Artículo
Recepción: 24 Marzo 2022
Aprobación: 25 Septiembre 2022
DOI: https://doi.org/10.25100/iyc.v25i1.12051
Resumen: La reconstrucción inversa, una de las formas de cálculo del espectro de energía del eje central, ha mostrado buenos resultados en diversos estudios. Su validación, a falta del espectro real y practicidad, suele hacerse comparando la PDP medida en clínica, utilizando el índice gamma. El objetivo del trabajo es validar la reconstrucción espectral de un haz de electrones de 6MeV de un acelerador lineal Sinergy, por comparación con el espectro derivado de la simulación Monte Carlo del cabezal del acelerador, así como realizar un análisis sobre su relación con la validación por medio el criterio de índice gamma aceptado clínicamente (>95% dentro de 3% de diferencia de dosis/ 3 mm en distancia para concordancia). La reconstrucción inversa se usó regularización de Tikhonov y recocido simulado generalizado. Se observó un excelente acuerdo entre la PDP y el perfil de dosis reconstruido (obtenidas mediante el espectro reconstruido) y las PDP medida y la simulada (a partir del espectro de la simulación del cabezal), dado que el pasaje fue de > 95% dentro de 1%/1mm y 2%/2mm para las PDP y el perfil de dosis, respectivamente. Los espectros simulado y reconstruido presentaron formas similares, coincidiendo en energía más probable y gran parte de la región de bajas energías. Pese a serias discrepancias en la región del pico, esto no se reflejó en diferencias clínicamente observables. En conclusión, se verificó que el espectro reconstruido es próximo de uno simulado por Monte Carlo por lo que es apropiado para uso clínico e investigativo.
Palabras clave: Porcentaje de dosis en profundidad, perfil de dosis, reconstrucción inversa, validación Monte Carlo, índice gamma.
Abstract: Inverse reconstruction, one of the ways of calculating the energy spectrum of the central axis, has shown good results in various studies. Its validation, in the absence of the real spectrum and practicality, is usually done by comparing the PDP measured in the clinic, using the gamma index. The objective of the work is to validate the spectral reconstruction of a 6MeV electron beam from a Sinergy linear accelerator, by comparison with the spectrum derived from the Monte Carlo simulation of the accelerator head, as well as to carry out an analysis of its relationship with the validation by means of the clinically accepted gamma index criterion (>95% within 3% dose difference/3 mm in distance to agreement). The inverse reconstruction used Tikhonov regularization and generalized simulated annealing. Excellent agreement was observed between the PDP and the reconstructed dose profile (obtained from the reconstructed spectrum) and the measured and simulated PDPs (from the head simulation spectrum), as passage was >95% within of 1%/1mm and 2%/2mm for the PDPs and the dose profile, respectively. The simulated and reconstructed spectra presented similar shapes, coinciding in most probable energy and much of the low energy region. Despite serious discrepancies in the peak region, this was not reflected in clinically observable differences. In conclusion, it was verified that the reconstructed spectrum is close to one simulated by Monte Carlo, making it appropriate for clinical and research use.
Keywords: Depth dose percentage, dose profile, reverse reconstruction, monte Carlo validation, gamma index.
1. Introducción
La radioterapia (RT) es una de las modalidades de tratamiento contra el cáncer más extendidas del mundo. La RT tiene por finalidad liberar la mayor cantidad de dosis posible dentro de las fronteras del tumor, para minimizar la afectación al tejido sano circundante. El éxito de la radioterapia depende de la tecnología disponible y el tipo de partícula (fotones, electrones, protones, etc). La radioterapia con haces electrones está indicada para tumores sólidos superficiales, dado su corto rango1, la de fotones suele emplearse para lidiar con tumores profundos2 y la más reciente y costosa, la de protones, que también se usa en tumores profundos con la ventaja comparativa de la focalización de la dosis en el tumor, reduciéndola dramáticamente en los tejidos circundantes3.
Un haz clínico de electrones se puede entender como un campo de radiación que resulta de la mezcla de electrones puros o primarios, electrones secundarios y fotones de frenado. Electrones puros son los generados al interior del acelerador lineal mientras que los secundarios y los fotones de frenado se producen por colisiones inelásticas y radiactivas con los átomos de las estructuras internas del acelerador (colimadores, cámara de ionización, aplicador, etc.) 4,5. Por medio del método Monte Carlo o por una apropiada teoría de transporte de radiación es posible evidenciar diferencias entre haces clínicos e hipotéticos haces monoenergéticos de electrones, a igual energía nominal. Las diferencias entre ambos haces se deben a la existencia de electrones secundarios que elevan, en el haz clínico, la dosis en la superficie y, por otro lado, a la presencia de los fotones de frenado contaminantes responsables del tramo final o cola (dosis contaminante) de la porcentaje de dosis en profundidad (PDP) 5,6.
En clínica, la PDP es un importante parámetro dosimétrico utilizado para describir la distribución de la dosis a lo largo del eje central. La PDP se calcula dividiendo la dosis absorbida en cada profundidad del eje central, 𝐷, por el valor máximo de la dosis absorbida, 𝐷 𝑚𝑎𝑥, como expresado por la Ec. (1),
Dado que la PDP es consecuencia de la deposición energética de los electrones incidentes, su magnitud y forma depende críticamente del espectro 7-9.
El perfil de dosis (PD) es otro parámetro de relevancia clínica asociado con las dosis fuera del eje central (en inglés off-axis doses), porque el tumor es tridimensional que, además de estar acotado en profundidad por la PDP, debe estarlo lateralmente, por el PD. Matemáticamente,
El cálculo del PD en la Ec. (2), se hace a una determinada profundidad, por lo general, la de máxima dosis o a una de referencia.
El espectro de energía es la distribución energética de la fluencia de los electrones que llegan a la superficie del fantoma, es decir, la cantidad de electrones que inciden por unidad de energía y área. Sin embargo, por lo general, el espectro se normaliza por su máximo valor 10. El conocimiento preciso del espectro de energía es uno de los elementos cruciales en dosimetría y la planificación del tratamiento radioterápico 7,11,12.
Las tres principales técnicas para determinar el espectro de energía de electrones son la simulación de la fuente de radiación por el método Monte Carlo; la medición directa usando un espectrómetro magnético de electrones y la reconstrucción inversa a partir de curvas de PDP. De estos, la reconstrucción inversa es la más atractiva dada su fácil implementación, buenos resultados previos y rapidez, pese a no ser el estándar oro y tener limitaciones físicas y matemáticas relacionadas con la dosis contaminante y la dispersión angular, relevantes a alta y baja energía nominal del haz de electrones, respectivamente 5,8,9,13-15.
La simulación Monte Carlo (SMC) es ampliamente conocida y utilizada en radioterapia y física médica. En radioterapia tiene utilidades que van desde simulaciones en test preclínicos, test clínicos, dosimetría, controles de calidad y planificación del tratamiento16 dado que los sistemas de planificación son rutinariamente empleados (TPS, del inglés treatment planning system) en técnicas avanzadas como radioterapia de intensidad modulada (IMRT), terapias de arco (VMAT) o radiocirugía están basados en cálculos de Monte Carlo17.
En trabajos anteriores 18,19, demostramos que la reconstrucción inversa es efectiva para derivar el espectro de energía a partir de una PDP clínica, por medio de la combinación de regularización de Tikhonov y algoritmo de recocido simulado generalizado. Sin embargo, quedó algo sin resolver: ¿el espectro de electrones reconstruido es similar al real (obtenido por espectrometría magnética) o al simulado (a partir del cabezal del acelerador usando Monte Carlo)? La pregunta es pertinente porque, hasta el momento, la validación de la reconstrucción la hicimos indirectamente aplicando el índice gamma a las PDP clínica y simulada (a partir del espectro reconstruido) y no cotejando directamente los espectros.
Por lo tanto, el propósito de este trabajo es validar la metodología de reconstrucción inversa del espectro de energía de un haz de electrones de energía nominal de 6 MeV comparándolo con uno simulado en Monte Carlo.
2. Metodología
2.1 Modelamiento matemático de la reconstrucción espectral inversa
El espectro de energía de un haz de electrones incidentes en la superficie de un fantoma, 𝜑(𝐸), y la PDP de electrones puros, 𝐷(𝑧), se pueden relacionar mediante la ecuación de Fredholm de primer tipo 15,20.
donde 𝐷(𝐸,𝑧) es la matriz de PDP monoenergéticos construida a partir de haces hipotéticos monoenergéticos con energías entre 𝐸𝑚𝑖𝑛 y 𝐸𝑚𝑎𝑥 e intervalo infinitesimal de energía entre haces, 𝑑𝐸. La PDP de electrones puros es la PDP clínica a la que se la ha sustraído la dosis de los fotones contaminantes. En otro artículo de nuestra autoría 21, se explica el método de extrapolación lineal de la cola de la PDP para obtener la dosis de los fotones contaminantes, por lo que no se describirá en este trabajo.
Dado que la Ec. (2) es mal-condicionada, la inversión de la matriz 𝐷 es insuficiente para obtener una solución útil y estable de 𝜑. Por tanto, se emplea la regularización de Tikhonov, expresada en el funcional, 𝛿(𝜑), de la Ec. (3)20,22.
donde 𝐾 es el kernel del funcional, 𝜆 es el factor de regularización, 𝐿 es la matriz de regularización, 𝜑0 es la solución espectral inicial propuesta y 𝜑𝜆 es el espectro obtenido para un valor específico de 𝜆. La idea subyacente a la regularización de Tikhonov es alcanzar un equilibrio entre la exactitud de la solución (norma residual) y la suavidad de la misma (norma de la solución) 23, es decir, un espectro con resultados clínicos aceptables y poco ruido (perturbaciones en sus componentes).
Para minimizar 𝛿(𝜑), es necesario aplicar algún algoritmo de optimización tal como el de mínimos cuadrados, algoritmo genético o recocido simulado generalizado (RSG). Por la demostradamente alta eficacia y rapidez de RSG para encontrar el mínimo o máximo global de funciones multidimensionales 24, especialmente cuando este se encuentra escondido detrás de muchos mínimos locales, se decidió emplearlo en este trabajo. RSG es una técnica metaheurística que simula el proceso de recocido físico en el cual un metal es calentado hasta su temperatura de fusión para después ser lentamente enfriado de tal forma que la configuración geométrica alcanzada al final del proceso de enfriamiento esté libre de imperfecciones 10,24. Esto significa que, después de un proceso de muchas iteraciones, RSG irá encontrando el mínimo/máximo global de la función, al escapar de mínimos/máximos locales, al admitir eventualmente soluciones que incrementen el valor de la función.
2.2 Procedimiento de la reconstrucción inversa
Para reconstruir el espectro de electrones a partir de la PDP, se lleva a cabo el siguiente paso a paso:
La PDP clínica fue obtenida por la Ec. (1), donde la 𝐷 fue medida en un cubo de agua de 20x20x20 cm3, irradiado por un haz de electrones de 6 MeV y campo cuadrado de 10x10cm2 en su superficie. El haz provino de un acelerador lineal Synergy - Eleckta del Hospital Nacional Carlos Alberto Seguin Escobedo de Arequipa (Perú). Posteriormente, como 𝐷(𝑧) en la Ec. (2) es la PDP de electrones puros, a la PDP clínica se le restó la dosis de los fotones contaminantes. De ahora en adelante a 𝐷(𝑧) se le llamará PDP medida.
El kernel 𝐾 se construyó colocando a las PDP monoenergéticas de haces de electrones entre 𝐸𝑚𝑖𝑛 = 0,125 MeV y 𝐸𝑚𝑎𝑥 = 7 MeV como columnas de la matriz 𝐷(𝐸,𝑧) multiplicada por el 𝑑𝐸=0,125𝑀𝑒𝑉, así: 𝐾=[𝑃𝐷𝑃0,125𝑀𝑒𝑉, 𝑃𝐷𝑃0,25𝑀𝑒𝑉, 𝑃𝐷𝑃0,375𝑀𝑒𝑉,…, 𝑃𝐷𝑃7𝑀𝑒𝑉]* 0.125 𝑀𝑒𝑉. Las PDP monoenergéticas se simularon en PENELOPE 2008 25, a partir de una fuente puntual ubicada 100 cm encima del fantoma de 20x20x20 cm3, dibujando un campo cuadrado de 10x10cm2 en su superficie, porque esta es la configuración de referencia clínica (la misma de la PDP medida).
Para definir la energía de la fuente puntual monoenergética se usó la función SENERG; para dibujar el campo cuadrado, SPYRAM con apertura de 2,86°; para la ubicación de la fuente a 100 cm de la superficie, la función SPOSIT. Los valores de parámetros de simulación (MSIMPA) se definieron para garantizar una incertidumbre del 2% a la profundidad máxima de dosis para un número de eventos simulados (en inglés, number of simulated showers) de 1x108 (Figura 1).
Todas las PDP monoenergéticas utilizaron la misma configuración geométrica y energética, lo único que cambiaba era el valor de la energía nominal en SENERG.
Para determinar 𝜆 y 𝐿 se usaron las funciones l_curve y get_l con orden 1, del paquete de herramientas de regularización de Hansen 23, respectivamente.
La solución inicial del espectro, 𝜑0, se supuso como una función gaussiana centrada en la energía más probable (𝐸𝑚𝑝) y con anchura a media altura (FWHM en inglés Full Width at Half Maximum) dependiente del rango práctico. Estos dos datos se calcularon como en Wilches y Costa et al18, usando la función gausspdf(𝐸, [𝐹𝑊𝐻𝑀 /2,355, 𝐸𝑚𝑝] de MATLAB.
Después de definidos los valores de la Ec. (3), se continua con el proceso de minimización. Para tanto, se usó la función GSA 10,24, con parámetros de visitación, 𝑞𝑣=2,7, de aceptación, 𝑞𝑎=-52,7 y número de iteraciones, 𝑛 = 1000.
El resultado de la minimización es el espectro de energía reconstruido. Seguidamente, el espectro es introducido en PENELOPE, para obtener la PDP reconstruida. Las condiciones de simulación fueron iguales a las de las monoenergéticas (Fig. 1), con la diferencia de que para la reconstruida se usó la función SPECTR, en lugar de SENERG. En la carpeta de simulación la PDP se construye a partir del archivo y-dose.dat mientras que el PD de los del 3d-dose.dat.
Los detalles de la simulación del cabezal del acelerador lineal Synergy, a partir de la cual se determinó el espectro de energía de 6 MeV del acelerador en la superficie del fantoma, en adelante, espectro simulado (o estándar oro), y su respectiva PDP, en adelante, PDP simulada, se explican detalladamente en otro lado 1.
2.3 Validación de la reconstrucción espectral
La validación del proceso de reconstrucción se lleva a cabo en dos etapas y metodologías distintas:
i) La tradicional, empleada en anteriores trabajos, que consiste en utilizar el índice gamma bajo el criterio recomendado por la Asociación Americana de Físicos en Medicina (AAPM en inglés American Association of Physics in Medicine): más del 95% de los puntos dentro del círculo de aceptación donde la diferencia de dosis (DD en inglés dose difference) y la distancia para concordancia (DTA en ingles distance to aggrement) entre la PDP reconstruida y las PDP simulada y medida es menor o igual a DD = 2% y DTA = 2 mm 19. El índice gamma se computó haciendo uso de la función Calcgamma26. Asimismo, se compararon los perfiles de dosis reconstruido, simulado y medido, bajo el mismo criterio gamma (2%/2mm).
La novedosa, propuesta en este trabajo, consistente en comparar los espectros reconstruido y simulado. El propósito de esta comparación es verificar si existen muchas diferencias entre el reconstruido con el estándar oro y, sobre todo, si estas diferencias repercuten en los parámetros clínicos (PDP y PD).
El software utilizado en el proceso de minimización y de validación fue MATLAB R2015a (Computador portátil: Win 10 Pro. CPU: 2,0 GHz, RAM: 12 GB).

3. Resultados
Los espectros reconstruido y simulado muestran una forma similar: cola larga a bajas energías y un pico a altas energías, centrado en la misma energía 𝐸𝑚𝑝 =6,25 MeV (Fig. 2). El pico del espectro simulado se asemeja a una gaussiana con fuerte asimetría negativa, mientras el del reconstruido no es asimétrico, tal vez por la distribución atribuida a la solución inicial.
Las discrepancias entre ambos espectros, medidas en errores absolutos, son, en promedio, mayores en la región de altas energía (pico, a la derecha) que en la de bajas energías (cola, a la izquierda). En otras palabras, en la cola, las diferencia entre los espectros no supera 0,1 mientras que, en el pico, especialmente después de la energía más probable, el error absoluto llega a un máximo de 0,5.
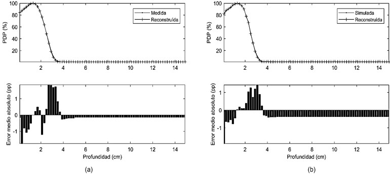
Al cotejar las 3 PDP por regiones se observó que, en la región de la cola, las mayores diferencias se observaron entre las PDP reconstruida y la simulada. En la región del pico, las diferencias de la PDP reconstruida con las otras dos son similares. En la región superficial, se notaron más discrepancias entre la PDP reconstruida y la medida (Fig. 3a), aunque en la dosis de entrada lo propio sucedió entre la reconstruida y la simulada (Fig. 3b).
Para una comparación abarcadora se usó el error porcentual medio absoluto (EPMA) entre las PDP reconstruida - medida y reconstruida - simulada, que dio como resultado, 0,33 y 0,53 %, respectivamente. Esto significa que, en general, la PDP reconstruida se ajustó mejor a la PDP medida que a la simulada, consecuentemente se podría decir que, en principio, el espectro reconstruido es más próximo al real (que no se conoce) que al simulado.
Para ambas comparaciones de PDP se satisfizo el criterio gamma del 2%/2mm, incluso, se mejoró, dado que se alcanzó un 100% de coincidencia dentro de 1%/1mm. Por otra parte, las diferencias entre los espectros en la Fig. 2, al parecer no acarrean consecuencias clínicas


apreciables, una vez que se presentó una buena coincidencia entre las PDP simulada y reconstruida. Respecto a los perfiles de dosis, sucedió algo similar que, para las PDP, el perfil reconstruido se ajustó mejor con el medido que con el simulado. En efecto, el EPMA para los perfiles reconstruido - medido fue de 1.78% (Fig. 4a), mientras que para reconstruido - simulado, 2,12 % (Fig. 4b).
El porcentaje de cumplimiento del índice gamma, en ambos casos, fue del 100% dentro de 2%/2mm, pero no se satisfizo cuando se bajó a 1%/1mm. En la práctica, estar dentro de un porcentaje de cumplimiento gamma > 95% dentro de 3%/3mm es aceptable, incluso en las modalidades más modernas (IMRT o VMAT) 27, por lo que haber alcanzado un mejor resultado, tanto a nivel de PDP como de perfil de dosis, ratifica lo demostrado en anteriores

trabajos 18,19,28: de que la reconstrucción inversa es una metodología fiable para obtener el espectro de energía de electrones clínicos. Lo distintivo de este trabajo es que se ha añadido la validación por comparación espectros.
4. Conclusiones
La reconstrucción inversa, combinando regularización de Tikhonov y recocido simulado generalizado, mostró ser un método confiable y rápido para obtener el espectro de energía de un haz de electrones de 6 MeV de un acelerador lineal Synergy Elekta una vez que, paso la prueba del índice gamma con un criterio más restrictivo que el comúnmente usado en clínica (>95% en 3%/3mm), tanto en PDP como en perfil de dosis. Adicionalmente, el espectro reconstruido se pareció en forma y ubicación del pico a su similar obtenido por simulación Monte Carlo del cabezal del acelerador lineal, algo que no había sido corroborado en anteriores trabajos.
5. Declaración de financiación y/o agradecimientos
Los autores agradecen al Hospital Nacional Carlos Alberto Seguin Escobedo de Arequipa por haber facilitado el estudio del cabezal del acelerador lineal Synergy. También agradecemos a la Universidad del Magdalena por el apoyo prestado. AMGD.
6. Referencias
Apaza Veliz D, Wilches Visbal J, Abrego F, Vega Ramírez J. Monte carlo calculation of the energy spectrum of a 6 MeV electron beam using penetration and energy loss of positrons and electrons code. J Med Phys. 2020;45(2):116-22.
Vyas V, Palmer L, Mudge R, Jiang R, Fleck A, Schaly B, et al. On bolus for megavoltage photon and electron radiation therapy. Med Dosim. 2013;38(3):268-73.
Yuan TZ, Zhan ZJ, Qian CN. New frontiers in proton therapy: Applications in cancers. Cancer Commun. 2019;39(61):1-7.
Zhu TC, Das IJ, Bjärngard BE. Characteristics of bremsstrahlung in electron beams. Med Phys. 2001;28(7):1352-8. Doi: 10.1118/1.1382608
Zhengming L, Jette D. On the possibility of determining an effective energy spectrum of clinical electron beams from percentage depth dose (PDD) data of broad beams. Phys Med Biol. 1999;44(8):177-82.
Brahme A, Svensson H. Radiation beam characteristics of a 22 mev microtron. Acta Oncol (Madr). 1979;18(3):244-72.
Rogers DWO, Faddegon BA, Ding GX, Ma CM, We J, Mackie TR. BEAM: A Monte Carlo code to simulate radiotherapy treatment units. Med Phys. 1995;22(5):503-24.
Gui L, Hui L, Ai-Dong W, Gang S, Yi-Can W. Realization and Comparison of Several Regression Algorithms for Electron Energy Spectrum Reconstruction. Chinese Phys Lett. 2008;25(7):2710-3. Doi: 10.1088/0256-307X/25/7/104
Li G, Wu A, Lin H, Wu Y. Electron spectrum reconstruction as nonlinear programming model using micro-adjusting algorithm. En: IFMBE Proceedings. 2008. página 451-4.
Wilches-Visbal JH, Apaza-Veliz DG, Nicolucci P. Spectral reconstruction of kilovoltage photon beams using generalized simulated annealing. Uniciencia. 2022;36(1):1-14.
Andreo P, Brahme A, Nahum A, Mattsson O. Influence of energy and angular spread on stopping-power ratios for electron beams. Phys Med Biol. 1989;34(6):751-68. Doi: 10.1088/0031-9155/34/6/010
Dina GX, Rogers DWO, Mackie TR. Calculation of stopping-power ratios using realistic clinical electron beams. Med Phys. 1995;22(5):489-501.
Carletti C, Meoli P, Cravero WR. A modified simulated annealing algorithm for parameter determination for a hybrid virtual model. Phys Med Biol. 2006;51(16):3941-52.
Faddegon BA, Blevis I. Electron spectra derived from depth dose distributions. Med Phys. 2000;27(3):514-26. Doi: 10.1118/1.598919
Deng J, Jiang SB, Pawlicki T, Li J, Ma C-M. Derivation of electron and photon energy spectra from electron beam central axis depth dose curves. Phys Med Biol. 2001;46(5):1429-49. Doi: 10.1088/0031-9155/46/5/308
Moreno-Barbosa E, Moreno-Barbosa F, Vargas-Hernández G, Palomino-Merino R, Ramos-Méndez J. 04C: Estudio Monte Carlo de la respuesta de un nuevo detector centellador plástico a haces de fotones de 6V. Med e Investig. 2014;2(1):64.
García Riñón D, Ferrer Gracia C, Huertas Martínez C, Sánchez López R, Sáez Beltrán M. Comparación de dosis absorbida en agua y dosis absorbida en medio en tratamientos de próstata y cabeza y cuello. Análisis con diferentes tamaños de rejilla y curvas de calibración CT. Rev Física Médica. 2022;23(1):11-26.
Wilches-Visbal JH, Costa AM. Inverse reconstruction of energy spectra of clinical electron beams using the generalized simulated annealing method. Radiat Phys Chem. 2019;162:31-8.
Wilches Visbal JH, Nicolucci P. Improved reconstruction methodology of clinical electron energy spectra based on Tikhonov regularization and generalized simulated annealing. J Appl Res Technol. 2021;19(6):622-32.
Chvetsov AV, Sandison GA. Reconstruction of electron spectra using singular component decomposition. Med Phys. 2002;29(4):578-91. Doi: 10.1118/1.1461840
Wilches Visbal JH, Martins Da Costa A. Determinação da Dose dos Fótons Contaminantes de Feixes de Elétrons Clínicos usando o Método de Recozimento Simulado Generalizado. Rev Bras Física Médica. 2017;11(2):2.
Zhengming L. A numerical method for solving the Fredholm integral equation of the first kind and its application to restore the folded radiation spectrum. Nucl Inst Methods Phys Res A. 1987;255(1-2):152-5.
Hansen PC. Regularization Tools version 4.0 for Matlab 7.3. Numer Algorithms. 2007;46(2):189-94. Doi: 10.1007/s11075-007-9136-9
Wilches Visbal JH, Da Costa AM. Algoritmo de recocido simulado generalizado para Matlab. Ing y Cienc. 2019;15(30):117-40.
Salvat F, Fernández-Varea J, Sempau J. PENELOPE - A Code System for Monte Carlo Simulation of Electron and Photon Transport A Code System for Monte Carlo. 2008.
Geurts M. 1D, 2D or 3D gamma index computation in Matlab. Github2018 [citado 2021 feb 5];1. Disponible en: https://github.com/mwgeurts/gamma/blob/master/CalcGamma.m
Querebalú Garcia C, Carrasco Solis E, Valladolid Salazar JV, Centeno Ramos J. Evaluation of the impact of parameters on the gamma index for breast cancer treatments. Rev Mex Física. 2021;67(6):1-6.
Wilches JH, Apaza DG, Da Costa AM. Sobre la posibilidad de usar el método de regularización de Tikhonov para reconstruir el espectro de energía de un haz clínico de electrones. MOMENTO. 2020;(60):1-17.
Notas: