Articulos
Recepción: 16 Junio 2015
Aprobación: 12 Abril 2016
Resumen: El agua superficial (SUP) y subterránea (SUB) interactúan dentro del ciclo hidrológico según las características geomorfológicas y climáticas que configuran el paisaje; por tanto, los impactos sobre cualquiera de estos componentes afectarán inevitablemente la cantidad y/o calidad del otro. En este contexto, se propuso un método simple basado en la ecuación general de balance hídrico, que incorpora el flujo de intercambio SUP-SUB en la estimación de la oferta hídrica total (OHtotal) en una cuenca hidrográfica, a partir de datos hidroclimatológicos e hidrogeológicos mínimos. Este método fue aplicado en la microcuenca de la quebrada La Arenosa-La Margarita (Pereira, Colombia) y se observó que el aporte de flujo subterráneo influye en la estimación de la oferta hídrica. También se analizó que estos resultados son similares a los obtenidos por modelos teóricos ampliamente utilizados en la hidrología tales como el SCS, UNESCO, Tanques agregados, Balance Hídrico de Largo Plazo y Rendimiento Hídrico para la misma zona de estudio. Por lo tanto, se concluyó que el modelo propuesto es viable para su aplicabilidad en microcuencas con poca información de tipo hidrológico e hidrogeológico.
Palabras clave: Agua subterránea, agua superficial, interacción, oferta hídrica..
Abstract: Surface water (SUP) and groundwater (SUB) interact inside the hydrological cycle according to geomorphologic and climatic characteristics that compose the landscape. Therefore, the impact on any of these compounds will inevitably affect the quantity and/or quality of the other. In this context, a simple method was proposed based on the general water balance equation; which incorporates the exchange flow of superficial and groundwater in the estimate of the total water availability (OHtotal) in a watershed, starting from minimum hydroclimologic and hydrogeologic data. This method was applied to the micro-basin of La Arenosa-La Margarita creek (Pereira, Colombia) and it was noticed that the input of the groundwater flow influences in the estimate of the water availability. Also, it was analyzed that these results are quite similar to the ones obtained by widely used theoretical models used in hydrology; such as the SCS, UNESCO, added tanks, Long-term hydric balance and Hydric Efficiency for the same study area. Thus, it was concluded that the proposed method is viable to be applied in micro-basins with little hydrologic and hydrogeological information.
Keywords: Groundwater, surface water, interaction, water availability..
1. Introduction
Groundwater has been widely studied, its interactions with surface water has been known since the sixties decade (Tóth, 1962; 1963), and in the last few years, there has been a growth in the number of publications that inquire in this matter. Additionally, the critical status of the hydric resource (quality and quantity), population growth, and the impact of El Niño Oscillation Southern phenomenon (ENOS), has generated the need of integrate the SUP-SUB interactions in an approach that manages water as a unique resource.
Recently, the plan managing includes more exhaustive and more specific controls of SUP-SUB interactions in licenses concession, and the managing and exploitation of hydric resources in general. An example of this could be the initiatives of the Australian government in the Murray-Darling watershed, that demand that incorporation of the groundwater flows in the estimate of surface hydric resources in the watershed (Rassam, 2011). The managing regulations of aquifers that include the base flow in the evaluation of a permit application of groundwater’s in Kansas (USA) (Sophocleous & Perkins, 2000) and the European Water Framework Directive for the sustainability of the water ecosystems associated to the interaction of both components (Dahl et al., 2007), among others.
The knowledge of the SUP-SUB interactions raises new challenges for researchers and administrators of the Integrated Resources Water Management (IRWM), because it doesn’t refer to the management of the water quantity and quality only, but also to the managing and conservation of the ecosystems that rely on groundwater’s and riparian habitat (Fleckenstein et al., 2010; Yang et al., 2014; Sophocleous, 2010). However, the evaluation of the SUP-SUB interactions in very complex (Eslamian et al., 2011) due to the many factors of geology, riverbeds, geomorphologic and climate that influence it. While there are available methods to evaluate the nature and the degree of SUP-SUB interaction (Kalbus et al., 2006), most require very specific parameters where the uprising of these result very expensive and complex.
Colombia counts with a wide regulatory framework for the IRWM, but a concrete proposal that promotes the combined managing of groundwater’s and surface water as a strategic option in the Integrated Resources Water Management National Policy (IRWMNP) is nonexistent (MAVDT, 2010). This possibly obeys to the underground component staying, for several years, invisible to the interests of the environmental institutions, conceding special importance to surface water for being the main supplying source, relegating its study to the mining and construction sector. Therefore, the methodological proposals to estimate the total water availability, counting on the hydrologic conditions of the country, are limited.
In the last few years, important efforts have been made in the characterization of underground systems (IDEAM, 2010; 2013), developing plans for the IRWM (CARDER, 2007) and studies developed in some watersheds across the country (CVC & UNIVALLE, 2006). However, there is still a lack of an overall methodological framework that allows the inclusion of the underground component in the management of the surface hydric resource according to the hydrologic and hydrogeologic conditions of the country. Therefore, the present study had as objective to propose a simple method that incorporates the groundwater flow in the monthly estimate of the water availability (OHtotal), based on the general water balance equation in studying areas where the hydrologic information is little or nonexistent, and it was applied in a micro basin in Pereira (Colombia) where the aquifer system of Pereira-Dosquebradas underlays; which is an alternate water supply source.
2.Methodology
The methodological process began with a description of the current model, which specifies the criteria used to contemplate each variable involved. Later, the consecutive process was described, the analytical process of the available information and the contemplated criteria in the construction of each theoretical model widely identified in the literature used to compare the proposed model.
2.1 Description of the theoretical model
The review of the literature, comprehended the compilation and analysis of works to date in an international and national level (Table 1) where a 78% of the information referring case studies in an international level and a 22% in a national level. From each of these, the 5% were related with the basic concepts that explained the hydraulic properties of the groundwater flow and surface flows. The 57% to the identification of diverse existing methods for the recharge and discharge of surface and groundwater applied in hydrographic watersheds and aquifers, the 14% to studies related with the combined management of groundwater and surface water. The 21% to the interaction of the groundwater flow and the surface flow, and a 3% related with the weather variability effects and climate change in the interaction of flows. From this review, hydrological and hydrogeological variables were taken, which use different theoretical models through the application of the Analytic Hierarchy Process -AHP- (Saaty, 1980; Arape, 2000) and an expert panel formed by professionals in different areas with experience in hydric resources in surface and groundwater. A comparison among them was developed and the main variables to take in account in the mathematical planning of the model through a priority list beginning from the most relevant variable to the least.

In the development of the AHP, the criteria in comparison of the variables were the availability of information (if found historical records or obtained from secondary information), the possibility or ease of generating information (assumed as the ability to generate information in situ or applying theoretical models) and the compatibility of theoretical models (assumed as the ease of the variable to be included or considered in the water balance approach in surface and / or underground). In Figure 1 the list of variables of higher priority or relevance, which was obtained was related to precipitation (17.7%), evapotranspiration (10.8%) and surface runoff (7.9%), which are the most essential variables for the approach of a theoretical model that relates the surface and ground water, which must be interrelated or articulated with the hydrogeological information available.

Subsequently, a simple theoretical model based on the general equation of water balance was proposed, from minimal hydroclimatological and hydrogeological data in order to have an approximation of the amount of water available in a surface current, considering the gains or losses generated by processes proposed SUP-SUB interaction.
The model is developed on a monthly basis and assumes recharge potential as the fraction of water after a precipitation event infiltrates the soil and recharges the aquifer, which does not take into account the fraction of water that once infiltrated and because of soil saturation conditions, subsurface drains to come to the surface or a surface current. It also takes into account the retention by foliage in which its value will be higher when soil use is composed of vegetation that holds water in a considerable amount and allows low runoff (e.g. pine), or otherwise, for other vegetation types and uses this value tends to be small (e.g. grasses).
The structure of the model simplifies the hydrology of the watershed in two interconnected zones: the non-saturated zone where the potential recharge is simulated and the saturated zone where the low flow of SUP-SUB interaction is simulated (Figure 2). In both zones the water balance equation (BH).
Mathematical expression that defines the non-saturated zone:


Where: P= precipitation (mm/months); ETR= real evapotranspiration (mm/months); Ret= retention by foliage (mm/months); Rp= potential recharge (mm/months); ∆H= change in the humidity of the soil (mm/months); hNS= loss in the non-saturated zone (mm/months).
Mathematical expression that defines the saturated zone:

Where: Rp= potential recharge (m3/s); QdGW= groundwater discharge flow (m3/s); ΔHGW= change in the groundwater storage (m3/s); hS= loss in the saturated zone (m3/s).
Later, to the estimate of the surface water availability process, the exchange flows are added as a generated product of the SUP-SUB interactions and the next equation is proposed:

Where: OHtotal = total water availability (m3/s); ESC= Surface runoff (m3/s); QSUP-SUB = change flow groundwater-surface water (m3/s); hT = total loss (m3/s).
The estimate of the OHtotal will depend on the type of connection between the river and the aquifer, which depends on the hydrogeological characteristics of the aquifer and can act as influent (aquifer interaction - river, if I Figure 3), effluent (interaction river - aquifer case II Figure 3) or simply not have connection to the water source (case III in Figure 3).

2.2 Calculation of the total water
To determine the total water availability of the study area, first the average precipitation (P) is estimated by applying the method of isohyetal curves (Jiménez, 1992; Monsalve, 1995; MAVDT, 2004) from rainfall average monthly record multiyear (common period between 1980-2005 at stations) of hydroclimate stations managed and operated by the National Coffee Research Center (CENICAFE), the Institute of Hydrology, Meteorology and Environmental Studies (IDEAM) and the Central Hidroeléctrica de Caldas (CHEC). In total six (6) stations were identified, of which five (5) are rainfall (El Bosque, Treatment Plant, El Cedral, Ingenio Risaralda, Substation the Virginia) and one (1) Main Synoptic (Airport Matecaña) located around the study area. In order to normalize the data, previously estimating missing data and filling in, and Exploratory Data Analysis (EDA) for graphic and quantitative means it was made through JAZIKU v0.9 (IDEAM, 2014) software in order to observe trends and changes in the time series. In this study the chart AED was based on the design of graphical time series to understand the behavior of precipitation, mass curves to discuss possible changes in the trend of the data and box plots to observe the behavior of the data and detecting potential outliers. Similarly, the AED from normality test (Kolmogorov - Smirnov or Shapiro - Wilk), stability in the variance and the mean of the data is determined by applying parametric tests (test Levenne and test t, respectively) and / or nonparametric tests (Siegel-Tukey test and Mann-Whitney test, respectively) depending on whether the data has a normal distribution or not (Loaiza et al., 2014; Castro & Carvajal, 2010; Puertas & Carvajal, 2008).
The fraction of rainfall intercepted by foliage (Ret) is estimated by the proposed Schosinsky (2006) method, which assigns a retention coefficient depending on land use in the study area. Potential evapotranspiration (ETP) is calculated by the Penman-Monteith method, which provides tighter values by requiring a larger number of parameters, using climate records from the main synoptic station "Airport Matecaña". The change in soil moisture (∆H) is estimated based on the values of wilting point and field capacity for different soil textures developed by Grassi (1998) and implemented by Schosinsky (2006), from the monthly difference between precipitation and evapotranspiration with a greater presence of clay loam soils taken for the study area (CARDER & GIAS, 2012) .The potential recharge (Rp) is determined by using the water balance equation for the non-saturated area, as shown in Ec. (4), whose variables are expressed in mm / month.

The calculation of groundwater flow discharge ( Qd SUB ) is estimated by using the equation of water balance in the saturated zone, wherein said flow is equivalent to the addition of p and the change in groundwater storage ( ∆𝐻 SUB ), related in Eq. (5), whose variables are expressed in m3 / month.

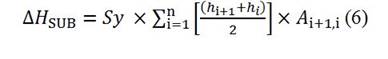
To determine the ∆𝐻 SUB , the Eq (6) is applied; referenced by CONAGUA (2009), using information from the piezometric variations Aquifer System Pereira -. Dosquebradas from 2013, found in (CARDER, 2007).

Where, Sy= storage coefficient (adimensional); hi+1= piezometric evolution curve i +1 (m); hi= piezometric evolution curves i (m); Ai+1,i= Surface between two sequential curves (m2).
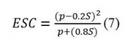
The ESC generated is estimated with a rainfall-runoff model, proposed by the U.S. Soil Conservation Service-SCS (1968) as shown in Eq. (7), because in the study area, there are no hydrologic stations.

Where: p= median precipitation (mm); S= maximum retention (mm).
At last, the total water availability was determined assuming for the micro basin La Arenosa-La Margarita, one of the interaction or connection cases between Surface water and groundwater flow related in Figure 3.
2.3 Comparative analysis of the results
In order to appreciate advantages of applying the model proposed in watersheds with limited information, the results obtained in the calculation of the total water availability were compared with monthly supply flows estimated for the same study area aggregates using hydrological models. The implemented models were the UNESCO (Sokolov & Chapman, ed., 1981), Performance Water method (based flow registration flow of limnimetric station "La Bananera" located above the Otún river), the SCS method (SCS, 1968), the Model Tanks which has been widely used in watersheds located in the Colombian coffee region (CORPOCALDAS, 2014; Ocampo, 2012) and Water Balance long-term (AGUAS & UNAL, 2004) which has been used in several watersheds of the Department of Risaralda.
Aggregate models were built with the use of GIS tools (ArcGIS 10.0 software) basing it on information the watershed area and its respective Digital Elevation Model (DEM) has. For the SCS model, maps on monthly rainfall were related (interpolated with Krigging method), land use and the Curve Number (CN) from this, the maps of precipitation and monthly average evapotranspiration for UNESCO method (interpolated were related the Krigging) and the method of tanks is also taken of the required mapping information (Vélez, 2001), the values suggested by AGUAS - AGUAS & UNAL (2004) on hydraulic conductivity of the upper and lower layer, underground losses and residence times of the surface, subsurface and base flow. Finally, the method of long-term water balance used the HidroSIG v4.0 software from the mapping information required by it.
3. Results and discussion
3.1 Description of the study area
"La Arenosa-La Margarita" micro basin is tributary of the Combia creek. It is located on the western slope of the Central mountain range in the city of Pereira, Risaralda (See Figure 4). It limits with the municipalities of Dosquebradas and Marsella. Born to 1.350 m.s.n.m. in the village of El Crucero de Combia at 04 ° 49'15.06 "N - 75 ° 44'39.99" W and flows into the Combia creek between the villages El Cofre and La Carmelita to 1,200 m.s.n.m. at 04 ° 50'20.71 "N - 75 ° 46'40.56" W, it has a rainfall in the year of 2,156 mm and an average temperature of 22 ° C. The total area of the watershed is 614.5 ha, it is characterized by soils of the Chinchiná Association - Azufrado (CL). It shows a relief strongly broken a steep, a degree of slight erosion to moderate slopes greater than 25%; textures vary from clayey soils in depths less than 1.0 m to sandy clay loam at depths greater than 1.0 m (CARDER & GIAS, 2012).

Most of the watershed area consists of coffee plantations and managed grass, which represents the 39% and 35% respectively. Other crops such as sugarcane, banana, cassava, tomato, among others, represent the 20%. The areas under coverage of secondary forest and bamboo are minimal, with percentages of 0.84% and 5.14%, respectively (ibid.).
84.5% of the watershed area (518.9 ha) presents the surface geological formation "Formación Pereira (TQP)"; in its stratotype, it consists of two blocks, the top one is made of of volcanic ash that can reach depths greater than 35 m and the bottom by fluvial deposits and glacial-volcanic deposits from the Plio-Pleistocene. 15.5% of the remaining area corresponds to the Barroso Formation (Kvb) and Quaternary sediments (Qfl). On the 84.5% of the area of the watershed lies the aquifer system Pereira-Dosquebradas, being this unit with a greater hydrogeological interest because of its area (46,464.4 ha) and known thicknesses, in some cases, greater than 300 m, where the greater number of wells with varying depths between 40 m and 253 m, and an average of 107 m, filtering areas between 10 m and 244 m, and flow rates operating between 0.1 and 16.7 lps are found (CARDER, 2007).
3.2 Total water availability
The AED was applied to each of the identified stations (Figure 5), finding no change in the behavior of the data in the chart analysis. Similarly, in the confirmatory analysis, it was found that these obey their normal behavior, and from the determination of parametric tests, stability variance as the average for a significance level of 0.05 was obtained (Loaiza et al., 2014; Castro & Carvajal, 2010). Therefore, this rainfall information was assumed as reliable which reduces uncertainty in the estimation of the total water availability in the study area.

Then, to the microbasin La Arenosa-La Margarita a relationship of interaction aquifer-river, where the surface current flow receives input underground discharge (CARDER, 2007) was considered. This statement indicates that the river behaves as effluent, meaning that it gains local aquifer discharge water through a direct hydraulic connection (May & Mazlan, 2014). Therefore it was assumed that groundwater discharge into rivers can bring the flow in dry periods maintaining a permanent flow in the main channel based on the views expressed by Wittenberg (2003). In this context calculation of the total water availability was estimated as the addition of the ESC, the underground discharge rate (QdSUB) and losses (assumed to be negligible, hT = 0) related in Figure 3 (case I).
ESC cartographic information for land use in 2011 was used, considering a Curve Number (CN) 85 weighted, with good hydrological conditions, soil type C (for predominance of clays), low values of infiltration (1-20 mm / h) and median precedent humidity (MAVDT, 2004), according to information available on CARDER & GIAS (2012).
The model results were related in Table 2 where it was observed that the average annual recharge is equal to 629.2 mm and the annual average rainfall is 2,156 mm. Which assumes that approximately 29.2% of the annual precipitation becomes recharge. This value is within the range given by Rushton & Ward (1979) who state that the annual recharge in humid areas, is between 15% and 30% of annual rainfall, due to factors such as soil texture, moisture and root depth (Finch, 1998) considered in the model. It was also noted that the total water availability obeys a bimodal (see Figure 6) typical of the Andean region of Colombia (IDEAM, 2010) with two dry periods in the year (June-July-August and December-January-February) and two humid periods (March-April-May and September-October-November), demonstrating that the total water availability depends more on weather conditions in the region of the geomorphological characteristics of the aquifer.


3.3 Comparison of the results throughout various models
In Figure 6, the total water availability was related to each of the supply flow through the comparative hydrological models. Where it was observed in the proposed model similar monthly flows during dry months, but higher in wet periods for both models compared, attributing this behavior in the area of study, to the aquifer-river connection (IDEAM, 2013; IDEAM, 2010; Custodio & Llamas, 1983) generating an additional contribution of groundwater flow to the surface, greater flow in wet periods coupled with increased surface and lower flow in dry periods.
It was also assumed that the way to consider the underground contribution by proposed model makes the difference from the models compared. This because the flow or percentage contemplated as underground contribution is much smaller after considering storage soil moisture, percolation and / or subsurface runoff. It also noted that in the watershed study the behavior of the contribution of groundwater flow to surface flow through the QdSUB - which is variable in the months of the yea-r has coincidence with periods of rain (greater contribution in the wet months and less supply in the dry months). This behavior is hardly observed with other methods, because they assume that the groundwater flow is constant. Finally, it was obtained from the proposed model that October has the highest rate of supply (0.720 l / s) compared to (0.339 l / s) the estimated by the SCS method (0.346 l / s) by the UNESCO method (0.339 l / s) by performance and (0.255 l / s) by the Tank model..
The analysis previously related, allowed the discussion of this methodological proposal as a valid approach to the quantification of surface and groundwater supply in areas of study that require estimating water availability, where hydrological information is still scarce or nonexistent. In addition, it is expected that in the future it would be coordinated with studies estimating types of connections between surface and groundwater flow, the ratio of the basins and aquifers identification of regional or local flows, etc., as obtained by Rassman et al. (2014) in the study conducted at the Naomi river (Australia) where it was possible to identify the interrelationship of groundwater flow aquifer interference with the river, especially during periods of drought and rain. Just as with the results obtained by Escobar & Aristizabal (2014) for the Tuluá river where they obtained that the total flow, to approximately 1.0% depending on the amount of rain in the area, represented the contribution of groundwater in the total surface flow. Therefore, when analyzing this result with the one obtained in this study (related in Table 2), it was allowed to note that the contribution of groundwater flow supply to the micro basin La Arenosa-La Margarita was a part of the total, but differs in its percentage contribution, possibly hydrogeological conditions, geomorphology, slope, etc., because the first is in predominance of a flat region on one of the main basins of Colombia as is the Cauca river (IDEAM, 2010) and the study basin, belongs to a mountain watershed drainage with lower order (CARDER & GIAS, 2012) located in the Colombian coffee region.
4. Conclusions
According to the estimate flow in the study area after applying the proposed model is expected that this will be a useful tool for estimating the total water availability in watersheds (areas smaller than 250 km2) on a monthly basis and / or daily where the relationship or interaction of SUP-SUB is stablished in a greater detail throwing more accurate results and articulated to hydrological models, both added as distributed; suggested for hydrological modeling channels instrumented so that the processes of calibration, validation and sensitivity analysis of the model, absent in this work due to lack of information, are taken into account.
According to the results obtained and in comparison with other methods widely used in hydrology, the model is considered viable to be applied in watersheds with little limnimetric information and different morphological conditions, although it is suggested that in future studies this method is contemplated in other areas of study, with sufficient piezometric information and that allows to have a tighter discharge rate in watersheds with aquifer-river connections.
Based on the methodological process proposed and the results obtained in this study, it was analyzed that this model is an important contribution to distribution processes, allocation and regulation of water uses, given that in Colombia one of the greatest difficulties in studies of total water availability estimation is the lack of information. Therefore, the application of this model that will integrate this water supply contemplating the underground component and using limited information, resulting interesting and important in the incorporation and implementation of strategies for IRWM such as sizing and designing works for water supply, early warning systems and contingency plans in winter seasons and / or shortages.
Despite all the limitations of the model, generally associated to the lack of information and knowledge, this is a valid proposal to have an initial approach to what could be the flow of exchange between the two systems, allowing to know how the underground component constitutes an important flow contribution to the total water availability, this to be considered in making decisions primarily on impact studies of the effects of climate change on water resources, studies determining environmental flows and distribution of water use scenarios regulation and management of water resources, to increase the pressure on it regarding the available supply.
Although Colombia is currently starting to make considerable progress in hydrological modeling of surface streams and aquifers, the increasing of knowledge of the hydrological cycle in watersheds, the scale of coverage or detail yet are concentrated in large areas, leaving small watersheds unaddressed, ignoring the dynamics that have these particular micro basins in the mountains of the coffee region where most water users (collective and individual) are those with the most complex problems in rural supply. Therefore, it is expected that this model is taken into account to address these areas of study and allow it to be a tool to generate monthly hydrological information and / or daily from reliable rainfall information to help a better joint management of water resources.
5. Aknowledgements
The authors express their gratitude to the Young Researchers of the 2014 program of the Administrative Department of Science, Technology and Innovation - COLCIENCIAS and the Technological University of Pereira - UTP, specifically the Research Group on Water and Sanitation of the Environmental Sciences Faculty o - GIAS, for the support for this research.
6. References
Aguas y Aguas de Pereira & UNAL (Universidad Nacional de Colombia). (2004). Oferta y demanda hídrica en la subregión No. 1 del departamento de Risaralda con los municipios de Risaralda y La Virginia. Informe final. Documento preparado para Aguas y Aguas de Pereira, Pereira, Colombia.
Arape, J. (2000). Manual de metodologías, tomo V: La técnica AHP. Programa de prospectiva tecnológica para Latinoamérica y el Caribe. Documento preparado para la Organización de las Naciones Unidas para el Desarrollo Industrial, ONUDI , Venezuela.
CARDER (Corporación Autónoma Regional de Risaralda) & GIAS (Grupo de Investigación en Agua y Saneamiento). (2012). Apoyo técnico y socialización de actividades para la reglamentación de microcuencas priorizadas en la subcuenca de la quebrada Combia. Documento preparado para la Corporación Autónoma Regional de Risaralda, CARDER, Pereira, Colombia.
CARDER (Corporación Autónoma Regional de Risaralda). (2007). Plan de manejo integrado del agua subterránea en Pereira y Dosquebradas. Pereira, Colombia .
Castro, L ., & Carvajal, Y. (2010). Análisis de tendencia y homogeneidad de series climatológicas. Revista Ingeniería de Recursos Naturales y del Ambiente 9, 5-25.
CONAGUA (Comisión Nacional del Agua). (2009). Determinación de la disponibilidad de agua en el acuífero 2644 fuerte mayo, Estado de Sonora. Documento preparado para el Organismo de Cuenca Noroeste, Dirección Técnica, Estado de Sonora, México.
CORPOCALDAS (Corporación Autónoma Regional del Caldas). (2014). Plan de ordenación y manejo ambiental de la cuenca hidrográfica del río Chinchiná en el Departamento de Caldas - Colombia. Manizales, Colombia.
Custodio, E., & Llamas, M. (1983). Hidrología subterránea. Barcelona, España: Ediciones Omega.
CVC (Corporación Autónoma Regional Del Valle Del Cauca) & UNIVALLE (Universidad del Valle). (2006). Estudio para la estimación del caudal de intercambio entre fuentes superficiales y subterráneas - aplicación en dos casos de estudio: Ríos Tuluá y Cauca. Volumen VIII. Documento preparado para la Corporación Autónoma Regional Del Valle Del Cauca, CVC, Santiago de Cali, Colombia.
Dahl, M., Nilsson, B., Langhoff, J., & Refsgaard, J. (2007). Review of classification systems and new multi-scale typology of groundwater-surface water interaction. Journal of Hydrology 344 (1-2), 1-16.
Eslamian, S., Karimi, S., & Eslamian, F. (2011). A country case study comparison on groundwater and surface water interaction. International Journal of Water 6 (1-2), 117-136.
Escobar, M.T., & Aristizábal, H. (2014). Estimación del caudal de transferencia entre el río Tuluá y el acuífero, zona de estudio del municipio de Tuluá, Valle del Cauca. Memorias V Congreso Colombiano de Hidrogeología, Medellín, Colombia.
Finch, J. (1998). Estimated direct groundwater recharge using a water balance simple model - sensitivity to land surface parameters. Journal of Hydrology 211 (1), 112-125.
Fleckenstein, J., Krause, S., Hannah, D., & Boano, F. (2010). Groundwater-surface water interactions: New methods and models to improve understanding of processes and dynamics. Advances in Water Resources 33 (11), 1291-1295.
Grassi, C. (1998). Fundamentos del Riego. Serie riego y drenaje. Documento preparado para el Centro Interamericano de Desarrollo e Investigaciones Ambiental y Territorial, CIDIAT, Caracas, Venezuela.
IDEAM (Instituto Colombiano de Hidrología, Meteorología y Estudios Ambientales). (2010). Estudio nacional del agua. Documento preparado para el Ministerio de Ambiente, Vivienda y Desarrollo Territorial, MAVDT, Bogotá, Colombia.
IDEAM (Instituto Colombiano de Hidrología, Meteorología y Estudios Ambientales). (2013). Aguas subterráneas en Colombia: Una visión general. Documento preparado para el Ministerio de Ambiente y Desarrollo Sostenible, Bogotá, Colombia.
IDEAM (Instituto Colombiano de Hidrología, Meteorología y Estudios Ambientales). (2014). Jaziku versión 0.91: Manual de usuario. Documento preparado para el Instituto Colombiano de Hidrología, Meteorología y Estudios Ambientales, IDEAM, Bogotá D.C., Colombia.
Jiménez, H. (1992). Hidrología básica I. Tomo I. Cali: Facultad de Ingeniería, Universidad del Valle.
Kalbus, E., Reinstorf, F., & Schirmer, M. (2006). Measuring methods for groundwater-surface water interactions: A review. Hydrology and Earth System Sciences 10, 873-887.
Loaiza, W., Carvajal Y., & , Baquero O.L . (2014). Sequías y adaptación, principios para su evaluación en sistemas productivos agrícolas del Valle del Cauca, Colombia. Cali: Universidad del Valle.
MAVDT (Ministerio de Ambiente, Vivienda y Desarrollo Territorial). (2004). Resolución 865 de 2004. Por la cual se adopta la metodología para el cálculo del índice de escasez para aguas superficiales a que se refiere el Decreto 155 de 2004 y se adoptan otras disposiciones del Ministerio de Ambiente, Vivienda y Desarrollo Territorial. Documento preparado para el Ministerio de Ambiente, Vivienda y Desarrollo Territorial, MAVDT, Bogotá, Colombia.
MAVDT (Ministerio de Ambiente, Vivienda y Desarrollo Territorial). (2010). Política nacional para la gestión integral del recurso hídrico. Documento preparado para el Ministerio de Ambiente, Vivienda y Desarrollo Territorial, MAVDT, Bogotá D.C., Colombia.
May, R., & Mazlan, N. (2014). Numerical simulation of the effect of heavy groundwater abstraction on groundwater-surface water interaction in Langat Basin, Selangor, Malaysia. Environmental Earth Sciences 71 (3), 1239-1248.
Monsalve, G. (1995). Hidrología en la ingeniería. Bogotá: Editorial Escuela de Colombiana de Ingeniería.
Ocampo, O. (2012). Análisis de la vulnerabilidad de la cuenca del río Chinchiná para condiciones estacionarias y de cambio climático. Tesis de Maestría, Departamento de Ingeniería Química, Universidad Nacional de Colombia, Manizales, Colombia.
Puertas, O.L., & Carvajal, Y. (2008). Incidencia de El Niño Oscilación del Sur en la precipitación y la temperatura del aire en Colombia, utilizando el Climate Explorer. Revista Ingeniería y Desarrollo (23), 104-118.
Rassam, D. (2011). A conceptual framework for incorporating surface-groundwater interactions into a river operation-planning model. Environmental Modelling & Software 26 (12), 1554-1567.
Rushton, K., & Ward, C. (1979). The estimation of groundwater recharge. Journal of Hydrology 41 (3-4), 341-361.
Saaty, T.L. (1980). The analytic hierarchy process. Nueva York: McGraw Hill International.
Schosinsky, G. (2006). Cálculo de la recarga potencial de acuíferos mediante un balance hídrico de suelos. Revista Geológica de America Central (34-35), 13-30.
SCS (Soil Conservation Service) (1968). Soil survey. Pulaski and Alexander Counties, Illinois, U.S. Washington D.C.: Department of Agriculture -USDA-.
Sokolov, A.A., & Chapman, T.G. (editors) (1981). Métodos de cálculo del balance hídrico: Guía internacional de investigación y métodos. Madrid / Paris: Instituto de Hidrología de España / UNESCO.
Sophocleous, M. (2010). Review: Groundwater management practices, challenges, and innovations in the High Plains aquifer, USA - lessons and recommended actions. Hydrogeology Journal 18 (3), 559-575.
Sophocleous, M., & Perkins, S. (2000). Methodology and application of combined watershed and groundwater models in Kansas. Journal of Hydrology 236 (3-4), 185-201.
Tóth, J. (1962). A theory of groundwater motion in small drainage basins in central Alberta, Canada. Journal of Geophysical Research 67 (11), 4375-4388.
Tóth, J. (1963). A theoretical analysis of groundwater flow in small drainage basins. Journal of Geophysical Research 68 (16), 4795-4812.
Vélez, J. (2001). Desarrollo de un modelo hidrológico conceptual y distribuido orientado a la simulación de las crecidas. Tesis Doctoral, Universidad Politécnica de Valencia, Valencia, España.
Wittenberg, H. (2003). Effects of season and man-made changes on baseflow and flow recession: Case studies. Hydrological Processes 17 (11), 2113-2123.
Yang, Z., Zhou, Y., Wenninger, J., & Uhlenbrook, S. (2014). A multi-method approach to quantify groundwater/surface water-interactions in the semi-arid Hailiutu River basin, northwest China. Hydrogeology Journal 22 (3), 527-541.
Zhou, Y ., & Li, W. (2011). A review of regional groundwater flow modeling. Geoscience Frontiers 2 (2), 205-214