Gestión del talento humano como factor de mejoramiento de la gestión pública y desempeño laboral
Human talent management as a factor for improving public management and job performance
Gestión del talento humano como factor de mejoramiento de la gestión pública y desempeño laboral
Revista Venezolana de Gerencia, vol. 23, núm. 83, pp. 740-760, 2018
Universidad del Zulia
Recepción: 25 Marzo 2018
Aprobación: 20 Junio 2018
Resumen: La investigación presentó como propósito determinar la incidencia de la gestión del talento humano en el mejoramiento de la gestión pública y desempeño laboral de los trabajadores de la Administración central del Ministerio de Salud de Perú durante el año 2018. Se utilizó como método, el hipotético deductivo, con un diseño no experimental, transversal. La población estuvo constituida por trabajadores de la sede central del Ministerio de Salud. Se utilizó el muestreo no probabilístico. En la construcción y validación de los instrumentos, se ha considerado la validez de contenido y de constructo, mediante la técnica de opinión de expertos, se utilizó la técnica de la encuesta y su instrumento el cuestionario, con preguntas tipo Escala de Likert. Los resultados permiten afirmar que ante un coeficiente R2 de Nagelkerke de 44,4% y 28,4%, la gestión del talento humano es adecuada, incidiendo en el mejoramiento de la gestión pública y desempeño laboral de los trabajadores de la Administración central del Ministerio de Salud estudiada.
Palabras clave: gestión del talento humano, gestión pública, desempeño laboral.
Abstract: The research presented as purpose to determine the incidence of human talent management in the improvement of public management and labor performance of workers of the Central Administration of the Ministry of Health of Peru during 2018. The hypothetical deductive was used as a method, with a non-experimental, transversal design. The population consisted of workers from the headquarters of the Ministry of Health. Non-probabilistic sampling was used. In the construction and validation of the instruments, the content and construct validity was considered, using the technique of expert opinion, the survey technique and its instrument was used, the questionnaire, with Likert scale questions. The results allow to affirm that before a Nagelkerke coefficient R2 of 44.4% and 28.4%, the human talent management is adequate, influencing the improvement of the public management and labor performance of the workers of the Central Administration of the Ministry of Health studied.
Keywords: human talent management, public management, job performance.
1. Introducción
El Ministerio de Salud es uno de los sectores más importantes y uno de los pilares para el desarrollo de cualquier país del mundo; desde sus espacios se diseñan y formulan políticas para el bienestar de la sociedad, definiendo estrategias y estableciendo lineamientos para el cuidado, la preservación y la mejora de la salud. Es por tal razón que la selección de las personas para direccionar y administrar este complejo sector requiere de personas con las capacidades, competencias y especialización a nivel gerencial, tanto en niveles estratégicos (Alta Dirección) como en aquellos, en los cuales se encuentran empleados públicos como colaboradores directos.
Sobre este particular, durante varios quinquenios, en el sector salud, las personas que han dirigido y administrado, no se han considerado personas idóneas, pues, no cuentan con las capacidades, ni con el perfil para ocupar los cargos o puestos en los cuales han sido designados. Esto afecta la eficiencia del sistema, pues en un sector como el que se estudia, dada su alta importancia para el país, es necesario disponer de recursos humanos altamente calificados y con una especialización para asumir funciones y desempeñarlas a la par con las exigencias mundiales, es decir cubrir estándares que permitan brindar una gestión de calidad en el sector.
Múltiples ocupaciones, urgencias, agendas copadas, falta de visión, ausencia de estrategias, planificaciones rígidas en algunos casos, aunado a las ocupaciones del día a día, alternan rutinas diarias y restan eficiencia a la gestión, haciendo que se escriban y documenten actividades y funciones en manuales, reglamentos y normativas en un esfuerzo por explicar y justificar todo lo que se hace en el ambiente organizacional, sin embargo, estos esfuerzos quedan sin sentido, cuando no existe evidencia de evaluación, ni de rendición de cuentas sobre la gestión realizada.
En este sentido, el Ministerio de Salud del Perú, institución pública de vital importancia, económica, social en el país, en el marco de la reforma del Estado y la modernización de la gestión pública, para promover en el país una Administración Pública, debe orientan esfuerzos para concretar mayores niveles de eficacia y eficiencia y garantizar la prestación de servicios de calidad. En función de ello, se crea el Servicio Civil, y a pesar de que tiene cinco años en un proceso de implementación de un sistema administrativo de recursos humanos, sigue siendo necesario, realizar mediciones en el mejoramiento de la gestión pública y del desempeño laboral de las entidades del estado.
Se desconocen los resultados a derivar de estudios en esta área, por lo que se hace necesario indagar, sobre la cómo el talento humano influye en el mejoramiento de la gestión pública y desempeño laboral de los trabajadores de la administración central del Ministerio de Salud – MINSA, tomando como período el año 2018.
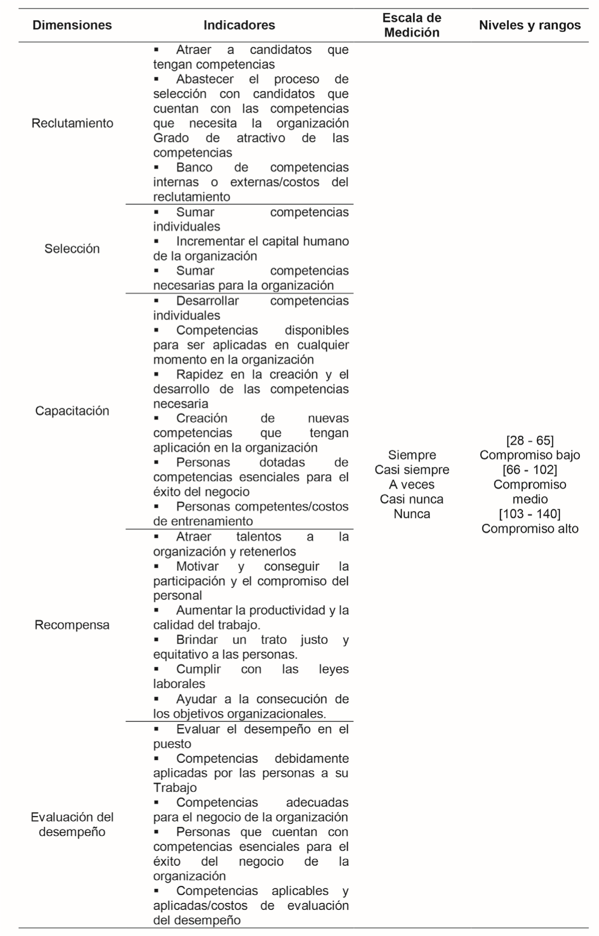
Este estudio, desglosa las funciones tradicionales de la gestión del talento humano, y asume como dimensiones: reclutamiento, selección, capacitación y evaluación, formulando a partir de ellas, una serie de interrogantes que permitirán ir develando información de interés durante la investigación.
Como hipótesis principal en la investigación, se asume: la gestión del talento humano influye en el mejoramiento de la gestión pública y desempeño laboral en los trabajadores de la administración central del Ministerio de Salud – MINSA, 2018. Asimismo, de ella derivan otras Hipótesis:
Hipótesis 1: La gestión del talento humano influye en el mejoramiento de la gestión pública y desempeño laboral en la dimensión de reclutamiento en los trabajadores de la administración central del Ministerio de Salud – MINSA, 2018,
Hipótesis 2: La gestión del talento humano influye en el mejoramiento de la gestión pública y desempeño laboral en la dimensión de selección en los trabajadores de la administración central del Ministerio de Salud – MINSA, 2018,
Hipótesis 3: La gestión del talento humano influye en el mejoramiento de la gestión pública y desempeño laboral en la dimensión de capacitación en los trabajadores de la administración central del Ministerio de Salud – MINSA, 2018,
Hipótesis 4: La gestión del talento humano influye en el mejoramiento de la gestión pública y desempeño laboral en la dimensión de recompensa en los trabajadores de la administración central del Ministerio de Salud – MINSA, 2018,
Hipótesis 5: La gestión del talento humano influye en el mejoramiento de la gestión pública y desempeño laboral en la dimensión de evaluación en los trabajadores de la administración central del Ministerio de Salud – MINSA, 2018.
En este mismo orden de ideas, se asume como objetivo central determinar la influencia de la gestión del talento humano en el mejoramiento de la gestión pública y el desempeño laboral, el cual se responde asumiendo una metodología con enfoque cuantitativo, básica sustantiva y de nivel descriptivo, de diseño no experimental transaccional. La población estuvo constituida por la unidad ejecutora (001) Administración central del pliego 011 Ministerio de Salud - MINSA que comprende 1,050 trabajadores del régimen laboral Nº 276 y 1,600 trabajadores CAS del régimen laboral Nº 1057 que suma un total de 2,650 trabajadores. El Ministerio de Salud es pliego y unidad ejecutora a la misma vez. Se seleccionó como muestra un total de 336. La técnica empleada fue la encuesta y su instrumento el cuestionario
2. Gestión talento: referencias conceptuales
La administración como ciencia social tiene como objeto de estudio las organizaciones; en este contexto todas sus funciones deben gestionarse de manera adecuada, con igualdad de importancia, destacando la gestión del talento humano. Al respecto, plantea Suárez (2011: 93), que, en la actualidad, se vive en una sociedad con grandes transformaciones estructurales, económicas, sociales y culturales, en la cual los cambios se evidencian de manera vertiginosa, atendiendo a una complejidad que no admite precedentes.
Bajo este contexto, las organizaciones requieren de líderes que realicen grandes esfuerzos, preparados, accesibles y que se manejen con elevados principios éticos, equidad y justicia social.
En este sentido, Chiavenato (2009), afirma que la gestión del talento humano refiere al conjunto de políticas y prácticas necesarias para dirigir cargos gerenciales relacionados con personas o recursos; poniendo en práctica procesos de reclutamiento, selección, capacitación, recompensas y evaluación de desempeño”.
Por su parte Eslava (2004), confirma que gestionar el talento humano, consiste en asumir un enfoque estratégico de dirección, cuyo objetivo es obtener la máxima creación de valor para la organización, a través de un conjunto de acciones dirigidas a disponer en todo momento del nivel de conocimiento, capacidades y habilidades en la obtención de los resultados necesario para ser competitivo en el entorno actual y futuro. La persona es vital para la operación eficaz de una institución, es su activo más importante, a pesar de que no aparecen reflejados en los balances generales como una categoría en sí misma a pesar de la gran cantidad de dinero que se invierte en ellos (Koontz y Weihrich, 2004).
La gestión del talento humano, se apoya en procesos fundamentales para el desarrollo de sus operaciones, los mismos se asumen en esta investigación, como esenciales y analizándolos desde una perspectiva tradicional, se concentran en: (Chiavenato, 2008).
• Reclutamiento: proceso de comunicación donde la organización divulga y ofrece oportunidades de trabajo al mercado de recursos humanos. Representa un proceso de comunicación dos vías: comunica y divulga oportunidades de empleo, al mismo tiempo que atrae a los candidatos al proceso de selección.
• Selección: consiste en escoger a los mejores candidatos para la organización. Está compuesto por una secuencia de etapas con varias opciones. La evaluación de los resultados de la selección es importante para determinar su costo operacional y los beneficios que ofrece.
• Capacitación: proceso sistemático de mejora del comportamiento de las personas para que alcancen los objetivos de la organización. La capacitación y el desarrollo constituyen procesos de aprendizaje, modificando el comportamiento de las personas por medio de cuatro tipos de cambios: transmisión de información, desarrollo de habilidades, de actitudes y de conceptos.
• Recompensa: retribución, premio o reconocimiento por los servicios de alguien. La recompensa más común es la remuneración. Existen recompensas financieras y no financieras. Las recompensas financieras pueden ser directas (como el salario directo, los premios y las comisiones) o indirectas (vacaciones, descanso semanal remunerado, gratificaciones, etc.).
• Evaluación del desempeño: da a conocer el valor del desempeño de cada individuo, en función de las actividades que desempeña, de los objetivos y resultados que debe lograr, y de su posible desarrollo; es un sistema que sirve para juzgar, estimar, la excelencia de las cualidades de una persona y, sobre todo, su contribución al desarrollo de la empresa.
Existen diversas corrientes que enfocan como gestionar el talento humano, sin embargo, considerando las diversas realidades empresariales e institucionales y en un contexto de sociedad del conocimiento y la información las corrientes basadas en el procesamiento humano de información (Human Information Processing), favorecen la gestión del talento humano dotándole de información útil y oportuna que le permita un accionar de manera más eficaz; en este sentido
En este orden de ideas, Cerna (2006), manifiesta que “los hombres y las mujeres constituyen el elemento básico para que la organización pueda lograr sus objetivos. La eminente dignidad de las personas nunca debe perderse en el proceso de alcanzar los objetivos de una organización”. Como lo explican Calderón, Naranjo y Álvarez (2010), solo mediante una cuidadosa atención a las necesidades humanas puede crecer y prosperar la organización, manifestando los autores que la relación persona-organización se constituye en un factor fundamental en la organización, siendo esta el escenario propicio donde la persona encuentra la posibilidad de realizar una de las actividades trascendentes del ser humano: el trabajo.
Conectando lo anterior, con el desempeño laboral, es importante indicar que, para el éxito de las instituciones, el recurso humano juega un papel trascendental. En esta realidad, su desempeño deberá ser óptimo; sin embargo, en los países en vías de desarrollo, falta aún mucho por gestionar, empezando con las oportunidades de desarrollo personal que tengan dentro de la propia institución.
En este sentido, afirma Flores (2010: 13) que la calidad en las relaciones dentro del ámbito laboral, es decir, el trato que reciben las personas y las oportunidades de crecimiento y desarrollo, son algunos de los principales factores de atracción y retención que consideran las empresas como parte de sus estrategias en el manejo de los recursos humanos
Resultando importarte la consideración del término desempeño laboral, el cual se asume como el conjunto de acciones o comportamientos observados en los empleados que son relevantes al logro de los objetivos de la organización (Chiavenato, 2007). En efecto, afirma el autor, que un buen desempeño laboral es la fortaleza más relevante con la que cuenta una organización.
Para Wayne y Robert (2005), la gestión del desempeño determina el nivel de calidad con el que los empleados y los equipos desempeñan sus funciones; se asume como el desenvolvimiento de cada una de las personas o individuos, el cual debe estar ajustado a las exigencias y requerimientos de la empresa, de tal manera que sea eficiente, eficaz y efectivo en el cumplimiento de las funciones que se le asignen para el alcance de los objetivos propuestos, consecuente al éxito de la organización (Palmar y Valero, 2014).
Bohlander (2003), afirma que el desempeño laboral es la eficiencia con la cual el personal cumple sus funciones dentro de una organización”, es decir el empeño que el trabajador pone para realizar sus funciones dentro de la organización orientado hacia el éxito de ella, siendo responsable y cumpliendo con lo indicado en su rol dentro de la empresa, para su propio beneficio. Es decir, es la capacidad de trabajo que realiza en una institución y que tienen un conjunto de metas que cumplir con responsabilidad, eficiencia.
Estos planteamientos, se complementan con el proceso de evaluación, como la valoración misma de la actuación de cada persona en función de las actividades que desempeña, las metas y los resultados que debe alcanzar. La evaluación, representa acciones y comportamientos observados en los empleados que son relevantes para los objetivos de la organización y que pueden ser medidos en términos de las competencias de cada individuo y su nivel de contribución a la empresa (García y Ruiz, 2002).
Para promover y modernizar la gestión en aras de la mejora de la calidad del servicio y de los resultados obtenidos, requiere contar con colaboradores motivados y un plan de seguimiento y control y optimizar las operaciones. Sin embargo, se destaca el desempeño laboral es una variable “multi causal en la que intervienen factores internos y externos” que deben ser reconocidos y gestionados de manera que contribuyan al éxito esperado de la gestión (Carbajal, 2011).
3. Gestión pública: un esbozo de la realidad del Perú
Para Heredia (1985), la gestión es la acción y efecto de realizar tareas con cuidado, esfuerzo y eficacia que conduzcan a una finalidad. Consiste en el manejo adecuado de los recursos de la institución, abarcando un conjunto de acciones o actividades, enfocado en el eficiente uso de los recursos de la organización para una gestión eficaz.
En este sentido, la acción gestionar, como acción integral, es entendida como un proceso de trabajo y organización en el que coordinan diferentes miradas, perspectivas y esfuerzos, para avanzar eficazmente hacia objetivos asumidos institucionalmente y que desearíamos que fueran adoptados de manera participativa y democráticamente por todos los integrantes de la organización (Villamayor y Lamas, 1998).
Cuando se precisa la gestión en el ámbito público, las actividades se orientan al logro de las metas; a través del cumplimiento y la óptima aplicación del proceso administrativo: planificar, organizar, dirigir y controlar (Corominas, 1995), lo cual aplicado al sector público, se complementa con la definición emitida por la Ley General del Sistema Nacional de Control, la cual define la gestión pública, como el conjunto de acciones mediante las cuales las entidades tienden al logro de sus fines, objetivos y metas, los que están enmarcados por las políticas gubernamentales establecidas por el Poder Ejecutivo.
Una eficiente gestión pública permite una mejor atención a los ciudadanos. Todos los procesos que se tienen que gestionar adecuadamente en las instituciones públicas, implican que su producto “servicio” llegue a los ciudadanos y “este” quede plenamente satisfecho con el servicio y la atención prestada.
En este sentido, para Uvalle (2004: 2), la relevancia de la gestión pública tiene como sustento la relación con las capacidades que las instituciones gubernamentales tienen para asegurar las libertades modernas, la democracia política, la calidad de vida y el bienestar continuo. Su relevancia permite situar, que sin resultados favorables de la acción de gobierno, no es posible que los ciudadanos tengan confianza en él mismo. Lo que un gobierno realiza o no, alude de modo directo a la gestión pública, ya que es el eje de las políticas públicas.
En la realidad peruana, afirma Valeriano (2012), que para garantizar el desarrollo de la economía en el Perú, es necesario mantener la estabilidad en el sistema democrático, la alternancia del poder, la seguridad ciudadana, la independencia de los poderes del Estado, la libertad de prensa, la moralización en todos los niveles del sector público nacional, la administración de la justicia basada en el respeto en el ordenamiento jurídico y legal, contar con un sistema nacional de control transparente, etc. son los requisitos imprescindibles para garantizar una gestión pública eficaz, eficiente y efectiva.
En este sentido afirma el autor (Valeriano, 2012), que el éxito de la gestión pública comienza con el reclutamiento, selección, contratación e inducción de personas altamente calificadas para ocupar los puestos de trabajo; pues estas se constituirán en la base del éxito, a la vez que son corresponsables de la modernización de la administración pública.
En el caso particular del Perú, las acciones administrativas emprendidas, deben ser contextualizadas en un contexto de realidad institucional; no basta con tener las normas y directivas macros, es necesario considerar la realidad local, para lograr asegurar una gestión adecuada. Al respecto, Zambrano (2008:148), indica que cada vez más se demuestra que el desarrollo, en el marco del proceso de globalización depende, entre otros elementos, de pensar globalmente y actuar localmente. Esto aunado a los procesos de descentralización y desconcentración, se constituyen en aspectos claves para impulsar el desarrollo armónico con la participación activa y determinante de los actores de las regiones y localidades, entre ellos la participación del ciudadano.
Con ello, se suma el Servicio Civil, el cual, en el caso de la realidad peruana, se asume como las orientaciones hacia la mejora de la calidad y oportunidad de los servicios ofrecidos por instancias públicas a la ciudadanía. En el Perú, adoptar el servicio civil, busca mejorar el desempeño de los servidores públicos, mediante la profesionalización, e instauración del principio de mérito y el ordenamiento de las normas que rigen los deberes y derechos de los servidores. Implica trabajar al servicio del Estado, es decir, que las instituciones, las cuales se valen de personas, se apoyen en verdaderos servidores públicos, con carácter de servicio a la ciudadanía.
En este orden de ideas, en el Perú, desde 1937 son varias las entidades que han estado encargadas de la gestión de los servidores públicos a nivel del gobierno central y del marco legal relativo a la gestión del personal. Cabe destacar que desde 1990 se han implementado distintas iniciativas por parte del Estado dirigidas a ordenar el servicio civil peruano para, luego, describir los procesos de reforma en esta materia.
Con la vigencia de la Carta Magna el Perú de 1979, la carrera administrativa alcanzo rango constitucional y se otorgó el beneficio de estabilidad laboral para funcionarios y servidores públicos, también se estableció un régimen salarial homogéneo para todos los servidores públicos, estableciendo un organigrama para todo el sector público, disposición que se mantuvo con la Constitución de 1993.
El crecimiento de la deuda pública durante la década de los 80’s, y las políticas fiscales expansivas ocasionaron una crisis económica que obligo a redefinir el rol del Estado, y realizar un ajuste fiscal que requiere implementar un plan de estabilización macroeconómica, que incluía medidas en materia económica como la liberalización económica y las privatizaciones, mientras la principal acción en materia de empleo fue la flexibilización del mercado laboral.
Así, se requirió flexibilizar el mercado laboral, para lo cual se aprobó la “Ley de fomento del empleo” y su respectivo reglamento, cuyo objetivo fue reducir las rigideces del mercado laboral del Perú en materia de trabajo e incentivar una legislación flexible que permitiera un mayor acceso al trabajo.
Adicionalmente, se aprobaron un conjunto de reformas relacionadas a la administración del sector público, entre las que destaca la reducción de personal, el establecimiento de incentivos para renunciar, la necesidad de realizar evaluaciones de desempeño, el congelamiento de salarios (DL 20530), la suspensión de ascensos y cierre de la carrera administrativa.
En 1996, se delegaron facultades al Ejecutivo para legislar en materia de gestión pública, y realizar un proceso de modernización y reorganización del aparato estatal, con la finalidad de mejorar la gestión pública.
A pesar, de las reformas que venían realizándose, la ausencia de confianza en la administración pública por parte de la ciudadanía, la cual se explica por los elevados niveles de corrupción en el sector público, la falta de mecanismos de transparencia y control de la gestión, hicieron necesario una nueva reforma del servicio civil, como elemento fundamental para lograr la modernización y descentralización del Estado.
La promulgación de la “Ley de la Carrera Magisterial” en el 2007, tuvo como finalidad revertir la percepción negativa que tenía el Magisterio Público, y así mejorar su reconocimiento en la sociedad e impulsar una mejora en las remuneraciones de los profesores. Si bien, dicha norma permitía mejorar las remuneraciones y competencias, así como el aumentar la eficiencia y equidad de la carrera, sin embargo, estos cambios solo eran un evento aislado de reforma del estado
En el año 2008, se propuso fortalecer la gestión del Estado mediante la promulgación de una serie de normas vinculados con el servicio civil, estrategia que buscaba mejorar la eficacia y eficiencia del Estado, con la finalidad de facilitar la implementación del Tratado de Libre Comercio entre Perú y Estados Unidos.
En el mismo año, se aprobó y reguló el régimen especial de contratación administrativa de servicios, que reemplazaría a los contratos de servicios no personales. La principal diferencia entre ambos regímenes laborales consistía que los contratos bajo la modalidad de contratación CAS gozan de algunos derechos laborales como vacaciones, afiliación a ESSALUD y régimen pensionario, sin embargo, se estableció que es una modalidad contractual administrativa y no laboral.
Posteriormente, se legislo sobre la naturaleza del régimen especial CAS, aclarándose que este debe ser definido como un contrato laboral y no como un contrato administrativo, es decir, adquiría la connotación de un régimen laboral especial de la administración pública independiente de los demás regímenes laborales vigentes en el Estado, aplicable a todas las entidades de la administración pública, con excepción de las empresas del Estado.
4. Talento humano, desempeño laboral y mejoramiento en la gestión pública de la Administración central del Ministerio de Salud de Perú del Perú
Previo a los resultados planteados, es conveniente establecer la forma como fueron estructuradas y manejadas las variables consideradas en esta investigación. En función de ello, se establecen algunos cuadros (Cuadros 1, 2 y 3) en los que se incluye la información más resaltante atinente a cada una de ellas.
4.1. Prueba de hipótesis general
Ho: La gestión del talento humano no influye en el mejoramiento de la gestión pública y desempeño laboral de los trabajadores de la administración central del Ministerio de Salud – MINSA, 2018.
Ha: La gestión del talento humano influye en el mejoramiento de la gestión pública y desempeño laboral de los trabajadores de la administración central del Ministerio de Salud – MINSA, 2018.
En la Tabla 1 y 2 la información pruebas de la razón de verosimilitud indica que el modelo en su conjunto es de utilidad en la predicción de la probabilidad de ocurrencia de las categorías recogidas en la variable dependiente. En efecto, el valor del modelo empírico a la que se aproxima la razón de verosimilitud es de 1696,272 para la gestión del talento humano y 1510,374 para la variable gestión pública con 1 grado de libertad. y su significancia es plena (p=0.000 para ambos casos), resultados estos que hacen rechazar la hipótesis nula de que todos los coeficientes del modelo a excepción de la constante son cero con una probabilidad de error del 5%.
De acuerdo con la Tabla 3 y 4, la información de ajuste de los modelos indican que la significancia del modelo es menor a 0.05. (p=0.000), para ambos casos, lo que implica que el modelo es adecuado para el ajuste de los datos.
De acuerdo con la Tabla 5 el pseudo r cuadrado nos indica que el modelo está asociado con la variable dependiente con una significatividad de p = 0.000, para ambos casos y que las la fuerza de la covariables estudiadas (gestión del talento humano) permite predecir las variables dependientes (gestión pública y desempeño laboral). Así. Cox y Snell indica que el índice es de 0,444. Nagelkerke indica que el índice es de 0.444 y McFadden indica un índice de 0.074, para el caso de la gestión pública; Así. Cox y Snell indica que el índice es de 0,284. Nagelkerke indica que el índice es de 0.284 y McFadden nos indica un índice de 0.047, para el caso del desempeño laboral.



| Modelo | Logaritmo de la Chi-cuadrado gl verosimilitud -2 | Sig. | ||
| Sólo intersección | 1893,479 | |||
| Final | 1696,272 197,207 1 | ,000 | ||
| Función de enlace: Logit. Pruebas de la | Tabla 2 razón de verosimilitud desempeño laboral | |||
| Modelo | Logaritmo de la verosimilitud -2 | Chi-cuadrado gl | Sig. | |
| Sólo intersección | 1622,555 | |||
| Final | 1510,374 | 112,180 1 | ,000 | |
| Modelo | Logaritmo de la Chi-cuadrado gl verosimilitud -2 | Sig. | ||
| Sólo intersección | 1893,479 | |||
| Final | 1696,272 197,207 1 | ,000 | ||
| Función de enlace: Logit. Pruebas de la | Tabla 2 razón de verosimilitud desempeño laboral | |||
| Modelo | Logaritmo de la verosimilitud -2 | Chi-cuadrado gl | Sig. | |
| Sólo intersección | 1622,555 | |||
| Final | 1510,374 | 112,180 1 | ,000 | |
| Chi-cuadrado | gl | Sig. | |
| Pearson 12459,860 | 4354 | ,000 | |
| Desvianza 1276,203 | 4354 | 1,000 | |
| Función de enlace: Logit. Tabla 4 Información de ajuste de los | modelos | ||
| Chi-cuadrado | gl | Sig. | |
| Pearson | 3815,533 | 2947 | ,000 |
| Desvianza | 1095,851 | 2947 | 1,000 |
| Chi-cuadrado | gl | Sig. | |
| Pearson 12459,860 | 4354 | ,000 | |
| Desvianza 1276,203 | 4354 | 1,000 | |
| Función de enlace: Logit. Tabla 4 Información de ajuste de los | modelos | ||
| Chi-cuadrado | gl | Sig. | |
| Pearson | 3815,533 | 2947 | ,000 |
| Desvianza | 1095,851 | 2947 | 1,000 |
| Método | Gestión pública | Desempeño laboral |
| Valor | Valor | |
| Cox y Snell | ,444 | ,284 |
| Nagelkerke | ,444 | ,284 |
| McFadden | ,074 | ,047 |
El R2 de Nagelkerke comprueba que la eficacia predictiva de la probabilidad de ocurrencia de las categorías de la variable dependiente es de 44,0%. lo cual indica a su vez que el 56.0% restante viene explicado por las otras variables que no fueron incluidas en el
4.2. Prueba de hipótesis específica 1
Ho: La gestión del talento humano no influye en el mejoramiento de la gestión pública y desempeño laboral en la dimensión de reclutamiento en los trabajadores de la administración central del Ministerio de Salud – MINSA, 2018.
Ha: La gestión del talento humano influye en el mejoramiento de la gestión pública y desempeño laboral en la dimensión de reclutamiento en los trabajadores de la administración central del Ministerio de Salud – MINSA, 2018.
En la Tabla 6 el valor del modelo empírico a la que se aproxima la razón de verosimilitud es de 1110,868 para la planificación con 1 grado de libertad y su significancia es plena (p=0.000), por modelo, en el caso de gestión pública y 28,4% lo cual indica a su vez que el 71,6% restante viene explicado por las otras variables que no fueron incluidas en el modelo, en el caso del desempeño laboral.
lo que se rechaza la hipótesis nula de que todos los coeficientes del modelo a excepción de la constante son cero con una probabilidad de error del 5%.
De acuerdo con la Tabla 7, la información de ajuste de los modelos nos indica que la significancia del modelo es menor a 0.05. (p=0.000), lo que implica que el modelo es adecuado para el ajuste de los datos
| Modelo Logaritmo de la verosimilitud -2 Chi-cuadrado gl Sig. Sólo intersección 1244,397 Final 1110,868 133,528 1 ,000 Función de enlace: Logit. Tabla 7 Información de ajuste de los modelos Chi-cuadrado gl Sig. Pearson 1846,079 1607 ,000 Desvianza 738,092 1607 1,000 Función de enlace: Logit. |
De acuerdo con la Tabla 8 el pseudo r cuadrado nos indica que el modelo está asociado con la variable dependiente con una significatividad de p = 0.000 y que las la fuerza de la covariables estudiadas (gestión del talento humano) permite predecir las variables dependientes (reclutamiento). Así. Cox y Snell indica que el índice es de 0,328. Nagelkerke indica que el índice es de 0.329 y McFadden indica un índice de 0.068.
| Método | Valor |
| Cox y Snell | ,328 |
| Nagelkerke | ,329 |
| McFadden | ,068 |
El R2 de Nagelkerke comprueba que la eficacia predictiva de la probabilidad de ocurrencia de las categorías de la variable dependiente es de 32,9% lo cual indica a su vez que el 67,1% restante viene explicado por las otras variables que no fueron incluidas en el modelo.
4.3. Prueba de hipótesis específica 2
Ho: La gestión del talento humano no influye en el mejoramiento de la gestión pública y desempeño laboral en la dimensión de selección en los trabajadores de la administración central del Ministerio de Salud – MINSA, 2018.
Ha: La gestión del talento humano influye en el mejoramiento de la gestión pública y desempeño laboral en la dimensión de selección en los trabajadores de la administración central del Ministerio de Salud – MINSA, 2018.
En la Tabla 9 el valor del modelo empírico a la que se aproxima la razón de verosimilitud es de 1144,180 para la planificación con 1 grado de libertad. y su significancia es plena (p=0.000) por lo que se rechaza la hipótesis nula de que todos los coeficientes del modelo a excepción de la constante son cero con una probabilidad de error del 5%.
De acuerdo con la Tabla 10, la información de ajuste de los modelos nos indica que la significancia del modelo es menor a 0.05. (p=0.000), lo que implica que el modelo es adecuado para el ajuste de los datos.
| Modelo Logaritmo de la verosimilitud -2 Chi-cuadrado gl Sig. Sólo intersección 1237,885 Final 1144,180 93,705 1 ,000 Función de enlace: Logit. Tabla 10 Información de ajuste de los modelos Chi-cuadrado gl Sig. Pearson 1221,484 1473 1,000 Desvianza 779,781 1473 1,000 Función de enlace: Logit. |
De acuerdo con la Tabla 11 el pseudo r cuadrado nos indica que el modelo está asociado con la variable dependiente con una significatividad de p = 0.000 y que las la fuerza de la covariables estudiadas (gestión del talento humano) permite predecir las variables dependientes (selección). Así. Cox y Snell indica que el índice es de 0,243. Nagelkerke indica que el índice es de 0.244 y McFadden indica un índice de 0.048.
| Método | Valor |
| Cox y Snell | ,243 |
| Nagelkerke | ,244 |
| McFadden | ,048 |
El R2 de Nagelkerke comprueba que la eficacia predictiva de la probabilidad de ocurrencia de las categorías de la variable dependiente es de 24,2% lo cual indica a su vez que el 75,8% restante viene explicado por las otras variables que no fueron incluidas en el modelo.
4.4. Prueba de hipótesis específica 3
Ho: La gestión del talento humano no influye en el mejoramiento de la gestión pública y desempeño laboral en la dimensión de capacitación en los trabajadores de la administración central del Ministerio de Salud – MINSA, 2018.
Ha: La gestión del talento humano influye en el mejoramiento de la gestión pública y desempeño laboral en la dimensión de capacitación en los trabajadores de la administración central del Ministerio de Salud – MINSA, 2018.
En la Tabla 12 el valor del modelo empírico a la que se aproxima la razón de verosimilitud es de 1085,562 para la planificación con 1 grado de libertad. y su significancia es plena (p=0.000) por lo que se rechaza la hipótesis nula de que todos los coeficientes del modelo a excepción de la constante son cero con una probabilidad de error del 5%.
De acuerdo con la Tabla 13, la información de ajuste de los modelos nos indica que la significancia del modelo es menor a 0.05. (p=0.000), lo que implica que el modelo es adecuado para el ajuste de los datos.
| Chicuadrado | gl | Sig. | |
| Pearson | 6239,081 | 1473 | ,000 |
| Desvianza | 734,287 | 1473 | 1,000 |
| Modelo Logaritmo de la verosimilitud -2 Chi-cuadrado Gl Sig. Sólo intersección 1220,904 Final 1085,562 135,342 1 ,000 Función de enlace: Logit. |
De acuerdo con la Tabla 14 el pseudo r cuadrado nos indica que el modelo está asociado con la variable dependiente con una significatividad de p = 0.000 y que las la fuerza de la covariables estudiadas (gestión del talento humano) nos permite predecir las variables dependientes (capacitación). Así, Cox y Snell indica que el índice es de 0,332, Nagelkerke indica que el índice es de 0.333 y McFadden nos indica un índice de 0.071.
| Método | Valor |
| Cox y Snell | ,332 |
| Nagelkerke | ,333 |
| McFadden | ,071 |
El R2 de Nagelkerke comprueba que la eficacia predictiva de la probabilidad de ocurrencia de las categorías de la variable dependiente es de 33,3%, lo cual indica a su vez que el 66,7% restante viene explicado por las otras variables que no fueron incluidas en el modelo.
4.5. Prueba de hipótesis específica 4
Ho: La gestión del talento humano no influye en el mejoramiento de la gestión pública y desempeño laboral en la dimensión de recompensa en los trabajadores de la administración central del Ministerio de Salud – MINSA, 2018.
Ha: La gestión del talento humano influye en el mejoramiento de la gestión pública y desempeño laboral en la dimensión de recompensa en los trabajadores de la administración central del Ministerio de Salud – MINSA, 2018.
En la Tabla 15 el valor del modelo empírico a la que se aproxima la razón de verosimilitud es de 983,878 para la planificación con 1 grado de libertad, y su significancia es plena (p=0.000) por lo que se rechaza la hipótesis nula de que todos los coeficientes del modelo a excepción de la constante son cero con una probabilidad de error del 5%.
De acuerdo con la Tabla 16, la información de ajuste de los modelos nos indica que la significancia del modelo es menor a 0.05. (p=0.000), lo que implica que el modelo es adecuado para el ajuste de los datos.
| Chi-cuadrado | gl | Sig. |
| Pearson 1816,636 | 1071 | ,000 |
| Desvianza 654,843 | 1071 | 1,000 |
De acuerdo con la Tabla 17 el pseudo r cuadrado nos indica que el modelo está asociado con la variable dependiente con una significatividad de p = 0.000 y que las la fuerza de la covariables estudiadas (gestión del talento humano) permite predecir las variables dependientes (recompensa). Así. Cox y Snell indica que el índice es de 0,348. Nagelkerke indica que el índice es de 0.350 y McFadden indica un índice de 0.080
| Método | Valor |
| Cox y Snell | ,348 |
| Nagelkerke | ,350 |
| McFadden | ,080 |
| Modelo Logaritmo de la verosimilitud -2 Chi-cuadrado Gl Sig. Sólo intersección 1127,742 Final 983,878 143,864 1 ,000 Función de enlace: Logit. |
dependiente es de 35,0% lo cual indica a su vez que el 65,0% restante viene explicado por las otras variables que no fueron incluidas en el modelo.
4.6. Prueba de hipótesis específica 5
Ho: La gestión del talento humano no influye en el mejoramiento de la gestión pública y desempeño laboral en la dimensión de evaluación en los trabajadores de la administración central del Ministerio de Salud – MINSA, 2018.
Ha: La gestión del talento humano influye en el mejoramiento de la gestión pública y desempeño laboral en la dimensión de evaluación en los trabajadores de la administración central del Ministerio de Salud – MINSA, 2018.
En la Tabla 18 el valor del modelo empírico a la que se aproxima la razón de verosimilitud es de 1067,328 para la planificación con 1 grado de libertad, y su significancia es plena (p=0.000). por lo que se rechaza la hipótesis nula de que todos los coeficientes del modelo. a excepción de la constante. son cero. con una probabilidad de error del 5%.
De acuerdo con la Tabla 19, la información de ajuste de los modelos nos indica que la significancia del modelo es menor a 0.05. (p=0.925), lo que implica que el modelo es adecuado para el ajuste de los datos.
| Chi-cuadrado | gl | Sig. | |
| Pearson | 1396,398 | 1473 | ,923 |
| Desvianza | 715,790 | 1473 | 1,000 |
De acuerdo con la Tabla 20 el pseudo r cuadrado nos indica que el modelo está asociado con la variable dependiente con una significatividad de p = 0.000 y que las la fuerza de la covariables estudiadas (desempeño laboral) permite predecir las variables dependientes (evaluación). Así. Cox y Snell indica que el índice es de 0,318. Nagelkerke indica que el índice es de 0.319 y McFadden indica un índice de 0.068.
El R2 de Nagelkerke comprueba que la eficacia predictiva de la probabilidad de ocurrencia de las categorías de la variable dependiente es de 31,9% lo cual indica a su vez que el 68,1% restante viene explicado por las otras variables que no fueron incluidas en el modelo.
| Método | Valor |
| Cox y Snell | ,318 |
| Nagelkerke | ,319 |
| McFadden | ,068 |
| Modelo Logaritmo de la verosimilitud -2 Chi-cuadrado gl Sig. Sólo intersección 1195,938 Final 1067,328 128,610 1 ,000 Función de enlace: Logit. |
En relación a los resultados estadísticos obtenidos luego de la contrastación de la hipótesis general que indica que la gestión del talento humano influye en el mejoramiento de la gestión pública y desempeño laboral de los trabajadores de la administración central del Ministerio de Salud – MINSA, 2018, donde la prueba de verosimilitud de ambas variables dependiente indica la significancia de 0,000; además, la información de ajuste de modelo indica que ambos son adecuados; y el índice de Nagelkerke con una influencia de 44,4% sobre la variable mejoramiento de la gestión pública y 28,4% sobre la variable desempeño laboral.
Los resultados reflejan en cada una de las dimensiones que corresponden al desempeño laboral como lo son el reclutamiento (32.9%), la selección (24.4%), la capacitación (33.3%), la recompensa (35.0%) y la evaluación con 31.9%. Todo ello corrobora lo planteado por Chiavenato, puesto que existen muchas variables administrativas que se relacionan entre sí; más aún que unas tienen efecto sobre otras; igualmente afirmando lo propuesto por Palmar y Valero; siendo que como se ha demostrado en la presente investigación la gestión del talento humano incide tanto en la variable administrativa desempeño laboral como la gestión pública en su sentido más amplio.
En síntesis, la gestión del talento humano influye en el mejoramiento de la gestión pública en la dimensión selección de los trabajadores de la administración central del Ministerio de Salud – MINSA, 2018, donde la prueba de verosimilitud de ambas variables dependiente indica la significancia de 0,000; además, la información de ajuste de modelo indican que ambos son adecuados; y el índice de Nagelkerke indica la influencia de 44,4% sobre la variable mejoramiento de la gestión pública y 28,4% sobre la variable desempeño laboral.
La gestión del talento humano influye en el mejoramiento de la gestión pública, en la dimensión capacitación de los trabajadores de la administración central del Ministerio de Salud – MINSA, 2018, donde la prueba de verosimilitud de la variable dependiente nos indica la significancia de 0,000; además, la información de ajuste de modelo nos indica que son adecuados; y el índice de Nagelkerke, indicando una influencia de 33.3% sobre la variable mejoramiento de la gestión pública dimensión planificación.
Por otro lado, la gestión del talento humano influye en el mejoramiento de la gestión pública en la dimensión recompensa de los trabajadores de la administración central del Ministerio de Salud – MINSA, 2018, donde la prueba de verosimilitud de la variable dependiente nos indica la significancia de 0,000; además, la información de ajuste de modelo nos indica que son adecuados; y el índice de Nagelkerke indica la influencia de 35.0% sobre la variable mejoramiento de la gestión pública dimensión planificación.
Finalmente, la gestión del talento humano influye en el mejoramiento de la gestión pública en la dimensión evaluación de los trabajadores de la administración central del Ministerio de Salud – MINSA, 2018, donde la prueba de verosimilitud de la variable dependiente indica la significancia de 0,000; además, la información de ajuste de modelo indica que son adecuados; y el índice de Nagelkerke que la influencia de 31.0% sobre la variable mejoramiento de la gestión pública dimensión planificación.
5. Reflexiones finales
En la actualidad, se está viviendo en un mundo de grandes cambios; ello implica replantear las diversas formas de gestionar las organizaciones y en particular las instituciones públicas. Sociedad con grandes transformaciones desde todo punto de vista: estructurales, económicas, sociales y culturales, evidencian de manera vertiginosa su complejidad sin precedentes; lo que hace que bajo está nueva realidad, el talento humano, así como sus líderes, encaminen sus esfuerzos de preparación hacia la performatividad y la competitividad.
Bajo esta perspectiva, quienes se desempeñan como líderes deben ser accesibles y manejarse con principios éticos, equidad y justicia social. Por ello, en este contexto cobra importancia la gestión del talento humano, como herramienta para mejorar variables administrativas, estando conscientes que el desempeño del talento humano tiene incidencia directa en la eficiencia y funcionamiento correcto de las organizaciones, y en este caso en particular, organizaciones del área de la gestión pública, específicamente la administración central del Ministerio de Salud – MINSA, diversas corrientes enfocan que una adecuada gestión del talento humano, incide en el desempeño eficiente de otras variables como es el caso del desempeño y el mejoramiento de la gestión pública.
Referencias Bibliográficas
Abascal, Elena y Grande Alfonso (2005), Análisis de encuestas. ESIC Editorial. ISBN: 9788473564205.
Arenas, Alberto y Berner, Heidi (2010), Presupuesto por resultados y la consolidación y control de gestión del Gobierno Central. Santiago Chile: Dirección de Presupuestos del Ministerio de Hacienda. Recuperado en: https://bit.ly/2Mzv5Hy.
Bohlander, George (2003), Administración de recursos humanos. Madrid; España: International Thomson Editore.
Belkys, Suárez (2011). Dilemas de la gestión del talento humano en el ámbito empresarial. Observatorio Laboral Revista Venezolana. Vol. 4, Nº 7, enero-junio,2011: 91-102. Universidad de Carabobo. ISSN: 1856-9099. Recuperado de: http://www.redalyc. org/articulo.oa?id=219022147006
Bravo, Sierra (1988), Técnicas de investigación Social. Teoría y Ejercicios. Paraninfo, Madrid. 306
Calderón, García., Naranjo, Javier. y Álvarez, Carlos (2010), La Gestión Humana en Colombia: características y tendencias de la práctica y de la investigación. Informe de Estudio, Universidad Nacional de Colombia, Manizales, Colombia.
Carnota, Orlando (1991), La planificación en las organizaciones. Recuperado de: https://sparmas80.files.wordpress.com/2010/02/planificacionen-organizaciones.pdf
Carbajal, Sandra (2011). Relación en las percepciones del estilo de liderazgo del jefe inmediato con el desempeño laboral de los estudiantes en práctica de la Universidad ICESI. Estudios Gerenciales, vol. 27, núm. 118, eneromarzo, 2011, pp. 67-84 Universidad ICESI Cali, Colombia. Recuperado de: http://www.redalyc.org/articulo. oa?id=21218556003
Carrasco, Sergio (2006), Metodología de la Investigación Científica. San Marcos, Lima-Perú.
Cerna, Juan (2006), Aspectos básicos en la gestión del Talento. Recuperado de: http://repositorio.ute.edu.ec/bitstream/123456789/12791/1/58599_1.pdf
Chiavenato, Idalberto (2002), Gestión del Talento Humano. México: Editorial McGraw – Hill. Interamericana. Bogotá: Editorial Practice Hill. Recuperado en: https://bit.ly/2lC4XAm
Chiavenato, Idalberto (2002), Gestión del Talento Humano. México: Editorial McGraw – Hill. Interamericana. Bogotá: Editorial Practice Hill.
Chiavenato, Idalberto (2007), Administración de Recursos Humanos. El capital humano en las organizaciones. (8a ed.), México. McGrawHill, Interamericana. Recuperado en: https://bit.ly/2N8BNoS
Chiavenato, Idalberto (2008), Gestión del Talento Humano. (3a ed.) Recuperado de: https://bit.ly/2JaKYGY
Corominas, Joan (1995), Breve Diccionario etimológico de la Lengua Castellana (2da ed.). Madrid: Editorial Gredos.
Eslava, Edgar (2004), Gestión del Talento Humano en las organizaciones. Recursos humanos blog. Recuperado en: https://bit.ly/2tukrdY
Flores, Ricardo (2010), Género, Sociabilidad, Dependientes Económicos y Desempeño Laboral como Determinantes de Promociones: Experimento con Ejecutivos Jóvenes. Conciencia Tecnológica 2010. Recuperado: http://www.redalyc. org/articulo.oa?id=94415753003
García, Carmen y Ruiz Eugenio (2002), Formación para el desempeño de la dirección en centros escolares. Santander: ANPE-Cantabria.
Heredia, De (1985), Dirección Integrada de Proyecto - DIP – Project Management (2da. ed.). Madrid: Alianza Editorial.
Hernández, Roberto; Fernández, Carlos y Baptista, Pilar (2014), Metodología de la investigación. Ciudad de México: Edansa.
Koontz, Harold y Weihrich, Heinz (2004), Administración: una perspectiva global. 12ª ed. México. MX: McGrawHill. 804p. ISBN. 970-10-3949-1.
Koontz, O’Donnell (1990), Administración (Novena ed.). Mexico: MCGraw Hill.
Mejía, Elías; Novoa, Eliana; Villagómez, Alberto y Ñaupas, Humberto (2013), Metodología de la investigación. Tercera edición: Perú, 2013Cuarta edición: Bogotá, Colombia, abril de 2014ISBN 978-958-762-188-4
Murillo, Zarahi; Castro, María; Solís, Brenda y Ronquillo, Tania (2011), Enfoques cuantitativo y cualitativo de la investigación en Ciencias Sociales. México 2011. Recuperado de: https:// goo.gl/6mne6Y
Palmar Rafael y Valero Jhoan (2014), Competencias y desempeño laboral de los gerentes. Públicos, vol. 17, núm. 39, enero-abril, 2014, pp. 159-188. Universidad Autónoma del Estado de México. Recuperado de: http://www. redalyc.org/pdf/676/67630574009. pdf
Pérez Mayo, Vázquez García y Levín Kosberg (2014), El control de gestión y el talento humano: conceptos y enfoques. Universidad & Empresa. ISSN-e: 2145-4558. ISSN: 01244639. Universidad del Rosario. recuperado de: https://revistas.urosario. edu.co/index.php/empresa/article/ view/4559/3248
Ramos, Luz y Albitres Rosario (2010), Sistema de gestión para resultados en el Perú. Recuperado de: http:// cybertesis.uni.edu.pe/bitstream/ uni/216/1/albitres_cr.pdf
Servicio Civil (2012), El Servicio Civil Peruano Antecedentes, Marco Normativo Actual y Desafíos Para La Reforma. Perú.
Tamayo, Mario (2007), El proceso de la investigación científica. Editorial Limusa. S.A. de grupo Noriega editores, Balderas 95, México, DF. Tercera Reimpresión de la Cuarta edición hecho en México.
Tamayo, Mario (2007), El proceso de la investigación científica. Editorial Limusa. S.A. de grupo Noriega editores, Balderas 95, México, DF. Tercera Reimpresión de la Cuarta edición hecho en México.
Uvalle, Ricardo (2004), El valor institucional de la gestión pública. Revista Venezolana de Gerencia 2004, 9 (28). Recuperado de: http://www.redalyc. org/articulo.oa?id=29092807
Valeriano, Luis (2012), La modernización de la gestión Pública en el Perú. Revista de Investigación de la facultad de Ciencias administrativas, UNMS (vol. 15, N° 30, Lima, diciembre 2012).
Vílchez, Javier (2011), Estadística para Investigadores en Ciencias Sociales y de Salud. Perú. Carvill. S.A. Editores.
Villamayor, Claudia y Lamas, Ernesto (1998), Gestión de la radio comunitaria y ciudadanía. AMARC.
Wayne, Robert y Sánchez, Carrión (2005), Administración de recursos humanos. México: Pearson.
Zambrano, Adalberto (2008), Teoría para mejorar la gestión pública. Revista de Artes y Humanidades UNICA ISSN: 1317-102X revista@unica. edu.ve. Universidad Católica Cecilio Acosta. Venezuela. Recuperado de: http://www.redalyc.org/articulo. oa?id=170118859008.