Articles
Un enfoque alternativo para medir la pobreza multidimensional utilizando conjuntos difusos: análisis espacial para Ecuador
Un enfoque alternativo para medir la pobreza multidimensional utilizando conjuntos difusos: análisis espacial para Ecuador
Investigaciones Regionales - Journal of Regional Research, núm. 52, pp. 37-58, 2022
Asociación Española de Ciencia Regional

Recepción: 10 Agosto 2021
Aprobación: 11 Noviembre 2021
Resumen: La teoría de conjuntos difusos aporta un marco referencial para medir la pobreza multidimensional, reemplaza la dicotomía de pobre o no pobre por la pertenencia gradual al conjunto de los pobres. El objetivo de la investigación es proponer un método alternativo para medir la pobreza multidimensional en Ecuador. Se desarrolla tres índices de pobreza aplicando los conjuntos difusos y el enfoque de capacidades, además, se realiza un análisis espacial de la pobreza a nivel provincial. Los principales resultados evidencian que las políticas públicas se deben priorizar hacia la vivienda y el trabajo. No se identifica dependencia espacial ni clústeres de pobreza multidimensional.
Palabras clave: Pobreza multidimensional, conjuntos difusos, enfoque de capacidades, análisis espacial.
Abstract: The theory of fuzzy sets provides a referential framework for measuring poverty under a multidimensional approach. This theory replaces the poor or non-poor dichotomy, by the gradual belonging to the group of the poor. The objective of the research is to propose an alternative method for measuring multidimensional poverty in Ecuador. Three poverty rates are developed using fuzzy sets and the capabilities approach, in addition, a spatial analysis of poverty is carried out at the provincial level. The main results show that public policies must be prioritized towards housing and work, and no spatial dependency or multidimensional poverty clusters are identified.
Keywords: Multidimensional poverty, fuzzy sets, capabilities approach, spatial analysis.
Introducción
Los enfoques tradicionales para medir la pobreza utilizan líneas o umbrales que establecen una rígida dicotomía entre pobre y no pobre, pero establecer una división causa perdida de información y elimina los matices que existen entre los dos extremos de bienestar sustancial y las dificultades materiales (Betti et al., 2006).
En este sentido, considerar a la pobreza como un grado en lugar de un atributo de presencia o ausencia, parece ser una mejor forma de identificar a la población pobre. En esta línea, Cerioli y Zani (1990) y Cheli y Lemmi (1995), apoyados en la teoría de conjuntos difusos (Fuzzy Set Theory) planteada por Zadeh (1965), desarrollaron propuestas para la medición de la pobreza. Posteriormente, una gran variedad de aportes para medir la pobreza aplicando la teoría de conjuntos difusos se han desarrollado por Dagum (2002), Betti et al. (2006), Belhadj y Limam (2012), Betti et al. (2015), Ciani et al. (2019), entre otros.
Dos importantes conceptos se consideran en el análisis de la pobreza a partir de la teoría de conjuntos difusos, por un lado, la elección de una función de pertenencia que es una especificación cuantitativa del grado de pobreza y privación de los individuos u hogares, por otro lado, la elección de reglas para manipular los conjuntos de pobreza resultantes. La función de pertenencia por lo regular se construye para indicadores de privación, por lo que, el enfoque de conjuntos difusos se cataloga como multidimensional (Betti et al. 2006).
En la actualidad los investigadores reconocen que el análisis de la pobreza no se reduce a una visión unidimensional, evaluado principalmente por una variable como los ingresos. Esto guía a que la pobreza sea tratada como un fenómeno multidimensional que afecta a las condiciones de vida de la población. Es así que, gobiernos, académicos y organizaciones internacionales buscan las mejores combinaciones de indicadores para definir y combatir la pobreza multidimensional (Ortiz Benavides y Núñez Velázquez, 2019).
Los aportes de Sen (1980, 1985, 2005) a partir del enfoque de capacidades, sumados a diversas metodologías han contribuido a enriquecer el estudio de la pobreza en un sentido multidimensional. En esta línea, por un lado, investigaciones como las de Belhadj y Limam (2012), Betti et al. (2015) y Ciani et al (2019), aplican la teoría de los conjuntos difusos para medir la pobreza bajo un enfoque multidimensional, cambiando la dicotomía de pobre o no pobre, por una de pertenencia gradual al conjunto de los pobres, lo que permite evidenciar una transición gradual desde la extrema pobreza a la riqueza.
Por otro lado, investigaciones como la de Alkire y Foster (2007, 2011), plantean una metodología que utiliza el enfoque de la línea de corte dual para la identificación de los pobres y proponen una clase de medidas de pobreza multidimensional[1]. Bajo esta metodología, Alkire y Jahan (2018), presentan el Índice de Pobreza Multidimensional (IPM) para 105 países en vías de desarrollo, el cual es aplicado por el Programa de las Naciones Unidas para el Desarrollo (PNUD) en sus informes sobre pobreza a nivel mundial.
Considerando que en Ecuador, la medida oficial de pobreza multidimensional utiliza la metodología propuesta por Alkire y Foster (2007, 2011) y aplica una línea de doble corte para la identificación de los pobres, el objetivo de esta investigación es ofrecer un método alternativo para la medición de la pobreza multidimensional, la cual supera errores de focalización que normalmente se presentan en la diferenciación rígida entre pobre y no pobre, especialmente entre los individuos u hogares que tienen características similares pero que están al otro lado del umbral de la pobreza.
Se propone un nuevo índice de pobreza multidimensional aplicando la teoría de conjuntos difusos y el enfoque de capacidades. Así, el índice propuesto mide la pobreza multidimensional como privación absoluta en el espacio de las capacidades. Además, se plantea que la inclusión de información subjetiva genera mayores niveles de pobreza y para comprobarlo se incluye una dimensión de bienestar subjetivo. Adicionalmente, se calcula un índice de pobreza monetaria, lo que permite realizar comparaciones entre tres medidas: una multidimensional objetiva, otra multidimensional objetiva-subjetiva y una medida unidimensional que considera los ingresos.
Luego de esta breve introducción, en la sección 2 se presenta la teoría de conjuntos difusos para el análisis de la pobreza. En la sección 3 se desarrolla el enfoque de capacidades de Amartya Sen. En la sección 4 se aborda la metodología para la construcción de los índices de pobreza. En la sección 5 se analizan los resultados de los tres índices y en la sección 6 se realiza el análisis espacial de la pobreza multidimensional. Finalmente, se esbozan algunas conclusiones.
La teoría de conjuntos difusos (fuzzy set theory)
La lógica difusa (fuzzy logic) propuesta por Zadeh (1965), surge por las limitaciones que presenta la precisión de las matemáticas, cuando se la utiliza en campos donde la imprecisión es importante, por lo tanto, el concepto de conjunto difuso y lógica difusa contribuyen a la reducción de la brecha entre la imprecisión de algunos campos de estudio y la precisión de las matemáticas. En este sentido, la teoría de conjuntos difusos ayuda a medir la ambigüedad de conceptos que se relacionan con juicios subjetivos del bienestar humano (Martín et al., 2019). Siguiendo a Betti et al. (2006), dado un conjunto X de x E X, elementos, algún subconjunto difuso de A de X se puede definir como:

[Consultar apartado 2 en el PDF]
La aplicación de los conjuntos difusos en Latinoamérica
En Latinoamérica, su aplicación se evidencia en investigaciones para México (Morales, 2009), Colombia (Bedoya y Galvis, 2015) y Brasil (Fraga et al., 2017), en las cuales, se aplica los conjuntos difusos para la medición y el análisis de la pobreza multidimensional a nivel regional. En otro tipo de investigaciones, para Argentina, Eriz y Fernandez (2015) aplican los conjuntos difusos en el diseño de una medida alternativa a la de Necesidades Básicas Insatisfechas (NBI). Además, para Brasil, Tavares y Betti (2021) aplican esta técnica para identificar en qué medida la población está privada en la capacidad de prevenir y recuperarse de la COVID-19.
Otras investigaciones, como las de Nieto-Aleman et al. (2019) y Gómez Ramos y Guerrero Martinez (2020), aplican técnicas dentro de la lógica difusa para Colombia y México, lo que les permite evidenciar que el desarrollo de las instituciones está relacionado con el combate a la pobreza y el crecimiento económico. Para Ecuador, se evidencian investigaciones como las de Salvador et al. (2014), Martín y Viñan (2017) y García-Vélez et al. (2020), las cuales utilizan las técnicas de la lógica difusa para clasificar a la población por niveles socioeconómicos, evaluar la calidad de vida y analizar la exclusión social.
La pobreza en el espacio de las capacidades
El enfoque de las capacidades formulado por Sen (1980), se origina en un contexto para analizar la desigualdad, en el cual, se propone abordar la igualdad desde el enfoque de las “basic capabilities”. Sin embargo, según Sen (1993), también ha sido aplicado para el análisis de otros problemas sociales, como: bienestar y pobreza, libertad y estar libre, niveles de vida y desarrollo, discriminación de género y divisiones sexuales, y en justicia y ética social. “El enfoque se basa en una visión de la vida como una combinación de varios "hacer y ser", con la calidad de vida evaluada en términos de la capacidad para lograr funcionamientos valiosos” (Sen, 1993, p. 31). Algunos funcionamientos pueden ser básicos, como estar bien alimentado o disponer de alojamiento y otros dependen del contexto en que se analice la calidad de vida, por ejemplo, en países menos desarrollados, las capacidades básicas podrían diferir de las que se consideren en países con mayor nivel de desarrollo.
Sen (2000), propone considerar a la pobreza, como la privación de las capacidades básicas que tiene una persona y no solamente como la falta de ingresos[3]. Así, este enfoque está ligado directamente a la pobreza multidimensional, ya que las capacidades básicas pueden ser evaluadas en diferentes dimensiones de la vida. Sin embargo, el estudio de la pobreza multidimensional, como privación de capacidades, no excluye a la falta de ingresos como una de sus causas, puesto que una de las razones principales para que una persona esté privada de capacidades, podría ser la falta de ingresos. Esto se evidencia en investigaciones como las desarrolladas por Rippin (2016) y Potsi et al. (2016), quienes consideran al ingreso en la construcción de medidas de pobreza multidimensional bajo el enfoque de capacidades.
Las capacidades que se evalúen dependen del contexto particular de cada investigación, por ejemplo, Nussbaum (2003) plantea un listado fijo de capacidades denominado “The Central Human Capabilities”, bajo la concepción de la dignidad del ser humano y una vida digna de esa dignidad. Alkire (2005) a través de tres estudios de caso en Pakistán evidencia la aplicación del enfoque de las capacidades en actividades para el combate a la pobreza, mientras que, Rippin (2016), utiliza el enfoque de capacidades para el diseño de dos medidas de pobreza multidimensional para Alemania y las compara con la medida tradicional basada en los ingresos. Por otro lado, Potsi et al. (2016) aplican el enfoque de las capacidades para evaluar las condiciones de vida y la privación de capacidades de los niños en Italia.
Finalmente, una de las principales dificultades del enfoque de las capacidades, es la identificación de indicadores para su aplicación, debido a la dificultad de capturar un conjunto de capacidades en términos operativos, por lo tanto, los estudios se centran principalmente en la evaluación de funcionamientos (Robeyns, 2006; Wagle, 2009; Hick, 2016). Además, algunos métodos para la selección de capacidades relevantes han sido desarrollados por Alkire (2005) y Robeyns (2006).
Datos y metodología
Los datos utilizados en esta investigación corresponden a la Encuesta Nacional de Empleo, Desempleo y Subempleo (ENEMDU) levantada por el Instituto Nacional de Estadísticas y Censos (INEC, 2017), corresponde al mes de diciembre de 2017. La encuesta presenta información para 110.283 personas agrupadas en 30.023 hogares, se puede desagregar a nivel urbano-rural y para las 24 provincias del país (lo cual no es posible para encuestas posteriores). La unidad de identificación son los hogares, sin embargo, la unidad de análisis pueden ser las personas, puesto que se dispone de información desagregada a nivel individual[4].
Para la identificación de los pobres se utilizó la metodología de conjuntos difusos a través de la función de pertenencia expuesta en la expresión (2) para variables continuas y la expresión (3) para variables categóricas. Para el proceso de agregación se utilizó el índice de pobreza multidimensional presentado en la expresión (7), al que de aquí en adelante se denominará IPM fuzzy objetivo (IPMo) y las ponderaciones para cada indicador se obtuvieron a través del método propuesto por García-Vélez y Núñez Velázquez (2021), Como aporte adicional, se calculó un indicador de pobreza fuzzy monetario (IPm) y un IPM fuzzy objetivo-subjetivo (IPMos) que incluye la dimensión de bienestar subjetivo, lo que permitirá comparar los resultados entre tres índices de pobreza construidos bajo el enfoque de conjuntos difusos.
4.1. Selección de indicadores y dimensiones
Considerando el enfoque de las capacidades, en este trabajo se mide la pobreza multidimensional como privación absoluta en el espacio de las capacidades, por lo tanto, para la selección de indicadores de privación se consideró dos pasos:
Revisión de la literatura desarrollada por Amartya Sen, lo que permitió identificar las capacidades básicas relevantes para esta investigación: estar bien alimentado, estar sano, poder desplazarse, estar educado, participar en la vida pública, estar vestido, tener una vivienda adecuada y poder participar en la vida social de la comunidad.
Revisión empírica de la aplicación de índices de pobreza multidimensional, la cual se basó en:
7 medidas oficiales para Latinoamérica aplicadas por los institutos de estadísticas de cada país[5]: Ecuador, Chile, Colombia, México, Brasil, Costa Rica y El Salvador.
2 medidas globales desarrolladas por el PNUD: el Índice de Pobreza Humana (PNUD, 2001) y el Índice de Pobreza Multidimensional (PNUD, 2016).
Las dimensiones faltantes “Missing Dimensions” en la medición de la pobreza propuestas por Alkire (2007).
10 aplicaciones desarrolladas por investigadores: 3 para Ecuador (Mideros, 2012; Amores, 2014; Burgos y Cando, 2015) y 7 para otros países (Barros et al., 2006; Arim y Vigorito, 2007; Asselin y Anh, 2008; Denis et al., 2010; Colafranceschi et al., 2011; Reeves, 2016; Bautista, 2018).
Con los pasos anteriores y en función de la disponibilidad de datos para Ecuador, el índice de pobreza multidimensional propuesto en este trabajo, considera 14 indicadores como aproximaciones de 8 capacidades básicas, distribuidos en 5 dimensiones: educación, vivienda y entorno, trabajo, salud y alimentación, y una dimensión monetaria. Para la inclusión de la dimensión de bienestar subjetivo se consideró 2 indicadores adicionales (ver tabla 1).
7 medidas oficiales para Latinoamérica aplicadas por los institutos de estadísticas de cada país[5]: Ecuador, Chile, Colombia, México, Brasil, Costa Rica y El Salvador.
2 medidas globales desarrolladas por el PNUD: el Índice de Pobreza Humana (PNUD, 2001) y el Índice de Pobreza Multidimensional (PNUD, 2016).
Las dimensiones faltantes “Missing Dimensions” en la medición de la pobreza propuestas por Alkire (2007).
10 aplicaciones desarrolladas por investigadores: 3 para Ecuador (Mideros, 2012; Amores, 2014; Burgos y Cando, 2015) y 7 para otros países (Barros et al., 2006; Arim y Vigorito, 2007; Asselin y Anh, 2008; Denis et al., 2010; Colafranceschi et al., 2011; Reeves, 2016; Bautista, 2018).
Con los pasos anteriores y en función de la disponibilidad de datos para Ecuador, el índice de pobreza multidimensional propuesto en este trabajo, considera 14 indicadores como aproximaciones de 8 capacidades básicas, distribuidos en 5 dimensiones: educación, vivienda y entorno, trabajo, salud y alimentación, y una dimensión monetaria. Para la inclusión de la dimensión de bienestar subjetivo se consideró 2 indicadores adicionales (ver tabla 1).
Resultados nacionales de la pobreza multidimensional
Al comparar los tres indicadores obtenidos que se presentan en la tabla 2, se evidencia que el IPMo aumenta 4 puntos si se incluye la dimensión de bienestar subjetivo (IPMos), esto se da principalmente porque el 60% de la población tiene la percepción de estar en situación de pobreza. Además, los resultados evidencian que, al considerar solamente los ingresos (IPm), la pobreza se reduce, lo que demuestra que la pobreza monetaria por sí sola no es un indicador completo. Por lo tanto, el enfoque de capacidades entrega información sobre la pobreza que no surge en la medida tradicional basada solo en los ingresos (Sen, 2000; Anand et al., 2020).
Tabla 1.
Dimensiones e indicadores de privación para el IPM
| Dimensión | Capacidad | Indicador | Población aplicable | Categorías | Función de pertenencia |
| Educación | Estar educado | Inasistencia a educación básica y bachillerato | 5 a 17 años | 0: los niños y adolescentes tienen acceso a la educación 1: los niños y adolescentes no tienen acceso a la educación | Importar imagen |
| Años de escolaridad | 18 a 64 años | 0: no está privado si tiene 13 años o más de escolaridad. 1: está privado si tiene 9 años o menos de escolaridad y no asiste a clases. El límite inferior de 9 significa que aún no termina la educación básica y el superior de 13 que ya completó la educación básica y el bachillerato, por lo tanto, la privación decrece linealmente para individuos que tengan entre 9 y 13 años de escolaridad. | Importar imagen | ||
| Vivienda y entorno | Tener una vivienda adecuada | Tipo de vivienda (déficit cualitativo y cuantitativo) | Toda la población | 0: la vivienda no presenta déficit cualitativo o/y cuantitativo 1: la vivienda presenta déficit cualitativo o/y cuantitativo Déficit cualitativo se refiere a la vivienda que necesita mejoramiento en su estructura y déficit cuantitativo a la que debe ser reemplazada por una nueva. | Importar imagen |
| Hacinamiento | Toda la población | 0: el hogar no presenta hacinamiento 1: el hogar presenta hacinamiento Se considera en hacinamiento a quienes residen en viviendas donde el promedio de personas por dormitorio exclusivo para dormir es mayor a 3. | Importar imagen | ||
| Sin servicio de electricidad | Toda la población | 0: el hogar tiene acceso a electricidad 1: el hogar no tiene acceso a electricidad | Importar imagen | ||
| Sin servicio de agua por red pública | Toda la población | 1: agua obtenida de un pozo, río, vertiente de agua, acequia o de otra fuente. 2: agua obtenida de una pila o llave pública, otras fuentes por tubería o a través de un carro repartidor. 3: agua obtenida por red pública dentro del hogar. | Importar imagen |
Tabla 1. CONT.
Dimensiones e indicadores de privación para el IPM
| Dimensión | Capacidad | Indicador | Población aplicable | Categorías | Función de pertenencia |
| Sin saneamiento de excretas | Toda la población | 0: la vivienda tiene saneamiento de excretas 1: la vivienda no tiene saneamiento de excretas | Importar imagen | ||
| Problemas ambientales | Toda la población | 1: tres problemas ambientales 2: dos problemas ambientales 3: un problema ambiental 4: sin problemas ambientales Los problemas ambientales son: contaminación del aire, contaminación del agua y basura acumulada. | Importar imagen | ||
| Trabajo | Participar en la vida pública | Desempleo o empleo inadecuado | 18 años o más | 1: desempleados 2: empleo inadecuado 3: empleo adecuado Se considera en empleo inadecuado, a los sub empleados, no remunerados o con otro empleo no pleno. | Importar imagen |
| Acceso a seguridad social | 15 años o más | 0: tiene acceso a seguridad social 1: no tiene acceso a seguridad social | Importar imagen | ||
| Trabajo infantil y adolescente | 5 a 17 años | 0: no presenta trabajo infantil o/y adolescente 1: presenta trabajo infantil o/y adolescente | Importar imagen | ||
| Salud y alimenta- ción | Estar sano Estar bien alimentado | Acceso a salud | Población que necesita atención médica. | 0: el hogar tiene acceso a salud cuando necesita atención médica 1: el hogar no tiene acceso a salud cuando necesita atención médica | Importar imagen |
Tabla 1. CONT.
Dimensiones e indicadores de privación para el IPM
| Dimensión | Capacidad | Indicador | Población aplicable | Categorías | Función de pertenencia |
| Inseguridad alimentaria | Toda la población | 0: el hogar no presenta inseguridad alimentaria. 1: el hogar presenta inseguridad alimentaria. | Importar imagen | ||
| Monetaria | Poder desplazarse Estar vestido | Ingreso per cápita | Toda la población | 0: no está privado si el ingreso per cápita es superior a la línea de pobreza. 1: está privado si el ingreso per cápita es inferior a la línea de extrema pobreza. En el año 2017, la línea de extrema pobreza fue de 47,62 dólares mensuales y la línea de pobreza se ubicó en los 84,49 dólares mensuales. Para ingresos per cápita que oscilen entre las dos líneas, la privación decrece linealmente. | Importar imagen |
| Bienestar subjetivo | Poder participar en la vida social de la comunidad | Pobreza subjetiva | Toda la población | 0: el hogar no se considera pobre 1: el hogar se considera pobre | Importar imagen |
| Satisfacción con la vida en general | Toda la población | 1: nada satisfecha 2: no muy satisfecha 3: bastante o muy satisfecha | Importar imagen |
Fuente: Elaboración propia
Tabla 2.
Índices de pobreza Fuzzy
| Año | IPMo | IPMos | IPm |
| 2017 | 0,222 | 0,260 | 0,176 |
Fuente: Elaboración y cálculos propios en base a datos de la ENEMDU 2017.
En el análisis por dimensiones, se observa que, en educación, vivienda y entorno, y en trabajo, la privación de los hogares es mayor (ver tabla 3). Se puede inferir que en las capacidades de “estar educado”, “tener una vivienda adecuada” y “participar en la vida pública”, existe mayor privación, respecto de las otras capacidades consideradas básicas.
Tabla 3.
Resultados por dimensión e indicador
| Dimensión | Índice de Pobreza Dimensional | Indicadores de privación | Contribución absoluta al IPMo | Contribución relativa al IPMo |
| Educación | 0,253 | Inasistencia a educación básica y bachillerato | 0,001 | 0,5% |
| Años de escolaridad | 0,020 | 9,0% | ||
| Vivienda y entorno | 0,230 | Tipo de vivienda | 0,057 | 25,6% |
| Hacinamiento | 0,013 | 5,8% | ||
| Sin servicio de electricidad | 0,001 | 0,4% | ||
| Sin servicio de agua por red pública | 0,018 | 8,3% | ||
| Sin saneamiento de excretas | 0,024 | 10,7% | ||
| Problemas ambientales | 0,001 | 0,3% | ||
| Trabajo | 0,223 | Desempleo o empleo inadecuado | 0,015 | 6,5% |
| Acceso a seguridad social | 0,024 | 10,8% | ||
| Trabajo infantil y adolescente | 0,002 | 0,8% | ||
| Salud y alimentación | 0,210 | Acceso a salud | 0,001 | 0,4% |
| Inseguridad alimentaria | 0,025 | 11,3% | ||
| Monetaria | 0,176 | Ingreso per cápita | 0,021 | 9,4% |
Fuente: Elaboración y cálculos propios en base a datos de la ENEMDU 2017
Una de las ventajas del IPMo es que permite calcular la contribución de cada indicador al índice final, según Dagum (2002), esto permite que los hacedores de política identifiquen las áreas de urgente intervención estructural, una intervención dirigida a la eliminación constante de las causas de la pobreza, lo que contribuye para que los hogares abandonen el estado de pobreza. En la tabla 3, según la contribución relativa al IPMo se observa que los indicadores: tipo de vivienda, sin saneamiento de excretas, acceso a seguridad social, inseguridad alimentaria e ingreso per cápita son las privaciones de mayor prioridad para combatir la pobreza en Ecuador.
5.1. Resultados regionales de la pobreza multidimensional
En la pobreza multidimensional a nivel regional, se considera las 24 provincias[6] del país, por ser la unidad geográfica más pequeña de la que se dispone información. Se agrupa a las provincias por niveles de pobreza (muy alto, alto, medio, bajo y muy bajo) en función de los cuartiles del valor del IPMo y el IPMos. Los resultados se presentan en el mapa provincial de Ecuador, lo cual permite identificar como incide la inclusión de la dimensión bienestar subjetivo en los niveles de pobreza a nivel provincial.
En el gráfico 1, de manera general se aprecia que la inclusión de información subjetiva, aumenta el índice de pobreza multidimensional para todas las provincias, además, a través del mapa provincial[7] se identifica los principales resultados por regiones naturales. Así, al considerar tanto el IPMo como el IPMos, todas las provincias de la Amazonía (parte oriental del mapa) reflejan un nivel de pobreza muy alto y alto, ironicamente estas provincias son ricas en recursos no renovables como: el oro, plata, cobre y el petroleo que es el principal commodity del país, sin embargo, han sido historicamente excluidas del desarrollo. Resultados consistentes con las investigaciones de Mideros (2012) y García-Vélez et al. (2020), quienes identifican a la Amazonía como la región con mayores niveles de pobreza rural y exclusión social.
Al contrario, la mayor parte de provincias de la Sierra Ecuatoriana (franja central del mapa) junto al Archipielago de Galapagos están ubicadas en niveles de pobreza medio, bajo y muy bajo. La ciudad de Quito, capital del país y centro administrativo del sector público se encuentra en esta región. Las provincias de la región Costa, muestran indicadores muy dispersos en relación a las otras regiones, pero las provincias con menor nivel de pobreza son Guayas y El Oro, en las cuales se situan dos de los puertos principales del país.
Además, los resultados evidencian que, al incluir la dimensión de bienestar subjetivo, la provincia de Pastaza (ubicada en el centro del oriente ecuatoriano) cae del nivel alto de pobreza multidimensional al nivel medio ( ver gráfico 1), por lo cual, se plantea la hipótesis de que la percepción de pobreza de Pastaza es baja porque está rodeada de provincias con indicadores altos de pobreza, es decir, la población al compararse con sus vecinos que también tienen niveles de pobreza altos, no se siente tan pobre como si estuviera rodeada de vecinos con niveles bajos de pobreza. Lo contrario se plantea para la provincia de Santa Elena que pasa del nivel medio al nivel alto de pobreza multidimensional.
Para comprobar dicha hipótesis y otras relaciones espaciales que se podrían estar presentando en las provincias de Ecuador, una técnica idónea es el Análisis Exploratorio de Datos Espaciales (AEDE), en el cual, un concepto de relevancia es la autocorrelación espacial, que puede definirse como la relación funcional existente entre los valores que adopta un indicador en una zona del espacio y en zonas vecinas (Anselin, 1999; Chasco, 2003; Quintana et al., 2020). Por lo tanto, en el análisis de autocorrelación espacial, se considera que todos los fenómenos están interrelacionados en el espacio, pero la relación es mayor para los que están más cercanos que para los que están más alejados (Galvis y Meisel, 2012), lo cual podría explicar los cambios en los niveles de pobreza de las provincias de Pastaza y Santa Elena, además, proporcionar información para la recomendación de políticas públicas regionales.
Gráfico 1.
Mapa provincial de pobreza multidimensional
Fuente: Elaboración y cálculos propios en base a datos de la ENEMDU 2017.

Análisis espacial de la pobreza multidimensional

Si el valor del índice de Moran es significativo, ya sea positivo o negativo, se rechaza la hipótesis nula de no autocorrelación espacial, mientras que los valores no significativos del estadístico indican la no presencia de autocorrelación espacial, es decir, los valores de la variable están distribuidos de manera aleatoria en el espacio (Anselin, 1995; Chasco, 2003).
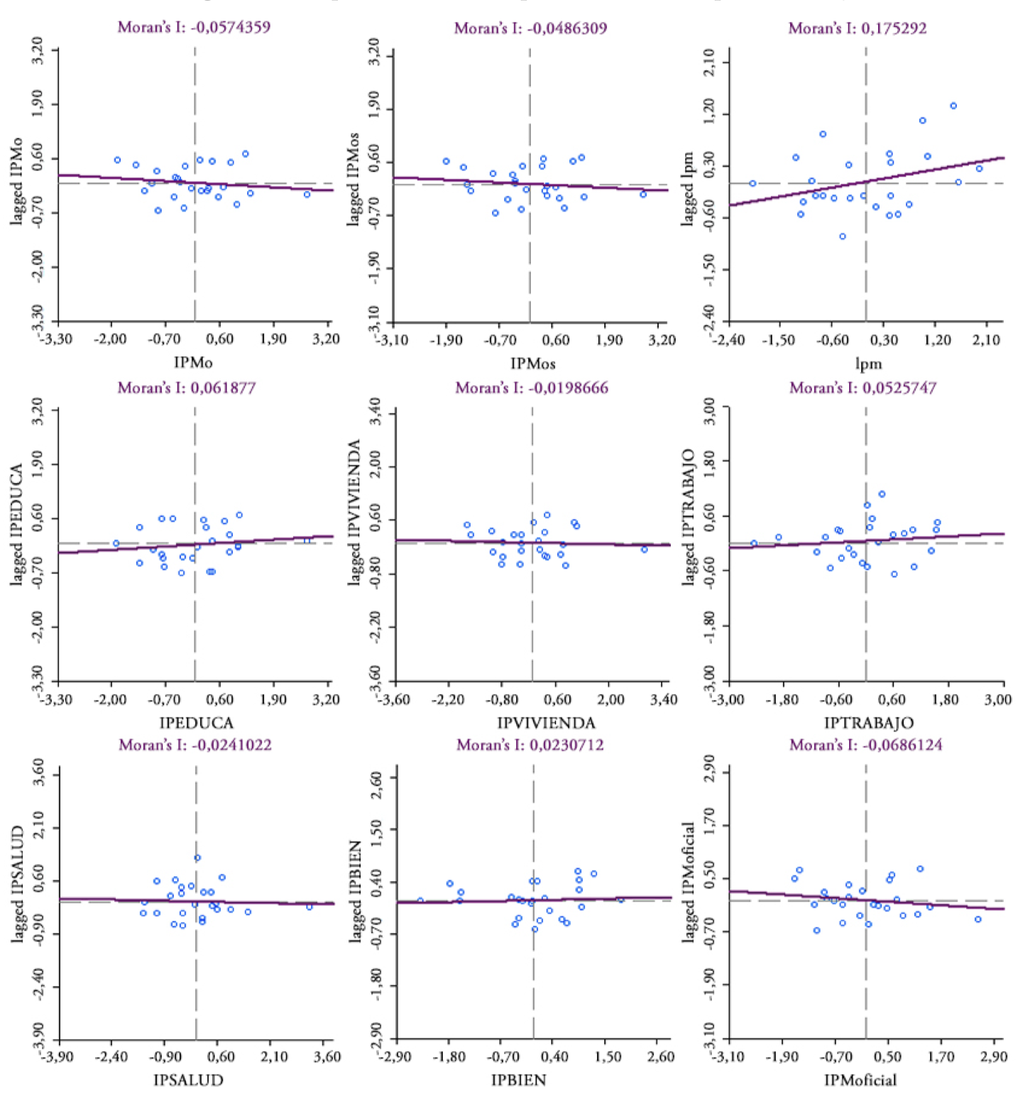
Los resultados para Ecuador indican que no existe autocorrelación espacial para el IPMo, el IPMos, el IPM oficial y tampoco para las dimensiones de la pobreza multidimensional, puesto que sus valores son cercanos a
y no son significativos, es decir, que la pobreza multidimensional de una provincia no depende o no está relacionada con la pobreza multidimensional de sus provincias vecinas, esto refleja la heterogeneidad de las provincias ecuatorianas, puesto que, el IPMo, el IPMos y el IPM oficial se construyen con un gran número de indicadores de privación. Sin embargo, el IPm si evidencia la existencia de autocorrelación espacial (baja) positiva y significativa[8], por lo que, se puede inferir que provincias con altos índices (bajos) de pobreza monetaria, son vecinas de provincias con altos (bajos) índices de pobreza monetaria (ver gráfico 2).
Gráfico 2.
Diagrama de dispersión de Moran para los índices de pobreza fuzzy

Fuente: Elaboración y cálculos propios en base a datos de la ENEMDU 2017.
Existe la posibilidad de que la dependencia espacial a nivel global no se presente en todas las regiones del espacio analizado, dicha limitación puede ser superada a través de Indicadores Locales de Asociación Espacial (LISA) como el estadístico local de Moran
(Moreno y Vayá, 2002; Chasco, 2003), el cual puede ser representado a través de los mapas LISA de agrupamientos espaciales (spatial cluster). En donde, la relación High-High evidencia que provincias con indicadores altos en la variable analizada se encuentran rodeados de provincias con indicadores altos en la misma variable; la relación Low-Low muestra que provincias con indicadores bajos se encuentran rodeadas de provincias con indicadores bajos; mientras que, las relaciones High-Low y Low-High indican asociaciones inversas.
En el gráfico 3, se presenta los mapas LISA de agrupamientos espaciales[9]. Se observa que para el IPMo, existe una zona de pobreza multidimensional que refleja disparidades provinciales, corresponde a la provincia de Pichincha que tiene un valor bajo de pobreza multidimensional y está rodeado de provincias con altos valores de pobreza multidimensional (Low-High), la ciudad de Quito, capital del país, pertenece a esta provincia, lo que genera una ventaja sobre las demás, pero evidencia la no presencia del efecto “spillover” que, como menciona Chasco (2003), “se produce en muchos fenómenos socioeconómicos de renta y desarrollo humano, en general, en los que su presencia en una región es causa de su extensión a regiones vecinas, favoreciendo la concentración del fenómeno en la zona.” (p.50).
Al analizar el IPm se observa que la concentración de la pobreza monetaria se da en la Amazonía, puesto que, Orellana y Pastaza conforman clústeres de pobreza High-High. También se evidencia una zona con indicadores bajos de pobreza rodeado de indicadores altos (Low-High), correspondiente a la provincia de Tungurahua, principalmente por su proximidad con la Amazonía y con tres de las provincias más pobres de la Sierra, este cluster también se presenta para el IPM oficial. Mientras que, para el IPMos no se evidencia la existencia de clústeres de pobreza.
En cuanto a las dimensiones de la pobreza: educación, vivienda y entorno, salud y alimentación, trabajo y bienestar subjetivo; se identifica la presencia de diferentes tipos de clústeres, sin embargo, son las provincias de Los Ríos, Santo Domingo, Manabí, Pastaza, Orellana y Tungurahua las que concentran mayores privaciones (High-High) en las dimensiones de la pobreza multidimensional, esto permite identificar las zonas que requieren priorización de políticas públicas en función de los recursos limitados que posee el país.
En suma, el análisis espacial permite identificar tres hallazgos principales: 1) En Ecuador no existe dependencia espacial de la pobreza multidimensional, pero sí de la pobreza monetaria; 2) La inclusión de indicadores subjetivos en la medición de la pobreza multidimensional, no incide en la dependencia espacial ni en la identificación de clústeres de pobreza, por lo cual, se rechaza la hipótesis planteada para Santa Elena y Pastaza, es decir, que estas provincias cambian sus niveles de pobreza por causas no relacionadas con la dependencia espacial, las cuales deben ser analizadas a mayor profundidad en futuros estudios; 3) Las políticas públicas se deben priorizar hacia las provincias en donde se evidencian concentraciones de privaciones dimensionales.
Gráfico 3.
Mapa de Clústeres de pobreza en Ecuador, 2017

Fuente: Elaboración y cálculos propios en base a datos de la ENEMDU 2017.
Conclusiones
En la actualidad, los estudios de pobreza, principalmente en países en vías de desarrollo, convergen hacia la necesidad de medir la pobreza en una perspectiva multidimensional. En este sentido, se demuestra que medir la pobreza solamente bajo el enfoque monetario, podría subestimar el problema, pero que al mismo tiempo los ingresos no dejan de ser una de sus causas, por lo cual, las medidas de pobreza deben considerar como una de sus dimensiones a los ingresos de los hogares, ya que una de las causas para que las personas estén privadas en ciertas capacidades básicas, podría ser la falta de recursos económicos.
Las políticas públicas en Ecuador, se diseñan a partir de las medidas oficiales de pobreza (monetaria y multidimensional), las cuales se basan en umbrales rígidos entre pobre y no pobre, lo que ocasiona problemas de focalización, esto es que hogares con características similares podrían no beneficiarse de los programas estatales, por estar al otro lado del umbral. Por lo tanto, medir la pobreza en un sentido fuzzy aporta para corregir los errores de focalización, puesto que cada individuo posee un síntoma gradual de pobreza, lo que permite que los programas sociales se apliquen en función del grado de pobreza.
Además de las mediciones, son importantes los recursos estatales, que con frecuencia son limitados, por lo cual, las políticas públicas a nivel de país se deben priorizar en los sectores con mayor impacto en el combate a la pobreza. Esta investigación sugiere que tanto las políticas de vivienda como las políticas laborales son los sectores prioritarios. En el ámbito de vivienda, se requiere atender el déficit cuantitativo-cualitativo y garantizar el abastecimiento de los servicios básicos. En el ámbito laboral, urgen medidas para la creación de empleos formales que combatan la precarización laboral (empleo inadecuado), lo cual, a su vez soluciona la falta de recursos económicos para que las personas alcancen ciertas capacidades básicas y genera acceso a la seguridad social, esto garantiza una vejez digna para la población. A nivel regional, la heterogeneidad del territorio ecuatoriano es evidente, por lo que, además de las políticas públicas nacionales, se requieren también políticas locales ejecutadas por los diferentes niveles de gobierno, priorizando las privaciones que son de mayor impacto para cada territorio.
Finalmente, entender a la pobreza en el sentido de la privación absoluta de capacidades, permite que los programas de combate a la pobreza se enfoquen en lo que las personas realmente quieren “hacer y ser”, contribuyendo a la libertad de desarrollar las capacidades que consideren relevantes en su vida.
Anexos


* El número de observaciones depende de la población que aplica a cada indicador (ver tabla 1).
** Se consideró como privados a todas las personas que presentaron algún grado de privación bajo el enfoque de conjuntos difusos.
*** Se identificaron como pobres a las personas cuyo ingreso percápita fue menor a la línea de pobreza (USD 84,49 a 2017) y se calculó la asociación entre los indicadores de privación y la pobreza monetaria a través del coeficiente phi, el cual permite medir la asociación entre dos variables dicotómicas.
Referencias
Alkire, S. (2005). Valuing freedoms: Sen's capability approach and poverty reduction. Oxford University Press on Demand.
Alkire, S. (2007). The Missing Dimensions of Poverty Data: Introduction to the Special Issue. Oxford Development Studies, 35(4), 347-359. https://doi.org/10.1080/13600810701701863
Alkire, S. y Jahan, S. (2018). ‑ The New Global MPI 2018: Aligning with the Sustainable Development Goals. OPHI Working Paper, 121.
Alkire, S., y Foster, J. (2007). Counting and Multidimensional Poverty Measurement. OPHI Working Paper, 7.
Alkire, S., y Foster, J. (2011). Counting and multidimensional poverty measurement. Journal of Public Economics, 95(7-8), 476-487. https://doi.org/10.1016/j.jpubeco.2010.11.006
Amores, C. (2014). Medición de la pobreza multidimensional: El caso ecuatoriano. OPHI, 1-53.
Anand, P., Jones, S., Donoghue, M., y Teitler, J. (2020). Non-monetary poverty and deprivation: A capability approach. Journal of European Social Policy (Early Access). http://dx.doi.org/doi:10.1177/0958928720938334
Anselin, L. (1995). Local indicators of spatial association—LISA. Geographical Analysis, 27(2), 93-115.
Anselin, L. (1999). The future of spatial analysis in the social sciences. Geographic Information Sciences, 5(2), 67-76.
Arim, R., y Vigorito, A. (2007). Un análisis multidimensional de la pobreza en Uruguay 1991-2005. Serie Documentos de Trabajo/FCEA-IE; DT10/06.
Asselin, L. M., y Anh, V. T. (2008). Multidimensional poverty and multiple correspondence analysis. En N. Kakwani y J. Silber (Eds.), Quantitative approaches to multidimensional poverty measurement (pp. 80-103). Palgrave Macmillan. https://doi.org/10.1057/9780230582354_5
Barros, R. P., Carvalho, M. D., y Franco, S. (2006). Pobreza multidimensional no Brasil. Instituto de Pesquisa Económica Aplicada, 1-40.
Bautista, C. (2018). Explaining multidimensional poverty: A household-level analysis. Asian Economic Papers, 17(3), 183-210. https://doi.org/10.1162/asep_a_00648
Bedoya, J., y Galvis, J. (2015). Una aplicación de la teoría fuzzy al análisis de la pobreza en Antioquia. Ensayos de Economía, 25(47), 127-150.
Belhadj, B., y Limam, M. (2012). Unidimensional and multidimensional fuzzy poverty measures: New approach. Economic Modelling, 29(4), 995-1002. https://doi.org/10.1016/j.econmod.2012.03.009
Betti, G., Cheli, B., Lemmi, A., y Verma, V. (2006). On the construction of fuzzy measures for the analysis of poverty and social exclusion. Statistica & Applicazioni, 4(1), 77-97.
Betti, G., Gagliardi, F., Lemmi, A., y Verma, V. (2015). Comparative measures of multidimensional deprivation in the European Union. Empirical Economics, 49(3), 1071-1100. https://doi.org/10.1007/s00181-014-0904-9
Betti, G., y Verma, V. (1999) Measuring the degree of poverty in a dynamic and comparative context: a multi-dimensional approach using fuzzy set theory. Proceedings, ICCS-VI, 11, 289-301.
Betti, G., y Verma, V. (2008). Fuzzy measures of the incidence of relative poverty and deprivation: a multi-dimensional perspective. Statistical Methods and Applications, 17(2), 225-250. https://doi.org/10.1007/s10260-007-0062-8
Beytía, P. (2016a). La estructura interna de la pobreza multidimensional. In C. Siles (Ed.), Los Invisibles. Por qué la pobreza y la exclusión social dejaron de ser prioridad (pp. 71– 88). Instituto de Estudios de la Sociedad. https://doi.org/10.31219/osf.io/6t2h8
Beytía, P. (2016b). Pobreza multidimensional como red de privaciones. Una exploración relacional de las carencias en Chile. Cuadernos ISUC, Working papers series, 2(1), 2-19.
Burgos, S., y Cando, F. (2015). Pobreza multidimensional en Ecuador: Aplicación del índice de pobreza multidimensional de Alkire y Foster para Ecuador 2008 – 2014. Foro Economía Ecuador. Recuperado de http://foroeconomiaecuador.com/fee/download/Burgos-y-Cando-2015.pdf
Caramuta, D. M., y Contiggiani, F. (2006). A fuzzy set approach to poverty measurement. Fuzzy Economic Review, 11(1), 37-55.
Cerioli, A., y Zani, S. (1990). A fuzzy approach to the measurement of poverty. En C. Dagum y M. Zenga (Eds.), Income and Wealth Distribution, Inequality and Poverty (pp. 272–284). Springer Verlag.
Chakravarty, S. R. (2006). An axiomatic approach to multidimensional poverty measurement via fuzzy sets. En A. Lemmi y G. Betti (Eds.), Fuzzy set approach to multidimensional poverty measurement (pp. 49-72). Springer.
Chasco, Y. (2003). Econometría espacial aplicada a la predicción extrapolación de datos microterritoriales. Consejería de Economía e Innovación Tecnológica.
Cheli, B., y Lemmi, A. (1995). A ’totally’ fuzzy and relative approach to the multidimensional analysis of poverty. Economic Notes, 24, 115-134.
Ciani, M., Gagliardi, F., Riccarelli, S., y Betti, G. (2019). Fuzzy Measures of Multidimensional Poverty in the Mediterranean Area: A Focus on Financial Dimension. Sustainability, 11(1), 143. http://dx.doi.org/10.3390/su11010143
Colafranceschi, M., Peyrou, M., y Sanguinetti, M. (2011). Pobreza multidimensional en Uruguay: una aplicación de técnicas multivariadas. Quantum: Revista de Administración, Contabilidad y Economía, 6(1), 28-55.
Dagum, C. (2002). Analysis and measurement of poverty and social exclusion using fuzzy set theory. Application and policy implications. En C. Dagum y G. Ferrari (Eds.), Household Behaviour, Equivalence Scales, Welfare and Poverty. Physica-Verlag.
Denis, A., Gallegos, F., y Sanhueza, C. (2010). Pobreza multidimensional en Chile: 1990-2009. Documento de Trabajo, ILADES/Universidad Alberto Hurtado, 1-42.
Eriz, M. R., y Fernandez, M. J. (2015). Una alternativa para el cálculo de las necesidades básicas insatisfechas (NBI). Análisis Económico, 73(30), 111-138.
Fraga, L. S., Bender Filho, R., Coronel, D. A., y Vieira, K. M. (2017). Uma análise da pobreza multidimensional dos estados brasileiros: construção do índice fuzzy. Revista Brasileira de Gestão e Desenvolvimento Regional, 13(1), 54-80.
Galvis, L.A., y Meisel, A. (2012). Convergencia y trampas espaciales de pobreza en Colombia: Evidencia reciente. Banco de la Republica de Colombia, 177.
García‐Vélez, D., Contreras‐Jaramillo, M., Torres‐Gutierrez, T., y Correa‐Quezada, R. (2020). Social exclusion in Ecuador with housing indicators: A regional analysis. En V. Ratten (Ed.), Entrepreneurship and the community (pp. 159–176). Springer. https://doi.org/10.1007/978-3-030-23604-5_10
García‐Vélez, D., y Núñez Velázquez, J. J. (2021). A network analysis approach in multidimensional poverty. Poverty & Public Policy, 13(1), 59-68. https://doi.org/10.1002/pop4.302
Gómez Ramos, E. L., y Guerrero Martínez, H. A. (2020). Diseño de un mapa cognitivo difuso como aproximación a una estructura socioeconómica contemporánea: aportaciones desde el institucionalismo. Análisis Económico, 35(89), 65-89. https://doi.org/10.24275/uam/azc/dcsh/ae/2020v35n89/Gomez
Hick, R., y Burchardt, T. (2016). Capability deprivation. En D. Brady y L. M. Burton (Eds.), The Oxford Handbook of the Social Sciences of Poverty, (pp. 75–92). Oxford University Press. https://doi.org/10.1093/oxfordhb/9780199914050.013.5
Instituto Nacional de Estadísticas y Censos. (2017). Encuesta Nacional de Empleo, Desempleo y Subempleo (ENEMDU-2017). https://www.ecuadorencifras.gob.ec/enemdu-2017/
Martín, J. C., Román, C., y Viñán, C. S. (2019). Design of an indicator of confidence in the public authorities based on fuzzy logic. Investigaciones Regionales, 43, 165-182.
Martín, J. C., y Viñán, C. S. (2017). Fuzzy logic methods to evaluate the quality of life in the regions of Ecuador. Quality Innovation Prosperity, 21(1), 61-80. https://doi.org/10.12776/qip.v21i1.780
Mideros, A. (2012). Ecuador: Definición y medición multidimensional de la pobreza, 2006-2010. Revista Cepal, (108), 51-70.
Morales Ramos, E. (2009). La evolución de la pobreza difusa multidimensional en México, 1994-2006, Working Papers, 2009-04. Banco de México. https://doi.org/10.36095/banxico/di.2009.04
Moreno, R., y Vayá, E. (2002). Econometría espacial: nuevas técnicas para el análisis regional. Una aplicación a las regiones europeas. Investigaciones Regionales, 1, 83-106.
Narayan, D., Chambers, R., Shah, M. K., y Petesch, P. (2000). Voices of the Poor: Crying out for Change. Oxford University Press for the World Bank. https://doi.org/10.1596/0-1952-1602-4
Nieto‐Aleman, P. A., Garcia‐Alvarez‐Coque, J. M., Roig‐Tierno, N., y Mas‐Verdú, F. (2019). Factors of regional poverty reduction in Colombia: Do institutional conditions matter?. Social Policy & Administration, 53(7), 1045-1063. https://doi.org/10.1111/spol.12474
Nussbaum, M. (2003). Capabilities as fundamental entitlements: Sen and social justice. Feminist Economics. 9(2-3), 33-59. https://doi.org/10.1080/1354570022000077926
Ortiz Benavides, E., y Núñez Velázquez, J. J. (2019). Aportes para la construcción de una medida global de la pobreza: el caso de Colombia 2011-2017. Revista Desarrollo y Sociedad, (83), 263-305.
Programa de las Naciones Unidas para el Desarrollo. (2001). Informe sobre Desarrollo Humano 2001. http://hdr.undp.org/en/global-reports
Programa de las Naciones Unidas para el Desarrollo. (2016). Informe sobre Desarrollo Humano 2016. http://hdr.undp.org/en/global-reports
Potsi, A., D’Agostino, A., Giusti, C., y Porciani, L. (2016). Childhood and capability deprivation in Italy: a multidimensional and fuzzy set approach. Quality & Quantity. 50(6), 2571-2590. https://doi.org/10.1007/s11135-015-0277-y
Quintana, L., Salas, C., Duarte, C., y Correa‐Quezada, R. (2020). Regional inequality and labour precariousness: An empirical regional analysis for Brazil, Mexico and Equador. Regional Science Policy & Practice, 12(1), 61-81.
Reeves, R., Rodrigue, E., y Kneebone, E. (2016). Five evils: Multidimensional poverty and race in America. Economic Studies at Brookings Report, 1, 1-22.
Rippin, N. (2016). Multidimensional poverty in Germany: a capability approach. Forum for Social Economics, 45(2-3), 230-255. https://doi.org/10.1080/07360932.2014.995199
Robeyns, I. (2006). The capability approach in practice. Journal of Political Philosophy, 14(3), 351-376.
Salvador, M., Larrea, C., Belmont, P., y Baroja, C. (2014). Un índice difuso de niveles socioeconómicos en Quito. Revista Politécnica, 34(2), 123-123.
Sen, A. (1976). An Ordinal Approach to Measurement. Econometrica, 44(2), 219-231.
Sen, A. (1980). Equality of What?. En S.M. McMurrin (Ed.), Tanner Lectures on Human Values (pp. 353–369). University of Utah Press.
Sen, A. (1985). Commodities and Capabilities. North-Holland.
Sen, A. (1993). Capability and well-being. En M. Nussbaum y A. Sen (Eds.), The Quality of Life (pp. 30-53). Clarendon Press.
Sen, A. (2000). La pobreza como privación de capacidades. En A. Sen (Ed.), Desarrollo y libertad (pp. 114-141). Planeta.
Sen, A. (2005). Human rights and capabilities. Journal of Human Development, 6(2), 151-166. https://doi.org/10.1080/14649880500120491
Tavares, F. F., y Betti, G. (2021). The pandemic of poverty, vulnerability, and COVID-19: Evidence from a fuzzy multidimensional analysis of deprivations in Brazil. World Development, 139(2021), 105307. https://doi.org/10.1016/j.worlddev.2020.105307
Wagle, U.R. (2009). Capability deprivation and income poverty in the United States, 1994 and 2004: Measurement outcomes and demographic profiles. Social Indicators Research, 94(3), 509-533. https://doi.org/10.1007/s11205-009-9446-5
Zadeh, L.A. (1965). Fuzzy Sets. Information and Control, 8(3), 338-353.
Información adicional
Clasificación JEL:: C69; I32; R15