Análisis de la demanda de viajes interurbanos combinando datos de diferentes fuentes
Analysis of intercity travel demand by combining sources of preference data
Análisis de la demanda de viajes interurbanos combinando datos de diferentes fuentes
Ingeniería y Competitividad, vol. 18, núm. 1, pp. 22-33, 2016
Universidad del Valle

Recepción: 26 Agosto 2013
Aprobación: 30 Agosto 2015
Resumen: El transporte por carretera es la única alternativa disponible para los viajes interurbanos con origen o destino a la ciudad de Ocaña (Norte de Santander - Colombia). Condiciones indeseables como derrumbes y pérdidas de banca en carreteras, bloqueos ilegales por orden público y accidentalidad, provocan aislamientos totales o temporales en las vías de acceso a la ciudad causando parálisis del tráfico, incomunicación y pérdidas económicas a los viajeros que desean salir o entrar a dicho municipio. Dadas estas condiciones restringidas de transporte, en la investigación se pretende modelar el comportamiento de la elección modal de transporte interurbano en el municipio de Ocaña, calibrando modelos logit usando datos de preferencias reveladas (PR) y preferencias declaradas (PD), buscando examinar la sensibilidad del comportamiento de los viajeros ante escenarios hipotéticos de elección dada la implementación de rutas en transporte aéreo que conducen a los cinco destinos más frecuentes: Bogotá, Medellín, Barranquilla, Bucaramanga y Cúcuta. Durante la investigación se encontró la significancia de interacciones entre variables asociadas al nivel de servicio, variables socioeconómicas y atributos de viaje las cuales resultaron ser relevantes al momento de realizar la elección modal dentro del contexto interurbano, además de la aceptación que tuvo el modo aéreo.
Palabras clave: Preferencias declaradas, preferencias reveladas, transporte aéreo, transporte interurbano.
Abstract: Road transport is the only available alternative for intercity trips to or from the city of Ocaña (Norte de Santander - Colombia). Undesirable conditions, such as landslides and road lane losses, illegal blockades due to a lack of public order and accidents, result in temporary or total isolation of access roads to the city causing traffic jams, isolation and economic losses to travelers who want to leave or enter the municipality. Given these limited transport conditions, the research aims to model the behavior of the modal choice of intercity transport in Ocaña City, through: calibrating logit models, and using revealed preference (RP) and stated preference (SP) data. The research seeks to examine the sensitivity of travellers’ behavior when faced with hypothetical choice scenarios, given the implementation of air transport routes that lead to the five most frequent destinations: Bogotá, Medellín, Barranquilla, Bucaramanga and Cúcuta. The investigation revealed the significance of interactions among variables associated with the level of service, socio-economic variables and travel characteristics, which were found to be relevant at the time of making a modal choice in an inter-city context, in addition to the acceptance of air transportation
Keywords: Air transportation, intercity transportation, revealed preferences, stated preferences.
Análisis de la demanda de viajes interurbanos combinando datos de diferentes fuentes
1. Introducción
En los últimos años, la estimación de modelos logit mezclando datos de preferencias reveladas (PR) y preferencias declaradas (PD) se ha convertido en una práctica habitual y recomendada para la predicción de la elección modal en demanda de transporte, buscando extraer las virtudes de ambos tipos de información debido a que la naturaleza de su recolección es diferente. Los datos de PR reflejan el comportamiento actual de los individuos en sus decisiones de viaje, permitiendo acopiar información de las variables que explican la atractividad de las distintas alternativas y características de la elección, mientras que los datos de PD se basan en las percepciones y gustos del comportamiento individual involucrando escenarios hipotéticos de elección cuando se desea evaluar nuevas alternativas, medir el efecto de variables latentes o estudiar el resultado de interacción entre variables explicativas (Espino et al., 2006).
La presente investigación tiene como principal objetivo modelar el comportamiento de la elección modal ante la introducción de un nuevo modo como lo es el aéreo confrontándolo ante escenarios hipotéticos de elección con modos actualmente disponibles (taxi, bus y buseta) para los usuarios de viajes interurbanos en la ciudad de Ocaña (Norte de Santander), utilizando datos mixtos PR-PD para la calibración de los modelos tipo logit Multinomial (MNL); se propone el modo aéreo como un medio de transporte más costoso en comparación con el terrestre pero con ventajas sustanciales como seguridad y menores tiempos de viaje. Como surgimiento de nuevas opciones que permitan la movilización de pasajeros de viajes interurbanos a los servicio disponibles en modo carretero aparece la oferta en modo aéreo, una alternativa con altos estándares de niveles de servicio; se desea aprovechar la actual infraestructura que posee Ocaña para operación de rutas en transporte aéreo, dado que eventos como bloqueos a la infraestructura vial, accidentes, entre otros, provocan colapso en la movilización de pasajeros ocasionando pérdidas económicas, aumento en sus tiempos de viaje, largos tiempo de espera y otros perjuicios. Cabe destacar que Ocaña cuenta con un aeropuerto apto para la operación de aeronaves de mediano tamaño, pero no se encuentra en funcionamiento pues el servicio no es ofertado por empresas de transporte aéreo.
La revisión bibliográfica reporta diversa cantidad de evidencia en la investigación de elección modal bajo un contexto interurbano como la reportada por Hess et al. Los modelos calibrados permiten realizar un análisis de la elección modal de los viajeros que realizan desplazamientos interurbanos, donde se aplicó variación sistemática y aleatoria de gusto para encontrar las variables más relevantes y fomentar el uso del transporte público en autobús en lugar de coche privado (Rojo et al., 2012). En Irlanda, Ahern y Tapley (2008) evaluaron las percepciones y preferencias de los pasajeros interurbanos de ferrocarril y de autobuses, comparando las preferencias de los pasajeros de estos dos modos. Se requería determinar si los pasajeros sienten los cambios que son necesarios para mejorar los servicios en ambos modos y contrastar los servicios ofrecidos por autobús y tren.
Se conocen cuestionamientos acerca del tratamiento de datos PR y PD de forma separada, por ello, cada vez más se ha hecho popular la estimación de modelos de elección modal combinando ambas fuentes de información, buscando aprovechar las ventajas y superar las limitaciones de cada tipo de datos (Louviere et al., 2000). En la práctica, muchas investigaciones (Ben-Akiva y Morikawa, 1990; Yao y Morikawa, 2005; Cherchi y Ortúzar, 2006; Espino et al., 2006; Román et al., 2007; Espino et al., 2007; Ahern y Tapley, 2008; Guerrero et al., 2013) han tenido éxito con este tipo de metodología, aunque hacen recomendaciones según el ámbito de modelación. Una evidencia específica de la combinación de datos PR-PD en transporte aéreo se describe en Algers y Beser (2001).
A partir de los modelos calibrados se predicen las particiones de mercado ante varios escenarios de modelación dada la implementación de políticas de transporte, la estimación cuantitativa del valor subjetivo del tiempo de viaje (VSTV), valor subjetivo del tiempo de acceso (VSTA), disposición al pago por puntualidad (DPP) respecto a la hora de salida del servicio y un análisis de elasticidades. Los resultados obtenidos a partir de la calibración de los modelos MNL enriquecen la evidencia de la modelación de datos mixtos PR-PD, mostrando modelos más robustos cuando se implementan variaciones sistemáticas en los gustos. Se determinó la significancia de interacciones relevantes al momento de realizar la elección de modo dentro del contexto interurbano. Para los modelos presentados variables como costo del pasaje y tiempo de viaje resaltaron por su significativa influencia dentro de los modelos estimados mientras que las variables tiempo de acceso a la terminal o aeropuerto y puntualidad no resultaron ser estadísticamente influyentes para un nivel de confianza del 95%.
2. Metodología
2.1 Fundamentos metodológicos
Los modelos de elección discreta se sustentan en teorías de comportamiento individual, postulando que: “La probabilidad de que un individuo escoja una alternativa dada, es función de sus características socioeconómicas y su atracción relativa hacia esa opción” (Ortúzar y Willumsen, 2011). Según la Teoría de Utilidad Aleatoria (TUA), la utilidad del individuo Ujq, está representada por la suma de un término conocido por el modelador y otro aleatorio (Domencich y McFadden, 1975; Williams, 1977), como se aprecia en la Ec.1:
(1)Donde, Vjq corresponde a la utilidad sistemática o determinística (representa la parte medible de la función de utilidad), que a su vez está compuesta por un conjunto de atributos X que representan el nivel de servicio y características de la alternativa j para el individuo q; por otra parte, εjq refleja el comportamiento y gustos individuales de los individuos; este término asume todos aquellos aspecto no tenidos en cuenta y cualquier error de medición que haya cometido el modelador (Manski, 1977). De esta forma, la parte sistemática (o determinística) de la utilidad individual a menudo se supone como una función aditiva lineal en los atributos, como se describe en la Ec. 2:
(2)Para este tipo de especificación lineal los parámetros θ a estimar pueden interpretarse como la utilidad marginal del atributo que acompañan y no varían entre los individuos pero pueden variar entre alternativas, sin embargo esta restricción no es estrictamente cierta dado que es posible estimar modelos con variaciones sistemáticas o aleatorias en los gustos. La constante específica de la alternativa (K) representa el efecto neto de las características de la alternativa o del individuo no observadas o no explícitamente incluidas en la función de utilidad (p.e. comodidad y conveniencia de uso de un modo de transporte específico). El modelo es capaz de explicar cómo dos individuos con los mismos atributos y con el mismo conjunto de alternativas disponibles, pueden elegir de forma diferente o que un individuo no siempre elija una alternativa con la mayor utilidad sistemática (desde el punto de vista del modelador). Así, la Ec.3 muestra como un individuo q elegirá la alternativa j solamente si:
(3)En particular, si: el error se asume independiente e idéntico (IDD) y sigue la distribución Gumbel, se tiene el popular modelo logit multinomial MNL (Ben-Akiva y Lerman, 1985), obteniéndose una forma para las probabilidades de elección como se observa en la Ec. 4. El término λ está asociado a la varianza de los errores, siendo un parámetro de escala del modelo; dado que no se puede calcular independientemente de los parámetros θ, en realidad estos últimos al estimarlos están deflactados por λ.
(4)Para determinar aproximaciones econométricas asociados al VSTV, se optó por seguir el enfoque clásico (Jara-Díaz y Ortúzar, 1985), dado un modelo desagregado estimado a partir de datos PD que contenga como variables explicativas el tiempo y el costo. Para modelos lineales, el VSTV realmente es la tasa marginal de sustitución entre el tiempo y el costo a una utilidad constante y se estima como la utilidad marginal del tiempo (θ1) dividida por la utilidad marginal del costo ( θ 2 ), como se muestra en la Ec. 5:
(5)Dentro del contexto de modelación para el caso interurbano, investigaciones han logrado estimar VSTV para diferentes tipos de viajeros según la variable ingreso y según el modo de viaje (Ortúzar y González, 2002; Guerrero et al., 2013), respectivamente, donde se encontró que para individuos de ingresos altos tenían valoración más alta del tiempo independientemente del propósito de viaje u otras características. La estimación de VSTV para diferentes viajeros se logra estimando la utilidad marginal del tiempo específico según tipo de viajero especificando modelos con variaciones sistemáticas en los gustos.
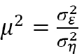
La estimación conjunta a partir de datos PR-PD obedece al enfoque de escalamiento planteado por Ben-Akiva y Morikawa (1990), el cual implica el cálculo de un factor de escala ( μ ) dado por la relación entre la varianza de la utilidad de los datos PR ( σ ε 2 ) y la varianza de la utilidad de los datos PD ( σ η 2 ). El factor de escala afecta los datos de PD y se define como se muestra en la Ec. 6:
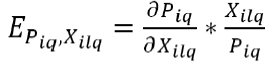
(6)La elasticidad (Matas, 1991; Jou et al ., 2011) se define como la sensibilidad de la probabilidad ( P iq ) de elegir una alternativa A i respecto a una variación marginal en un atributo X ilq. Matemáticamente, la elasticidad directa puntual viene dado por la Ec 7:
(7)2.2 Datos y diseño del cuestionario
Con el fin de obtener información sobre las preferencias y percepciones de los usuarios de viajes interurbanos en la ciudad de Ocaña, se diseñaron cuestionarios que permitieron la recolección de información en terminales de transporte terrestre, así como en lugares de trabajo de viajeros (previamente contactados en las terminales o abordados mientras compraban su tiquete) y oficinas de despacho de vehículos de las empresas de transporte terrestre. El cuestionario se dividió en dos partes, la primera contiene la componente de PR, recogiendo información sobre las alternativas actualmente disponibles (taxi, bus, buseta) para el individuo y la segunda sección consistía en las PD donde se confrontaron diferentes escenarios hipotéticos de elección introduciendo la nueva alternativa de viajes (modo aéreo), en los cuales se le solicitaba al encuestado elegir entre ellas. Los instrumentos de PR y PD se ajustaron a las condiciones que se deseaban modelar según las rutas que conducen a cada uno de los cinco destinos más frecuentes reportados y estudiados previamente por la población de la ciudad: Barranquilla, Bogotá, Bucaramanga, Cúcuta y Medellín.
Para poder alcanzar el diseño definitivo tanto del instrumento de PR como el de PD, primero se realizó un grupo focal (Krueger y Casey, 2009). El cuestionario piloto de PR permitió obtener información socioeconómica como: género, edad, ocupación principal e ingresos personales mensuales; mientras que la información del viaje estaba caracterizada por: destino del viaje, motivo de su viaje, frecuencia con que realiza el viaje, si viajó acompañado, tiempo de duración de su último viaje, tiempo de acceso a la terminal, demora con respecto a la salida, costo del pasaje, quien pagó el pasaje y si llevaba equipaje pesado. Respecto al cuestionario de PD, las variables asociadas al nivel de servicio con la cual se deseaba caracterizar cada uno de los modos a modelar son: costo del pasaje (precio en miles de pesos colombia nos), tiempo de viaje (tiempo en horas y minutos transcurrido desde la salida de la ciudad de origen hasta la ciudad de destino), tiempo de acceso (tiempo en minutos transcurrido desde el lugar de residencia a la terminal de transporte o en su defecto el aeropuerto) y la puntualidad (variable asociada a la fiabilidad respecto a la hora de salida programada en minutos), las cuales fueron las finalmente utilizadas en el diseño preliminar del cuestionario piloto de PD; los anteriores atributos de viaje del cuestionario de PD no necesariamente eran los mismos de los obtenidos a través de las PR. De las cuatro variables, dos de ellas (costo y tiempo de viaje) se variaron en tres niveles, mientras que las otras dos (tiempo de acceso y puntualidad) se variaron en dos niveles, partiendo de costos y tiempos (de viaje, de acceso y de demora) reales sometiéndolas a variaciones de ±10% y ±15% según el atributo, la ruta y el modo.
La ortogonalidad del diseño factorial fraccional de las PD se garantizó mediante las indicaciones dadas por Kocur et al. (1982). Una muestra de 50 individuos se obtuvo del estudio piloto, los cuales respondieron de forma completa tanto el cuestionario de PR como el de PD. A cada uno de los encuestados se le solicitó elegir sobre los 9 escenarios hipotéticos planteados en la PD. Las estimaciones preliminares realizadas a partir de los cuestionarios pilotos arrojaron la importancia de las variables costo y tiempo de viaje, mientras que se observó una significancia baja de las variables puntualidad y tiempo de acceso (la cual podría ser como consecuencia de la baja cantidad de encuestas con las que se contaba preliminarmente), aclarando que las cuatro variables contempladas arrojaron signos correctos como se describe en la teoría econométrica. Por ello, después de hablar con algunos operadores del servicio de transporte interurbano de pasajeros en la ciudad de Ocaña, algunos de los encuestados y experiencia de los modeladores, se decidió incrementar en tres niveles las variables puntualidad y tiempo de acceso, buscando que los próximos encuestados ponderaran y valoraran de mejor forma los nuevos niveles a los cuales fueron sometidas dichas variables incluidas en el cuestionario definitivo.
El cuestionario definitivo no tuvo cambios en las PR, solo se ajustó el instrumento de PD (parte del mismo se observa en la Fig 1) a las variaciones y atributos expuestos anteriormente. En total se obtuvieron 233 encuestas diligenciadas, de las cuales se extrajeron 87 correspondían a individuos detectados como cautivos o lexicográficos por costo o tiempo (Saelensminde, 1998; Espino et al., 2006; Ahern y Tapley, 2008). En total se contó con 1270 observaciones de PR y 1.314 observaciones de PD.
3. Resultados y discusión
3.1 Especificación del modelo y análisis de resultados
Los modelos de elección modal especificados se calibraron a partir de observaciones PR y PD. La estimación conjunta se realizó siguiendo el enfoque de escalamiento (Ben-Akiva y Morikawa, 1990) que implica el cálculo de un factor de escala ( μ ), el cual afecta los datos de PD y normaliza en uno los de PR. Previo a la calibración del modelo conjunto, se estimaron por separado los dos modelos asociados, es decir, un modelo solo con los datos de PR y otro para los datos de PD, bajo la suposición de que los errores distribuyen IID; esto dará paso a dos conjuntos de parámetros, θ PR y θ PD , para todos los atributos que son comunes a ambos dominios (Louviere et al., 2000; Ortúzar y Willumsen, 2011).
Por otro lado, el modelo predictivo plantea una utilidad en la cual las constantes específicas normalmente son las de PR, pero en el caso de la alternativa avión, que no está en PR se usa la de PD deflactada por μ. En cuanto a las utilidades marginales ( θ ), aquellas que son comunes en PD y PR o que están solo en PR no se afectan por el factor de escala, pero aquellos que están sólo en PD y no en PR van deflactados por μ
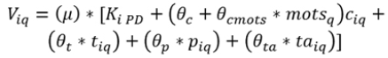
La utilidad sistemática o determinística a estimar mostrada en las Ec. 8 y Ec. 9, tendrá como fin estimar los θ, en términos de los principales atributos asociados al nivel de servicio: costo del pasaje (c), tiempo de viaje (t), puntualidad (p) y tiempo de acceso (ta), para cada alternativa. Esta especificación se utilizó en modalidad predictiva y corresponde al modelo MNL_3 presentado en la Tabla 1, el cual arrojó signos correctos para cada una de las variables contempladas.
(8)
(9)

Todos los modelos presentados en la Tabla 1 se estimaron utilizando el software libre BIOGEME (Bierlaire, 2003). Se identificaron las alternativas de la siguiente forma: bus (1), buseta (2), taxi (3) y avión (4). Para todos los modelos estimados se encontró que c y t son los factores más significativos en el momento de elegir un modo de transporte para viajes interurbanos, mientras que p resultó ser igualmente significativa en el modelo MNL_1 y MNL_2 pero para un nivel de confianza del 90%, sin embargo no resultó ser significativo cuando se estimó con datos mixtos. Por otro lado, la variable ta no resultó ser significativa para un nivel de confianza del 95%, ya que arrojaron valor del test_t inferiores a 1,96 (valor crítico correspondiente a la mitad derecha de la idistribución t Student para un nivel de confianza del 95%), sin embargo se decidió mantenerla dentro de los modelos dado que todas las estimaciones de los parámetros tienen el signo esperado. Respecto a la variable c y t, estos resultados eran los esperados ya que durante la revisión bibliográfica realizada este tipo de variables siempre mostraron dicho comportamiento, esto debido a que las personas Figura 1. Instrumento de PD. pueden medir su importancia de manera más fácil mientras que otros conceptos como el tiempo de acceso y la puntualidad son conceptos más difíciles de interpretar para los encuestados, de hecho en el caso interurbano, los individuos programan sus itinerarios de viaje según los horarios de los servicios ofertados por las empresas de transporte (caso contrario al contexto urbano), de manera que finalmente los usuarios tienden a minimizar la espera provocando poco peso esto en la decisión de la elección modal; igualmente, los niveles utilizados (10% y 15%) no proporcionan suficiente variabilidad en los datos y esto puede incidir en que algunos atributos no resultaron significativos y en la alta tasa de individuos lexicográficos.
Durante el desarrollo del grupo focal los encuestados mostraron inclinación por el tiempo de acceso y la puntualidad, sin embargo en los resultados y análisis posteriores estas no fueron valoradas de mejor forma debido a que en algunas ocasiones las personas no perciben el tiempo de acceso a la terminal porque las empresas que actualmente ofrecen servicio de transporte interurbano en la ciudad dirigen sus vehículos hasta los lugares de

residencia o trabajo para recoger a sus pasajeros y ello pudo afectar la percepción de esta variable dentro del conjunto, además el tiempo de acceso a la terminal terrestre es bajo con respecto al del aeropuerto, ya que la terminal terrestre queda ubicada dentro del perímetro urbano de la ciudad caso contrario al aeropuerto que está ubicado a las afueras; igual se cree con la puntualidad, pues mientras se aplicaron los instrumentos se percibió por parte de los encuestadores en los usuarios una cultura ya predefinida referente a que los servicios de viaje interurbano no son puntuales. Creemos que las anteriores razones ponderaron la estimación de la significancia de estas variables, sin embargo fue grato encontrar dentro de la investigación la importancia o no de las mismas.
La constante K recogen el efecto agregado de atributos no incluidos explícitamente en la función de utilidad, en nuestro caso para todos los modelos calibrados se encuentra que para las condiciones actuales de elección si la constante específica de una alternativa es superior a la de otra, la primera ceteris paribus es preferida a la segunda.
El análisis de la interacción de efectos entre variables de servicio y algunos atributos del viaje estructurados en la Ec. 10, Ec. 11 y representado en el modelo MNL_4 de la Tabla 1, para el caso de la interacción cmots (costo* motivo de viaje salud) cuyo signo es positivo, indica que la desutilidad marginal del costo es menor cuando el viaje es con motivo salud, es decir, el atributo costo es menos relevante razón por lo cual el VSTV incrementa. La interacción cmots se asociaron de forma genérica en las funciones de utilidad, al igual que los atributos c, t, ta y p.
(10)
(11)3.2 Valoración de atributos
El VSTV representa que tanto está dispuesto a pagar un individuo por ahorrar determinado tiempo en su viaje. Este mismo concepto es aplicable para el VSTA y DPP, pero en vez de utilizar la utilidad marginal del tiempo de viaje esta es reemplazada por la utilidad marginal de otra variable (p,e. tiempo de acceso o puntualidad). Los VSTV, VSTA y DPP se pueden evidenciar en la Tabla1 y se extrajeron directamente de las tasas marginales de sustitución para cada uno de los modelos estimados, encontrándose variaciones de VSTV entre 65,58 y 76,54 COL$/min en los modelos estimados con datos mixtos (similares a las encontradas en viajes interurbanos en modo carretero en Guerrero et al., 2013). Respecto al VSTA se encontraron estimaciones entre 52,95 a 69,79 COL$/min y para DPP entre 54,61 a 68,23 COL$/min. Las diferentes versiones de VSTV, VSTA y DPP dieron una mayor estimación cuando de realizaron con el modelo de PR o el modelo de PD. A partir de la calibración del MNL_4 se estimó VSTV, VSTA y DPP (Tabla 2) mostrando la valoración del atributo cuando el viaje tiene motivo salud u otro motivo. Dichas aproximaciones indican una mayor valoración cuando los individuos viajan con motivo salud, esto podría explicarse dada la naturaleza del viaje, ya que un viaje con motivo salud podría considerarse como una urgencia y en estos casos se está dispuesto a valorar de mejor manera el tiempo de viaje. Esta misma tendencia también se observa para la valoración de atributos como el tiempo de acceso y puntualidad.

3.3 Elasticidades
Las elasticidades permiten estimar los cambios sobre la probabilidad de elegir un determinado modo causados por variaciones en los atributos mo-dales significativos: costo del pasaje y tiempo de viaje. Se realizaron estimaciones de elasticidad directa puntual a partir de las predicciones realizadas con el modelo MNL_3, las cuales se presentan en la Tabla 3. La elasticidad asociada al costo en el modo avión presenta el valor más alto de elasticidad dentro de todo el conjunto (-0,548), mientras que la elasticidad asociada al tiempo de viaje en el modo buseta es la mayor en este atributo (-0,124). Se resalta la inelasticidad que presenta en el atributo tiempo de viaje para el modo avión (-0,012), este efecto hace notar la baja variabilidad sobre la probabilidad de elegir el modo avión ante las variaciones en el atributo tiempo de viaje.

3.4 Análisis de políticas
Es posible conocer las respuestas derivadas de las distintas políticas a implementar; éstas se pueden representar como el cambio porcentual en la cuota global de la alternativa j con respecto a la situación inicial basadas en la aplicación de la Ec. 12 (Román et al., 2007):
(12)Dónde: ΔP j (%) corresponde al porcentaje de cambio en la partición de mercado para el modo j con respecto a la situación inicial; Pj0 es la partición de mercado inicial para el modo j; Pj1 es la partición de mercado para el modo j después de implementada la política, entendiéndose que valores negativos del estimador ΔP j se traducen en pérdidas porcentuales de demanda. Se consideraron tres políticas hipotéticas con disminuciones del 20% en los atributos c y t del modo avión y evaluar el efecto sobre los demás modos, por ello en la Tabla 4 se muestran las pre dicciones de las particiones de mercado para la situación futura (introduciendo el modo aéreo) y la variación ΔP ; el análisis muestra que dada la implementación del modo avión, el modo b us es quien sufre las mayores pérdidas (-43,61% y -32,63%) para los dos escenarios mostrados. Igualmente, el modo avión cuenta con particiones de mercado igual a 20,96% y 16,09% evidenciando favorable aceptación y percepción del servicio por parte de los usuarios de viajes interurbanos. Los cambios porcentuales en las particiones de mercado cuando se disminuye el costo del pasaje son los mayores respecto a cuándo se afecta el tiempo de viaje, afirmación acorde a lo encontrado en el análisis de elasticidades.
4. Conclusiones
Este trabajo constituye un nuevo caso de aplicación de modelación de la elección modal mezclando datos de PR-PD en el contexto de viajes interurbanos cuando se desea conocer la variación de la demanda ante la implementación de un nuevo modo. Se destaca en la calibración de los modelos estimados la inclusión de términos no lineales en forma de interacción entre variables que caracterizan el nivel de servicio y atributos del viaje, las cuales resultaron ser significativos y permitieron obtener estimaciones del VSTV, VSTA y DPP. Variables que definían el nivel de servicio de los modos estudiados y características socioeconómicas de los individuos también fueron significativas y permitieron entender el fenómeno de la modelación de la elección modal de viajes interurbanos. Se observa que el VSTV es valorado de diferente forma cuando el motivo de viaje es salud o en otro caso.

En conclusión, los pasajeros en este estudio escogieron su alternativa preferida basado predominantemente en el tiempo de viaje y los costos del pasaje. El tiempo de acceso (a la terminal o aeropuerto) y la puntualidad no son atributos significativos al momento de elegir el modo para viajes interurbanos para un nivel de confianza del 95%.
El grupo focal y la prueba piloto permitieron obtener instrumentos de PR y PD mejorados, de hecho se recomienda este tipo de técnicas que resultan ser determinantes para este tipo de estudios. En definitiva se contó con 1270 observaciones de PR y 1.314 observaciones de PD.
Se evidencian estimaciones inelásticas para el atributo tiempo de viaje en el modo avión, lo cual muestra la baja sensibilidad en las probabilidades de elección cuando hay variaciones en este atributo que caracterizan el nivel de servicio para cada modo. La mayor sensibilidad en la demanda aparece ante las variaciones del costo del pasaje sobre todo en el modo avión.
Se analizó el efecto de dos escenarios de políticas en respuesta a la demanda. Para los escenarios planteados, los modos taxi y buseta poseen las mayores particiones de mercado, esto intuitivamente indica la preferencia por parte de los usuarios y la competencia que tendría respecto al modo aéreo quien presenta variaciones entre el 16,09% y 20,96%.
Una de los principales aciertos que tiene esta investigación radica en la aceptación que tuvo el modo aéreo; de hecho la población demandante de viajes interurbanos en Ocaña no ha podido experimentar la calidad de un servicio superior con grandes ventajas respecto a otras maneras de desplazamiento como lo es el modo aéreo. Durante la aplicación del grupo focal, la prueba piloto y la aplicación definitiva, se observó cierto grado de expectativa ante la implementación del servicio que se vió reflejado en las estimaciones de la participación de mercado.
Futuras líneas de investigación podrán abordar la incorporación de variables latentes con las cuales sea posible representar percepciones subjetivas de los viajeros y aumentar la capacidad explicativa del modelo. Igualmente puede considerarse el impacto sobre las diferentes redes en el proceso de asignación.
Referencias
Ahern, A. A., y Tapley, N. (2008). The use of stated preference techniques to model modal choices on interurban trips in Ireland. Transportation Research Part A 42 (1), 15–27.
Algers, S., y Beser, M. (2001). Modelling choice of flight and booking class – a study using stated preference and revealed preference data. International Journal of Services Technology and Management, 2 (1-2), 28-45.
Ben-Akiva, M. E., y Morikawa, T. (1990). Estimation of travel demand models from multiple data sources. In: Proceedings 11th International Symposium on Transportation and Traffic Theory. Yokohama, Japan, p. 461-476.
Ben-Akiva, M., y Lerman, S. (1985) Discrete choice analysis: Theory and application to travel demand. Cambridge, Massachusetts: The MIT Press.
Bierlaire, M. (2003). BIOGEME: a free package for the estimation of discrete choice models. Proceedings of the Third Swiss Transport Research Conference. Ascona, Switzerland.
Cherchi, E., y Ortuzar, J. (2006). On fitting mode specific constants in the presence of new options in revealed preference/stated preference models. Transportation Research A: Policy and Practice 40 (1), 1-18.
Concepción, R., Espino, R., y Martín, J. C. (2007). Competition of high-speed train with air transport: The case of Madrid–Barcelona. Journal of Air Transport Management 13 (5), 277-284.
Domencich, T., y McFadden, D. (1975). Urban travel demand: a behavioural analysis. Amsterdam: North Holland Publishing Company.
Espino, R., Ortúzar, J. D., y Román, C. (2007). Understanding suburban travel demand: flexible modelling with revealed and stated choice data. Transportation Research Part A 41 (10), 899-912.
Espino, R., Román, C., y Ortúzar, J. D. (2006). Analisying demand for suburban trips: a mixed RP/SP model with latent variables and interaction effects. Transportation 33 (3), 241-261.
Guerrero, T. E., Cantillo, V., y Camargo, S. (2013). Modelación de viajes interurbanos de pasajeros en sistemas intermodales de baja demanda. Revista EIA 10 (20), 101-110
Hess, S., Adler, T., y Polak, J. W. (2007). Modelling airport and airline choice behaviour with the use of stated preferences survey data. Transportation Research Part E 43 (3), 221- 233.
Jara-Diaz, S., y Ortúzar, J. (1985). Valor subjetivo del tiempo y rol del ingreso en la especificación de la demanda de transporte. Apuntes de ingeniería 24, 5-36.
Krueger, R., y Casey, M. A. (2009). Focus Groups: A Practical Guide for Applied Research (Cuarta ed.). Beverly Hills, California: SAGE Publications, Inc
Jou, R.-C., Hensher, D. A., y Hs, T.-L. (2011). Airport ground access mode choice behavior after the introduction of a new mode: A case study of Taoyuan International Airport in Taiwan. Transportation Research Part E 47 (3), 371-381.
Kocur, G., Adler, T., Hyman, W., y Aunet, B. (1982). Guide to forecasting travel demand with direct utility assessment. Report Nº UMTA- NH-11-0001-82, Urban Mass Administration, US Department of Transportation. Washington, D.C., USA.
Krueger, R., y Casey, M. A. (2009). Focus Groups: A Practical Guide for Applied Research (Cuarta ed.). Beverly Hills, California: SAGE Publications, Inc
Louviere, J. J., Hensher, D. A., y Swait, J. D. (2000). Stated Choice Methods: Analysis and Application. Cambridge: Cambridge University Press.
Manski, C. F. (1977). The structure of random utility models. Theory and Decision 8 (3), 229−254.
Matas, A. (1991). La demanda de transporte urbano: un análisis de las elasticidades y valoraciones del tiempo. Investigaciones Económicas XV 15 (2), 249-267.
Ortúzar, J. D., y González, R. M. (2002). Inter- Island travel demand response with discret choice models. Journal of Transport Economics and Policy 36 (1), 115-138.
Ortúzar, J. D., y Willumsen, L. G. (2011). Modelling Transport (4th ed.). Chichester: Wiley.
Rojo, M., Gonzalo-Orden, H., dell’Olio, L., y Ibeas, A. (2012). Relationship between service quality and demand for interurban buses. Transportation Research Part A 46 (10), 1716- 1729.
Román, C., Espino, R., y Martín, R. (2007). Competition of high-speed train with air transport: The case of Madrid-Barcelona. Journal of Air Transport Management 13 (5), 277–284.
Saelensminde, K. (1998). Causes and consequences of lexicographic choices in stated choice studies. Ecological Economics 59 (3), 331–340.
Yao, E., y Morikawa, T. (2005). A study of an integrated intercity travel demand model. Transportation Research Part A 39 (4), 367–381
Williams, H. (1977). On the formation of travel demand models and economic evaluation measures of user benefit. Enviroment and Planning 9A (3), 285-344.