Artículos
Sostenibilidad de los emprendimientos. Un análisis de los factores determinantes1
Sustainability of the enterprises: An analysis of the determining factors
Sostenibilidad de los emprendimientos. Un análisis de los factores determinantes1
Revista Venezolana de Gerencia, vol. 21, núm. 73, pp. 33-49, 2016
UNIVERSIDAD ZULIA
Recepción: 15 Noviembre 2015
Aprobación: 10 Enero 2016
Resumen: El emprendimiento ha venido cobrando importancia a nivel mundial como un factor clave para el crecimiento económico y la competitividad. Colombia no ha sido ajena a esta realidad y le ha apostado a la consolidación de un ecosistema que favorezca los procesos emprendedores. Sin embargo, los emprendimientos desaparecen en el corto plazo, generando una debilidad estructural en el desarrollo empresarial. Por lo tanto, los objetivos de esta investigación son caracterizar el ecosistema de emprendimiento en la Subregión del Bajo Cauca, así como, analizar los factores relevantes en la sostenibilidad de los emprendimientos. Se realizó un análisis estadístico con métodos no paramétricos por medio de funciones de supervivencia, a partir del modelo de duración de Kaplan-Meier. Los resultados muestran que el motivo de creación, plan de negocios, oferta de productos, forma jurídica, endeudamiento, reinversión, ubicación y sector económico, son determinantes en la sostenibilidad. Se concluye que existen deciencias en el ecosistema de emprendimiento y los factores determinantes varían de acuerdo al contexto.
Palaras clave: Emprendimiento, ecosistema, sostenibilidad, supervivencia.
Astract: The entrepreneurship has been gaining importance worldwide as a key factor to economic growth and competitiveness. Colombia have not been immune to this reality and have bet to consolidate an ecosystem that favors entrepreneur's processes. However, the enterprises disappear in the short term, leading to a structural weakness in business development. Therefore, the objectives of this research are to characterize the ecosystem of entrepreneurship of Bajo Cauca and analyze the relevant factors in the sustainability of enterprises. A statistical analysis nonparametric methods by survival functions, from the duration model Kaplan-Meier was performed. The results show that the reason for creation, business plan, product offerings, legal form, debt, reinvestment, location and economic sector, are crucial to sustainability. It is concluded that there are deciencies in the ecosystem of entrepreneurship and determinants change according to context.
Key word: Entrepreneurship, Ecosystem, Sustainability, Survival.
1. Introducción
En Colombia y en general a nivel mundial, en la última década, se ha venido incrementando la cultura del emprendimiento y la creación de empresas, como un factor clave para el crecimiento económico y la competitividad del país. En este sentido, el Departamento de Antioquia ha sido pionero en estos procesos de emprendimiento, convirtiéndose en una prioridad del gobierno local, así como de los sectores privado y educativo (Pereira y Medina, 2012).
Esta tendencia también ha sido respuesta al crecimiento de fenómenos como el desempleo, para el caso colombiano, según el Departamento Administrativo Nacional de Estadística (DANE), el índice de desempleo es del 9,9% en 2015 (Departamento Administrativo Nacional de Estadística -DANE-, 2015).
En este mismo sentido, el Global Entrepreneurship Monitor (GEM), plantea que uno de los mejores vehículos para buscar una dinámica innovadora permanente para la creación de nuevos productos y servicios, es promover la cultura del emprendimiento, debido a que aproximadamente un tercio de las variaciones en las tasas de crecimiento entre países se debe a diferencias en las tasas de actividad emprendedora (Pereira y Medina, 2012).
Este fenómeno del emprendimiento ha traído como resultado la creación de nuevas unidades económicas, las cuales, en su mayoría, se clasifican como Micro, Pequeñas y Medianas (Mipymes), categoría que, de acuerdo a la Cámara de Comercio de Medellín para Antioquia (2013), representa el 96% del total de la base empresarial del país y el 99% para el caso de Antioquia, lo que hace evidente la importancia de estas empresas dentro de la economía nacional en materia de aporte al Producto Interno Bruto (PIB) y generación de empleo. Sin embargo, aunque las microempresas son las más dinámicas en constitución, presentan la mayor mortalidad en los primeros años de vida (Cámara de Comercio de Medellín para Antioquia, 2013).
A pesar de la importancia de la actividad emprendedora, la generación de un impacto significativo en la economía, implica garantizar la sostenibilidad en el tiempo de los emprendimientos y por consiguiente la generación de valor, pero lo que se evidencia en la realidad, es que un alto porcentaje de estas empresas, desaparecen en el corto plazo.
Es así como, el análisis de supervivencia empresarial de las empresas nacidas en Antioquia en el período 20002012, muestra que al nal del período, después de 12 años, solo el 52% de las empresas seguían en actividad (Cámara de Comercio de Medellín para Antioquia, 2013).
Adicionalmente, un análisis promedio acumulado de la mortalidad de empresas creadas entre los años 2000 y 2012, permite concluir que después de tres años de creación el 26,73% de las empresas se cierran, después de siete años el 40,41% y doce años después han desaparecido el 48,14%, identicando entre algunos factores causantes de esta mortalidad: El bajo perl del emprendedor, insuciente planeación estratégica y de mercado, alta competencia en el mercado, deciente planicación nanciera y baja generación de valor agregado. Además se encontró evidencia signicativa de la relación entre la supervivencia y variables como el tamaño y el sector económico (Cámara de Comercio de Medellín para Antioquia, 2013).
Por lo anterior, esta investigación tiene como objetivos realizar una caracterización del ecosistema de emprendimiento en la Subregión del Bajo Cauca, Antioquia, Colombia, así como identicar y analizar los factores relevantes en la sostenibilidadde los emprendimientos, esto es, factores internos que se reeren a las características de la empresa, factores del emprendedor relacionados con sus habilidades, rasgos y competencias y factores del entorno referentes a las características del ecosistema en el que interactúa la empresa, con el n de generar herramientas para la toma de decisiones por parte de los actores que participan en el ecosistema.
La investigación se aborda desde una metodología mixta: cualitativa - cuantitativa, con un enfoque exploratorio, descriptivo y explicativo. Se realizó un análisis estadístico con métodos no paramétricos por medio de funciones de supervivencia, a partir del modelo de duración de Kaplan-Meier (Kaplan y Meier, 1958); la información fue procesada en el software IBM SPSS 21. Con el n de realizar la comparación de las funciones de supervivencia, se analizaron tres pruebas de hipótesis estadísticas: Log Rank (Mantel-Cox), Breslow (Generalized Wilcoxon), Tarone-Ware, que permitieron verificar el nivel de significancia de cada uno de los factores en la supervivencia de los emprendimientos. Bajo la hipótesis nula se plantea que las funciones de supervivencia son iguales, lo que significa que el factor analizado no es determinante, con un nivel de significancia es mayor a 10% (Gujarati, 2009).
La muestra estuvo conformada por 16 entidades de fomento al emprendimiento que operan en la Subregión y 101 emprendimientos, 73 activos, es decir, empresas con operación entre 2 y 5 años y 28 inactivos, empresas con operaciones suspendidas. La recolección de información se hizo a través de entrevistas personales semiestructuradas a las Entidades de Fomento y a los emprendedores, mediante un instrumento que incluyó los siguientes módulos: Información general del Emprendimiento/Entidad, caracterización de los emprendedores, caracterización del emprendimiento/Entidad, análisis de los factores determinantes en la sostenibilidad de los emprendimientos.
2. Ecosistema de Emprendimiento
El ecosistema de emprendimiento hace referencia al conjunto de actores tales como entidades gubernamentales, organizaciones públicas y privadas, entidades nancieras, instituciones educativas, que interactúan formal o informalmente para conectar, mediar y gobernar el desempeño en un ambiente local de emprendimiento, facilitando la creación y el desarrollo sostenible de nuevas empresas (Mason y Brown, 2014:5; Isenberg, 2010:3; Cohen, 2006:3).
La existencia de un ecosistema fortalecido es un factor que incide en la competitividad de un país, en este sentido, la generación de cultura emprendedora requiere de la presencia de una política pública en materia de emprendimiento que constituya la base para la formación de un ecosistema de emprendimiento (Soto Rodriguez, 2014:31).
En Colombia se están gestando grandes iniciativas de carácter ecosistémico en materia de emprendimiento, a partir de la ley 1014 de 2006, se estableció la normatividad al respecto, planteando dentro de sus objetivos: promover el espíritu emprendedor en todos los estamentos educativos del paz, crear un vínculo entre el sistema educativo y el productivo, asignar recursos para apoyo y sostenibilidad de redes de emprendimiento y disponer de un conjunto de principios normativos que sienten las bases para una política de estado y un marco jurídico e institucional, que promuevan el emprendimiento y la creación de empresas (Congreso de la República, 2006).
Para la presente investigación, un ecosistema de emprendimiento se entiende como la generación de sinergias por parte de los actores que interactúan en el entorno, con el objetivo de favorecer la puesta en marcha de empresas sostenibles que generen valor y aporten al desarrollo económico del país.
En este sentido, se adopta la postura de Isenberg (2010), quién plantea que un ecosistema de emprendimiento está compuesto por las siguientes dimensiones: Políticas, Finanzas, Cultura, Servicios, Capital Humano y Mercados (Isenberg, 2010:3).
Políticas. Los gobiernos nacionales, regionales y locales deben coadyuvar en un sistema regulador donde se incentive la mentalidad y las actividades emprendedoras, mediante beneficios fiscales y acceso a instituciones de financiación (Auletta y Rivera, 2011:14).
Finanzas. Asegurar el acceso a la financiación para la innovación es un aspecto fundamental en la consolidación de un ecosistema de emprendimiento. Las instituciones de crédito, ángeles inversionistas, capital semilla, son algunas de estas fuentes de financiación orientadas al segmento de emprendedores (Hechavarria y Ingram, 2014:6).
Cultura. La generación de cultura emprendedora es un factor clave para el desarrollo de un ecosistema de emprendimiento. El ecosistema debe ser adecuado a las necesidades de un área geográfica, región o sector de la industria, el tipo de emprendedores o empresas a ser incentivadas, así como sus capacidades y habilidades (Soto-Rodriguez, 2014:32).
Servicios. Los servicios incluyen la infraestructura de telecomunicaciones, transporte y energía, así como la existencia de parques tecnológicos, distritos industriales o zonas francas. También implican la disponibilidad de servicios profesionales de apoyo a las nuevas iniciativas en los campos legal, laboral, fiscal o tecnológico y la existencia de Entidades dedicadas a la promoción del emprendimiento (Auletta y Rivera, 2011:14).
Capital Humano. La capacitación a los entes que hacen parte del ecosistema de Emprendimiento, la educación en mentalidad, cultura y competencias específicas para emprender, son aspectos fundamentales debido a que se convierten en elementos claves que generan diferenciación y conducen a logros (Auletta yRivera, 2011:14).
Mercados. Se refiere a la existencia de redes de emprendedores, tanto en el país como externas, dispuestas a contribuir a la consolidación del ecosistema (Auletta y Rivera, 2011:14).
De acuerdo a lo planteado anteriormente, se realizó una caracterización del ecosistema de emprendimiento en la Subregión del Bajo Cauca, Antioquia, Colombia, considerando las dimensiones del ecosistema (Isenberg, 2010), así como algunos de los actores que lo conforman: entidades de fomento y emprendedores.
Es evidente como a partir de la Ley 1014 de 2006, en el país se ha venido generando una cultura en cuanto al tema de emprendimiento, lo que ha incentivado a entidades públicas y privadas, así como al sector financiero a ofertar servicios orientados a los emprendedores con el n de contribuir en el mejoramiento de las capacidades de las personas que les permita emprender ideas de negocio para la creación de empresas, promover iniciativas para lograr vínculos entre los sectores educativo y productivo, fomentar la cultura de la cooperación, el ahorro, así como orientar sobre las distintas formas de asociatividad (Congreso de la República, 2006).
Es así como en la Subregión se identicó la presencia de entidades de fomento como Servicio Nacional de Aprendizaje (SENA), Programa Antioquia E de la Gobernación de Antioquia, Programa de emprendimiento de la Alcaldía de Caucasia, Cámara de Comercio, Microempresas de Colombia, Interactuar, Laboratorio de Emprendimiento y Liderazgo Juvenil, Corporación Juventud Democrática, entre otras, las cuales tienen cobertura tanto en la Subregión como en el Sur del Departamento de Córdoba. Estas entidades ofrecen un portafolio de servicios orientado a los emprendedores que incluye actividades de sensibilización, formación emprendimiento, asesoría, acompañamiento para la puesta en marcha, asistencia técnica, fortalecimiento empresarial, financiación directa e indirecta.
Sin embargo, se evidenció que la infraestructura dispuesta por estas entidades es insuficiente para atender las necesidades de la Subregión en materia de emprendimiento, debido a que la demanda de servicios supera la capacidad que ofrecen estas instituciones, lo que genera debilidades en algunos eslabones de la cadena del emprendimiento.
Por su parte, los emprendedores reconocen que la presencia de estas entidades de fomento ha sido un factor potencializador en la generación de cultura emprendedora en la Subregión. Adicionalmente, identifican y valoran los servicios de formación, capacitación, asesoría y acceso a fuentes de financiación, ofertados por estas entidades.
La labor de las entidades de fomento al emprendimiento en la Subregión del Bajo Cauca ha sido determinante en la conformación del tejido empresarial y en el desarrollo económico y social. Sin embargo, al analizar el apoyo brindado a los emprendedores, no se comprobó evidencia significativa, como un factor determinante en la supervivencia, lo cual puede obedecer a que la mayoría de las entidades del ecosistema sólo se ocupan de las primeras fases del proceso del emprendimiento, dejando de lado las actividades de aceleración, incubación y post-incubación.
Los resultados de la caracterización se presentan en el cuadro 1.

3. Factores Internos
Los factores internos tienen relación con las características propias de la empresa y pueden ser determinantes para su posicionamiento y sostenibilidad en el mercado, como tamaño, crecimiento, nivel de endeudamiento, entre otros.
Tamaño. El tamaño de las empresas, en Colombia, de acuerdo a la Ley 905 de 204, se define con base en el número de empleados y el valor de los activos que posea la empresa (Congreso de Colombia, 2004).
Este factor ha sido ampliamente estudiado en la literatura sin llegar a un consenso entre los diferentes autores. En cuanto al tamaño inicial de la empresa, algunos autores plantean que no tiene incidencia alguna sobre la supervivencia (Arias, et al, 2007:15).
Por su parte, las empresas entrantes presentan mayores dificultades para consolidarse en los mercados si su tamaño inicial es pequeño, es decir, existe una relación directa entre el tamaño inicial de la empresa y las probabilidades de supervivencia (Martínez, 2006:138).
Al respecto, se plantea que existe una condicionalidad en la supervivencia de las pequeñas empresas. Las nuevas empresas que entran en el mercado son generalmente pequeñas, y a pesar que éstas tienen menos probabilidad de sobrevivir, un crecimiento rápido puede condicionar su supervivencia (Taymaz y Köksal, 2006:70).
Por otro lado, en la literatura se encuentra que mientras menor sea el tamaño de la empresa, mayor es la probabilidad de que esta cese sus actividades antes de 5 años, es así como, las empresas grandes son las de mayor supervivencia empresarial debido a la consistencia y la fuerza con que ingresan al mercado (Arias y Quiroga, 2008:259). Mientras que, las micro y pequeñas empresas, dado su menor tamaño, por lo general son más débiles y pueden fracasar ante eventos adversos del entorno, debido a limitaciones técnicas y competitivas (Crespi, 2003).
Es adecuado pensar que el tamaño afecta la supervivencia de las empresas, en este sentido, el ideal del tamaño para una empresa naciente sería aquel que pueda cubrir la demanda actual y que permita realizar inversiones escalonadas para cubrir la demanda futura.
Crecimiento. El crecimiento está asociado con una mayor producción y demanda de bienes y servicios lo que representa posicionamiento y posible permanencia en el mercado (Phillips y Kirchhoff, 1989:71). Las empresas que más sobreviven son aquellas que presentan un mayor crecimiento tanto en el número de empleos como en el nivel de activos, al tiempo que logran obtener una mayor productividad y rentabilidad (Arias et al, 2007:15).
El proceso de crecimiento empresarial debe ser planeado, es decir, toda inversión marginal debe generar una mayor rentabilidad que el costo incurrido, de tal forma que dichas decisiones aporten a la generación de valor.
Endeudamiento. Se refiere a la posibilidad de la empresa de financiarse con recursos de terceros, a corto o a largo plazo. Existe mayor posibilidad de insostenibilidad cuando se tiene un nivel extremo de endeudamiento, ya sea muy alto o muy bajo. Un alto endeudamiento implica más riesgo de desaparecer; pero al mismo tiempo firmas con endeudamiento medio y endeudamiento medio-alto, tienen menos probabilidad de desaparecer frente a las armas de bajo endeudamiento. Un nivel de endeudamiento moderado, como método para apalancarse es adecuado (Parra, 2011:46).
En este mismo sentido, la estructura de financiación de las empresas es un determinante claro de la sostenibilidad. Las empresas que tienen una mayor cantidad de fondos propios en su primer año logran extender su existencia y logran aumentar su financiación a través de terceros, mientras que las empresas que se financian más con pasivos de corto plazo, aceleran su salida del mercado (Arias et al, 2007:15).
La estructura financiera óptima sigue siendo un tema de debate, más aún para las empresas nacientes, por las dificultades para acceder a créditos y para atender el compromiso de la deuda. Si las decisiones de endeudamiento no son debidamente planeadas, éste en lugar de generar valor, lo puede destruir, es decir, la contribución financiera de la deuda sería negativa. Por lo tanto, los emprendedores deben contar con un musculo financiero suficiente para no tener que recurrir al endeudamiento para iniciar su empresa, situación que puede cambiar a medida que la empresa entra en un periodo de operación más estable.
Con relación a los factores internos, el análisis estadístico de las curvas de supervivencia, muestra que factores como: motivo por el cual se creó la empresa, realización de un plan de negocios, diversificación de la oferta de productos, forma jurídica, endeudamiento y reinversión, son significativos para la explicación de la supervivencia de las empresas en el contexto analizado.
Es así como, con relación al motivo por el que se creó la empresa, la mayoría de los emprendimientos (66%), fueron creados por necesidad o independencia y solo el 34% se crearon por oportunidad. El análisis indica que las empresas que más sobreviven son aquellas que fueron creadas por oportunidad, lo que indica que aquellos emprendimientos que se crean como resultado de una oportunidad, responden a una verdadera demanda del mercado, lo que acompañado de un producto o servicio que represente una propuesta de valor para el cliente, se puede traducir en un determinante de la sostenibilidad (Gráfico 1).

Con respecto a la realización de un plan de negocios, el 69% de los emprendimientos no elaboraron un plan de negocio para la creación de la empresa, sin embargo, el análisis de las funciones de supervivencia muestra que las empresas que más sobreviven son aquellas que lo elaboraron.
Si bien la construcción de un plan de negocios no es garante de éxito, el hecho de formularlo y evaluarlo representa una carta de navegación para el emprendedor que reduce el riesgo de fracaso (Gráfico 2).

En cuanto a la diversificación en la oferta de productos, se encuentra que, las empresas que más sobreviven son aquellas que han presentado un crecimiento en la oferta de productos, esto debido a que una oferta más diversificada genera más opciones para los clientes, lo cual se traduce en una mejor propuesta de valor. Sin embargo, la decisión de diversificar debe considerar productos que aporten márgenes de contribución atractivos y presenten altas rotaciones. Los resultados se muestran en la Gráfico 3.

En lo referente a la forma jurídica, debido al contexto y cultura de la Subregión, se evidencia que tienen mayor probabilidad de supervivencia las empresas que operan como personas naturales que aquellas que lo hacen como personas jurídicas. Este resultado tiene su sustento en los gravámenes que debe de asumir una empresa cuando se constituye como persona jurídica lo que representa una dificultad para los emprendedores (Gráfico 4).

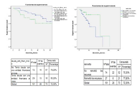
En relación al endeudamiento y la reinversión, la mayoría de los emprendimientos analizados (72%), no accedieron a endeudamiento financiero para iniciar la empresa, adicionalmente, la mayoría de estas empresas (73%), no reinvirtieron los recursos, es decir, que las inversiones de las empresas al final del período analizado son menores a las del inicio. Los resultados evidencian que tienen mayor probabilidad de supervivencia las empresas que no tenían deuda financiera al inicio y además aquellas empresas que reinvirtieron, lo cual se puede observar en el Gráfico 5.

En el análisis de las curvas de supervivencia, el tamaño no resultó significativo en la explicación de la sostenibilidad de los emprendimientos en el contexto analizado, esto se explica debido a que la mayoría de las empresas de la muestra, presentan tamaños similares.
4. Factores del Emprendedor
Hacen referencia a las habilidades y rasgos de un emprendedor que generalmente ayudan a la sostenibilidad de una empresa en el tiempo, entre éstos se encuentran la edad, el nivel de formación, la experiencia, entre otros.
Edad. De acuerdo a la literatura, las compañías que muestran mejores resultados y pronósticos con el tiempo, tienen fundadores con edades entre los 18 y los 25 años, seguidos por emprendedores entre los 36 y los 45 años, y en último lugar, los emprendedores entre los 26 y 35 años (Fertala, 2008:75).
Experiencia. Hace referencia a las capacidades adquiridas por el emprendedor en el campo laboral, al haber trabajado anteriormente en compañías similares. La falta de experiencia y de gestión por parte del emprendedor, pueden llevarlo al fracaso, bien sea porque desde el inicio se arriesgó demasiado endeudándose a corto plazo, o porque habiendo financiado adecuadamente su empresa, sobredimensionó su capacidad de atender el mercado, llevando a la empresa a endeudarse más, creciendo desequilibradamente, sin lograr recuperar esta inversión, y finalmente llegando al fracaso, a pesar de que las condiciones de mercado sean favorables (Jung y Peña, 2004:66).
La edad y la experiencia son dos variables relacionadas; si bien es cierto que un emprendedor joven cuenta con ímpeto y dinamismo, al complementarlo con la experiencia, puede ser un factor determinante en la sostenibilidad del emprendimiento. Según lo anterior, los emprendedores mayores de 25 años, que han acumulado algún nivel de experiencia, tienen mayores probabilidades de éxito en sus empresas.
Formación. Hace referencia a los estudios académicos formales así como cursos de formación con que cuenta el emprendedor. Entre los factores más relevantes del crecimiento de una nueva empresa, se encuentra al capital humano del emprendedor, en relación con la cantidad y calidad del conocimiento, el grado de aprendizaje y de productividad. El emprendedor tendrá más probabilidades de alcanzar el éxito cuanto más abundante y productivo sea su capital humano (Aranguren et al,1999:15).
Si bien es cierto que algunas habilidades y competencias son innatas en los emprendedores, la formación y capacitación es necesaria para adquirir conocimientos y capacidades fundamentales para la gestión de sus empresas.
En cuanto a los factores relacionados con el emprendedor, se analizaron aspectos como la edad, la formación, el hecho de contar con características emprendedoras desde la infancia, pero los análisis estadísticos de las curvas de supervivencia no mostraron evidencia significativa en la explicación de la sostenibilidad, en el contexto analizado, contrario a lo que sugiere la literatura.
5. Factores del Entorno
Estos factores se refieren a las características de la región donde se encuentra ubicada la empresa, a las personas y tradiciones que rodean la organización y a las influencias que pueda representar sobre el desarrollo de la empresa, entre los cuales se encuentran el crecimiento económico, el crecimiento del sector, la localización geográfica, aglomeración, entre otros.
Crecimiento económico. Uno de los principales factores que pueden afectar la sostenibilidad de una empresa emprendedora es el desarrollo económico del sector; generalmente medido a través del Producto Interno Bruto (PIB). El desarrollo económico de la región afecta el posicionamiento y el dinamismo de la compañía, en referencia a la oferta y la demanda de bienes y se afecta de forma negativa si se percibe un alto nivel de desempleo lo que pronostica pocas posibilidades de supervivencia de las empresas (Fertala, 2008:78).
Crecimiento del sector. El crecimiento del sector al que pertenece la empresa, también puede influir en la supervivencia empresarial, este factor se define como el aumento de la productividad y ganancias de un sector específico, en comparación a periodos anteriores y se determina según la variación del PIB del sector. Las empresas ubicadas en sectores que decrecen, presentan un mayor riesgo de fracaso frente a las empresas ubicadas en sectores de bajo crecimiento y alto crecimiento (Arias y Quiroga, 2008:263). Una empresa tiene menos probabilidad de cerrar, si se ubica en alguno de los sectores en los que han ingresado la mayor cantidad de nuevas firmas, ya que aunque se presentaría una mayor competencia, es una forma de impulsar el desarrollo del sector económico (Parra, 2011:47).
Es claro que los emprendimientos desarrollados en economías cuyo nivel de crecimiento sea constante pueden contar con mayores volúmenes de demanda, máxime si el sector económico en el que se inscriben se encuentra en una fase favorable de su ciclo vital.
Localización geográfica. Se presenta un impacto positivo de la localización geográfica sobre la supervivencia de las empresas, obteniéndose mejores resultados en los sectores con alto nivel de creación de empresas, comparado con sectores donde el desarrollo de empresas es más bajo (Arias y Quiroga, 2008:265). Sin embargo, algunos estudios han evidenciado que ninguna localidad presenta una mayor propensión al cierre en los primeros 5 años, pero las empresas ubicadas en sectores con más densidad empresarial, tienen mayores probabilidades de quiebra, debido a la saturación y mayor competencia de las firmas ubicadas allí (Parra, 2011:47).
Aglomeración. Se entiende como el nivel y la distribución de la población en la zona. Es sano para una empresa situarse en una región donde además de los nativos, residan personas originarias de otro lugar ya que esto equilibra el mercado por la diversidad de usuarios y disminuye la tasa de riesgo para la organización (Fertala, 2008:79). Adicionalmente, la probabilidad de supervivencia de las empresas que se establecen en mercados más concentrados es mayor; así, las empresas que entran a sectores industriales donde el nivel de concentración es alto o moderado, tienen un riesgo de salida menor de aquellas que las que ingresan en mercados económicos con niveles de concentración bajos (Martínez, 2006:138).
La localización geográfica y la aglomeración, son factores muy relacionados con la conformación de los cluster empresariales, por lo tanto, la decisión de localización por parte de un emprendedor es estratégica y por tanto debe obedecer a criterios de análisis claramente definidos.
Con respecto a los factores del entorno, el análisis estadístico de las curvas de supervivencia, muestra que el sector económico, ubicación y municipio, son significativos en la explicación de la supervivencia de las empresas.
Con relación al sector económico, debido a la vocación comercial de la Subregión, la mayoría de las empresas desarrollan actividades en los sectores servicios (43%) y comercio (38%), el análisis de las funciones de supervivencia muestra que las empresas del sector comercial, presentan la mayor probabilidad de supervivencia, como se puede observar en el Gráfico 6.

6. Conclusiones
Los factores determinantes en la sostenibilidad de los emprendimientos, varían dependiendo del contexto, el tipo de empresas, la región geográfica objeto de estudio, el ecosistema de emprendimiento y la coyuntura económica. A pesar de estos aspectos, el emprendimiento se debe cimentar sobre oportunidades claramente identificadas que den cuenta de la necesidad real y el potencial del mercado. Así mismo, los emprendedores deben identificar sectores económicos cuyo ciclo vital este en pleno crecimiento y localizaciones geográficas que presenten expectativas de crecimiento atractivas para garantizar la demanda.
Dado que los emprendimientos en su fase de creación presentan limitaciones estructurales, deben minimizar la exposición a situaciones de riesgo como altos niveles de endeudamiento que se traducen en costos financieros excesivos, así mismo, planear estratégicamente su crecimiento, tanto en la diversificación de la oferta como en la implementación de nuevas unidades estratégicas de negocios.
En Colombia, específicamente en el Departamento de Antioquia, se han adelantado esfuerzos por consolidar un ecosistema de emprendimiento que favorezca la dinámica emprendedora, sin embargo, aún se evidencian deficiencias en algunas de las dimensiones del ecosistema, es el caso de la dimensión de mercados, dado que, la mayoría de los emprendimientos siguen orientados a mercados locales y en la dimensión de servicios debido a que las capacidades instaladas de las entidades son insuficientes para atender la demanda por parte de los emprendedores.
Los resultados obtenidos en esta investigación contribuyen al desarrollo de la literatura en la explicación de los factores que inciden en la sostenibilidad de los emprendimientos, adicionalmente, se convierten en una herramienta para la toma de decisiones por parte de los actores que hacen parte del ecosistema.
En el caso de las entidades de fomento, el desarrollo de las políticas de apoyo al emprendimiento, deben considerar los factores que son determinantes en la sostenibilidad de los emprendimientos para diseñar programas y estrategias efectivas que favorezcan la consolidación del ecosistema y acompañen a los emprendedores en las fases de aceleración, incubación y post-incubación.
Para los emprendedores actuales y potenciales, los resultados de esta investigación representan información relevante para la puesta en marcha y consolidación de sus empresas, los resultados obtenidos permiten tomar decisiones de inversión, financiación, identificación de oportunidades de negocio, constitución de la empresa, conformación del equipo emprendedor, definición del portafolio de productos y servicios.
En una segunda fase, la presente investigación realizará un análisis mediante métodos paramétricos, con el fin de validar y complementar los hallazgos obtenidos hasta el momento. Además, futuras investigaciones podrían analizar los factores que son relevantes en la sostenibilidad de los emprendimientos en otros contextos y zonas geográficas.
Referencias Bibliográficas
Aranguren, Maria Jose, Larrea, Miren, y Peña, Iñaki (1999), Incubadoras: ¿Supervivencia y Crecimiento de Nuevas Empresas? Encuentro de Economía Aplicada, Reus.
Arias, Alberto, y Quiroga, Raul Fernando (2008), Cese de actividades de las pymes en el área metropolitana de Cali (2000-2004): un análisis de supervivencia empresarial. Cuaderno Administración Bogotá, Vol. 21, No. 35, Colombia, pp 249-277.
Arias, Alberto, Jung, Andres, y Peña, Iñaki (2007), Factores asociados al cese de actividades de nuevas firmas españolas. Cuaderno de Economía 2, No. 2, Uruguay, Departamento de Economía, Facultad de Ciencias Empresariales, Universidad Católica del Uruguay, pp 7-21.
Auletta, Nunzia, & Rivera, Clariandys (2011), Un Ecosistema para Emprender. Debates Iesa, Vol. 16, No. 4, pp 1217.
Cámara de Comercio de Medellín para Antioquia (2013). Permanencia Empresarial en Antioquia en el período 2000-2012. Revista Antioqueña de Economía y Desarrollo RAED, Edición No. 6, pp 45-85.
Cohen, Boyd (2006), Sustainable Valley Entrepreneurial Ecosystems. Business Strategy and the Environment, Vol. 15, No. 1, pp 1-14.
Congreso de Colombia (2004), Ley 905: Promoción y desarrollo de la micro, pequeña y mediana empresa colombiana. Diario Oficial No. 45628 de agosto 2 de 2004, Colombia.
Congreso de Colombia (2006), Ley 1014: Fomento a la cultura del emprendimiento, Diario OficialNo. 46164 de enero 27 de 2006, Colombia.
Crespi, Gustavo (2003), Estudio de dinámica empresarial. Entorno Chile 2002. Fundes Chile, Santiago de Chile.
Departamento Administrativo Nacional de Estadística -DANE-, http://www. dane.gov.co/, abril 30 de 2015.
Fertala, Nikolinka (2008), The shadow of death: do regional differences matter for firm survival across native and immigrant entrepreneurs?. Empirica, Vol. 35, No. 1, pp 59-80.
Gujarati, Damodar (2009), Econometria, Mexico: Mc Graw Hill.
Hechavarria, Diana, y Ingram, Amy (2014), A Review of the Entrepreneurial Ecosystem and the Entrepreneurial Society in the United States: An Exploration with the Global Entrepreneurship Monitor Dataset. Journal of Business & Entrepreneurship,Vol. 26, No. 1, pp 1-36.
Isenberg, Daniel (2010), How to Start an Entrepreneurial Revolution. Harvard Business Review, Vol. 88, No. 6, pp 40-50.
Jung, Andres, y Peña, Iñaki (2004), Factores asociados al fracaso de nuevas empresas. III Conferencia Internacional de Investigadores en Emprendedurismo de América Latina, Rio de Janeiro, pp 56-68.
Kaplan, Edward, y Meier, Paul (1958), Nonparametric estimation from incomplete observations. Journal of the American Statistical Association, Vol. 53, No. 282, pp 457-481.
Martínez, Andres Felipe (2006), Determinantes de la supervivencia de empresas industriales en el área metropolitana de Cali 1994-2003. Revista Sociedad y Economía, No. 11, pp 112-144.
Mason, Colin, y Brown, Ross (2014), Entrepreneurial Ecosystems and Growth Oriented Entrepreneurship. Final Report to OECD, Paris, pp 1-38.
Parra, Juan Felipe (2011), Determinantes de la probabilidad de cierre de nuevas empresas en Bogotá. Revista Facultad de Ciencias Económicas: Investigación y Reflexión, Vol. 19, No. 1, Colombia, pp 27-53.
Pereira, Fernando, y Medina, Lina (2012), Global Entrepreneurship Monitor -GEM-Antioquia 2012-2013. Ediciones Sello Javeriano, Colombia.
Phillips, Bruce, y Kirchhoff, Bruce (1989), Formation, Growth and Survival; Small Firm Dynamics in the U.S. Economy. Small Business Economics, Vol. 1, No. 1, pp 65-74.
Soto-Rodriguez, Edgar (2014), Entrepreneurial Ecosystems as a Pathway towards Competitiveness: The Case of Puerto Rico. Competition Forum, Vol. 12, N° 1, pp 31-40.
Taymaz, Erol, y Köksal, Miyase (2006), El espíritu emprendedor, el tamaño de lanzamiento y la supervivencia de los pequeños empresarios. Ekonomiaz: Revista vasca de economia, No. 62, pp 70-99.
Notas
Notas de autor