y Lambert 2014). En su investigación Pede, Florax, y Holt (2008) utilizaron este tipo de modelos para probar la existencia de dos clubs de convergencia e identificar procesos de transición espacial del crecimiento económico por condados no-linealidades en Estados Unidos.
En su artículo Juchem-Neto, Claeyssen, y Pôrto-Júnior (2018) desarrollaron las implicaciones de suponer un modelo de crecimiento económico Solow-Swan espacial, con costos de transporte del capital y migración laboral inducida por capital. En particular encuentran que se cumple el resultado fundamental de los modelos centro-periferia de la Nueva Geografía Económica, donde el costo de transporte del capital por debajo de un valor crítico, definido por la intensidad de la migración laboral inducida por capital, provoca inestabilidad con economías de aglomeración, donde las dinámicas espacio-tiempo son muy parecidas a los ciclos económicos cuando convergen al equilibrio.
Los modelos STARMA de Pfeifer y Deutsch (1980) son una propuesta metodológica para combinar el espacio y el tiempo, con la intensión original de analizar el comportamiento de los arrestos por crímenes en áreas del noreste de Boston. La misma metodología se aplica para predecir el comportamiento de la demanda de turismo en regiones chinas en el periodo 1987-2014 (Yang y Zhang 2019). Safikhani et al. (2018) utilizaron los modelos STARMA para predecir los viajes en taxis amarillos en la metrópoli de Nueva York durante un día de octubre de 2015.
Un caso diferente es el estudio de Nurhayati, Pasaribu, y Neswan (2012) donde aplican un modelo generalizado espacio-tiempo autorregresivo (Space-Time Autorregresive, STAR por su siglas en inglés) para predecir el comportamiento de las razones o proporciones del PIB por habitante de cada país con respecto al PIB por habitante promedio del total de países de Europa Occidental en el periodo de 1955-2006.
3.2. Especificación de los modelos espacio-tiempo para el crecimiento económico por entidad federativa
En esta investigación se establece que las tasas de crecimiento económico por entidad federativa que se observa Importar imagen se generan por un variable aleatoria (ver PDF) con entidades federativas fijas (ver PDF) durante un periodo de tiempo (ver PDF), con una estructura de combinación lineal de la dinámica pasada de la entidad (ver PDF) y aquellas j entidades federativas que son sus vecinas. Los modelos STARMA (Pfeifer y Deutsch 1980) tienen la capacidad para predecir patrones de comportamiento de las entidades federativas con interrelaciones entre ellas y con respecto al tiempo, que, a diferencia de los modelos espaciales de corte transversal, suponen que la influencia entre entidades es diferente en espacio-tiempo y no de forma simultánea (LeSage 2009). Dado que se combinan los procesos autorregresivos y de medias móviles en el espacio y en el tiempo se fundamenta tanto en los modelos de series de tiempo Box-Jenking como en los modelos espaciales (Anselin 1988).
De acuerdo con la estructura de los modelos STARMA se establece que el crecimiento económico de las entidades federativas (ver PDF) se explica por la combinación del crecimiento económico y las innovaciones (errores) pasadas de la propia entidad y de las entidades federativas que son sus vecinas territoriales, como en la ecuación 1

Una de las ventajas de los modelos STARMA es el orden jerárquico en las influencias del crecimiento económico donde cada entidad depende de la dinámica de las entidades vecinas en el tiempo pasado que significa que la dependencia espacial con vecinos de primer orden (ver PDF) se asocia con el crecimiento pasado en el tiempo (ver PDF); la dependencia espacial con vecinos de segundo orden (ver PDF) con dos rezagos de tiempo (ver PDF); y, así hasta que la dependencia espacial con vecinos del orden (ver PDF) se observa en el mismo orden de rezago en el tiempo Importar imagen; el resultado es equivalente para la parte de las innovaciones o errores (ver PDF). Esto garantiza que los efectos del crecimiento económico de una entidad se transmitan a las entidades vecinas en tiempos distintos, siempre y cuando se cumplan las condiciones de ser estacionarios e invertibles. Para mostrar tales condiciones, la ecuación 1 se reescribe en el formato de equilibrio en tiempo con (ver PDF), (ver PDF) de la siguiente manera:

La ecuación 2 establece que los vectores en equilibrio espacio-tiempo del crecimiento por entidades federativas (ver PDF) y sus innovaciones respectivas (ver PDF) existen y son estables, siempre y cuando se cumplan las condiciones de ser estacionarios donde todas las raíces características asociadas al determinante del polinomio de la parte autorregresiva (ver PDF) sean menores a uno en modulo (ver PDF); y, las condiciones de ser invertible que establece que (ver PDF) asociadas al determinante del polinomio de las medias móviles (ver PDF).
3.3. Choques productivos y externalidades espaciales
Los choques productivos positivos (negativos) los definimos como la modificación en la condición inicial de una entidad federativa o en la totalidad de entidades al mismo tiempo, tal que traslada el crecimiento económico de la entidad federativa (entidades) por arriba (debajo) del equilibrio espacio-tiempo; pueden ser muchas razones para explicar un choque productivo positivo (negativo) pero la nuestra es por una reducción (aumento) de los costos de transporte del capital como menciona Juchem-Neto, Claeyssen, y Pôrto-Júnior (2018). Cuando una entidad o un conjunto de entidades federativas se encuentran en un crecimiento económico fuera del equilibrio, la estructura de dependencia espacio-tiempo de los modelos STARMA determinan el patrón de comportamiento de los efectos directos e indirectos (externalidades) hacia el crecimiento en equilibrio de espacio-tiempo.
Para analizar como los choques productivos afectan el crecimiento económico de la región y las regiones vecinas, en la figura 1 se presenta el funcionamiento de cuatro tipos de estructuras de redes de externalidades espacio-tiempo de la parte autorregresiva de los modelos STARMA. En estos casos las condiciones de ser estacionario “débil” implican que los parámetros son menores a la unidad en términos absolutos (ver PDF), la suma de parámetros menor a uno (ver PDF) y al combinarse con ponderaciones espaciales menores a la unidad (ver PDF) se garantiza que los efectos que dependen de los términos (ver PDF) tienden al equilibrio espacio-tiempo.
En el primer caso la red de externalidades es muy parecida al modelo SAR tradicional, pero con la particularidad que los efectos indirectos se transmiten en diferentes tiempos. En la figura 1 se muestra el escenario donde un choque productivo provoca el crecimiento económico de la entidad federativa R1 por arriba del equilibrio en el periodo inicial (t=0), se transmiten los efectos indirectos (flecha continua azul horizontal) a las entidades federativas vecinas de primer orden (R2, R3 y R4) que se afectan a la vez entre ellas (flecha continua azul vertical) en el momento (ver PDF); en el momento siguiente en el tiempo ( (ver PDF) se transmite el efecto de las entidades vecinas de primer orden sobre las entidades de segundo orden (R5,..,R9); y, así las entidades vecinas de segundo orden sobre las entidades vecinas de tercer orden y en adelante.
Para formalizar los efectos directos e indirectos para los tiempos Importar imagen aplicamos derivadas cruzadas con respecto a la parte Importar imagen de los modelos STARMA que se reescriben en incrementos discretos para especificar el choque productivo en el tiempo inicial. El primer efecto es el choque productivo con respecto al crecimiento económico de equilibrio Importar imagenque se transmite en el momento Importar imagen a los vecinos de primer orden de acuerdo con Importar imagen, con parámetros positivos Importar imagen y a las condiciones de ser estacionario “débil” se garantiza que Importar imagen.
El siguiente efecto se transmite a los vecinos de segundo orden en el momento t+2 como Importar imagen que también se puede escribir como Importar imagen y muestra que una parte de los efectos se transmiten a las entidades vecinas de primer orden (Importar imagen) y la otra a las entidades vecinas de segundo orden (Importar imagen); y por las mismas condiciones anteriores se cumple que Importar imagen.
Los siguientes efectos se obtienen y analizan de la misma forma hasta la última entidad vecina que al definir el efecto cuando Importar imagen las externalidades tienden a cero Importar imagen. Cuando se revisa el límite de suma acumulada de todos los efectos, el resultado tiene un comportamiento monótono y asintótico hacia el equilibrio en espacio-tiempo Importar imagen.
Los choques productivos y las externalidades en el caso dos son muy parecidos al ejemplo 1 pero ahora el parámetro del rezago espacio-tiempo de las entidades federativas vecinas de primer orden se supone negativo Importar imagen. Esta nueva condición concuerda con el comportamiento donde una entidad de referencia crece por arriba del promedio mientras sus vecinos están en la parte baja de crecimiento o donde la entidad se encuentra por debajo de crecimiento promedio mientras sus vecinos tienen un crecimiento acelerado que en otras palabras muestran comportamientos anti-cíclicos entre la entidad y las entidades federativas que son sus vecinas cercanas.
En este escenario los primeros efectos indirectos a las entidades federativas vecinas de primer orden (flecha continua roja horizontal) son negativos (R2, R3 y R4) y entre ellas (flecha continua roja vertical) en el momento (ver PDF); en (ver PDF) se observa el efecto positivo de las entidades vecinas de primer orden sobre las entidades de segundo orden (R5,..R9). La regla entonces son efectos negativos en vecinos y tiempo de orden impar y positivos en espacio-tiempo de orden par. El efecto en (ver PDF) a los vecinos de primer orden es (ver PDF) por debajo del equilibrio; en (ver PDF) los efectos negativos se transmiten a las entidades vecinas de primer orden (ver PDF) y positivos a las entidades vecinas de segundo orden (ver PDF); y, así en adelante las externalidades se acercan con ciclos espacio-tiempo y de forma asintótica al equilibrio espacio-tiempo.
En el caso tres coexisten dos redes de externalidades, la primera es la misma que el caso 1 donde la entidad federativa R1 tiene influencia sobre las entidades federativas vecinas de primer orden en (ver PDF) y, de manera indirecta, en las entidades vecinas de segundo orden (ver PDF) y así sucesivamente. En la segunda red de externalidades el supuesto relevante es que la entidad R1 se relaciona con las entidades vecinas de segundo orden de forma directa con dos rezagos de tiempo. De acuerdo con el enfoque de complementariedad de redes (Joshi, Saber, y Sarangi 2019) entre entidades y las entidades federativas que son sus vecinas que conforman las áreas de influencias, las externalidades en las entidades vecinas de segundo orden con dos periodos de tiempo se explicarían por un intercambio posterior, de compras y venta de mercancías, flujos migratorios y de capitales entre las entidades federativas.
En la figura 1 se indican las dos redes del escenario del tercer caso; como en el primer caso el efecto directo de la primera red se indica con las flechas continuas azules horizontales y el efecto entre ellas con las flechas continuas azules verticales. En la segunda red, el choque productivo en el crecimiento económico de las entidades federativas es directo y positivo a las entidades federativas vecinas de segundo grado (flechas discontinuas azul horizontal) y entre ellas (flechas discontinuas azul vertical) en el momento de tiempo (ver PDF); y a partir de este momento temporal a las entidades federativas vecinas de tercer orden en el momento (ver PDF) hasta las últimas entidades federativas vecinas.
Para la medición de las externalidades ahora se combinan los parámetros de las dos redes. Como en el caso 1 el efecto directo en (ver PDF) y el indirecto en (ver PDF) de la primera red es (ver PDF), pero en el momento (ver PDF) además del efecto de la primera red se eleva al cuadrado (ver PDF) se incorpora el efecto de la segunda red con las entidades federativas vecinas de segundo orden (ver PDF). Con parámetros positivos de la primera y segunda red (ver PDF) se garantiza que los efectos se van reduciendo, por tanto cuando (ver PDF) las externalidades tienden a cero para las dos redes (ver PDF) y la suma acumulada, aunque tiene un salto en el momento (ver PDF) por el funcionamiento de los efectos de la segunda red, es monótono antes y después del salto y asintótico hacia el equilibrio de largo plazo definido por las dos redes (ver PDF).
Por último, en el caso 4 se supone que el parámetro del rezago espacio-tiempo de las entidades federativas vecinas de segundo orden es negativo (ver PDF). La condición en la segunda red implica que la entidad R1 crece mientras que las entidades federativas que son sus vecinas de segundo orden se encuentran en la parte baja de crecimiento o lo contrario, por lo que ahora persisten los comportamientos anti-cíclicos entre la entidad y las entidades federativas que son sus vecinas lejanas.
Como en el caso 3 se mantienen los efectos directos e indirectos de la primera red y en el momento (ver PDF) en adelante interactúan los efectos de la segunda red con las entidades federativas vecinas de segundo orden (ver PDF)). En el caso que se cumplan las condiciones de ser estacionario “débil” con parámetros positivos en la primera red y negativo en la segunda red (ver PDF), la suma acumulada de las externalidades tenderá con ciclos espacio-tiempo y de forma asintótico hacia el equilibrio de largo plazo definido ahora como (ver PDF).

4. Resultados de las estimaciones y simulaciones con modelos espacio-tiempo
4.1. Datos, regiones de influencia y dependencia espacial en el crecimiento económico por entidad federativa en México
El indicador trimestral de la actividad económica estatal (ITAEE) con año base 2013=100 que genera el Instituto Nacional de Estadística y Geografía (INEGI) se utiliza para medir el crecimiento económico de las entidades federativas para el periodo 1980-2018. Las tasas de crecimiento anual para cada trimestre se miden como (ver PDF), lo cual implica una muestra de 152 observaciones por entidad federativa y de 4,864 puntos espacio-tiempo para el periodo 1981-2018. De acuerdo con (Bassols 1975) las entidades federativas se pueden clasificar en ocho regiones económicas: Noroeste o Pacífico Norte integrada por Baja California, Baja California Sur, Sonora, Sinaloa y Nayarit; Norte que incluye a Chihuahua, Coahuila, Durango, Zacatecas y San Luis Potosí; Noreste con Nuevo León y Tamaulipas; Centro-Occidente conformada con Aguascalientes, Jalisco, Guanajuato, Colima y Michoacán: Centro-Sur que integra a Querétaro, Hidalgo, Estado de México, Tlaxcala, Puebla, Morelos y Ciudad de México; Golfo de México con Veracruz y Tabasco; Pacífico Sur con las entidades de Guerrero, Oaxaca y Chiapas; y, la Península de Yucatán Campeche, Quintana Roo y Yucatán.
La tasa de crecimiento promedio del ITAEE fue prácticamente la misma en el periodo completo de análisis (1981-2018), previo a la apertura (1981-1914) y de apertura comercial (1995-2018); ver apéndice 1. Al comparar las tasas de crecimiento promedio del ITAEE entre las entidades federativas destaca el aumento de la desviación estándar between al pasar de 0.4 a 1.2 del periodo 1981-1994 al de 1995-2018 que muestra como las entidades federativas se alejaron en crecimiento económico con la apertura comercial. El segundo aspecto al destacar es como la variabilidad de los crecimientos trimestrales del ITAEE (desviación estándar within) fue más pronunciada en tasas negativas y positivas con la apertura comercial, lo cual muestra la mayor sensibilidad de la producción de las entidades federativas a los momentos de crisis y de auge económico en un enfoque de ciclos económicos tradicionales de series de tiempo (Shepherd, Muñoz, y Mendoza 2014).
En la figura 2 se muestra que las entidades federativas con mayor concentración en el Producto Interno Bruto (PIB) son la Ciudad de México y el Estado de México que se localizan en la Región Centro del país, Nuevo León al norte, Jalisco al occidente hacia el pacifico y Veracruz en el Golfo de México. Una de las hipótesis más importantes sobre la apertura comercial es que afectó el crecimiento económico con una mayor desigualdad en la distribución del ingreso nacional (Cardero, Mantey, y Mendoza 2006) donde las regiones norte y centro de México fueron de las más beneficiadas (Chiquiar y Ramos-Francia 2005; Shepherd, Muñoz, y Mendoza 2014). Como se observa las entidades de Nuevo León, Coahuila y Chihuahua localizan en norte del país, y el Estado de México, Puebla y Querétaro en la Región Centro presentaron tasas de crecimiento mayores después de la apertura comercial (1995-2018); ver apéndice 2. La Ciudad de México es un caso especial debido a que mantuvo prácticamente la misma tasa de crecimiento del PIB en los dos periodos; ver apéndice 2.
Si las regiones de influencia de cada entidad federativa se definen de acuerdo con el concepto de vecinos territoriales tipo Queen y k=5 vecinos cercanos (Cuadro 1) resulta que para el caso de la Ciudad de México y el Estado de México sus regiones de influencia se entrelazan con lo que se conoce como la región económica centro que considera también a Morelos, Puebla, Tlaxcala, Hidalgo y Querétaro.


Con el objetivo de identificar si existen indicios de correlación espacial entre el crecimiento económico por entidad federativa y sus regiones de influencia de primer y segundo orden, se aplicaron los estadísticos de Moran para vecinos tipo k=5; ver cuadro 1. La aplicación del estadístico de Moran para las tasas de crecimiento trimestral entre las 32 entidades federativas con regiones de influencia de primer orden muestra claramente que el crecimiento económico mantuvo una correlación positiva, con fluctuaciones y tendencia decreciente en el periodo previo a la apertura comercial (1981-1994). En promedio la dependencia espacial de primer orden fue menor en el periodo de apertura comercial; véase figura 3.
Los resultados sobre crecimiento y dependencia espacial que se muestra en la figura 3 son consistentes con los encontrado por (Aroca, Bosch, y Maloney 2005) para el crecimiento del PIB por habitante, también concluyen que con la entrada del México al GATT en 1986, la apertura comercial acelero el proceso de divergencia económica entre entidades con mayor dependencia espacial donde las entidades federativas se alejaron (divergencia en PIB por habitante) y fortalecieron la vinculación con las entidades federativas que son vecinas territoriales de primer orden.
Con la aplicación del estadístico de Moran al crecimiento económico por entidad federativa con ponderaciones espaciales de segundo orden encontramos comportamientos diferentes antes y después de la apertura comercial. Para el periodo previo a la apertura comercial (1981-1994) la dependencia espacial resultó negativa en promedio pero inestable debido a las correlaciones observadas entre cero y positivas con una tendencia hacia coeficientes negativos, al inicio y al final del periodo respectivamente. Con la apertura comercial (1995-2018) el crecimiento económico regional y su relación negativa con las regiones de influencia de segundo orden se consolidó al mantenerse con el mismo signo, pero con fluctuaciones entre cero y -0.20; ver figura 3.

4.2. Resultados de la estimación de los modelos STARMA
Para elegir la mejor combinación espacio-tiempo se consideraron dos especificaciones de los modelos STARMA: el modelo STARMA(1,1) con las combinaciones de un rezago espacio-tiempo ((ver PDF); y, la especificación STARMA(2,2) con uno y dos rezagos espacio-tiempo (ver PDF). Los modelos se estimaron con matrices tipo Queen y k=5 para elegir las redes en la conformación de las regiones de influencia de primer y segundo orden y se consideraron los periodos de antes (1981-1994) y de apertura comercial (1995-2018) para analizar los efectos de la apertura comercial sobre la relación entre el crecimiento económico regional y sus regiones de influencia.
De acuerdo con la recomendación de Cheysson (2016) se normalizaron las tasas de crecimiento por entidad federativa para que las observaciones espacio-tiempo cumplieran estar centrada con media cero y en la escala de una desviación estándar.
Los resultados de las estimaciones de los modelos STARMA(1,1) indican que el crecimiento de las entidades federativas no está en correlación con sus regiones de influencia de primer orden definidas con vecinos tipos Queen ni con los k=5 vecinos y tampoco es relevante la distinción de periodos de sin y con apertura comercial. Los parámetros de los procesos con media móvil de primer orden (ver PDF) resultaron significativos en el periodo de apertura comercial; ver cuadro 2. Aunque esta especificación no es relevante para la simulación de choques productivos, es importante para analizar choques aleatorios y coincide con los modelos encontrados en el trabajo pionero de Pfeifer y Deutsch (1980).
Los modelos estimados con la especificación STARMA(2,2) tienen mejores resultados para identificar las externalidades en las regiones de influencia de primer y segundo orden. Los parámetros de (ver PDF) y (ver PDF) resultaron significativos con los dos tipos de matrices de ponderaciones y para los dos periodos de análisis. Aunque no existen diferencias relevantes en los parámetros con las matrices tipo Queen y k=5 es evidente la reducción en el valor de los parámetros de las regiones de influencia en el periodo de apertura comercial.
En el caso de los modelos con la matriz de ponderaciones tipo k=5, no se observan cambios importantes en los parámetros negativos de las regiones de influencia de segundo orden, mientras que los parámetros de las regiones de influencia de primer orden se redujeron de 0.392 a 0.107. Estos dos resultados son consistentes con el planteamiento de que la vinculación positiva del crecimiento económico de las entidades federativas con sus regiones de influencia de primer orden disminuyó y se mantuvo la relación negativa con sus regiones de influencia de segundo orden con la apertura comercial. Los resultados de la parte de los procesos con media móvil indican que los choques aleatorios de espacio-tiempo de segundo orden (ver PDF) son importantes en el periodo de apertura comercial; ver cuadro 2.

4.3. Simulaciones de choques productivos, efectos directos y externalidades espacio-tiempo
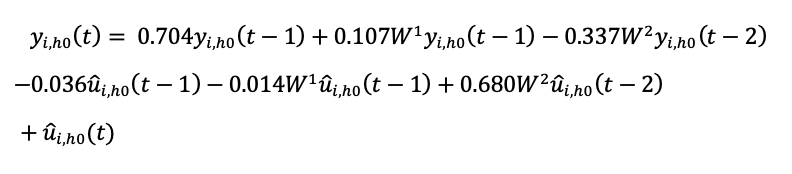
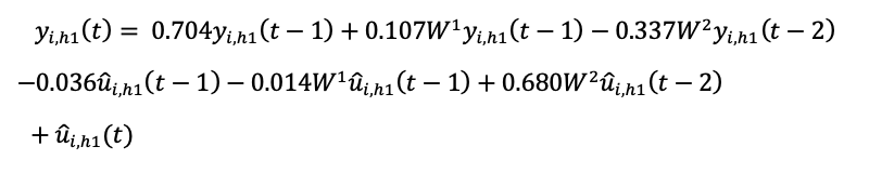
Con los resultados de la estimación del STARMA(2,2) con matrices (ver PDF) con k=5 vecinos cercanos de primer y segundo orden (cuadro 2), se construyeron tres escenarios de simulación para analizar los choques productivos en las externalidades espacio-tiempo del crecimiento económico en regiones de influencia durante el periodo de apertura comercial de México. Para contabilizar las externalidades en cada región y para cada momento en el tiempo utilizamos el algoritmo de la ecuación 3 que resuelve el modelo STARMA(2,2) con los parámetros estimados, tasas de crecimiento económico regional normalizadas (con media cero y una desviación estándar) y las innovaciones estimadas (ver PDF) del periodo 1995-2018.
Con la solución básica se definieron los valores esperados de las tasas de crecimiento económico regional de equilibrio Importar imagen en la ecuación 3:

Para encontrar los comportamientos dinámicos espacio-tiempo fuera del equilibrio suponemos que las tasas de crecimiento se alejan uno por ciento de la solución básica o de equilibrio como: (ver PDF) y (ver PDF); y, entonces simulamos los valores de (ver PDF) como en la ecuación 4:

Los efectos (directo y externalidades) en cada espacio-tiempo se contabilizan como (ver PDF) y con el limite de la suma acumulada se obtienen los efectos de largo plazo (ver PDF) compatible con las tasas de crecimiento en equilibrio espacio-tiempo.
Escenarios de simulación
Para hacer el análisis de las externalidades espacio-tiempo que resultan de las simulaciones se construyeron tres casos de estudios: en el primero se supone choques productivos en las 32 entidades federativas de México, en el segundo y tercer caso se suponen choques productivos en la Ciudad de México y el Estado de México que destacan por ser la dos entidades con mayor razón PIB al nacional, 17.7% y 9.0% respectivamente, y que junto a Hidalgo, Morelos, Tlaxcala y Querétaro conforman la Región Económica Centro; ver figura 2 y cuadro 1.
Para la presentación de los efectos directos y externalidades espacio-tiempo se dividieron por los choques productivos (0.01) y ponderaron por su aportación a la producción nacional para obtener elasticidades y el efecto en la economía nacional. En el eje vertical de los gráficos de la figura 4 se presentan las sumas acumuladas de los efectos en el espacio (entidades federativas), que en equilibrio son ceros, y en el eje horizontal los comportamientos en el tiempo para identificar los procesos de convergencia a los efectos de largo plazo. Los efectos directos y externalidades se ordenaron de mayor a menor, en negro los positivos y en rojo los negativos. En diferentes líneas continuas se señalan las tres entidades federativas con los mayores efectos positivos y negativos, y en líneas punteadas las entidades federativas restantes.
Caso 1: Simulación de choques productivos en todas las entidades
En el primer escenario se analizan las consecuencias de choques productivos múltiples, donde todas las tasas de crecimiento económico de las entidades federativas se alejan un punto por ciento por arriba del escenario básico o equilibrio espacio-tiempo; en el primer gráfico de la figura 4 se presentan los resultados de este escenario. Las entidades federativas que se benefician con los choques productivos múltiples son Guanajuato, Veracruz y Tabasco; ver figura 2 y cuadro 1. En especial en Guanajuato se observan las mayores externalidades positivas que convergen rápido al equilibrio espacio-tiempo, mientras para Veracruz y Tabasco resultaron mucho menores y tardaron más tiempo al equilibrio espacio-tiempo.
Las posibles razones de porque Guanajuato se beneficia con este tipo de escenario son por su reciente desarrollo económico basado en una industria manufacturera de exportación, un sector cultural con fuerte arraigo histórico local y un sistema de ciudades que, por su localización, permite al estado de Guanajuato interactuar con tres líderes económicos regionales; el Estado de México en su región de influencia de primer orden, la Ciudad de México y Jalisco en la región de influencia de segundo orden (figura 2 y cuadro 1) y tener el mayor número de entidades, diez en total, en la conformación de su región de influencia con vecinos de segundo orden.
Por otro lado, las entidades de Zacatecas, Oaxaca y Nayarit no se benefician de los choques productivos múltiples. Las tres entidades tienen un perfil de economía local con una fuerte presencia de la industria de la construcción y turismo nacional, pero sin relevancia en la producción nacional de bienes y servicios; menos de 1.7% del PIB nacional, ver apéndice 2. Nayarit llama la atención al presentar externalidades con ciclos y converger a los mayores valores de externalidades negativas del equilibrio espacio-tiempo (figura 4). Las posibles razones de este comportamiento es que Nayarit interactúa con una economía regional líder (Jalisco) y al mismo tiempo con Guanajuato que resultó con las mayores externalidades positivas.
Caso 2: Simulación de choque productivo en la Ciudad de México
En este escenario se analiza el choque productivo en la tasa de crecimiento económico de la Ciudad de México; la de mayor concentración económica del país con 17.7% del PIB nacional. En la región de influencia de primer orden de la Ciudad de México se incluyen las entidades de Hidalgo, Estado de México, Morelos, Puebla y Tlaxcala, y junto con de Querétaro conforman la región económica centro de mayor importancia de país pero con gran heterogeneidad productiva y de población; ver figura 2, cuadro 1 y apéndice 2.
En esta simulación resalta que los choques productivos de la Ciudad de México provocan externalidades con fuertes ciclos espacio-tiempo, pero tienden a cero en el recorrido hacia el equilibrio espacio-tiempo (segunda gráfica de la figura 4). Con respecto a los efectos en el Estado de México no existe evidencia de externalidades con ciclos debido a que convergen suavemente hacia valores positivos en equilibrio espacio-tiempo. Todo indica que Veracruz es la entidad que se beneficia con un choque productivo positivo de la Ciudad de México, aunque en el corto plazo se observen externalidades negativas. Es importante recordar que Veracruz es la quinta economía del país con una industria de materiales metálicos básicos ligada a la economía mundial y un sector de turismo internacional.
Estos resultados son particularmente interesantes debido a que los parámetros del modelo STARMA (ecuación 3) indican que las entidades federativas en general se vinculan positivamente con los integrantes de sus regiones de primer orden y negativamente con las entidades de las regiones de segundo orden. Pero para el caso de Veracruz se infiere que desde el punto de vista de la localización predominan las externalidades positivas porque en su región de influencia de primer orden se localiza la Ciudad de México, con respecto a las externalidades negativas que se generan debido a que Veracruz se localiza en la región de segundo orden de la Ciudad de México; ver cuadro 1 y figura 2.
Para las entidades federativas de Oaxaca, Nayarit y Guanajuato que son las que menos se benefician por un choque productivo positivo de la Ciudad de México, detectamos que ninguna de ellas se encuentra en las regiones de influencia de primer y segundo orden de la Ciudad de México. Sin embargo, la Ciudad de México se localiza en la región de influencia de segundo orden de las entidades de Oaxaca y Guanajuato; ver figura 4.
Con la primera simulación con choques productivos múltiples anterior se encontró que la entidad federativa con mayores beneficios es Guanajuato, pero debido a las externalidades negativas detectadas por la simulación de un choque productivo en la Ciudad de México sugiere que las ventajas de Guanajuato provienen por su vinculación de los sectores industriales con Querétaro y San Luis Potosí que se localizan en su región de influencia de primer orden; ver figuras 3 y 4. En particular encontramos que el choque productivo en la Ciudad de México provoca externalidades negativas con ciclos de corto plazo en Oaxaca pero se eliminan hacia en equilibrio espacio-tiempo (figura 4).
Caso 3: Simulación de choque productivo en el Estado de México
Con un choque productivo en el crecimiento económico del Estado de México se consideraron dos posibles externalidades sobre la Ciudad de México que es su vecino más importante: 1) cuando predomina el efecto complementariedad económica entre los sectores productivos que provoca que en el crecimiento económico entre las entidades federativas genere externalidades positivas con respecto al equilibrio espacio-tiempo; 2) en cambio, si lo que predomina es el efecto competitividad económica entre las entidades federativas donde exista la perdida de mercado de una entidad con respecto a la otra, entonces aparecen externalidades negativas con ciclos en equilibrio espacio-tiempo.
Los resultados que se presentan en la gráfica final de la figura 4 no muestran ninguna de las dos posibilidades, por tanto, un choque productivo del Estado de México no altera el crecimiento económico en equilibrio espacio-tiempo de la Ciudad de México. También se muestra que la mayor consecuencia de un choque productivo en el Estado de México son externalidades altas y negativas con ciclos espacio-tiempo sobre la misma entidad federativa. Por último, las entidades con las mayores externalidades positivas y negativas resultaron ser vecinas de segundo orden del Estado de México; las entidades de Guanajuato y Nayarit con externalidades positivas y negativas para Oaxaca y Veracruz; ver figura 4.

5. Discusión y conclusiones
Las discusiones sobre los ciclos y crecimiento económico regional en México se han enfocado en explicar las razones de por qué el crecimiento económico de las entidades federativas sigue la dinámica de otras entidades y/o la nacional (Mejía-Reyes y Erquizio-Espinal 2012; Mejía-Reyes y Mejía-Reyes 2007) y si, ante la apertura comercial, sincronizaron sus ciclos económicos con los Estados Unidos (Chiquiar y Ramos-Francia 2005; Rodríguez-Benavides, Lima-Santiago, y Ortiz 2015; Chiquiar 2008). Cuando se incorpora la dependencia espacial en la discusión (Aroca, Bosch, y Maloney 2005; Mejía-Reyes et al. 2018; Baylis, Garduño-Rivera, y Piras 2012) el parámetro de rho suele ser positivo que implica el comportamiento monótono y asintóticos de las externalidades hacia el equilibrio espacial (Fischer 2018).
Esta investigación propone que la apertura comercial provocó externalidades de crecimiento económico entre las entidades federativas de México y sus vecinos de primer y segundo orden que se comportan en forma de ciclos espacio-tiempo. Para probar esta hipótesis se utiliza la metodología STARMA (Pfeifer y Deutsch 1980; LeSage 2009; Yang y Zhang 2019; Safikhani et al. 2018) que tiene la ventaja de incorporan más de una matriz de ponderaciones espaciales en los modelos de crecimiento económico por entidad federativa para México.
Con los resultados de la estimación de los modelos STARMA se comprueba que la apertura comercial modificó el vínculo de las entidades federativas y sus regiones de influencia definidas por las entidades vecinas territoriales de primer y segundo. Con tales condiciones cada entidad federativa y sus regiones de influencia conformaron redes de vinculación económica complejas en espacio y tiempo, donde las economías líderes como la Ciudad y el Estado de México no solo se vinculan con sus vecinos cercanos, sino que influyen en otras entidades federativas con diferente tamaño y alejadas espacialmente. En especial se confirma la disminución de las externalidades positivas en las entidades federativas de influencia de primer orden y la consolidación de las externalidades negativas en regiones de influencia o grupos de entidades federativas vecinas de segundo orden y que su comportamiento en conjunto genera externalidades con ciclos en espacio-tiempo consistentes con el crecimiento económico en equilibrio espacio-tiempo.
Con el diseño de tres escenarios de simulación con choques productivos múltiples para todas las entidades federativas, para la Ciudad de México y el Estado de México se puede concluir que las externalidades positivas y negativas existen debido a la conformación de tales redes económicas de espacio-tiempo complejas entre cada entidad y sus regiones de influencia de primer y segundo, que indica la importancia de la localización productiva, la relevancia del tamaño de economía y de la estructura productiva con fuerte presencia de industria manufacturera y sector turístico vinculados a la economía mundial de cada una de las entidades federativas de México.
Con la metodología de los modelos STARMA y los resultados encontrados se identificaron nuevas preguntas para futuras investigaciones, entre las que destacan el papel de la política económica como de los factores de localización, especialización y aglomeración en la conformación de las redes económicas que explican las externalidades con ciclos espacio-tiempo en el crecimiento económico de las entidades federativas en México.
Apéndices


Notas
[1] La división política-administrativa territorial en México se conforma por 32 entidades federativas, en lo individual se les llama por su nombre (Aguascalientes, ...), de forma oficial son Estados y las entidades que siempre se les nombra de forma oficial son el Estado de México y la Ciudad de México; antes Distrito Federal.
Agradecimientos
Agradezco a los colegas y estudiantes del Seminario de Economía Urbana y Regional de la UNAM por sus comentarios y observaciones a las versiones previas de esta investigación; a los árbitros de la revista que con sus recomendaciones mejoraron los principales mensajes de la investigación.
Referencias bibliográficas
Andree, B.P.J, Blasques F., & Koomen, E. (2017). Smooth Transition Spatial Autoregressive Models. TI 2017-050/III, Tinbergen Institute Discussion Paper. https://papers.tinbergen.nl/17050.pdf.
Anselin, L. (1988). Spatial Econometrics: Methods y Models. Springer.
Aroca, P., Bosch, M., & Maloney, W. F. (2005). Spatial Dimensions of Trade Liberalization y Economic Convergence: Mexico 1985-2002. The World Bank Economic Review 19(3), 345-378. http://www.jstor.org/stable/40282309
Asuad, N., & Quintana, L. (2010). Economic growth, convergence y spatial economic concentration in the states of Mexico 1970-2008. Investigaciones Regionales - Journal of Regional Research 18, 83-106. https://old.aecr.org/images/ImatgesArticles/2010/12/04_ASUAD.pdf
Bassols, A. (1975). Geografía económica de México. Tercera ed: Trillas.
Baylis, K., Garduño-Rivera, R., & Piras, G. (2012). The distributional effects of NAFTA in Mexico: Evidence from a panel of municipalities. Regional Science y Urban Economics 42(1), 286-302. https://doi.org/10.1016/j.regsciurbeco.2011.09.006
Cardero, M.E., Mantey, G., & Mendoza, M.A. (2006). What is Wrong with Economic Liberalization? The Mexican Case. Investigación Económica 65(257),19-43. https://www.jstor.org/stable/42779284
Cheysson, F. (2016). Modelling Space Time AutoRegressive Moving Average (STARMA) Processes. R-Software 11. https://cran.r-project.org/web/packages/starma/starma.pdf
Chiquiar, D. (2008). Globalization, regional wage differentials y the Stolper–Samuelson Theorem: Evidence from Mexico. Journal of International Economics 74(1), 70-93. https://doi.org/10.1016/j.jinteco.2007.05.009
Chiquiar, D., & Ramos-Francia, M. (2005). Trade y business-cycle synchronization: evidence from Mexican y U.S. manufacturing industries. The North American Journal of Economics y Finance 16(2), 187-216. https://doi.org/10.1016/j.najef.2004.12.001
Elhorst, J. P. (2014). Spatial Econometrics: From Cross-Sectional Data to Spatial Panels. SpringerBriefs in Regional Science. Springer.
Fischer, M.M. (2018). Spatial Externalities y Growth in a Mankiw-Romer-Weil World:Theory y Evidence. International Regional Science Review 41(1),45-61.
Joshi, S., Ahmed, S., & Sarangi, S. (2019). Network Formation with Multigraphs y Strategic Complementarities. The Maxwell School of Citizenship y Public Affairs, Syracuse University’s Working Paper. https://www.maxwell.syr.edu/uploadedFiles/econ/seminars/Paper(2).pdf
Juchem-Neto, J. P., Claeyssen, J. C. R., & Pôrto-Júnior, S. S. (2018). Economic agglomerations y spatio-temporal cycles in a spatial growth model with capital transport cost. Physica A: Statistical Mechanics y its Applications 494, 76-86. https://doi.org/10.1016/j.physa.2017.12.036
LeSage, J. P., & Pace, R.K. (2009). Introduction to Spatial Econometrics. CRC Press.
Mejía-Reyes, P., & Erquizio-Espinal, A. (2012). Expansiones y recesiones en los estados de México. Pearson Educación y Universidad de Sonora.
Mejía-Reyes, P., & Mejía-Reyes, A. (2007). Fluctuaciones cíclicas en México y en el Estado de México en el contexto del TLCAN: ¿cuáles son los hechos?. Economía, Sociedad y Territorio VII(25), 103-127. https://doi.org10.22136/est002007233
Mejía-Reyes, P., Rendón-Rojas, L., Vergara-González, R., & Aroca., P. (2018). International synchronization of the Mexican states business cycles: Explaining factors. The North American Journal of Economics y Finance 44, 278-288. https://doi.org/10.1016/j.najef.2018.01.009
Mendoza, A., German, V., Monfort, M., & Ordóñez, J. (2020). Club convergence y inter-regional inequality in Mexico, 1940-2015. Applied Economics 52(6), 598-608. https://doi.org/10.1080/00036846.2019.1659491
Mendoza, M.A., & Valdivia., M. (2016). Remesas, crecimiento y convergencia regional en México: aproximación con un modelo panel-espacial. Estudios Económicos 31(1),125-167. https://doi.org/10.24201/ee.v31i1.14
Mendoza, M.A., Valdivia, M., & Quintana, L. (2016). Spatial Interaction Regional Model for the Mexican Economy (SIRMME): A Special Case for Mexico City Metropolitan Area. Journal of Reviews on Global Economics 5(1),84-100. http://dx.doi.org/ 10.6000/1929-7092.2016.05.08
Nurhayati, N., Udjianna S.P., & Neswan, O. (2012). Application of Generalized Space-Time Autoregressive Model on GDP Data in West European Countries. Journal of Probability y Statistics 16. https://doi.org/10.1155/2012/867056
Pede, V., Florax, R., & Holt, M. (2008). Modeling Non-Linear Spatial Dynamics: A Family of Spatial STAR Models y an Application to U.S. Economic Growth. Working paper, No.6518, 2008 Annual Meeting, July 27-29, Orlando, Florida. American Agricultural Economics Association. https://EconPapers.repec.org/RePEc:ags:aaea08:6518
Pede, V.O., Florax, R.J.G.M., & Lambert, D.M. (2014). Spatial econometric STAR models: Lagrange multiplier tests, Monte Carlo simulations y an empirical application. Regional Science y Urban Economics 49, 118-128. https://doi.org/10.1016/j.regsciurbeco.2014.07.001
Pfeifer, P.E., & Deutsch, S.J. (1980). A Three-Stage Iterative Procedure for Space-Time Modeling. Technometrics 22(1), 35-47. https://doi.org/10.2307/1268381
Phillips, P., & Sul, D. (2007). Transition Modeling y Econometric Convergence Tests. Econometrica 75(6), 1771-1855. https://doi.org/10.1111/j.1468-0262.2007.00811.x
Rodríguez, D., López,F., & Mendoza, M.A. (2016). Clubs de convergencia regional en México: un análisis a través de un modelo no lineal de un solo factor. Investigaciones Regionales - Journal of Regional Research 34, 7-22. https://old.aecr.org/images/ImatgesArticles/2016/5/01_RODRIGUEZ.pdf
Rodríguez-Benavides, D., Lima-Santiago, V., & Ortiz, E. (2015). ¿Sincronizaron México y Estados Unidos sus ciclos económicos con el TLCAN? Contaduría y Administración 60, 195-229. https://doi.org/10.1016/j.cya.2015.08.010
Safikhani, A., Kamga, C., Mudigonda, S., Sadat Faghih, S., & Moghimi, B. (2018). Spatio-temporal modeling of yellow taxi demands in New York City using generalized STAR models. International Journal of Forecasting. https://doi.org/10.1016/j.ijforecast.2018.10.001
Shepherd, D., Muñoz, R.I., & Mendoza, M.A. (2014). Regional output growth and the impact of macroeconomic shocks in Mexico. International Review of Applied Economics 28(3), 293-310. https://doi.org/10.1080/02692171.2013.872083
Valdez, R.I. (2019). Spatial diffusion of economic growth y externalities in Mexico. Investigaciones Regionales - Journal of Regional Research 45, 139-160. https://investigacionesregionales.org/en/article/spatial-diffusion-of-economic-growth-and-externalities-in-mexico/
Yang, Y., & Zhang, H. (2019). Spatial-temporal forecasting of tourism demand. Annals of Tourism Research 75, 106-119. https://doi.org/10.1016/j.annals.2018.12.024
Información adicional
Clasificación JEL:: C23; C53; E32; R11; R32; O18; O47