Artículo
Cambios en la calidad del aire asociados al tráfico automotor durante el aislamiento por COVID-19 en Santiago de Cali, Colombia
Changes in air quality associated with road traffic, during COVID-19 lockdown in Santiago de Cali, Colombia
Cambios en la calidad del aire asociados al tráfico automotor durante el aislamiento por COVID-19 en Santiago de Cali, Colombia
Ingeniería y competitividad, vol. 25, núm. 1, pp. 1-17, 2023
Facultad de Ingeniería, Universidad del Valle
Recepción: 18 Enero 2021
Aprobación: 11 Agosto 2022
Resumen: Se analizó la variación temporal y espacial del tráfico automotor en la zona urbana del Distrito de Santiago de Cali y su relación con la concentración de material particulado, durante el primer semestre del año 2020. Se utilizaron datos de tráfico automotor compartidos por la Secretaría de Movilidad de Cali y datos de concentración de PM2.5 y PM10 medidos por el Sistema de Vigilancia de Calidad del aire de la entidad ambiental DAGMA. Se evaluó el registro de los flujos vehiculares en la ciudad, especialmente de motos y automóviles. Se analizó el comportamiento horario de todas las variables. Dado que el periodo de estudio incluye el primer periodo de aislamiento debido a la pandemia por COVID-19, se realizó el análisis de variables de tráfico y contaminantes para tres sub-periodos denominados: pre-aislamiento, aislamiento y post-aislamiento. Se observaron disminuciones de PM hasta del 69% durante el periodo de aislamiento en comparación con el periodo previo. Se encontró que hay dos puntos en la ciudad que muestran mayor tráfico y que registran las mayores concentraciones de material particulado, el primero ubicado en el centro y otro en el sur de la ciudad. Se encontró que la alta afluencia en estos puntos, responde a características de alta oferta y aglomeración de ciertos servicios, lo que aumenta el número de viajes hacia esas zonas. Finalmente, se analizó la variabilidad espacial de la concentración de PM10 y PM2.5, confirmándose la relación entre las altas concentraciones de estos contaminantes con las vías de alto tráfico vehicular en la ciudad. Los resultados permiten confirmar que las fuentes móviles son una de las principales causas del detrimento de la calidad del aire en la ciudad.
Palabras clave: Tráfico, calidad del Aire, material particulado, emisiones, movilidad urbana.
Abstract: The temporal and spatial variation of traffic in the urban area of the District of Santiago de Cali and its relationship with the concentration of particulate matter in the city for the first half of 2020 were analyzed in this research. Traffic data shared by the Secretariat of Mobility of Cali and PM2.5 and PM10 concentration data measured by the local environmental protection agency, DAGMA, were used. The vehicle flow data was evaluated, especially for motorcycles and automobiles. The hourly behavior of all variables was analyzed. Since the study period includes the lockdown due to the COVID-19 pandemic, the analysis of traffic and pollutant variables was carried out for three sub-periods called: pre-lockdown, lockdown, and post-lockdown. PM reductions of up to 69% were observed during the lockdown period compared to the pre-lockdown period. One in the center and the other in the south of the city were found to show the highest traffic and the highest PM concentrations. The high vehicle volumes in these points respond to the characteristics of high supply and agglomeration of certain services, which increase the number of trips to these areas. Finally, the spatial variability of PM2.5 and PM10 concentrations was analyzed, confirming the relationship between the high concentrations of these pollutants and the roads with high vehicular traffic in the city. Results confirm that mobile sources are one of the main sources affecting air quality in Cali.
Keywords: Traffic, air Pollution, particulate matter, emissions, urban mobility.
1. Introducción
El crecimiento de la población y los procesos de urbanización acelerados en las grandes ciudades demandan un aumento en la producción industrial, la generación de energía y la movilidad. A su vez, estos procesos resultan ser las principales actividades relacionadas con las emisiones de contaminantes atmosféricos que deterioran la calidad del aire 1-3. Es así que los procesos de urbanización, tal como ocurren actualmente, tienen un impacto ambiental negativo cuya magnitud dependerá de las características particulares de cada región. En América Latina, la segunda región más urbanizada del mundo 4, habitan 260 millones de personas concentradas en 198 urbes principales y se proyecta que para el 2050 el 87.8% de su población vivirá en ciudades 5.
Además, en esta región, la tasa de motorización tuvo un aumento del 60% entre el 2005 y el 2015 6. Por otra parte, el transporte en la región representa el 37% de las emisiones de CO2, por encima de la media mundial, que es 27% 5. Esto convierte al transporte, en una de las principales causas directas del deterioro de la calidad del aire en Latinoamérica. De esta manera, la motorización genera impactos ambientales debido a la congestión, la contaminación del aire y las emisiones de gases de efecto invernadero 7, generando problemas ambientales que se suman a las múltiples vulnerabilidades de la población de la región.
Una forma de evaluar el impacto ambiental de la motorización en las urbes, es a través del análisis de contaminantes del aire. Las concentraciones de estos contaminantes suelen estar reguladas en cada país, guiadas por las directrices de la Organización Mundial de la Salud. Esta entidad, ha emitido una guía de valores de riesgo para la concentración de un grupo de contaminantes, denominado contaminantes criterio, entre los cuales se encuentra el material particulado (PM), considerado el cuarto factor de riesgo para la salud humana 8. Sus impactos en salud se relacionan con accidentes cerebrovasculares, cánceres de pulmón y neumopatías crónicas y agudas, entre ellas el asma 9. La literatura científica muestra que una de las fuentes de emisión principales de PM en las urbes son las fuentes móviles o vehículos motorizados 10.
De esta manera, una mayor densidad poblacional y alto tráfico están asociados con niveles más altos de contaminación 11-13. También hay evidencia de una mayor concentración de contaminantes en espacios urbanos que suburbanos 14 y que las correlaciones específicas entre el tráfico y PM varían para cada contexto urbano 1. Uno de los métodos que permiten evaluar el impacto del tráfico sobre la contaminación atmosférica, es la relación del análisis de la variabilidad temporal y espacial para cada variable 15.
Este trabajo está enfocado en el Distrito de Santiago de Cali, una urbe latinoamericana, donde se han realizado estudios previos que sugieren que el incremento del parque automotor (PAM) y el deterioro de la calidad del aire están directamente relacionados 16,17. Sin embargo, se requieren investigaciones recientes que permitan confirmar esta hipótesis, dado los cambios geopolíticos que se han configurado en la ciudad en la última década.
Por otra parte, las medidas de aislamiento por COVID-19, que incluían restricciones en la movilidad de vehículos automotores, permitieron evidenciar una reducción significativa de la concentración de contaminantes atmosféricos (incluyendo el PM)(18,19). Según estudios realizados en diferentes países del globo, se observaron reducciones hasta del 43% del PM2.5 durante las restricciones 20. Los resultados de diversas investigaciones, concluyen que las fuentes móviles asociadas a los vehículos de motor, incluidos los aviones, son una de las fuentes más importantes que contribuyen a la contaminación atmosférica en todo el mundo 21.
De esta manera, el objetivo de este trabajo fue evaluar la variabilidad espacial y temporal del tráfico, la concentración de PM, y la relación de estas variables para el Distrito de Santiago de Cali, durante el primer semestre del 2020 incluyendo el periodo de aislamiento debido a la pandemia por COVID-19.
2. Metodología
En esta sección, se describe la metodología, las técnicas y los recursos utilizados para analizar los datos. Todos los análisis estadísticos cuantitativos se realizaron con el software RStudio®.
2.1 Áreas de estudio
El Distrito de Santiago de Cali (DSC) está localizado en el departamento del Valle del Cauca, en la región Pacífica de Colombia (3°27’26’’ N, 76°31’42’’ W). El DSC es el principal centro urbano, cultural, económico, educativo, industrial y agrario del suroccidente colombiano 22. Debido a esto, la ciudad viene experimentando procesos importantes de crecimiento demográfico y motorización. En el año 2020, la ciudad contaba con 737.478 vehículos registrados en el RUNT (Registro Único Nacional de Tránsito), de los cuales el 94% correspondía a vehículos motorizados privados. Al finalizar ese año, el DSC ocupó el segundo lugar en la lista de las ciudades colombianas con mayor número de matrículas de vehículos nuevos 23, cerrando con una tasa de 295 vehículos privados por cada 1000 habitantes.
Para enero de 2020, la estación Univalle, ubicada en el sur de la ciudad, con área de influencia en las comunas 17,18 y 22, reportó concentraciones de PM2.5 por encima de 37 μg.m-3 durante más de 48 horas continuas. Esta situación, llevó a la autoridad ambiental de la ciudad (DAGMA) a emitir alertas ambientales amarilla y naranja, siguiendo las indicaciones de la Resolución 2254 de 2017 24, que indican que la población perteneciente a grupos sensibles (mujeres embarazadas, niños, adultos mayores y personas con enfermedades respiratorias) deben abstenerse de actividades al aire libre 25.
2.2 Datos y metodología
En esta sesión se describen las fuentes de obtención de todos los datos analizados en esta investigación. En cuanto a los datos de tráfico automotor, estos fueron aportados por la Secretaría de Movilidad de Cali, quien compartió la base de datos de vehículos registrados por las cámaras de foto detección de la ciudad. De las 43 cámaras que se encuentran en la ciudad, se seleccionaron un total de tres cámaras por ser las más cercanas a las estaciones de monitoreo en estudio (Ver Figura 1), las otras cámaras se encontraban en zonas distantes. Además, en la zona donde se encuentra la estación Compartir, no hay ninguna cámara instalada, por tanto, no se contó con registro de tráfico en esta área. Las bases de datos iniciales constan de una serie de los vehículos registrados por cada cámara minuto a minuto. Estos datos fueron procesados y se generaron bases de datos con la suma de vehículos por hora y la velocidad promedio por hora, en las categorías de vehículo grande, vehículo mediano, vehículo pequeño, taxi y moto. Las cámaras no logran registrar el total de vehículos que circulan por la zona; sin embargo, los datos son una aproximación al comportamiento del tráfico. Se trabajó con datos para el periodo desde el 1 de enero hasta el 30 de junio de 2020, con un porcentaje del 98% datos horarios válidos.
Por otra parte, los datos de concentración de PM fueron suministrados por el Departamento Administrativo de la Gestión del Medio Ambiente (DAGMA). El DAGMA aportó los datos horarios de concentración de PM de nueve estaciones de monitoreo que hacen parte de su Sistema de Vigilancia de Calidad del Aire distribuidas en diferentes puntos cardinales de la ciudad (Figura 1), de las cuales se seleccionaron cuatro para este estudio. Aunque, a partir de enero de 2020, todas las estaciones son duales (miden PM2.5 y PM10 de forma paralela, se seleccionaron las estaciones con suficientes datos válidos para realizar los análisis (más del 75% de horas para un día). Los datos de PM2.5 fueron obtenidos de las estaciones Univalle y Compartir, y los datos de PM10 de las estaciones Compartir, Cañaveralejo y ERA (Ver Tabla 1). Se trabajó con datos horarios para el rango de fechas comprendido entre el 1 de enero y el 30 de junio de 2020.

Se organizaron bases de datos horarios por estación, que incluían datos de contaminantes y tráfico. Se obtuvieron, en promedio, 3753 horas para cada variable. El tiempo de análisis se dividió en tres sub-periodos. Al primer periodo, se le denominó pre-aislamiento, al segundo aislamiento y al tercero post-aislamiento, que abarcan las siguientes fechas:
1. Pre-aislamiento: desde el 1 de enero hasta el 15 de marzo de 2020, antes de decretarse el primer aislamiento estricto debida a la pandemia por COVID-19;
2. Aislamiento: desde el 16 de marzo (inicio de la suspensión de clases presenciales) hasta el 5 de mayo de 2020;
3. Post-aislamiento: desde el 6 de mayo (inicio de activación económica) hasta el 30 de junio de 2020.
Con los datos horarios de tráfico se realizaron tres gráficos de barras que permitieron observar y comparar la variabilidad diurna del número de automóviles, motos y el total de vehículos registrados por las cámaras de foto detección. Adicionalmente, se realizó una gráfica con el comparativo para todo el periodo de estudio (enero-junio 2020), indicando el periodo de medidas restrictivas por COVID-19.
Para los datos de PM, se realizó un comparativo gráfico del comportamiento de la concentración de este contaminante, en los tres periodos de análisis y para las cuatro estaciones relacionadas en la Tabla 1, diferenciadas por variable medida: PM10 o PM2.5.
Finalmente, se realizó un análisis espacial de la concentración de contaminantes empleando los datos de viento y velocidad del viento registrado por las estaciones y la biblioteca “openairmaps”. Todas las bases de datos fueron procesadas y analizadas en el software RStudio®, haciendo uso de bibliotecas como “openair”, “ggplot”, “plot_ly”, entre otras.
3. Resultados
3.1 PAM y variación diurna
En esta sesión se presentan y discuten los datos del análisis de variabilidad temporal del parque automotor. Los resultados del análisis de la variación horaria del número de vehículos que transitan por la ciudad muestran diferencias para cada categoría vehicular.

Por una parte, los automóviles presentan una distribución de tipo gaussiano a lo largo del día, con una inclinación a las 10-12 h del día, que es cuando se presentan los picos del registro de vehículos. Esto podría estar relacionado con el horario de la medida “pico y placa”, una medida de restricción de tráfico vehicular basada en el último número de la placa del vehículo, que aplica de lunes a viernes en dos rangos horarios: de 6 h a 10 h y de 16 h a 20 h.
En la Figura 2 (a), se observa que justo después de que se termina la restricción (10h), hay un aumento en el flujo de vehículos, especialmente para las cámaras 21 y 30. Sin embargo, la cámara 10, ubicada al sur de la ciudad, cerca de la estación Univalle (Ver Figura 1), registra un aumento desde las 6 h, lo que pareciera indicar que la restricción no tiene un efecto significativo sobre el número de automóviles que circulan en esa zona de la ciudad. Además de esto, el registro de todas las cámaras muestra un pico a las 18 h, que suele ser la hora pico de mayor tráfico en la ciudad, aunque para esa hora está vigente el segundo rango horario de la restricción de pico y placa.
En cuanto al comportamiento de las motos, para las que no aplica la restricción del pico y placa, éstas presentan dos alzas en el número de vehículos registrados por las cámaras, la primera, alrededor de las 8 h y el otro a las 18 h, que podrían estar relacionados con las dinámicas de ingreso y salida escolares y laborales (Figura 2 (b)). Los picos más altos se presentan en el registro de la cámara 21, ubicada al centro de la ciudad, cerca de la estación ERA. La diferencia en el comportamiento diurno entre automóviles y motos, da indicios de que la distribución del PAM no es homogénea en la zona urbana de la ciudad y que ciertas zonas podrían estar presentando mayor aglomeración de motos y/o de automóviles. Se requieren estudios que permitan evaluar el origen-destino de los vehículos y preferencias de viaje para comprender con mayor profundidad las dinámicas de movilidad de la ciudad.
El análisis del flujo vehicular registrado por las tres cámaras en estudio, que incluyen vehículos pequeños, medianos, grandes, motos y taxis, muestra un mínimo entre las 0 h y las 4 h. En las horas subsiguientes, el flujo vehicular aumenta de manera sostenida, presentando un decrecimiento a las 20h. En el comportamiento diurno no se logra evidenciar una disminución significativa de tráfico en las horas de “pico y placa” (6-10 h y de 16-20 h). Por el contrario, en esos lapsos horarios aparece un mayor conteo de automóviles (Figura 2 (c)).

En general, aunque la cámara 30, ubicada al oeste de la ciudad, cerca de la estación Cañaveralejo, es la que menor número de vehículos registra, los resultados muestran un comportamiento diurno similar al registrado por las otras cámaras, incluyendo los picos de tráfico a las 18 h.
Para el caso del DSC, que desde el año 2010 es la ciudad con la segunda tasa de motorización 26 más alta del país y cuyo PAM ha aumentado en un 64.12% en los últimos 7 años, se requieren estudios específicos que permitan evaluar la efectividad actual de la medida regulatoria de “pico y placa”. Investigaciones previas realizadas en otras ciudades, afirman que medidas de “pico y placa” reducen su efectividad con el tiempo, en la medida en que el PAM va incrementando 27,28. Por otra parte, se precisa evaluar si esta medida restrictiva ha estado acompañada de opciones de movilidad alternativas para la población, como un sistema de transporte público accesible, eficiente y seguro e infraestructuras que permitan utilizar transporte no motorizados como ir caminando o en bicicleta, de tal manera que se promueva la movilidad sostenible y no la plurimotorización, que es lo que puede estar ocurriendo en la ciudad.
3.2 Variabilidad del tráfico entre enero-junio 2020
El análisis mensual del tráfico en el periodo enero-junio 2020 muestra que para el primer periodo de análisis (pre-aislamiento) las cámaras, captaron entre 134 y 329 vehículos, siendo el más bajo para la cámara 30 (E.Cañaveralejo) y conteos muy similares para las cámaras 10 (E. Univalle) y 21 (E. ERA), presentándose un pico anómalo de la estación ERA a mediados de enero (Figura 3). Aunque los valores se mantienen dentro del rango durante todo el primer periodo, se presenta una fluctuación que puede deberse a las diferencias entre días laborales, fines de semana y días festivos, ya que cada uno de estos períodos tienen sus propias dinámicas de movilidad que repercuten sobre la variabilidad del tráfico.

Por otra parte, para el segundo periodo de análisis, que incluye las primeras restricciones debidas al aislamiento por la pandemia de COVID-19. Hay una particularidad y es que solamente para la cámara 10 se presenta una disminución significativa del tráfico al inicio del aislamiento (16 de marzo), cuando se suspendieron las clases presenciales, lo cual evidencia la relación entre el tráfico y la movilidad debido a la oferta de servicios educativos, concentrada principalmente al sur de la ciudad. En las otras cámaras se registra una disminución significativa del tráfico solo desde el 24 de marzo, cuando se decretó la restricción de movilidad en toda la ciudad, que ocasionó una disminución hasta del 91% del flujo vehicular registrado por las cámaras. El número de vehículos empieza a aumentar casi linealmente, entre los meses de marzo y abril, y se vuelve estacionario alrededor del 6 de mayo, cuando inició la activación de diferentes sectores económicos y se flexibilizaron las medidas de restricción de movilidad.
Después del 6 de mayo, hay un comportamiento lineal en aumento, lo que evidencia que el tráfico se fue regulando paulatinamente hasta alcanzar niveles similares a los de pre-aislamiento. Las cámaras 10 y 21 (Univalle y ERA) son las que registran mayor tráfico antes y después del aislamiento. Las zonas donde se encuentran localizadas estas estaciones, son zonas de alta aglomeración vehicular debido a la alta oferta de servicios en estos puntos. Por una parte, la estación Univalle está ubicada en el sur de la ciudad, que es declarada la zona de expansión de la ciudad desde el año 2000 29 y donde ocurre el principal proceso de conurbación del distrito hacia el municipio de Jamundí. Además, en esta zona se encuentra concentrada la principal oferta educativa universitaria de la ciudad. Estas características hacen que se presente frecuentemente congestión vehicular, principalmente en horas pico, lo que ha aumentado los tiempos de desplazamiento en la zona 30. En el mes de junio se registran valores mayores incluso que los registrados en pre-aislamiento, esto puede deberse a las dinámicas de periodo de vacaciones donde confluyen vehículos de otras regiones del país, además de levantamientos temporales de las medidas de pico y placa.
La cámara 21 se encuentra ubicada en el centro de la ciudad, donde se localiza el principal conglomerado de servicios comerciales, financieros, turísticos, gubernamentales y gastronómicos. Esta característica hace que gran parte de los viajes al interior de la ciudad se realicen hacia este punto geográfico, resultando en un mayor número de vehículos transitando hacia esa zona en diferentes horas del día. La literatura confirma que este punto de la ciudad, resultó ser “el punto de aforo con mayor cantidad de todo tipo de vehículos” en el 2017 31. Este estudio, realizado cuatro años después, confirma que sigue siendo una zona donde confluye gran parte del parque automotor de la ciudad.
3.3 Variabilidad de PM10 y PM2.5
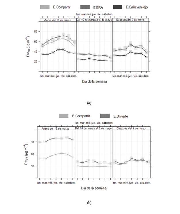
El análisis de concentración de PM10 y PM2.5 para los tres periodos, muestra resultados similares a los encontrados para el comportamiento del tráfico automotor. En la Figura 4 (a) se muestran las concentraciones de PM10 para el primer periodo en tres estaciones: ERA, Compartir y Cañaveral. La estación Cañaveral registra las concentraciones más bajas entre las tres, mientras que la estación ERA registra las concentraciones de PM10 más altas para ese periodo, esta estación también registró un mayor número de vehículos en el análisis del apartado anterior. Para el segundo periodo, o periodo de aislamiento, las concentraciones de PM10 presentan una disminución significativa para las tres estaciones, haciéndose mucho más notoria para la estación ERA, llegando a alcanzar valores hasta del 49% de la concentración de PM10 pre-aislamiento. Para el tercer periodo las concentraciones registradas por las tres estaciones incrementan, pero por debajo de las concentraciones del primer periodo.
En la Figura 4(b) se muestran las concentraciones de PM2.5 para el primer periodo en dos estaciones: Compartir y Univalle. La estación Univalle reporta concentraciones mucho más altas que las de la estación Compartir y también en el apartado anterior se presentó como la zona con mayor número de vehículos registrados por las cámaras de foto detección. Para el periodo de aislamiento, las concentraciones de PM2.5 al igual que las de PM10 presentan una variación significativa para las tres estaciones, resultando en una disminución de hasta en un 69% de la concentración pre-aislamiento para la estación Univalle,
En apartados anteriores, tanto la zona donde se encuentra la estación Univalle como la zona donde se encuentra la estación ERA, han sido asociadas con un mayor flujo de vehículos. Las investigaciones previas confirman que un mayor flujo de vehículos, regularmente está asociado a mayores emisiones de contaminantes al aire 32. Por tanto, se podría esperar que sea en estas zonas donde se presenta mayor concentración de contaminantes atmosféricos, como el PM, lo que fue confirmado por esta investigación.
Para el tercer periodo, las concentraciones registradas por las tres estaciones incrementan, pero por debajo de las concentraciones del primer periodo. Tanto la disminución de las concentraciones en el segundo periodo como el incremento en el tercer periodo, podría asociarse con las dinámicas de movilidad de la ciudad, ya que coinciden con el comportamiento del tráfico. El periodo pre-aislamiento tiene un comportamiento “regular”, mientras que en el periodo de aislamiento hubo un comportamiento atípico y se relaciona con la disminución de la movilidad en la ciudad. Por otra parte, la disminución del PM en el periodo post-aislamiento respecto al primer periodo, podría estar asociado no solo a la variabilidad de la movilidad, sino también a condiciones meteorológicas como alta precipitación, características del mes de mayo. Se precisan investigaciones que evalúen el impacto de la meteorología sobre la variabilidad del PM.

El Inventario de Emisiones realizado en 2017, liderado por la entidad ambiental CVC 31, concluyó que las fuentes móviles son las “fuentes de mayor relevancia” en la contaminación atmosférica de la ciudad, en tanto, el total de emisiones las fuentes móviles (2751 tn/año) supera en un orden de magnitud el total de emisiones de todas las fuentes fijas (223,8 tn/año). Por otra parte, investigaciones previas en otras urbes, concluyen que el impacto ambiental asociado al tráfico, depende tanto del flujo del mismo, como del tipo de combustible y las emisiones de los vehículos 33. Se requieren investigaciones que permitan caracterizar el transporte y sus emisiones, así como su impacto y las relaciones con las dinámicas de movilidad, ya que actualmente las investigaciones con ese enfoque para la ciudad son escasas 16,17,34.
La disminución de la concentración de PM durante el periodo de aislamiento no solo fue un fenómeno local. La literatura muestra que para diferentes regiones del planeta las medidas de cierre por COVID-19, mejoraron la calidad del aire, disminuyendo no solo las concentraciones de material particulado, sino también de otros contaminantes como óxidos de nitrógeno y azufre (NOX y SOX) 15,35. Los resultados del comparativo entre los periodos de pre-aislamiento, aislamiento y post-aislamiento realizado en este estudio, confirman que, al igual que otras regiones del mundo, las fuentes móviles son una de las principales causas directas del deterioro de calidad del aire en el DSC.
No obstante, es importante anotar que el aumento o la disminución del tráfico automotor obedece a la configuración de las dinámicas de movilidad en la ciudad que se relacionan con la concentración de desplazamientos hacia ciertas zonas, la predominancia de transporte motorizado privado sobre el público y el poco incentivo al transporte no motorizado o activo (caminar o bicicleta). Por tanto, aunque son los vehículos motorizados la causa directa del aumento de contaminantes, es el metabolismo social lo que está determinando las variaciones cualitativas y cuantitativas de la calidad del aire en la urbe. Los análisis de tráfico y PM realizados en este estudio enfocan la atención de dos estaciones (ERA y Univalle), por ser las que reportan mayores valores en ambas variables. Es importante realizar estudios detallados que permitan evaluar las dinámicas sociales relacionadas con estas zonas de la ciudad.
3.4 Variabilidad espacial
En este apartado se muestran los resultados del análisis de datos, usando la función polarMap de la biblioteca openairmaps en RStudio®, La función polarMap traza un gráfico polar bivariante de las concentraciones, es decir que estas se muestran en función de la velocidad y dirección del viento. Este tipo de gráficos polares se utilizan ampliamente en la evaluación de calidad del aire para identificar las fuentes de emisión 33. Para este caso, se ha aplicado esta función para evaluar de forma gráfica la relación entre la concentración de material particulado y el tráfico en el DSC.
El resultado de este análisis de variabilidad espacial muestra que la mayor concentración de contaminantes para todas las estaciones proviene de una dirección que coincide con una carretera principal de alto tráfico, como se observa en la Figura 5. Las estaciones ERA, Cañaveralejo y Univalle muestran que la mayor concentración de contaminantes proviene de la dirección oriente. En el caso de la estación ERA, hacia la dirección oriente se encuentra la Calle 25, variante de la autopista Sur-oriental, que es una de las calles con mayor capacidad del flujo vehicular cerca del centro de Cali. Por otra parte, hacia el oriente de Cañaveralejo se encuentra la Calle 5ª, una calle muy conocida, asociada con la cultura caleña y en la que también converge un alto volumen de tráfico vehicular. De esta manera, hacia el oriente de la estación Univalle, se encuentra la calle 16 y la autopista Simón Bolívar, dos calles que en los últimos años han aumentado notablemente su flujo vehicular y que oscilan en una velocidad vehicular ente entre 14 y 21 Km.h-1 (36, bastante baja para carreteras con infraestructura remodelada y las principales del sur de la ciudad.
Finalmente, en cuanto a la estación Compartir, la Figura 5, muestra que, al contrario de las otras estaciones, la mayor concentración de material particulado proviene del occidente. Aunque para la estación Compartir no se cuenta con datos de tráfico ya que no hay cámaras de foto detección instaladas en la zona, siguiendo la línea de análisis para las otras estaciones, hacia occidente, se encuentran dos vías grandes, la avenida Ciudad de Cali y la Autopista Simón Bolívar que tienen un flujo vehicular muy alto y que, como se discutió en el párrafo anterior, el flujo vehicular ha aumentado a tal punto que las velocidades del tráfico son muy bajas, alcanzando solo el 23% de la velocidad máxima permitida. Por otra parte, es importante anotar que la dirección del viento predominante en horas pico es de occidente a oriente (O-E), lo que puede causar que la contaminación que llega al oriente de la ciudad sea la generada en el occidente o sur-occidente. Se precisan estudios que integren la variabilidad de la meteorología en el análisis del comportamiento de material particulado.

4. Conclusiones
El análisis comparativo de datos de tráfico y material particulado durante los periodos de pre-aislamiento, aislamiento y post-aislamiento, así con el análisis de variabilidad espacial permitió confirmar que las fuentes móviles son una de las principales fuentes de emisión de contaminantes atmosféricos en la zona urbana del Distrito de Santiago de Cali. Este resultado es coherente con aquellos que han sido informados en otros estudios realizados en urbes alrededor del mundo 16-21,35. Se encontraron dos zonas en la ciudad con mayor afluencia de vehículos y mayor concentración de contaminantes: el sur cerca de la estación Univalle y el centro cerca de la estación ERA. Estas zonas están relacionadas con alta oferta de servicios educativos y comerciales entre otros.
En el análisis de las relaciones entre tráfico y calidad del aire se observó que existe variabilidad espacial y por tanto diferencias en ambas variables para las diferentes zonas de la ciudad. Estas diferencias pueden estar relacionadas con diferentes dinámicas de movilidad instaladas en la ciudad que deben ser exploradas con mayor detalle en investigaciones posteriores.
Se precisan investigaciones enfocadas en las dinámicas de movilidad de la ciudad, así como en el sistema de transporte público y privado, su flujo y emisiones y sus relaciones con el diseño urbano.
La mejora significativa de la calidad del aire durante el periodo de aislamiento y cuarentenas, permitió evidenciar las principales fuentes de contaminación atmosférica en la ciudad. Además demuestra que la problemática de contaminación atmosférica puede ser contrarrestada y es reversible. Esto debe proporcionar a las entidades reguladoras, así como a la ciudadanía un punto de partida para proponer e implementar planes de acción efectivos para la mitigación de esta problemática.
5. Declaración de financiamiento y agradecimientos
Los autores agradecen a las dependencias de la Alcaldía de Santiago de Cali: DAGMA y Secretaría de Movilidad, por aportar los datos para esta investigación. A la Universidad del Valle y al Ministerio de Ciencia, Tecnología e Innovación de Colombia por la financiación para este proyecto.
6. Referencias
Gulia S, Shiva Nagendra SM, Khare M, Khanna I. Gestión de la calidad del aire urbano: una revisión. Atmos Pollut Res. 2015;6(2):286-304. Doi: 10.5094/apr.2015.033
Vilas Boas DS, Matsuda M, Toffoletto O, Garcia MLB, Saldiva PHN, Marquezini MV. Workers of São Paulo city, Brazil, exposed to air pollution: Assessment of genotoxicity. Mutat Res Genet Toxicol Environ Mutagen. 2018;834:18-24. Doi: 10.1016/j.mrgentox.2018.08.002
United Nations Human Settlements Programme (UN-HABITAT). State of Latin America and Caribbean cities: Towards a new urban transition. Nueva York, NY, Estados Unidos de América: United Nations; 2012.
United Nations. World Urbanization Prospects. Population.un.org. 2019 [citado el 12 de enero de 2022]. Disponible en: https://population.un.org/wup/Publications/Files/WUP2018-Report.pdf
Jannin R, Bertossi F. Organización institucional del transporte metropolitano en América Latina: 3 casos de estudio.
World vehicles in use -all vehicles. Oica.net. 2005 [citado el 12 de enero de 2022]. Disponible en: https://www.oica.net/wp-content/uploads//Total_in-use-All-Vehicles.pdf
Franco JF. Contaminación atmosférica en centros urbanos. Desafío para lograr su sostenibilidad: caso de estudio Bogotá. Revista Escuela De Administración De Negocios. 2012;(72):193-204.
WHO. Particulate matter (PM2.5 and PM10), ozone, nitrogen dioxide, sulfur dioxide and carbon monoxide WHO global air quality guidelines; 2021
Manisalidis I, Stavropoulou E, Stavropoulos A, Bezirtzoglou E. Environmental and health impacts of air pollution: A review. Front Public Health. 2020;8:14. Doi: 10.3389/fpubh.2020.00014
Gómez Peláez LM, Santos JM, de Almeida Albuquerque TT, Reis NC Jr, Andreão WL, de Fátima Andrade M. Air quality status and trends over large cities in South America. Environ Sci Policy. 2020;114:422-35. Doi: 10.1016/j.envsci.2020.09.009
Chang F-J, Chang L-C, Kang C-C, Wang Y-S, Huang A. Explore spatio-temporal PM2.5 features in northern Taiwan using machine learning techniques. Sci Total Environ. 2020;736(139656):139656. Doi: 10.1016/j.scitotenv.2020.139656
Liang LS, Jing JL, Wang AN, Luo FL. Temporal and spatial variation characteristics of PM2.5 concentration in "2+26" cities. ISPRS - Int Arch Photogramm Remote Sens Spat Inf Sci. 2020;XLII-3/W10:995-1000. Doi: 10.5194/isprs-archives-xlii-3-w10-995-2020
Zhou S, Lin R. Spatial-temporal heterogeneity of air pollution: The relationship between built environment and on-road PM2.5 at micro scale. Transp Res D Transp Environ. 2019;76:305-22. Doi: 10.1016/j.trd.2019.09.004
Xu X, Zhang T. Spatial-temporal variability of PM2.5 air quality in Beijing, China during 2013-2018. J Environ Manage. 2020;262(110263):110263. Doi: 10.1016/j.jenvman.2020.110263
Bertaccini P, Dukic V, Ignaccolo R. Modeling the short-term effect of traffic and meteorology on air pollution in Turin with generalized additive models. Adv Meteorol. 2012;2012:1-16. Doi: 10.1155/2012/609328
Silva Vinasco JP, Canchala Nastar T del R. Variación espacial y temporal de concentraciones de PM10 en el área urbana de Santiago de Cali, Colombia. Ingeniería de Recursos Naturales y del Ambiente. 2013;(12):129-41.
Morales KG, García TMT. Análisis comparativo de las concentraciones de PM2.5 en las estaciones de monitoreo de calidad de aire de las ciudades Bogotá, Medellín y Cali, durante el periodo pre-pandemia y pandemia agosto 2019 agosto 2020. Universidad de La Salle; 2020.
Tobías A, Carnerero C, Reche C, Massagué J, Via M, Minguillón MC, et al. Changes in air quality during the lockdown in Barcelona (Spain) one month into the SARS-CoV-2 epidemic. Sci Total Environ. 2020;726(138540):138540. Doi: 10.1016/j.scitotenv.2020.138540.
Collivignarelli MC, Abbà A, Bertanza G, Pedrazzani R, Ricciardi P, Carnevale Miino M. Lockdown for CoViD-2019 in Milan: What are the effects on air quality? Sci Total Environ. 2020;732(139280):139280. Doi: 10.1016/j.scitotenv.2020.139280.
Sharma S, Zhang M, Anshika, Gao J, Zhang H, Kota SH. Effect of restricted emissions during COVID-19 on air quality in India. Sci Total Environ. 2020;728(138878):138878. Doi: 10.1016/j.scitotenv.2020.138878.
Munir S, Coskuner G, Jassim MS, Aina YA, Ali A, Mayfield M. Changes in air quality associated with mobility trends and meteorological conditions during COVID-19 lockdown in Northern England, UK. Atmosphere (Basel). 2021;12(4):504. Doi: 10.3390/atmos12040504
Congreso. Ley 1933 del 01/08/2018. 2018 [citado el 12 de enero de 2022]. Disponible en: https://dapre.presidencia.gov.co/normativa/normativa/LEY%201933%20DEL%2001%20DE%20AGOSTO%20DE%202018.pdf
Fenalco, ANDI. INFORME DEL SECTOR AUTOMOTOR A DICIEMBRE 2020. 2021 [citado el 12 de enero de 2022]. Disponible en: http://www.andi.com.co/Uploads/12.%20INFORME%20DEL%20SECTOR%20AUTOMOTOR%20A%20DIC%202020_COMPLETO%20(2).pdf
Ministerio de Ambiente y Desarrollo Sostenible (Minambiente. Resolución 2254. 2017 Enero [citada 2022 feb 19]. Disponible en: http://www.ideam.gov.co/documents/51310/527391/2.+Resoluci%C3%B3n+2254+de+2017+-+Niveles+Calidad+del+Aire..pdf/c22a285e-058e-42b6-aa88-2745fafad39f
DAGMA. Estado de la calidad del aire - evento enero. 11/01/2020. Disponible en: https://www.cali.gov.co/dagma/publicaciones/38365/sistema_de_vigilancia_de_calidad_del_aire_de_cali_svcac/
Fenalco, ANDI. Informe del sector automotor a diciembre 2020. 2021 [citado el 12 de enero de 2022]. Disponible en: http://www.andi.com.co/Uploads/12.%20INFORME%20DEL%20SECTOR%20AUTOMOTOR%20A%20DIC%202020_COMPLETO%20(2).pdf
Posada Henao JJ, Farbiarz Castro V, González Calderón CA. Análisis del "pico y placa" como restricción a la circulación vehicular en Medellín basado en volúmenes vehiculares. Dyna (Medellin). 2011;78(165):112-21.
Molina C, Ríos P, Ortiz A. Incremento del parque automotor y su influencia en la congestión de las principales ciudades colombianas. Org.mx. [citado el 12 de enero de 2022]. Disponible en: http://observatoriogeograficoamericalatina.org.mx/egal12/Geografiasocioeconomica/Geografiadeltransporte/37.pdf
Departamento de Planeación Municipal. Plan de ordenamiento territorial - POT año 2000. Alcaldía de Santiago de Cali. 2000 [citado el 12 de enero de 2022]. Disponible en: https://www.cali.gov.co/planeacion/publicaciones/46688/pot_2000_idesc/
Secretaría de Movilidad. Movilidad. Alcaldía de Santiago de Cali; 2015.
CVC. Informe Final. Actualización del inventario de emisiones de Santiago de Cali. Alcaldía de Santiago de Cali. 2018 [citado el 12 de enero de 2022]. Disponible en: https://www.cali.gov.co/dagma/loader.php?lServicio=Tools2&lTipo=descargas&lFuncion=descargar&idFile=30513
Vasconcellos E, Corporacio´n Andina de Fomento. Ana´lisis de la movilidad urbana: espacio, medio ambiente y equidad. Bogota´; Banco de Desarrollo de América Latina: Corporación Andina de Fomento; 2011.
Echeverri Durán C, Restrepo DM, Morales LF. Medios de transporte sostenibles y mercado de bienes residenciales. Un análisis para Medellín. Desarro Soc. 2019;(83):145-83. Doi: 10.13043/dys.83.4
Mosquera J. El transporte en bicicleta: consolidando inequidades en las calles de Cali. Revista Sociedad y Economía. 2016;(31):95-119.
Mendez-Espinosa JF, Rojas NY, Vargas J, Pachón JE, Belalcazar LC, Ramírez O. Air quality variations in Northern South America during the COVID-19 lockdown. Sci Total Environ. 2020;749(141621):141621. Doi: 10.1016/j.scitotenv.2020.141621
García Ávila PA, Rojas NY. Análisis del origen de PM10 y PM2.5 en Bogotá gráficos polares. Rev Mutis. 2016;6(2):47-58. Doi: 10.21789/22561498.1150
Notas: