Artículo
Conexiones Intramatemáticas y Extramatemáticas que se producen al Resolver Problemas de Cálculo en Contexto: un Estudio de Casos en el Nivel Superior
Intra-Mathematics and Extra-Mathematics Connections that Occur When Solving Calculus Problems in a Context: a Case Study in Higher Level Education
Conexiones Intramatemáticas y Extramatemáticas que se producen al Resolver Problemas de Cálculo en Contexto: un Estudio de Casos en el Nivel Superior
Bolema: Boletim de Educação Matemática, vol. 31, núm. 57, 2017
UNESP - Universidade Estadual Paulista, Pró-Reitoria de Pesquisa; Programa de Pós-Graduação em Educação Matemática
Recepción: Abril 2016
Aprobación: Octubre 2016
Resumen: En el presente artículo se reporta una investigación cuyo objetivo fue idenjpgicar las conexiones que un grupo de estudiantes universitarios establecen al resolver problemas en contexto. Estos problemas pueden resolverse utilizando la relación entre la derivada y la integral establecida en el Teorema Fundamental del Cálculo. Para idenjpgicar las conexiones adoptamos el marco teórico que al respecto plantea Businskas (2008). Como método de investigación utilizamos el estudio de casos y aplicamos un cuestionario integrado por cinco problemas, de cuyas soluciones obtuvimos los datos. Los datos indican que los estudiantes establecen conexiones extramatemáticas e intramatemáticas al resolver problemas en contexto, pero principalmente utilizan las de tipo procedimental y las representaciones diferentes, además notamos una fuerte conexión con sus conocimientos previos aprendidos en los niveles de educación precedentes al nivel superior.
Palabras clave: Conexiones matemáticas, Estudios de Caso, Teorema Fundamental del Cálculo, Nivel Universitario.
Abstract: This paper reported a research which aims to idenjpgy connections that a university student group established to solve problems in a context. These problems can be solved using the relationship between the derivative and integral established in the Fundamental Theorem of Calculus. To idenjpgy such connections, we adopted the theoretical framework proposed by Businskas (2008). As a research method, we used the case study and applied a questionnaire which included five problems, the solutions of which we obtained the data. The data indicate that students establish extra-mathematics and intra-mathematics connections when they solve problems in a context, but mainly used the procedural type and the different representations. We also noticed a strong connection with their prior knowledge learned in previous levels of education rather than at the university level.
Keywords: Mathematical Connections, Case Study, Fundamental Theorem of Calculus, University Level Education.
1 Introducción
Con la introducción del enfoque por competencias en la educación mexicana las conexiones matemáticas han cobrado mayor importancia. En el preuniversitario, los programas de matemáticas referentes al Cálculo Diferencial (SEP, 2013) sugieren: dejar de lado la memorización de temas desarticulados y promover el desarrollo de competencias en la resolución de problemas que tengan vinculación con la vida cotidiana. En efecto, las conexiones pueden ser extramatemáticas y presentarse en la resolución de problemas en contextos de la vida real, pero también pueden darse entre los mismos contenidos matemáticos, llamadas, también, conexiones intramatemáticas.
En el plano del aprendizaje, las conexiones permiten formar una visión de la matemática como un campo integrado y no como una colección de partes separadas, que es como la ven los estudiantes (EVITTS, 2004; MWAKAPENDA, 2008; JAUAN; LOIPHA, 2012). Mhlolo (2012) y, Eli, Mohr-Schroeder y Lee (2011, 2013) plantean que las conexiones matemáticas deben ser desarrolladas en los estudiantes porque les permitirían mejorar su compresión matemática y, pueden ser útiles para construir la generalización de ciertos tópicos matemáticos.
El presente trabajo adopta como objeto de estudio a las conexiones en la educación matemática. En particular, nos interesan las conexiones que los estudiantes pueden establecer cuando resuelven problemas en contexto, principalmente de la Física, pero que son resolubles utilizando el Teorema Fundamental del Cálculo (TFC). La pregunta de investigación que respondemos es: ¿qué conexiones establecen los estudiantes de nivel superior que han cursado y aprobado Cálculo Diferencial e Integral al resolver problemas en contexto? Como objetivo nos proponemos idenjpgicar esas conexiones que los estudiantes logren establecer.
2 Estado del arte
El estudio de las conexiones matemáticas tuvo un auge en la investigación desde que la National Council of Teachers of Mathematics (NCTM, 1991) las incorporó como parte de los estándares curriculares. Desde entonces, se han estudiado desde diversas perspectivas, así como en diferentes áreas de la Matemática (MHLOLO; VENKAT; SCHÄFER, 2012; JAIJAN; LOIPHA, 2012; MOON et al., 2013; ELI; MOHR-SCHROEDER; LEE, 2011, 2013; LOCKWOOD, 2011). Sin embargo, es exiguo el estudio de conexiones en el Cálculo.
No obstante, algunos estudios en el campo de la educación matemática reconocen la existencia de la conexión entre la derivada y la integral sin ser su objetivo principal (BERRY; NYMAN, 2003; HACIOMEROGLU; ASPINWALL; PRESMEG, 2010; SCHROEDER, 2011; SOFRONAS et al., 2011; KOUROPATOV; DREYFUS, 2013, 2014). De las metodologías propuestas para lograrlo, destacan las que proponen el manejo de distintas representaciones (MARRONGELLE, 2004; HOFFKAMP, 2011; MAMOLO; ZAZKIS, 2012; DAWKINS; MENDOZA, 2014; HONG; THOMAS, 2015) y las que promueven la modelación de situaciones en contexto (YOON; DREYFUS; THOMAS, 2010; KLYMCHUK et al., 2010; PARK J. et al., 2013; WEBER; TALLMAN; MIDDLETON, 2015). El uso de múltiples registros permite la obtención del significado de un objeto matemático, además de que la negociación del significado es inherente a la semiosis (PRESMEG, 2006).
No es objetivo de ninguna de las investigaciones revisadas estudiar la conexión entre derivada e integral, mediada por el TFC, aunque reconocen esa relación. Nuestro aporte contribuirá a cubrir este hueco relativo a la ausencia de investigaciones que estudien las conexiones en el campo del Cálculo.
3 Marco teórico
Businskas (2008) concibe a las conexiones matemáticas en dos sentidos. Por un lado, como aquellas relaciones sobre la base de las cuales está estructurada la matemática y son independientes del estudiante y, por otro lado, como las relaciones a través de las cuales, mediante los procesos del pensamiento se construye la matemática. Evitts (2004) es coincidente con esta última idea. Plantea que el conocimiento conectado se puede describir en términos de su construcción personal y significado, la multiplicidad de vínculos entre los conceptos y procedimientos, y el poder derivado de conocer las conexiones. De este modo los conceptos quedan constituidos por una red de definiciones y de propiedades que los relacionan (DE GAMBOA; FIGUEIRAS, 2014).
En este trabajo entendemos a las conexiones matemáticas en el sentido de Businskas. Dos tipos de conexiones generales son relevantes en nuestro trabajo: las intramatemáticas y las extramatemáticas. Las primeras se establecen entre conceptos, procedimientos, teoremas, argumentos y representaciones matemáticas entre sí. Según Businskas (2008), estas conexiones pueden ser de diversas tipologías, entre estas resaltamos las siguientes:
Representaciones diferentes: pueden ser: representaciones alternas o equivalentes. A es una representación alterna de B, si ambas están expresadas en dos formas diferentes (verbal-algebraica, algebraica-geométrica etc.). En cambio, A es una representación equivalente de B cuando ambas están expresadas en dos formas diferentes, pero dentro de una misma representación. Por ejemplo, f (x) = x2 + 2x + 1 y f (x) = (x + l)2 son representaciones equivalentes en el registro algebraico.
Inclusión: A es incluido en (es un componente de) B; B incluye (contiene) A. Esta es una relación jerárquica entre dos conceptos. Por ejemplo, un punto es parte de una recta o una recta se compone de una infinidad de puntos.
Procedimiento: A es un procedimiento usado cuando trabajamos con un objeto B. Por ejemplo, utilizar la fórmula para encontrar la pendiente de una recta.
Además de las anteriores, nosotros añadimos, en esta tipología, la siguiente:
Conexión entre conceptos matemáticos: esta tipología contribuye a la concepción de las matemáticas como un todo integrado (EVITTS, 2004). Se idenjpgica cuando un estudiante relaciona un concepto A con uno B, ya sea para argumentar su repuesta ante un problema dado, o bien, para explicar un concepto C.
Por otra parte, las conexiones extramatemáticas establecen una relación de un concepto o modelo matemático con un problema en contexto (no matemático) o viceversa. Incluyen las conexiones entre contenidos matemáticos con otras disciplinas curriculares y con situaciones de la vida diaria. En esta tipología reconocemos la siguiente conexión:
Conexión de modelado: puede ser caracterizada por la interacción de la información del mundo real con una representación matemática apropiada (EVITTS, 2004). Se presenta cuando el estudiante, partiendo de un problema en contexto, construye un modelo matemático para darle solución. Una vez construido el modelo, hace uso de diversos conocimientos (matemáticos o no) y ejecuta diversas acciones (algebraicas, gráficas etc.) para llegar a una respuesta coherente a la situación planteada.
Las categorías anteriores y las relaciones entre ellas se ilustran en la Figura 1, estas nos sirvieron como base conceptual para analizar las producciones de los estudiantes.
4 Metodología
La presente investigación es exploratoria (HERNANDEZ; FERNÁNDEZ; BAPTISTA, 2010), dado que se realiza sobre un tema poco estudiado como es la conexión en el Cálculo. Para colectar los datos utilizamos el método estudio de casos (YIN, 2014). El estudio se hizo por la siguiente ruta metodológica: diseño y validación del instrumento, selección de los casos de estudio, aplicación y análisis de datos.
El instrumento de exploración fue un cuestionario en el que se plantearon cinco problemas en contexto, principalmente de la Física, y cuya solución podía ser encontrada utilizando herramientas del Cálculo, particularmente el Teorema Fundamental del Cálculo. En los cuatro primeros la información se ofrece en una gráfica y, en el último, el fenómeno se representó algebraicamente. Este cuestionario se validó con un grupo de estudiantes de la Licenciatura en Matemáticas que habían cursado Cálculo Diferencial e Integral. Con base en las observaciones generadas, se hicieron los cambios pertinentes con la finalidad de que el cuestionario final fuera entendible y propiciara las respuestas útiles para la investigación.
Los casos de estudio fueron siete estudiantes de entre 21 y 24 años de edad, que cursaban el octavo semestre de la Licenciatura en Matemáticas (seis del área de Matemática Educativa y uno de Matemáticas Básicas). Esta elección se hizo atendiendo dos criterios: primero, que los estudiantes hubieran cursado y aprobado Cálculo Diferencial e Integral y, segundo, que estuvieran dispuestos a colaborar en la presente investigación, es decir, participaran de manera voluntaria en el estudio. Los participantes que, en adelante nos referimos a ellos como: E1, E2, …, E7, habían cursado Cálculo Diferencial e Integral en los cuatro primeros semestres y, en los siguientes, tres tuvieron cursos avanzados como Algebra (lineal y moderna), Geometría Moderna y Ecuaciones Diferenciales, es decir, asignaturas donde hicieron uso frecuente del Cálculo y del TFC.
Los participantes respondieron el cuestionario en forma individual, con una duración aproximada de 100 minutos. Se les dio tiempo suficiente con la finalidad de obtener respuestas que evidenciaran las conexiones establecidas por los estudiantes de manera genuina, además en ningún momento se les dijo que debían usar la derivada, la integral o el TFC para solucionar los problemas.
5 Análisis de los datos
Las producciones escritas de los estudiantes (respuestas al cuestionario) primero fueron escaneadas y organizadas en una matriz en Excel. Después, fueron analizadas caso por caso, sobre la base de nuestro marco teórico. Este análisis se hizo atendiendo sólo a las respuestas de los estudiantes en el cuestionario suministrado. Enseguida, describimos los resultados obtenidos.
5.1 Problema 1. Cálculo de la distancia
En este problema se presenta la gráfica que describe el movimiento de un cuerpo (Figura 2) y se pide calcular la distancia que recorre entre t = 5 segundos y t = 20 segundos.

La función (v(t)=60) que describe la velocidad del cuerpo es constante, por ello, la respuesta puede obtenerse incluso sin utilizar Cálculo, tal como lo hacen la mayoría de los casos en estudio. En la resolución de este problema idenjpgicamos las siguientes conexiones:
Conexión de modelado: se idenjpgicó en las producciones de E2 y E3; ambos se dan cuenta que la distancia solicitada se puede obtener utilizando como modelo matemático la Integral Definida (Figura 3). De esta forma, conectan la obtención de la distancia (que tiene un sentido físico) con la integral de la función velocidad que tiene un sentido matemático. Luego, relacionan el resultado matemático (obtenido después de aplicar el TFC) con el contexto físico del problema, cuando escriben que la distancia recorrida por el cuerpo desde t = 5 hasta t = 20 segundos es de 900 m.

Conexión entre conceptos: los siete estudiantes obtienen resultados correctos para el problema planteado. Por sus producciones se infiere que establecen algunas conexiones (implícitas y explicitas) entre conceptos matemáticos y físicos. Por ejemplo, E1, E3, E4, E5 y E6 utilizan el concepto de velocidad a través de la fórmula aprendida en la educación básica (v=d/t de donde obtienen que d=vt) y que normalmente es contenido curricular de la asignatura de Física; relacionando esto con el concepto de la operación multiplicación de números reales que es un contenido matemático particular. En cambio, E2 y E3 (éste último utiliza dos vías de solución) evidencian, en sus producciones, la conexión de conceptos como: la distancia recorrida con la integral definida, los elementos de una integral definida, las reglas de integración y el uso del TFC.
Representaciones diferentes: la conexión de representaciones alternas se idenjpgica en las producciones de E1, E2 y E3. El transita de una representación gráfica (que describe el movimiento del cuerpo) a una descripción escrita (Figura 4), mientras que E2 y E3 relacionan la gráfica con su representación algebraica (aunque E2 la escribe como l(t) = 60 y E3 como v(t) = 60) (Figura 5). Por otra parte, el mismo E2 conecta la distancia recorrida en un intervalo de tiempo con la idea de integral definida (registro algebraico) (Figura 5).


Procedimiento: esta conexión se idenjpgica en las producciones de los siete estudiantes. E1, E3, E5 y E6 emplean como procedimiento la fórmula v = d/t; despejando obtienen: d = vt, donde t = tf – ti; sustituyendo los datos y operando obtienen el resultado: 900 m. A diferencia de los demás, E4 calcula la distancia recorrida cuando han transcurrido 5 y 20 segundos por separado y resta esos resultados (Figura 6). En cambio, E2 y el mismo E3 (usa dos procedimientos distintos) recurren al uso del TFC como medio para calcular la distancia recorrida por el cuerpo desde t = 5 a t = 20 (ver Figura 3).

Finalmente, E7 para calcular la distancia entre t = 5 y t = 20 utiliza la gráfica dada en el problema, pero como procedimiento obtiene el área del rectángulo por él delimitada como un producto de sus lados. Algo que no hacen los otros seis estudiantes.
5.2 Problema 2. Cálculo de la cantidad de agua que se fuga
Se presenta una gráfica que describe la razón a la que se fuga el agua de un tanque, se pide calcular la cantidad de agua que se escapa en las primeras 4 horas (Figura 7). Las conexiones encontradas al resolver tal problema se describen a continuación:

Conexión de modelado: esta se idenjpgica en las producciones de E5 y E6. E5 relaciona el problema de la cantidad de agua que se ha fugado (contexto físico) con el problema del área bajo la curva (contexto matemático), y este último lo reduce al cálculo de áreas de un rectángulo y de un triángulo. Expresa su resultado en el contexto en el que se plantea el problema, cuando escribe que el resultado es 300 l, donde l indica litros (Figura 8). En cambio, E6 relaciona el problema de la cantidad de agua fugada con el área bajo la curva y la asocia a un modelo matemático (integral definida) que le permite obtener la solución (Figura 9).


Conexión entre conceptos: en las producciones de los estudiantes se infiere la conexión entre conceptos en E1, E4, E5 y E6. El conecta los conceptos de: pares ordenados (P1 y P2), gráfica de la función y la pendiente de la recta a través del uso de la fórmula. Por su parte, E4 idenjpgica la relación entre el concepto de pares ordenados, la pendiente como cociente de incrementos y puntos en el plano. En E5, se idenjpgica: el área bajo la curva como suma de áreas (la idea de acumulación), la fórmula para calcular el área de un rectángulo y de un rectángulo, así como los elementos de estas figuras geométricas (Figura 8). E6 conecta conceptos como: pendiente como cociente de incrementos, gráficas de funciones (ubica las abscisas v (0), v(2) y v(4) en la gráfica), la ecuación de la recta con pendiente ordenada al origen, así como las reglas de integración y el uso del TFC (Figura 9).
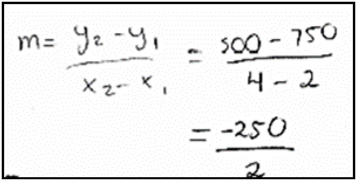
Representaciones diferentes: en E1, E2, E5 y E6 se idenjpgicó el uso de representaciones alternas. El conecta la representación gráfica dada, con la inclinación de la recta, conexión utilizada en sus descripciones escritas y que no aparece explícitamente en el enunciado del problema (pero que es una propiedad de la gráfica de la Figura 7), con la expresión que calcula la pendiente (registro algebraico) y, entre ésta (m) y su valor numérico (Figura 10). Por su parte, E2 y E6 conectan la inclinación de la recta (descripciones escritas) con su pendiente vista como un cociente de incrementos (registro algebraico); aunque E2 no expresa el valor numérico de ese cociente, pero E6 sí lo hace correctamente (Figura 11).


También se idenjpgican las representaciones alternas entre otros conceptos matemáticos. El mismo E5 conecta la cantidad de agua que se fuga en determinado tiempo (descripción escrita) con la suma de áreas de un rectángulo y un triángulo (registro geométrico). Esto se evidencia al iluminar la región correspondiente (ver Figura 8). En cambio, en E6 se idenjpgican otras representaciones alternas, a saber: entre el registro gráfico (razón de fuga) y el algebraico (expresión algebraica de v(t)), así como entre la cantidad de agua que se fuga en determinado tiempo (descripción escrita) con el área bajo la curva (registro geométrico) y entre la cantidad de agua que se fuga con el registro algebraico (la integral definida desde 0 hasta 4) (Figura 11).
Inclusión: esta conexión se idenjpgica en las producciones de E1, E4 y E5. En la respuesta de E1, se observa esta relación cuando escribe las coordenadas de dos puntos P1 y P2 asumiendo que éstos son parte de la gráfica v(t) dada en el problema o, dicho de otra forma, que la recta v(t) está constituida por una infinidad de puntos, donde dos de ellos son P1 y P2 (Figura 12). En E4 se idenjpgica una idea análoga cuando señala que los pares ordenados (0, 1000), (2, 750) y (4, 500) son elementos de la gráfica v(t). Esto último se observa mejor cuando el estudiante ubica esos puntos en la gráfica de v(t) (Figura 13).


A diferencia de los dos alumnos anteriores, para E5 la inclusión como conexión se idenjpgica cuando asume, implícitamente, que una parte pertenece al todo; en particular, la suma del área del rectángulo más el área del triángulo suman el área total del trapecio, figura que se dibuja bajo la curva v(t) desde t = 0 hasta t = 4 (ver Figura 8).
Procedimiento: se idenjpgica en distintos momentos. Por ejemplo, en relación con el cálculo del valor numérico de la pendiente de la recta que representa a v(t), idenjpgicamos que El utiliza la fórmula (Fig. 10). En cambio, E4 utiliza la gráfica como procedimiento para obtener los valores de v(0), v(2) y v(4), respectivamente (Figura 13), similar a lo que hace E6 (Figura 9) y al TFC como procedimiento para encontrar la cantidad de agua fugada. A diferencia de E6, E5 para calcular la cantidad de agua fugada realiza cálculos numéricos recurriendo a las fórmulas: A=ab en el caso del rectángulo y, A=bh/2 para el caso del triángulo. De esta forma, utiliza estas fórmulas como vía para encontrar la solución del problema planteado (ver Figura 8). Este estudiante (E5) no utiliza las herramientas del Cálculo como procedimiento para resolver el problema, en cambio utiliza procedimientos geométricos que involucran cálculo de áreas.
5.3 Problema 3. Cálculo de la distancia recorrida por un automóvil
Aquí se presenta la gráfica de la velocidad a la que se mueve un automóvil en función del tiempo durante los primeros 20 segundos (Figura 14) y, se pide encontrar la distancia recorrida durante los 10 primeros segundos.

A diferencia de los dos problemas anteriores, éste se resuelve necesariamente utilizando Cálculo, particularmente el TFC. En las producciones de los casos estudiados idenjpgicamos las siguientes conexiones:
Conexión de modelado: E1, E2, E3, E6 y E7 trasladan el problema planteado en el contexto físico al matemático (usando la integral definida y en particular el TFC). Aunado a ello, El relaciona la idea de distancia recorrida por el coche (contexto físico) con la antiderivada de la función que describe la velocidad (plantea que , donde x es la función que describe el desplazamiento) que tiene un sentido matemático. Por su parte, E2 y E3 expresan el resultado en el contexto del problema, cuando escriben 1000/3 m. Finalmente, E2 y E6 relacionan la idea de distancia recorrida (contexto físico) con el área bajo la curva (contexto matemático).
Conexión entre conceptos: se idenjpgica en las producciones de cinco estudiantes. E2, E3 y E7 evidencian la relación entre los conceptos: función, elementos de una integral definida, reglas de integración y el uso del TFC para resolver el problema propuesta. Por su parte, E6 además de los anteriores, utiliza el concepto de derivada dado que escribe la derivada de v(t) = t2 (Figura 15) y E1, añade la idea de antiderivada y la noción de ecuación diferencial (Figura 16).


Representaciones diferentes: el uso de representaciones alternas se idenjpgica en las producciones de E1, E2, E3, E6 y E7. E1 conecta la idea de velocidad con la derivada del desplazamiento (registro algebraico), llamándole x a la función que describe este último fenómeno (Figura 17).

Por su parte, E3 establece conexión entre la distancia con la antiderivada de la función velocidad (registro algebraico), cuando escribe que la distancia es igual a ∫ v(t)dt (Figura 18), y la distancia recorrida con la integral definida . Esta última conexión también la realizan E1, E2, E3, E6 y E7; pero E2 y E6, además, relacionan la distancia recorrida con el área bajo la curva (Figura 19).


En relación con las representaciones equivalentes, éstas se observan con menos frecuencia, pero en el problema 3 se idenjpgica en las producciones de E1 y E3. E1 conecta el concepto de velocidad (descripción escrita) con la primera derivada del desplazamiento (descripción escrita); hace esta conexión antes de usar una expresión algebraica (ver Figura 17). También E3 transita sólo entre descripciones escritas cuando relaciona la derivada de la distancia con la velocidad (ver Figura 18).
Procedimiento: el procedimiento como conexión es idenjpgicado en las producciones de E1, E2, E3, E5 y E6. Todos utilizan el TFC como vía para obtener la solución del problema; sin embargo, mientras que E1, E3 y E5 no encuentran importante pintar la región que representa el área bajo la curva; E2 y E6 además de utilizar el TFC, iluminan esa región (ver Figura 19).
5.4 Problema 4. Cálculo del trabajo efectuado para alargar un resorte
Este problema trata de un resorte de 15 cm de longitud natural cuya constante de elasticidad es k = 4. Se proporciona como dato que, según la Ley de Hooke cuando un resorte es alargado x cm, este regresa con una fuerza de kx kg. Se pide calcular el trabajo efectuado para alargar el resorte desde su longitud natural hasta una longitud de 25 cm (Figura 20).

Para ser resuelto, este problema requiere del uso del TFC, puesto que es necesario calcular una integral definida. En las producciones de los estudiantes se idenjpgicaron las siguientes conexiones:
Conexión de modelado: los estudiantes E1 y E2, trasladan el problema planteado (contexto físico) a un modelo matemático (integral definida). En particular, establecen una conexión de modelado cuando relacionan la idea de trabajo con la integral definida de la función que describe la fuerza, es decir, que , que tiene un sentido matemático (Figura 21). De los dos, sólo E2 intenta obtener la solución en el contexto del problema.
Conexión entre conceptos: E1 y E2 que resuelven correctamente el problema, ponen en juego la relación entre diversos conceptos. Por las respuestas que ofrecen y las operaciones que ejecutan se idenjpgica que relacionan conceptos como: la antiderivada (de la función que describe la fuerza), los elementos de la integral definida (en particular, los límites de integración que es donde otros fallan), reglas de integración y el uso del TFC (Figura 21).
Representaciones diferentes: la conexión de representaciones alternas se idenjpgica en E1, E2, E5 y E7. La única conexión alterna común que se idenjpgica en las respuestas de ellos es que relacionan la Ley de Hooke con la expresión algebraica (F = 4x) que modela la fuerza con la que regresa el resorte cuando es alargado x cm (Figura 21). Sin embargo, quienes conectan el trabajo realizado para alargar el resorte 10 cm con la integral definida (registro algebraico) son: E1, E2 y E7 (Figura 21).

Procedimiento: esta conexión se observa en dos momentos. Por ejemplo, cuando E6 utiliza la gráfica dada en el problema como procedimiento para obtener la longitud a la que se estira el resorte (Figura 22). Mientras que del enunciado del problema obtiene la constante del resorte, así como la longitud natural del mismo. Por otra parte, E1 y E2 utilizan al TFC para establecer el modelo matemático como vía para resolver el problema (Figura 21). Ambos eligen de manera correcta los límites de integración y operan adecuadamente.

En la resolución del problema 4 los estudiantes tuvieron mayores dificultades. En particular, en la conexión de modelado que debían establecer (pero que algunos no lograron) se idenjpgican las causas, pues algunos intentaron resolverla con los conocimientos previos que tenían de Física. Asimismo, otros no lograron trabajar correctamente en el contexto matemático, principalmente al plantear la integral definida que les resuelve el problema.
5.5 Problema 5. Cálculo del trabajo para mover un objeto
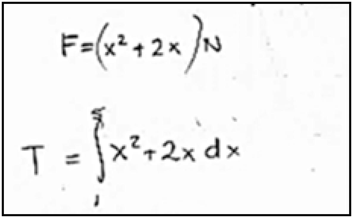
Este problema es similar al anterior, solo que aquí se da la fórmula de la función: f(x) = x2 + 2x N, la cual describe la fuerza que actúa sobre un objeto situado a una distancia x metros del origen. Se pide calcular el trabajo que se efectúa al mover el objeto desde x = 1 hasta x = 5 metros. A diferencia del anterior, en este problema no se da la gráfica como apoyo visual. A continuación, mostramos las conexiones establecidas por los estudiantes al resolverla.
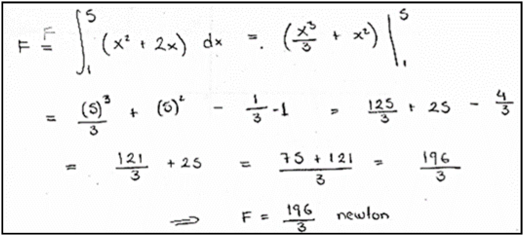
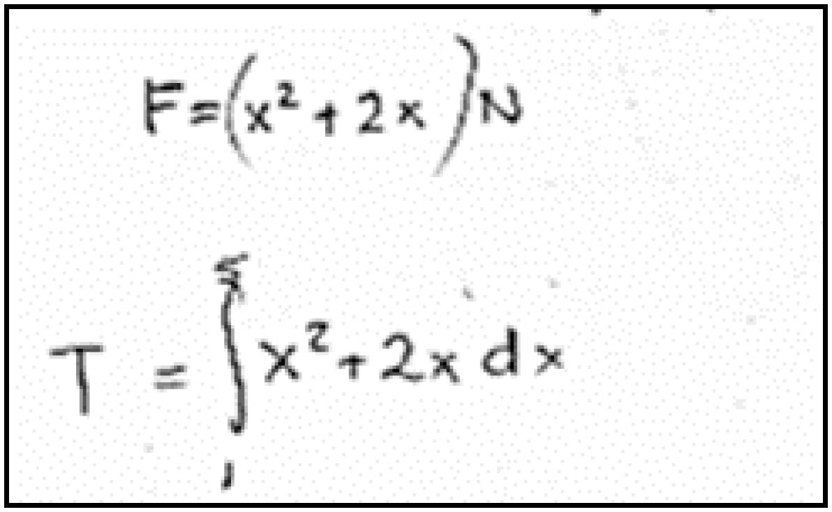
Conexión de modelado: los estudiantes E1, E3 y E7 relacionan el trabajo necesario para mover al objeto con la integral definida de la función que describe a la fuerza . Así, conectan un problema planteado en el contexto físico a uno matemático (ver Figuras 22 y 25). Sin embargo, de estos tres, sólo E3 expresa la solución utilizando la unidad de medida adecuada para el trabajo (ver Figura 22).




Conexión entre conceptos: en los mismos estudiantes: E1, E3 y E7, que obtienen la solución correcta del problema, se idenjpgica que ponen en juego la conexión entre diversos conocimientos que le posibilitan obtener ese resultado. Entre estos, reconocemos: el trabajo como la antiderivada de la función que describe a la fuerza, las reglas de integración, los elementos de una integral definida, el uso del TFC y la ley asociativa de la suma de los números reales (Figura 22).
Representaciones diferentes: E1, E2, E3, E5, E6 y E7 establecen las conexiones de tipo representaciones alternas en distintos momentos. E5 conecta la expresión f(x) = x2 + 2x (registro algebraico) y el registro numérico al evaluar en f(x) los valores de x = 1, 2, 3, 4, 5; y entre éstos con la gráfica resultante (Figura 23). Esta misma conexión la realiza E6, sin embargo, sólo conecta el enunciado del problema con una representación gráfica, marcando en ella el valor de la posición inicial y final (esto también lo hace E2), asimismo representa con una flecha la fuerza necesaria que se debe aplicar para desplazar el objeto (Figura 24). Otra conexión de este tipo se idenjpgica en las respuestas de E1, E3 y E7 entre el trabajo efectuado y el registro algebraico al utilizar la integral definida: que permite encontrar la solución del problema (Figura 25).
Inclusión: esta conexión se idenjpgica en las respuestas de E4, E5 y E6. Los tres asumen que si a ∈ Df entonces f(a) es parte del conjunto imagen de la función. Dicho de otra forma, el conjunto imagen se obtiene al evaluar valores específicos que pertenecen al conjunto dominio en la regla de correspondencia. Por otra parte, E5 considera que, además las parejas ordenadas constituidas por los valores que toman x e y, son puntos que forman parte de la gráfica de f(x) (ver Figura 23).
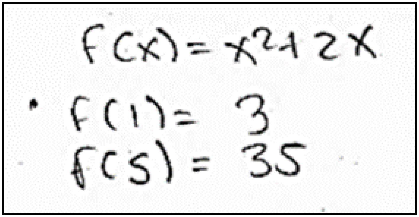
Procedimiento: se observan diversos procedimientos en las producciones de seis estudiantes. El primero se observa cuando E4 y E6 utilizan la función: f(x) = x2 + 2x, como vía para encontrar los valores correspondientes en x = 1 y x = 5 (Fig. 26), respectivamente. E5 hace lo mismo, pero para x igual a 1, 2, 3, 4 y 5 cm (Figura 23). Por otra parte, E1, E3 y E7 emplean al TFC como medio para encontrar el trabajo necesario para mover al objeto desde x = 1 hasta x= 5 cm (ver Figuras 22 y 27).


Por tanto, en el problema 5 sólo está ausente la conexión de tipo representaciones equivalentes (un tipo de representaciones diferentes), las demás se idenjpgican en distintos momentos (Tabla 1). Es importante mencionar que sólo tres estudiantes realizan una conexión de modelado, que era necesario para resolver el problema correctamente.

6 Discusión
Las producciones de los estudiantes permiten idenjpgicar que establecen una variedad de conexiones (Tabla 1), las cuáles se sintetizan enseguida:
La tabla 1 indica que la conexión de modelado nunca es establecida por E4; la relación de inclusión tampoco se idenjpgica en las producciones de E2, E3 y E7 y, el único problema donde se idenjpgican las cinco conexiones, es en el 2 y sólo E5 lo hace. Estas respuestas nos indican que las conexiones matemáticas implican un proceso complejo que no siempre es llevado a cabo, y que la naturaleza del problema y los conocimientos previos del estudiante pueden hacer que establezcan algunas conexiones y otras no.
Las conexiones que tienen mayor frecuencia son las de tipo procedimental y las de representaciones diferentes. Esto puede ser reflejo de la instrucción recibida en el aula de clases donde se privilegia el trabajo algebraico. Este hecho jusjpgica, en parte, que los alumnos encuentren complejo trabajar solamente en el registro gráfico, es decir, deducir la respuesta utilizando como procedimiento a la gráfica que modela al fenómeno.
En las producciones de los casos estudiados emergen tanto conexiones extramatemáticas como intramatemáticas previstas y que son consistentes con lo reportado por Businskas (2008). También los estudiantes hacen conexiones inesperadas (LOCKWOOD, 2011) por ejemplo, cuando conectan el área bajo la curva con la suma de áreas de diversos polígonos. Las representaciones alternas más utilizadas corresponden al registro algebraico y gráfico; mientras que el TFC funciona como procedimiento para la mayoría de los problemas. En ese sentido, nuestros datos confirman lo reportado por Mhlolo, Venkat y Schäfer (2012) de que se hace uso de diferentes representaciones en diferentes categorías, aunque algunas son incorrectas o superficiales, e incluso que algunos presentan dificultades para hacerlo (MOON et al., 2013).
En algunos estudiantes las habilidades para establecer la conexión de modelado (extramatemática) están a un nivel muy bajo, como lo reporta Özgen (2013), aunque algunos logran hacerlo correctamente. Los que lo logran, matematizan el problema para desarrollar un modelo matemático y aplican sus conocimientos previos de integración (YOON; DREYFUS; THOMAS, 2010). En otros estudiantes se manifiestan en conexiones incorrectas, quizá provocado en algunos casos porque los estudiantes consideran a los temas matemáticos como independientes (JAIJAN; LOIPHA, 2012).
Finalmente, en este trabajo sólo se presentaron las conexiones correctas que emergieron en las producciones de los estudiantes, pero eso no significa que no se hayan presentado algunas incorrectas. Estas serán objeto de análisis en algún estudio posterior. Sin embargo, podemos mencionar que la conexión entre conceptos y la dificultad de establecer la conexión de modelado (en particular para definir la integral definida), llevó a varios estudiantes a respuestas incorrectas. Destacamos que en las respuestas de algunos estudiantes idenjpgicamos conexión entre contenidos de Aritmética, Geometría, Física y Cálculo, lo cual da indicios de un uso interdisciplinario de los conocimientos de los que disponen los estudiantes.
7 Conclusiones
Al principio planteamos como objetivo idenjpgicar las conexiones que un grupo de estudiantes universitarios establecen al resolver problemas en contexto. En ese sentido, idenjpgicamos las conexiones extramatemáticas (conexión de modelado) e intramatemáticas (conexión entre conceptos, representaciones diferentes, la procedimental y, la relación de inclusión). Destacamos que las conexiones idenjpgicadas no sólo corresponden al campo del Cálculo y la Física, sino también a Aritmética y Geometría. En ese sentido, la conexión entre conceptos va más allá del dominio matemático. Es un hecho que, en esta tipología de conexiones, así como en la de modelado, los conocimientos previos de los estudiantes determinan en buena medida las acciones que éstos desarrollan para resolver la actividad.
Por otra parte, idenjpgicamos que en el tránsito entre las representaciones diferentes y la conexión procedimental emerge la relación de inclusión. En conjunto, las diversas conexiones permiten al estudiante llegar a la solución del problema propuesto. Los datos parecen fortalecer nuestras suposiciones, pero también indican que es necesario repensar la relación que guardan las conexiones, así como el origen de estas.
Finalmente, los resultados plasmados en las producciones de los estudiantes nos dan pauta para pensar sobre la conexión de reversibilidad que existe entre la derivada y la integral en diversos contextos (algebraico, verbal, gráfico); es decir, analizar si existe y cómo existe en la cognición del estudiante, y qué papel juega en la resolución de problemas similares a los que aquí fueron planteados. En este trabajo se puede apreciar su presencia, sobre todo en aquellos estudiantes que resolvieron correctamente los problemas. Nótese que todos ellos pueden ser resueltos utilizando la integral y esta es la inversa de la derivada. ¿Son conscientes los estudiantes de esta relación de reversibilidad o los resuelven mecánicamente? El estudio de las conexiones entre las ideas del Cálculo promete resultados interesantes. Estos podrían ser utilizados para diseñar una propuesta encaminada a desarrollar en los alumnos la habilidad de utilizarlas en la resolución de problemas y, a su vez, contribuir en la mejora de la comprensión de esta relación fundamental entre estos dos importantes conceptos.
Referencias
BERRY, J.; NYMAN, M. Promoting students' graphical understanding of the calculus. The Journal of Mathematical Behavior, USA, v. 22, n. 4, p. 479-495, 2003.
BUSINSKAS, A. Conversations About Connections: how secondary mathematics teachers conceptualize and contend with mathematical connections. 2008. 183f. Thesis (Doctor of philosophy) - Faculty of Education, Simon Fraser University, Canada, 2008.
DAWKINS, P.; MENDOZA, J. The development and nature of problem-solving among first-semester calculus students. International Journal of Mathematical Education in Science and Technology, London, UK., v. 45, n. 6, p. 839-862, 2014.
DE GAMBOA, G.; FIGUEIRAS, L. Conexiones en el conocimiento matemático del profesor: propuesta de un modelo de análisis. In: GONZALEZ, M. T. et al. (Ed.). Investigación en Educación Matemática XVIII. Salamanca: Ed. SEIEM, 2014. p. 337-344.
ELI, L; MOHR-SCHROEDER, M.; LEE, C. Exploring mathematical connections of prospective middle-grades teachers through card-sorting tasks. Mathematics Education Research Journal, Australia, v. 23, n. 3, p. 297-319, 2011.
ELI, J.; MOHR-SCHROEDER, M.; LEE, C. Mathematical connections and their relationship to mathematics knowledge for teaching geometry. School Science and Mathematics, Australia, v. 113, n. 3, p. 120-134, 2013.
EVITTS, T. Investigating the Mathematical Connections that Preservice Teachers Use and Develop While Solving Problems from Reform Curricula. 2004. 308f. Thesis (Doctor of Philosophy) - Pennsylvania State University College of Education, Pennsylvania, 2004.
GARCÍA, J. Conexiones entre las ideas centrales del Cálculo. 2016. 108f. Memoria predoctoral (Doctorado en Ciencias con Especialidad en Matemática Educativa) - Universidad Autónoma de Guerrero, México, 2016.
HACIOMEROGLU, E.; ASPINWALL, L.; PRESMEG, N. Contrasting cases of calculus students’ understanding of derivative graphs. Mathematical Thinking and Learning, London, UK., v. 12, n. 2, p. 152-176, 2010.
HERNÁNDEZ, R.; FERNÁNDEZ, C.; BAPTISTA, P. Metodología de la Investigación. Quinta edición. México: McGraw-Hill, 2010. 613 p.
HOFFKAMP, A. The use of interactive visualizations to foster the understanding of concepts of calculus: design principles and empirical results. ZDM Mathematics Education, Germany, v. 43, n. 3, p. 359-372, 2011.
HONG, Y.; THOMAS, M. Graphical construction of a local perspective on differentiation and integration. Mathematics Education Research Journal, Australia, v. 27, n. 2, p. 183-200, 2015.
JAIJAN, W.; LOIPHA, S. Making Mathematical Connections with Transformations Using Open Approach. Human Resource Development Journal, Thailand, v. 3, n. 1, p. 91-100, 2012.
KLYMCHUK, S. et al. University students' difficulties in solving application problems in calculus: student perspectives. Mathematics Education Research Journal, Australia, v. 22, n. 2, p. 81-91, 2010.
KOUROPATOV, A.; DREYFUS, T. Learning the integral concept by constructing knowledge about accumulation. ZDM Mathematics Education, Germany, v. 46, n. 4, p. 533-548, 2014.
KOUROPATOV, A.; DREYFUS, T. Constructing the integral concept on the basis of the idea of accumulation: suggestion for a high school curriculum. International Journal of Mathematical Education in Science and Technology, London, UK., v. 44, n. 5, p. 641-651, 2013.
LOCKWOOD, E. Student connections among counting problems: an exploration using actor-oriented transfer. Educational Studies in Mathematics, Netherlands, v. 78, p. 307-322, 2011.
MAMOLO, A.; ZAZKIS, R. Stuck on convention: a story of derivative relationships. Educational Studies in Mathematics, Netherlands, v. 81, n. 2, p. 161-177, 2012.
MARRONGELLE, K. A. How students use physics to reason about calculus tasks. School Science and Mathematics, Columbus, United States of America, v. 104, n. 6, p. 258-272, 2004.
MEXICO. Secretaria de Educación Pública. Cálculo Diferencial. Dirección general de bachillerato. México, 2013. Disponible en: <http://www.dgb.sep.gob.mx/02-ml/03-iacademica/01-programasdeestudio/cfp_5sem/calculo-diferencial.pdf>. Acceso en: 10 feb. 2013.
MHLOLO, M. Mathematical connections of a higher cognitive level: a tool we may use to idenjpgy these in practice. African Journal of Research in Mathematics, Science and Technology Education, South Africa, v. 16, n. 2, p. 176-191, 2012.
MHLOLO, M.; VENKAT, H.; SCHÄFER, M. The nature and quality of the mathematical connections teachers make. Pythagoras, South Africa, v. 33, n. 1, p. 1-9, 2012. Disponible en: <http://dx.doi.org/10.4102/pythagoras.v33il.22>. Acceso en: 12 en. 2013.
MOON, K. et al. Prospective secondary mathematics teachers’ understanding and cognitive difficulties in making connections among representations. Mathematical Thinking and Learning, London, UK., v. 15, n. 3, p. 201-227, 2013.
MWAKAPENDA, W. Understanding connections in the school mathematics curriculum. South African Journal of Education, South Africa, v. 28, p. 189-202, 2008.
NCTM. Professional Standards for Teaching Mathematics, 1a. ed. Reston: National Council of Teachers of Mathematics, 1991. 196p.
ÖZGEN, K. Problem çözme bağlaminda matematiksel ilişkilendirme becerisi: öğretmen adaylari örneği. NWSA-Education Sciences, Turkey, v. 8, n. 3, p. 323-345, 2013.
PARK, J. et al. Mathematical modelling as a facilitator to conceptualization of the derivative and the integral in a spreadsheet environment. Teaching Mathematics and its Applications, UK., v. 32, p. 123-139, 2013.
PRESMEG, N. Semiotics and the “connections” standard: significance of semiotics for teachers of mathematics. Educational Studies in Mathematics, Netherlands, v. 61, p. 163-182, 2006.
SCHROEDER, L. B. Investigating a Metacognitive Strategy for Solving Indefinite Integration Problems in Calculus: an FMRI study. 2011. 181f. Thesis (Doctor of philosophy) - University of Connecticut, USA, 2011.
SOFRONAS, K. et al. What does it mean for a student to understand the first-year calculus? Perspectives of 24 experts. The Journal of Mathematical Behavior, USA, v. 30, n. 2, p. 131-148, 2011.
WEBER, E.; TALLMAN, M.; MIDDLETON, J. Developing elementary teachers' knowledge about functions and rate of change through modeling. Mathematical Thinking and Learning, London, UK., v. 17, n. l, p. 1-33,2015.
YIN, R. Case Study Research: design and methods. 5ta. ed. Newbury Park: Sage Publications, 2014. 265p.
YOON, C.; DREYFUS, T.; THOMAS, M. How high is the tramping track? Mathematising and applying in a calculus model-eliciting activity. Mathematics Education Research Journal, Australia, v. 22, n. 1, p. 141-157, 2010.
Notas
Notas de autor
Dirección postal: Av. Lázaro Cárdenas, S/N. Ciudad Universitaria, CP. 39086, Chilpancingo, Guerrero, México. E-mail: cdolores2@gmail.com Dirección postal: Av. Lázaro Cárdenas, S/N. Ciudad Universitaria, CP. 39086, Chilpancingo, Guerrero, México. E-mail: libra_r75@hotmail.com