Perceptores del Subsidio de Desempleo Agrario y de la Renta Agraria en el sur de España: evolución, diferencias territoriales y estructura por edad y sexo
Beneficiaries of agrarian subsidies in southern Spain: evolution, territorial differences, and age and sex structure
Perceptores del Subsidio de Desempleo Agrario y de la Renta Agraria en el sur de España: evolución, diferencias territoriales y estructura por edad y sexo
Ager. Revista de Estudios sobre Despoblación y Desarrollo Rural, núm. 20, pp. 33-72, 2016
Centro de Estudios sobre la Despoblación y Desarrollo de Áreas Rurales
Recepción: 02 Marzo 2015
Aprobación: 21 Septiembre 2015
Resumen: Trascurridos treinta años de la implantación en Andalucía y Extremadura del Subsidio de Desempleo Agrario y de la Renta Agraria, sus perceptores han sufrido cambios significativos en relación con su cuantía, su perfil sociodemográfico y su distribución espacial, tanto a nivel provincial como municipal, que es conveniente analizar. Los cambios normativos producidos, en consonancia con los socioeconómicos, las diferentes estructuras demográficas y productivas –agraria y no agraria– de los territorios en los que residen, el tipo de prestación que reciben y, en última instancia, la importancia que su cobro tiene dentro de la unidad familiar están detrás de estas disparidades evolutivas y socioterritoriales de sus beneficiarios. La actual crisis económica y la vuelta a la actividad agraria como sector refugio, y con ello al cobro de estas prestaciones, es otro aspecto que no conviene minusvalorar.
Palabras clave: Subsidio agrario, renta agraria, mercado de trabajo, desempleo, Andalucía.
Abstract: Thirty years after the implementation of the agrarian unemployment subsidy in Andalusia and Extremadura, we find that beneficiaries have undergone significant changes according to subsidy amount, demographic profile and territorial distribution, both at provincial and municipal level. Social historical disparities among beneficiaries are explained by legislative changes, socio-economic transformations, demographic and economic (agrarian vs. non-agrarian) structures at the local level, the kind of benefits that are received and the importance that these payments have for the household economy. It must also be considered the effect of the current economic crisis and the subsequent return to agriculture (and to the receipt of agrarian subsidies) as a last-resort activity.
Keywords: agrarian subsidy, agrarian income, labour market, unemployment, Andalusia.
Introducción, objetivos y fuentes
Uno o más errores encontrados en la captura de la información favor de verificar
Tres son, a nuestro entender, los aspectos básicos que sirven para comprender la aparición y relevancia que el Subsidio de Desempleo Agrario (SDA)y la Renta Agraria (RA) juegan en Andalucía y Extremadura a partir de 1984 y 2002, respectivamente: la denominada “cuestión agraria”, la situación del mercado de trabajo, especialmente del agrario, y el desigual sistema de protección establecido para los trabajadores de este sector.
En primer lugar, la “cuestión agraria” era el correlato de una estructura de la propiedad de la tierra tremendamente desequilibrada y de una aspiración identitaria del jornalero a su posesión, que jamás se resolvió estructuralmente ( Talego, 2012 ). Al contrario de lo que se pudiese suponer, la aprobación de reformas agrarias, consagradas en sus diferentes Estatutos, jamás supusieron un cambio significativo en su “reparto”, al ser concebidas como simples proyectos de modernización productivista [1] . Distribución de la propiedad de la tierra que, si bien tradicionalmente ha sido utilizada por la historiografía como la “principal expresión” de la desigualdad social en el interior de la zonas rurales, en los últimos años está siendo cada vez más discutida desde esa perspectiva ( González de Molina et al., 2014 ; Garrabou et al., 2014 ), por lo que se plantea la necesidad de abordarla desde nuevos planteamientos y dimensiones que incorporen a la tradicional equidad social, la defensa de la sostenibilidad a la hora de producir y alimentarnos ( Arnalte et al., 2012 ; González de Molina, 2014 ).
En segundo lugar, es desde la perspectiva del mercado de trabajo agrario desde donde más se ha publicado sobre el necesario papel social desempeñado por el SDA. Mercado de trabajo definido primero como “profundamente segmentado”, caracterizado por una gran concentración de la oferta de trabajo por el sector social detentador de la propiedad de la tierra; un excedente estructural de mano de obra que permite atender a la demanda en períodos concretos; una fuerte eventualidad y estacionalidad en el trabajo; poca o nula cualificación de la mayor parte del contingente de asalariados agrícolas; bajo nivel de retribución salarial, lo que genera una perenne situación de precariedad en la economía doméstica lo que convierte su cobro y su regularidad en “un recurso monetario imprescindible” ( Palenzuela, 1992: 218 ); débil representación sindical y permanente situación de complementariedad ( Gavira, 1992 ; Baigorri, 1994 ; Delgado y Gavira, 2006 ). Segundo, como elemento “distorsionador” del mercado trabajo agrario de Andalucía y Extremadura ( Cansino, 2003 ; García, 2004 , García y Troncoso, 2011 ), marcado por las importantísimas “diferencias territoriales” que supone el paro agrario en nuestro país, aspecto este que en 1984 justifica la implantación del SDA ( Cansino y Gómez, 1997 ; Gómez y Prieto, 2003 ; Fernández-Cavada; MartínFernández y Ortuño-Pérez, 2007 ). Por último, su papel en el mantenimiento de una población, de forma eventual y temporera y bajo el prisma de la movilidad y el nomadismo, como fuerza de trabajo para otras actividades económicas no agrarias, denominadas por Sánchez (1980) como “complejo agricultura-construcción-hostelería”.
En otros casos los trabajos se han centrado en el papel del SDA en los sectores más intensivos en mano de obra del litoral andaluz, en relación con la inmigración que encuentra trabajo –legal e ilegal– en la actividad agraria ( Avellá y Vega, 2002 ; Gualda, 2005 ; Díaz, 2009 ; Torres et al., 2014 ; Márquez, 2014 ), desplazando a los trabajadores autóctonos que logran mejor remuneración en otros sectores como la construcción y los servicios, lo que es entendido por Pumares (2006) como una situación de “movilidad social ascendente”. Tras la actual crisis, este proceso parece haber revertido pero no de forma completa ya que persiste, por parte del trabajador nacional, “una valoración marcadamente desfavorable de las condiciones laborales del sector” al que sólo se recurre “después de haber agotado cualquier otro recurso, desde el subsidio por desempleo hasta la ayuda económica y asistencial puesta en marcha por la red familiar” ( Escobar et al., 2012: 214-215 ). En esta misma línea han de señalarse los trabajos que ponen el énfasis, total o parcialmente, en el papel de la mujer dentro del sector agrario y, claramente y en relación con él, su participación como perceptora de estas prestaciones ( García y Cruz, 1995 ; Langreo, 2004 ; Cruces y Palenzuela, 2006 ). Importancia creciente cuando, con el devenir de los años, los cambios normativos, el envejecimiento del colectivo y su feminización las convierta en su mayor perceptor. El no haber salido del sistema, bien por no poder, bien por no querer al acarrearle una movilidad territorial a la que no siempre puede o quiere acceder, y que la limita laboralmente ( Camarero, 2009 ), termina convirtiéndolas en el colectivo más numeroso.
En tercer lugar, la protección por desempleo que supone el SDA y la RA se encuadra dentro las prestaciones “no contributivas” o “asistenciales” [2] . Esta protección ha venido siendo considerada más como una “dádiva” que como un “derecho” al que accede un trabajador tras cumplir con los requisitos que la Administración establece para el cobro de dicha prestación, dentro del Régimen Especial Agrario de la Seguridad Social (REASS) [3] . Ello da derecho a recibir una remuneración que equivale al 80% del Indicador Público de Renta a Efectos Múltiples –IPREM– vigente, es decir 426 €/mes, durante un periodo máximo que varía entre los 180 y 360 días, atendiendo a cuestiones relacionadas con la edad, las cargas familiares del perceptor, así como al número de jornadas trabajadas y cotizadas en los doce meses previos a la situación de desempleo.
Las históricas deficiencias del REASS le otorgan “un carácter residual y asistencial respecto del tratamiento que se le ha dado a los demás trabajadores” ( Romero, 2009: 597 ). Ello se traduce en la necesidad de crear otros programas para intentar paliarlas ( Castiñeria, 2001 ) [4] ; o en una menor cuantía de las pensiones que dichos trabajadores reciben, equivaliendo históricamente el 50% de las establecidas para el Régimen General [5] . Hecho trascendente, no sólo para el bolsillo de los pensionistas, sino también en términos sociales y territoriales, dado que “el Sistema de Seguridad Social vigente bajo el principio de Caja Única es uno de los principales mecanismos de redistribución de la riqueza en España que ayuda a mejorar el objetivo de cohesión social y territorial (…) permitiendo un ejercicio de contributividad a la vez que de solidaridad a nivel personal, sectorial y territorial, difícilmente alcanzable con sistemas alternativos” ( García, 2011: 157 ). Es a través de la Ley 28/2011 de 22 de septiembre [6] cuando se procede a la integración del REASS al Régimen General de la Seguridad Social como un Sistema Especial, equiparando progresivamente los derechos de los trabajadores agrarios en términos de cotización, prestaciones y protección, a la vez que mantiene la especificidad de Andalucía y Extremadura en relación con el SDA y la RA, según su Disposición adicional tercera, apartado 2º.
Teniendo en cuenta lo anterior, nuestro objetivo y aportación con este trabajo, pretende ser dar a conocer los cambios sociodemográficos que sufre este colectivo pasados 30 años de implantación, así como su desigual importancia territorial a escala provincial y municipal. Partimos de la hipótesis de su carácter heterogéneo y cambiante cuando se analiza su estructura por sexo y edad, al amparo de los cambios demográficos, económicos y normativos de la prestación que cobra. Los objetivos específicos que nos proponemos se concretan en:
a. Reseñar, brevemente, los cambios normativos básicos que han marcado eldesarrollo de estas prestaciones, por su importante capacidad explicativa a la hora de comprender la evolución cuantitativa y el perfil sociodemográfico de sus perceptores.
b. Analizar la evolución de los perceptores de SDA y de RA atendiendo a sunúmero, edad y sexo.
c. Representar y cartografiar estas variables a escala provincial y, siempre queha sido posible, municipal, mostrando las importantes diferencias entre unos y otros territorios.
Las fuentes de información utilizadas para el trabajo con datos municipales para Andalucía, han sido, por una parte, los colectivos acogidos al SDA, proporcionados por el Servicio Público de Empleo Estatal (SPEE) y el Servicio Andaluz de Empleo (SAE), a través del Instituto de Estadística y Cartografía de Andalucía (IECA); por otra parte, los nuevos perceptores de la RA, extraídos del SAE. Los datos a esta escala de análisis sólo se han podido obtener a partir del año 2000, no habiendo posibilidad de acceder a información anterior a esta fecha para el conjunto de los municipios de Andalucía.
Para los análisis provinciales y para el conjunto del colectivo objeto de estudio se han utilizado tanto los Anuarios como los Boletines mensuales de Estadísticas Laborales publicadas por el Ministerio de Empleo y Seguridad Social. Del mismo modo, se ha recurrido a la solicitud, para algunos aspectos concretos, de explotaciones a medida por parte de los Servicios de Estadística de la Seguridad Social en relación con las jornadas declaradas por parte de los perceptores, así como de los extranjeros que percibieron SDA con anterioridad a 2006.
Las fuentes del Ministerio presentan importantes limitaciones derivadas, de un lado, de la imposibilidad de obtener información municipalizada desde el momento de su implantación en 1984 hasta 1999. Ello obliga a realizar un análisis provincial si se quiere tener una visión completa de la evolución de sus perceptores así como de sus perfiles sociodemográficos. La distribución por edad del colectivo también ofrece ciertas limitaciones ya que, desde sus inicios, se optó por grupos desiguales de edad, siendo el de 25-54 años demasiado amplio y heterogéneo, y sólo a partir de 1995 se ofrecen datos por grupos de edad quinquenales. Lo mismo ocurre con la nacionalidad de los beneficiarios que no se recoge hasta 2006, siendo los extranjeros un colectivo muy escaso al suponer el 1,5% del total, lo que equivale a 4.500 personas en 2013. La principal deficiencia de las fuentes se encuentra en el grado de veracidad que tiene el dato de las jornadas de trabajo declaradas y/o cotizadas por parte de los solicitantes, ya que su cumplimiento es condición necesaria, entre otras, para su cobro. Asumiendo que esta información es muy cuestionable, que ha ido mejorando al amparo de cambios normativos y estadísticos, y de un mayor control del fraude, hace que algunos autores desaconsejen su uso para una cuantificación del mercado de trabajo agrario ( Langreo, 2002 ), nosotros la utilizamos sólo en la medida en que la evolución de alguno de sus datos permite corroborar el distanciamiento entre el perceptor del SDA y el mercado de trabajo [7] .
Evolución y periodización del número de perceptores
La primera cuestión que debería quedar clara, aunque no haga falta insistir demasiado en ello, es que los perceptores de estas dos prestaciones por desempleo son un porcentaje pequeño, variable y en los últimos años con cada vez menor significación en relación con los beneficiarios de la Seguridad Social de nuestro país. Ello se debe tanto a su presencia cada vez más reducida (los 203.000 perceptores de 2013 están lejos de los casi 300.000 de 1989), como al incremento de los efectivos de otras categorías. De hecho, en la actualidad sólo suponen el 7% de todos los beneficiarios del sistema cuando llegaron a ser más del 25%. Es más, dentro de las prestaciones de carácter asistencial, los perceptores del SDA y de la RA llegaron a representar el 55% en 1984 frente al 15% de 2013 ( figuras1 y 2 ).

Su evolución se refleja en la figura 3 y en el cuadro 18. El número de perceptores del SDA se incrementó desde su implantación en 1984 –casi 200.000 personas– hasta rondar los 300.000 en 1989 y 1990. A partir de esos momentos se produce su acelerado descenso hasta tocar suelo, apenas superando los 200.000 en 1992. Entre este año y el 2003, cuando entra en vigor el llamado “decretazo”, sus valores fluctúan entre los 220-225.000 perceptores; a partir de ese año se inicia el principio del fin de esta prestación, así como el nacimiento y crecimiento de los perceptores de RA, estabilizándose el volumen total de beneficiarios de ambas prestaciones en los 200.000. En 2013 los perceptores de SDA fueron 133.000 mientras que los de RA eran 63.500.

Otro hecho evidente es que la inmensa mayor parte de los perceptores son andaluces y su significación se increm enta con el devenir de los años ya que, alcanzados los 40.000 en los años 1988-89, los extremeños descienden de forma casi constante hasta situarse en los últimos años en los 26.000. Más allá de las grandes cifras señaladas, un aspecto que llama poderosamente la atención es que las tres curvas presentan un discurrir bastante similar entre ellas, salvo por la mayor intensidad con la que los perceptores de Extremadura se incorporan en los primeros años, para ir perdiendo peso posteriormente dentro del conjunto, al pasar del 18,8% en 1984 al 12,56% en 1990, porcentaje que mantendrá, con ligeras variaciones, en el resto del periodo ( López, 2003 ). Esta simetría en las oscilaciones, además de permitir establecer fases en su trascurrir, se explica más por cambios normativos, que favorecen o reducen el volumen de posibles beneficiarios, que por cuestiones ligadas en sí mismas al mercado de trabajo, al menos en este nivel general de análisis ( Román, 2004 ; Sánchez y Vicéns, 2010 ).
En base a ello se podrían diferenciar 4 fases:
de quienes pueden acceder a su cobro, especialmente en el caso de la mujer al convertirse en su principal protagonista.
2. La brusca caída de los valores, hasta tocar suelo en 1996 a niveles de 1984,es lo que caracteriza a la segunda etapa comprendida entre 1990 y 1996. Este descenso se convierte en desplome en el caso extremeño donde los valores del año 1996 suponen el 69% de los registrados en 1984; por el contrario en el caso andaluz se superan en un 7% los del año de inicio. En este contexto de fuerte descenso generalizado, los años 1992-94 ofrecen un pequeño repunte –en torno al 10%–, más importante en el caso andaluz que en el extremeño.
3. La tercera, a partir de 1997, señala un nuevo crecimiento hasta el año 2002,momento en el comienza un nuevo y final descenso de los perceptores del SDA. Durante ese periodo los valores se van incrementando a una media anual del 5%. En esta etapa el comportamiento de las CC.AA. es similar con crecimientos constantes y en porcentajes bastante similares en ambas: un acumulado del 15% para el caso de Extremadura y un 22,6% en Andalucía.
4. La última es la que se inicia en 2002, y está marcada por una estabilidad enlos valores, si bien es cierto que éstos tocan suelo en 2009, repuntando levemente hasta 2013 (del 102,1 en valores índices se pasa al 105,6 entre ambas fechas). Ahora bien, esta “estabilidad” en las cifras a partir de 2004 encierra dos tendencias dispares ( figura 3 ). La constante reducción de los perceptores del SDA se compensa en términos cuantitativos con el incremento de los perceptores de la RA, aunque en términos cualitativos el perfil sociodemográfico de ambos colectivos es muy diferente. No en vano, en 2013 éstos representan el 34,27% del conjunto.

Como ya señalamos, son los cambios normativos los que explican esta periodización. Algunos de los más significativos son:
• El R.D. 1387/1990 de 8 de noviembre es importante por dos motivos [10] . Por dar fin al carácter transitorio de las anteriores regulaciones, tras el pronunciamiento del Tribunal Constitucional sobre el carácter no discriminatorio de reducir la percepción del SDA a ámbitos geográficos determinados y concretos [11] . Y por extender el requisito de la carencia de rentas a la totalidad de la unidad familiar según los valores y límites fijados en relación con el número de miembros de la unidad familiar (art. 3.2), ya que con anterioridad esta limitación solo afectaba al trabajador y su cónyuge; además se excluye la posibilidad de computar, a la hora de justificar el número mínimo de peonadas requeridas para el cobro de la prestación, las jornadas cotizadas por el Régimen General de la S.S. en las obras del Plan de Empleo Rural (PER) para los menores de 35 años que no tengan responsabilidades familiares y no procedan del Empleo Comunitario (Disposición transitoria primera). Para los demás casos se exige un número mínimo de 30 jornadas reales cotizadas en el REASS. Estos dos hechos están, sin duda, en el origen de la reducción de los beneficiarios, especialmente los más jóvenes, que encontraban en las obras del PER uno de los mecanismos básicos de justificación de las 60 jornadas trabajadas para poder acceder al SDA.
• El R.D. 5/1997 de 10 de enero reduce el número de jornadas reales cotizadas a un mínimo de 35 (art.2.1.c), y se impone como nueva exigencia estar al corriente en el pago de la cuota fija al REASS (art.2.1.e) [12] . Del mismo modo se amplía al periodo de prestación a 360 días para los mayores de 52 años (art. 5.1.c), así como a los que sin pertenecer a este colectivo cumplan todos los requisitos de aquellos, además del número de jornales mínimo requerido. Este hecho es trascendente si lo relacionamos con el establecimiento, por R.D. 1589/1988 de 29 de diciembre, de un subsidio especial para este colectivo que se encuentra severamente afectado por la situación de desempleo y necesitado de un mayor grado de protección. Ello se traduce en la garantía de percepción de dicha prestación para los trabajadores de esta edad sin la obligación de acreditar en el año correspondiente el número de jornadas reales cotizadas necesario de acuerdo con las reglas generales, siempre que cumplan ciertos requisitos [13] . El envejecimiento del colectivo, el incremento de los años de cotización en el REASS, así como la extensión del periodo de prestación a todo el año, convierte a este subsidio especial para el colectivo de más de 52 en una prejubilación anticipada de cuantía exigua a la que, con el paso de los años, accede un colectivo creciente y feminizado totalmente desligado del mercado de trabajo agrario.
• El R.D. 73/2000 de 21 de enero modifica el artículo 3.4 del R.D. 5/1997 por el que se excluye del cómputo de la renta máxima exigida para el cobro de la prestación a las procedentes del trabajo agrario por cuenta ajena de carácter eventual [14] . El motivo es que se entiende que su inclusión, tal y como ocurría hasta ese momento, distorsionaba el funcionamiento del mercado laboral, provocando desajustes en la oferta-demanda de trabajo, ya que “ante la posibilidad de perder definitivamente la protección del subsidio, por la superación del límite de rentas, se puede provocar el rechazo del empleo o el ocultamiento de su realización, especialmente cuando el empleo implica movilidad geográfica, por los costes añadidos que conlleva su aceptación, con lo que los desajustes adquieren especial relevancia durante las campañas agrícolas intensivas en mano de obra y limitadas a zonas geográficas concretas” (Preámbulo del R.D. 73/2000). Las dos últimas modificaciones normativas reseñadas, así como la inminencia de la siguiente a la que ahora nos referiremos, están en el origen del incremento continuado de los perceptores registrados desde 1997 hasta 2002.
• R.D.L. 5/2002 de 24 de mayo, en cuyo artículo tercero se restringe el acceso al SDA solo a aquellos que fueron beneficiarios de dicho subsidio en alguno de los tres años naturales inmediatamente anteriores a la fecha de solicitud, eliminando la posibilidad de darse de alta “por primera vez” en el subsidio, así como la “reincorporación” de aquellos otros que no lo habían solicitado en los últimos 3 años o se les había sancionado por alguna infracción [15] . Ello supone la extinción progresiva de esta prestación al tiempo que se jubilan, pierden la prestación o mueren los perceptores ya existentes.
• R.D. 426/2003 de 11 de abril, por el que se instaura la RA como sustitutivo del SDA ante la fortísima oposición social y política a la reforma liberal llevada a cabo por el Partido Popular en 2002 en relación con el SDA, ya comentada, y que estipulaba que el cobro de esta nueva prestación se prolongaría por un periodo máximo de 6 meses [16] . Será el R.D. 864/2006 de 14 de julio el que suprima dicha limitación temporal en su cobro [17] . Es a partir de los cambios acecidos desde 2002 como se comprende la “tendencia dispar” que presentan las curvas de estas prestaciones en cuanto al número de sus beneficiarios.
Asumiendo la importancia normativa en las dinámicas comentadas, no convendría minusvalorar la incidencia de otras razones a la hora de comprender la evolución. De un lado, el proceso de expansión competitiva de mercados de trabajo, no necesariamente agrarios, directa o indirectamente ligados a la construcción o al turismo que demandaron un volumen ingente de mano de obra poco cualificada pero mejor remunerada y más estable que en el sector agrario ( Cansino, 2001 ), especialmente desde la liberalización del mismo durante el gobierno de José María Aznar en 1997 –Ley 7/1997 de 14 de abril– y su traslación a la Ley del Suelo de 1998 –Ley 6/1998 de 13 de abril–. De otro, la propia dinámica de unos mercados agrarios cada vez más globales y en los que sus trabajadores tienen menos capacidad de decisión en relación con los precios de sus productos, lo que le confiere un alto nivel de volatilidad e incertidumbre a sus rentas y a su trabajo. El propio carácter cíclico de las cosechas agrarias que termina condicionando la oferta de trabajo, sobre todo en el sector olivarero, que es el cultivo que genera más del 60% del empleo agrario andaluz. La tradicional vecería del cultivo, por un lado, y la importancia recurrente de las incidencias climatológicas ( Pita, 2001 ),con prolongados periodos de sequía, heladas, lluvias intensas, etc. ( figura 4 ) o, simplemente, malas cosechas, no solo provocan la reducción de la oferta de trabajo sino también, y a consecuencia de ello, del número mínimo de peonadas requeridas para la solicitud de la prestación, lo que perjudica, especialmente, a aquellos a los que no se les admiten los jornales cotizados al Régimen General por los trabajos del PER para la solicitud de la prestación [18] .

Por último, el repunte de las prestaciones a partir de 2009 encuentra su explicación en un retorno a la actividad agraria por parte de un sector importante de población afectado por la actual crisis, en especial, del sector de la construcción que ha ocupado una mano de obra de baja cualificación, y que encuentra en el sector agrario el trabajo y las prestaciones que el ladrillo ahora le niega ( Langreo y Requejo, 2009 ). ¿Vienen para quedarse? Creemos que no, al menos mayoritariamente.
Distribución provincial y municipal de los perceptores
Como es lógico existen diferencias importantes en el reparto territorial de los beneficiarios de las prestaciones tanto a nivel provincial ( cuadro 2 y figura 5 ) como municipal. El análisis por provincias –única escala para la que existe información desde 1984- permite comprobar que Sevilla destaca sobremanera acaparando casi la quinta parte de los perceptores, con valores que oscilan entre 30,75% de 1990 y el 26,55% de 2013 respecto del total andaluz [19] . A ella le siguen Córdoba con valores en torno al 17%, Granada y Jaén en torno al 15%. El conjunto de las cuatro provincias incrementan su peso con el paso de los años desde el 67,18% en 1984 al 72,42% de 2013 [20] . En el extremo opuesto encontramos las provincias de Almería y Cáceres con un 4 y 5%, respectivamente sobre el total [21] . Ahora bien, la evolución temporal de las diferentes provincias no es similar, lo que ha hecho que unas, como es el caso de Cádiz o Badajoz, pierdan protagonismo de forma clara, mientras que Huelva, Almería y Córdoba muestren la situación contraria; en el caso de las dos primeras su reducido valor de partida ayuda a su explicación, y el carácter intensivo de su sector agrícola hace el resto.

Del mismo modo el gráfico muestra que provincias como Málaga, Cáceres, Sevilla o Jaén presenta una situación de estabilidad en sus índices, con oscilaciones positivas en la franja de los 25 puntos a partir de los años 90. Son provincias con valores de partida bastante elevados y una importante demanda de trabajo ligada a sectores como el olivar, el hortofrutícola o el tabaquero.

Otro hecho a destacar es que no se aprecian diferencias significativas en el reparto y evolución provincial entre los perceptores de SDA y de RA, salvo en algunos matices. Por provincias la suma de beneficiarios de RA de Córdoba, Granada, Jaén y Sevilla suponen el 56,54% del total en 2003, valor que en 2013 alcanzará el 64,46%. Ello significa que dos tercios de los perceptores de RA tienen su lugar de residencia en alguna de estas cuatro provincias citadas. Además, salvo Sevilla, las otras tres muestran año a año ganancias, lo que hace que Jaén casi duplique sus valores entre 2003 y 2013 (8,20 y 15,29%, respectivamente).
Ahora bien, si medimos lo que aporta a los números índices de cada provincia los perceptores de RA al conjunto del colectivo ( cuadro 3 ), observamos que supone una media 36 puntos, superior en el caso andaluz frente al extremeño, y, sobre todo, que en 4 provincias, todas ellas andaluzas, se supera con creces dicha media. Nos referimos, por orden creciente a Granada, Córdoba, Jaén y Huelva. Estos datos ponen de manifiesto que esta nueva prestación encuentra en las tierras orientales olivareras andaluzas, con un amplio predominio de la pequeña explotación, su mayor difusión. Huelva, sorprendentemente no Almería, es donde más importancia relativa a nivel interno adquiere esta prestación en su propio devenir de la mano de un sector hortofrutícola muy intensivo en mano de obra y reglado a nivel contractual –contratos en origen–; quizás esta segunda cuestión pueda estar en el origen de la ausencia almeriense.

Más allá de estas tendencias generales que nos indican los datos a nivel provincial, el reparto municipal de los perceptores de estas prestaciones en los años 2000 y 2014 permite conocer la enorme significación espacial que tienen estas prestaciones en el medio rural andaluz ( mapa 1 ) [22] . En el mundo rural andaluz resaltamos dos cuestiones. Por un lado, la significativa presencia de este colectivo en municipios de importante tamaño demográfico y en los que la actividad agraria sigue jugando un papel determinante –agrociudades–. Estos municipios se sitúan a lo largo del Valle del Guadalquivir, bien ligados a los cultivos de secano (cereal) de las campiñas sevillanas, cordobesas, a las grandes zonas olivareras de las Subbéticas y a las zonas freseras, hortofrutícolas y vitícolas de Huelva y Cádiz. Por otro, el mapa de 2014 refleja una progresiva reducción del número de efectivos que perciben estas prestaciones, especialmente en las zonas relacionadas con cultivos menos intensivos en mano de obra –campiñas cerealistas– frente al mantenimiento en las zonas más ligadas al olivar, más intensivo en mano de obra, pese al importante proceso de mecanización sufrido en ciertas labores muy demandantes de empleo como es el caso de la recogida.
Esta visión espacial quedaría incompleta si no se relativizasen los valores que este colectivo representa sobre la población potencialmente perceptora. La realidad que nos permite comprobar el mapa 2 es totalmente diferente al anterior. Lo primero que se observa es que son pequeños municipios, salpicados por ese rural profundo y serrano, los que alcanzan niveles superiores al 20%. Se trata de términos municipales marcados por la presencia del olivar en zonas serranas de la Subbética, especialmente jiennense y granadina, pero a los que se añaden, en segundo lugar, otros no directamente ligados a él como la sierra onubense, la Alpujarra granadina y almeriense, o la Sierra Sur y Norte sevillana, incluso de la Axarquía malagueña.


Es decir, al papel que juegan estos colectivos en las grandes agrociudades del Valle de Guadalquivir en términos absolutos se completa con la enorme significación que en términos relativos tienen para los pequeños municipios serranos andaluces, especialmente de la Subbética olivarera, con valores extremos del 59%. En ellos, el proceso de envejecimiento, sobre todo en los de menor rango (28% para 2013 en el intervalo de 0-500 hab.), una estructura agraria minifundista con cada vez menos necesidades de mano de obra y la ausencia de reemplazo generacional, hacen que el cobro de estas prestaciones sean vitales para el mantenimiento de estas poblaciones y los territorios en los que habitan.
Edad y sexo de los perceptores
La figura 6 pone de manifiesto que las mujeres parten de valores muy inferiores a los del varón pero su crecimiento es vertiginoso durante los 7 primeros años de implantación, siendo las verdaderas protagonistas y beneficiarias de la implantación del SDA, tal y como ya señalamos. A partir de ese momento las curvas se cruzan y se distancian definitivamente.

Esta evolución se altera en el año 2009 al producirse un significativo incremento de los hombres como consecuencia de la vuelta a la actividad agraria especialmente de los varones, tras la crisis financiera y económica que castiga al sector de la construcción y sus industrias relacionadas, lo que se traduce en el incremento de las prestaciones masculinas de RA. Tal y como se puede comprobar las tendencias que presentan las curvas de los perceptores de SDA permiten constatar que se extinguen por igual para ellos y ellas.
Si atendemos a la edad de los perceptores y su evolución ( figura 7 ) se comprueba que son los grupos más jóvenes los que protagonizan tanto el crecimiento de los primeros años como el brutal desplome a partir de los años 90. No en vano, estos dos grupos de edad llegaron a representar en los momentos de auge, 1991, el 27% del total; en 1996 se sitúan por debajo del 10 y de ahí a su desaparición es un constante declinar año a año. Por el contrario el grupo de mayor edad, no para de crecer desde los años 90 hasta la implantación de la RA, estabilizándose después. Su presencia desde los primeros años ha sido significativa pero con valores inferiores a los de los jóvenes (entre el 20% y el 11%), y se ha ido incrementado tanto en términos absolutos como relativos, llegando a suponer en 2013 más del 44% de los beneficiarios.

Es evidente que las trayectorias reflejan objetivos diferentes según grupos de edad. Es el caso de la búsqueda de una jubilación más o menos cercana para unos; las alternativas laborales en otros sectores en expansión como la construcción y el sector servicios que ofrecen retribuciones mucho más altas y seguras que las agrarias para los colectivos jóvenes, lo que a la larga les alejará definitivamente de la posibilidad del cobro del subsidio; las consecuencias de las reformas legales en relación con las exigencias del número de jornadas trabajadas y cotizadas así como los mínimos de renta exigidos para poder percibir la prestación; los impedimentos del “decretazo” liberal de 2002 ( Díaz, 2006 ) y, finalmente, la “vuelta” a la actividad agraria, y con ello al cobro de sus prestaciones por desempleo como trabajadores agrarios eventuales, de los desempleados de la construcción, están en el origen de estas dispares trayectorias por grupos de edad.
¿Son estas trayectorias vitales iguales en el caso del varón y la mujer? No. Se manifiestan si no antitéticas, sí enormemente dispares ( figura 8 y figura 9 ).


Es evidente que la incorporación del hombre a la prestación es “súbita” y se mantiene hasta 1990 con valores que superan en poco el 20% los de 1984, siendo el grupo 20-24 el que más crece en ese periodo. Por su parte, la mujer irrumpe, bien es cierto que parte de valores bajísimos, de forma vertiginosa liderada por el grupo de edad 1619 –multiplica por 12 los de 1984– alcanzando su cénit en el momento en que aparece el declive de los efectivos varones. Mientras la evolución de los varones inicia un camino descendente y sin retorno a sus valores históricos de 1990, en la de la mujer, a pesar de las oscilaciones, los valores se mantienen en una franja que raras veces desciende de las 120.000 beneficiarias. Otro hecho a destacar es que el volumen de efectivos de más de 55 años se concentra de forma clara en las mujeres, llegando a duplicar a los hombres de esa misma franja de edad. Como se puede comprobar en el conjunto de las dos gráficas antes reseñadas, es la única curva que no ha dejado de crecer, salvo en 1991, durante toda la serie independientemente de la edad o del sexo de los perceptores.
El no haber salido del sistema, bien por estar trabajando como temporeras durante las campañas agrícolas y percibiendo posteriormente el subsidio agrario” ( Nuevo, 2000, 92 ), bien por no querer ir a buscar unos ingresos mayores, agrarios o no agrarios, lo que acarrearía una movilidad territorial a la que no siempre puede o quiere acceder y que la limita laboralmente ( Gálvez y Matus, 2012 ), y el objetivo último de una pensión de jubilación, están en el origen de este predominio femenino, más allá de la componente “natural” de la pirámide de población de Andalucía y Extremadura.
Este vuelco radical, así como el progresivo alejamiento de este colectivo del mercado de trabajo agrario conforme avanza la edad de los beneficiarios que cobran el SDA, puede comprobarse con nitidez (cuadro 3) en el constante aumento de los perceptores que declaran trabajar 0 jornadas al mes. Esta característica se acentúa tras la reforma de 2002, afectando especialmente a la mujer: el 54% de las perceptoras declaran/acreditan no haber trabajo ningún jornal, lo que supone 14 puntos más que en 1996, momento en el que la estadística desagrega dicha información.


Las consecuencias demográficas más claras y evidentes de todo este proceso son el progresivo envejecimiento y feminización de este colectivo, existiendo diferencias muy significativas dependiendo de la prestación que cobra y la provincia de residencia.
En efecto, este doble proceso se puede comprobar para los perceptores de SDA a través de las pirámides de población de 1996 [23] y 2013 ( figura 10 ). Ya en 1996 las mujeres superaban a los hombres representando el 51,36% siendo en 2013 el 64,51%; pero además, las de 50 y más años pasan del 17,43% en 1996 a representar en 2013 el 38,02% [24] . Es decir, ha duplicado su importancia relativa en 15 años.

Por el contrario, los menores de 30 años perceptores del SDA suponían el 25,79% en 1996 -13,47% hombres y 12,32 mujeres- y en 2013 son el 0,5% del total. Si la comparación la realizamos con los primeros años de implantación del SDA, las diferencias son mucho mayores: en 1984 el colectivo de menos de 25 años alcanzaba el 22,25%, siendo las mujeres solo el 1,99%, y los mayores de 55 años representaban el 15,6%, de los que un escaso 1,44% eran mujeres.
En este contexto la inclusión de los perceptores de RA genera un proceso de rejuvenecimiento de la pirámide de edades bastante significativo, que se incrementa con los años al adquirir mayor peso sobre el conjunto de los perceptores de SDA+RA ( figura11 ). Lo primero que se puede observar, tomando como referencia el año 2005[25], es que se trata de una pirámide de población muy joven, ya que el 32,7% tiene menos de 25 años, en el que predominan las mujeres con el 63,7% del total.

En el caso de los hombres destacamos dos cuestiones: En primer lugar son mayoritarios respecto a las mujeres en las edades extremas de la gráfica: menos de 20 y 50 y más años. En segundo lugar, es el grupo de edad de 20-24 el más importante dentro de su propio sexo; es más, si tomamos como referencia de población joven a los menores de 30 años el valor alcanzado es del 50,53%. Del mismo modo, la población de 50 y más años alcanza un porcentaje del 17,51%. Por tanto, los perceptores varones son mayoritariamente jóvenes pero en los tramos de mayor edad tienen una representación significativa. Por el contrario, para las mujeres la situación de partida es diferente en la medida en que es más equilibrada su distribución por edades, aunque participan con más intensidad las mujeres en edad madura, si por tal entendemos las comprendidas entre los 30 y 49 años. A partir de esa edad su participación cae en picado.
¿Qué ocurre con el devenir de los años? En términos generales dos cuestiones resaltan. Por un lado la pirámide “madura”, ya que ganan presencia los grupos de mayor edad, bien por el ascenso de los colectivos que en 2005 eran más numerosos y/o bien por la incorporación de otros en edades superiores a los 45 años. Este hecho afecta a la mujer en mayor medida que al hombre superándolo incluso en esos tramos de edad, al contrario de lo que ocurría en 2005, y además se reduce brutalmente los grupos de menos de 30 años. Por otro lado, se constata la importante incorporación de efectivos masculinos, tal y como refleja la importancia que adquieren los grupos de edad 20-24 y 25-29 que pasan a convertirse en hegemónicos en 2013. Es decir, la crisis de los sectores de la construcción y afines reconduce a una parte de sus desempleados, mayoritariamente jóvenes, al desempeño de la actividad agraria; el incremento de los perceptores de RA al que estamos aludiendo es su lógica consecuencia. Esta misma situación se repite en el colectivo femenino aunque con un matiz muy importante: la edad de acceso es más elevada por la importancia que suponen las mayores de 45 años. En definitiva, la prolongación de la crisis, la pérdida del trabajo y/o de las prestaciones de desempleo hacen que el recurso a la actividad agraria y al posterior cobro de la RA sea visto como una “alternativa” clara para los varones de menor edad. Mientras tanto, las mujeres recurren a este mismo mecanismo, incluso hasta edades muy avanzadas, para complementar los ingresos de sus hogares mermados por la actual coyuntura económica, sobre todo teniendo en cuenta la reducción del trabajo en sectores muy feminizados como la hostelería y/restauración o los servicios personales en los momentos de auge de la crisis.
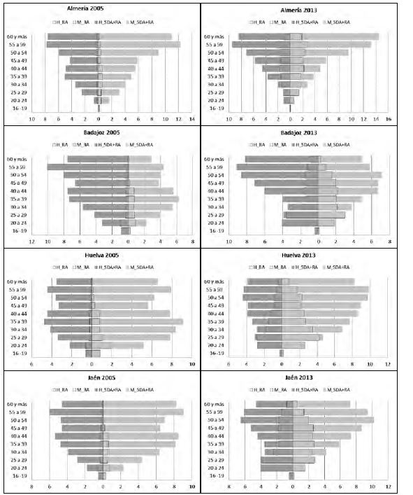
Si estos comentarios sirven para el conjunto del colectivo, es evidente que las diferencias que podemos encontrar entre las pirámides provinciales son muchas en la medida en que también lo son sus estructuras sociodemográficas, la de sus explotaciones, las necesidad de mano de obra de sus cultivos tanto en cantidad como atendiendo a la estacionalidad de sus principales labores. Todo ello sin olvidar la disponibilidad de trabajo en otros sectores como la construcción, la hostelería, la restauración, etc., que permite, en demasiadas ocasiones mediante la práctica de trabajo sumergido, la complementariedad de rentas de estos colectivos en el mundo rural. Escogemos para mostrarlas cuatro ejemplos ( figuras 12 a 19 ). En ellos se pueden observar cómo las pirámides muestran, con distintos niveles de intensidad, tanto el envejecimiento de su efectivos como su feminización; mayor en los casos de Huelva o Jaén de la mano del trabajo en el sector fresero y olivarero, respectivamente, mientras la presencia del varón se refuerza en el caso de Almería y Badajoz de la mano de trabajos más masculinizados ligados a la hortofruticultura intensiva o cultivos extensivos muy mecanizados y con demanda de trabajo manual, como los cereales. Por lo demás, es evidente en todos los casos el rejuvenecimiento que los beneficiarios de RA aportan al conjunto de perceptores y, sobre todo, es generalizado el crecimiento del colectivo masculino en la franja de edad de 20 a 30 años.

A escala municipal se puede comprobar cómo la feminización del conjunto del colectivo presenta importantes diferencias territoriales, a la vez que se intensifica con el paso de los años ( mapa 3 y mapa 4 ).


Por un lado, las zonas con mayores índices, por encima de 250 mujeres por cada 100 hombres, se encuentran en municipios integrantes de las Campiñas del Guadalquivir, de Sevilla y Córdoba, además de Huelva, sin olvidar la presencia creciente que adquieren los pequeños municipios montanos de Málaga, Granada y Almería. Por otra parte, valores intermedios de este índice, entre 150 y 250, se sitúan en el área de la Subbética olivarera. Por último, los municipios en los que los hombres sobrepasan a las mujeres se reducen de forma espectacular en 10 años, aunque mantiene una significativa presencia en Sierra Morena, desde Huelva hasta Jaén, y en municipios contiguos de la Cordillera Penibética, desde Cádiz hasta Almería.
En líneas generales esta distribución tiene que ver, además de con los procesos de jubilación que afectan al colectivo masculino antes que al femenino -tanto por su mayor como anterior nivel de afiliación, en una histórica discriminación de género-, con cuestiones relacionadas con la mayor o menor presencia de sectores y labores agrarias en las que las mujeres tienen una dispar significación, menor en el caso del sector ganadero –ya sea extensivo o intensivo– o forestal en zonas como la Sierra Morena jiennense, cordobesa u onubense, o en las comarcas de la Sierra de Cádiz o mayor como, por ejemplo, el sector de la fresa o frambuesa onubense ( Gordo y Felicidades, 2009 ). Todo ello sin menospreciar la importancia, imposible de contrastar en este trabajo, de la inclusión de mujer dentro del REASS cuando trabaja en tareas de manipulación y clasificación de producciones agrarias que está fuertemente feminizado.
Conclusiones y cuestiones para futuros trabajos
Las modificaciones normativas han configurado, de forma cada vez más clara, dos tipos de colectivos. Uno, el perceptor del SDA, decreciente en su número, cada más envejecido y feminizado y, otro, el beneficiario de la RA, colectivo creciente, más joven pero igualmente compuesto, mayoritariamente, por mujeres. Se trata de dos perfiles diferentes que responden a situaciones de vida distintas. Por un lado, el perceptor del SDA, que sigue siendo mayoritario, tiene como objetivo último la inminente percepción de una pensión de jubilación y se encuentra cada vez más desligado del mercado de trabajo agrario. Está compuesto por mujeres abrumadoramente y recibe la prestación durante los 360 días al cumplir más de 52 años, acogiéndose al sistema especial para su cobro, lo que le exime del requisito de justificación de peonadas.
Por otro, el perceptor de RA, aún minoritario, en el que la juventud es el elemento determinante así como, de nuevo, la significativa participación femenina a partir del grupo de edad 25-29 años. Este perfil del perceptor de RA se encuentra alterado por la emergencia del varón, sobre todo el menor de 29 años a partir de 2009. Ello debe interpretarse como el resultado evidente de su incorporación al trabajo agrario como alternativa a la crisis de la construcción. La importancia de la mujer en edades más avanzadas nos indica una presencia previa mayor, así como una “especialización jornalera agraria”, ya sea como recurso de sustento individual, ya como respuesta para incrementar las rentas en familias vapuleadas por el desempleo de otros miembros de la unidad familiar. Especial mención merece su actual significancia en hogares en los que la pareja se encuentra en el entorno de los 50 años, edad en la que ambos cónyuges tienen enormes dificultades para encontrar trabajo, recurriendo a este subsidio en periodos en los cuales son inexistentes las tareas del campo, de transformación agroalimentaria, o trabajos relacionados con el cuidado de ancianos que los ayuntamientos gestionan mediante la ley de dependencia.
Las diferencias provinciales y municipales son importantes, permitiendo afirmar que es el monocultivo del olivar el que se termina convirtiendo de forma progresiva en el principal factor explicativo de la distribución de los perceptores de estas prestaciones, como lo demuestra su cada vez mayor importancia para el caso andaluz en las comarcas de las campiñas jiennenses o en las subbéticas cordobesas y granadinas, donde existe mayor presencia relativa de este cultivo. La agricultura intensiva –costera o no– ofrece posibilidades a un volumen de población más joven, en el que participa de forma activa la mujer, que luego accede a la prestación de la RA, como se pone especialmente de manifiesto en los casos de Huelva o Cáceres.
Otra de las cuestiones importantes que ha evidenciado el trabajo es la importancia que para el mantenimiento de muchos pequeños pueblos montanos tienen estas prestaciones, sobre todo el SDA, al ser beneficiarios de las mismas porcentajes de población que superan el 25% de la comprendida entre los 16 y 64 años. Ni que decir tiene que coinciden con poblaciones especialmente envejecidas y feminizadas.
Lo anterior exige a nuestros representantes políticos una clara reflexión que responda a una necesaria reconversión económica, social y territorial. Económica, en la medida que este subsidio está relacionado con la presencia de un desempleo tanto estructural, ligado a un monocultivo en el sector primario que requiere de diversificación, profesionalización y mayor adaptación de sus estructuras, como coyuntural al convertirse en sector refugio ante la actual crisis, especialmente de la construcción e industrias afines, de gran parte de una generación comprendida entre los 20 y 35 años. Social, al insertarse en él una gran proporción de mujeres que no encuentran oportunidades laborales en los ámbitos donde viven, y que actúa como refugio de una población discriminada por condición de género y situación laboral, y que en cierta forma no elimina el problema, sino que lo perpetua. Territorial, en el sentido en que se ha convertido en imprescindible en determinados territorios donde la economía está excesivamente focalizada en un monocultivo olivarero, poco productivo, excesivamente minifundista y subsidiado. Se requieren propuestas realistas y una adecuada planificación para reconducir este círculo vicioso en el que han caído y se encuentran gran parte de los habitantes de estos ámbitos rurales.
Finalmente, el trabajo pone de manifiesto la necesidad de profundizar en algunos de los aspectos que hemos tratado y que abren una nueva línea de investigación: la crisis económica ha generado una vuelta a la actividad agraria y a sus prestaciones como refugio. De ser así como se apunta, ¿se ha producido en todo el territorio nacional? ¿Se localiza en mayor medida en estas dos CC.AA., debido a la importancia que en ellas tiene el sector agrario? ¿Qué papel juega el cobro de estas prestaciones asistenciales en esta vuelta a la agricultura? ¿Se ha producido por parte de los nacionales desplazando a los foráneos que ocupaban estos trabajos? ¿La presencia mayoritaria de la mujer como perceptora de RA se debe a una respuesta ante la crisis para complementar las deterioradas rentas familiares? ¿Estamos ante el surgimiento de una especialización jornalera agraria de la mujer al incorporarse a un sector fuertemente masculinizado? Cuestiones todas abiertas a una futura respuesta.
Agradecimiento
Agradecemos los comentarios de los dos evaluadores anónimos. Algunos de los aspectos aquí revisados, ampliados y actualizados fueron defendidos en una comunicación presentada en el Congreso Nacional de Población celebrado en Sevilla en 2014 denominada “Implicaciones geopoblacionales del subsidio de desempleo agrario y la renta agraria en el medio rural andaluz”.
Referencias
Arnalte, E., Baptista, F. O. y Garrabou, R. 2012. “Viejas y nuevas dimensiones de la cuestión de la tierra. Revista Española de Estudios Agrosociales y Pesqueros 231: 11-28.
Avellá, L. y Vega, V. 2002. “El mercado de trabajo agrario en la Comunidad Valenciana. Equilibrio global versus desequilibrios espaciales y temporales”. Áreas: Revista Internacional de Ciencias Sociales 22: 95-112.
Baigorri, A. (dir.) 1994. El paro agrario. Paro, mercado de trabajo y formación ocupacional en el campo extremeño. Badajoz: Junta de Extremadura y Diputación Provincial de Badajoz.
Cansino, J. M. y Gómez, F. 1997. “Subsidio agrario y cotización de trabajadores eventuales:
Cansino, J. M. 2001. “El subsidio agrario por desempleo a través de sus cifras en Andalucía (1984-2000)”. Revista del Ministerio de Trabajo y Asuntos Sociales 31: 71-89.
Casino, J. M. (coord.) 2003. El campo andaluz y extremeño: la protección social agraria. Madrid: Consejo Económico y Social.
Camarero, L. (coord.) 2009. La población rural de España. Barcelona: La Caixa.
Castiñeira, J. 2001. “De nuevo sobre la prestación de desempleo de los trabajadores eventuales agrarios. Breve comentario al RD 73/2000 de 21 de enero”. Temas Laborales 60: 9-32.
Cruces, C. y Palenzuela, P. 2006. “Emprendedoras rurales en Andalucía. Posibilidades y límites de sus estrategias”. Revista Española de Estudios Agrosociales y Pesqueros 211: 239-306.
Delgado, M. y Gavira, L. 2006. “Agricultura y trabajo rural en la globalización”. Revista Española de Estudios Agrosociales y Pesqueros 211: 21-62.
Díaz, C. 2006. “Cambios generacionales en las estrategias de inserción sociolaboral de las jóvenes rurales”. Revista Española de Estudios Agrosociales y Pesqueros 211: 307-337.
Díaz, J. 2009. “Los campos que otros trabajan. Las campañas agrícolas españolas con mayor porcentaje de trabajadores extranjeros”. En Explorando los contratos en origen en los campos españoles, eds. M. Gordo y J. Felicidades, 25-66. Huelva: Universidad de Huelva.
Escobar, M. S., Galera, A. G. y Bermúdez, A. 2012. “La evolución del empleo agrario en Andalucía a partir el inicio de la crisis: ¿el fin del jornalero inmigrante?”, presentado en el VII Congreso de Migraciones Internacionales en España (Bilbao).
Fernández-Cavada, J. L., Martín-Fernández, S., Ortuño-Pérez, S. F. 2007. “Evolución y perspectivas del mercado de trabajo agrario en España (1976-2004)”. Agrociencia 41: 241-251.
Gálvez, L. y Matus, M. 2012. “Género y ruralidad en Andalucía: un diagnóstico regional”. Revista de Estudios Regionales 94: 195-218.
García, T. 2004. “Mercado de trabajo en sistemas hortícolas intensivos: el caso de la fresa de Huelva”, tesis doctoral, Universidad Politécnica de Madrid.
García, M. A. 2011. “Pensiones mínimas, riesgo de pobreza y refuerzo de la contributividad del sistema de pensiones”. Revista del Ministerio de Trabajo e Inmigración 12 (número extraordinario): 157-179.
García, M. D. y Cruz, J. 1995. “Treball agrícola assalariat i gènere: le cas de les jornaleres andaluses”. Documents d’Anàlisi Geogràfica 26: 109-121.
García, J. I. y Troncoso, D. 2011. “La introducción de la Renta Agraria: una evaluación del impacto sobre la oferta de trabajo en Andalucía y Extremadura”, documento de trabajo 1104, Departamento de Economía, Universidad Pablo de Olavide.
Garrabou, R., Planas, J., Saguer, E. y Vicedo, E. 2014. “Propiedad de la tierra y desigualdad social en el mundo rural catalán de mediados de siglo XIX”. Historia Agraria 63: 115-150.
Gavira, L. 1992. “La estructura segmentada del mercado de trabajo rural en Andalucía”. Revista de Estudios Regionales 31: 87-104.
Gómez, F. y Prieto, M. 2003. “Factores explicativos del diferencial del desempleo andaluz”. Revista del Ministerio de Trabajo y Asuntos Sociales 46: 143-167.
González de Molina, M. 2014. “Introducción”. En La cuestión agraria en la historia de Andalucía, coord. M. González de Molina, 9-20. Sevilla: Centro de Estudios Andaluces.
González de Molinos, M. Infante, J. y Herrera, A. 2014. “Cuestionando los relatos tradicionales: desigualdad, cambio liberal y crecimiento agrario en el Sur peninsular (1752-1901)”. Historia Agraria 63: 5588.
Gordo, M. y Felicidades, J. (eds.) 2009. Explorando los contratos de origen en los campos españoles. Huelva: Universidad de Huelva.
Gualda, E. 2005. “La inmigración en Andalucía, de finales de los noventa a inicios del siglo XXI:
Langreo, A. 2002. “Mercado de trabajo y necesidades laborales en la agricultura española”. En Procesos migratorios: economía y personas, coord. M. Pimentel, 201-225. Almería: Cajamar.
Langreo, A. 2004. “Mujer y trabajo en el mundo rural”. En Mujeres, medio ambiente y desarrollo rural, eds. E. Martínez, N. López y E. Sáez, 173-198. Madrid: Instituto Universitario de Estudios de la Mujer.
Langreo, A. y Requejo, J. 2009. “El regreso del trabajo agrario y rural como refugio”. En Informe anual del sector agrario en Andalucía 2008, 349-364. Málaga: Fundación Unicaja.
López, A. 2006. “Los mercados de trabajo desde una perspectiva histórica: el trabajo asalariado agrario en la Andalucía Bética (la provincia de Córdoba)”. Revista Española de Estudios Agrosociales y Pesqueros 211: 63-120.
López, P. M. 2003. “La reforma del subsidio agrario. Una aproximación a la realidad rural extremeña”. Revista de Estudios Extremeños 59 (3): 1291-1321.
Márquez, J. A. (dir.) 2014. Jornaleros extranjeros en España: el contingente agrícola de temporada como política de control de flujos migratorios. Huelva: Universidad de Huelva.
Ministerio de Medio Ambiente. 2007. Plan especial en situaciones de alerta y eventual sequía en la cuenca Hidrográfica del Guadalquivir. Madrid: Ministerio de Medio Ambiente.
Ministerio de Empleo y Seguridad Social. 1982-2014. Anuario de Estadísticas Laborales. Madrid: Ministerio de Empleo y Seguridad Social.
Ministerio de Empleo y Seguridad Social. 1982-2014. Boletín Mensual de Estadísticas Laborales. Madrid: Ministerio de Empleo y Seguridad Social.
Nuevo, T. 2000. “Las mujeres jóvenes en el medio rural; clave para el desarrollo”. Estudios de Juventud 48: 91-96.
Palenzuela, P. 1992. “El Estado no inocente: naturaleza perversa y eficacia de la política asistencial en el medio rural andaluz”. Revista de Estudios Regionales 31: 213-228.
Palenzuela, P. 2000. “Del trabajo al paro y del paro al subsidio: Cambios en las culturas del trabajo de los jornaleros andaluces”. Revista de Dialectología y Tradiciones Populares 55 (2): 87-105.
Pita, M. F. 2001. “Sequías en la cuenca del Guadalquivir”. En Causas y consecuencias de las sequías en España, eds. A. Gil y A. Morales, 303-343. Alicante: Universidad de Alicante y Caja de Ahorros del Mediterráneo.
Pumares, P. 2006. “Efectos de la inmigración regularizada sobre el cambio en la estructura por regímenes y grupos de cotización de la Seguridad Social”. Estudios Geográficos 261: 607-634.
Román, R. 2004. “Cambios en el perfil del beneficiario el subsidio agrario (1984-2001)”. Revista del Ministerio de Trabajo y Asuntos Sociales 51: 139-155.
Romero, J. 2009. “La protección social agraria”. Granada: Universidad de Granada.
Sánchez, A. 1980. “La eventualidad, rasgo básico del trabajo en una economía subordinada: el caso del campo andaluz”. Sociología del Trabajo 3-4: 97-198.
Sánchez, B. y Vicéns, J. 2010. “El impacto del subsidio agrario sobre la evolución de la población de Extremadura”. Revista del Ministerio de Trabajo y Asuntos Sociales 86: 131-143.
Talego, F. 2012. “La memoria y la tierra en el imaginario de los jornaleros andaluces”. En Patrimonio cultural en la ruralidad andaluza, coords. M. Soler y C. Guerrero, 64-79. Sevilla: Junta de Andalucía.
Torres, T., Allepuz, R. y Gordo, M. 2014. “La contratación de mano de obra temporal en la agricultura hortofrutícola española”. Ager 16: 7-37.
Notas